Next Article in Journal
Underwater Small Target Detection Method Based on the Short-Time Fourier Transform and the Improved Permutation Entropy
Previous Article in Journal
Theoretical and Experimental Assessment of Nonlinear Acoustic Effects through an Orifice
Previous Article in Special Issue
Modelling of Propagation Characteristics of Acoustic Pulse from Partial Discharge in Polymeric Insulating Materials
 
 
Font Type:
Arial Georgia Verdana
Font Size:
Aa Aa Aa
Line Spacing:
Column Width:
Background:
Article

Acoustic Emission Characteristics of Galling Behavior from Dry Scratch Tests at Slow Sliding Speed

by
Timothy M. Devenport
1,2,
Ping Lu
1,
Bernard F. Rolfe
2,
Michael P. Pereira
2 and
James M. Griffin
1,*
1
College for Clean Growth and Future Mobility, Centre for Manufacturing and Materials, Coventry University, Coventry CV1 5FB, UK
2
School of Engineering, Deakin University, Geelong, VIC 3216, Australia
*
Author to whom correspondence should be addressed.
Acoustics 2024, 6(4), 834-869; https://doi.org/10.3390/acoustics6040047
Submission received: 9 July 2024 / Revised: 29 August 2024 / Accepted: 16 September 2024 / Published: 4 October 2024

Abstract

Galling wear, a severe form of wear, is a known problem in sheet metal forming. As the wear state is not directly observable in closed tribosystems, such as in industrial sheet metal forming processes, indirect tool wear monitoring techniques for inferring the wear state of the tool from suitable signal characteristics are the subject of intense research. The analysis of acoustic emissions is a promising technique for tool condition monitoring. This research has explored feature selection using t-tests, linear regression models, and cluster analysis of the data. This analysis has been conducted both with and without the inclusion of control variables, friction, and roughness to discriminate between the behavior of the acoustic emissions during different stages of galling wear. Scratch testing at slow sliding speed (1 mm/s) has been used to produce the galling wear between a tool steel indenter and aluminum sheet at 10 N applied load, for which the acoustic emissions were recorded. The bursts of the acoustic emission signal were processed and investigated to observe how the bursts changed with increasing galling damage (increasing material removal and transfer). Novel parameters in the field of galling wear have been identified, and novel models for observing the change in galling wear have been identified, thus furthering the development of acoustic emissions analysis as a non-invasive condition monitoring system, particularly for sheet metal forming processes.

1. Introduction

Sheet metal forming (SMF) is a common manufacturing process where an external force is applied to plastically deform the sheet into the desired component shape without removing material. Galling wear is a known problem in SMF. Galling wear is a severe form of wear during which material is transferred from the sheet to the forming tool during the forming process, damaging both the tool, the sheet, and future components. According to industrial data statistics reported by Cheung et al. [1], in 60–70% of the product quality problems that arise due to systematic machining processes, tool failure causes a 20% downtime in processing, with only 38% of the tool’s lifespan being fully utilized in industrial production. Additionally, improper tool use results in an extra USD 10 billion in annual costs. An effective condition monitoring system can save up to 40% in costs by maximizing the lifespan of cutting tools and minimizing machine downtime [2].
The wear state is not directly observable in closed tribosystems such as industrial SMF processes. Consequently, indirect tool wear monitoring techniques that can determine the tool’s wear state from relevant signal characteristics are a major area of research focus. However, at present, there is no solution in industrial sheet metal stamping processes, highlighting the need for further research into industrially applicable methods [3].
Acoustic emission(s) (AE) is a promising technique for tool condition monitoring (TCM). Acoustic emissions (AE) are transient, low-amplitude, high-frequency stress, or elastic waves produced by the sudden release of strain energy [4]. The sources of AE are well-documented and include microstructural deformation processes such as plastic deformation, crack initiation and propagation, corrosion, and other forms of material failure [5].
It is known that galling wear can be observed with AE. While galling is understood to be a complex phenomenon, it is known that galling wear arises from adhesive transfer of sheet metal to the tool, which later becomes abrasive due to the buildup of transferred material.
Research has shown that galling wear progresses through three stages [6] characterized by an increasing coefficient of friction (COF). In stage 1, the COF is initially low and stable; in stage 2, it increases but remains relatively steady; and in stage 3, it rises sharply with significant fluctuations. According to Gaard et al. [7], the initial surface damage in steels results from plastic deformation and the flattening of the track. As sliding continues, a transition to the second frictional regime occurs due to a shift in wear mechanisms to abrasive scratching of the sheet surface, during which the track width becomes significantly wider. Eventually, further sliding leads to the final stage where scratching evolves into severe adhesive wear across the entire contact area.
Based on the actual wear state, detection of the most appropriate time to change/repair the tool is critically important. Replacing or maintaining the tool too early results in unnecessary machine downtime and maintenance, leading to excess costs and wasted resources. Conversely, replacing or maintaining the tool too late causes unplanned machine downtime and high scrappage rates due to excessive galling wear [8].
Therefore, there is a clear need to identify and characterize the important features of the AE signal so that the change in the wear state and transition between galling regimes can be detected without a direct measurement of the friction. This research has explored AE feature selection using t-tests, linear regression models, and cluster analysis. Importantly, the data have been examined both with and without the inclusion of the control variables, COF and roughness (Ra), to discriminate between the behavior of the AE during different stages of galling wear at the very early signs of galling wear. The AE features that are most sensitive to galling initiation are identified to allow for the development of predictive maintenance technology.
The literature establishes that selecting appropriate AE features for analysis is crucial to minimize the probability of error [9]. It is important to choose some features that depend on peak voltage (which can be affected by the researchers’ choice of AE setup, especially threshold settings) and others that are waveform-dependent and, therefore, independent of the AE setup [10]. As such, a collection of features can be broadly characterized as follows:
  • Raw signal features related to the “as-received” signal.
  • Frequency-based features as derived from the observed signal and processed with Fourier techniques/transforms, such as bandwidth and mean frequency.
  • Statistical features, including basic mean, standard deviation, and root mean square (RMS) metrics, and also higher order statistics such as kurtosis, skewness, and shape factor statistics.
  • Impulse features related to the peaks of the signal.
Naturally, as explained by Sun et al. [4], it is important to select features that are relevant and disregard others. It has long been established that an advantage of AE is that the frequency content is much higher than that of the machine noise [11], and so there has been research to quantify the changes in the frequency domain, using various techniques. These techniques include Fourier transforms, short-time Fourier transforms, wavelets, and wavelet packet transforms. However, there is some conflict in the literature over the frequency domain for galling wear, with differing authors stating that galling produces different frequency responses. Additionally, some authors argue that as galling produces a non-stationary signal, where the signal characteristics change over time, some often used time-frequency techniques, which assume that a stationary signal may be inadequate [12]. Therefore, some frequency features and techniques may be inadequate, which is why feature selection beyond/outside of frequency features is needed.
Feature selection in the use of AE to study failure modes in composites is highly advanced [9] due to the distinct failure behaviors exhibited by composites. Commonly used features include frequency, amplitude, duration, rise time, peak amplitude, energy, counts, centroid frequency, weighted peak frequency, partial power, number of hits, and counts per event, as described by Barile et al. [10,13,14,15,16,17,18]. However, only a few of these features have been applied to AE for measuring galling wear, with many studies primarily focusing on the signal’s frequency content. Ichenihi et al. [19] explored feature selection of both well established, directly measured AE features and a number of self-derived features, mostly ratios of other well-established features; they use the Laplacian score algorithm.
Unterberg et al. [8] ranked the frequency bands of AE and some other spectral features from a stamping process (fine blanking), using machine learning techniques, and they confirmed that frequency content is more important than the other spectral features. Nasir et al. [20] also explored feature selection using artificial intelligence (AI) and machine learning techniques; this work uses statistical moments, along with Shannon entropy and some more simple AE features. Guo et al. [21] studied feature selection in grinding, looking at 16 features in both the time domain and frequency domain to predict surface roughness.
To briefly summarize the literature regarding the concept of an AE “feature space”, (where the data are analyzed without the inclusion of a control variable such as measured friction), galling failure is widely reported in terms of the frequency response. For example, Su et al. [22] investigated peak frequency vs. amplitude, counts vs. rise time, count rate (ring down count) vs. rise angle, and average frequency vs. rise angle in their work. Additionally, Chai et al. [5], Karimian and Modarres [23], and Barile et al. [5,23,24] used Shannon (Information) entropy vs. amplitude; amplitude vs. rise time is used by Han [25], duration vs. amplitude is used by Yu [26], whereas energy vs. weighted peak frequency is used by Bohmann [27]. Hits vs. peak amplitude is used by Mukhopadhyay et al. [28], while hits vs. frequency is used by Boominathan et al. [29], as opposed to the hits vs. centroid frequency and duration vs. energy used by Chou et al. [30]. All these authors used different tests (not necessarily studying wear or metals).
Cluster analysis has been explored in this field. Li et al. [31] have used clustering on the skewness normalized time-frequency matrices against the variance of the normalized time-frequency matrices to discriminate between “normal” and high roughness samples of Inconel in milling applications. Rastegaev et al. [32] proposed a method for simplifying the presentation of clusters of results when wear accumulates chronologically; however, as a stochastic phenomenon (and as evidenced by this research), this may not always be applicable. Pomponi and Vinogradov [33] proposed a real-time approach to clustering the data from AE bursts in fatigue testing, with linear data, in the AE feature space (kurtosis vs. median frequency), using an adaptive sequential k-means algorithm. Van Steen and Verstrynge [34] used hierarchical clustering to correlate damage in concrete beams to peak frequency. Ichenihi et al. [19] explored the clustering in terms of both well-established and directly measured AE features as well as other derived features. Shimamoto et al. [35] employed machine learning techniques to select features and classify AE into three clusters using a k-means clustering algorithm, focusing on peak frequency, centroid frequency, and peak amplitude. By analyzing the AE features within these clusters, they attributed the degree of concrete damage to the clusters as the AE feature characteristics varied among them. Having clustered the data, Shimamoto et al. [35] identified the most important features to be rise time and centroid frequency when clarifying the compressive fracture behavior in concretes. In this work, these clusters come from the measured COF as opposed to direct damage measurement. Qiao et al. [36] studied AE to monitor the failure process of thermal barrier coatings. Cluster analysis of the signal characteristics in the frequency–amplitude parameter space revealed three distinct types of AE signals during indentation testing. These were classified into low–low, low–high, and high–high amplitude–frequency space clusters, each associated with different failure modes in the coatings.
It has been established by several authors that galling wear exhibits a linear “running in” phase during which Sindi et al. [37] show a linear increase in AE amplitude and change in duration of the AE burst, and Wang and Wood [38] showed distinct linear relationships between the RMS of the AE signal and material transferred. Early work by Tan [39] explored feature selection by comparing counts to RMS and showed that a change in counts preceded a change in RMS.
AE is not a direct measure of the quantity of damage, and so this research has explored feature selection primarily using linear regression models and cluster analysis of the AE bursts resulting from scratch tests, both with and without the inclusion of the control variables friction (the “feature space”) to discriminate between the behavior of the AE during different stages of galling wear.
This work assesses AE features not typically used in TCM but have been shown to be useful in other applications of the AE technique. The aim is to examine the usefulness of these parameters for novel wear detection and tool condition monitoring in the sheet metal forming field, therefore providing the potential for forming the basis of preventative maintenance strategies.

