Cosmological Models within f(T, B) Gravity in a Holographic Framework
Abstract
1. Introduction
2. f(T, B) Cosmology
3. Reconstruction of f(T, B) Gravity
3.1. Emergent Cosmological Model
3.2. Intermediate Cosmological Model
3.3. Logamediate Cosmological Model
3.4. Power Law Model
- Case 1: Varying k and m with .
- Case 2: Varying k and m with .
- Case 3: Varying m and n as negative values.
4. Thermodynamics of f(T, B) Gravity
4.1. GSL Using the First Law
4.2. GSL without Using the First Law
5. Conclusions
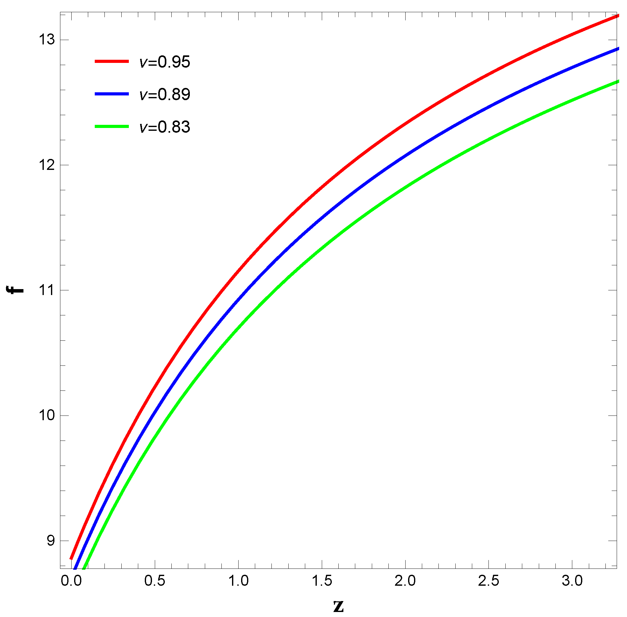
- In the case of the emergent scale factor, we find (cf. Figure 1) that the function is a decreasing function with respect to z. The EoS parameter (see Figure 2) shows phantom behavior and tends to when plotted against the redshift z. The squared speed of sound shows a decrease in value with respect to the redshift but stays positive, indicating the stability of the density perturbations (and possibly the model).
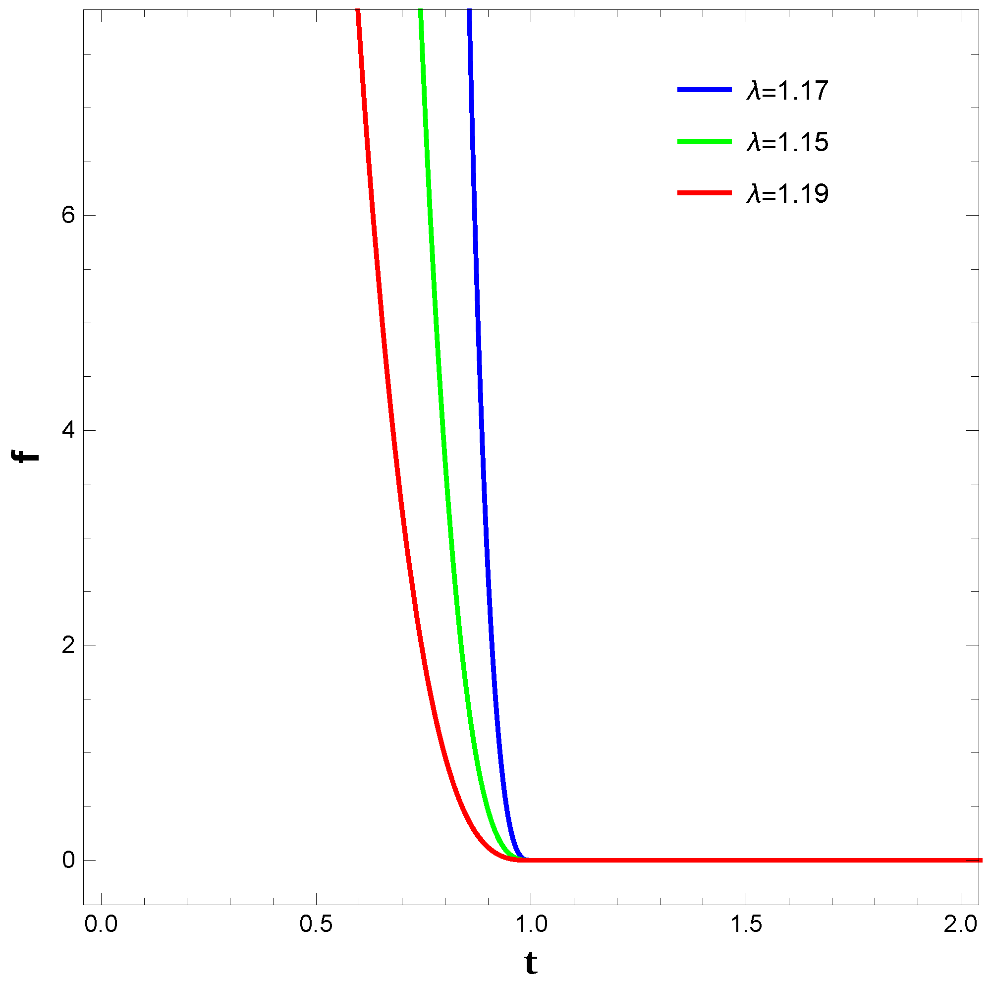
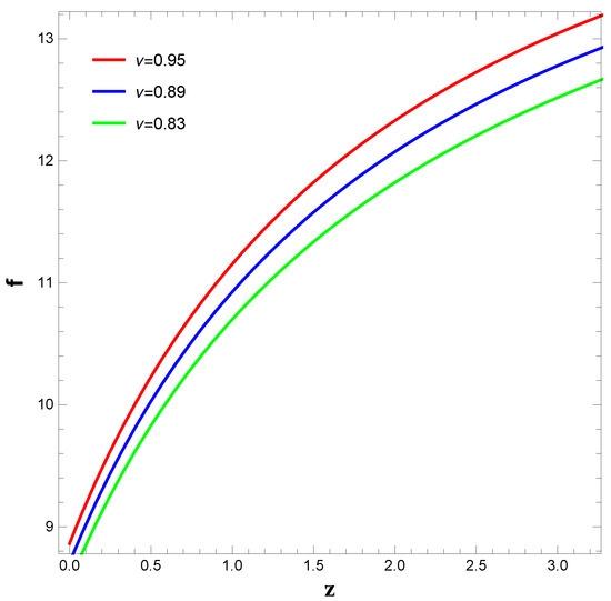
- For the model with the intermediate scale factor, we observe that the function f increases with time (cf. Figure 4). From Figure 5, it can be seen that the EoS parameter shows quintessence behavior in a later stage and acceleration () in the early stage. The squared speed of sound is greater than 0 when plotted against time (cf. Figure 6).
- In our third model, using the logamediate scale factor, we proceeded with the reconstruction of gravity as in the previous two models. The reconstructed function when plotted against time (cf. Figure 7) shows a monotonic decrease with time, and asymptotically tends to 0 at . A transition from quintessence to phantom behavior is exhibited by the EoS parameter in this case(see Figure 8).
- For our fourth cosmological model, we take a power law-like function for the torsion and boundary scalar. Choosing the intermediate scale factor, we reconstruct the EoS parameter, the methodology for which is discussed in Section 3.4. We obtain the EoS parameters for three different cases based on the constants that we assume in the functional form of . Figure 9 shows that the behavior of the EoS parameter for these different cases is mainly phantom-like, a result that is similar to the findings in [124].
