Forward & Far-Forward Heavy Hadrons with Jethad: A High-Energy Viewpoint
Abstract
1. Introduction
2. Hybrid Factorization at Work
2.1. Kinematics of the Process
2.2. NLO Cross Section Resummed at NLL and Beyond
2.3. Choice of Collinear PDFs and FFs
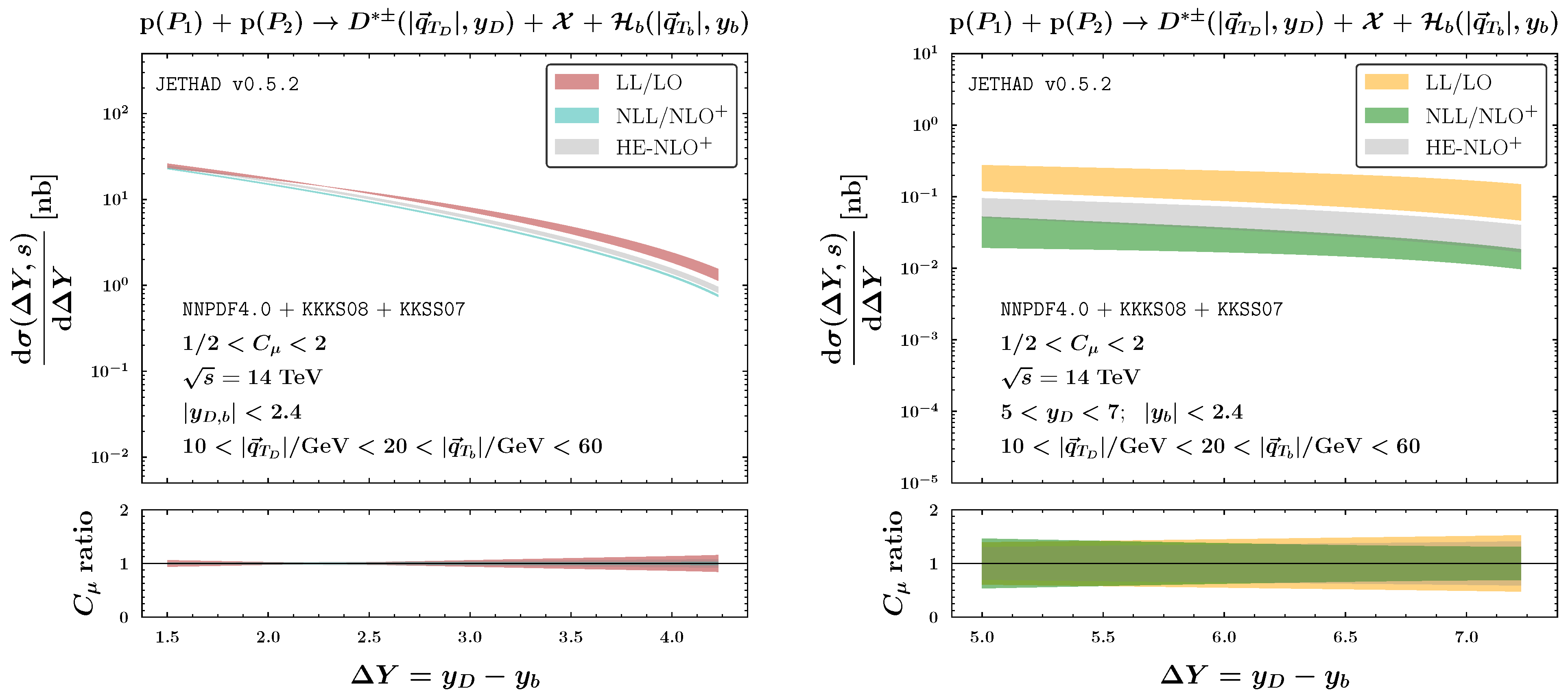
3. Heavy Hadrons with Jethad
3.1. Highlights of Jethad v0.5.2
(DYnamis) work package, dedicated to the forward DY dilepton reaction [219], became part of Jethad in v0.4.5. Integration with the LExA modular code enabled exploration of proton content at low-x through small-x TMD densities in v0.4.6 [199].3.2. Uncertainty Estimation
3.3. Final-State Kinematic Ranges
3.3.1. Standard LHC Tagging
3.3.2. FPF + LHC Coincidence
3.4. Rapidity-Interval Rates
3.5. Angular Multiplicities
4. Toward Precision Studies of High-Energy QCD
Funding
Acknowledgments
Conflicts of Interest
Abbreviations
| ABF | Altarelli–Ball–Forte |
| BFKL | Balitsky–Fadin–Kuraev–Lipatov |
| BLM | Brodsky–Lepage–Mackenzie |
| BSM | Beyond-the-Standard-Model |
| DGLAP | Dokshitzer–Gribov–Lipatov–Altarelli–Parisi |
| DIS | Deep-Inelastic Scattering |
| DY | Drell–Yan |
| EIC | Electron-Ion Collider |
| FCC | Future Circular Collider |
| FFs | Fragmentation Functions |
| FPFs | Forward Physics Facilities |
| HELL | High Energy Large Logarithms |
| LHC | Large Hadron Collider |
| LL | Leading Logarithmic |
| LO | Leading Order |
| MOM | MOMentum |
| Modified Minimal Subtraction | |
| MHOUs | Missing Higher-Order Uncertainties |
| NLL | Next-to-Leading Logarithmic |
| NLO | Next-to-Leading Order |
| PDFs | Parton Distribution Functions |
| QCD | Quantum ChromoDynamics |
| SIA | Single-Inclusive Annihilation |
| SIDIS | Semi-Inclusive Deep-Inelastic Scattering |
| SM | Standard Model |
| TM | Transverse-Momentum |
| TMD | Transverse-Momentum-Dependent |
| UGD | Unintegrated Gluon Distribution |
| VFNS | Variable-Flavor Number-Scheme |
Appendix A. High-Energy Kernel at NLL
Appendix B. Forward-Hadron Emission Function at NLO
References
- Anchordoqui, L.A.; Ariga, A.; Ariga, T.; Bai, W.; Balazs, K.; Batell, B.; Boyd, J.; Bramante, J.; Campanelli, M.; Carmona, A.; et al. The Forward Physics Facility: Sites, experiments, and physics potential. Phys. Rep. 2022, 968, 1–50. [Google Scholar] [CrossRef]
- Feng, J.L.; Kling, F.; Reno, M.H.; Rojo, J.; Soldin, D.; Anchordoqui, L.A.; Boyd, J.; Ismail, A.; Harland-Lang, L.; Kelly, K.J.; et al. The Forward Physics Facility at the High-Luminosity LHC. J. Phys. G 2023, 50, 030501. [Google Scholar] [CrossRef]
- Hentschinski, M.; Royon, C.; Peredo, M.A.; Baldenegro, C.; Bellora, A.; Boussarie, R.; Celiberto, F.G.; Cerci, S.; Chachamis, G.; Contreras, J.G.; et al. White Paper on Forward Physics, BFKL, Saturation Physics and Diffraction. Acta Phys. Polon. B 2023, 54, 2. [Google Scholar] [CrossRef]
- Accardi, A.; Albacete, J.L.; Anselmino, M.; Armesto, N.; Aschenauer, E.C.; Bacchetta, A.; Boer, D.; Brooks, W.K.; Burton, T.; Chang, N.-B.; et al. Electron Ion Collider: The Next QCD Frontier: Understanding the glue that binds us all. Eur. Phys. J. A 2016, 52, 268. [Google Scholar] [CrossRef]
- Abdul Khalek, R.; Accardi, A.; Adam, J.; Adamiak, D.; Akers, W.; Albaladejo, M.; Al-bataineh, A.; Alexeev, M.G.; Ameli, F.; Antonioli, P.; et al. Science Requirements and Detector Concepts for the Electron-Ion Collider: EIC Yellow Report. Nucl. Phys. A 2022, 1026, 122447. [Google Scholar] [CrossRef]
- Abdul Khalek, R.; D’Alesio, U.; Arratia, M.; Bacchetta, A.; Battaglieri, M.; Begel, M.; Boglione, M.; Boughezal, R.; Boussarie, R.; Bozzi, G.; et al. Snowmass 2021 White Paper: Electron Ion Collider for High Energy Physics. arXiv 2022, arXiv:2203.13199. [Google Scholar]
- Acosta, D.; Barberis, E.; Hurley, N.; Li, W.; Colin, O.M.; Wood, D.; Zuo, X. The Potential of a TeV-Scale Muon-Ion Collider. J. Instrum. 2022, 18, P09025. [Google Scholar] [CrossRef]
- Aryshev, A.; Behnke, T.; Berggren, M.; Brau, J.; Craig, N.; Freitas, A.; Gaede, F.; Gessner, S.; Gori, S.; Grojean, C.; et al. The International Linear Collider: Report to Snowmass 2021. arXiv 2022, arXiv:2203.07622. [Google Scholar]
- Brunner, O.; Burrows, P.N.; Calatroni, S.; Lasheras, N.C.; Corsini, R.; D’Auria, G.; Doebert, S.; Faus-Golfe, A.; Grudiev, A.; Latina, A.; et al. The CLIC project. arXiv 2022, arXiv:2203.09186. [Google Scholar]
- Arbuzov, A.; Bacchetta, A.; Butenschoen, M.; Celiberto, F.G.; D’Alesio, U.; Deka, M.; Denisenko, I.; Echevarria, M.G.; Efremov, A.; Ivanov, N.Y.; et al. On the physics potential to study the gluon content of proton and deuteron at NICA SPD. Prog. Part. Nucl. Phys. 2021, 119, 103858. [Google Scholar] [CrossRef]
- Abazov, V.M.; Abramov, V.; Afanasyev, L.G.; Akhunzyanov, R.R.; Akindinov, A.V.; Akopov, N.; Alekseev, I.G.; Aleshko, A.M.; Alexakhin, V.Y.; Alexeev, G.D.; et al. Conceptual design of the Spin Physics Detector. arXiv 2021, arXiv:2102.00442. [Google Scholar]
- Bernardi, G.; Brost, E.; Denisov, D.; Landsberg, G.; Aleksa, M.; d’Enterria, D.; Janot, P.; Mangano, M.L.; Selvaggi, M.; Zimmermann, F.; et al. The Future Circular Collider: A Summary for the US 2021 Snowmass Process. arXiv 2022, arXiv:2203.06520. [Google Scholar]
- Amoroso, S.; Apyan, A.; Armesto, N.; Ball, R.D.; Bertone, V.; Bissolotti, C.; Bluemlein, J.; Boughezal, R.; Bozzi, G.; Britzger, D.; et al. Snowmass 2021 whitepaper: Proton structure at the precision frontier. Acta Phys. Polon. B 2022, 53, A1. [Google Scholar] [CrossRef]
- Celiberto, F.G.; Fucilla, M.; Ivanov, D.Y.; Mohammed, M.M.A.; Papa, A. High-energy QCD at colliders: Semi-hard reactions and unintegrated gluon densities: Letter of Interest for SnowMass 2021. In Proceedings of the 2022 Snowmass Summer Study, Seattle, WA, USA, 17–26 July 2022; Available online: https://inspirehep.net/literature/1841481 (accessed on 18 June 2024).
