Abstract
The objective of the present work was to study the soil solution throughout time in pots under greenhouse conditions. The work consisted of monitoring the solution of calcareous soil and forest soil in the absence of plants, with different types of fertilization: treatment 1: absolute control (irrigation water); treatment 2: Steiner nutrient solution; treatment 3: solid fertilizers; and treatment 4: vermicompost tea (aqueous extract). The samples were collected weekly using lysimeters for 14 weeks. They were analyzed to determine the nitrate content, total nitrogen, calcium, potassium, magnesium, sodium, sulfur, zinc, boron, pH, electrical conductivity, and oxide-reduction potential. To understand the interactions between treatments, soil type, and time over ion behavior and availability, linear and polynomial models were used, selected by a cross-validation method, which resulted in robust models, where it was found that the pH behavior is associated with the type of fertilization and soil type, with the elapsed time being a nonsignificant factor. On the other hand, time influenced the dynamics of the remaining ions and their availability. It was found that the multiple polynomial model fit better for the variables: potassium, calcium, sodium (square degree), electrical conductivity, nitrates, sulfur (cubic degree), zinc, oxidation-reduction potential, nitrogen, magnesium, and boron (quartic degree).
1. Introduction
The liquid phase, soil pore water, or soil solution is a nonhomogeneous solution distinguished by marked spatial and temporary variability in concentration and composition [1]. Soil solution is a product of the interaction of several biological and physiochemical processes from different phases that form the edaphic system. The liquid phase of the soil is one of the most variable components within the soil system due to the great diversity of its components and its scattered nature, which allows complex flows of matter and energy [2]. Slight changes in the solid phase of the soil system can lead to extensive modifications in the soil solution, which in turn can be extended by the action of living components in the system [3]. Traditionally, crop nutrition focuses on the nutrient analysis of the solid soil phase, which functions as the nutrient store and provides an indication of a soil’s ability to supply nutrients to the plant but does not adequately indicate (and, in some cases, does not indicate at all) the disponibility of nutrients in the soil solution, as well as the changes induced by the roots of plants and by the edaphic microbiome [4]. However, from the perspective of studying the soil system for agricultural purposes, the soil solution is a fundamental system to study and understand due to its close relationship with crop nutrition, being the primary source from which the roots absorb all elements in their ionic forms, and which are indispensable for their development [1,2].
The soil water (soil solution) composition is dynamic and fluctuates over time, which will be reflected in the dissolved nutrient quantity. The mineral concentration will vary depending on several specific factors, such as climate, the amount of water in soil, content, pore diameter, depth of pores, type, and depth of the edaphic horizon, pH, cationic interchange capacity, redox potential, amount of organic matter in soil and microbiota activity [5]. Human activities, such as fertilization, liming, irrigation, and artificial drainage can also change the solution of the soil. Likewise, excessive tillage profoundly alters the natural structure of the soil, changing the length, connectivity, and distribution of soil pore diameters, characteristics closely related to soil water composition and the synchronization of soil–plant-microorganism interactions [6].
The behavior of ions in soil solution has been extensively described using diffusion and empirical chemical models [7,8]. However, the dynamics of soil solution composition and its relationship with the types of fertilizers used have been shallowly researched. Hernández-Díaz et al. [9] monitored soil solutions in different tomato plant growth phases to obtain nutrition reference levels. Yanai et al. [10] carried out experimentation on pots, examining the solution of four types of soil in pots with and without maize plants; they observed a relation between the decrease in the concentration of the soil solution and the absorption of the plant. Yanai et al. [11] performed a factorial experiment to monitor the soil solution over time in the presence and absence of plants and with or without the application of nitrogen to observe the effects of nitrogen on the initial composition of the soil solution and its impact on the dynamic composition of the soil solution during crop growth, as well as to observe the number of elements absorbed by the plant and its decrease in the soil solution. Yanai et al. [12] studied the effects of slow-release fertilizers on nutrient absorption by plants and the leaching potential of soil nutrients based on soil solution dynamics. They studied the soil solution over time in the presence and absence of a wheat crop under three scenarios of nitrogen supply: soluble fertilizer such as Ca(NO3)2, slow-release fertilizer, and without fertilization.
Extending the research on the dynamic behavior of soil solutions makes it convenient to use new tools for modeling, such as linear and polynomial modeling, which makes it possible to forecast qualitative and quantitative response variables from predictive qualitative and quantitative variables. However, this is not the only application that can be given to linear and polynomial models: they also allow the construction of predictive models, selecting the variables with the most significant influence on the response and discarding the variables that do not contribute relevant information or have no significant effects [13]; agronomist can use the data obtained in a growing season to predict what is expected in the following season. This type of analysis has been reported when modeling the absorption response of mineral elements in corn and rice [14], as well as in the prediction of specific soil properties such as pH, Ca, Mg, K, P, Al, and H concentration, the sum of bases, cationic interchange capacity, base saturation and aluminum saturation using spectral data from the soil at different depths [15].
In the present study, soil solution monitoring was carried out over time using suction soil-water extractors (lysimeters), which is a nondestructive method for soil structure [16]. The objective was to analyze the obtained data to build and select linear and polynomial models through methods of leave-one-out cross-validation (LOOCV), which allowed us to develop robust models of the behavior of the soil solution under the different scenarios of fertilization and types of soil.
2. Materials and Methods
2.1. Location
The study was performed under greenhouse conditions at Universidad Autónoma Agraria Antonio Narro facilities, located in Saltillo, México, from January 2015 to April 2015. Weekly records are available in Supplementary Materials.
2.2. Study Material
Two Calcisols [17] were used as study materials: a nonagricultural, non-vegetation covered soil (Calcareous) and a vegetation-covered soil (Forest) from an area with reforestation of 20 years with Pinus halepensis. The soil was collected from land belonging to the University, located at 25°21′14.87″ N and 101°2′23.25″ W for calcareous soil and 25°21′6.81″ N and 101°1′27.69″ W for forest soil. The soils used in the study have the same origin and are found in the same basin separated by a short distance (1.57 km); the difference lies in the impact of the 20 years of forest plantation. This allows appreciating the change induced by the vegetation on the chemical characteristics of the soil solution. After sampling, the soils were characterized from a physical-chemical point of view according to NOM-021-RECNAT-2000 [18] (Table 1).
Table 1.
Physical-chemical analysis of the soil.
2.3. Experiment Installation
The collected soils were deposited in 12 L plastic pots, and 24 pots per soil type (calcareous and forest) were filled, resulting in 48 pots. For each pot with soil, a lysimeter of 13 inches in length was inserted to a depth of 15 cm in the central part of the pot. Once the lysimeters were installed, pots were watered with previously characterized water (Table 2), until a solution was observed draining freely from the bottom of the pot. It should be mentioned that except for air drying and manual removal of sones and coarse matter, the soils were not brought under any physical or chemical process before the experiment took place so they could reach their natural condition as much as possible.
Table 2.
General characteristics of salinity/sodicity, cations, anions, and special determinations of irrigation water.
2.4. Description of the Treatments
The experiment consisted of the continuous application of irrigation under different nutrient supply scenarios for the two soil types: calcareous and forest, without the presence of crops; the irrigation was carried out manually to maintain the most similar possible irrigation volumes applied to different treatments; two irrigations were carried out per week of 1 L each, a sufficient volume to obtain a sufficient humidity level to get soil solution samples. Experimental treatments were treatment 1 (control): irrigation with water only; treatment 2 (Steiner): continuous application of Steiner nutrient solution [19]; treatment 3 (Solid): discontinuous and fractional application of solid fertilizers; and treatment 4 (Organic): organic fertilizer application with vermicompost tea (aqueous extract). These applications were made for the two types of soil (Figure 1).
Figure 1.
Diagram for the different nutritional contributions of each type of soil.
For the treatments with the application of inorganic fertilizers, the number of nutrients applied to the Steiner and Solid treatments were similar in quantity but different in their form of application; in both cases, the composition of irrigation water was considered (Table 2), and soluble fertilizers were used (Table 3). The total volume of water applied in irrigation for each of the treatments during the entire experiment was 28 L for each pot. For treatments using solid fertilizer irrigation provided with water acidified to ~5.5 pH using sulfuric acid (H2SO4), the application of fertilizers was fractionated three times (28 January, 4 March and 1 April 2015).
Table 3.
Fertilizers used in the preparation of the nutrient solution and in the application of the treatment in solid and fractioned form.
Organic treatment with vermicompost tea was obtained from the manure of bovine origin. The aqueous extract was made 24 h before its application. Once the solution was obtained, it was acidified to a final pH of ~5.5 with food-grade citric acid (C6H8O7) and with EC ~2 dS cm−1 through dilution with irrigation water to avoid phytotoxicity [20,21]. The mineral composition of vermicompost tea is shown in Table 4.
Table 4.
Chemical characteristics and mineral composition of vermicompost tea applied in organic treatment.
