Revisiting the Acoustics of St Paul’s Cathedral, London
Abstract
1. Introduction
2. Acoustic Measurement Approaches in Heritage Worship Spaces
3. Historical “Catacoustics” in St Paul’s Cathedral
3.1. Measurements in 1952
3.2. Measurements in 1984
3.3. Measurements in 1985
4. Measurements in 2022
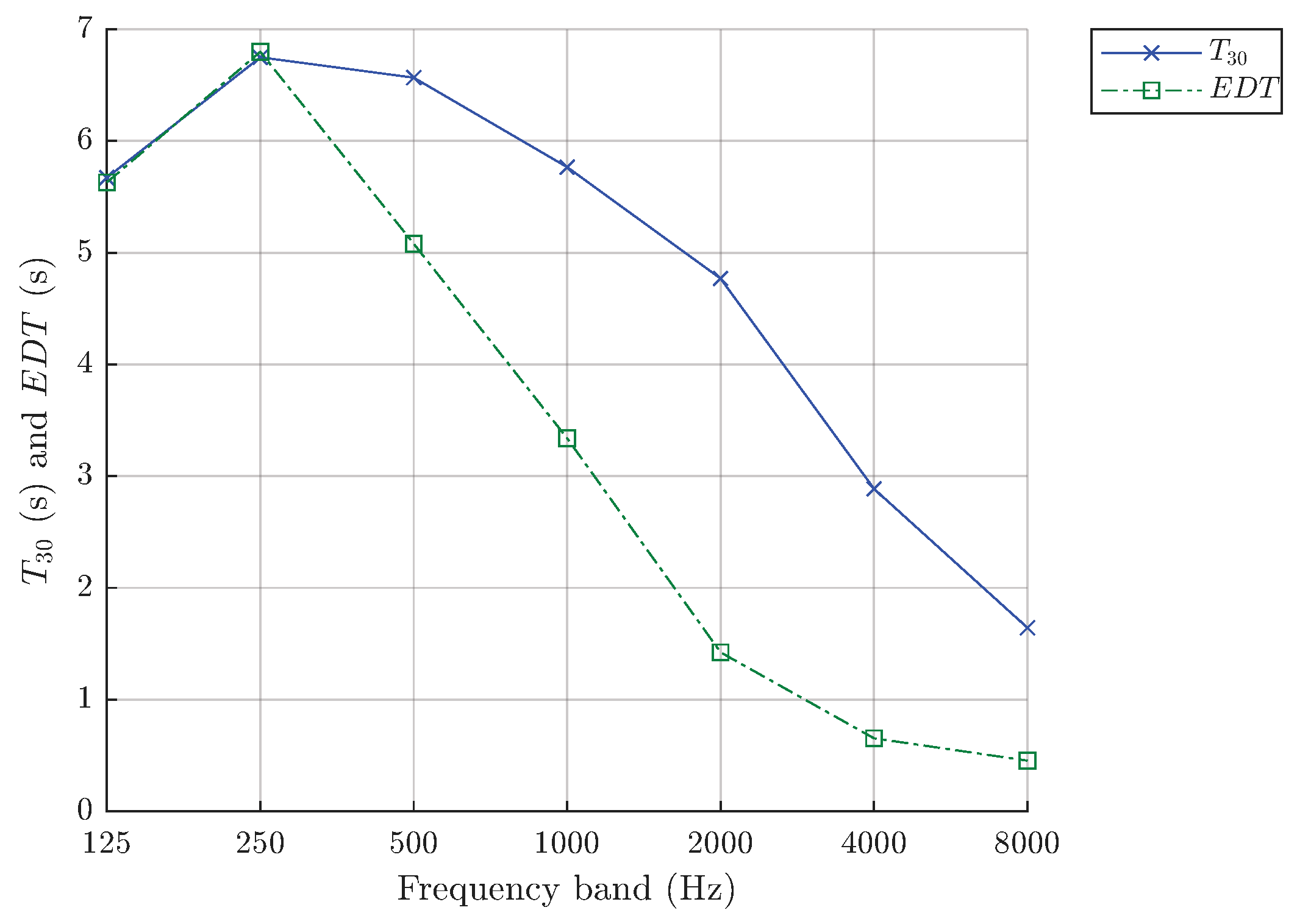
5. Measurement Process and Results
5.1. Cathedral Floor
5.2. The Whispering Gallery
5.3. The Library
5.4. The Geometric (or Dean’s) Staircase
5.5. Speech Intelligibility—Articulation
6. Summarising Observations
Author Contributions
Funding
Institutional Review Board Statement
Informed Consent Statement
Data Availability Statement
Acknowledgments
Conflicts of Interest
References
- Higgott, G. The Wren Office Drawings. Available online: https://www.stpauls.co.uk/wren-office-drawings (accessed on 10 February 2025).