- Adam, J.; Aidala, C.; Angerami, A.; Audurier, B.; Bertulani, C.; Bierlich, C.; Blok, B.; Brandenburg, J.D.; Brodsky, S.; Bylinkin, A.; et al. New opportunities at the photon energy frontier. arXiv 2020, arXiv:2009.03838. [Google Scholar]
- Canepa, A.; D’Onofrio, M. Future Accelerator Projects: New Physics at the Energy Frontier. Front. Phys. 2023, 10, 916078. [Google Scholar] [CrossRef]
- De Blas, J.; Buttazzo, D.; Capdevilla, R.; Curtin, D.; Franceschini, R.; Maltoni, F.; Meade, P.; Meloni, F.; Su, S.; Vryonidou, E.; et al. The physics case of a 3 TeV muon collider stage. arXiv 2022, arXiv:2203.07261. [Google Scholar]
- Aimè, C.; Apyan, A.; Mahmoud, M.A.; Bartosik, N.; Bertolin, A.; Bonesini, M.; Bottaro, S.; Buttazzo, D.; Capdevilla, R.; Casarsa, M.; et al. Muon Collider Physics Summary. arXiv 2022, arXiv:2203.07256. [Google Scholar]
- Bartosik, N.; Krizka, K.; Griso, S.P.; Aimè, C.; Apyan, A.; Mahmoud, M.A.; Bertolin, A.; Braghieri, A.; Buonincontri, L.; Calzaferri, S.; et al. Simulated Detector Performance at the Muon Collider. arXiv 2022, arXiv:2203.07964. [Google Scholar]
- Accettura, C.; Adams, D.; Agarwal, R.; Ahdida, C.; Aimè, C.; Amapane, N.; Amorim, D.; Andreetto, P.; Anulli, F.; Batsch, F.; et al. Towards a muon collider. Eur. Phys. J. C 2023, 83, 864, Erratum in Eur. Phys. J. C 2024, 84, 36. [Google Scholar] [CrossRef]
- Vignaroli, N. Charged resonances and MDM bound states at a multi-TeV muon collider. J. High Energy Phys. 2023, 2023, 121. [Google Scholar] [CrossRef]
- Black, K.M.; Jindariani, S.; Li, D.; Maltoni, F.; Meade, P.; Stratakis, D.; Acosta, D.; Agarwal, R.; Agashe, K.; Aimè, C.; et al. Muon Collider Forum report. J. Instrum. 2024, 19, T02015. [Google Scholar] [CrossRef]
- Dawson, S.; Meade, P.; Ojalvo, I.; Vernieri, C.; Adhikari, S.; Abu-Ajamieh, F.; Alberta, A.; Bahl, H.; Barman, R.; Basso, M.; et al. Report of the Topical Group on Higgs Physics for Snowmass 2021: The Case for Precision Higgs Physics. arXiv 2022, arXiv:2209.07510. [Google Scholar]
- Bose, T.; Boveia, A.; Doglioni, C.; Griso, S.P.; Hirschauer, J.; Lipeles, E.; Liu, Z.; Shah, N.R.; Wang, L.-T.; Agashe, K.; et al. Report of the Topical Group on Physics Beyond the Standard Model at Energy Frontier for Snowmass 2021. arXiv 2022, arXiv:2209.13128. [Google Scholar]
- Begel, M.; Hoeche, S.; Schmitt, M.; Lin, H.-W.; Nadolsky, P.M.; Royon, C.; Lee, Y.-J.; Mukherjee, S.; Baldenegro, C.; Campbell, J.; et al. Precision QCD, Hadronic Structure & Forward QCD, Heavy Ions: Report of Energy Frontier Topical Groups 5, 6, 7 submitted to Snowmass 2021. arXiv 2022, arXiv:2209.14872. [Google Scholar]
- Abir, R.; Akushevich, I.; Altinoluk, T.; Anderle, D.P.; Aslan, F.P.; Bacchetta, A.; Balantekin, B.; Barata, J.; Battaglieri, M.; Bertulani, C.A.; et al. The case for an EIC Theory Alliance: Theoretical Challenges of the EIC. arXiv 2023, arXiv:2305.14572. [Google Scholar]
- Accardi, A.; Achenbach, P.; Adhikari, D.; Afanasev, A.; Akondi, C.S.; Akopov, N.; Albaladejo, M.; Albataineh, H.; Albrecht, M.; Almeida-Zamora, B.; et al. Strong Interaction Physics at the Luminosity Frontier with 22 GeV Electrons at Jefferson Lab. arXiv 2023, arXiv:2306.09360. [Google Scholar]
- Mangano, M.L.; Zanderighi, G.; Aguilar Saavedra, J.A.; Alekhin, S.; Badger, S.; Bauer, C.W.; Becher, T.; Bertone, V.; Bonvini, M.; Boselli, S.; et al. Physics at a 100 TeV pp Collider: Standard Model Processes. arXiv 2016, arXiv:1607.01831. [Google Scholar] [CrossRef]
- Abada, A.; Abbrescia, M.; AbdusSalam, S.S.; Abdyukhanov, I.; Abelleira Fernandez, J.; Abramov, A.; Aburaia, M.; Acar, A.O.; Adzic, P.R.; Agrawal, P.; et al. FCC Physics Opportunities: Future Circular Collider Conceptual Design Report Volume 1. Eur. Phys. J. C 2019, 79, 474. [Google Scholar] [CrossRef]
- Abada, A.; Abbrescia, M.; AbdusSalam, S.S.; Abdyukhanov, I.; Abelleira Fernandez, J.; Abramov, A.; Aburaia, M.; Acar, A.O.; Adzic, P.R.; Agrawal, P.; et al. FCC-ee: The Lepton Collider: Future Circular Collider Conceptual Design Report Volume 2. Eur. Phys. J. Spec. Top. 2019, 228, 261–623. [Google Scholar] [CrossRef]
- Abada, A.; Abbrescia, M.; AbdusSalam, S.S.; Abdyukhanov, I.; Abelleira Fernandez, J.; Abramov, A.; Aburaia, M.; Acar, A.O.; Adzic, P.R.; Agrawal, P.; et al. FCC-hh: The Hadron Collider: Future Circular Collider Conceptual Design Report Volume 3. Eur. Phys. J. Spec. Top. 2019, 228, 755–1107. [Google Scholar] [CrossRef]
- Abada, A.; Abbrescia, M.; AbdusSalam, S.S.; Abdyukhanov, I.; Abelleira Fernandez, J.; Abramov, A.; Aburaia, M.; Acar, A.O.; Adzic, P.R.; Agrawal, P.; et al. HE-LHC: The High-Energy Large Hadron Collider: Future Circular Collider Conceptual Design Report Volume 4. Eur. Phys. J. Spec. Top. 2019, 228, 1109–1382. [Google Scholar] [CrossRef]
- Collins, J.C.; Soper, D.E.; Sterman, G.F. Factorization of Hard Processes in QCD. Adv. Ser. Direct. High Energy Phys. 1989, 5, 1–91. [Google Scholar] [CrossRef]
- Sterman, G.F. Partons, factorization and resummation, TASI 95. arXiv 1995, arXiv:hep-ph/9606312. [Google Scholar]
- Gribov, V.; Lipatov, L. Deep inelastic e p scattering in perturbation theory. Sov. J. Nucl. Phys. 1972, 15, 438–450. [Google Scholar]
- Gribov, V.N.; Lipatov, L.N. e+ e- pair annihilation and deep inelastic e p scattering in perturbation theory. Sov. J. Nucl. Phys. 1972, 15, 675–684. [Google Scholar]
- Lipatov, L.N. The parton model and perturbation theory. Yad. Fiz. 1974, 20, 181–198. [Google Scholar]
- Altarelli, G.; Parisi, G. Asymptotic Freedom in Parton Language. Nucl. Phys. B 1977, 126, 298–318. [Google Scholar] [CrossRef]
- Dokshitzer, Y.L. Calculation of the Structure Functions for Deep Inelastic Scattering and e+ e- Annihilation by Perturbation Theory in Quantum Chromodynamics. Sov. Phys. JETP 1977, 46, 641–653. [Google Scholar]
- Collins, J.C.; Soper, D.E. Back-To-Back Jets in QCD. Nucl. Phys. B 1977, 193, 381, Erratum in Nucl. Phys. B 1983, 213, 545. [Google Scholar] [CrossRef]
