Abstract
Black hole X-ray binary systems consist of a black hole accreting mass from its binary companion, forming an accretion disk. As a result, twin relativistic plasma ejections (jets) are launched towards opposite and perpendicular directions. Moreover, multiple broadband emission observations from X-ray binary systems range from radio to high-energy gamma rays. The emission mechanisms exhibit thermal origins from the disk, stellar companion, and non-thermal jet-related components (i.e., synchrotron emission, inverse comptonization of less energetic photons, etc.). In many attempts at fitting the emitted spectra, a static black hole is often assumed regarding the accretion disk modeling, ignoring the Kerr metric properties that significantly impact the geometry around the usually rotating black hole. In this work, we study the possible implications of the spin inclusion in predictions of the X-ray binary spectrum. We mainly focus on the most significant aspect inserted by the Kerr geometry, the innermost stable circular orbit radius dictating the disk’s inner boundary. The outcome suggests a higher-peaked and hardened X-ray spectrum from the accretion disk and a substantial increase in the inverse Compton component of disk-originated photons. Jet-photon absorption is also heavily affected at higher energy regimes dominated by hadron-induced emission mechanisms. Nevertheless, a complete investigation requires the full examination of the spin contribution and the resulting relativistic effects beyond the disk truncation.
1. Introduction
Supermassive black holes, such as those at the center of Active Galactic Nuclei (AGNs), are the center of nearly every galaxy and are associated with our universe’s most powerful particle accelerators. However, only a small fraction of galaxies are AGNs, surrounded by an accretion disk of nearby gas and matter attracted by gravitational forces. Black hole X-ray binary systems (BHXRBs) are scaled-down systems of AGNs that host stellar instead of supermassive black holes. The mass supplier, in this case, is the secondary stellar component of the initial binary system instead of the galaxy host of the AGN.
The particle acceleration occurs within the relativistic jets launched perpendicularly to the accretion disk’s plane. They often form observable radio lobes when interacting with the interstellar medium [1]. Depending on the nature of the accelerated particles, the jet emission mechanisms vary from synchrotron radiation and inverse comptonization (leptonic jet models) to proton–proton or proton–photon interactions, leading to a pion/muon distribution production (hadronic jet models). The latter mechanisms lead to higher-energy gamma-ray emission in addition to neutrino production [2,3,4]. Such energetically rich spectra can be detected by Earth-bound or space detectors that are continuously upgraded to reach even higher sensitivities [5,6].
In the current work, we present a lepto-hadronic jet emission model that integrates a variety of non-thermal emission mechanisms. Those include synchrotron emission from both leptons and hadrons accelerated by the system’s magnetic field, inverse Compton scattering of thermal emission (mainly from the accretion disk and the companion star) due to interaction with the energetic jet electron distribution, and proton–proton interactions in the co-moving jet frame. Photon annihilation due to pair (electron–positron) production occurs frequently in the vicinity of the black hole, leading to a substantial decrease in the produced spectra as seen by distant observers [7].
In many attempts at fitting the emitted spectra, a static black hole is often assumed regarding the accretion disk modeling, ignoring the Kerr metric properties that significantly impact the geometry around the black hole [7,8,9,10,11,12]. The fact that most of the observed black holes, especially those involved in nearby and well-studied X-ray binaries (XRBs), exhibit extreme spin parameters makes the consideration of the spin contribution in the XRB emission modeling necessary [13,14,15]. Hence, our goal is to examine the possible implications on the broadband XRB emission ranging from soft X-rays to high-energy gamma rays due to the the black hole spin via the disk truncation effect induced by the shifting radius of the innermost stable circular orbit (i.e., ISCO). The latter is often assumed to be the inner boundary of the accretion disk in the standard Shakura–Sunyaev model [16]. We mainly focus on the spin’s effect on the thermal emission from the accretion disk and the non-thermal emission from the relativistic jet through the disk-induced photo-absorption process.