2. Materials and Methods

This article analyzes the acoustic emissions from scratch tests which have been previously used in our previous work [40].

2.1. Materials Used in Scratch Testing

The indenter used was a commercially available Chrome-Molybdenum high tensile steel ball bearing (AISI 4140), 10 mm in diameter, with a hardness of 207 HV [41]. The plate material was a 3 mm thick aluminum alloy, Al5083 H32, cut to dimensions of 125 mm × 210 mm. This alloy is commonly used in the automotive industry for lightweight car body components.
To simulate real-world conditions, both the plate and the indenter were tested in their “as-received” state without any additional in-house treatments or lubrication. Prior to testing, the plates were cleaned with acetone and allowed to air dry to remove any dust or contaminants. The hardness of the plates was measured at 100 HV (matching the manufacturer’s report of 89 HB) using a DuraScan Vickers tester by Struers (made by EMCO test, Kuchl, Austria) with a Vickers indenter at a 300 g load. Plate roughness measurements, taken with an Infinite Focus G5 optical profilometer by Alicona, Graz, Austria (purchased from MetOptix), are detailed in Table 1.

2.2. Scratch Test Setup

Scratch tests were performed using a Bruker TriboLab UMT machine (Billerica, MA, USA), as shown in Figure 1. The Bruker UMT TriboLab accurately measures both the indenter’s position (Z height, in mm) and the stage’s position (X, Y distance, in mm). The load cell in the Bruker UMT TriboLab records the frictional forces (N) and the applied load (N), which are then used to calculate the coefficient of friction (COF). Both positional and load measurements were recorded at a sampling rate of 1 kHz. The sample plates were secured to the TriboLab UMT stage using the four bolts illustrated, and the indenter was mounted in the indenter holder.

2.3. Scratch Test Conditions

The scratch tests were conducted using load control for the normal force. A constant 10 N normal load was applied during all tests, using a load cell with a range of 0.5 N to 50 N and a resolution of ±2.5 mN. This load produced a maximum contact pressure of 650 MPa (with a mean contact pressure of 430 MPa), which is based on Hertzian contact pressure calculations assuming elastic deformation. This contact pressure is comparable to those found in sheet metal forming and aligns with pressures reported in studies on the galling of aluminum [42,43].
During the tests, the three stages of galling were typically observed: low friction in stage 1, increasing friction in stage 2, and high friction in stage 3 (see Section 2.3 for details). The maximum scratch length achievable in a single pass was 50 mm. Consequently, scratches were applied in 50 mm increments, with tests ending at the 50 mm mark if galling stage 3 was observed (e.g., see Tests 1 and 6–10 in Table 2). If galling stage 3 was not observed in the initial 50 mm increment (scratch increment A), the test continued with the same indenter for an additional 50 mm increment (scratch increment B) and then with scratch increment C. For instance, tests involving 150 mm scratch lengths consisted of three consecutive 50 mm scratches. The only exceptions were tests 2–4, which were terminated early to inspect the indenter surface before galling stage 2 began. In total, 34 scratches were successfully conducted on the sample plates. Some of these tests were part of continued use of the same ball sample after the initial or second 50 mm increment, resulting in 22 individual ball samples, as detailed in Table 2.
The sliding speed was kept to 1 mm/s to minimize the effects of frictional heating during the test (it has been reported that sliding speed affects galling wear [44]). Most tests were stopped after severe galling was detected; however, some tests were stopped at the instant the coefficient of friction reached 0.9, so the total scratch length for each sample varied, depending on when galling occurred. Owing to the stochastic nature of galling initiation and progression, the total sliding distance for each test varied from 24 mm up to 150 mm.

2.4. Mechanical/Scratch Data Processing

The coefficient of friction (COF) was recorded continuously throughout the scratch tests. MATLAB 2020a software was used to differentiate the three stages of galling, as shown in Figure 2. The transition between stage 1 and stage 2 was identified using MATLAB’s “ischange” function on the smoothed COF data. This function detected the point of greatest positive gradient change in the COF before it exceeded 0.5, which was considered the midpoint of stage 2 based on observations of all tests. The transition from stage 2 to stage 3 was determined by the first instance where the COF exceeded 0.9, a criterion developed from comprehensive analysis of the test data and galling observations. If the transition to stage 3 occurred very close to the end of the test (i.e., after more than 95% of the test was completed), this phase was excluded from the analysis, and the test was classified as having only stages 1 and 2 (e.g., see test 14 in Table 2). Similarly, if the transition to stage 2 occurred near the end of the scratch, the test was categorized as exhibiting only stage 1.

2.5. Profilometry/Surface Characterisation

Immediately after each scratch increment, the indenters were measured using an Alicona InfiniteFocus optical profilometer (Alicona, Graz, Austria) without any additional cleaning. The profilometer settings included a 5× objective magnification, a vertical resolution of 1.4 µm, a scan area of 23 × 10 mm, and a lateral measurement range of 0.16 mm. The sample plates were later measured after all scratches were completed, also without additional cleaning, using a 10× objective magnification, a vertical resolution of 1.4 µm, and a scan area of 1 × 55 mm.
Optical profilometry was employed to visually inspect the scratch morphology on the sheet material and to assess material buildup and lump growth on the tool. The longitudinal cross-section profile of the scratch was measured within the scratch width (measurement width = 0.1 mm, as shown in Figure 3) and across the lump growth on the indenter. To analyze the lump growth on the indenter, the form removal tool in the Alicona software (IF Measurement Suite v5.3.2) was used. This “flattening” of the scanned surface facilitated easier comparison between indenter surfaces, measurement of the volume of adhered material, and a better understanding of the evolution of galling.

2.6. AE Acquisition and Processing

2.6.1. AE Data Acquisition

AE signals were recorded using a Vallens AE system equipped with LabVIEW data acquisition hardware. The AE sensors were linked to the data acquisition system (National Instruments, model PXIe-1078, Austin, TX, USA) via a high-speed digitizer (National Instruments, model DCPL2) and an amplifier (Vallen Systeme, model AEP3N, Icking, Germany) with a gain of 40 dB. The Vallens AE sensors F15a (Sensor 1) and R15a (Sensor 2) were used, each with a frequency response detailed in their product data sheets. Both sensors are of the dimensions 22.4 mm height with a diameter of 19 mm; they weigh 34 g and were clamped with similar force.

2.6.2. AE from Scratch Tests

Each sensor was attached to either end of the sample plates using screw clamps, Figure 4. To ensure optimal transmission of the AE signal to the sensor, a small amount of ultrasonic couplant was applied to the sample plate, just enough to cover the sensor face, before the sensors were attached to the sample. Excess fluid was not cleaned off to prevent disturbing the sensor setup.
Hsu-Nielsen pencil lead break tests were conducted on the sample plates to verify the proper mounting of the AE sensors and to assess the background noise. This test involves breaking a 0.5 mm diameter 2H pencil lead against the sample plate. The brittle fracture against the plate induces an AE burst, which was recorded by the system. At the start of each scratch test, this pencil lead break was performed three times in different positions across the sample plate (near one sensor, approximately in the center of the sample, and near the other sensor), and so three bursts are seen in Figure 5. Each pencil lead break was evaluated to ensure a sufficiently large amplitude, confirming that the impact of background noise on the AE sensor was minimal. If a sufficiently large amplitude was not observed, the AE sensor was removed and reapplied with fresh couplant, and the pencil lead break was repeated to ensure the sensors were working properly.
Continuous AE data were recorded across the duration of the scratch tests at a sampling frequency of 5 MHz, which is well above the Nyquist frequency; an example is shown below in Figure 6. This figure shows that the recorded AE signal is continuous with frequent bursts throughout the test, and the friction response of this scratch test is given in Figure 7. Due to the large file sizes, AE data acquisition was paused at the end of each test to ensure that the data could be recorded properly. The AE data were processed post-test, as described in the following subsections.
Characteristics of individual AE bursts were analyzed in relation to the COF and Ra at the specific location where the burst was detected to observe how the bursts changed with worsening damage. Numerous authors have previously investigated burst characteristics [45].
By manual inspection of the recorded signals, the background noise was determined to be approximately 7 mV, and there was significant activity greater than 27.5 mV. A script was written in the MATLAB software package to extract each of the bursts that occurred in the recorded signal, as illustrated for an example burst in Figure 8. At each time where a burst was detected, a “hard” window was formed by adding on sometime before and after the burst time. The signal during this hard window was enveloped (using MATLAB’s envelope feature) to find the burst within the hard window by finding when the smoothed signal envelope exceeded 7 mV. The features for that burst were then calculated.
As the onset of galling has been studied in this research, this often produced relatively low amplitude bursts near the noise level; wavelet denoising was employed to enhance the analysis of the AE signal by reducing the noise level. For each burst, 3 control variables were measured and 26 AE signal features were calculated from the raw AE signal, as given in Table 3 along with the relevant equations. These were the times the burst occurred during the test (referred to as “burst time”, not to be confused with “duration”, which is the length of time in which the measured AE remained above the noise threshold); the COF at the nearest time to peak time, as measured by the Tribolab UMT; and the Ra over the burst, measured over 0.5 mm with the center of that 0.5 mm corresponding to the point closest the peak time.
Once the data for each burst were found, individual features were processed with t-tests, linear regression models, and clustering score algorithms to find candidate parameter(s) that best correlate with progressing galling wear, as measured by either COF or Ra. Building on the conclusions presented previously [40], the clustering algorithms were programmed to find 3 clusters to reflect the differing stages of wear, corresponding to “not galling” (COF ≤ 0.3), “transitioning galling” (0.3 < COF < 0.9), and “galling occurring” (COF ≥ 0.9).