- Collins, J. Foundations of perturbative QCD. Camb. Monogr. Part Phys. Nucl. Phys. Cosmol. 2011, 32, 1–624. [Google Scholar]
- Catani, S.; de Florian, D.; Grazzini, M. Universality of nonleading logarithmic contributions in transverse momentum distributions. Nucl. Phys. B 2001, 596, 299–312. [Google Scholar] [CrossRef]
- Bozzi, G.; Catani, S.; de Florian, D.; Grazzini, M. Transverse-momentum resummation and the spectrum of the Higgs boson at the LHC. Nucl. Phys. B 2006, 737, 73–120. [Google Scholar] [CrossRef]
- Bozzi, G.; Catani, S.; Ferrera, G.; de Florian, D.; Grazzini, M. Transverse-momentum resummation: A Perturbative study of Z production at the Tevatron. Nucl. Phys. B 2009, 815, 174–197. [Google Scholar] [CrossRef]
- Catani, S.; Grazzini, M. QCD transverse-momentum resummation in gluon fusion processes. Nucl. Phys. B 2011, 845, 297–323. [Google Scholar] [CrossRef]
- Catani, S.; Grazzini, M. Higgs Boson Production at Hadron Colliders: Hard-Collinear Coefficients at the NNLO. Eur. Phys. J. C 2012, 72, 2013, Erratum in Eur. Phys. J. C 2012, 72, 2132. [Google Scholar] [CrossRef]
- Catani, S.; Cieri, L.; de Florian, D.; Ferrera, G.; Grazzini, M. Universality of transverse-momentum resummation and hard factors at the NNLO. Nucl. Phys. B 2014, 881, 414–443. [Google Scholar] [CrossRef]
- Catani, S.; de Florian, D.; Ferrera, G.; Grazzini, M. Vector boson production at hadron colliders: Transverse-momentum resummation and leptonic decay. J. High Energy Phys. 2015, 12, 047. [Google Scholar] [CrossRef]
- Duhr, C.; Mistlberger, B.; Vita, G. Four-Loop Rapidity Anomalous Dimension and Event Shapes to Fourth Logarithmic Order. Phys. Rev. Lett. 2022, 129, 162001. [Google Scholar] [CrossRef] [PubMed]
- Cieri, L.; Coradeschi, F.; de Florian, D. Diphoton production at hadron colliders: Transverse-momentum resummation at next-to-next-to-leading logarithmic accuracy. J. High Energy Phys. 2015, 6, 185. [Google Scholar] [CrossRef]
- Alioli, S.; Broggio, A.; Gavardi, A.; Kallweit, S.; Lim, M.A.; Nagar, R.; Napoletano, D.; Rottoli, L. Precise predictions for photon pair production matched to parton showers in GENEVA. J. High Energy Phys. 2021, 4, 041. [Google Scholar] [CrossRef]
- Becher, T.; Neumann, T. Fiducial qT resummation of color-singlet processes at N3LL+NNLO. J. High Energy Phys. 2021, 3, 199. [Google Scholar] [CrossRef]
- Neumann, T. The diphoton qT spectrum at N3LL′ + NNLO. Eur. Phys. J. C 2021, 81, 905. [Google Scholar] [CrossRef]
- Ferrera, G.; Pires, J. Transverse-momentum resummation for Higgs boson pair production at the LHC with top-quark mass effects. J. High Energy Phys. 2017, 2, 139. [Google Scholar] [CrossRef]
- Ju, W.-L.; Schönherr, M. The qT and Δϕ spectra in W and Z production at the LHC at N3LL’+N2LO. J. High Energy Phys. 2021, 10, 088. [Google Scholar] [CrossRef]
- Monni, P.F.; Rottoli, L.; Torrielli, P. Higgs transverse momentum with a jet veto: A double-differential resummation. Phys. Rev. Lett. 2020, 124, 252001. [Google Scholar] [CrossRef] [PubMed]
- Buonocore, L.; Grazzini, M.; Haag, J.; Rottoli, L. Transverse-momentum resummation for boson plus jet production at hadron colliders. Eur. Phys. J. C 2022, 82, 27. [Google Scholar] [CrossRef]
- Wiesemann, M.; Rottoli, L.; Torrielli, P. The Zγ transverse-momentum spectrum at NNLO+N3LL. Phys. Lett. B 2020, 809, 135718. [Google Scholar] [CrossRef]
- Ebert, M.A.; Michel, J.K.L.; Stewart, I.W.; Tackmann, F.J. Drell-Yan qT resummation of fiducial power corrections at N3LL. J. High Energy Phys. 2021, 4, 102. [Google Scholar] [CrossRef]
- Re, E.; Rottoli, L.; Torrielli, P. Fiducial Higgs and Drell-Yan distributions at N3LL′+NNLO with RadISH. J. High Energy Phys. 2021, 9, 108. [Google Scholar] [CrossRef]
- Chen, X.; Gehrmann, T.; Glover, E.W.N.; Huss, A.; Monni, P.F.; Re, E.; Rottoli, L.; Torrielli, P. Third-Order Fiducial Predictions for Drell-Yan Production at the LHC. Phys. Rev. Lett. 2022, 128, 252001. [Google Scholar] [CrossRef]
- Neumann, T.; Campbell, J. Fiducial Drell-Yan production at the LHC improved by transverse-momentum resummation at N4LLp+N3LO. Phys. Rev. D 2023, 107, L011506. [Google Scholar] [CrossRef]
- Bizon, W.; Monni, P.F.; Re, E.; Rottoli, L.; Torrielli, P. Momentum-space resummation for transverse observables and the Higgs p⊥ at N3LL+NNLO. J. High Energy Phys. 2018, 2, 108. [Google Scholar] [CrossRef]
- Billis, G.; Dehnadi, B.; Ebert, M.A.; Michel, J.K.L.; Tackmann, F.J. Higgs pT Spectrum and Total Cross Section with Fiducial Cuts at Third Resummed and Fixed Order in QCD. Phys. Rev. Lett. 2021, 127, 072001. [Google Scholar] [CrossRef] [PubMed]
- Caola, F.; Chen, W.; Duhr, C.; Liu, X.; Mistlberger, B.; Petriello, F.; Vita, G.; Weinzierl, S. The Path forward to N3LO. arXiv 2022, arXiv:2203.06730. [Google Scholar]
- Mueller, A.; Xiao, B.-W.; Yuan, F. Sudakov Resummation in Small-x Saturation Formalism. Phys. Rev. Lett. 2013, 110, 082301. [Google Scholar] [CrossRef] [PubMed]
- Mueller, A.; Xiao, B.-W.; Yuan, F. Sudakov double logarithms resummation in hard processes in the small-x saturation formalism. Phys. Rev. D 2013, 88, 114010. [Google Scholar] [CrossRef]
- Marzani, S. Combining QT and small-x resummations. Phys. Rev. D 2016, 93, 054047. [Google Scholar] [CrossRef]
- Mueller, A.; Szymanowski, L.; Wallon, S.; Xiao, B.-W.; Yuan, F. Sudakov Resummations in Mueller-Navelet Dijet Production. J. High Energy Phys. 2016, 3, 096. [Google Scholar] [CrossRef]
- Xiao, B.-W.; Yuan, F. BFKL and Sudakov Resummation in Higgs Boson Plus Jet Production with Large Rapidity Separation. Phys. Lett. B 2018, 782, 28–33. [Google Scholar] [CrossRef]
- Sterman, G.F. Summation of Large Corrections to Short Distance Hadronic Cross-Sections. Nucl. Phys. B 1987, 281, 310–364. [Google Scholar] [CrossRef]
- Catani, S.; Trentadue, L. Resummation of the QCD Perturbative Series for Hard Processes. Nucl. Phys. B 1989, 327, 323–352. [Google Scholar] [CrossRef]