Author Contributions
Funding
Data Availability Statement
Acknowledgments
Conflicts of Interest
References
- Sami, M.; Myrzakulov, R. Late-time cosmic acceleration: ABCD of dark energy and modified theories of gravity. Int. J. Mod. Phys. D 2016, 25, 163001. [Google Scholar] [CrossRef]
- Adil, S.A.; Gangopadhyay, M.R.; Sami, M.; Sharma, M.K. Late-time acceleration due to a generic modification of gravity and the Hubble tension. Phys. Rev. D 2021, 10, 163001. [Google Scholar] [CrossRef]
- Park, M.; Zurek, K.M.; Watson, S. Unified approach to cosmic acceleration. Phys. Rev. D 2010, 81, 124008. [Google Scholar] [CrossRef]
- Chakraborty, S.; Pan, S.; Saha, S. A unified cosmic evolution: Inflation to late time acceleration. arXiv 2015, arXiv:1503.05552. [Google Scholar]
- Riess, A.G.; Filippenko, A.V.; Challis, P.; Clocchiatti, A.; Diercks, A.; Garnavich, P.M.; Gilliland, R.L.; Hogan, C.J.; Jha, S.; Kirshner, R.P.; et al. Observational evidence from supernovae for an accelerating universe and a cosmological constant. Astron. J. 1998, 116, 1009. [Google Scholar] [CrossRef]
- Permutter, S.; Aldering, G.; Goldhaber, G.; Knop, R.A.; Nugent, P.; Castro, P.G. Measurements of omega and lambda from 42 high redshift supernovae. Astrophys. J. 1999, 517, 565. [Google Scholar] [CrossRef]
- Weinberg, D.H.; Mortonson, M.J.; Eisenstein, D.J.; Hirata, C.; Riess, A.G.; Rozo, E. Observational probes of cosmic acceleration. Phys. Rep. 2013, 530, 87–255. [Google Scholar]
- Haridasu, B.S.; Luković, V.V.; D’Agostino, R.; Vittorio, N. Strong evidence for an accelerating universe. Phys. Rep. 2017, 600, L1. [Google Scholar] [CrossRef]
- Copeland, E.J.; Sami, M.; Tsujikawa, S. Dynamics of dark energy. Int. J. Mod. Phys. D 2006, 15, 1753–1935. [Google Scholar] [CrossRef]
- Li, M.; Li, X.D.; Wang, S.; Wang, Y. Dark Energy. Commun. Theor. Phys. 2011, 563, 525. [Google Scholar] [CrossRef]
- Dark Energy Survey Collaboration; Abbott, T.; Abdalla, F.B.; Aleksić, J.; Allam, S.; Amara, A.; Bacon, D.; Balbinot, E.; Banerji, M.; Bechtol, K.; et al. The Dark Energy Survey: More than dark energy—An overview. Mon. Not. R. Astron. Soc. 2016, 460, 270–1299. [Google Scholar]
- Amendola, L.; Tsujikawa, S. Dark Energy: Theory and Observations; Cambridge University Press: Cambridge, UK, 2010. [Google Scholar]
- Frieman, J.A.; Turner, M.S.; Huterer, D. Strong evidence for an accelerating universe. Annu. Rev. Astron. Astrophys. 2008, 46, 385–432. [Google Scholar] [CrossRef]
- Huterer, D.; Turner, M.S. Probing dark energy: Methods and strategies. Phys. Rev. D 2001, 64, 123527. [Google Scholar] [CrossRef]
- Carroll, S.M. The cosmological constant. Living Rev. Relativ. 2001, 4, 1–56. [Google Scholar] [CrossRef] [PubMed]
- Peebles, P.J.E.; Ratra, B. The cosmological constant and dark energy. Rev. Mod. Phys. 2003, 75, 559. [Google Scholar] [CrossRef]
- Calderon, R.; Shafieloo, A.; Hazra, D.K.; Sohn, W. On the consistency of Λ CDM with CMB measurements in light of the latest Planck, ACT and SPT data. J. Cosmol. Astropart. Phys. 2023, 2023, 059. [Google Scholar] [CrossRef]
- Xu, T.; Chen, Y.; Xu, L.; Cao, S. Comparing the scalar-field dark energy models with recent observations. Phys. Dark Universe 2022, 36, 101023. [Google Scholar] [CrossRef]
- Calcagni, G.; Liddle, A.R. Tachyon dark energy models: Dynamics and constraints. Phys. Rev. D. 2006, 74, 043528. [Google Scholar] [CrossRef]
- Sultana, S.; Güdekli, E.; Chattopadhyay, S. Some versions of Chaplygin gas model in modified gravity framework and validity of generalized second law of thermodynamics. Z. Naturforschung A 2024, 79, 51–70. [Google Scholar] [CrossRef]