2.6.3. t-Tests, k-Means Clustering, and Linear Regression Modeling

When analyzing the data, the MATLAB software packages built-in t-test function (ttest2) was used to conduct the t-tests of the data against the control variables, COF and Ra, as well in the AE domain, without the inclusion of these variables. Initially, t-tests were used to check for statistical significance in the data between each stage of galling wear (when classified against the control variables).
For the cluster analysis, the k-means algorithm was applied using MATLAB’s built-in “kmeans” function to find the intra-cluster and inter-cluster distances for each of the three known COF groups to calculate the cluster score (the ratio of the mean of these distances) for each combination of the AE features in two-dimensional (2D) and three-dimensional (3D) space. K-means clustering is a widely used unsupervised machine learning algorithm that partitions a dataset into clusters based on the similarity of data points. The goal is to group similar data points together while separating those that are dissimilar. The algorithm seeks to minimize the sum of squared distances between data points and their assigned centroids, known as the within-cluster sum of squares (WCSS). This process produces clusters where the data points within each cluster are more similar to each other than to those in other clusters.
To have a quantitative measure of how well the data had clustered for a given combination of variables, the clustering score was calculated. The clustering score is the ratio of the mean of intra-cluster distances (the mean Euclidean distances from each point to the respective cluster centroid) to the mean inter-cluster (centroid) distances.
As an alternative to cluster analysis, linear regression models were used to examine trends that may arise in the data; in particular, linear trends are unsuitable for the k-means clustering algorithm, which assumes spherical distribution. For the linear regression models, MATLAB’s built-in “fit linear model (fitlm)” function was used. A suitable model was chosen such that the r2 for the overall model was greater than 0.75 and the model’s p-value was less than 0.05. These features ensure that the linear model is a good fit for the data and that there is a significant relationship between the two features. Significant outliers were removed from the burst data, using MATLAB’s built-in function “rmoutliers” to remove data from the top and bottom 5 percentiles (i.e., the 6th to the 95th percentile inclusive were kept) such that the linear regression models were not skewed by significant outliers.
Given some features are non-linear, the natural logarithm of each variable was also calculated to fix this issue, doubling the number of features investigated. The models were checked for a significant relationship between x and x2 to confirm if the model was non-linear. If the model was significantly non-linear, it was excluded from the results.
Linear regression models of the data in the AE domain have been used to discriminate between the behavior of the AE during different stages of galling wear without directly measuring the control variables and using just the AE features.
Given the large number of combinations, the r2 value for each model was used to discriminate good models from bad models. Only models with an r2 value greater than 0.75 but less than 1 (to filter out the “perfect” comparisons of a variable versus itself) were investigated. Moreover, only models with a significantly different gradient to the transition region were investigated. Subsequently, the models fitted to each stage for each pair of features were compared for statistical significance, using the p-value from the f-test on the model.

3. Results

The results are presented with the raw data first to show the relationship between the burst and the corresponding instantaneous COF and Ra values (Section 3.1). Then, the t-tests vs. wear stage (Section 3.2) and cluster analysis of the AE features in 2D and 3D space are presented (Section 3.3). Finally, the results of the linear regression models of the AE features are plotted against the control variables, followed by an analysis of the 2D plots of the AE features plotted against the other AE features (Section 3.4).

3.1. Raw Data, Correlation of Time, COF, and Ra

This work investigates how the AE bursts correlate with these control variables, both directly and indirectly. Therefore, it is important to confirm how these control variables correlate with the timing of the bursts (see Figure 9A,B) and ensure the same relationship between these features is present to establish confidence in the data (see Figure 10).

3.2. t-Tests of AE Features in Relation to the Control Variables

Table 4 shows whether there was a statistical significance in the data between each stage of galling wear (measured by COF) using t-tests on the control variables and the AE features. As expected, the control variables are statistically significant in each stage, confirming that the boundaries between each wear stage are set correctly. Table 4 shows that the t-tests for Sensor 2 (R15a) have a different frequency response to Sensor 1 (F15a). As with Sensor 1, the control variables are significant between each stage.
For Sensor 1, in terms of the AE features, counts and log bandwidth show a difference between each stage and are the only features to do so. The following features all show a significant difference between stage 1 and stage 2, as well as stage 1 and stage 3, but do not discern a difference between stage 2 and stage 3: duration, peak2rms (crest factor) (and log peak2rms (crest factor)), mean frequency (and log mean frequency) and bandwidth, rise time (and log rise time), decay time (and log decay time), decay angle (and log decay angle), signal to noise ratio, log Shannon entropy, log (root sum of squares), log counts, and log energy.
Conversely, with Sensor 1, count rate and log count rate are the only features for Sensor 1 to discern a difference between stages 1 and 3 and stages 2 and 3, but not 1 and 2. Log skewness is the only parameter to indicate a difference between stage 1 and stage 2, but it does not indicate any other significant change. Moreover, skewness itself is the only parameter to find a difference between stage 2 and stage 3, but no other stage. Log rms, log shape factor, log impulse factor, log maximum (peak) amplitude, log clearance factor, log power, log root amplitude, and log margin all show a difference only between stage 1 and stage 3.
Notably, for Sensor 1, widely reported features such as RMS and Shannon entropy do not show a difference between any stage when processing the data in this way.
For Sensor 2, there are numerous features that do not show any statistically significant changes between any stage, and none show a difference between stage 1 and stage 2. Nevertheless, decay time and duration show a significant difference between stages 1 and 3 and stages 2 and 3, respectively, but not stage 1 and stage 2. Rise time finds a difference between stage 2 and stage 3 but no other stage. Log RMS, log Shannon entropy, log (root sum of squares), log maximum (peak) amplitude, log clearance factor, log rise time, log power, log energy and log margin all show a difference between stage 1 (unworn) and stage 3 (worn).

3.3. Cluster Analysis of the AE Features

Cluster analysis of the AE features has been conducted in both 2D and 3D space, using clustering scores to measure the separation between the low, medium, and high friction groups (i.e., stages 1, 2, and 3 of galling).
In the 2D AE space, there are 2704 possible combinations of AE features, whereas in 3D space, there are 140608 possible combinations of features. In this research, we are searching for the combinations with the lowest clustering score and highest separation. A low clustering score represents high cohesion (low intra-cluster distances), which is measured as the mean distance from each point in the cluster to the centroid. On the other hand, high separation (high inter-cluster distances) is measured as distances between the three centroids. Histograms of the clustering score have been employed to summarize the data, and subsequently, combinations of good features have been investigated/reported.

3.3.1. Cluster Analysis with COF

Table A1 (located in Appendix A) gives the clustering scores for each of the features investigated when calculated with friction. This is a ranking of how good each parameter is for discriminating the AE features from bursts arising from different wear states. It is evident that there are no good scores for either sensor when discriminating stage 2 wear from stage 3 wear. However, for both sensors, rise time, power, and average signal level are among the features with the lowest clustering score, along with decay time and duration.

3.3.2. Cluster Analysis of AE in 2D

As with the linear modeling, the separation of the different groups was investigated using only pairs of AE features. Figure 11 shows that clustering in 2D does not find any difference between stage 1 and stage 2, or stage 2 and stage 3, for either sensor. However, it is evident that stage 1 and stage 3 are separable using Sensor 1 but not with Sensor 2. An example of the data is shown in Figure 12, where there is a clear visible difference between stage 1 and stage 3; however, stage 2 overlaps both other stages.
Table A2 left (Appendix A) gives the non-trivial combinations of features that have a clustering score of less than 0.5 for separating the low and high COF groups.

3.3.3. Cluster Analysis of AE in 3D

Separation of the different groups was looked for using triplets (x, y, z) of AE features. An example of 3D clustering is given in Figure 13. Figure 14 shows that only Sensor 1 had any clusters with good separation, less than 0.3, between low friction and high friction, while Sensor 2 did not exhibit suitable clustering.
Focusing on the combination of features that have a clustering score of less than 0.3 (Table A2 right, in Appendix A) for separating the low and high COF groups. There are various combinations of duration, bandwidth, mean frequency, average signal level, rise time, decay time, power, log rise angle, log decay angle, RMS, and root amplitude, which show a clustering score of less than 0.3.

3.4. Linear Regression Analysis of the AE Features

Linear regression analysis of the AE features has been conducted to predict both the COF and Ra. In 2D AE feature space, observations of the change in gradients of the models have been used to measure the separation between the low, medium, and high friction groups.
In the 2D AE feature space, there are 2704 possible combinations of AE features. Therefore, in this research, we search for the combinations with the greatest angle change (i.e., difference) between the gradients of each model while still being a valid model. As such, any model with an r2 value less than 0.75 was dismissed as a poor fit, along with any model that did not exhibit a statistically significant (p-value > 0.05) change between galling stages.

3.4.1. Linear Regression Models of AE for Predicting COF and Ra

The individual features were inputted into linear models to predict the COF and Ra. As the COF has been normalized with a center 0 and standard deviation 1 as well as the AE Variable, hence it runs outside of the range 0 to 1. The features which showed the greatest angle changes between each stage are given in Table 5, Table 6 and Table 7, respectively. An example model is given in Figure 15, and the other models are given in Appendix B.
Only the mean frequency and the logarithm mean frequency (Sensor 1), bandwidth, and log bandwidth (Sensor 2) show a clear and significant change between any galling stage. Interestingly, the data for Sensor 1 are only significant for a change from stage 2 to stage 3, while Sensor 2 is only significant for a change from stage 1 to stage 2, as seen by the rest of the models in Appendix B.
The sensors were positioned symmetrically about the center axis of the sample plate, with a comparable load on the sensor (to ensure good contact with the sensor surface) and a comparable amount of transmission fluid, and the scratch direction was perpendicular to the axis between them, so it is interesting that the analysis highlights different features are more suitable for different sensors. This is assumed to be due to the different frequency responses of the two sensors.
There were no models with a good r2 when compared to the roughness for either sensor, so these results are not provided.

