Distribution and In Vitro Bioaccessibility of Potentially Toxic Metals in Soils at Select Urban Parks at Eastern Canadian Cities
Abstract
1. Introduction
- Potentially toxic metals distribution in surface soils at select parks and playgrounds in 12 Canadian cities reflect natural and anthropogenic sources.
- In vitro bioaccessibility values are variable due to different soil physicochemical properties.
- The risk which is associated with incidental ingestion of potentially toxic metals in soils incorporating bioaccessibility is low except for arsenic and lead at a few parks.
2. Methodology
2.1. Soil Sampling and Preparation
2.2. Soil pH, Carbon Content and Total Metal Content
2.3. In Vitro Extraction Assay (IVBA)
2.4. Statistical Analysis and Data Evaluation
2.5. Human Health Exposure Assessment
3. Results and Discussion
3.1. Summary Statistics
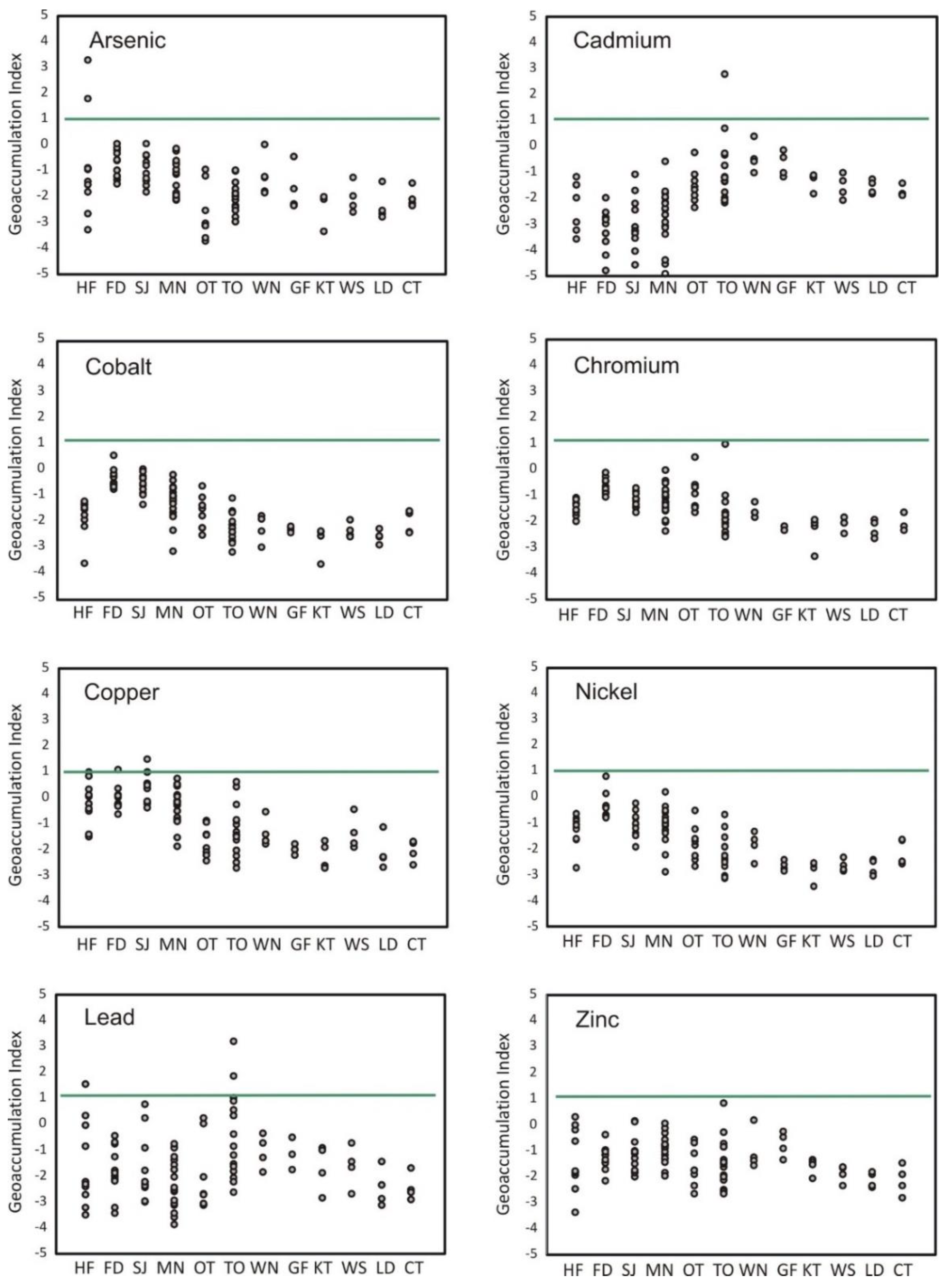
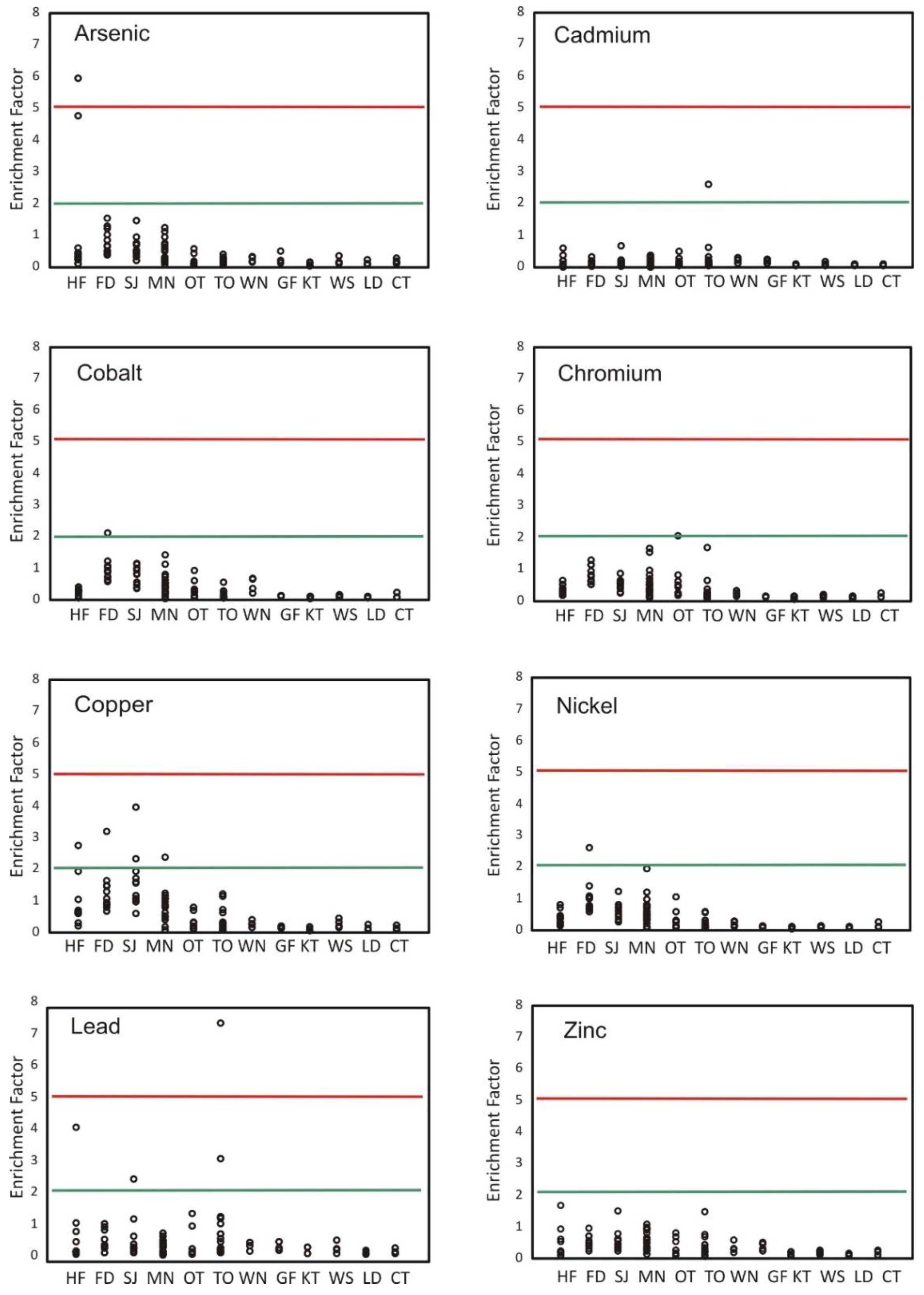
3.2. Enrichment Factor and Geoaccumulation Index
3.3. Metal Distribution
3.3.1. Arsenic
3.3.2. Cadmium
3.3.3. Cobalt
3.3.4. Chromium
3.3.5. Copper
3.3.6. Nickel
3.3.7. Lead
3.3.8. Zinc
3.4. Principal Component Analysis
3.5. In Vitro Bioaccessibility
3.6. Human Health Risk Assessment
4. Conclusions
Supplementary Materials
Author Contributions