2.5. Sample Collection and Analysis
For the obtention of soil solution samples, the pots were irrigated the day before. They were allowed to reach 30 kPa measured through Irrometer tension gauges placed before the application of irrigation. Once the tension of 30 kPa was reached, all the lysimeters that were placed in the 48 pots from the beginning of the experiment and kept in the pots during the whole experiment were vacuumed. The vacuum pressure inside the lysimeters was −60 kPa, which was obtained with a hand pump. The samples were collected from the soil solution 24 h after vacuum.
The soil solution was collected once a week over 14 weeks. Three replicates per sample were obtained and placed in plastic containers for each treatment and soil type. The obtained samples were subjected to in situ analysis to determine pH with a Horiba Brand potentiometer model B-173, electric conductivity (E.C.) with a Horiba brand Spectrum Cardy Twin model; oxidation-reduction potential (ORP.) that was measured with an OMEGA brand electrode model PHH-7011 and nitrate concentration (NO3−) that was measured with selective-ion Horiba brand equipment model B-743. Subsequently, soil solution samples were analyzed in the laboratory to determine the total nitrogen content (N) by the micro-Kjeldahl technique [22], as well as potassium concentration (K+), calcium (Ca2+), magnesium (Mg2+), total sulfur (S), sodium (Na+) and boron (B) through the wet calcination technique [23] and with a Perkin Elmer ICP–OES equipment optima 8300 model.
2.6. Data Analysis
A database of 4032 (336 observations and 12 variables) was built with the data obtained. Furthermore, exploratory and graphic analyses of its dynamics over time were performed, which were used to construct multiple models and their validation (LOOCV).
Data processing for the analysis of multiple models and Leave-one-out cross-validation (LOOCV) were performed with the language and environment for statistical computing R version 3.1.1 (© 2014 The R Foundation, Vienna, Austria).
2.6.1. Multiple Polynomial and Linear Regression Analysis
The data obtained in the different soil solution measurements were analyzed with multiple linear and polynomial models using three different predictors: (1) treatments (irrigation water, Steiner, solids, and vermicompost tea); (2) type of soil (calcareous and forest soil); and (3) elapsed time of 14 weeks. The first two were considered categorical, while time was considered a numerical variable that was used under different polynomial degrees. The use of multiple linear regression methods offered the advantage of considering all the available information when building the model and therefore making more accurate estimates [11]. The models used were the following:
Multiple linear model:
Y = β0 + β1X1 + β2X2 + β3X3 ········+ βpXp + ε
Multiple polynomial model:
where:
Y = β0 + (β1X1 + β2X2) + β3X3 + β3X2 + β3X3 ········+ βpXp + ε
Β0 = the intercept term, the expected value of Y when X = 0
Β1 = the slope of the line between the Xj and the response Y, interpret βj as the average effect on an increase of one unit in Xj, keeping fixed all other predictors.
Xj = the j-th predictor
ε = the error term
One of the objectives of the use of models was to determine if all of the predictors help to rebuild the dependent variable (Y) or only a subset of predictors, which represents the values and concentrations of pH, E. C, ORP, NO3−, N, K+, Ca2+, Mg2+, Na+, S, Zn2+ and B. To verify whether there was a relationship between the variables of response and the predictors, we used a hypothesis test to test the null hypothesis:
H0: β1 = β2 = ·······= βp = 0
Versus the alternative hypothesis
Hα: At least one βj is not zero.
This hypothesis test is performed by calculating the F statistic. When there is no relationship between the response and the predictors, we would expect the F statistic to assume a value close to 1.
2.6.2. Leave-One-Out Cross-Validation
The evaluation and selection of the linear model or polynomial degree to use were carried out through a cross-validation method, considered a technique of resampling and an important tool in the practical application of many statistical learning procedures; this method estimates the test error associated with a given statistical learning method to evaluate its performance or to select the appropriate level of flexibility [13]. The test error is the average error that results from using a statistical learning method to predict the response in a new observation, meaning a measure that was not used in the formation of the method. Given a data set, the use of a particular statistical learning method is guaranteed if it results in a low-test error. The test error can be easily calculated if a designated set of tests is available. In contrast, training error can be easily calculated using the method of statistical learning for the observations used in its formation. The training error will be lower as more variables or polynomial grades are incorporated into the model, leading to an over-adjustment of the model, but with a poor performance for the prediction of new results. The error rate of training is often very different from the test error rate, and in particular, the first may dramatically underestimate the last [13].
Leave-one-out cross-validation (LOOCV) involves splitting the set of observations into two parts. Instead of creating two subsets of comparable size, a single observation (X1, Y1) is used for the validation set, and the remaining observations ((X2, Y2), ..., (Xn, Yn)) constitute the training set. For this validation method, many interactions are made as samples (n) are in the set of data [13,24]. Thus, for each of the (n) interactions, an error calculation is performed. The final result is obtained with the arithmetic mean of the n error values obtained according to the formula:
where the sum of the n error values is divided by the value of n.
3. Results
3.1. Selection of Multiple Models Using Cross-Validation
To find the most robust models, the predictive variables (treatments, soil type, and time in weeks) were subjected to multiple model analysis, wherefrom their significant effect and through cross-validation analysis, the error was estimated. Finally, the model that presented the smallest error was chosen (Table 5).
Table 5.
Error coefficients obtained by a cross-validation method for the different subsets of the explanatory variables as well as for the different polynomial grades performed in the numerical variable.
The cross-validation procedure has an advantage concerning the setting of the traditional models using R2. It provides a direct estimate of the test error and makes fewer assumptions about the accurate underlying model. In Figure 2, we see an example of the coefficients for the R2 and the coefficient of cross-validation to estimate the most robust model for prediction, in this case, the Ca2+ content in the soil solution.
Figure 2.
For the data set of the Ca2+ concentration in the soil solution, the R2 and the cross-validation error coefficient (CV) for the different polynomial grades of the numerical variable (weeks). In all polynomial grades, the two categorical variables are considered.
If we examine only the R2, it could be concluded erroneously that the model with the higher number of variables is better, ending with a model that involves all the variables. A high R2 value indicates a model with a low training error, but in addition to a high R2 value, it is desired to choose a model with a lower test error. According to the cross-validation method, the most robust model involves the variables treatment, soil type, and weeks (Table 5) with the quadratic order as indicated in Figure 2 and not necessarily the highest polynomial degree as deduced by R2.
3.2. Multiple Linear Models in the Study of the Soil Solution
According to the coefficients obtained by the cross-validation method (Table 5) for all the variables measured in the soil solution, pH was the only variable that was adjusted to the linear model, where the categorical variables predictive: treatments (irrigation water, Steiner, solid and organic) and the soil types (calcareous and forest soil types) obtained the lowest coefficient of validation error (Table 5). Therefore, the linear model indicated that the time variable did not influence the behavior and dynamics of the pH.
Multiple Linear Model with Two Predictor Variables for pH
In Table 6, we present the results of the analysis of the linear model of the pH of the soil solution and the following variables: treatments (irrigation water, Steiner, solid and organic) and soil types (calcareous and forest). According to the multiple linear model (Table 6), the reference treatment was irrigation water within the categorical variable treatments. When compared with the treatments with fertilization, significant differences were observed between the control and treatments with the application of inorganic fertilizers (Steiner and solid) (p ≤ 0.01). In contrast, the organic treatment did not show significant differences. For the categorical variable of soils, the reference variable was the forest soil, which presented significant differences when compared with the calcareous soil. Significant effects point to the existence of a relationship between the predictors and the predictor; when we observed the coefficients obtained in the model for the treatments (Table 6), we found negative coefficients, which indicated that the treatments that significantly decreased the pH of the soil solution to a greater extent by the effect of fertilizers in solid form. On the other hand, the coefficient obtained for the calcareous soil was positive, suggesting that the pH levels in the calcareous soil were higher than those in the forest soil, and the pH of the soil solution did not fluctuate by more than one unit for all treatments (Figure 3a,b).
Table 6.
Multiple linear model between pH and two explanatory variables (treatment and soil type). The reference treatment for the comparison of the different nutrient contribution scenarios was irrigation water, while the forest soil was used as a reference to compare it against the calcareous soil.
Figure 3.
pH dynamics, determined in soil solution samples for calcareous (a) and forest soils (b), under pot and greenhouse conditions under different nutrient supply scenarios, using inorganic fertilizers: nutrient solution (Steiner) and fertilizers in fractional form (solid) and organic fertilizer with vermicompost tea (aqueous extract).
3.3. Multiple Polynomial Models in the Study of the Soil Solution
According to the coefficients obtained by the method of cross-validation (Table 5), in the variables measured in the soil solution except for the pH, it was found that the multiple polynomial models were the best adjusted to explain the response variables. Obtaining models with different polynomial grades, wherein in the case of potassium, calcium, and sodium, the suitable model was of quadratic degree; for electrical conductivity, nitrates, sulfur, and zinc were of cubic degree; and for the potential of reduction oxide, nitrogen, magnesium, and boron were of quartic degree. All the polynomial models implied the categorical variables (treatments and soil types).