- Chattopadhyay, S. A study on the bouncing behavior of modified Chaplygin gas in presence of bulk viscosity and its consequences in the modified gravity framework. Int. J. Geom. Methods Mod. Phys. 2017, 14, 1750181. [Google Scholar] [CrossRef]
- Chokyi, K.K.; Chattopadhyay, S. A truncated scale factor to realize cosmological bounce under the purview of modified gravity. Astron. Nachr. 2023, 344, e220119. [Google Scholar] [CrossRef]
- Saha, S.; Chattopadhyay, S. Realization of bounce in a modified gravity framework and information theoretic approach to the bouncing point. Universe 2023, 9, 136. [Google Scholar] [CrossRef]
- Pasqua, A.; Chattopadhyay, S.; Myrzakulov, R. Consequences of three modified forms of holographic dark energy models in bulk–brane interaction. Can. J. Phys. 2018, 96, 112. [Google Scholar]
- Brax, P.; van de Bruck, C.; Davis, A.C. Brane world cosmology. Rep. Prog. Phys. 2004, 67, 2183. [Google Scholar] [CrossRef]
- Guenther, U.; Zhuk, A. Phenomenology of brane-world cosmological models. arXiv 2004, arXiv:gr-qc/0410130. [Google Scholar]
- Ishak, M. Testing general relativity in cosmology. Living Rev. Relativ. 2019, 22, 1–204. [Google Scholar]
- Shankaranarayanan, S.; Johnson, J.P. Modified theories of gravity: Why, how and what? Gen. Relativ. Gravit. 2022, 54, 44. [Google Scholar] [CrossRef]
- Lobo, F.S. The dark side of gravity: Modified theories of gravity. arXiv 2008, arXiv:0807.1640. [Google Scholar]
- Paul, B.C.; Debnath, P.S.; Ghose, S. Accelerating universe in modified theories of gravity. Phys. Rev. D 2009, 79, 083534. [Google Scholar] [CrossRef]
- Sbisà, F. Modified Theories of Gravity. arXiv 2014, arXiv:1406.3384. [Google Scholar]
- Capozziello, S.; De Laurentis, M. Extended theories of gravity. Phys. Rep. 2011, 509, 167–321. [Google Scholar] [CrossRef]
- Capozziello, S.; Lobo, F.S.; Mimoso, J.P. Generalized energy conditions in extended theories of gravity. Phys. Rev. D 2015, 91, 124019. [Google Scholar] [CrossRef]
- Capozziello, S.; Francaviglia, M. Extended theories of gravity and their cosmological and astrophysical applications. Phys. Rev. D 2008, 40, 357–420. [Google Scholar] [CrossRef]
- Nojiri, S.I.; Odintsov, S.D. Introduction to modified gravity and gravitational alternative for dark energy. Int. J. Geom. Methods Mod. Phys. 2007, 4, 115–145. [Google Scholar] [CrossRef]
- Wands, D. Extended gravity theories and the Einstein–Hilbert action. Class. Quantum Gravity 1994, 11, 269. [Google Scholar] [CrossRef]
- Capozziello, S.; Cardone, V.F.; Salzano, V. Cosmography of f (R) gravity. Phys. Rev. D 2008, 78, 063504. [Google Scholar] [CrossRef]
- Sotiriou, T.P.; Faraoni, V. Modified Theories of Gravity. Rev. Mod. Phys. 2010, 82, 451–497. [Google Scholar] [CrossRef]
- Karmakar, S.; Chattopadhyay, S.; Radinschi, I. A holographic reconstruction scheme for f (R) gravity and the study of stability and thermodynamic consequences. New Astron. 2020, 76, 101321. [Google Scholar] [CrossRef]
- Hwang, J.C.; Noh, H. f(R) gravity theory and CMBR constraints. Phys. Lett. B 2001, 506, 13–19. [Google Scholar] [CrossRef]
- Bamba, K.; Nojiri, S.I.; Odintsov, S.D.; Saez-Gomez, D. Inflationary universe from perfect fluid and F(R) gravity and its comparison with observational data. Phys. Rev. D 2014, 90, 124061. [Google Scholar] [CrossRef]
- Vainio, J.; Vilja, I. f (R) gravity constraints from gravitational waves. Gen. Relativ. Gravit. 2017, 49, 1–10. [Google Scholar] [CrossRef]
- Capozziello, S.; Piedipalumbo, E.; Rubano, C.; Scudellaro, P. Testing an exact f (R)-gravity model at Galactic and local scales. Astron. Astrophys. 2009, 505, 21–28. [Google Scholar] [CrossRef][Green Version]
- Ky, N.A.; Van Ky, P.; Van, N.T.H. Testing the f (R)-theory of gravity. arXiv 2019, arXiv:1904.04013. [Google Scholar] [CrossRef]