- Catani, S.; Mangano, M.L.; Nason, P.; Trentadue, L. The Resummation of soft gluons in hadronic collisions. Nucl. Phys. B 1996, 478, 273–310. [Google Scholar] [CrossRef]
- Bonciani, R.; Catani, S.; Mangano, M.L.; Nason, P. Sudakov resummation of multiparton QCD cross-sections. Phys. Lett. B 2003, 575, 268–278. [Google Scholar] [CrossRef]
- de Florian, D.; Kulesza, A.; Vogelsang, W. Threshold resummation for high-transverse-momentum Higgs production at the LHC. J. High Energy Phys. 2006, 2, 047. [Google Scholar] [CrossRef]
- Ahrens, V.; Becher, T.; Neubert, M.; Yang, L.L. Renormalization-Group Improved Prediction for Higgs Production at Hadron Colliders. Eur. Phys. J. C 2009, 62, 333–353. [Google Scholar] [CrossRef]
- de Florian, D.; Grazzini, M. Higgs production at the LHC: Updated cross sections at = 8 TeV. Phys. Lett. B 2012, 718, 117–120. [Google Scholar] [CrossRef]
- Forte, S.; Ridolfi, G.; Rota, S. Threshold resummation of transverse momentum distributions beyond next-to-leading log. J. High Energy Phys. 2021, 8, 110. [Google Scholar] [CrossRef]
- Mukherjee, A.; Vogelsang, W. Threshold resummation for W-boson production at RHIC. Phys. Rev. D 2006, 73, 074005. [Google Scholar] [CrossRef]
- Bolzoni, P. Threshold resummation of Drell-Yan rapidity distributions. Phys. Lett. B 2006, 643, 325–330. [Google Scholar] [CrossRef]
- Becher, T.; Neubert, M. Threshold resummation in momentum space from effective field theory. Phys. Rev. Lett. 2006, 97, 082001. [Google Scholar] [CrossRef]
- Becher, T.; Neubert, M.; Xu, G. Dynamical Threshold Enhancement and Resummation in Drell-Yan Production. J. High Energy Phys. 2008, 7, 030. [Google Scholar] [CrossRef]
- Bonvini, M.; Forte, S.; Ridolfi, G. Soft gluon resummation of Drell-Yan rapidity distributions: Theory and phenomenology. Nucl. Phys. B 2011, 847, 93–159. [Google Scholar] [CrossRef]
- Bonvini, M.; Marzani, S. Double resummation for Higgs production. Phys. Rev. Lett. 2018, 120, 202003. [Google Scholar] [CrossRef] [PubMed]
- Ahmed, T.; Mandal, M.K.; Rana, N.; Ravindran, V. Higgs Rapidity Distribution in Annihilation at Threshold in N3LO QCD. J. High Energy Phys. 2015, 2, 131. [Google Scholar] [CrossRef]
- Banerjee, P.; Das, G.; Dhani, P.K.; Ravindran, V. Threshold resummation of the rapidity distribution for Drell-Yan production at NNLO+NNLL. Phys. Rev. D 2018, 98, 054018. [Google Scholar] [CrossRef]
- Duhr, C.; Mistlberger, B.; Vita, G. Soft integrals and soft anomalous dimensions at N3LO and beyond. J. High Energy Phys. 2022, 9, 155. [Google Scholar] [CrossRef]
- Shi, Y.; Wang, L.; Wei, S.-Y.; Xiao, B.-W. Pursuing the Precision Study for Color Glass Condensate in Forward Hadron Productions. Phys. Rev. Lett. 2022, 128, 202302. [Google Scholar] [CrossRef] [PubMed]
- Wang, L.; Chen, L.; Gao, Z.; Shi, Y.; Wei, S.-Y.; Xiao, B.-W. Forward inclusive jet productions in pA collisions. Phys. Rev. D 2023, 107, 016016. [Google Scholar] [CrossRef]
- Moch, S.; Vogt, A. Higher-order soft corrections to lepton pair and Higgs boson production. Phys. Lett. B 2005, 631, 48–57. [Google Scholar] [CrossRef][Green Version]
- Idilbi, A.; Ji, X.-D.; Yuan, F. Resummation of threshold logarithms in effective field theory for DIS, Drell-Yan and Higgs production. Nucl. Phys. B 2006, 753, 42–68. [Google Scholar] [CrossRef]
- Catani, S.; Cieri, L.; de Florian, D.; Ferrera, G.; Grazzini, M. Threshold resummation at N3LL accuracy and soft-virtual cross sections at N3LO. Nucl. Phys. B 2014, 888, 75–91. [Google Scholar] [CrossRef]
- Ajjath, A.H.; Das, G.; Kumar, M.C.; Mukherjee, P.; Ravindran, V.; Samanta, K. Resummed Drell-Yan cross-section at N3LL. J. High Energy Phys. 2020, 10, 153. [Google Scholar] [CrossRef]
- Ajjath, A.H.; Mukherjee, P.; Ravindran, V.; Sankar, A.; Tiwari, S. Next-to-soft corrections for Drell-Yan and Higgs boson rapidity distributions beyond N3LO. Phys. Rev. D 2021, 103, L111502. [Google Scholar] [CrossRef]
- Ajjath, A.H.; Mukherjee, P.; Ravindran, V.; Sankar, A.; Tiwari, S. Next-to-soft-virtual resummed rapidity distribution for the Drell-Yan process to NNLO + . Phys. Rev. D 2022, 106, 034005. [Google Scholar] [CrossRef]
- Ahmed, T.; Ajjath, A.H.; Das, G.; Mukherjee, P.; Ravindran, V.; Tiwari, S. Soft-virtual correction and threshold resummation for n-colorless particles to fourth order in QCD: Part I. arXiv 2020, arXiv:2010.02979. [Google Scholar]
- Ajjath, A.H.; Mukherjee, P.; Ravindran, V.; Sankar, A.; Tiwari, S. Next-to SV resummed Drell–Yan cross section beyond leading-logarithm. Eur. Phys. J. C 2022, 82, 234. [Google Scholar] [CrossRef]
- Kramer, M.; Laenen, E.; Spira, M. Soft gluon radiation in Higgs boson production at the LHC. Nucl. Phys. B 1998, 511, 523–549. [Google Scholar] [CrossRef]
- Catani, S.; de Florian, D.; Grazzini, M.; Nason, P. Soft gluon resummation for Higgs boson production at hadron colliders. J. High Energy Phys. 2003, 7, 028. [Google Scholar] [CrossRef]
- Bonvini, M.; Forte, S.; Ridolfi, G. The Threshold region for Higgs production in gluon fusion. Phys. Rev. Lett. 2012, 109, 102002. [Google Scholar] [CrossRef]
- Bonvini, M.; Marzani, S. Resummed Higgs cross section at N3LL. J. High Energy Phys. 2014, 9, 007. [Google Scholar] [CrossRef]
- Bonvini, M.; Rottoli, L. Three loop soft function for N3LL′ gluon fusion Higgs production in soft-collinear effective theory. Phys. Rev. D 2015, 91, 051301. [Google Scholar] [CrossRef]
- Bonvini, M.; Marzani, S.; Muselli, C.; Rottoli, L. On the Higgs cross section at N3LO+N3LL and its uncertainty. J. High Energy Phys. 2016, 8, 105. [Google Scholar] [CrossRef]
- Beneke, M.; Garny, M.; Jaskiewicz, S.; Szafron, R.; Vernazza, L.; Wang, J. Leading-logarithmic threshold resummation of Higgs production in gluon fusion at next-to-leading power. J. High Energy Phys. 2020, 1, 094. [Google Scholar] [CrossRef]
- Ajjath, A.H.; Mukherjee, P.; Ravindran, V.; Sankar, A.; Tiwari, S. On next to soft threshold corrections to DIS and SIA processes. J. High Energy Phys. 2021, 4, 131. [Google Scholar] [CrossRef]