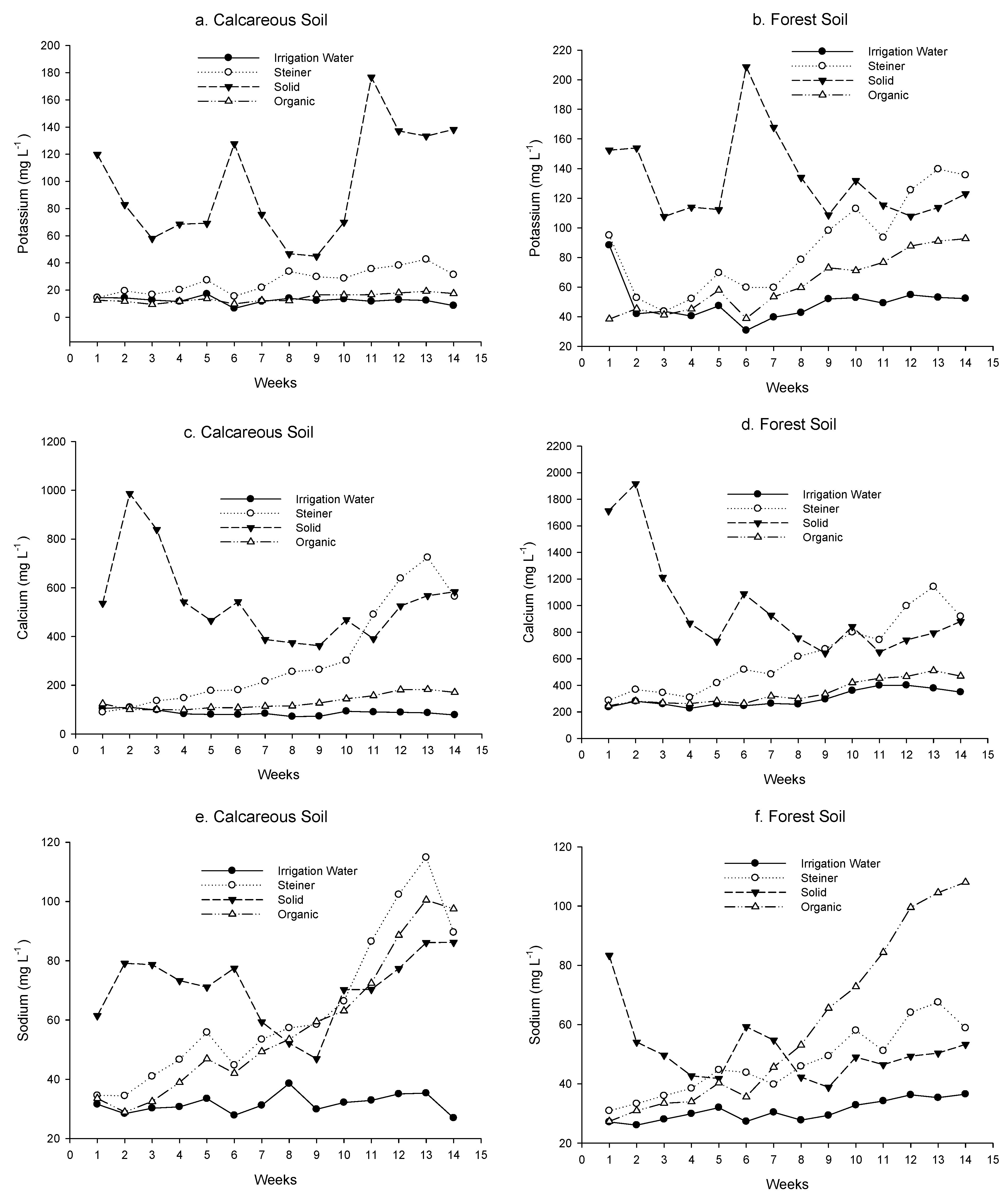
3.3.1. Multiple Polynomial Models of Second Order with Three Predictive Variables for Potassium, Calcium, and Sodium
Table 7 shows the results of the polynomial models for the variables of potassium, calcium, and sodium response with categorical variables: treatments (irrigation water, Steiner, solid, and organic), soil types (calcareous and forest); and the numerical variable of time in weeks. The potassium and calcium contents showed similar behavior according to the polynomial model. In both cases, there were significant differences between the control and treatments with inorganic fertilizers (p ≤ 0.01) based on a Steiner nutrient solution and fertilizers in solid form (Table 7). However, the organic treatment had no significant influence on the concentration of potassium or calcium in the soil solution. The categorical variable of soil types showed significant differences between calcareous and forest soil, with the latter used as the reference. According to the polynomial model, potassium and calcium showed positive coefficients for the treatment variables (Table 7), which suggests that the inorganic treatments increased the levels of these ions in the soil solution compared to the control treatment, with the Solid treatment showing the best results. For the calcareous soil variable, the coefficients obtained for both potassium and calcium were negative (Table 7), indicating that the average levels of potassium and calcium in the calcareous soil were below the levels of the forest soil at average concentrations of 45 and 295.5 mg L−1, respectively.
Table 7.
Multiple polynomial model between the content of potassium, calcium, sodium, and three variables: two explanatory variables (treatment and soil type) and one numerical variable (weeks) of quadratic degree. The reference treatment for the comparison of the different nutrient contribution scenarios was irrigation water, while the forest soil was used as a reference to compare it against the calcareous soil.
For the sodium levels in the soil solution, significant differences were found between the treatments (p ≤ 0.01) and soil types (Table 7). The coefficients obtained by the polynomial model for both the treatments and for the calcareous soil were positive, which means that all treatments contributed to increasing sodium levels in the soil solution by a general average of 26.9 mg L−1. Furthermore, it was observed that the sodium concentration was higher in calcareous soil at an average of 8.5 mg L−1 compared to the forest soil.
The significant effects found by the polynomial model of quadratic order indicate the existence of a relationship between the predictor variables and the predictor (Table 7). Within the dynamics of the cations, the dynamics were found to increase similarly but at different intensities for all treatments except for the treatment with the application of solid fertilizer, and its behavior departed from the general pattern (Figure 4).
Figure 4.
Potassium, calcium, and sodium dynamics, determined in soil solution samples for calcareous and forest soils under pot and greenhouse conditions under different nutrient supply scenarios, using inorganic fertilizers: nutrient solution (Steiner) and fertilizers in fractional (solid) form and organic fertilizer with vermicompost tea (aqueous extract).
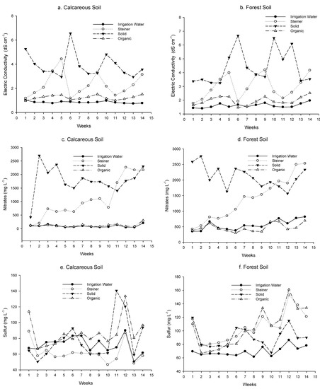
3.3.2. Multiple Polynomial Models of Third Order with Three Predictive Variables for Electrical Conductivity, Nitrates, Sulfur, and Zinc
Table 8 shows the results of the polynomial models for the response variables electrical conductivity, nitrates, sulfur, and zinc and the categorical predictive variables treatments (irrigation water, Steiner, solid and organic), soil types (calcareous and forest), and the numerical predictive variable (time in weeks) of cubic degree.
Table 8.
Multiple polynomial model between electrical conductivity, nitrates, sulfur, zinc, and three variables: two explanatory variables (treatment and soil type) and one numerical variable (weeks) of cubic degree. The reference treatment for the comparison of the different nutrient contribution scenarios was irrigation water, while the forest soil was used as a reference to compare it against the calcareous soil.
For the response variables such as electrical conductivity and sulfur, significant differences were found between treatments and soil types (p ≤ 0.01) (Table 8), which indicates the existence of a relationship between the predictor variables and the predictor. The coefficients obtained in the polynomial model for the different treatments showed positive trends. The treatment with the application of solid fertilizers showed the highest levels of electrical conductivity in the soil solution, exceeding the control by an average of 2.9 dS cm−1. On the other hand, the concentration of sulfur was favored mainly by applying the organic treatment. Comparing the levels of electrical conductivity and sulfur among soil types, lower levels were observed in the calcareous soil, as seen in the negative coefficients obtained by the polynomial model (Table 8). For the average weekly data of the electrical conductivity, it was observed that within its dynamics, treatments (irrigation water and organic) were very similar over time, while treatments with inorganic fertilizer showed a decoupling, moving in opposite directions (Figure 5a,b). Peaks of increase in the EC dynamics were observed for the treatment with solid fertilizers, which coincided with the dates of application (Figure 5a,b).

Figure 5.
Dynamics of electrical conductivity, nitrates, sulfur, and zinc, determined in samples of soil solution for calcareous and forest soils under pot and greenhouse conditions under different nutrient supply scenarios, using the Inorganic: nutrient solution (Steiner) fertilizers and fertilizers in fractional form (solid) and organic fertilizer with vermicompost tea (aqueous extract).