- Nojiri, S.; Odintsov, S.D.; Oikonomou, V. Modified gravity theories on a nutshell: Inflation, bounce and late-time evolution. Phys. Rep. 2017, 692, 1–104. [Google Scholar] [CrossRef]
- Chattopadhyay, S. A study on the interacting Ricci dark energy in f (R, T) gravity. Proc. Natl. Acad. Sci. India-Phys. Sci. 2014, 84, 87–93. [Google Scholar] [CrossRef]
- Pasqua, A.; Chattopadhyay, S.; Myrzakulov, R. A Dark Energy Model with Higher Order Derivatives of H in the f(R,T) Modified Gravity Model. arXiv 2013, arXiv:1306.0991. [Google Scholar] [CrossRef]
- Sharif, M.; Zubair, M. Study of thermodynamic laws in f (R, T, RμνTμν) gravity. J. Cosmol. Astropart. Phys. 2013, 2013, 042. [Google Scholar] [CrossRef]
- Gao, X. Unifying framework for scalar-tensor theories of gravity. Phys. Rev. D 2014, 90, 081501. [Google Scholar] [CrossRef]
- Fujii, Y.; Maeda, K.I. The Scalar-Tensor Theory of Gravitation; Cambridge University Press: Cambridge, UK, 2003. [Google Scholar]
- Wagoner, R.V. Scalar-tensor theory and gravitational waves. Phys. Rev. D 1970, 1, 3209. [Google Scholar] [CrossRef]
- Nojiri, S.I.; Odintsov, S.D. Unified cosmic history in modified gravity: From F (R) theory to Lorentz non-invariant models. Phys. Rep. 2011, 505, 59–144. [Google Scholar] [CrossRef]
- De Andrade, V.C.; Guillen, L.C.T.; Pereira, J.G. Teleparallel gravity: An overview. In The Ninth Marcel Grossmann Meeting: On Recent Developments in Theoretical and Experimental General Relativity, Gravitation and Relativistic Field Theories; World Scientific Publishing: Singapore, 2002; pp. 1022–1023. [Google Scholar]
- Garecki, J. Teleparallel equivalent of general relativity: A critical review. arXiv 2010, arXiv:1010.2654. [Google Scholar]
- Zhang, J.; Khan, G. From Hessian to Weitzenböck: Manifolds with torsion-carrying connections. Inf. Geom. 2019, 2, 77–98. [Google Scholar] [CrossRef]
- Ong, Y.C.; Izumi, K.; Nester, J.M.; Chen, P. Problems with propagation and time evolution in f (T) gravity. Phys. Rev. D 2013, 88, 024019. [Google Scholar] [CrossRef]
- Li, B.; Sotiriou, T.P.; Barrow, J.D. f (T) gravity and local Lorentz invariance. Phys. Rev. D 2011, 83, 064035. [Google Scholar] [CrossRef]
- Yang, R.J. New types of f (T) gravity. Eur. Phys. J. C 2011, 71, 59–144. [Google Scholar] [CrossRef]
- Liu, D.; Reboucas, M.J. New types of f (T) gravity. Phys. Rev. D 2012, 86, 083515. [Google Scholar] [CrossRef]
- Li, M.; Miao, R.X.; Miao, Y.G. Degrees of freedom of f (T) gravity. J. High Energy Phys. 2011, 2011, 108. [Google Scholar] [CrossRef]
- Krššák, M.; Saridakis, E.N. The covariant formulation of f (T) gravity. Class. Quantum Gravity 2016, 33, 11509. [Google Scholar] [CrossRef]
- Bahamonde, S.; Böhmer, C.G.; Krššák, M. New classes of modified teleparallel gravity models. Phys. Lett. B 2017, 775, 37–43. [Google Scholar] [CrossRef]
- Tamanini, N.; Boehmer, C.G. Good and bad tetrads in f (T) gravity. Phys. Rev. D 2012, 86, 044009. [Google Scholar] [CrossRef]
- De Paliathanasis, A. Sitter and Scaling solutions in a higher-order modified teleparallel theory. J. Cosmol. Astropart. Phys. 2017, 08, 027. [Google Scholar] [CrossRef]
- Bahamonde, S.; Böhmer, C.G.; Wright, M. Modified teleparallel theories of gravity. Phys. Rev. D 2015, 92, 104042. [Google Scholar] [CrossRef]
- Setare, M.R.; Mohammadipour, N. Can f (T) gravity theories mimic ΛCDM cosmic history. J. Cosmol. Astropart. Phys. 2013, 1, 015. [Google Scholar] [CrossRef]
- Paliathanasis, A.; Leon, G. f(T,B) gravity in a Friedmann–Lemaître–Robertson–Walker universe with nonzero spatial curvature. Math. Methods Appl. Sci. 2023, 46, 3905–3922. [Google Scholar] [CrossRef]
- Susskind, L. The world as a hologram. J. Math. Phys. 1995, 36, 6377–6396. [Google Scholar] [CrossRef]