- Ajjath, A.H.; Mukherjee, P.; Ravindran, V.; Sankar, A.; Tiwari, S. Resummed Higgs boson cross section at next-to SV to NNLO + . Eur. Phys. J. C 2022, 82, 774. [Google Scholar] [CrossRef]
- de Florian, D.; Zurita, J. Soft-gluon resummation for pseudoscalar Higgs boson production at hadron colliders. Phys. Lett. B 2008, 659, 813–820. [Google Scholar] [CrossRef][Green Version]
- Schmidt, T.; Spira, M. Higgs Boson Production via Gluon Fusion: Soft-Gluon Resummation including Mass Effects. Phys. Rev. D 2016, 93, 014022. [Google Scholar] [CrossRef]
- Ahmed, T.; Bonvini, M.; Kumar, M.C.; Mathews, P.; Rana, N.; Ravindran, V.; Rottoli, L. Pseudo-scalar Higgs boson production at N3 LOA +N3 LL ′. Eur. Phys. J. C 2016, 76, 663. [Google Scholar] [CrossRef] [PubMed]
- Bhattacharya, A.; Mahakhud, M.; Mathews, P.; Ravindran, V. Two loop QCD amplitudes for di-pseudo scalar production in gluon fusion. J. High Energy Phys. 2020, 2, 121. [Google Scholar] [CrossRef]
- Bhattacharya, A.; Kumar, M.C.; Mathews, P.; Ravindran, V. Next to SV resummed prediction for pseudoscalar Higgs boson production at NNLO + . Phys. Rev. D 2022, 105, 116015. [Google Scholar] [CrossRef]
- Bonvini, M.; Papanastasiou, A.S.; Tackmann, F.J. Matched predictions for the cross section at the 13 TeV LHC. J. High Energy Phys. 2016, 10, 053. [Google Scholar] [CrossRef]
- Ajjath, A.H.; Chakraborty, A.; Das, G.; Mukherjee, P.; Ravindran, V. Resummed prediction for Higgs boson production through annihilation at N3LL. J. High Energy Phys. 2019, 11, 006. [Google Scholar] [CrossRef]
- Moch, S.; Vermaseren, J.A.M.; Vogt, A. Higher-order corrections in threshold resummation. Nucl. Phys. B 2005, 726, 317–335. [Google Scholar] [CrossRef]
- Das, G.; Moch, S.-O.; Vogt, A. Soft corrections to inclusive deep-inelastic scattering at four loops and beyond. J. High Energy Phys. 2020, 3, 116. [Google Scholar] [CrossRef]
- Abele, M.; de Florian, D.; Vogelsang, W. Threshold resummation at N3LL accuracy and approximate N3LO corrections to semi-inclusive DIS. Phys. Rev. D 2022, 106, 014015. [Google Scholar] [CrossRef]
- Das, G.; Kumar, M.C.; Samanta, K. Resummed inclusive cross-section in ADD model at N3LL. J. High Energy Phys. 2020, 10, 161. [Google Scholar] [CrossRef]
- Das, G.; Kumar, M.C.; Samanta, K. Resummed inclusive cross-section in Randall-Sundrum model at NNLO+NNLL. J. High Energy Phys. 2020, 7, 040. [Google Scholar] [CrossRef]
- Muselli, C.; Forte, S.; Ridolfi, G. Combined threshold and transverse momentum resummation for inclusive observables. J. High Energy Phys. 2017, 3, 106. [Google Scholar] [CrossRef]
- Bonvini, M.; Marzani, S.; Rojo, J.; Rottoli, L.; Ubiali, M.; Ball, R.D.; Bertone, V.; Carrazza, S.; Hartland, N.P. Parton distributions with threshold resummation. J. High Energy Phys. 2015, 9, 191. [Google Scholar] [CrossRef]
- Nachtmann, O. Positivity constraints for anomalous dimensions. Nucl. Phys. B 1973, 63, 237–247. [Google Scholar] [CrossRef]
- Georgi, H.; Politzer, H.D. Freedom at Moderate Energies: Masses in Color Dynamics. Phys. Rev. D 1976, 14, 1829. [Google Scholar] [CrossRef]
- Barbieri, R.; Ellis, J.R.; Gaillard, M.K.; Ross, G.G. Mass Corrections to Scaling in Deep Inelastic Processes. Nucl. Phys. B 1976, 117, 50–76. [Google Scholar] [CrossRef][Green Version]
- Ellis, R.K.; Furmanski, W.; Petronzio, R. Power Corrections to the Parton Model in QCD. Nucl. Phys. B 1982, 207, 1–14. [Google Scholar] [CrossRef][Green Version]
- Ellis, R.K.; Furmanski, W.; Petronzio, R. Unraveling Higher Twists. Nucl. Phys. B 1983, 212, 29. [Google Scholar] [CrossRef]
- Schienbein, I.; Radescu, V.A.; Zeller, G.P.; Eric Christy, M.; Keppel, C.E.; McFarland, K.S.; Melnitchouk, W.; Olness, F.I.; Reno, M.H.; Steffens, F.; et al. A Review of Target Mass Corrections. J. Phys. G 2008, 35, 053101. [Google Scholar] [CrossRef]
- Accardi, A.; Qiu, J.-W. Collinear factorization for deep inelastic scattering structure functions at large Bjorken x(B). J. High Energy Phys. 2008, 7, 090. [Google Scholar] [CrossRef][Green Version]
- Accardi, A.; Melnitchouk, W. Target mass corrections for spin-dependent structure functions in collinear factorization. Phys. Lett. B 2008, 670, 114–118. [Google Scholar] [CrossRef][Green Version]
- Accardi, A. Large-x connections of nuclear and high-energy physics. Mod. Phys. Lett. A 2013, 28, 1330032. [Google Scholar] [CrossRef]
- Accardi, A.; Anderle, D.P.; Ringer, F. Interplay of Threshold Resummation and Hadron Mass Corrections in Deep Inelastic Processes. Phys. Rev. D 2015, 91, 034008. [Google Scholar] [CrossRef]
- Gribov, L.V.; Levin, E.M.; Ryskin, M.G. Semihard Processes in QCD. Phys. Rept. 1983, 100, 1–150. [Google Scholar] [CrossRef]
- Celiberto, F.G. High-Energy Resummation in Semi-Hard Processes at the LHC. Ph.D. Thesis, Università della Calabria and INFN-Cosenza, Arcavacata di Rende, Cosenza, Italy, 2017. arXiv2017, arXiv:1707.04315. [Google Scholar]
- Bolognino, A.D. From Semi-Hard Processes to the Unintegrated Gluon Distribution: A Phenomenological Path in the High-Energy Framework. Ph.D. Thesis, Università della Calabria and INFN-Cosenza, Arcavacata di Rende, Cosenza, Italy, 2021. arXiv2021, arXiv:2109.03033. [Google Scholar]
- Mohammed, M.M.A. Hunting Stabilization Effects of the High-Energy Resummation at the LHC. Ph.D. Thesis, Università della Calabria and INFN-Cosenza, Arcavacata di Rende, Cosenza, Italy, 2022. arXiv2022, arXiv:2204.11606. [Google Scholar]
- Fadin, V.S.; Kuraev, E.; Lipatov, L. On the Pomeranchuk Singularity in Asymptotically Free Theories. Phys. Lett. B 1975, 60, 50–52. [Google Scholar] [CrossRef]
- Kuraev, E.A.; Lipatov, L.N.; Fadin, V.S. Multi-Reggeon Processes in the Yang-Mills Theory. Sov. Phys. JETP 1975, 44, 443–450. [Google Scholar]
- Kuraev, E.; Lipatov, L.; Fadin, V.S. The Pomeranchuk Singularity in Nonabelian Gauge Theories. Sov. Phys. JETP 1977, 45, 199–204. [Google Scholar]