In previous works, the black hole spin has been integrated into the attempts to fit the XRB spectra by employing pseudo-Newtonian potentials in the standard disk model [17,18,19,20,21] or the relativistic disk model of Novikov and Thorne [22,23]. However, this plain solution is not free of a substantial error margin, especially for rapidly rotating black holes. Nevertheless, we mainly focus on how the emerging emission fluxes are affected by the disk geometry modification introduced by the central object’s rotation. Furthermore, a more thorough investigation of the general relativistic effects is expected in future work.
We will first introduce the jet emission model and the accretion disk spectral aspects. Then, we will present our results for a common XRB similar to Cygnus X-1 while demonstrating the impact of one aspect of the Kerr metric input from general relativity. That aspect is the radius of the innermost stable circular orbit. Finally, we summarize and conclude while setting our next research targets.
2. Photon–Lepton/Hadron Interactions in the Jet Frame
Shock waves in the jet co-moving frame cause additional acceleration to a particle fraction, leading to power-law energy distributions. The present work assumes equivalence between the leptonic and hadronic jet’s content. Hence, the emission mechanisms involved are synchrotron radiation, inverse comptonization, and proton–proton collisions between the power-law distribution and the rest of the cold proton density inside the jet.
According to the adopted jet model, the particles are accelerated within a conic jet zone from cm to cm with a rate determined by an acceleration efficiency parameter as , with . The power contained within the jet is nearly 10% of the Eddington luminosity, erg/s, a part of which is transferred to the non-thermal particles as , where and assuming equal power carried between leptons and hadrons. The relativistic electrons can obtain energies up to a few GeV, while the protons attain energies near GeV. The jet model is presented in greater detail in Refs. [3,24,25].
The non-thermal particles emerging within the jet are described by a power-law with an index of 2, which, in the observer’s reference frame, is given by the following injection function
The base of the jet is at distance cm from the black hole, i is the source’s angle to the line if sight, and is a normalization constant.
Furthermore, the electron or proton energy distribution is the solution to the following steady-state transfer equation:
The particles cool down with a rate of via synchrotron emission, inverse Compton interactions, proton–proton collision, etc. The particle distribution is given by [24,25]
where
The synchrotron spectrum component by a single particle accelerated by a magnetic field , where z, the distance of the acceleration region from the black hole, is given by
where K is the modified Bessel function. The magnetic field G is given by equating the magnetic and kinetic energy density of the jet. The energy of the emitted photon is and the critical energy is defined as
where and denotes the pitch angle. The total spectrum emitted by a distribution of particles is calculated through multiplication with the distribution and integration over the particle energy and the solid angle corresponding to the pitch angle.
The IC (inverse Compton) component is obtained by employing the spectrum emitted by a single particle, given by
The Thomson cross-section is denoted as . In addition, it holds and . Also, where . The total spectrum is obtained by integration over the energy of the electron distribution and the initial photon energy . The energy-dependent photon density scattered off the lepton distribution is given by . It should be noted that the possibility of the disk photons losing energy to the jet relativistic leptons is borderline negligible due to the much greater MeV/GeV energies achieved within the jet blob.
Regarding the hadron-induced mechanisms, we predominantly consider the contribution of the proton–proton interactions between the accelerated protons and thermal protons of the jet, resulting in neutral and charged pion production. Our interest lies mainly in the emission of gamma rays, so we take into account only the neutral pions that decay into gamma-ray photons with the following emissivity:
In the above equation, denotes the gamma-ray spectrum emitted per p-p collision [26] and stands for the cold proton density inside the jet as
where is the cold proton Lorentz factor, stands for the jet radius at distance z, is the jet’s kinetic luminosity, and is a model parameter defining the jet energy channeled to the accelerated particles.
2.1. Black-Body Spectrum of the Accretion Disk
The photon density emitted by the accretion disk in the standard Shakura–Sunyaev model is approximated by a sum of black-body spectra. Given the torque-free inner boundary condition, which is a usual assumption, a single disk surface area emits a black-body spectrum with an effective temperature given by [8]
Here, is the radius in units of . The disk temperature profile of Equation (10) is derived by assuming a Paczyński–Wiita pseudo-Newtonian potential around a Schwarzschild black hole. A more realistic approach requires the incorporation of the black hole spin input in the calculations since most of the compact objects in BHXRBs are rotating black holes with significant spin parameter values.