- Stephens, C.R.; Hooft, G.T.; Whiting, B.F. Black hole evaporation without information loss. Class. Quantum Gravity 1994, 11, 621. [Google Scholar] [CrossRef]
- Witten, E. Anti de Sitter space and holography. arXiv 2015, arXiv:hep-th/9802150. [Google Scholar] [CrossRef]
- Fischler, W.; Susskind, L. Holography and cosmology. arXiv 1998, arXiv:hep-th/9806039. [Google Scholar]
- Nojiri, S.I.; Odintsov, S.D.; Paul, T. Different faces of generalized holographic dark energy. Symmetry 2021, 13, 928. [Google Scholar] [CrossRef]
- Sheykhi, A. Holographic scalar field models of dark energy. Phys. Rev. D 2011, 84, 107302. [Google Scholar] [CrossRef]
- Cruz, M.; Lepe, S. Modeling holographic dark energy with particle and future horizons. Nucl. Phys. B 2020, 956, 115017. [Google Scholar] [CrossRef]
- Sadri, E.; Khurshudyan, M. An interacting new holographic dark energy model: Observational constraints. Int. J. Mod. Phys. D 2019, 28, 1950152. [Google Scholar] [CrossRef]
- Moradpour, H.; Ziaie, A.H.; Zangeneh, M.K. Generalized entropies and corresponding holographic dark energy models. Eur. Phys. J. C 2020, 80, 732. [Google Scholar] [CrossRef]
- Myung, Y.S.; Seo, M.G. Origin of holographic dark energy models. Phys. Lett. B 2009, 671, 435–439. [Google Scholar] [CrossRef]
- Li, M.; Li, X.D.; Wang, S.; Zhang, X. Holographic dark energy models: A comparison from the latest observational data. Nucl. Phys. B 2009, 2009, 036. [Google Scholar] [CrossRef]
- Nojiri, S.I.; Odintsov, S.D.; Oikonomou, V.K.; Paul, T. Unifying holographic inflation with holographic dark energy: A covariant approach. Phys. Rev. D 2009, 102, 023540. [Google Scholar] [CrossRef]
- Nojiri, S.I.; Odintsov, S.D.; Paul, T. Holographic realization of constant roll inflation and dark energy: An unified scenario. Phys. Lett. B 2023, 841, 137926. [Google Scholar] [CrossRef]
- Gao, C.; Wu, F.; Chen, X.; Shen, Y.G. Holographic dark energy model from Ricci scalar curvature. Phys. Rev. D 2009, 79, 043511. [Google Scholar] [CrossRef]
- Nojiri, S.I.; Odintsov, S.D. Covariant generalized holographic dark energy and accelerating universe. Eur. Phys. J. C 2017, 77, 1–8. [Google Scholar] [CrossRef]
- Feng, C.J. Ricci dark energy in Brans-Dicke theory. arXiv 2008, arXiv:0806.0673. [Google Scholar]
- Odintsov, S.D.; Paul, T.; SenGupta, S. Second law of horizon thermodynamics during cosmic evolution. Phys. Rev. D 2024, 104, 103515. [Google Scholar] [CrossRef]
- Cai, R.G.; Kim, S.P. First law of thermodynamics and Friedmann equations of Friedmann-Robertson-Walker universe. Phys. Rev. D 2005, 2005, 050. [Google Scholar] [CrossRef]
- Akbar, M.; Cai, R.G. Thermodynamic behavior of the Friedmann equation at the apparent horizon of the FRW universe. Phys. Rev. D 2007, 75, 084003. [Google Scholar] [CrossRef]
- Sheykhi, A.; Wang, B.; Cai, R.G. Deep connection between thermodynamics and gravity in Gauss-Bonnet braneworlds. Phys. Rev. D 2007, 76, 023515. [Google Scholar] [CrossRef]
- Sheykhi, A.; Wang, B.; Cai, R.G. Thermodynamical properties of apparent horizon in warped DGP braneworld. Nucl. Phys. B 2007, 779, 1–12. [Google Scholar] [CrossRef]
- Cai, R.G.; Cao, L.M. Unified first law and the thermodynamics of the apparent horizon in the FRW universe. Phys. Rev. D 2007, 75, 064008. [Google Scholar] [CrossRef]
- Akbar, M.; Cai, R.G. Thermodynamic behavior of field equations for f (R) gravity. Phys. Lett. B 2007, 648, 243–248. [Google Scholar] [CrossRef]
- Cai, R.G.; Cao, L.M.; Hu, Y.P.; Kim, S.P. Generalized Vaidya spacetime in Lovelock gravity and thermodynamics on the apparent horizon. Phys. Rev. D 2008, 78, 124012. [Google Scholar] [CrossRef]