3.4.2. Linear Regression Models of AE Features in AE Space

Having identified that individual features may not be sufficiently sensitive to detect the onset of galling wear, linear models of the AE features were applied to find separation without controls (as it may be difficult to measure controls in a closed tribosystem). Given the large number of possible combinations, the r2 value for each model was used to discriminate good models from bad models. Only models with an r2 value greater than 0.75 but less than 1 (to filter out the “perfect” comparisons of a variable versus itself), where each parameter in the model was determined to be statistically significant, were investigated. All the models that passed this filtering had an r2 value of approximately 0.85.
Once again, by looking at the angle change between the linear models for each stage, we see that it is possible to determine which features are most sensitive to galling wear. For both sensors, Table 8, Table 9 and Table 10 give the angles and r2 values for each combination of features, which exhibit a statistically significant change in behavior between stage 1 and stage 2, stage 2 to stage 3, and stage 1 to stage 3 (for completeness), respectively. Note that these tables show all the linear models that produced a good fit for the data with significant changes in the data.
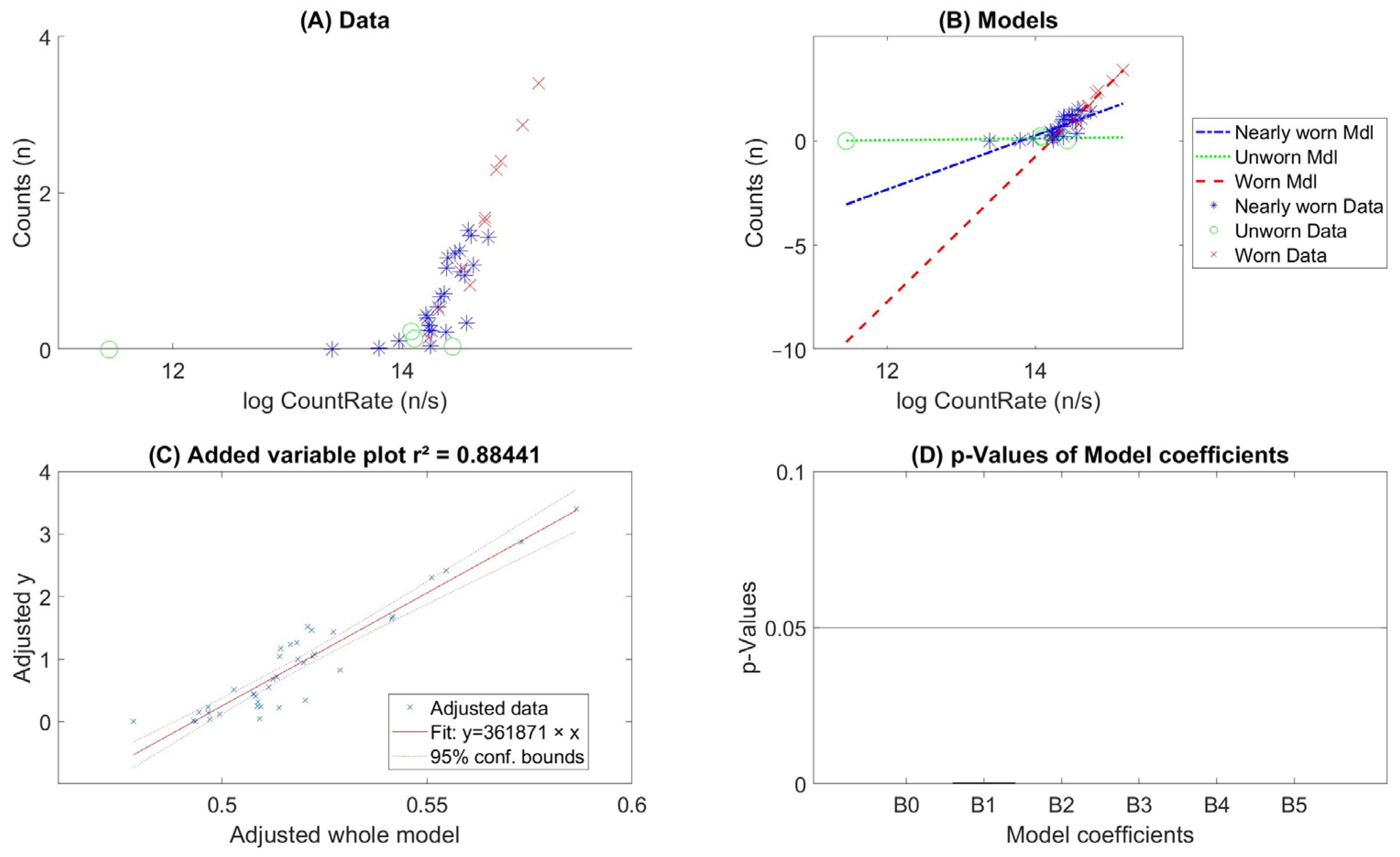
Figure 16 shows an example of log count rate vs counts, with a statistically significant change in models for each stage of galling wear.

4. Discussion

During sliding friction, the AE signal is continuous. This makes it challenging to detect damage early. So, this research focused on the trends of the AE bursts and how these trends differ as the wear/damage progresses and the damage mechanism changes. Previous work has shown that wear can be characterized by the changes in peaks and troughs in the surface profile of the wear scar [40]. It is known that AE is released at the instant of fracture. The question, therefore, is whether the properties of the burst change predictably with increasing wear.
It is understood that various AE sources produce distinct AE signals, each indicative of different material failure modes. Thus, analyzing the fundamental features of the AE signal allows for the identification of the characteristics of the AE sources and an understanding of how those sources are changing.
To investigate how the characteristics of the AE burst changed with progressing galling wear, this research explored linear modeling and cluster analysis to characterize a change in the behavior of the AE signal in scratch testing. AE features not typically used in wear detection but used in other applications of AE were investigated to search for superior features for identifying the change in galling wear regime.
Figure 9A shows the relationship between COF and the time the burst occurred, while Figure 9B shows the relationship between Ra and the time the burst occurred. The stochastic nature is evident as there are several times in which a range of COF and Ra measurements were observed. For example, a burst detected at 20 s could either be low or high friction and exhibit a range of Ra values.
Figure 10 shows the relationship between COF and Ra, measured instantaneously by the load cell during the test and wear scar roughness observed post-test. There is a generally increasing trend as expected; however, there is a clear region of AE bursts that correspond to high COF but low Ra. This is attributed to the material transferred to the indenter causing the friction to increase, which was then not present when the roughness of the wear scar was observed post-test. Nevertheless, the scratch test segments have been split into three categories, and the AE from each of these were examined to search for the most sensitive features to changing galling wear. The stages identified were as follows: “Stage 1”, where the COF remains below a threshold of 0.32; “Stage 3”, where the COF exceeds 0.9; and “Stage 2”, where the COF increases from 0.32 to 0.9. These data were utilized to differentiate the three stages in the observed scratch morphology.
The AE has been characterized and investigated via the evolution of numerous features. Twenty-six features and the natural logarithms (which were included to assure linear relationships for the linear regression modeling) of these features were investigated (52 total), including raw signal features, frequency-based features, statistical features, and impulse features. t-tests and linear regression models were used to evaluate the performance of the AE features versus the control variables for an inherent discrimination between control variables. Subsequently, cluster analysis and linear regression models were used to investigate the AE features for visually significant trends, such as those shown by Pomponi and Vinogradov [33], and changes in behavior in the AE domain without a direct measurement of the control variables.
The ability to detect the transition between each stage is important as these transitions reflect key moments in the progression of wear on the tool—notably the onset of galling and transition to severe galling wear—for developing predictive/preventative maintenance strategies. It is expected from the literature that some features change with time. However, for stochastic phenomena, a simple comparison of how the features change with time is often insufficient to predict when a change in regime is imminent.

4.1. t-Tests

The data analysis highlights that Sensor 1 (F15a) detected fewer bursts in the low COF range compared to Sensor 2 (R15a). This discrepancy is attributed to their differing frequency responses, with Sensor 2 being designed for factory and process monitoring, while Sensor 1 is typically used for structural health monitoring of large structures.
t-tests on AE features revealed that only counts and log bandwidth show differences across all stages, with counts commonly reported in wear detection literature for sheet metal forming and log bandwidth being a novel application. Counts indicate changes in signal activity, whereas bandwidth indicates changes in frequency content. Other features, such as duration, peak to RMS ratio, mean frequency, rise time, and decay time, show significant differences between stages 1 and 2 and between stages 1 and 3, but not between stages 2 and 3.
Conversely, the count rate and log count rate for Sensor 1 only showed differences between stages 1 and 3 and stages 2 and 3, but not between stages 1 and 2. This suggests an increase in AE activity indicating wear but does not predict the onset of wear. Log skewness and skewness showed stage-specific differences, indicating changes in burst shape. Features such as log RMS, log shape factor, and log impulse factor showed differences only between stages 1 and 3, indicating a change from no wear to wear, but they do not serve as predictors for wear initiation.
For Sensor 2, many features did not show significant changes between stages, with decay time and duration showing differences between stages 1 and 3 and stages 2 and 3, respectively, and rise time showing a difference between stages 2 and 3. This implies that the burst time and shape of the AE signal change with progressing galling wear. The t-tests serve as a one-dimensional clustering algorithm to test for significant differences between data arrays, suggesting that incorporating additional variables and cluster analysis would be a logical next step.

4.2. Cluster Analysis

An investigation of how the data clusters with the control variables revealed that there are no good scores for either sensor when discriminating stage 2 wear from stage 3 wear. This means the AE responses from stage 2 (nearly worn) to stage 3 (worn) are very similar and cannot be separated with this technique. Confirming this similarity between stage 2 and stage 3, the clustering often gave similar scores for discerning stage 1 to stage 2, as compared to stage 1 to stage 3.
However, for both sensors, rise time, power, and average signal level are among the features with the lowest clustering score, along with decay time and duration. The implication is that as the wear progresses, there is a greater buildup of strain energy within the material. When suddenly released at fracture, the additional strain energy affects the shape of the AE burst. This confirms our previous result [40], which investigated the series of peaks and troughs of the wear scar and showed the magnitude of these peaks and troughs increased as wear increased.
Following the works of Qiao et al. [36], k-means clustering in the AE parameter space was employed to search for inherent segregation in the data due to the evolution of galling wear. However, there were no good correlations between any stage other than stages 1 to 3 in either two or three dimensions (features). While this shows there is a change in the AE once wear has started, as shown by other authors, it does not serve as a useful prediction method for when galling is imminent with this application.
By observation of the data, it is evident that the issue is due to two factors:
  • Firstly, the data distribution is not necessarily circular/spherical, and so the k-means algorithm is sub-optimal for the analysis of these data.
  • Secondly, the transition zone is quite wide, and so there is a significant overlap between stages 1 and 2 and stages 2 and 3.
With this knowledge, it may be constructive to conduct the analysis with more complex clustering algorithms, such as density-based scan (DB scan), as used by [46], or hierarchical clustering algorithms as used by [34].
However, the clustering analysis does highlight the following features, which should be investigated in wear detection in sheet metal forming:
  • From 2D clustering: duration, RMS, mean frequency (log mean frequency), bandwidth (log bandwidth), skewness, average signal level, maximum amplitude, rise time (log rise time), decay time, power, root amplitude, RA value, log rise angle, log decay angle.
  • From 3D clustering: duration, RMS, mean frequency, bandwidth, average signal level, rise time, decay time, power, root amplitude, RA value, log rise angle, log decay angle.
This shows that the clustering is not improved by higher dimensions. Additionally, the same features, indicative of changes in the shape of the burst and the frequency content, are the features most useful for predicting changes in the galling wear regime.
Given that some of the poor clustering scores can be explained by the non-spherical (linear) nature of the distribution of the data, it seems natural to investigate the behavior of the data and the galling wear using linear regression models. As mentioned previously, there are a limited number of papers that have investigated the use of linear modeling for predicting galling wear. However, this is becoming a topic of increasing interest due to advances in machine learning and the desire for predictive maintenance strategies.