Significant differences were found for the response variable nitrates between the control treatment and the treatments by applying inorganic fertilizers (p ≤ 0.01). In contrast, while the organic treatment did not induce changes in the soil solution. However, despite not having significant effects of organic treatment, NO3− levels in the soil solution were lower than the control evaluated for the forest soil In contrast, in calcareous soil, its behavior was very similar (Figure 5c,d). The nitrate dynamics for inorganic treatments showed opposite patterns; while Steiner solution treatment was ascending, treatment with solid application decreased (Figure 5c,d). Comparing soil types (calcareous and forest) were found to be significantly different. Fertilizer treatment in solid form showed the highest positive coefficient (Table 8), which indicates that the treatment was the most effective at maintaining a high concentration of nitrate in the soil solution; when comparing soil types, the coefficient obtained by the polynomial model (Table 8) indicated that the calcareous soil presented average nitrate levels of 361.7 mg L−1 below the forest soil.
The treatments did not show significant effects on the zinc content in the soil solution except for the treatment where fertilizers were applied in solid form (p ≤ 0.01), exceeding the control treatment according to the coefficient obtained in an average of 0.47 mg L−1 (Table 8). Zn increases because solid fertilizer occurred in the first half of the study, showing a similar pattern in their dynamics for both soil types (Figure 5g,h). Significant differences were found between the soil types. According to their negative coefficient recorded by the calcareous soil (Table 8), greater Zn availability was deduced in the black forest soil solution.
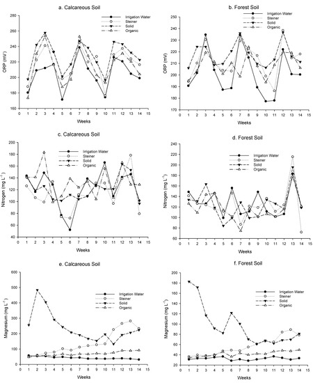
3.3.3. Multiple Polynomial Models of Fourth Order with Three Predictive Variables for the Oxide-Reduction Potential, Nitrogen, Magnesium, and Boron
For these last four response variables, the multiple polynomial model that was best adjusted according to the cross-validation error coefficient (Table 5) included the two categorical variables (treatment and soil type) and the numerical variable in the quartic degree.
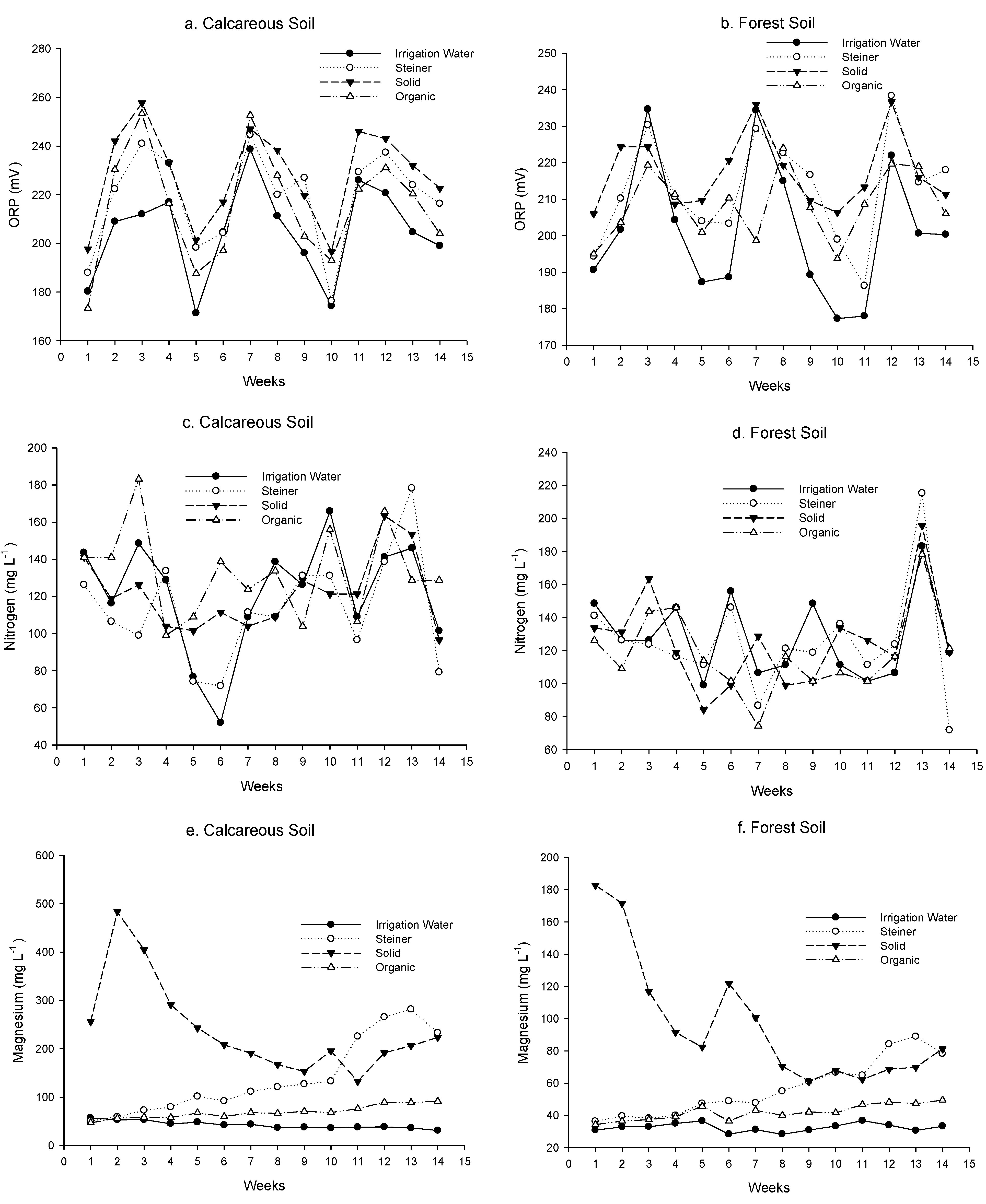
For the response variables ORP and magnesium, the results of the multiple polynomial models are shown in Table 9, with significant differences between the inorganic and organic treatments compared to the control treatment, and between soil types (calcareous and forest). The coefficients obtained through the multiple polynomial model indicate that for both ORP and Mg2+, the treatment with the greatest impact on the mentioned variables was the application of fertilizers in solid form, surpassing the control in an average value of 19.53 mV and 130 mg L−1, respectively. In contrast, when comparing soil types, the soil of calcareous origin surpassed forest soil at ORP levels and Mg2+ concentration according to the coefficients of the model (Table 9). Furthermore, the ORP dynamics for both soil types showed a temporal pattern with fluctuations over time (Figure 6a,b) with oscillations of 160 to 260 mV. On the other hand, Mg2+ exhibited a trend toward increasing the two soil types for all treatments except for the treatment with solid fertilizer application, observing that its behavior departs from the general pattern (Figure 6e,f).
Table 9.
Multiple linear model between the potential oxidation-reduction, nitrogen, boron, and three variables: two explanatory variables (treatment and soil type) and one numerical variable (weeks) of quartic degree. The reference treatment for the comparison of the different nutrient contribution scenarios was irrigation water, while the forest soil was used as a reference to compare it against the calcareous soil.

Figure 6.