The inner disk edge is located at the radius of the innermost stable circular orbit (i.e., ), which for a static black hole is . Nonetheless, the incorporation of the Kerr metric in general relativity dictates the following ISCO radius depending on the dimensionless spin parameter
In the above equation, it holds that
In this work, we only incorporate this aspect of the general relativity (i.e., the location of the ), aiming to demonstrate its contribution. We neglect the necessary modifications of the gravitational potential, which will be studied thoroughly in future works.
2.2. Annihilation of the Jet Photons
The accretion disk is assumed to be geometrically thin and optically thick, as described in [16]. The incident disk emission is the sum of the multiple thermal spectra emerging from every surface element of the disk, which sustains a negligent height compared to its radius. The X-ray emission is significant enough to affect the jet emission near the disk surface (i.e., ) depending on the accretion rate and whether we impose a spectral hardening factor on the disk spectra according to the multi-temperature models [27]. Nevertheless, photons from the higher jet regions are mainly affected by the thermal emission of the companion star instead of the disk [7].
We calculate the jet emission absorption by assuming a single gamma-ray photon heading towards the observer at a distance l from the black hole. The high-energy photon passes through several multi-wavelength emission clouds stemming from the various surface elements of the disk described by the radius r and angle . Hence, the respective optical depth is given by
where the threshold energy is , with being the angle between the two interacting photons. In the above integration, and D are the distance between the encounter point with the central object and the disk’s surface element, respectively. At the same time, refers to the angle between and the jet axis (i.e., z-axis). A thorough analysis regarding the geometrical aspects of the accretion disk can be found in Refs. [7,9]. Higher-energy emission fluxes from the inner disk exterminate the lower-energy part of the jet emission. At the same time, the high-energy gamma rays interact with the cooler photons produced in the outer disk at radii near cm.
3. Results
We apply the aforementioned jet emission model to an X-ray binary system similar to Cygnus X-1, which is characterized by the parameters of Table 1. The mass of the black hole approximates the one estimated in [28] for Cygnus X-1, while the stellar component is substantially smaller than the blue supergiant HDE 226868 [29]. Nonetheless, the companion star does not significantly affect our results regarding the disk emission. In addition, the given Lorentz factor corresponds to a jet bulk velocity of and the accretion rate is /year. The black hole accretes with a sub-Eddington rate that justifies the adoption of the Shakura–Sunyaev disk.
Table 1.
The primary parameters used to describe the X-ray binary system on which the emission model is applied.
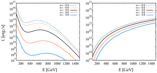
The left panel of Figure 1 demonstrates the spin’s impact on the total disk luminosity. Co-rotating accretion disks around rapidly rotating black holes exhibit an amplified peak shifted to higher energies, while the opposite happens in the counter-rotation case. The respective IC emission component of the spectrum corresponding to the up-scattered disk emission due to interactions with the accelerated jet electrons (right panel of Figure 1) also experiences a substantial increase that makes it dominant among the lepton-induced jet emission mechanisms beyond 100 MeV, where the synchrotron spectrum drops abruptly.
Figure 1.
The total luminosity emitted by the accretion disk (left panel) and the respective inverse Compton (IC) component of the spectral distribution for different values of the black hole spin (right panel).
The substantial increase in the photon annihilation rate for energies above 100 GeV due to the disk truncation at lower is displayed through the absorbed luminosity emitted by the jet in Figure 2. The emission mechanisms contributing to this energy regime are primarily hadronic, such as the p-p collisions and synchrotron emission of accelerated protons. The estimated gamma-ray fluxes from both mechanisms are not substantial enough to yield significant observational results, as suggested by the upper limits derived for Cygnus X-1 by Fermi-LAT and MAGIC [30,31]. Nonetheless, our purpose is to showcase how the inclusion of the black hole spin impacts the entire spectral regime, including the emitted gamma rays from the jet.
Figure 2.