4.3. Linear Modeling

Linear modeling showed that only mean frequency and bandwidth (both frequency-based features; hence, after normalization, the models are very similar) were good for detecting a change in the galling regime when the model is predicting the COF. These models are all similar, with a p-value that is both significant and approaching significance for the changes between each stage. For sheet metal stamping, Shanbhag et al. [16,17] showed that mean frequency can be used to observe galling wear. However, bandwidth is novel in this application of AE. Interestingly, mean frequency is shown as an insignificant AE parameter between wear stages by the t-test analysis.
The linear modeling did not find any good models for any AE parameter against Ra, with the r2 value remaining relatively low (approximately 0.5, which is below acceptable standards of 0.7). This is indicative of the experimental difficulties of synchronizing the roughness measurements to the AE burst to the level of precision required. The roughness measurements are determined post-test (by observation of the start and end of the wear scar of the scratch), whereas the COF can be synchronized to the accuracy of the two systems. Therefore, it is clear in the COF data and AE data when the tests started, but not as clear when inspecting the scratch in the profilometer post-test. The r2 value is sub-optimal (approximately 0.5) as there is a general increase in roughness with increasing wear, so there is still some correlation.
Linear modeling has not been used in this manner in the literature, except for a small number of research articles. However, authors such as Sindi et al. [37] report a linear increase in the amplitude of the raw AE signal with the progression of galling wear. Sindi at al. [37] also showed that the amplitude and duration of an AE burst change with increasing wear. In this work, we sought to further develop this understanding by exploring more features to describe the shape of the AE bursts (such as rise angle and rise time) and how these bursts change with increasing wear.
It has been established that an increase in COF and roughness is a clear sign of galling wear, as it is indicative of transferred material. However, as directly measuring the friction and roughness is inherently difficult in real-world industrial applications (such as sheet metal forming processed), it is important to develop methods to infer these control variables from the observed AE without this direct measurement.
Using the friction and roughness data from the previous subsection to classify the data into low, medium, and high friction responses, linear regression models only found 10 models (pairs of features) that made a suitable model for Sensor 1. For Sensor 2, only five models were identified as suitable—see Table 8, Table 9 and Table 10.
It is noticeable that the angle differences between each stage are much smaller for Sensor 2 than for Sensor 1. Additionally, it is interesting to note that different features showed good behavior for the linear modeling and clustering analysis for the different sensors. The sensors were positioned symmetrically about the center axis of the sample plate in the same way (i.e., comparable clamping load and couplant used on each sensor), and the scratch direction was perpendicular to the axis between them. Therefore, this analysis highlights that different features are more suitable for different sensors, likely due to the different frequency responses of the two sensors.
It is known that AE is a release of strain energy at the instant of fracture. The features identified are perhaps indicative of a change in the release mechanisms of the built-up strain energy, reflecting a change in the damage mechanism taking place. For example, for an increase in rise angle and decay angle between two bursts, more energy must be released in a similar duration period as compared to the previous, which would not be revealed by amplitude or duration as individual features. As established in our previous work [40], the morphology of the scratch changed as the wear progressed, with an increase in size and frequency of peaks and troughs forming in the wear scar as well as an increase in material transferred to the tool. Therefore, this change in the behavior of the bursts is attributed to a change in the damage occurring in the wear scar. While the change in damage is related to this material pairing, it is expected that this damage would be seen for other aluminum alloy/steel tool tribopairs.

5. Conclusions

This research has explored the feature selection of AE characteristics of galling behavior from dry sliding scratch tests at slow sliding speeds. The research used linear regression modeling and cluster analysis of the AE bursts to search for the characteristic traits of the AE bursts during different stages of galling wear.
  • t-tests vs. the control variables identified that counts and log bandwidth show a statistically significant difference between each stage. Log bandwidth is novel in this application.
  • t-tests suggest other novel features are suitable for galling wear detection. These are peak to rms ratio, (crest factor), rise time, decay time, decay angle, signal to noise ratio, and log Shannon entropy.
  • Cluster analysis of the AE features using the k-means algorithm was not suitable to detect the “stage 2” galling regime, particularly where the data are non-spherical/ highly linear, which is why linear modeling was also used. However, cluster analysis identifies features that identify that the shape of the burst changes as the wear progresses from stage 1 to stage 3, which is indicative of a transition between ductile and brittle fracture in the contact. These are duration, RMS, mean frequency (log mean frequency), average signal level, maximum amplitude, and power. Additional novel features are bandwidth (log bandwidth), skewness, rise time (log rise time), decay time, root amplitude, RA value, log rise angle, and log decay angle.
  • Linear regression modeling of the AE features identified only mean frequency and bandwidth as individual features that may show a change in the galling wear stage. In this case, mean frequency and bandwidth can be used to predict COF.
  • While the previous analysis in this article showed the features that reflect a change in the shape of the burst, linear regression modeling did not rely on such features; rather, they relied on raw signals and impulse features.
This work adds to the knowledge in the field by identifying AE features not currently used in the field of wear detection in sheet metal forming and confirms their viability. Further work could aim to develop a more detailed predictive model, drawing on a combination of the recommended features.

Author Contributions

T.M.D.: conceptualization, experiments, data collection, formal analysis, and draft writing, project administration. P.L.: supervision, review, and proofreading. M.P.P.: conceptualization, experimental design, supervision, review and editing of writing, project administration. J.M.G.: supervision, review, and proofreading. B.F.R.: supervision, review, and proofreading. All authors have read and agreed to the published version of the manuscript.

Funding

This research received no external funding.

Data Availability Statement

The data presented in this study are available on request from the corresponding author. The data are not publicly available due to ongoing research.

Conflicts of Interest

The authors declare no conflicts of interest.

Appendix A. Clustering Scores of Acoustic Emissions from Scratch Testing at Slow Sliding Speeds

Table A1. AE features clustering vs. friction.
Table A1. AE features clustering vs. friction.
Sensor 1Sensor 2
Stage 1 to stage 2Stage 2 to stage 3Stage 1 to stage 3Stage 1 to stage 2Stage 2 to stage 3Stage 1 to stage 3
VariableScoreVariableScoreVariableScoreVariableScoreVariableScoreVariableScore
Power0.09628NoRise time0.01302Rise time0.18143NoRise time0.00879
Rise time0.09628GoodAverage signal level0.01302Power0.18143GoodAverage signal level0.00880
Average signal level0.09628ScoresPower0.01303Average signal level0.18144ScoresPower0.00880
Decay time0.09631 Decay time0.01304Decay time0.18146 Decay time0.00881
Duration0.09632 Log rise angle0.01304Duration0.18146 Duration0.00882
Log rise angle0.09641 Duration0.01305Log rise angle0.18155 Log rise angle0.00882
RMS0.09642 RA value0.01308RA value0.18171 RA value0.00886
RA value0.09659 Log decay angle0.01382RMS0.18202 Log decay angle0.00969
Root amplitude0.09769 RMS0.01467Log decay angle0.18299 Mean frequency0.00987
Log decay angle0.09827 Mean frequency0.01708Root amplitude0.18411 RMS0.00995
Mean frequency0.10191 Root amplitude0.01734Mean frequency0.18517 Root amplitude0.01164
Maximum amplitude0.10604 Skewness0.03901Maximum amplitude0.22622 Log mean frequency0.03760
Skewness0.12057 Bandwidth0.08890Log mean frequency0.28831 Skewness0.04942
Log Mean frequency0.22085 Log mean frequency0.10015Skewness0.29443 Maximum amplitude0.07512
Bandwidth0.30447 Maximum amplitude0.10949Bandwidth0.48106 Bandwidth0.13697
Log root amplitude0.40979 Log bandwidth0.16527 Rise angle0.22546
Log bandwidth0.42576 Rise angle0.20066 Log root amplitude0.29489
Log root amplitude0.31620 Log bandwidth0.36628
Log peak to rms ratio0.34169 Log count rate0.42610
Log kurtosis0.37730 Log peak to rms ratio0.43917
Log rise time0.45406
Table A2. Two-dimensional and three-dimensional clustering results for the AE from scratch tests. Only Sensor 1, 1–3 showed any good scores.
Table A2. Two-dimensional and three-dimensional clustering results for the AE from scratch tests. Only Sensor 1, 1–3 showed any good scores.
Sensor 1
2 Dimensions3 Dimensions
Variable 1Variable 2Clustering ScoreVariable 1Variable 2Variable 3Clustering Score
BandwidthRise time0.28608BandwidthAverage signal levelRise time0.28608
BandwidthAverage signal level0.28608DurationBandwidthRise time0.2861
DurationBandwidth0.2861DurationBandwidthAverage signal level0.28611
BandwidthDecay time0.28611BandwidthRise timeDecay time0.28611
BandwidthPower0.28611BandwidthRise timePower0.28611
BandwidthLog rise angle0.28613BandwidthAverage signal levelDecay time0.28611
BandwidthRA value0.28622BandwidthAverage signal levelPower0.28611
BandwidthLog decay angle0.28795DurationDurationBandwidth0.28613
RMSBandwidth0.28981DurationBandwidthDecay time0.28613
BandwidthRoot amplitude0.29492BandwidthRise timeLog rise angle0.28613
Mean frequencyBandwidth0.29606DurationBandwidthPower0.28614
Rise timeLog bandwidth0.34677BandwidthAverage signal levelLog rise angle0.28614
Average signal levelLog bandwidth0.34677BandwidthDecay timePower0.28614
DurationLog bandwidth0.34678DurationBandwidthLog rise angle0.28616
Decay timeLog bandwidth0.34678BandwidthDecay timeLog rise angle0.28616
PowerLog bandwidth0.34678BandwidthPowerLog rise angle0.28617
Log bandwidthLog rise angle0.34679BandwidthRise timeRA value0.28622
RA valueLog bandwidth0.34683BandwidthAverage signal levelRA value0.28622
Log bandwidthLog decay angle0.3476DurationBandwidthRA value0.28625
RMSLog bandwidth0.34843BandwidthDecay timeRA value0.28625
Root amplitudeLog bandwidth0.35061BandwidthPowerRA value0.28625
BandwidthSkewness0.35117BandwidthRA valueLog rise angle0.28628
Mean frequencyLog bandwidth0.3513BandwidthRise timeLog decay angle0.28795
SkewnessLog bandwidth0.37654BandwidthAverage signal levelLog decay angle0.28795
Maximum amplitudeLog bandwidth0.44207DurationBandwidthLog decay angle0.28798
Log mean frequencyLog bandwidth0.44416BandwidthDecay timeLog decay angle0.28798
DurationRise time0.4777BandwidthPowerLog decay angle0.28798
BandwidthMaximum amplitude0.48788BandwidthLog rise angleLog decay angle0.28801
DurationAverage signal level0.48953BandwidthRA valueLog decay angle0.28809
Log bandwidthLog rise time0.49001RMSBandwidthRise time0.28981
BandwidthLog rise time0.49448RMSBandwidthAverage signal level0.28982
BandwidthLog mean frequency0.4962DurationRMSBandwidth0.28984
---------RMSBandwidthDecay time0.28984
---------RMSBandwidthPower0.28985
---------RMSBandwidthLog rise angle0.28987
---------RMSBandwidthRA value0.28996
---------RMSBandwidthLog decay angle0.29168
---------BandwidthRise timeRoot amplitude0.29492
---------BandwidthAverage signal levelRoot amplitude0.29492
---------DurationBandwidthRoot amplitude0.29495
---------BandwidthDecay timeRoot amplitude0.29495
---------BandwidthPowerRoot amplitude0.29495
---------BandwidthRoot amplitudeLog rise angle0.29498
---------BandwidthRoot amplitudeRA value0.29506
---------Mean frequencyBandwidthRise time0.29606
---------Mean frequencyBandwidthAverage signal level0.29606
---------DurationMean frequencyBandwidth0.29609
---------Mean frequencyBandwidthDecay time0.29609
---------Mean frequencyBandwidthPower0.29609
---------Mean frequencyBandwidthLog rise angle0.29612
---------Mean frequencyBandwidthRA value0.2962
---------BandwidthRoot amplitudeLog decay angle0.29677
---------Mean frequencyBandwidthLog decay angle0.29792
---------RMSBandwidthRoot amplitude0.29861
---------RMSMean frequencyBandwidth0.29977

Appendix B. Linear Models of Acoustic Emissions from Scratch Testing at Slow Sliding Speeds

For each figure, note the following:
  • (A) Raw data.
  • (B) Raw data with models fitted to the data.
  • (C) Whole model.
  • (D) Significance of each parameter in the model. B0 = intercept of stage 2, B1 = gradient of stage 2 in relation to x-axis, B2 = intercept of stage 1, B3= intercept of stage 3, B4 = gradient of stage 1 in relation to stage 2, and B5 = gradient of stage 3 in relation to stage 2.