- Balitsky, I.; Lipatov, L. The Pomeranchuk Singularity in Quantum Chromodynamics. Sov. J. Nucl. Phys. 1978, 28, 822–829. [Google Scholar]
- Fadin, V.S. BFKL news. In LAFEX International School on High-Energy Physics (LISHEP 98) Session A: Particle Physics for High School Teachers— Session B: Advanced School in HEP—Session C: Workshop on Diffractive Physics; LISHEP: Rio de Janeiro, Brazil, 1998; pp. 742–776. Available online: http://arxiv.org/abs/hep-ph/9807528 (accessed on 18 June 2024).
- Newton, R.G. Optical theorem and beyond. Am. J. Phys. 1976, 44, 639. [Google Scholar] [CrossRef]
- Catani, S.; Ciafaloni, M.; Hautmann, F. Gluon Contributions to Small X Heavy Flavor Production. Phys. Lett. B 1990, 242, 97–102. [Google Scholar] [CrossRef]
- Catani, S.; Ciafaloni, M.; Hautmann, F. High-energy factorization and small x heavy flavor production. Nucl. Phys. B 1991, 366, 135–188. [Google Scholar] [CrossRef]
- Catani, S.; Ciafaloni, M.; Hautmann, F. High-energy factorization in QCD and minimal subtraction scheme. Phys. Lett. B 1993, 307, 147–153. [Google Scholar] [CrossRef]
- Fadin, V.S.; Lipatov, L.N. BFKL pomeron in the next-to-leading approximation. Phys. Lett. B 1998, 429, 127–134. [Google Scholar] [CrossRef]
- Ciafaloni, M.; Camici, G. Energy scale(s) and next-to-leading BFKL equation. Phys. Lett. B 1998, 430, 349–354. [Google Scholar] [CrossRef]
- Fadin, V.S.; Fiore, R.; Papa, A. The Quark part of the nonforward BFKL kernel and the ’bootstrap’ for the gluon Reggeization. Phys. Rev. D 1999, 60, 074025. [Google Scholar] [CrossRef]
- Fadin, V.S.; Gorbachev, D.A. Nonforward color octet BFKL kernel. JETP Lett. 2000, 71, 222–226. [Google Scholar] [CrossRef]
- Fadin, V.S.; Gorbachev, D.A. Nonforward color-octet kernel of the Balitsky-Fadin-Kuraev-Lipatov equation. Phys. Atom. Nucl. 2000, 63, 2157–2172. [Google Scholar] [CrossRef]
- Fadin, V.S.; Fiore, R. Non-forward BFKL pomeron at next-to-leading order. Phys. Lett. B 2005, 610, 61–66, Erratum in Phys. Lett. B 2005, 621, 320. [Google Scholar] [CrossRef][Green Version]
- Fadin, V.S.; Fiore, R. Non-forward NLO BFKL kernel. Phys. Rev. D 2005, 72, 014018. [Google Scholar] [CrossRef]
- Caola, F.; Chakraborty, A.; Gambuti, G.; von Manteuffel, A.; Tancredi, L. Three-Loop Gluon Scattering in QCD and the Gluon Regge Trajectory. Phys. Rev. Lett. 2022, 128, 212001. [Google Scholar] [CrossRef]
- Falcioni, G.; Gardi, E.; Maher, N.; Milloy, C.; Vernazza, L. Disentangling the Regge Cut and Regge Pole in Perturbative QCD. Phys. Rev. Lett. 2022, 128, 132001. [Google Scholar] [CrossRef]
- Duca, V.D.; Marzucca, R.; Verbeek, B. The gluon Regge trajectory at three loops from planar Yang-Mills theory. J. High Energy Phys. 2022, 1, 149. [Google Scholar] [CrossRef]
- Byrne, E.P.; Duca, V.D.; Dixon, L.J.; Gardi, E.; Smillie, J.M. One-loop central-emission vertex for two gluons in N = 4 super Yang-Mills theory. J. High Energy Phys. 2022, 8, 271. [Google Scholar] [CrossRef]
- Fadin, V.S.; Fucilla, M.; Papa, A. One-loop Lipatov vertex in QCD with higher ϵ-accuracy. J. High Energy Phys. 2023, 4, 137. [Google Scholar] [CrossRef]
- Byrne, E.P. One-loop five-parton amplitudes in the NMRK limit. arXiv 2023, arXiv:2312.15051. [Google Scholar]
- Fadin, V.S.; Fiore, R.; Kotsky, M.I.; Papa, A. The Gluon impact factors. Phys. Rev. D 2000, 61, 094005. [Google Scholar] [CrossRef]
- Fadin, V.S.; Fiore, R.; Kotsky, M.I.; Papa, A. The Quark impact factors. Phys. Rev. D 2000, 61, 094006. [Google Scholar] [CrossRef]
- Bartels, J.; Colferai, D.; Vacca, G.P. The NLO jet vertex for Mueller-Navelet and forward jets: The Quark part. Eur. Phys. J. C 2002, 24, 83–99. [Google Scholar] [CrossRef]
- Bartels, J.; Colferai, D.; Vacca, G.P. The NLO jet vertex for Mueller-Navelet and forward jets: The Gluon part. Eur. Phys. J. C 2003, 29, 235–249. [Google Scholar] [CrossRef]
- Caporale, F.; Ivanov, D.Y.; Murdaca, B.; Papa, A.; Perri, A. The next-to-leading order jet vertex for Mueller-Navelet and forward jets revisited. J. High Energy Phys. 2012, 2, 101. [Google Scholar] [CrossRef]
- Caporale, F.; Ivanov, D.Y.; Murdaca, B.; Papa, A. Mueller-Navelet small-cone jets at LHC in next-to-leading BFKL. Nucl. Phys. B 2013, 877, 73–94. [Google Scholar] [CrossRef]
- Ivanov, D.Y.; Papa, A. The next-to-leading order forward jet vertex in the small-cone approximation. J. High Energy Phys. 2012, 5, 086. [Google Scholar] [CrossRef]
- Colferai, D.; Niccoli, A. The NLO jet vertex in the small-cone approximation for kt and cone algorithms. J. High Energy Phys. 2015, 4, 071. [Google Scholar] [CrossRef]
- Ivanov, D.Y.; Papa, A. Inclusive production of a pair of hadrons separated by a large interval of rapidity in proton collisions. J. High Energy Phys. 2012, 7, 045. [Google Scholar] [CrossRef]
- Ivanov, D.Y.; Kotsky, M.I.; Papa, A. The Impact factor for the virtual photon to light vector meson transition. Eur. Phys. J. C 2004, 38, 195–213. [Google Scholar] [CrossRef][Green Version]
- Bartels, J.; Gieseke, S.; Qiao, C.F. The (gamma* —> q anti-q) Reggeon vertex in next-to-leading order QCD. Phys. Rev. D 2001, 63, 056014, Erratum in Phys. Rev. D 2002, 65, 079902. [Google Scholar] [CrossRef]
- Bartels, J.; Gieseke, S.; Kyrieleis, A. The Process gamma*(L) + q —> (q anti-q g) + q: Real corrections to the virtual photon impact factor. Phys. Rev. D 2002, 65, 014006. [Google Scholar] [CrossRef]
- Bartels, J.; Colferai, D.; Gieseke, S.; Kyrieleis, A. NLO corrections to the photon impact factor: Combining real and virtual corrections. Phys. Rev. D 2002, 66, 094017. [Google Scholar] [CrossRef]
- Bartels, J.; Kyrieleis, A. NLO corrections to the gamma* impact factor: First numerical results for the real corrections to gamma*(L). Phys. Rev. D 2004, 70, 114003. [Google Scholar] [CrossRef]
- Fadin, V.S.; Ivanov, D.Y.; Kotsky, M.I. Photon Reggeon interaction vertices in the NLA. Phys. Atom. Nucl. 2002, 65, 1513–1527. [Google Scholar] [CrossRef][Green Version]