The emitted luminosity of the jet due to proton synchrotron emission (left panel) and proton collisions (right panel) after photon–photon interactions with the emission from the accretion disk for different black hole spins.
The spin fluctuation dictates the variability and the magnitude of the incident emission from the disk that targets the jet photons. Thus, the reason for such a steep drop in the luminosity is that the additional disk surface in close proximity to the black hole (i.e., ) provides an additional source of higher-frequency photons capable of annihilating the jet-emitted ones. This portion of the disk surface assumes significantly higher temperatures than the rest, reaching K depending on the black hole mass and the mass accretion rate.
4. Conclusions
Black hole X-ray binary systems (BHXRBs) are smaller versions of AGNs that host stellar instead of supermassive black holes. An accretion disk is formed when the compact object accretes mass out of its binary companion, and two relativistic jets are launched perpendicularly as a result. One of those is inclined towards the Earth, leading to a multi-wavelength emission detection caused by the highly accelerated particle interactions in the jet frame.
Adopting a static compact object is a usual simplification in modeling the accretion disk and jet emission. However, that does not account for the additional rotational energy transferred to the accretion disk through the Kerr modification of a static curved spacetime. In the present work, we examine the implications of the spin-induced accretion disk truncation on the X-ray binary broadband emission. For that reason, we employ a jet lepto-hadronic emission model and a standard disk description.
Our findings show a substantial increase in the accretion disk luminosity and the hardening of its respective X-ray spectrum. That also affects the emitted inverse Compton component due to the disk’s scattered photons off jet-accelerated leptons. The very-high-energy (VHE) gamma-ray spectrum counterpart experiences a substantially amplified quenching caused by photon annihilation (leading to pair production) with the disk-emitted photons. Our analysis is limited to the shift of the innermost stable circular orbit radius, neglecting the required modifications to the pseudo-Newtonian potential of Paczyński–Wiita. Our future goal is to derive a more complex spin-dependent temperature profile and integrate the angular dependence predicted by general relativity without further modifications of the standard disk model.
Author Contributions
Conceptualization, T.P. and T.K.; methodology, T.P.; software, T.P. and O.K.; validation, T.P. and T.K.; formal analysis, T.P. and O.K.; investigation, T.P.; resources, O.K.; data curation, T.K.; writing—original draft preparation, T.P.; writing—review and editing, T.P., and T.K.; visualization, T.P.; supervision, O.K.; project administration, O.K.; funding acquisition, O.K. and T.K. All authors have read and agreed to the published version of the manuscript.
Funding
This work is financially supported by “The Association for Advancement of Research on Open Problems in Nuclear Physics and Particle Physics (OPRA Association)”, Tel Aviv, Israel.
Data Availability Statement
The datasets generated during and/or analyzed in the present study are available upon request from the corresponding author.
Conflicts of Interest
The authors declare no conflicts of interest.
References