- Lewers, T.H.; Anderson, J.S. Some Acoustical Properties of St Paul’s Cathedral, London. J. Sound Vib. 1984, 92, 285–297. [Google Scholar] [CrossRef]
- Sabine, W.C. Collected Papers on Acoustics; Harvard University Press: Cambridge, UK, 1922; pp. 270–276. [Google Scholar]
- Everest, F.A. Master Handbook of Acoustics; McGraw-Hill: New York, NY, USA, 2001; pp. 240–243. [Google Scholar]
- Zhang, M. St. Paul’s Cathedral Dome: A Synthesis of Engineering and Art. Myles Zhang: Digital Portfolio. 2022. Available online: https://www.myleszhang.org/2020/04/16/st-pauls-cathedral/ (accessed on 28 April 2025).
- Wren, C. Engaving After Sir Christopher Wren: St. Paul’s Cathedral Church—Geometrical Section of the Dome Transepts &x from North to South, 1810; Object Number 16/1283; Royal Academy of Arts: London, UK, 1810. [Google Scholar]
- Jones, P.J. Marble Anthem: Composer Patrick John Jones’ Response to the Monument to Sir John Stainer (1840–1901) by Henry Pegram, 1903. Available online: https://pantheons-st-pauls.york.ac.uk/voice/patrick-john-jones/ (accessed on 15 April 2025).
- Tronchin, L.; Farina, A. Acoustics of the former teatro “la fenice” in Venice. AES J. Audio Eng. Soc. 1997, 45, 1051–1062. [Google Scholar]
- Katz, B.F.G.; Weber, A. An Acoustic Survey of the Cathédrale Notre-Dame de Paris before and after the Fire of 2019. Acoustics 2020, 2, 791–802. [Google Scholar] [CrossRef]
- Alvarez-Morales, L.; Zamarreño, T.; Girón, S.; Galindo, M. A methodology for the study of the acoustic environment of Catholic cathedrals: Application to the Cathedral of Malaga. Build. Environ. 2014, 72, 102–115. [Google Scholar] [CrossRef]
- Galindo, M.; Zamarreño, T.; Girón, S. Acoustic Simulations of Mudejar-Gothic Churches. J. Acoust. Soc. Am. 2009, 126, 1207–1218. [Google Scholar] [CrossRef]
- Weitze, C.; Rindel, J.; Christensen, C.; Gade, A. History of Hagia Sophia revived through computer simulation. In Proceedings of the Forum Acusticum, Sevilla, Spain, 16–20 September 2002; Available online: https://citeseerx.ist.psu.edu/document?repid=rep1&type=pdf&doi=1dd300652cc2d042b1abda5f77f0044ec835aa30 (accessed on 15 April 2025).