Funding
Institutional Review Board Statement
Data Availability Statement
Conflicts of Interest
References
- United Nations, Department of Economic and Social Affairs, Population Division. World Urbanization Prospects: The 2018 Revision, Online Edition. 2018. Available online: https://population.un.org/wup/Download/ (accessed on 31 October 2024).
- Cave, M.R.; Wragg, J.; Denys, S.; Jondreville, C.; Feidt, C. Oral bioavailability. In Dealing with Contaminated Sites; Swartjes, F.A., Ed.; Springer Science Business Media B.V.: Berlin/Heidelberg, Germany, 2011. [Google Scholar] [CrossRef]
- Meuser, H. Contaminated Urban Soils; Springer: Dordrecht, The Netherlands, 2010. [Google Scholar] [CrossRef]
- Ajmone-Marsan, F.; Biasioli, M. Trace Elements in Soils of Urban Areas. Water Air Soil Pollut. 2010, 213, 121–143. [Google Scholar] [CrossRef]
- Binner, H.; Sullivan, T.; Jansen, M.A.K.; McNamara, M.E. Metals in urban soils of Europe: A systematic review. Sci. Total Environ. 2023, 854, 158734. [Google Scholar] [CrossRef] [PubMed]
- Wong, C.S.C.; Li, X.; Thornton, I. Urban environmental geochemistry of trace metals. Environ. Pollut. 2006, 142, 1–16. [Google Scholar] [CrossRef] [PubMed]