Appendix B.1. Linear Models AE vs. Coefficient of Friction

Figure A1. Linear model of COF vs. log Mean Frequency for Sensor 1.
Figure A1. Linear model of COF vs. log Mean Frequency for Sensor 1.
Acoustics 06 00047 g0a1
Figure A2. Linear model of COF vs. bandwidth (Sensor 2).
Figure A2. Linear model of COF vs. bandwidth (Sensor 2).
Acoustics 06 00047 g0a2
Figure A3. Linear model of COF vs. log bandwidth (Sensor 2).
Figure A3. Linear model of COF vs. log bandwidth (Sensor 2).
Acoustics 06 00047 g0a3

Appendix B.2. Linear Models of AE Feature Space

Figure A4. Log RMS vs. decay time (Sensor 1).
Figure A4. Log RMS vs. decay time (Sensor 1).
Acoustics 06 00047 g0a4
Figure A5. Power vs. log count rate (sensor 1).
Figure A5. Power vs. log count rate (sensor 1).
Acoustics 06 00047 g0a5
Figure A6. Shannon entropy vs. log energy (sensor 1).
Figure A6. Shannon entropy vs. log energy (sensor 1).
Acoustics 06 00047 g0a6
Figure A7. RSSQ vs. log duration (sensor 1).
Figure A7. RSSQ vs. log duration (sensor 1).
Acoustics 06 00047 g0a7
Figure A8. Energy vs. RMS (Sensor 2).
Figure A8. Energy vs. RMS (Sensor 2).
Acoustics 06 00047 g0a8
Figure A9. Counts vs. impulse factor (Sensor 2).
Figure A9. Counts vs. impulse factor (Sensor 2).
Acoustics 06 00047 g0a9
Figure A10. RSSQ vs. max amplitude (Sensor 2).
Figure A10. RSSQ vs. max amplitude (Sensor 2).
Acoustics 06 00047 g0a10
Figure A11. Energy vs. power (Sensor 2).
Figure A11. Energy vs. power (Sensor 2).
Acoustics 06 00047 g0a11
Figure A12. Log Shannon entropy vs. log decay time (Sensor 2).
Figure A12. Log Shannon entropy vs. log decay time (Sensor 2).
Acoustics 06 00047 g0a12