- Sert, F.Y.; Karaman, Ö.Y. An Investigation on the Effects of Architectural Features on Acoustical Environment of Historical Mosques. Acoustics 2021, 3, 559–580. [Google Scholar] [CrossRef]
- Andou, A. Measurement of acoustical characterictics of mosques in Saudi Arabia. J. Acoust. Soc. Am. 2003, 113, 1505–1517. [Google Scholar] [CrossRef]
- Segura, J.; Giménez, A.; Romero, J.; Cerdá, S. A comparison of different techniques for simulating and measuring acoustic parameters in a place of worship: Sant Jaume Basilica in Valencia, Spain. Acta Acust. United Acust. 2011, 97, 155–170. [Google Scholar] [CrossRef]
- Martellotta, F. Identifying acoustical coupling by measurements and prediction-models for St. Peter’s Basilica in Rome. J. Acoust. Soc. Am. 2009, 126, 1175–1186. [Google Scholar] [CrossRef]
- Autio, H.; Barbagallo, M.; Ask, C.; Bard Hagberg, D.; Lindqvist Sandgren, E.; Strinnholm Lagergren, K. Historically Based Room Acoustic Analysis and Auralization of a Church in the 1470s. Appl. Sci. 2021, 11, 1586. [Google Scholar] [CrossRef]
- Duran, S.; Chambers, M.; Kanellopoulos, I. An Archaeoacoustics Analysis of Cistercian Architecture: The Case of the Beaulieu Abbey. Acoustics 2021, 3, 252–269. [Google Scholar] [CrossRef]
- Martellotta, F.; Cirillo, E.; Carbonari, A.; Ricciardi, P. Guidelines for acoustical measurements in churches. Appl. Acoust. 2009, 70, 378–388. [Google Scholar] [CrossRef]
- Cirillo, E.; Martellotta, F. Sound propagation and energy relations in churches. J. Acoust. Soc. Am. 2005, 118, 232–248. [Google Scholar] [CrossRef]
- Cirillo, E.; Martellotta, F. Worship, Acoustics and Architecture. Build. Acoust. 2007, 14, 241. [Google Scholar] [CrossRef]
- Girón, S.; Alvarez-Morales, L.; Zamarreño, T. Church acoustics: A state-of-the-art review after several decades of research. J. Sound Vib. 2017, 411, 378–408. [Google Scholar] [CrossRef]
- Di Loreto, S.; Pierantozzi, M.; Lori, V.; Serpilli, F. Impact of Architectural Styles on Acoustic Characteristics in Selected European Churches. Architecture 2025, 5, 5. [Google Scholar] [CrossRef]
- Anderson, J.S.; Bratos-Anderson, M. Acoustic coupling effects in St Paul’s Cathedral, London. J. Sound Vib. 2000, 236, 209–225. [Google Scholar] [CrossRef]
- Foteinou, A.; Cooper, J.P.D.; Murphy, D. Acoustics, Audibility and Political Culture in the House of Commons, 1800–34. Parl. Hist. 2024, 43, 316–337. [Google Scholar] [CrossRef]
- Virtual St Paul’s Cathedral Project. Available online: https://vpcathedral.chass.ncsu.edu/ (accessed on 30 January 2025).
- Report from the Select Committee on House of Commons Buildings; Together with the Minutes of Evidence Taken Before Them, (HC 1833, 104), House of Commons Parliamentary Papers Online.
- Walker, J. The Amateur Scientist. Sci. Am. 1978, 239, 179–187. Available online: https://www.jstor.org/stable/24955831 (accessed on 3 February 2025). [CrossRef]
- Raman, C.V.; Sutherland, G.A. Whispering-Gallery Phenomena at St. Paul’s Cathedral. Nature 1921, 108, 42. [Google Scholar] [CrossRef]
- Parkin, P.H.; Taylor, J.H. Speech reinforcement in St. Paul’s Cathedral–experimental system using line-source loudspeakers and time delays. Wirel. World 1952, 58, 54–57. [Google Scholar]
- Parkin, P.H.; Taylor, J.H. Speech reinforcement in St. Paul’s Cathedral—Details of the equipment and results of tests. Wirel. World 1952, 58, 109–111. [Google Scholar]
- Wikimedia Commons Contributors. File: Greek and Latin Cross—Temple of Saint Sava and St Paul’s Cathedral (St Paul’s).jpg. Wikipedia Commons, the Free Media Repository. 2021. Available online: https://commons.wikimedia.org/wiki/File:Greek_and_Latin_cross_-_Temple_of_Saint_Sava_and_St_Paul%27s_Cathedral_(St_Paul%27s).jpg (accessed on 30 January 2025).