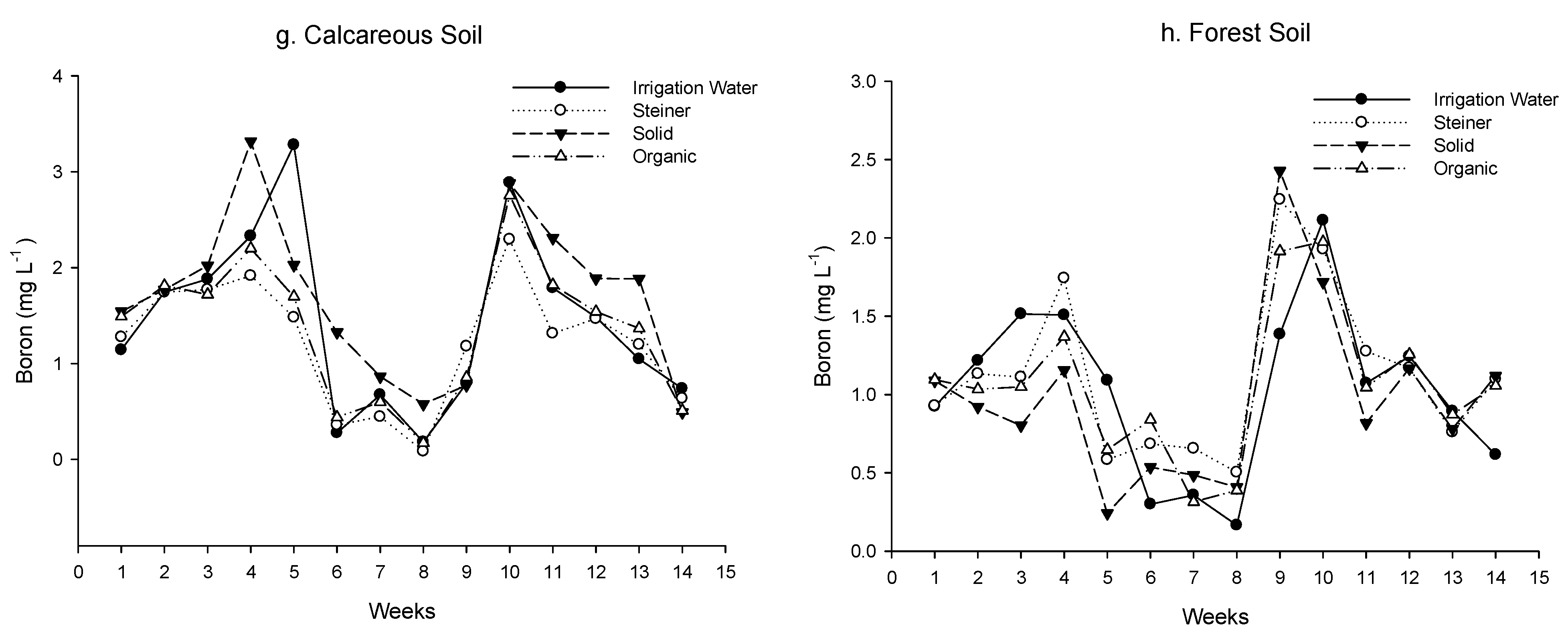
Dynamics of the oxide reduction potential (ORP), total nitrogen, magnesium, and boron, determined in soil solution samples for a calcareous and forest soil, under pot and greenhouse conditions, submitted to different contribution scenarios of nutrients, through inorganic fertilizers: nutrient solution (Steiner) and fertilizers in fractional form (solid) and organic fertilizer with vermicompost tea (aqueous extract).
The application of the different fertilization scenarios (organic and inorganic) did not show significant effects on the nitrogen and boron contents in the soil solution (Table 9). However, in the case of nitrogen, a slight decrease was observed in treatments with inorganic fertilizers. For boron, negative coefficients were observed for the treatment with Steiner solution and organic treatment, which indicates that the boron concentration for these two treatments was below the control treatment (Table 9). When comparing the calcareous soil against the forest soil, statistical significance was only found for the boron response variable in the soil solution. Based on the coefficient obtained for the calcareous soil in the multiple polynomial analysis, the calcareous soil with an average concentration of 0.38 mg L−1 of boron was higher than the forest soil.
The dynamics of nitrogen showed variations over time without showing a recognizable pattern in its behavior (Figure 6c,d), while the dynamic behavior of boron fluctuated over time, and a very similar pattern was observed between the two soil types, where a drop in their levels can be noted in the intermediate stage of the experiment (Figure 6g,h).
The presence of significant effects on the response variables through the polynomial models of quadratic degree is a sign of the existence of the relationship between the predictors and the predictor.
4. Discussion
The application of the different types of fertilization in the calcareous soil and the black forest soil showed different effects on the concentration of the elements in the soil solution. The treatments of application of inorganic fertilizers showed superiority in the content of the various variables measured in the solution of the soil in comparison with the rest of the treatments, except for sulfur. The treatment with the fertilizer application in solid form showed the highest concentration of ions, followed by the treatment with the application of the Steiner nutrient solution, and finally, the organic treatment with vermicompost tea. It should be mentioned that the organic treatment did not show significant effects on the concentrations of the different ions measured in the soil solution, except for sulfur, sodium, and manganese.
From an agricultural point of view, the application of nutrient solutions presents dosage advantages, greater efficiency, and localized applications. Still, despite this, the treatment with the application of solid fertilizers showed higher levels of dissolved ions in the soils (calcareous and forest), possibly due to the nutrient supply in a controlled way over time, although the fertilizers used were water-soluble and not slow release.
Water in soil pores is intimately linked to the physical and chemical properties of the solid phase, and their impact on the volume of water and the presence of elements in the soil solution will depend on the amount of water applied to the soil [25], either as irrigation water or nutrient solutions: organic and inorganic. Soil solution, according to the results obtained for the control, Steiner, and organic treatments, presented very similar patterns in their dynamics with tendencies toward the increase as time progressed, a different situation than that presented the treatment in solid form, where their dynamics showed patterns that deviated from the general behavior of other treatments.
Solid fertilization is not homogeneous, but it is instead placed at specific points for later dissolution. Therefore, it is a point source of chemical elements, causing significant variations in the EC and the concentration of ions at particular points where the fertilizer was applied [26]. Once the irrigation water comes in contact with the solid fertilizers, the heterogeneity of their distribution will create temporal, substantial concentration gradients, as presented in the case of K+, Ca2+, Na+, NO3−, and Zn2+.
4.1. pH, Oxide-Reduction Potential, and Electrical Conductivity in Soil Solution
The pH was lower in the soil solution for the treatment with solid fertilizer application. The decrease in pH was possibly a critical factor in the availability of elements such as Mg2+, NO3−, K+, Ca2+, Na+, and Zn, with their higher concentrations for the treatment mentioned. Most likely, the main factor that led to the decrease in pH was the application of sulfuric acid (H2SO4) and citric acid for the acidification of irrigation water. This phenomenon was observed in calcareous soil for all treatments; a contrary situation was found in the forest soil for organic treatment, where the effect of citric acid on the soil solution was not reflected. This may be related to the greater buffering power of the soil associated with both organic matter present in the soil and for which it is being contributed by vermicompost tea [27], thus neutralizing the acidifying power of citric acid and causing the pH to increase because of organic treatment. In general terms, when comparing soil types, the pH of the forest soil presented a minor variation in its dynamics compared to the calcareous soil. It is possible that the lower variability depended on the organic matter content, which increased the soil buffer power and allowed the maintenance of the pH values within ranges shorter than those shown by the calcareous soil [28]. The presence of CaCO3 must also be considered, which is the primary buffering substance for acidity [29].
The ORP showed an inverse pattern in its behavior compared to pH. This behavior is characteristic of the redox reactions that originate in the soil, where the oxidative processes produce H+ and cause acidification, and the reductive processes consume H+ and raise the pH [30]. The treatment with solid fertilizers presented higher values of ORP, which can be interpreted as an increase in the level of oxidation of the soil solution; treatment with Steiner solution resulted in lower ORP values, and organic treatment resulted in lower (reduced) values for ORP. However, when comparing the soil types, no adjustment was observed to the expected relationship, since the calcareous soil presented higher values of pH and ORP. In the forest soil, the opposite was true. One possible explanation is that ORP values can vary widely at the same pH value depending on the profile of oxidizing compounds present [31]. Another possibility is that the response of pH and ORP in the case of forest soil could be associated with the presence of organic matter and organic compounds such as sugars or other organic substances soluble in the soil solution, which give reductive power to the environment, amending several changes in the soil solution chemistry [30,32]. ORP often varies greatly in short times, as it was for all treatments. This variation is due to the heterogeneity of soils and microsites with different concentrations of O2 resulting from different sizes of soil pores, the content of water and microbial metabolism, and the prevailing chemical reactions [4,33]. It has been reported that the temporal variability of the redox potential at a single point in the soil can vary by 1000 mV or more if the soil is periodically saturated or flooded and by periodic drainage as the system changes from aerobic to anaerobic and vice versa [34], a situation presented for calcareous soil, which presented a higher bulk density and therefore a lower porosity and lower drainage (Table 1). In the case of forest soil, variability is associated with a more significant amount of organic matter and the microbial metabolism associated with it [35,36,37].
The EC increase in the soil solution was the result of the use of inorganic fertilizers, especially the treatment where fertilizers were added in solid form, which contributed to the increase in Mg2+, K+, Ca2+, and Na+ and NO3−, the cations, and anions, the cations generally associated with the increase in EC [1,38,39]. The high EC levels of up to 7 dS cm−1 exhibited by the treatment in solid form could not be considered adequate since they could decrease the water availability to the plants [40]. As the soil salt content increases, specific ion toxicity limits plant growth [41]. In nutrient solutions, it has been observed that many crop plant species are negatively affected by EC > 4 dS cm−1 [42]. However, the effects of salinity in soils also depend on soil texture, water content, and salt composition [4]. It is worth mentioning that EC in forest soil was superior, possibly due to the action of the organic matter that acts by retaining and releasing ions, modifying physical, chemical, and biological properties associated with soil sorption capacity, soil water retention, and soil density and possibly preventing leaching [43,44].