- Guney, M.; Zagurya, G.J.; Dogan, N.; Onay, T.T. Exposure assessment and risk characterization from trace elements following soil ingestion by children exposed to playgrounds, parks and picnic areas. J. Hazard. Mater. 2010, 182, 656–664. [Google Scholar] [CrossRef] [PubMed]
- Luo, X.; Ding, J.; Xu, B.; Wang, Y.; Li, H.; Yu, S. Incorporating bioaccessibility into human health risk assessments of heavy metals in urban park soils. Sci. Total Environ. 2012, 424, 88. [Google Scholar] [CrossRef] [PubMed]
- Cocerva, T.; Robb, M.; Wong, A.; Doherty, R.; Newell, J.; Ofterdinger, U.; Carey, M.; Cave, M.; Cox, S.F. Using oral bioaccessibility measurements to refine risk assessment of potentially toxic elements in topsoils across an urban area. Ecotoxicol. Environ. Saf. 2024, 276, 116293. [Google Scholar] [CrossRef] [PubMed]
- Han, Q.; Wang, M.; Cao, J.; Gui, C.; Liu, Y.; He, X.; He, Y.; Liu, Y. Health risk assessment and bioaccessibilities of heavy metals for children in soil and dust from urban parks and schools of Jiaozuo, China. Ecotoxicol. Environ. Saf. 2020, 191, 110157. [Google Scholar] [CrossRef] [PubMed]
- Dakane, A. Bioaccessibility of Metals in Toronto City Parks. Master’s Thesis, Royal Roads University, Victoria, BC, Canada, 2012. Available online: https://www.viurrspace.ca/items/35ee9ff5-7853-4737-b4d0-0a216f578dca (accessed on 31 October 2024).