- ISO-3382:1975; Acoustics—Measurement of Reverberation Time in Auditoria. ISO: Geneva, Switzerland, 1975.
- Schroeder, M.R. New Method of Measuring Reverberation Time. J. Acoust. Soc. Am. 1965, 37, 409–412. [Google Scholar] [CrossRef]
- Beranek, L.L. Acoustic Measurements; John Wiley: New York, NY, USA, 1949; p. 770. [Google Scholar]
- Anderson, J.; Jacobsen, T. RASTI Measurements in St. Paul’s Cathedral, London. In Proceedings of the 12th International Congress on Acoustics, Toronto, ON, Canada, 24–31 July 1986. Paper E10–2. [Google Scholar]
- IEC 60268-16:2020; Sound System Equipment—Part 16: Objective Rating of Speech Intelligibility by Speech Transmission Index. International Electrotechnical Commission: Switzerland, Geneva, 2020.
- Pantheons: Sculpture at St Paul’s Cathedral (c.1796–1916). Available online: https://pantheons-st-pauls.york.ac.uk/ (accessed on 15 April 2025).
- Farina, A.; Ayalon, R. Recording Concert Hall Acoustics for Posterity. In Proceedings of the 24th AES International Conference, Banff, AB, Canada, 26–28 June 2003. [Google Scholar]
- Murphy, D.; Shelley, S.; Foteinou, A.; Brereton, J.; Daffern, H. Acoustic Heritage and Audio Creativity: The Creative Application of Sound in the Representation, Understanding and Experience of Past Environments. Internet Archaeol. 2017, 44. [Google Scholar] [CrossRef]
- ISO-3382-1:2009; Acoustics—Measurement of Reverberation Time of Rooms with Reference to Other Acoustical Parameters. ISO: Geneva, Switzerland, 2009.
- AURORA Plug-Ins. Available online: https://www.aurora-plugins.com/ (accessed on 24 March 2022).
- del Solar Dorrego, F.M.; Vigeant, M.C. The just noticeable difference of early decay time (EDT). J. Acoust. Soc. Am. 2020, 148, 2772. [Google Scholar] [CrossRef]
- Martellotta, F. Understanding the acoustics of Papal Basilicas in Rome by means of a coupled-volumes approach. J. Sound Vib. 2016, 382, 413–427. [Google Scholar] [CrossRef]
- St Paul’s: Transforming Library. Available online: https://www.stpauls.co.uk/transforming-library (accessed on 10 February 2025).
- Wikimedia Commons Contributors. File: 20180629 43 St. Paul’s Cathedral.jpg. Wikipedia Commons, the Free Media Repository. 2018. Available online: https://commons.wikimedia.org/wiki/File:20180629_43_St._Paul%27s_Cathedral.jpg (accessed on 30 January 2025).
- ODEON. User Manual, Version 13.0; ODEON A/S: Lyngby, Denmark, 2016. [Google Scholar]
- Nowoświat, A. Impact of Temperature and Relative Humidity on Reverberation Time in a Reverberation Room. Buildings 2022, 12, 1282. [Google Scholar] [CrossRef]
- Benedetto, G.; Spagnolo, R. A method for correcting the reverberation times of enclosures as a function of humidity and temperature. Appl. Acoust. 1983, 16, 463–470. [Google Scholar] [CrossRef]
- Open AIR. Available online: https://www.openair.hosted.york.ac.uk/?page_id=1167 (accessed on 20 May 2025).




