4.2. Concentrations of the Different Ions in the Soil Solution
The concentration of ions in the soil solution was favored by applying inorganic fertilizers and, to a greater extent, by treatment with the application of solid fertilizers. Similar results were found by [45], where the application of fertilizer led to a significant increase in the content of K in the soil in three chestnut orchards that were fertilized during two vegetative periods compared to the previous nonfertilized year. The increases in Ca2+, NO3−, Zn, and K+ in the soil solution were higher for black forest soil in conjunction with solid fertilizers. The direct effect on the availability of these elements could be given by the water content in the soil, which is a limiting factor in the availability and supply of nutrients [4], highlighting that the forest soil has a higher bulk density (expected greater porosity) and a greater capacity of retention of humidity. Similarly, high levels of organic matter could increase the availability of nutrients [46]. The K+ concentration in forest soil solution compared to the calcareous soil was higher in all treatments, probably due to the moderately high levels of this K+ in the solid phase of the soil. The results indicated a significant increase in NO3− in the soil solution by the effect of the fertilizers. It was observed that the application of irrigation water and vermicompost tea increased the concentration of NO3− in the solution of the forest soil compared to that of the calcareous soil, possibly due to the mineralization processes of organic matter present in the forest soil, where commonly more than 90% of organic nitrogen is found [1]. The decomposition of organic nitrogen that eventually leads to nitrate formation is associated with the production of a strong acid (nitric acid) [1], probably involved in the lower pH values found in the soil solution of the forest soil. Although there were differences in the NO3− content in the soil solution due to the treatments, it would be expected to find the same behavior for the total nitrogen content, which did not occur. The nonexistence of these differences could be due to the presence of other forms of nitrogen in the soil solution, such as organic compounds of low molecular weight and NH4+. However, a slight increase in this nitrogen was observed with the application of vermicompost tea. It has been reported that the application of liquid manure may lead to a transient increase of soluble NH4+ [47,48].
The pH influenced the availability of elements, as is the case for Ca2+, which is positively related to high pH values [49]. The reduction of pH and the ORP would be the probable cause by which the availability of Zn is increased for forest soil [50,51,52] compared to the calcareous soil. The concentration of Zn in the soil solution is determined by the adsorption and desorption processes that occur in the soil matrix; therefore, the concentration not only of Zn but also several elements at a given pH of the soil can also depend on other components of the solute as well as the organic matter content of the soil and the microbial activity [53]. The presence of organic matter in forest soil could influence the content of low molecular weight organic substances acting as chelates for Zn and Ca2+ [1], reducing its sorption to minerals [54]. The low concentration of Zn in calcareous soil was probably due to the slow diffusion of the element, with diffusion coefficients 50-fold lower in soils with high pH compared to low pH soils [55]. In alkaline soils, Zn complexes with CaCO3 [56], and reactions with oxides through adsorption, strongly bind Zn and regulate the amount of Zn in the soil solution [56,57,58]. The levels of the Ca2+ present in the soil solution were adequate for all treatments and soil types if we take as a reference the concentration that contains a nutrient solution for the development of crops. These levels in the soil solution are explained by the high Ca2+ content naturally present in soils and irrigation water. The concentration of Ca2+ was even more favored by fertilizer applications, to a greater extent by fertilizers in solid form.
When comparing soil types, black forest soil had a higher Ca2+ concentration than calcareous soil. It is known that the availability of calcium in calcareous soil is due to the reactions of calcium carbonates with CO2 and H+ forming Ca(HCO3)2, which is more soluble in water [59,60] releasing Ca2+ to the liquid phase. These reactions, to some extent, may explain why the presence of organic matter in the forest soil favored the availability of Ca2+ [1].
The increase in Na+ and Mg2+ in the soil solution is attributed to the contribution of the fertilizer in solid form, with a more apparent effect on the calcareous soil, which can be explained by the high levels of Mg2+ and Na+ interchangeable in the soil. The lower availability of Mg2+ in forest soil was possibly due to the presence of high concentrations of Ca2+ and K+ in this soil and, in some cases, NH4+. In addition, the interaction of Mg and soil organic matter can promote clay flocculation, limiting the availability of Mg [61,62,63]. The lower porosity presented in the calcareous soil could have influenced the greater presence of B due to the difficulty in its drainage, which caused the accumulation of this element [64]; In addition, a more significant amount of boron specifically adsorbed bound to oxide, residual and total have been found in soils with a high CaCO3 content [65,66], based on this fact, it is more probable that the solubility of the B decrease, but its concentration can be compensated for by the lower leaching mentioned above and/or by the supply of B in the irrigation water [4]. Although the forest soil presented more organic matter content, which is closely associated with the accumulation and availability of B in the soil, the power of fixing this element by the organic content could increase over time, decreasing its concentration in the soil solution [67]. Clay particles have a similar power of fixing on boron, causing them to be relatively inaccessible for plant absorption [68].
The increase in S in the soil solution is attributed to the presence of organic matter in the forest soil and the incorporation of the S-rich vermicompost tea treatment (Table 4). Similarly, the S in the soil solution results from the decomposition processes of the organic matter by the microorganisms, which release sulfates, contributing to increasing the levels of this element in the soil solution [1].
5. Conclusions
It was found that the model that best predicts pH behavior in soil solution was the multiple linear model using categorical variables (treatments and types of soil). The multiple polynomial models were best adjusted for the variables: potassium, calcium, sodium (quadratic grade), electrical conductivity, nitrates, sulfur (cubic degree), zinc, oxidation-reduction potential, nitrogen, magnesium, and boron (quartic grade).
The treatments application with fertilizers (organic and inorganic) increased the mineral contents in both soil types.
The concentrations of K+, Ca2+, S, Zn2+, N, and C.E increased in the soil solution of forest soil. While the values of pH, Na+, ORP, Mg2+, and B increased for the calcareous soil. The minerals content in the soil solution increased by the contribution of fertilizers as follows: solid fertilizers > Steiner > vermicompost tea > irrigation water. The treatments dynamics in the two soil types were similar, but the variation was less for the forest soil.
The cations, such as Ca2+, K+, Mg2+, Na+, and anions, such as nitrates, showed an increasing dynamic with the Steiner application; and a dynamic to decrease with the application of the solid fertilizer.
The Steiner application treatment showed adequate levels of ions in the solution of both soils. Unique temporal patterns were found for the dynamics of treatment behavior through the application of solid fertilizers.
Supplementary Materials
The following supporting information can be downloaded at: https://www.mdpi.com/article/10.3390/soilsystems6020042/s1, Table S1. Weekly means and error standard for the variables in the two soil types.
Author Contributions
Conceptualization, A.B.-M. and M.H.R.-V.; methodology, A.B.-M., M.H.R.-V., W.A.N.-O. and M.C.-D.l.F.; software, M.H.R.-V. and W.A.N.-O.; validation, M.H.R.-V. and A.B.-M.; formal analysis, A.B.-M., M.H.R.-V. and W.A.N.-O.; investigation, A.B.-M., M.H.R.-V., W.A.N.-O. and M.C.-D.l.F.; resources, A.B.-M., M.H.R.-V. and M.C.-D.l.F.; data curation, M.H.R.-V. and W.A.N.-O.; writing—original draft preparation, W.A.N.-O.; writing—review and editing, A.B.-M., M.H.R.-V., W.A.N.-O. and M.C.-D.l.F.; visualization, A.B.-M., M.H.R.-V. and M.C.-D.l.F.; supervision, A.B.-M., M.H.R.-V. and M.C.-D.l.F.; project administration, A.B.-M.; funding acquisition, A.B.-M. All authors have read and agreed to the published version of the manuscript.
Funding
This research received no external funding.
Conflicts of Interest
The authors declare no conflict of interest.