- Dupuis, J. Metals Bioaccessibility of Soils in Urban Parks in Fredericton and Saint John, New Brunswick. Master’s Thesis, Royal Roads University, Victoria, BC, Canada, 2013. Available online: https://www.viurrspace.ca/items/990a9856-7c37-43ff-b8e4-c02be975b255 (accessed on 31 October 2024).
- Durojaiye, A.O. Bioaccessibility of Metals in Soils of Selected Playgrounds in Montreal. Master’s Thesis, Royal Roads University, Victoria, BC, Canada, 2014. Available online: https://www.viurrspace.ca/items/936d12c0-efb0-4b1a-81ee-2c9e404c20de (accessed on 31 October 2024).
- Health Canada. Federal Contaminated Site Risk Assessment in Canada. Supplemental Guidance on Human Health Risk Assessment for Oral Bioavailability of Substances in Soil and Soil-Like Media; Health Canada: Ottawa, ON, Canada, 2017. [Google Scholar]
- Dodd, M.; Richardson, G.M.; Wilson, R.; Rencz, A.; Friske, P. Elemental Concentrations and In Vitro Bioaccessibility in Canadian Background Soils. Environ. Geochem. Health 2017, 39, 759–777. [Google Scholar] [CrossRef] [PubMed]
- USEPA. SW-846 Test Method 1340: In Vitro Bioaccessibility Assay for Lead in Soil. 2017. Available online: https://www.epa.gov/hw-sw846/sw-846-test-method-1340-vitro-bioaccessibility-assay-lead-soil (accessed on 31 October 2024).
- Canadian Council of Ministers of the Environment (CCME). A Protocol for the Derivation of Environmental and Human Health Soil Quality Guidelines; Canadian Council of Ministers of the Environment: Winnipeg, MB, Canada, 2006.
- Kowalska, J.B.; Mazurek, R.; Gasiorek, M.; Zaleski, T. Pollution indices as useful tools for the comprehensive evaluation of the degree of soil contamination–A review. Environ. Geochem. Health 2018, 40, 2395–2420. [Google Scholar] [CrossRef] [PubMed]
- Ng, J.C.; Juhasz, A.; Smith, E.; Naidu, R. Assessing the bioavailability and bioaccessibility of metals and metalloids. Environ. Sci. Pollut. Res. 2015, 22, 8802–8825. [Google Scholar] [CrossRef] [PubMed]
- Basta, N.T.; Juhasz, A. Using In Vivo Bioavailability and/or In Vitro Gastrointestinal Bioaccessibility Testing to Adjust Human Exposure to Arsenic from Soil Ingestion. Rev. Mineral. Geochem. 2014, 79, 451–472. [Google Scholar] [CrossRef]
- Health Canada. Federal Contaminated Site Risk Assessment in Canada, Part I: Guidance on Human Health Preliminary Quantitative Risk Assessment (PQRA); Version 2.0; Health Canada: Ottawa, ON, Canada, 2004. [Google Scholar]
- Amponsah, L.O.; Dodd, M.; Darko, G. Gastric bioaccessibility and human health risks associated with soil metal exposure via ingestion at an e-waste recycling site in Kumasi, Ghana. Environ. Geochem. Health 2020, 44, 497–509. [Google Scholar] [CrossRef]
- Health Canada. Federal Contaminated Site Risk Assessment in Canada: Toxicological Reference Values (TRVs); Version 3.0; Health Canada: Ottawa, ON, Canada, 2021. [Google Scholar]
- USEPA. Integrated Risk Information System. 2022. Available online: https://www.epa.gov/iris (accessed on 31 October 2024).