- Saikia, P.; Russell, D.M.; Bramich, D.M.; Miller-Jones, J.C.A.; Baglio, M.C.; Degenaar, N. Lorentz Factors of Compact Jets in Black Hole X-Ray Binaries. Astrophys. J. 2019, 887, 21. [Google Scholar] [CrossRef]
- Punsly, B. Models of the compact jet in GRS 1915+105. Mon. Not. R. Astron. Soc. 2011, 418, 2736–2743. [Google Scholar] [CrossRef][Green Version]
- Papavasileiou, T.; Kosmas, O.; Sinatkas, I. Simulations of Neutrino and Gamma-Ray Production from Relativistic Black-Hole Microquasar Jets. Galaxies 2021, 9, 67. [Google Scholar] [CrossRef]
- Papavasileiou, T.; Kosmas, O.; Sinatkas, I. Studying the Spectral Energy Distributions Emanating from Regular Galactic XRBs. Universe 2023, 9, 312. [Google Scholar] [CrossRef]
- Aartsen, M.G.; Ackermann, M.; Adams, J.; Aguilar, J.A.; Ahlers, M.; Ahrens, M.; Alispach, C.; Andeen, K.; Anderson, T.; Ansseau, I.; et al. Neutrino astronomy with the next generation IceCube Neutrino Observatory. arXiv 2019, arXiv:1911.02561. [Google Scholar] [CrossRef]
- Cherenkov Telescope Array Consortium. Science with the Cherenkov Telescope Array; World Scientific Publishing Co. Pte. Ltd.: Singapore, 2019. [Google Scholar] [CrossRef]
- Papavasileiou, T.V.; Kosmas, O.T.; Sinatkas, I. Prediction of gamma-ray emission from Cygnus X-1, SS 433, and GRS 1915+105 after absorption. Astron. Astrophys. 2023, 673, A162. [Google Scholar] [CrossRef]
- Gierliński, M.; Zdziarski, A.A.; Poutanen, J.; Coppi, P.S.; Ebisawa, K.; Johnson, W.N. Radiation mechanisms and geometry of Cygnus X-1 in the soft state. Mon. Not. R. Astron. Soc. 1999, 309, 496–512. [Google Scholar] [CrossRef]
- Cerutti, B.; Dubus, G.; Malzac, J.; Szostek, A.; Belmont, R.; Zdziarski, A.A.; Henri, G. Absorption of high-energy gamma rays in Cygnus X-3. Astron. Astrophys. 2011, 529, A120. [Google Scholar] [CrossRef][Green Version]
- van der Horst, A.J.; Curran, P.A.; Miller-Jones, J.C.A.; Linford, J.D.; Gorosabel, J.; Russell, D.M.; de Ugarte Postigo, A.; Lundgren, A.A.; Taylor, G.B.; Maitra, D.; et al. Broad-band monitoring tracing the evolution of the jet and disc in the black hole candidate X-ray binary MAXI J1659-152. Mon. Not. R. Astron. Soc. 2013, 436, 2625–2638. [Google Scholar] [CrossRef]
- Wu, F.; Hu, W.; Dai, B. The Nature of the High-energy Gamma-Ray Radiation Associated with the High-redshift Blazar B3 1343+451. arXiv 2024, arXiv:2407.04553. [Google Scholar] [CrossRef]
- Yoshioka, S.; Mineshige, S.; Ohsuga, K.; Kawashima, T.; Kitaki, T. Radiation and outflow properties of super-Eddington accretion flows around various mass classes of black holes: Dependence on the accretion rates. arXiv 2024, arXiv:2407.15927. [Google Scholar] [CrossRef]
- McClintock, J.E.; Shafee, R.; Narayan, R.; Remillard, R.A.; Davis, S.W.; Li, L.X. The Spin of the Near-Extreme Kerr Black Hole GRS 1915+105. ApJ 2006, 652, 518–539. [Google Scholar] [CrossRef]
- Stuchlík, Z.; Kološ, M. CONTROVERSY OF THE GRO J1655-40 BLACK HOLE MASS AND SPIN ESTIMATES AND ITS POSSIBLE SOLUTIONS. Astrophys. J. 2016, 825, 13. [Google Scholar] [CrossRef]
- Qin, Y.; Shu, X.; Yi, S.; Wang, Y.Z. Hypercritical Accretion for Black Hole High Spin in Cygnus X-1. Res. Astron. Astrophys. 2022, 22, 035023. [Google Scholar] [CrossRef]
- Shakura, N.I.; Sunyaev, R.A. Black holes in binary systems. Observational appearance. Astron. Astrophys. 1973, 24, 337–355. [Google Scholar]
- Artemova, I.V.; Bjoernsson, G.; Novikov, I.D. Modified Newtonian Potentials for the Description of Relativistic Effects in Accretion Disks around Black Holes. ApJ 1996, 461, 565. [Google Scholar] [CrossRef]