- Nojiri, S.I.; Odintsov, S.D.; Paul, T.; SenGupta, S. Horizon entropy consistent with the FLRW equations for general modified theories of gravity and for all equations of state of the matter field. Phys. Rev. D 2024, 109, 043532. [Google Scholar] [CrossRef]
- Miao, R.X.; Li, M.; Miao, Y.G. Violation of the first law of black hole thermodynamics in f (T) gravity. J. Cosmol. Astropart. Phys. 2011, 2011, 033. [Google Scholar] [CrossRef]
- Bamba, K.; Jamil, M.; Momeni, D.; Myrzakulov, R. Generalized second law of thermodynamics in f (T) gravity with entropy corrections. Astrophys. Space Sci. 2013, 344, 259–267. [Google Scholar] [CrossRef]
- Karami, K.; Abdolmaleki, A. Generalized second law of thermodynamics in f (T) gravity. J. Cosmol. Astropart. Phys. 2012, 2012, 007. [Google Scholar] [CrossRef]
- Farrugia, G.; Said, J.L. Stability of the flat FLRW metric in f (T) gravity. Phys. Rev. D 2016, 94, 124054. [Google Scholar] [CrossRef]
- Caruana, M.; Farrugia, G.; Levi Said, J. Cosmological bouncing solutions in f (T, B) gravity. Eur. Phys. J. C 2020, 80, 640. [Google Scholar] [CrossRef]
- Franco, G.A.R.; Escamilla-Rivera, C.; Levi Said, J. Stability analysis for cosmological models in f (T, B) gravity. Eur. Phys. J. C 2020, 80, 677. [Google Scholar] [CrossRef]
- Farrugia, G.; Said, J.L.; Finch, A. Gravitoelectromagnetism, solar system tests, and weak-field solutions in f (T, B) gravity with observational constraints. Universe 2020, 6, 34. [Google Scholar] [CrossRef]
- Chattopadhyay, S.; Pasqua, A. Various aspects of interacting modified holographic Ricci dark energy. Indian J. Phys. 2013, 87, 1053–1057. [Google Scholar] [CrossRef]
- Ellis, G.F.; Maartens, R. The emergent universe: Inflationary cosmology with no singularity. Class. Quantum Gravity 2003, 21, 223. [Google Scholar] [CrossRef]
- Ellis, G.F.; Murugan, J.; Tsagas, C.G. The emergent universe: An explicit construction. Class. Quantum Gravity 2003, 21, 233. [Google Scholar] [CrossRef]
- Mulryne, D.J.; Tavakol, R.; Lidsey, J.E.; Ellis, G.F. An emergent universe from a loop. Phys. Rev. D 2005, 71, 123512. [Google Scholar] [CrossRef]
- Carter, B.M.; Neupane, I.P. Thermodynamics and stability of higher dimensional rotating (Kerr-) AdS black holes. Phys. Rev. D 2005, 72, 1043534. [Google Scholar] [CrossRef]
- Mukherjee, S.; Paul, B.C.; Dadhich, N.K.; Maharaj, S.D.; Beesham, A. Emergent universe with exotic matter. Class. Quantum Gravity 2006, 23, 6927. [Google Scholar] [CrossRef]
- Chattopadhyay, S.; Debnath, U. Role of generalized Ricci dark energy on a Chameleon field in the emergent universe. Can. J. Phys. 2011, 89, 941–948. [Google Scholar] [CrossRef]
- Hannestad, S. Constraints on the sound speed of dark energy. Phys. Rev. D 2005, 71, 103519. [Google Scholar] [CrossRef]
- Eisenstein, D.J. Dark energy and cosmic sound. New Astron. Rev. 2005, 49, 360–365. [Google Scholar] [CrossRef]
- Barrow, J.D. Graduated inflationary universes. Phys. Lett. B 1990, 235, 40–43. [Google Scholar] [CrossRef]
- Mohajan, H. A brief analysis of de Sitter universe in relativistic cosmology. J. Achiev. Mater. Manuf. Eng. 2017, 2, 1–17. [Google Scholar]
- Tutusaus, I.; Lamine, B.; Blanchard, A.; Dupays, A.; Zolnierowski, Y.; Cohen-Tanugi, J.; Ealet, A.; Escoffier, S.; Le Fèvre, O.; Ilić, S.; et al. Power law cosmology model comparison with CMB scale information. Phys. Rev. D 2016, 94, 103511. [Google Scholar] [CrossRef]
- Barrow, J.D.; Saich, P. The behaviour of intermediate inflationary universes. Phys. Lett. B 1990, 249, 406–410. [Google Scholar] [CrossRef]
- Barrow, J.D.; Liddle, A.R. Perturbation spectra from intermediate inflation. Phys. Lett. B 1993, 47, R5219. [Google Scholar] [CrossRef]