- United States Environmental Protection Agency (USEPA). Statistical Software ProUCL 5.1 for Environmental Applications for Data Sets with and without Nondetect Observations. 2016. Available online: https://www.epa.gov/land-research/proucl-software (accessed on 31 October 2024).
- Drage, J. Review of the Environmental Impacts of Historic Gold Mine Tailings in Nova Scotia, Nova Scotia Department of Natural Resources, Open File Report ME 2015-004. 2015. Available online: https://www.novascotia.ca/natr/meb/hazard-assessment/docs/7_-_ofr_me_2015-004.pdf (accessed on 31 October 2024).
- Li, H.-B.; Li, M.-Y.; Zhao, D.; Li, J.; Li, S.-W.; Xiang, P.; Juhasz, A.L.; Ma, L.Q. Arsenic, lead, and cadmium bioaccessibility in contaminated soils: Measurements and validations. Crit. Rev. Environ. Sci. Technol. 2020, 50, 1303–1338. [Google Scholar] [CrossRef]
- Khan, M.A.; Nawab, J.; Khan, A.; Brusseau, M.L.; Khan, S.N.; Ali, N.; Bahadur, S.; Khan, S.; Huang, Q. Human health and ecological risks associated with total and bioaccessible concentrations of cadmium and lead in urban park soils. Bull. Environ. Contam. Toxicol. 2023, 110, 61. [Google Scholar] [CrossRef]
- Ruby, M.V. Bioavailability of soil-borne chemicals: Abiotic assessment tools. Hum. Ecol. Risk Assess. 2004, 10, 647–656. [Google Scholar] [CrossRef]






| City | As | Cd | Co | Cr | Cu | Ni | Pb | Zn | pH | OM | |
|---|---|---|---|---|---|---|---|---|---|---|---|
| CCME R/P | 12 | 10 | 50 | 64 | 63 | 50 | 140 | 200 | |||
| Halifax (n = 10) | Mean | 36 | 0.21 | 6.7 | 16 | 25 | 15 | 53 | 85 | 4.59 | 9.8 |
| Median | 9.9 | 0.21 | 7.4 | 16 | 23 | 16 | 17 | 48 | 4.51 | 8.5 | |
| Std Dev | 68 | 0.12 | 2.2 | 3.3 | 13 | 4.9 | 71 | 65 | 0.68 | 5.1 | |
| 95% tile | 154 | 0.35 | 8.9 | 21 | 47 | 21 | 174 | 187 | 5.50 | 16.8 | |
| Maximum | 218 | 0.37 | 9.0 | 21 | 49 | 22 | 234 | 204 | 5.59 | 17.6 | |
| Saint John (n = 10) | Mean | 8.9 | 0.27 | 9.3 | 21 | 32 | 19 | 46 | 96 | 6.99 | 12.5 |
| Median | 7.6 | 0.17 | 9.2 | 22 | 29 | 19 | 22 | 84 | 6.80 | 8.3 | |
| Std Dev | 3.7 | 0.21 | 2.5 | 4.2 | 14 | 6.6 | 53 | 53 | 0.71 | 10.1 | |
| 95% tile | 15 | 0.65 | 13.0 | 28 | 54 | 30 | 148 | 196 | 8.13 | 29.8 | |
| Maximum | 17 | 0.78 | 13.3 | 29 | 63 | 33 | 175 | 199 | 8.38 | 38.0 | |