- Semerak, O.; Karas, V. Pseudo-Newtonian models of a rotating black hole field. Astron. Astrophys. 1999, 343, 325. [Google Scholar]
- Mukhopadhyay, B. Description of Pseudo-Newtonian Potential for the Relativistic Accretion Disks around Kerr Black Holes. Astrophys. J. 2002, 581, 427. [Google Scholar] [CrossRef]
- Chakrabarti, S.K.; Mondal, S. Studies of accretion flows around rotating black holes—I. Particle dynamics in a pseudo-Kerr potential. Mon. Not. R. Astron. Soc. 2006, 369, 976–984. [Google Scholar] [CrossRef]
- Dihingia, I.K.; Das, S.; Maity, D.; Chakrabarti, S. Limitations of the pseudo-Newtonian approach in studying the accretion flow around a Kerr black hole. Phys. Rev. D 2018, 98, 083004. [Google Scholar] [CrossRef]
- Novikov, I.D.; Thorne, K.S. Astrophysics of Black Holes; Gordon and Breach, Science Publishers, Inc.: New York, NY, USA, 1973; pp. 343–550. [Google Scholar]
- Li, L.X.; Zimmerman, E.R.; Narayan, R.; McClintock, J.E. Multitemperature Blackbody Spectrum of a Thin Accretion Disk around a Kerr Black Hole: Model Computations and Comparison with Observations. Astrophys. J. Suppl. Ser. 2005, 157, 335. [Google Scholar] [CrossRef]
- Romero, G.E.; Okazaki, A.T.; Orellana, M.; Owocki, S.P. Accretion vs. colliding wind models for the gamma-ray binary LS I +61 303: An assessment. Astron. Astrophys. 2007, 474, 15–22. [Google Scholar] [CrossRef]
- Reynoso, M.M.; Romero, G.E. Magnetic field effects on neutrino production in microquasars. Astron. Astrophys. 2009, 493, 1–11. [Google Scholar] [CrossRef]
- Kelner, S.R.; Aharonian, F.A.; Bugayov, V.V. Energy spectra of gamma rays, electrons, and neutrinos produced at proton-proton interactions in the very high energy regime. Phys. Rev. D 2006, 74, 034018. [Google Scholar] [CrossRef]
- Merloni, A.; Fabian, A.C.; Ross, R.R. On the interpretation of the multicolour disc model for black hole candidates. Mon. Not. R. Astron. Soc. 2000, 313, 193–197. [Google Scholar] [CrossRef]
- Miller-Jones, J.C.A.; Bahramian, A.; Orosz, J.A.; Mandel, I.; Gou, L.; Maccarone, T.J.; Neijssel, C.J.; Zhao, X.; Ziółkowski, J.; Reid, M.J.; et al. Cygnus X-1 contains a 21–solar mass black hole—Implications for massive star winds. Science 2021, 371, 1046–1049. [Google Scholar] [CrossRef]
- Ziółkowski, J. Evolutionary constraints on the masses of the components of the HDE 226868/Cyg X-1 binary system. Mon. Not. R. Astron. Soc. 2005, 358, 851–859. [Google Scholar] [CrossRef]
- Malyshev, D.; Zdziarski, A.A.; Chernyakova, M. High-energy gamma-ray emission from Cyg X-1 measured by Fermi and its theoretical implications. Mon. Not. R. Astron. Soc. 2013, 434, 2380–2389. [Google Scholar] [CrossRef]
- Ahnen, M.; Ansoldi, S.; Antonelli, L.; Arcaro, C.; Babić, A.; Banerjee, B.; Bangale, P.; de Almeida, U.B.; Barrio, J.A.; González, J.B.; et al. Search for very high-energy gamma-ray emission from the microquasar Cygnus X-1 with the MAGIC telescopes. Mon. Not. R. Astron. Soc. 2017, 472, 3474–3485. [Google Scholar] [CrossRef]
Disclaimer/Publisher’s Note: The statements, opinions and data contained in all publications are solely those of the individual author(s) and contributor(s) and not of MDPI and/or the editor(s). MDPI and/or the editor(s) disclaim responsibility for any injury to people or property resulting from any ideas, methods, instructions or products referred to in the content. |
© 2024 by the authors. Licensee MDPI, Basel, Switzerland. This article is an open access article distributed under the terms and conditions of the Creative Commons Attribution (CC BY) license (https://creativecommons.org/licenses/by/4.0/).