References
- Mengel, K.; Kirkby, E.A. Principles of Plant Nutrition, 5th ed.; Springer: Dordrecht, The Netherlands, 2001. [Google Scholar]
- Snakin, V.V.; Prisyazhnaya, A.A.; Kovács-Láng, E. Soil Liquid Phase Composition; Elsevier Science B.V.: Amsterdam, The Netherlands, 2001. [Google Scholar]
- Hillel, D. Fundamentals of Soil Physics; Academic Press Inc.: New York, NY, USA, 1980. [Google Scholar]
- Marschner, P. Marschner’s Mineral Nutrition of Higher Plants, 3rd ed.; Elsevier: London, UK, 2012. [Google Scholar]
- Asher, C. Natural and Synthetic Culture Media for Spermatophytes. In Section G: Diets, Culture Media, Food Supplements; Rechigl, M., Ed.; CRC Handbook Series in Nutrition and Food; CRC Press: Cleveland, OH, USA, 1978; Volume 3, pp. 575–609. [Google Scholar]
- Ratsep, R.; Nihlgård, B.; Bashkin, V.; Blazka, P.; Emmet, B.; Harris, J.; Kruk, M. Agricultural Impacts in the Northern Temperate Zone. In Biogeochemistry of Small Catchmentes: A Tool for Research; Moldan, B., Cerney, J., Eds.; John Wiley & Sons Inc.: New York, NY, USA, 1994; pp. 361–382. [Google Scholar]
- Sparks, D.L. Kinetics of Soil Chemical Processes; Academic Press, Inc.: San Diego, CA, USA, 1989; ISBN 0-12-656440-X. [Google Scholar]
- Aharoni, C.; Sparks, D.L.; Levinson, S.; Ravina, I. Kinetics of Soil Chemical Reactions: Relationships between Empirical Equations and Diffusion Models. Soil Sci. Soc. Am. J. 1991, 55, 1307–1312. [Google Scholar] [CrossRef]
- Hernández Díaz, M.I.; Chailloux Laffta, M.; Moreno Placeres, V.; Igarza Sánchez, A.; Ojeda Veloz, A. Nutrient Levels of Reference in the Soil Solution to the Nutrition Diagnostic in the Tomato Protected Crop. Idesia (Arica) 2014, 32, 79–88. [Google Scholar] [CrossRef]
- Yanai, J.; Araki, S.; Kyuma, K. Effects of Plant Growth on the Dynamics of the Soil Solution Composition in the Root Zone of Maize in Four Japanese Soils. Soil Sci. Plant Nutr. 1995, 41, 195–206. [Google Scholar] [CrossRef]
- Yanai, J.; Linehan, D.J.; Robinson, D.; Young, I.M.; Hackett, C.A.; Kyuma, K.; Kosaki, T. Effects of Inorganic Nitrogen Application on the Dynamics of the Soil Solution Composition in the Root Zone of Maize. Plant Soil 1996, 180, 1–9. [Google Scholar] [CrossRef]
- Yanai, J.; Kosaki, T.; Nakano, A.; Kyuma, K. Application Effects of Controlled-Availability Fertilizer on Dynamics of Soil Solution Composition. Soil Sci. Soc. Am. J. 1997, 61, 1781–1786. [Google Scholar] [CrossRef]
- James, G.; Witten, D.; Hastie, T.; Tibshirani, R. An Introduction to Statistical Learning with Applications in R.; Springer Texts in Statistics; Springer: New York, NY, USA, 2013; ISBN 978-1-07-161418-1. [Google Scholar]
- Li, F.; Shan, X.; Zhang, T.; Zhang, S. Evaluation of Plant Availability of Rare Earth Elements in Soils by Chemical Fractionation and Multiple Regression Analysis. Environ. Pollut. 1998, 102, 269–277. [Google Scholar] [CrossRef]
- Genú, A.M.; Demattê, J.A.M. Prediction of Soil Chemical Attributes Using Optical Remote Sensing. Acta Sci. Agron. 2011, 33, 723–727. [Google Scholar] [CrossRef]
- van der Ploeg, R.R.; Beese, F. Model Calculations for the Extraction of Soil Water by Ceramic Cups and Plates. Soil Sci. Soc. Am. J. 1977, 41, 466–470. [Google Scholar] [CrossRef]
- FAO. World Reference Base for Soil Resources 2014: International Soil Classification System for Naming Soils and Creating Legends for Soil Maps; FAO: Rome, Italy, 2014; ISBN 978-92-5-108369-7. [Google Scholar]
- NOM-021-RECNAT-2000 Norma Mexicana NOM-021-RECNAT-2000. Norma Mexicana Que Establece Las Especificaciones de Fertilidad, Salinidad y Clasificación de Suelos. Estudios, Muestreos y Análisis. 2000. Available online: https://catalogonacional.gob.mx/FichaRegulacion?regulacionId=22947 (accessed on 17 April 2022).
- Steiner, A.A. A Universal Method for Preparing Nutrient Solutions of a Certain Desired Composition. Plant Soil 1961, 15, 134–154. [Google Scholar] [CrossRef]
- Oliva-Llaven, M.Á.; Rodríguez-Hernández, L.; Mendoza-Nazar, P.; Ruiz-Sesma, B.; Álvarez-Solís, J.D.; Dendooven, L.; Gutiérrez-Miceli, F.A. Optimization of Worm-Bed Leachate for Culturing of Tomato (Lycopersicon Esculentum Mill) Inoculated with Glomus Fasciculatum and Pseudomonas Fluorescens. Electron. J. Biotechnol. 2010, 13, 4–5. [Google Scholar] [CrossRef]
- Carballo, T.; Gil, M.V.; Calvo, L.F.; Morán, A. The Influence of Aeration System, Temperature and Compost Origin on the Phytotoxicity of Compost Tea. Compost. Sci. Util. 2009, 17, 127–139. [Google Scholar] [CrossRef]
- Muller, L. Un Aparato Micro Kjeldahl Simple Para Análisis Rutinarios Rápidos de Materias Vegetales. Turrialba 1961, 11, 17–25. [Google Scholar]
- Fick, K.R.; Miller, S.M.; Funk, J.D.; McDowell, L.R.; Houser, R.H. Methods of Mineral Anaysis for Plant and Animal Tissues, 2nd ed.; University of Florida, Institute of Food and Agriculture: Gainesville, FL, USA, 1976. [Google Scholar]
- Arlot, S.; Celisse, A. A Survey of Cross-Validation Procedures for Model Selection. Statistics Surv. 2010, 4, 40–79. [Google Scholar] [CrossRef]
- Neilsen, D.R.; Jackson, R.D.; Cary, J.W.; Evans, D.D. Soil Water; American Society of Agronomy and Soil Science of America: Madison, WI, USA, 1972. [Google Scholar]
- Sposito, G. The Thermodynamics of Soil Solutions; Oxford University Press: Oxford, UK, 1981; ISBN 0-19-857568-8. [Google Scholar]
- Durán-Umaña, L.; Henríquez-Henríquez, C. El vermicompost: Su efecto en algunas propiedades del suelo y la respuesta en planta. Agron. Mesoam. 2010, 21, 85–93. [Google Scholar] [CrossRef]
- Navarro-García, G.; Navarro-García, A. Química Agrícola: Química Del Suelo y de Los Nutrientes Esenciales Para Las Plantas, 2nd ed.; Ediciones Mundi-Prensa: Zaragoza, Italy, 2003. [Google Scholar]
- Moslehi, M.; Habashi, H.; Khormali, F.; Ahmadi, A.; Brunner, I.; Zimmermann, S. Base Cation Dynamics in Rainfall, Throughfall, Litterflow and Soil Solution under Oriental Beech (Fagus Orientalis Lipsky) Trees in Northern Iran. Ann. For. Sci. 2019, 76, 55. [Google Scholar] [CrossRef]
- Gaiser, T.; Stahr, K. Soil Organic Carbon, Soil Formation and Soil Fertility. In Ecosystem Services and Carbon Sequestration in the Biosphere; Lal, R., Lorenz, K., Hüttl, R.F., Schneider, B.U., von Braun, J., Eds.; Springer: Dordrecht, The Netherlands, 2013; pp. 407–418. ISBN 978-94-007-6455-2. [Google Scholar]
- James, C.N.; Copeland, R.C.; Lytle, D.A. Relationships between Oxidation–Reduction Potential, Oxidant, and PH in Drinking Water. In Proceedings of the Water Quality Technology Conference; American Water Works Association: San Antonio, TX, USA, 2004; pp. 1–13. [Google Scholar]
- Aharonov-Nadborny, R.; Tsechansky, L.; Raviv, M.; Graber, E.R. Mechanisms Governing the Leaching of Soil Metals as a Result of Disposal of Olive Mill Wastewater on Agricultural Soils. Sci. Total Environ. 2018, 630, 1115–1123. [Google Scholar] [CrossRef] [PubMed]
- Bhanja, S.N.; Wang, J. Estimating Influences of Environmental Drivers on Soil Heterotrophic Respiration in the Athabasca River Basin, Canada. Environ. Pollut. 2020, 257, 113630. [Google Scholar] [CrossRef] [PubMed]
- Vepraskas, M.J.; Polizzotto, M.; Faulkner, S.P. Redox Chemistry of Hydric Soils. In Wetland Soils: Genesis, Hydrology, Landscapes, and Classification; Vepraskas, M.J., Craft, C.B., Eds.; CRC Press: Boca Raton, FL, USA, 2016. [Google Scholar]