| Measurement Position | Without Delay | With Delay | ||
|---|---|---|---|---|
| Average PB–Score | STI Values | Average PB–Score | STI Values | |
| 1 | 92 | 0.45–0.60 (Fair) | 99 | 0.75–1 (Excellent) |
| 2 | 93 | 0.60–0.75 (Good) | 95 | 0.75–1 (Excellent) |
| 3 | 89 | 0.60–0.75 (Good) | 92 | 0.60–0.75 (Good) |
| 4 | 85 | 0.45–0.60 (Fair) | 93 | 0.60–0.75 (Good) |
| 5 | 61 | <0.30 (Bad) | 85 | 0.45–0.60 (Fair) |
| 6 | 52 | <0.30 (Bad) | 85 | 0.45–0.60 (Fair) |
| Measurement Position | Without Delay | With Delay | ||
|---|---|---|---|---|
| Average PB–Score | STI Values | Average PB–Score | STI Values | |
| 1 | 86 | 0.45–0.60 (Fair) | 68 | 0.30–0.45 (Poor) |
| 2 | 58 | <0.30 (Bad) | 54 | <0.30 (Bad) |
| 3 | 50 | <0.30 (Bad) | 43 | <0.30 (Bad) |
| 4 | 44 | <0.30 (Bad) | 88 | 0.45–0.60 (Fair) |
| 5 | 26 | <0.30 (Bad) | 68 | 0.30–0.45 (Poor) |
| 6 | 30 | <0.30 (Bad) | 73 | 0.30–0.45 (Poor) |
| Latest Measured Positions | STI Values in 2022 | Comparable Historical Positions | STI Values in 1952 | STI Values in 1984 and 1985 |
|---|---|---|---|---|
| Cathedral Floor (DsNr) | 0.36 (Poor) | 2–3 | Good | Bad |
| Cathedral Floor (NsDr) | 0.35 (Poor) | 2–3 | Good | Bad |
| Cathedral Floor (DsDr) | 0.55 (Fair) | 5–6 | Bad | Bad |
| Cathedral Floor (CsCr) | 0.57 (Fair) | |||
| Whispering Gallery (Away) | 0.52 (Fair) | |||
| Whispering Gallery (Towards) | 0.72 (Good) | |||
| Library | 0.57 (Fair) | |||
| Geometric Staircase | 0.61 (Good) |
| RT | 63 Hz | 125 Hz | 250 Hz | 500 Hz | 1 kHz | 2 kHz | 4 kHz | 8 kHz |
|---|---|---|---|---|---|---|---|---|
| 1952 | 11.5 | 11.5 | 12 | 11.5 | 10 | 7.5 | 5 | 2.5 |
| 1984 | 11.4 | 10.7 | 11.4 | 11.2 | 9.8 | 7.1 | 3.8 | 1.4 |
| 1985 | 13.5 | 10.5 | 11.5 | 10.8 | 10.0 | 6.5 | 3.0 | 1.2 |
| 2022 | - | 8.9 | 10.5 | 10.7 | 9.3 | 7.2 | 4.4 | 2.4 |
Disclaimer/Publisher’s Note: The statements, opinions and data contained in all publications are solely those of the individual author(s) and contributor(s) and not of MDPI and/or the editor(s). MDPI and/or the editor(s) disclaim responsibility for any injury to people or property resulting from any ideas, methods, instructions or products referred to in the content. |
© 2025 by the authors. Licensee MDPI, Basel, Switzerland. This article is an open access article distributed under the terms and conditions of the Creative Commons Attribution (CC BY) license (https://creativecommons.org/licenses/by/4.0/).
Share and Cite
Foteinou, A.; Stevens, F.; Murphy, D. Revisiting the Acoustics of St Paul’s Cathedral, London. Acoustics 2025, 7, 49. https://doi.org/10.3390/acoustics7030049
Foteinou A, Stevens F, Murphy D. Revisiting the Acoustics of St Paul’s Cathedral, London. Acoustics. 2025; 7(3):49. https://doi.org/10.3390/acoustics7030049
Chicago/Turabian StyleFoteinou, Aglaia, Francis Stevens, and Damian Murphy. 2025. "Revisiting the Acoustics of St Paul’s Cathedral, London" Acoustics 7, no. 3: 49. https://doi.org/10.3390/acoustics7030049
APA StyleFoteinou, A., Stevens, F., & Murphy, D. (2025). Revisiting the Acoustics of St Paul’s Cathedral, London. Acoustics, 7(3), 49. https://doi.org/10.3390/acoustics7030049