- Balitsky, I.; Chirilli, G.A. Photon impact factor and kT-factorization for DIS in the next-to-leading order. Phys. Rev. D 2013, 87, 014013. [Google Scholar] [CrossRef]
- Hentschinski, M.; Kutak, K.; van Hameren, A. Forward Higgs production within high energy factorization in the heavy quark limit at next-to-leading order accuracy. Eur. Phys. J. C 2021, 81, 112, Erratum in Eur. Phys. J. C 2021, 81, 262. [Google Scholar] [CrossRef]
- Celiberto, F.G.; Fucilla, M.; Ivanov, D.Y.; Mohammed, M.M.A.; Papa, A. The next-to-leading order Higgs impact factor in the infinite top-mass limit. J. High Energy Phys. 2022, 8, 092. [Google Scholar] [CrossRef]
- Hentschinski, M. Forward Higgs production at NLO using Lipatov’s high energy effective action. SciPost Phys. Proc. 2022, 8, 136. [Google Scholar] [CrossRef]
- Fucilla, M. The Higgs Impact Factor at Next-to-leading Order. Acta Phys. Polon. Suppl. 2023, 16, 44. [Google Scholar] [CrossRef]
- Hentschinski, M.; Salas, C. Forward Drell-Yan plus backward jet as a test of BFKL evolution. In Proceedings of the 20th International Workshop on Deep-Inelastic Scattering and Related Subjects, Bonn, Germany, 26–30 March 2012. [Google Scholar] [CrossRef]
- Motyka, L.; Sadzikowski, M.; Stebel, T. Twist expansion of Drell-Yan structure functions in color dipole approach. J. High Energy Phys. 2015, 5, 087. [Google Scholar] [CrossRef]
- Celiberto, F.G.; Ivanov, D.Y.; Murdaca, B.; Papa, A. High-energy resummation in heavy-quark pair photoproduction. Phys. Lett. B 2018, 777, 141–150. [Google Scholar] [CrossRef]
- Bolognino, A.D.; Celiberto, F.G.; Fucilla, M.; Ivanov, D.Y.; Murdaca, B.; Papa, A. Inclusive production of two rapidity-separated heavy quarks as a probe of BFKL dynamics. PoS DIS2019 2019, 067. [Google Scholar] [CrossRef]
- Bolognino, A.D.; Celiberto, F.G.; Fucilla, M.; Ivanov, D.Y.; Papa, A. High-energy resummation in heavy-quark pair hadroproduction. Eur. Phys. J. C 2019, 79, 939. [Google Scholar] [CrossRef]
- Boussarie, R.; Ducloué, B.; Szymanowski, L.; Wallon, S. Forward J/ψ and very backward jet inclusive production at the LHC. Phys. Rev. D 2018, 97, 014008. [Google Scholar] [CrossRef]
- Boussarie, R.; Ducloué, B.; Szymanowski, L.; Wallon, S. Production of a forward J/psi and a backward jet at the LHC. In Proceedings of the International Conference on the Structure and Interactions of the Photon and 21st International Workshop on Photon-Photon Collisions and International Workshop on High Energy Photon Linear Colliders, Novosibirsk, Russia, 15–19 June 2015. [Google Scholar]
- Boussarie, R.; Ducloue, B.; Szymanowski, L.; Wallon, S. Production of a forward J/ψ and a backward jet at the LHC. arXiv 2015, arXiv:1511.02181. [Google Scholar] [CrossRef]
- Boussarie, R.; Ducloué, B.; Szymanowski, L.; Wallon, S. QCD resummation effects in forward J/ψ and very backward jet inclusive production at the LHC. arXiv 2018, arXiv:1709.02671. [Google Scholar] [CrossRef][Green Version]
- Diehl, M. Generalized parton distributions. Phys. Rept. 2003, 388, 41–277. [Google Scholar] [CrossRef]
- Diehl, M. Introduction to GPDs and TMDs. Eur. Phys. J. A 2016, 52, 149. [Google Scholar] [CrossRef]
- Müller, D.; Robaschik, D.; Geyer, B.; Dittes, F.M.; Hořejši, J. Wave functions, evolution equations and evolution kernels from light ray operators of QCD. Fortsch. Phys. 1994, 42, 101–141. [Google Scholar] [CrossRef]
- Belitsky, A.V.; Radyushkin, A.V. Unraveling hadron structure with generalized parton distributions. Phys. Rept. 2005, 418, 1–387. [Google Scholar] [CrossRef]
- Hentschinski, M.; Vera, A.S.; Salas, C. Hard to Soft Pomeron Transition in Small-x Deep Inelastic Scattering Data Using Optimal Renormalization. Phys. Rev. Lett. 2013, 110, 041601. [Google Scholar] [CrossRef] [PubMed]
- Hentschinski, M.; Vera, A.S.; Salas, C. F2 and FL at small x using a collinearly improved BFKL resummation. Phys. Rev. D 2013, 87, 076005. [Google Scholar] [CrossRef]
- Anikin, I.; Besse, A.; Ivanov, D.Y.; Pire, B.; Szymanowski, L.; Wallon, S. A phenomenological study of helicity amplitudes of high energy exclusive leptoproduction of the rho meson. Phys. Rev. D 2011, 84, 054004. [Google Scholar] [CrossRef]
- Besse, A.; Szymanowski, L.; Wallon, S. Saturation effects in exclusive rhoT, rhoL meson electroproduction. J. High Energy Phys. 2013, 11, 062. [Google Scholar] [CrossRef]
- Bolognino, A.D.; Celiberto, F.G.; Ivanov, D.Y.; Papa, A. Unintegrated gluon distribution from forward polarized ρ-electroproduction. Eur. Phys. J. C 2018, 78, 1023. [Google Scholar] [CrossRef]
- Bolognino, A.D.; Celiberto, F.G.; Ivanov, D.Y.; Papa, A. ρ-meson leptoproduction as testfield for the unintegrated gluon distribution in the proton. Frascati Phys. Ser. 2018, 67, 76–82. [Google Scholar]
- Bolognino, A.D.; Celiberto, F.G.; Ivanov, D.Y.; Papa, A. Leptoproduction of ρ-mesons as discriminator for the unintegrated gluon distribution in the proton. Acta Phys. Polon. Suppl. 2019, 12, 891. [Google Scholar] [CrossRef]
- Bolognino, A.D.; Szczurek, A.; Schaefer, W. Exclusive production of ϕ meson in the γ* p→ϕp reaction at large photon virtualities within kT-factorization approach. Phys. Rev. D 2020, 101, 054041. [Google Scholar] [CrossRef]
- Celiberto, F.G. Unraveling the Unintegrated Gluon Distribution in the Proton via ρ-Meson Leptoproduction. Nuovo Cim. C 2019, 42, 220. [Google Scholar] [CrossRef]
- Bolognino, A.D.; Celiberto, F.G.; Ivanov, D.Y.; Papa, A.; Schäfer, W.; Szczurek, A. Exclusive production of ρ-mesons in high-energy factorization at HERA and EIC. Eur. Phys. J. C 2021, 81, 846. [Google Scholar] [CrossRef]
- Bolognino, A.D.; Celiberto, F.G.; Ivanov, D.Y.; Papa, A. Exclusive emissions of rho-mesons and the unintegrated gluon distribution. SciPost Phys. Proc. 2022, 8, 089. [Google Scholar] [CrossRef]