| Fredericton (n = 10) | Mean | 10 | 0.19 | 10.8 | 31 | 23 | 32 | 35 | 79 | 6.54 | 7.1 |
| Median | 11 | 0.16 | 9.3 | 29 | 19 | 29 | 28 | 80 | 6.37 | 7.6 | |
| Std Dev | 3.9 | 0.10 | 3.3 | 6.6 | 9 | 13 | 22 | 25 | 1.13 | 3.2 | |
| 95% tile | 16 | 0.35 | 16.3 | 41 | 38 | 54 | 69 | 115 | 7.96 | 11.0 | |
| Maximum | 17 | 0.42 | 19.3 | 44 | 48 | 67 | 74 | 138 | 8.15 | 11.0 | |
| Montreal (n = 16) | Mean | 5.1 | 0.33 | 8.7 | 24 | 35 | 22 | 35 | 88 | 7.68 | 8.9 |
| Median | 3.7 | 0.34 | 8.7 | 22 | 36 | 22 | 28 | 88 | 7.85 | 8.8 | |
| Std Dev | 2.6 | 0.19 | 3.7 | 11 | 15 | 10 | 22 | 32 | 0.43 | 4.3 | |
| 95% tile | 10 | 0.60 | 14.6 | 48 | 60 | 36 | 73 | 146 | 8.16 | 14.1 | |
| Maximum | 11 | 0.63 | 16.6 | 48 | 68 | 49 | 78 | 162 | 8.53 | 18.2 | |
| Ottawa (n = 8) | Mean | 2.7 | 0.26 | 6.9 | 30 | 19 | 17 | 29 | 74 | 6.49 | 12.0 |
| Median | 1.6 | 0.22 | 6.5 | 29 | 18 | 15 | 11 | 59 | 6.43 | 11.0 | |
| Std Dev | 2.3 | 0.14 | 3.3 | 17 | 8 | 9.2 | 33 | 38 | 0.43 | 4.5 | |
| 95% tile | 6.5 | 0.48 | 11.9 | 56 | 30 | 32 | 84 | 129 | 7.08 | 18.9 | |
| Maximum | 6.9 | 0.57 | 13.1 | 69 | 31 | 37 | 89 | 134 | 7.11 | 20.4 | |
| Toronto (n = 15) | Mean | 3.5 | 0.59 | 4.7 | 19 | 28 | 12 | 107 | 97 | 7.63 | 10.7 |
| Median | 3.3 | 0.29 | 4.2 | 13 | 21 | 10 | 41 | 72 | 7.65 | 10.1 | |
| Std Dev | 1.5 | 1.06 | 1.8 | 21 | 23 | 7.1 | 165 | 77 | 0.50 | 4.2 | |
| 95% tile | 6.6 | 1.80 | 7.1 | 40 | 79 | 26 | 354 | 198 | 8.25 | 16.8 | |
| Maximum | 6.7 | 4.60 | 9.3 | 98 | 88 | 33 | 690 | 350 | 8.85 | 21.7 | |
| Windsor (n = 4) | Mean | 4.7 | 0.54 | 4.4 | 17 | 24 | 15 | 39 | 112 | 6.28 | 13.5 |
| Median | 4.7 | 0.47 | 4.7 | 16 | 20 | 16 | 38 | 80 | 6.30 | 12.1 | |
| Std Dev | 1.1 | 0.24 | 1.5 | 3.0 | 11 | 5.0 | 17 | 74 | 0.51 | 5.1 | |
| 95% tile | 5.7 | 0.82 | 5.8 | 20 | 37 | 20 | 57 | 201 | 6.79 | 19.6 | |
| Maximum | 5.7 | 0.88 | 5.9 | 21 | 40 | 21 | 59 | 222 | 6.84 | 20.7 | |
| Guelph (n = 4) | Mean | 4.8 | 0.44 | 4.1 | 11 | 14 | 8.4 | 40 | 122 | 7.01 | 10.7 |
| Median | 3.4 | 0.42 | 4.1 | 11 | 14 | 8.2 | 43 | 123 | 7.09 | 10.8 | |
| Std Dev | 3.4 | 0.15 | 0.3 | 0.6 | 2 | 1.1 | 15 | 39 | 0.21 | 1.0 | |
| 95% tile | 8.9 | 0.59 | 4.4 | 11 | 16 | 10 | 53 | 161 | 7.14 | 11.7 | |