- Rezazadeh, K.; Abdolmaleki, A.; Karami, K. Logamediate inflation in f (T) teleparallel gravity. Astrophys. J. 2017, 836, 228. [Google Scholar] [CrossRef]
- Barrow, J.D. Varieties of expanding universe. Class. Quantum Gravity 1996, 13, 2965. [Google Scholar] [CrossRef]
- Barrow, J.D.; Parsons, P. Inflationary models with logarithmic potentials. Phys. Rev. D 1995, 52, 5576. [Google Scholar] [CrossRef] [PubMed]
- Barrow, J.D.; Nunes, N.J. Dynamics of “logamediate” inflation. Phys. Rev. D 2007, 76, 043501. [Google Scholar] [CrossRef]
- Bahamonde, S.; Capozziello, S. Noether symmetry approach in f (T, B) teleparallel cosmology. Eur. Phys. J. C 2017, 77, 1–10. [Google Scholar] [CrossRef] [PubMed]
- Das, A.; Chattopadhyay, S.; Debnath, U. Validity of the generalized second law of thermodynamics in the logamediate and intermediate scenarios of the Universe. Found. Phys. 2012, 42, 266–283. [Google Scholar] [CrossRef][Green Version]
- Ghosh, R.; Pasqua, A.; Chattopadhyay, S. Generalized second law of thermodynamics in the emergent universe for some viable models of f (T) gravity. Eur. Phys. J. C 2013, 128, 1–11. [Google Scholar] [CrossRef]
- Chakraborty, G.; Chattopadhyay, S.; Güdekli, E.; Radinschi, I. Thermodynamics of Barrow holographic dark energy with specific cut-off. Symmetry 2021, 13, 562. [Google Scholar] [CrossRef]
- Bahamonde, S.; Zubair, M.; Abbas, G. Thermodynamics and cosmological reconstruction in f (T, B) gravity. Phys. Dark Universe 2018, 19, 78–90. [Google Scholar] [CrossRef]
- Nojiri, S.I.; Odintsov, S.D. Unifying phantom inflation with late-time acceleration: Scalar phantom–non-phantom transition model and generalized holographic dark energy. Gen. Relativ. Gravit. 2006, 38, 1285–1304. [Google Scholar] [CrossRef]
- Escamilla-Rivera, C.; Said, J.L. Cosmological viable models in f(T, B) theory as solutions to the H0 tension. Class. Quantum Gravity 2020, 37, 165002. [Google Scholar] [CrossRef]
- Chetry, B.; Dutta, J.; Abdolmaleki, A. Thermodynamics of event horizon with modified Hawking temperature in scalar-tensor gravity. Gen. Relativ. Gravit. 2018, 50, 1–33. [Google Scholar] [CrossRef]
- De Haro, J.; Nojiri, S.I.; Odintsov, S.D.; Oikonomou, V.K.; Pan, S. Finite-time cosmological singularities and the possible fate of the Universe. Phys. Rep. 2023, 1034, 1–114. [Google Scholar] [CrossRef]











Disclaimer/Publisher’s Note: The statements, opinions and data contained in all publications are solely those of the individual author(s) and contributor(s) and not of MDPI and/or the editor(s). MDPI and/or the editor(s) disclaim responsibility for any injury to people or property resulting from any ideas, methods, instructions or products referred to in the content. |
© 2024 by the authors. Licensee MDPI, Basel, Switzerland. This article is an open access article distributed under the terms and conditions of the Creative Commons Attribution (CC BY) license (https://creativecommons.org/licenses/by/4.0/).
Share and Cite
Chokyi, K.K.; Chattopadhyay, S. Cosmological Models within f(T, B) Gravity in a Holographic Framework. Particles 2024, 7, 856-878. https://doi.org/10.3390/particles7030051
Chokyi KK, Chattopadhyay S. Cosmological Models within f(T, B) Gravity in a Holographic Framework. Particles. 2024; 7(3):856-878. https://doi.org/10.3390/particles7030051
Chicago/Turabian StyleChokyi, Khandro K., and Surajit Chattopadhyay. 2024. "Cosmological Models within f(T, B) Gravity in a Holographic Framework" Particles 7, no. 3: 856-878. https://doi.org/10.3390/particles7030051
APA StyleChokyi, K. K., & Chattopadhyay, S. (2024). Cosmological Models within f(T, B) Gravity in a Holographic Framework. Particles, 7(3), 856-878. https://doi.org/10.3390/particles7030051