- Crozier, C.R.; Devai, I.; DeLaune, R.D. Methane and Reduced Sulfur Gas Production by Fresh and Dried Wetland Soils. Soil Sci. Soc. Am. J. 1995, 59, 277–284. [Google Scholar] [CrossRef]
- Parkin, T.B. Soil Microsites as a Source of Denitrification Variability. Soil Sci. Soc. Am. J. 1987, 51, 1194–1199. [Google Scholar] [CrossRef]
- Li, H.-Y.; Wang, H.; Wang, H.-T.; Xin, P.-Y.; Xu, X.-H.; Ma, Y.; Liu, W.-P.; Teng, C.-Y.; Jiang, C.-L.; Lou, L.-P.; et al. The Chemodiversity of Paddy Soil Dissolved Organic Matter Correlates with Microbial Community at Continental Scales. Microbiome 2018, 6, 187. [Google Scholar] [CrossRef]
- Corwin, D.L.; Yemoto, K. Salinity: Electrical Conductivity and Total Dissolved Solids. Soil Sci. Soc. Am. J. 2020, 84, 1442–1461. [Google Scholar] [CrossRef]
- Charley, J.L.; Mcgarity, J.W. High Soil Nitrate-Levels in Patterned Saltbush Communities. Nature 1964, 201, 1351–1352. [Google Scholar] [CrossRef]
- Sonneveld, C.; Voogt, W. Plant Nutrition of Greenhouse Crops; Springer: Dordrecht, The Netherlands, 2009. [Google Scholar]
- Sheldon, A.R.; Dalal, R.C.; Kirchhof, G.; Kopittke, P.M.; Menzies, N.W. The Effect of Salinity on Plant-Available Water. Plant Soil 2017, 418, 477–491. [Google Scholar] [CrossRef]
- Benton Jones, J. Plant Nutrition and Soil Fertility Manual, 2nd ed.; CRC Press: Boca Raton, FL, USA, 2012; ISBN 978-1-4398-1609-7. [Google Scholar]
- Kacprzak, M.; Kupich, I.; Jasinska, A.; Fijalkowski, K. Bio-Based Waste’ Substrates for Degraded Soil Improvement—Advantages and Challenges in European Context. Energies 2022, 15, 385. [Google Scholar] [CrossRef]
- Akinrinde, E.A. Soils: Nature, Fertility Conservation and Management; AMS Publishing, Inc.: Vienna, Austria, 2004. [Google Scholar]
- Toprak, S. Balanced Basic Fertilization in Sweet Chestnut (Castanea Sativa Mill.): Vertical Distribution of Plant Nutrients in Different Soil Textures. Alinteri J. Agric. Sci. 2021, 31, 7–13. [Google Scholar] [CrossRef]
- Sarker, J.R.; Singh, B.P.; Dougherty, W.J.; Fang, Y.; Badgery, W.; Hoyle, F.C.; Dalal, R.C.; Cowie, A.L. Impact of Agricultural Management Practices on the Nutrient Supply Potential of Soil Organic Matter under Long-Term Farming Systems. Soil Tillage Res. 2018, 175, 71–81. [Google Scholar] [CrossRef]
- Cao, Y.; Ma, Y.; Guo, D.; Wang, Q.; Wang, G. Chemical Properties and Microbial Responses to Biochar and Compost Amendments in the Soil under Continuous Watermelon Cropping. Plant Soil Environ. 2017, 63, 1–7. [Google Scholar] [CrossRef]
- Barekzai, A.; Becker, A.; Mengel, K. Effect of Slurry Application on the EUF-N-Fractions in an Arable and a Grassland Soils; VDLUFA-Schriftenr. 28, Congress: Darmstadt, Germany, 1988; pp. 27–42. [Google Scholar]
- Borges, J.A.; Barrios, M.; Sandoval, E.; Bastardo, Y.; Márquez, O. Características Físico-Químicas Del Suelo y Su Asociación Con Macroelementos En Áreas Destinadas a Pastoreo En El Estado Yaracuy. Bioagro 2012, 24, 121–126. [Google Scholar]
- Miao, S.; DeLaune, R.D.; Jugsujinda, A. Influence of Sediment Redox Conditions on Release/Solubility of Metals and Nutrients in a Louisiana Mississippi River Deltaic Plain Freshwater Lake. Sci. Total Environ. 2006, 371, 334–343. [Google Scholar] [CrossRef]
- Sanders, J.R. The Effect of PH on the Total and Free Ionic Concentrations of Mnganese, Zinc and Cobalt in Soil Solutions. J. Soil Sci. 1983, 34, 315–323. [Google Scholar] [CrossRef]
- Sims, J.L.; Patrick Jr., W. H. The Distribution of Micronutrient Cations in Soil Under Conditions of Varying Redox Potential and PH. Soil Sci. Soc. Am. J. 1978, 42, 258–262. [Google Scholar] [CrossRef]
- Srivastava, O.P.; Sethi, B.C. Contribution of Farm Yard Manure on the Build up of Available Zinc in an Aridisol. Commun. Soil Sci. Plant Anal. 1981, 12, 355–361. [Google Scholar] [CrossRef]
- Chen, Y.; Jia, Z.; Liu, K.; Tian, X.; Wang, S.; Wang, S.; Li, X.; Zhao, H.; Shar, A.G. Response of Exogenous Zinc Availability and Transformation to Maize Straw as Affected by Soil Organic Matter. Soil Sci. Soc. Am. J. 2017, 81, 814–827. [Google Scholar] [CrossRef]
- Melton, J.R.; Mahtab, S.K.; Swoboda, A.R. Diffusion of Zinc in Soils as a Function of Applied Zinc, Phosphorus, and Soil PH. Soil Sci. Soc. Am. J. 1973, 37, 379–381. [Google Scholar] [CrossRef]
- Antoniadis, V.; Shaheen, S.M.; Tsadilas, C.D.; Selim, M.H.; Rinklebe, J. Zinc Sorption by Different Soils as Affected by Selective Removal of Carbonates and Hydrous Oxides. Appl. Geochem. 2018, 88, 49–58. [Google Scholar] [CrossRef]
- Jenne, E.A. Controls on Mn, Fe, Co, Ni, Cu, and Zn Concentrations in Soils and Water: The Significant Role of Hydrous Mn and Fe Oxides. In Trace Inorganics in Water; Advances in Chemistry; American Chemical Society: Washington, DC, USA, 1968; Volume 73, pp. 337–387. ISBN 978-0-8412-0074-6. [Google Scholar]
- Shuman, L.M. Chemical Forms of Micronutrients in Soils. In Micronutrients in Agriculture; John Wiley & Sons, Ltd.: Hoboken, NJ, USA, 1991; pp. 113–144. ISBN 978-0-89118-878-0. [Google Scholar]
- Doner, H.E.; Lynn, W.C. Carbonate, Halide, Sulfate, and Sulfide Minerals. In Minerals in Soil Environments; John Wiley & Sons, Ltd.: Hoboken, NJ, USA, 1989; pp. 279–330. ISBN 978-0-89118-860-5. [Google Scholar]
- Qadir, M.; Noble, A.D.; Oster, J.D.; Schubert, S.; Ghafoor, A. Driving Forces for Sodium Removal during Phytoremediation of Calcareous Sodic and Saline–Sodic Soils: A Review. Soil Use Manag. 2005, 21, 173–180. [Google Scholar] [CrossRef]
- Grimme, H. Aluminium Induced Magnesium Deficiency in Oats. Z. Pflanz. Bodenkd. 1983, 146, 666–676. [Google Scholar] [CrossRef]
- Rowley, M.C.; Grand, S.; Verrecchia, É.P. Calcium-Mediated Stabilisation of Soil Organic Carbon. Biogeochemistry 2018, 137, 27–49. [Google Scholar] [CrossRef]
- Chen, L.; Liu, L.; Qin, S.; Yang, G.; Fang, K.; Zhu, B.; Kuzyakov, Y.; Chen, P.; Xu, Y.; Yang, Y. Regulation of Priming Effect by Soil Organic Matter Stability over a Broad Geographic Scale. Nat. Commun 2019, 10, 5112. [Google Scholar] [CrossRef]
- Keren, R.; Bingham, F.T. Boron in Water, Soils, and Plants. In Advances in Soil Science; Stewart, B.A., Ed.; Springer: New York, NY, USA, 1958; pp. 229–276. ISBN 978-1-4612-5046-3. [Google Scholar]
- Padbhushan, R.; Kumar, D. Soil Boron Fractions and Response of Green Gram in Calcareous Soils. J. Plant Nutr. 2015, 38, 1143–1157. [Google Scholar] [CrossRef]
- Sidhu, G.S.; Kumar, D. Influence of Soil Applied Boron on Yield of Berseem (Trifolium alexandrium L.) and Soil Boron Fractions in Calcareous Soils. J. Plant Nutr. 2018, 41, 980–995. [Google Scholar] [CrossRef]
- Gupta, U.C. Relationship of Total and Hot-Water Soluble Boron, and Fixation of Added Boron, to Properties of Podzol Soils. Soil Sci. Soc. Am. J. 1968, 32, 45–48. [Google Scholar] [CrossRef]
- 68. Atique-ur-Rehman, F.M.; Rashid, A.; Nadeem, F.; Stuerz, S.; Asch, F.; Bell, R.W.; Siddique, K.H. Boron Nutrition of Rice in Different Production Systems. A Review. Agron. Sustain. Dev. 2018, 38, 25. [Google Scholar] [CrossRef]
Publisher’s Note: MDPI stays neutral with regard to jurisdictional claims in published maps and institutional affiliations. |
© 2022 by the authors. Licensee MDPI, Basel, Switzerland. This article is an open access article distributed under the terms and conditions of the Creative Commons Attribution (CC BY) license (https://creativecommons.org/licenses/by/4.0/).