References

  1. Cheng, Y.; Guan, R.; Jin, Y.; Gai, X.; Lu, M.; Ding, Y. Research on intelligent tool condition monitoring based on data-driven: A review. J. Mech. Sci. Technol. 2023, 37, 3721–3738. [Google Scholar] [CrossRef]
  2. Muthuswamy, P. KS Artificial intelligence based tool condition monitoring for digital twins and industry 4.0 applications. Int. J. Interact. Des. Manuf. 2023, 17, 1067–1087. [Google Scholar] [CrossRef]
  3. Niemietz, P.; Kornely, M.J.K.; Trauth, D.; Bergs, T. Relating wear stages in sheet metal forming based on short- and long-term force signal variations. J. Intell. Manuf. 2022, 33, 2143. [Google Scholar] [CrossRef]
  4. Sun, J.; Hong, G.S.; Rahman, M.; Wong, Y.S. Identification of feature set for effective tool condition monitoring by acoustic emission sensing. Int. J. Prod. Res. 2004, 42, 901. [Google Scholar] [CrossRef]
  5. Chai, M.; Zhang, Z.; Duan, Q. A new qualitative acoustic emission parameter based on Shannon’s entropy for damage monitoring. Mech. Syst. Signal Process. 2018, 100, 617–629. [Google Scholar] [CrossRef]
  6. Karlsson, P.; Gåård, A.; Krakhmalev, P.; Bergström, J. Galling resistance and wear mechanisms for cold-work tool steels in lubricated sliding against high strength stainless steel sheets. Wear 2012, 286–287, 92–97. [Google Scholar] [CrossRef]
  7. Gåård, A.; Krakhmalev, P.; Bergström, J. Wear Mechanisms in Galling: Cold Work Tool Materials Sliding Against High-strength Carbon Steel Sheets. Tribol. Lett. 2009, 33, 45–53. [Google Scholar] [CrossRef]
  8. Unterberg, M.; Becker, M.; Niemietz, P.; Bergs, T. Data-driven indirect punch wear monitoring in sheet-metal stamping processes. J. Intell. Manuf. 2023, 35, 1721. [Google Scholar] [CrossRef]
  9. Chai, M.; Hou, X.; Zhang, Z.; Duan, Q. Identification and prediction of fatigue crack growth under different stress ratios using acoustic emission data. Int. J. Fatigue 2022, 160, 1. [Google Scholar] [CrossRef]
  10. Barile, C.; Casavola, C.; Pappalettera, G.; Kannan, V.P. Application of different acoustic emission descriptors in damage assessment of fiber reinforced plastics: A comprehensive review. Eng. Fract. Mech. 2020, 235, 107083. [Google Scholar] [CrossRef]
  11. Sata, T.; Matsushima, K.; Nagakura, T.; Kono, E. Learning and recognition of the cutting states by the spectrum analysis. Ann. CIRP 1973, 22, 41–42. [Google Scholar]
  12. Terchi, A.; Au, Y.H.J. Acoustic Emission Signal Processing. Meas. Control. 2001, 34, 240–244. [Google Scholar] [CrossRef]
  13. Hase, A.; Wada, M.; Mishina, H. The relationship between acoustic emissions and wear particles for repeated dry rubbing. Wear 2008, 265, 831–839. [Google Scholar] [CrossRef]
  14. Hase, A.; Mishina, H.; Wada, M. Correlation between features of acoustic emission signals and mechanical wear mechanisms. Wear 2012, 292–293, 144–150. [Google Scholar] [CrossRef]
  15. Hase, A.; Mishina, H.; Wada, M. Microscopic study on the relationship between AE signal and wear amount. Wear 2013, 308, 142–147. [Google Scholar] [CrossRef]
  16. Sindi, C.T.; Najafabadi, M.A.; Salehi, M. Investigation of surface damages during sheet metal forming using acoustic emission. Proc. Inst. Mech. Eng. Part J J. Eng. Tribol. 2013, 227, 286–296. [Google Scholar] [CrossRef]
  17. Shanbhag, V.V.; Rolfe, B.F.; Arunachalam, N.; Pereira, M.P. Investigating galling wear behaviour in sheet metal stamping using acoustic emissions. Wear 2018, 414–415, 31–42. [Google Scholar] [CrossRef]
  18. Shanbhag, V.V.; Rolfe, B.F.; Arunachalam, N.; Pereira, M.P. Understanding the source of acoustic emission signals during the wear of stamping tools. IOP Conf. Ser. Mater. Sci. Eng. 2018, 418, 12098. [Google Scholar] [CrossRef]
  19. Ichenihi, A.; Li, W.; Gao, Y.; Rao, Y. Feature selection and clustering of damage for pseudo-ductile unidirectional carbon/glass hybrid composite using acoustic emission. Appl. Acoust. 2021, 182, 108184. [Google Scholar] [CrossRef]
  20. Nasir, V.; Cool, J.; Sassani, F. Acoustic emission monitoring of sawing process: Artificial intelligence approach for optimal sensory feature selection. Int. J. Adv. Manuf. Technol. 2019, 102, 4179. [Google Scholar] [CrossRef]
  21. Guo, X.; Yuan, Y.T.; Liu, Y. Crack Propagation Detection Method in the Structural Fatigue Process. Exp. Tech. 2021, 45, 169–178. [Google Scholar] [CrossRef]
  22. Su, Z.; Zhou, C.; Hong, M.; Cheng, L.; Wang, Q.; Qing, X. Acousto-ultrasonics-based fatigue damage characterization: Linear versus nonlinear signal features. Mech. Syst. Signal Process. 2014, 45, 225–239. [Google Scholar] [CrossRef]
  23. Karimian, S.F.; Modarres, M. Acoustic emission signal clustering in CFRP laminates using a new feature set based on waveform analysis and information entropy analysis. Compos. Struct. 2021, 268, 113987. [Google Scholar] [CrossRef]
  24. Barile, C. Innovative mechanical characterization of CFRP by using acoustic emission technique. Eng. Fract. Mech. 2019, 210, 414–421. [Google Scholar] [CrossRef]
  25. Han, J.M.; Zhang, R.; Ajayi, O.O.; Barber, G.C.; Zou, Q.; Guessous, L.; Schall, D.; Alnabulsi, S. Scuffing behavior of gray iron and 1080 steel in reciprocating and rotational sliding. Wear 2011, 271, 1854–1861. [Google Scholar] [CrossRef]
  26. Yu, J.; Ziehl, P.; Matta, F.; Pollock, A. Acoustic emission detection of fatigue damage in cruciform welded joints. J. Constr. Steel Res. 2013, 86, 85–91. [Google Scholar] [CrossRef]
  27. Bohmann, T.; Schlamp, M.; Ehrlich, I. Acoustic emission of material damages in glass fibre-reinforced plastics. Compos. Part B: Eng. 2018, 155, 444–451. [Google Scholar] [CrossRef]
  28. Mukhopadhyay, C.K.; Sasikala, G.; Jayakumar, T.; Raj, B. Acoustic emission during fracture toughness tests of SA333 Gr.6 steel. Eng. Fract. Mech. 2012, 96, 294–306. [Google Scholar] [CrossRef]
  29. Boominathan, R.; Arumugam, V.; Santulli, C.; Adhithya Plato Sidharth, A.; Anand Sankar, R.; Sridhar, B.T.N. Acoustic emission characterization of the temperature effect on falling weight impact damage in carbon/epoxy laminates. Compos. Part B: Eng. 2014, 56, 591–598. [Google Scholar] [CrossRef]
  30. Chou, H.Y.; Mouritz, A.P.; Bannister, M.K.; Bunsell, A.R. Acoustic emission analysis of composite pressure vessels under constant and cyclic pressure. Compos. Part A Appl. Sci. Manuf. 2015, 70, 111–120. [Google Scholar] [CrossRef]
  31. Li, Z.; Wang, G.; He, G. Surface quality monitoring based on time-frequency features of acoustic emission signals in end milling Inconel-718. Int. J. Adv. Manuf. Technol. 2018, 96, 2725–2733. [Google Scholar] [CrossRef]
  32. Rastegaev, I.A.; Merson, D.L.; Danyuk, A.V.; Afanasyev, M.A.; Vinogradov, A. Using acoustic emission signal categorization for reconstruction of wear development timeline in tribosystems: Case studies and application examples. Wear 2018, 410–411, 83–92. [Google Scholar] [CrossRef]
  33. Pomponi, E.; Vinogradov, A. A real-time approach to acoustic emission clustering. Mech. Syst. Signal Process. 2013, 40, 791–804. [Google Scholar] [CrossRef]
  34. Van Steen, C.; Verstrynge, E. Signal-Based Acoustic Emission Clustering for Differentiation of Damage Sources in Corroding Reinforced Concrete Beams. Appl. Sci. 2022, 12, 2154. [Google Scholar] [CrossRef]
  35. Shimamoto, Y.; Tayfur, S.; Alver, N.; Suzuki, T. Identifying effective AE parameters for damage evaluation of concrete in headwork: A combined cluster and random forest analysis of acoustic emission data. Paddy Water Environ. 2022, 21, 15. [Google Scholar] [CrossRef]
  36. Qiao, X.; Weng, W.X.; Li, Q. Acoustic emission monitoring and failure behavior discrimination of 8YSZ thermal barrier coatings under Vickers indentation testing. Surf. Coat. Technol. 2018, 358, 913. [Google Scholar] [CrossRef]
  37. Teymuri Sindi, C.; Ahmadi Najafabadi, M.; Salehi, M. Tribological Behavior of Sheet Metal Forming Process Using Acoustic Emission Characteristics. Tribol. Lett. 2013, 52, 67–79. [Google Scholar] [CrossRef]
  38. Sun, J.; Wood, R.J.K.; Wang, L.; Care, I.; Powrie, H.E.G. Wear monitoring of bearing steel using electrostatic and acoustic emission techniques. Wear 2005, 259, 1482–1489. [Google Scholar] [CrossRef]
  39. Tan, C.C. Monitoring of Tool Wear Using Acoustic Emission; IEEE: New York, NY, USA, 1992. [Google Scholar]
  40. Devenport, T.M.; Griffin, J.M.; Rolfe, B.F.; Pereira, M.P. Friction and Wear in Stages of Galling for Sheet Metal Forming Applications. Lubricants 2023, 11, 288. [Google Scholar] [CrossRef]
  41. AISI 4140 Chrome-Molybdenum High Tensile Steel [Internet]. Available online: https://www.azom.com/article.aspx?ArticleID=6116 (accessed on 30 May 2023).
  42. Pereira, M.P.; Yan, W.; Rolfe, B.F. Contact pressure evolution and its relation to wear in sheet metal forming. Wear. 2008, 265, 1687–1699. [Google Scholar] [CrossRef]
  43. Liu, H.; Yang, X.; Zheng, Y.; Wang, L. Experimental Study on Galling Behavior in Aluminum stamping processes. Phys. Sci. Forum 2022, 4, 10. [Google Scholar] [CrossRef]
  44. Daure, J.L.; Kóti, D.; Carrington, M.J.; McCartney, D.G.; Stewart, D.A.; Shipway, P.H. Galling of stainless steels as a function of test conditions in an ASTM G196-type test setup—The role of temperature, rotational velocity, interrupted rotation and rotational distance. Wear 2023, 524–525, 204804. [Google Scholar] [CrossRef]
  45. Jayakumar, T.; Mukhopadhyay, C.K.; Venugopal, S.; Mannan, S.L.; Raj, B. A review of the application of acoustic emission techniques for monitoring forming and grinding processes. J. Mater. Process. Tech. 2005, 159, 48–61. [Google Scholar] [CrossRef]
  46. Wang, K.; Zhang, X.; Song, S.; Wang, Y.; Shen, Y.; Wilcox, P.D. Rail Steel Health Analysis Based on a Novel Genetic Density-based Clustering Technique and Manifold Representation of Acoustic Emission Signals. Appl. Artif. Intell. 2021, 36, 2004346. [Google Scholar] [CrossRef]
Figure 1. Bruker TriboLab UMT as used for experiments. AE sensors removed for clarity; AE setup shown later [40].
Figure 1. Bruker TriboLab UMT as used for experiments. AE sensors removed for clarity; AE setup shown later [40].
Acoustics 06 00047 g001
Figure 2. Example coefficient of friction curve for progressing galling wear [40].
Figure 2. Example coefficient of friction curve for progressing galling wear [40].
Acoustics 06 00047 g002
Figure 3. Example of the profile form measurement of a test that exhibited stage 3 galling. White arrow indicates indenter sliding direction. Red region shows width of scratch (0.1 mm) used to determine the longitudinal profile [40] Green plus (+) denotes the position of the end of the longitudinal profile.
Figure 3. Example of the profile form measurement of a test that exhibited stage 3 galling. White arrow indicates indenter sliding direction. Red region shows width of scratch (0.1 mm) used to determine the longitudinal profile [40] Green plus (+) denotes the position of the end of the longitudinal profile.
Acoustics 06 00047 g003
Figure 4. AE sensor set up on a test sample plate, from a preliminary experiment.
Figure 4. AE sensor set up on a test sample plate, from a preliminary experiment.
Acoustics 06 00047 g004
Figure 5. Example AE from pencil lead break tests. The lead was broken three times, at approximately 6, 10 and 15 s.
Figure 5. Example AE from pencil lead break tests. The lead was broken three times, at approximately 6, 10 and 15 s.
Acoustics 06 00047 g005
Figure 6. AE recording of a scratch test that exhibits a high friction response (scratch increment B with indenter 18, in Table 1). The signal is continuous above the noise level, with AE bursts occurring throughout, with some bursts near the noise level. Note the difference in y-axis scale in comparison to Figure 5.
Figure 6. AE recording of a scratch test that exhibits a high friction response (scratch increment B with indenter 18, in Table 1). The signal is continuous above the noise level, with AE bursts occurring throughout, with some bursts near the noise level. Note the difference in y-axis scale in comparison to Figure 5.
Acoustics 06 00047 g006
Figure 7. Friction response of the test shown in Figure 6 (scratch increment B with indenter 18, in Table 1).
Figure 7. Friction response of the test shown in Figure 6 (scratch increment B with indenter 18, in Table 1).
Acoustics 06 00047 g007
Figure 8. Example windowed burst. Blue = raw signal. Orange = signal envelope. Yellow = smoothed signal envelope. Green and red = start and end times, respectively.
Figure 8. Example windowed burst. Blue = raw signal. Orange = signal envelope. Yellow = smoothed signal envelope. Green and red = start and end times, respectively.
Acoustics 06 00047 g008
Figure 9. COF and Ra at the instance of each AE burst, for all tests.
Figure 9. COF and Ra at the instance of each AE burst, for all tests.
Acoustics 06 00047 g009
Figure 10. Relationship between the COF and Ra at the instance an AE burst was detected, for each detected burst, for both Sensor 1 and Sensor 2.
Figure 10. Relationship between the COF and Ra at the instance an AE burst was detected, for each detected burst, for both Sensor 1 and Sensor 2.
Acoustics 06 00047 g010
Figure 11. Histograms showing the number of combinations vs. the clustering score for the 2-dimensional cluster analysis. (A) Sensor 1. (B) Sensor 2. Please note the differing x-axis scales to reflect the poor clustering of sensor 2, as the clustering score is never less than 1.
Figure 11. Histograms showing the number of combinations vs. the clustering score for the 2-dimensional cluster analysis. (A) Sensor 1. (B) Sensor 2. Please note the differing x-axis scales to reflect the poor clustering of sensor 2, as the clustering score is never less than 1.
Acoustics 06 00047 g011
Figure 12. Example of clustering in 2D AE space, with bandwidth vs. rise time. This combination of features has poor clustering scores for stage 1 to stage 2 (1.55) and stage 2 to stage 3 (1.99), both greater than 1, but good score for stage 1 to stage 3 ≈ 0.37.
Figure 12. Example of clustering in 2D AE space, with bandwidth vs. rise time. This combination of features has poor clustering scores for stage 1 to stage 2 (1.55) and stage 2 to stage 3 (1.99), both greater than 1, but good score for stage 1 to stage 3 ≈ 0.37.
Acoustics 06 00047 g012
Figure 13. Example of clustering in 3D AE space, showing rise time, average signal level, and bandwidth. This combination of features has poor clustering scores for stage 1 to stage 2 (2.08) and stage 2 to stage 3 (5.65), both greater than 1, but good score for stage 1 to stage 3 ≈ 0.37.
Figure 13. Example of clustering in 3D AE space, showing rise time, average signal level, and bandwidth. This combination of features has poor clustering scores for stage 1 to stage 2 (2.08) and stage 2 to stage 3 (5.65), both greater than 1, but good score for stage 1 to stage 3 ≈ 0.37.
Acoustics 06 00047 g013
Figure 14. Histograms showing the number of combinations vs. the clustering score for the 3-dimensional cluster analysis. (A) Sensor 1. (B) Sensor 2. Please note the differing x-axis scales to reflect the poor clustering of sensor 2, as the clustering score is never less than 1.
Figure 14. Histograms showing the number of combinations vs. the clustering score for the 3-dimensional cluster analysis. (A) Sensor 1. (B) Sensor 2. Please note the differing x-axis scales to reflect the poor clustering of sensor 2, as the clustering score is never less than 1.
Acoustics 06 00047 g014
Figure 15. Linear model of COF vs. mean frequency (Sensor 1). (A) Raw data. (B) Raw data with models fitted to the data. (C) Whole model. (D) Significance of each parameter in the model. B0 = intercept of stage 2, B1 = gradient of stage 2 in relation to x-axis, B2 = intercept of stage 1, B3= intercept of stage 3, B4 = gradient of stage 1 in relation to stage 2, and B5 = gradient of stage 3 in relation to stage 2. The p-values allow us to infer if that aspect of the model is different from the model of stage 2.
Figure 15. Linear model of COF vs. mean frequency (Sensor 1). (A) Raw data. (B) Raw data with models fitted to the data. (C) Whole model. (D) Significance of each parameter in the model. B0 = intercept of stage 2, B1 = gradient of stage 2 in relation to x-axis, B2 = intercept of stage 1, B3= intercept of stage 3, B4 = gradient of stage 1 in relation to stage 2, and B5 = gradient of stage 3 in relation to stage 2. The p-values allow us to infer if that aspect of the model is different from the model of stage 2.
Acoustics 06 00047 g015
Figure 16. Log count rate vs. counts: (Sensor 1 (A)) Raw data. (B) Raw data with models fitted to the data. (C) Whole model. (D) Significance of each parameter in the model. B0 = intercept of stage 2, B1 = gradient of stage 2 in relation to x-axis, B2 = intercept of stage 1, B3= intercept of stage 3, B4 = gradient of stage 1 in relation to stage 2, and B5 = gradient of stage 3 in relation to stage 2. The p-values allow us to infer if that aspect of the model is different from the model of stage 2.
Figure 16. Log count rate vs. counts: (Sensor 1 (A)) Raw data. (B) Raw data with models fitted to the data. (C) Whole model. (D) Significance of each parameter in the model. B0 = intercept of stage 2, B1 = gradient of stage 2 in relation to x-axis, B2 = intercept of stage 1, B3= intercept of stage 3, B4 = gradient of stage 1 in relation to stage 2, and B5 = gradient of stage 3 in relation to stage 2. The p-values allow us to infer if that aspect of the model is different from the model of stage 2.
Acoustics 06 00047 g016
Table 1. Sample plate roughness values (experimentally measured) [40].
Table 1. Sample plate roughness values (experimentally measured) [40].
PlateRa (in Sliding Direction) (µm)Ra (across Sliding Direction) (µm)
10.0270.202
20.0310.275
30.0240.231
40.0230.229
50.0210.286
60.0310.243
Average0.0260.244
Table 2. Summary of scratch length and galling stages observed for all tests [40].
Table 2. Summary of scratch length and galling stages observed for all tests [40].
Ball Sample NumberGalling Stage(s) Observed for Scratch Increment A [0–50 mm]Galling Stage(s) Observed for Scratch Increment B [50–100 mm]Galling Stage(s) Observed for Scratch Increment C [100–150 mm]Total Scratch Length (mm)
11, 2, 3--50
21--24
31--24
41--36
51, 2--50
61, 2, 3--50
71, 2, 3--50
81, 2, 3--50
91, 2, 3--50
101, 2, 3--50
11123150
12123150
131, 23-100
1411, 2-100
151, 2--50
161, 2--50
171, 23-100
181, 23-100
191, 23-100
201, 23-100
211, 23-100
221, 23-100
Table 3. AE features investigated in this study.
Table 3. AE features investigated in this study.
NameNotationEquationMATLAB Function/Code
Duration x d u r ------
Root mean squared (RMS) x r m s = x ( n ) 2 N RMS(x)
Root sum of squares (RSSQ) x R S S = n = 1 N x n 2 RSS(x)
Shannon Entropy x S E = j p j i log p i j wentropy(x, ’shannon’)
Peak2rms (Crest factor) x c r e s t = x p x r m s Peak2rms(x)
Clearance Factor x C l e a r = x p 1 N i = 1 N x i 2 ---
Shape factor x s h a = x r m s x m ---
Impulse factor x i = x p x m ---
margin x m a = x p x r a ---
Mean Frequency x M F = ( p o w e r f r e q ) p o w e r Meanfreq(x)
Bandwidth x b = 0.99 F m a x 0.99 F m i n Obw(x)
Kurtosis x k u r t = x n x m 4 ( N 1 ) x s t d 4 Kurtosis(x)
Skewness x s k e = x n x m 3 N 1 x s t d 3 Skewness(x)
Average signal level x m = x ( n ) N Mean(x)
Maximum (Peak) Amplitude x p = m a x x ( n ) Max(x)
Rise Time x r t Time from burst start to peak amplitude---
Rise Angle x r a = tan 1 x p x r t ---
Decay Time x d t Time from peak amplitude to end of burst---
Decay Angle x d a = tan 1 x p x d t ---
Counts x C Number of data points above threshold.Find(length(x) > c_thres)
Count Rate x c r = C o u n t s D u r a t i o n ---
Signal to noise Ratio x s n r = r s s ( x ) r s s ( n o i s e ) Signal to noise ratio(x)
Energy E = x n 2 d n = P N ---
Power P = 1 N n 0 N 1 x 2 n = x r m s 2 ---
Root amplitude x r a = x ( n ) N 2 ---
RA value x R A v = R t x p ---
Table 4. t-test outputs. 1 = significant difference (green), 0 = insignificant difference (red).
Table 4. t-test outputs. 1 = significant difference (green), 0 = insignificant difference (red).
AE FeatureSensor 1Sensor 2
Stage 1 to stage 2Stage 2 to stage 3Stage 1 to stage 3Stage 1 to stage 2Stage 2 to stage 3Stage 1 to stage 3
COF111111
Ra (µm)101101
Duration (µs)111011
RMS (mV)010000
Shannon Entropy (Sh)010011
Peak to RMS (Crest factor)101000
RSSQ (mV)110011
Mean Frequency (MHz)000000
Kurtosis011000
Bandwidth (MHz)111000
Skewness110000
Average Signal Level (mV)000100
Shape Factor110011
Impulse Factor110011
Maximum Amplitude (mV)010000
Clearance Factor011000
Rise Time (µs)101101
Rise Angle (deg)000100
Decay Time (µs)111011
Decay Angle (deg)100000
Counts (n)111011
CountRate (n/s)111000
Signal to noise ratio001001
Energy (mJ)010011
Power (mW)010010
root Amplitude (mV)111000
Margin011000
RA value (µS/mV)000100
log Duration (µs)101001
log RMS (mV)111000
log Shannon Entropy (Sh)111001
log Peak to RMS (Crest factor)001000
log RSSQ (mV)111001
log Mean Frequency (MHz)000000
log Kurtosis011000
log Bandwidth (MHz)111000
log Skewness000000
log Average Signal Level (mV)000100
log Shape Factor111001
log Impulse Factor111000
log Maximum Amplitude (mV)111000
log Clearance Factor111000
log Rise Time (µs)101101
log Rise Angle (deg)000100
log Decay Time (µs)101001
log Decay Angle (deg)100000
log Counts (n)111001
log CountRate (n/s)111000
log Signal to noise ratio000000
log Energy (mJ)111001
log Power (mW)111000
log root Amplitude (mV)111000
log Margin111000
log RA value (µS/mV)100101
Table 5. Most sensitive features to changing stage 1 to stage 2 galling wear.
Table 5. Most sensitive features to changing stage 1 to stage 2 galling wear.
Sensor 1Sensor 2
AE VariableAngle (deg)Model r2AE VariableAngle (deg)Model r2
Mean frequency21.7040.871Log bandwidth13.6460.882
Log mean frequency21.6070.872Bandwidth13.0320.881
Table 6. Most sensitive features to changing stage 2 to stage 3 galling wear.
Table 6. Most sensitive features to changing stage 2 to stage 3 galling wear.
Sensor 1Sensor 2
AE VariableAngle (deg)Model r2AE VariableAngle (deg)Model r2
Log mean frequency18.9620.872Log bandwidth6.5980.882
Mean frequency18.4200.871Bandwidth5.4470.881
Table 7. Most sensitive features to changing stage 1 to stage 3 galling wear.
Table 7. Most sensitive features to changing stage 1 to stage 3 galling wear.
Sensor 1Sensor 2
AE VariableAngle (deg)Model r2AE VariableAngle (deg)Model r2
Mean frequency3.2850.871Bandwidth7.5850.881
Log mean frequency2.6450.872Log bandwidth7.0480.882
Table 8. Greatest angle change between stage 1 to stage 2 for Sensor 1. Those shown in blue text indicate if the model is provided later in the document in Appendix B.
Table 8. Greatest angle change between stage 1 to stage 2 for Sensor 1. Those shown in blue text indicate if the model is provided later in the document in Appendix B.
Sensor 1Sensor 2
AE Variable 1AE Variable 2Angle (deg)Model r2AE Variable 1AE Variable 2Angle (deg)Model r2
log count rateCounts40.2840.884CountsImpulse factor18.1760.795
log RMSDecay time40.0870.821log Shannon entropylog decay time11.1650.767
Count ratelog kurtosis38.7210.755EnergyPower10.3890.947
log count ratelog clearance factor37.2660.906EnergyRMS9.5320.814
log count rateClearance factor36.2040.913RSSQMaximum amplitude6.1280.942
log RMSKurtosis36.1760.849------------
Count rateCounts35.9520.901------------
Maximum amplitudelog count rate35.2140.867------------
log count ratelog maximum amplitude34.4460.941------------
Countslog RSSQ32.6830.903------------
Table 9. Greatest angle change between stage 2 to stage 3 for Sensor 1. Those shown in blue text indicate if the model is provided later in the document in Appendix B.
Table 9. Greatest angle change between stage 2 to stage 3 for Sensor 1. Those shown in blue text indicate if the model is provided later in the document in Appendix B.
Sensor 1Sensor 2
AE Variable 1AE Variable 2Angle (deg)Model r2AE Variable 1AE Variable 2Angle (deg)Model r2
Powerlog count rate64.2640.860EnergyRMS24.8240.814
Shannon entropylog energy56.5000.773log Shannon entropylog decay time19.8530.767
RSSQlog duration55.2660.756CountsImpulse factor19.2730.795
RSSQlog counts50.9810.796RSSQMaximum amplitude9.5420.942
Maximum amplitudelog counts48.9420.795EnergyPower8.4190.947
log count rateRSSQ44.1900.848------------
log count rateMaximum amplitude42.7500.860------------
Impulse factorlog RSSQ40.9640.751------------
RMSlog count rate39.5540.920------------
Clearance factorlog duration36.6790.766------------
Table 10. Greatest angle change between stage 1 to stage 3 for Sensor 1. Those shown in blue text indicate if the model is provided later in the document in Appendix B.
Table 10. Greatest angle change between stage 1 to stage 3 for Sensor 1. Those shown in blue text indicate if the model is provided later in the document in Appendix B.
Sensor 1Sensor 2
AE Variable1AE Variable2Angle (deg)Model r2AE Variable1AE Variable2Angle (deg)Model r2
Powerlog count rate77.6670.860EnergyRMS34.3560.814
RSSQlog duration74.1590.756EnergyPower18.8070.947
RSSQlog counts72.7950.796RSSQMaximum amplitude15.6690.942
Maximum amplitudelog counts71.3680.795log Shannon entropylog decay time8.6880.767
Maximum amplitudelog count rate70.5040.867CountsImpulse factor1.0970.795
RMSlog count rate70.2590.920------------
log count rateRSSQ68.6610.848------------
Shannon entropylog RSSQ67.9210.773------------
log count rateMaximum amplitude67.6010.860------------
log count rateCounts65.8600.884------------
Disclaimer/Publisher’s Note: The statements, opinions and data contained in all publications are solely those of the individual author(s) and contributor(s) and not of MDPI and/or the editor(s). MDPI and/or the editor(s) disclaim responsibility for any injury to people or property resulting from any ideas, methods, instructions or products referred to in the content.