| Maximum | 9.8 | 0.61 | 4.4 | 11 | 17 | 10 | 53 | 164 | 7.15 | 11.8 | |
| Kitchener (n = 4) | Mean | 2.3 | 0.27 | 3.2 | 10 | 13 | 7.7 | 27 | 67 | 7.29 | 7.8 |
| Median | 2.2 | 0.30 | 3.6 | 12 | 12 | 8.4 | 29 | 71 | 7.29 | 6.9 | |
| Std Dev | 1.1 | 0.06 | 1.1 | 3.6 | 5 | 2.0 | 14 | 14 | 0.09 | 3.3 | |
| 95% tile | 3.3 | 0.31 | 3.9 | 13 | 17 | 9.1 | 39 | 77 | 7.38 | 11.7 | |
| Maximum | 3.3 | 0.31 | 3.9 | 13 | 18 | 9.1 | 40 | 78 | 7.39 | 12.5 | |
| Woodstock (n = 4) | Mean | 3.4 | 0.24 | 4.0 | 12 | 24 | 8.5 | 27 | 55 | 6.91 | 10.2 |
| Median | 3.0 | 0.24 | 3.8 | 12 | 20 | 8.1 | 26 | 58 | 6.93 | 9.5 | |
| Std Dev | 1.5 | 0.08 | 0.9 | 2.1 | 12 | 1.5 | 14 | 12 | 0.17 | 1.7 | |
| 95% tile | 5.2 | 0.32 | 5.0 | 14 | 39 | 10 | 42 | 64 | 7.07 | 12.3 | |
| Maximum | 5.5 | 0.33 | 5.2 | 14 | 42 | 11 | 45 | 64 | 7.09 | 12.7 | |
| London (n = 4) | Mean | 2.8 | 0.23 | 3.4 | 11 | 14 | 8.2 | 15 | 46 | 6.84 | 10.6 |
| Median | 2.2 | 0.23 | 3.4 | 11 | 12 | 8.2 | 12 | 46 | 7.12 | 9.7 | |
| Std Dev | 1.5 | 0.04 | 0.6 | 2.4 | 8 | 1.7 | 9 | 10 | 0.63 | 4.8 | |
| 95% tile | 4.6 | 0.28 | 4.0 | 13 | 24 | 10 | 26 | 56 | 7.21 | 16.0 | |
| Maximum | 5.0 | 0.28 | 4.1 | 13 | 26 | 10 | 28 | 56 | 7.22 | 16.8 | |
| Chatham (n = 4) | Mean | 3.3 | 0.20 | 5.1 | 13 | 14 | 13 | 15 | 48 | 7.21 | 9.4 |
| Median | 3.0 | 0.19 | 5.0 | 14 | 15 | 13 | 13 | 46 | 7.25 | 9.3 | |
| Std Dev | 1.0 | 0.03 | 1.5 | 3.2 | 4 | 4.4 | 6 | 19 | 0.09 | 2.3 | |
| 95% tile | 4.5 | 0.24 | 6.5 | 16 | 18 | 17 | 22 | 68 | 7.27 | 11.8 | |
| Maximum | 4.8 | 0.25 | 6.6 | 16 | 18 | 17 | 23 | 71 | 7.27 | 11.9 |
| PC1 | PC2 | Uniqueness | |
|---|---|---|---|
| As | 0.930 | ||
| Cd | 0.667 | 0.544 | |
| Co | 0.944 | 0.108 | |
| Cr | 0.757 | 0.320 | |
| Cu | 0.746 | 0.296 | |
| Fe | 0.875 | 0.221 | |
| Ni | 0.941 | 0.091 | |
| Pb | 0.783 | 0.377 | |
| Zn | 0.783 | 0.373 | |
| Eigenvalue | 3.844 | 1.895 | |
| Proportion variance | 0.427 | 0.211 | |
| Cumulative | 0.427 | 0.638 |
| pH | OM | FeT | Metal | ||
|---|---|---|---|---|---|
| As | R | 0.4462 | 0.0013 | −0.5986 | −0.1999 |
| p-value | <0.0001 | 0.7292 | <0.0001 | 0.052 | |
| Cd | R | 0.0389 | 0.1087 | 0.3831 | 0.0982 |
| p-value | 0.0837 | 0.3670 | 0.001 | 0.4150 | |