Share and Cite

MDPI and ACS Style

Devenport, T.M.; Lu, P.; Rolfe, B.F.; Pereira, M.P.; Griffin, J.M. Acoustic Emission Characteristics of Galling Behavior from Dry Scratch Tests at Slow Sliding Speed. Acoustics 2024, 6, 834-869. https://doi.org/10.3390/acoustics6040047

AMA Style

Devenport TM, Lu P, Rolfe BF, Pereira MP, Griffin JM. Acoustic Emission Characteristics of Galling Behavior from Dry Scratch Tests at Slow Sliding Speed. Acoustics. 2024; 6(4):834-869. https://doi.org/10.3390/acoustics6040047

Chicago/Turabian Style

Devenport, Timothy M., Ping Lu, Bernard F. Rolfe, Michael P. Pereira, and James M. Griffin. 2024. "Acoustic Emission Characteristics of Galling Behavior from Dry Scratch Tests at Slow Sliding Speed" Acoustics 6, no. 4: 834-869. https://doi.org/10.3390/acoustics6040047

APA Style

Devenport, T. M., Lu, P., Rolfe, B. F., Pereira, M. P., & Griffin, J. M. (2024). Acoustic Emission Characteristics of Galling Behavior from Dry Scratch Tests at Slow Sliding Speed. Acoustics, 6(4), 834-869. https://doi.org/10.3390/acoustics6040047

Article Metrics

Back to TopTop