| Co | R | 0.0389 | −0.0315 | −0.4706 | −0.2789 |
| p-value | 0.7025 | 0.7659 | <0.0001 | 0.0071 | |
| Cr | R | 0.1932 | 0.0007 | 0.0319 | 0.1641 |
| p-value | 0.1091 | 0.9995 | 0.1390 | 0.1747 | |
| Cu | R | 0.0415 | 0.0802 | −0.2449 | 0.0380 |
| p-value | 0.6836 | 0.4299 | 0.0127 | 0.7091 | |
| Ni | R | 0.0500 | 0.2629 | −0.3522 | −0.2591 |
| p-value | 0.6230 | 0.0118 | 0.0006 | 0.0131 | |
| Pb | R | 0.1934 | 0.0427 | −0.5738 | 0.1898 |
| p-value | 0.0564 | 0.6766 | 0.0000 | 0.0618 | |
| Zn | R | 0.3666 | 0.1062 | −0.3466 | 0.3839 |
| p-value | 0.0003 | 0.3085 | 0.0006 | 0.0001 |
Disclaimer/Publisher’s Note: The statements, opinions and data contained in all publications are solely those of the individual author(s) and contributor(s) and not of MDPI and/or the editor(s). MDPI and/or the editor(s) disclaim responsibility for any injury to people or property resulting from any ideas, methods, instructions or products referred to in the content. |
© 2024 by the authors. Licensee MDPI, Basel, Switzerland. This article is an open access article distributed under the terms and conditions of the Creative Commons Attribution (CC BY) license (https://creativecommons.org/licenses/by/4.0/).
Share and Cite
Dodd, M.; Durojaiye, A.; Dupuis, J. Distribution and In Vitro Bioaccessibility of Potentially Toxic Metals in Soils at Select Urban Parks at Eastern Canadian Cities. Soil Syst. 2024, 8, 123. https://doi.org/10.3390/soilsystems8040123
Dodd M, Durojaiye A, Dupuis J. Distribution and In Vitro Bioaccessibility of Potentially Toxic Metals in Soils at Select Urban Parks at Eastern Canadian Cities. Soil Systems. 2024; 8(4):123. https://doi.org/10.3390/soilsystems8040123
Chicago/Turabian StyleDodd, Matt, Abdurrazzaq Durojaiye, and Julia Dupuis. 2024. "Distribution and In Vitro Bioaccessibility of Potentially Toxic Metals in Soils at Select Urban Parks at Eastern Canadian Cities" Soil Systems 8, no. 4: 123. https://doi.org/10.3390/soilsystems8040123
APA StyleDodd, M., Durojaiye, A., & Dupuis, J. (2024). Distribution and In Vitro Bioaccessibility of Potentially Toxic Metals in Soils at Select Urban Parks at Eastern Canadian Cities. Soil Systems, 8(4), 123. https://doi.org/10.3390/soilsystems8040123