- Bolognino, A.D.; Celiberto, F.G.; Fucilla, M.; Ivanov, D.Y.; Papa, A.; Schäfer, W.; Szczurek, A. Hadron structure at small-x via unintegrated gluon densities. Rev. Mex. Fis. Suppl. 2022, 3, 0308109. [Google Scholar] [CrossRef]
- Celiberto, F.G. Phenomenology of the hadronic structure at small-x. arXiv 2022, arXiv:2202.04207. [Google Scholar]
- Bolognino, A.D.; Celiberto, F.G.; Ivanov, D.Y.; Papa, A.; Schäfer, W.; Szczurek, A. Exclusive emissions of polarized ρ mesons at the EIC and the proton content at low x. In Proceedings of the 29th International Workshop on Deep-Inelastic Scattering and Related Subjects, Santiago de Compostela, Spain, 2–6 May 2022. arXiv2022, arXiv:2207.05726. [Google Scholar] [CrossRef]
- Bautista, I.; Tellez, A.F.; Hentschinski, M. BFKL evolution and the growth with energy of exclusive J/ψ and Υ photoproduction cross sections. Phys. Rev. D 2016, 94, 054002. [Google Scholar] [CrossRef]
- Garcia, A.A.; Hentschinski, M.; Kutak, K. QCD evolution based evidence for the onset of gluon saturation in exclusive photo-production of vector mesons. Phys. Lett. B 2019, 795, 569–575. [Google Scholar] [CrossRef]
- Hentschinski, M.; Molina, E.P. Exclusive J/Ψ and Ψ(2s) photo-production as a probe of QCD low x evolution equations. Phys. Rev. D 2021, 103, 074008. [Google Scholar] [CrossRef]
- Peredo, M.A.; Hentschinski, M. Ratio of J/Ψ and Ψ(2s) exclusive photoproduction cross-sections as an indicator for the presence of non-linear QCD evolution. Phys. Rev. D 2024, 109, 014032. [Google Scholar] [CrossRef]
- Ducati, M.B.G.; Griep, M.T.; Machado, M.V.T. Exclusive photoproduction of J/psi and psi(2S) states in proton-proton collisions at the CERN LHC. Phys. Rev. D 2013, 88, 017504. [Google Scholar] [CrossRef]
- Ducati, M.B.G.; Kopp, F.; Machado, M.V.T.; Martins, S. Photoproduction of Upsilon states in ultraperipheral collisions at the CERN Large Hadron Collider within the color dipole approach. Phys. Rev. D 2016, 94, 094023. [Google Scholar] [CrossRef]
- Gonçalves, V.P.; Machado, M.V.T.; Moreira, B.D.; Navarra, F.S.; dos Santos, G.S. Color dipole predictions for the exclusive vector meson photoproduction in pp, pPb, and PbPb collisions at run 2 LHC energies. Phys. Rev. D 2017, 96, 094027. [Google Scholar] [CrossRef]
- Gonçalves, V.P.; Navarra, F.S.; Spiering, D. Exclusive ρ and J/Ψ photoproduction in ultraperipheral pA collisions: Predictions of the gluon saturation models for the momentum transfer distributions. Phys. Lett. B 2019, 791, 299–304. [Google Scholar] [CrossRef]
- Cepila, J.; Contreras, J.G.; Krelina, M. Coherent and incoherent J/ψ photonuclear production in an energy-dependent hot-spot model. Phys. Rev. C 2018, 97, 024901. [Google Scholar] [CrossRef]
- Guzey, V.; Kryshen, E.; Strikman, M.; Zhalov, M. Nuclear suppression from coherent J/ψ photoproduction at the Large Hadron Collider. Phys. Lett. B 2021, 816, 136202. [Google Scholar] [CrossRef]
- Jenkovszky, L.; Libov, V.; Machado, M.V.T. The reggeometric pomeron and exclusive production of J/ψ(2S) in ultraperipheral collisions at the LHC. Phys. Lett. B 2022, 824, 136836. [Google Scholar] [CrossRef]
- Flore, C.; Lansberg, J.-P.; Shao, H.-S.; Yedelkina, Y. Large-PT inclusive photoproduction of J/ψ in electron-proton collisions at HERA and the EIC. Phys. Lett. B 2020, 811, 135926. [Google Scholar] [CrossRef]
- Serri, A.C.; Feng, Y.; Flore, C.; Lansberg, J.-P.; Ozcelik, M.A.; Shao, H.-S.; Yedelkina, Y. Revisiting NLO QCD corrections to total inclusive J/ψ and Υ photoproduction cross sections in lepton-proton collisions. Phys. Lett. B 2022, 835, 137556. [Google Scholar] [CrossRef]
- Brzeminski, D.; Motyka, L.; Sadzikowski, M.; Stebel, T. Twist decomposition of Drell-Yan structure functions: Phenomenological implications. J. High Energy Phys. 2017, 1, 005. [Google Scholar] [CrossRef]
- Motyka, L.; Sadzikowski, M.; Stebel, T. Lam-Tung relation breaking in Z0 hadroproduction as a probe of parton transverse momentum. Phys. Rev. 2017, D95, 114025. [Google Scholar] [CrossRef]
- Celiberto, F.G.; Gómez, D.G.; Vera, A.S. Forward Drell-Yan production at the LHC in the BFKL formalism with collinear corrections. Phys. Lett. 2018, B786, 201–206. [Google Scholar] [CrossRef]
- Chachamis, G.; Deak, M.; Hentschinski, M.; Rodrigo, G.; Vera, A.S. Single bottom quark production in k⊥-factorisation. J. High Energy Phys. 2015, 9, 123. [Google Scholar] [CrossRef]
- Bartels, J.; Vera, A.S.; Schwennsen, F. NLO inclusive jet production in kT-factorization. J. High Energy Phys. 2006, 11, 051. [Google Scholar] [CrossRef][Green Version]
- Ball, R.D.; Forte, S. Summation of leading logarithms at small x. Phys. Lett. B 1995, 351, 313–324. [Google Scholar] [CrossRef]
- Ball, R.D.; Forte, S. Asymptotically free partons at high-energy. Phys. Lett. B 1997, 405, 317–326. [Google Scholar] [CrossRef]
- Altarelli, G.; Ball, R.D.; Forte, S. Factorization and resummation of small x scaling violations with running coupling. Nucl. Phys. B 2002, 621, 359–387. [Google Scholar] [CrossRef]
- Altarelli, G.; Ball, R.D.; Forte, S. An Anomalous dimension for small x evolution. Nucl. Phys. B 2003, 674, 459–483. [Google Scholar] [CrossRef]
- Altarelli, G.; Ball, R.D.; Forte, S. Perturbatively stable resummed small x evolution kernels. Nucl. Phys. B 2006, 742, 1–40. [Google Scholar] [CrossRef]
- Altarelli, G.; Ball, R.D.; Forte, S. Small x Resummation with Quarks: Deep-Inelastic Scattering. Nucl. Phys. B 2008, 799, 199–240. [Google Scholar] [CrossRef]
- White, C.; Thorne, R. A Global Fit to Scattering Data with NLL BFKL Resummations. Phys. Rev. D 2007, 75, 034005. [Google Scholar] [CrossRef]
- Collins, J.C.; Ellis, R. Heavy quark production in very high-energy hadron collisions. Nucl. Phys. B 1991, 360, 3–30. [Google Scholar] [CrossRef]
- Ball, R.D. Resummation of Hadroproduction Cross-sections at High Energy. Nucl. Phys. B 2008, 796, 137–183. [Google Scholar] [CrossRef]
- Marzani, S.; Ball, R.D.; Duca, V.D.; Forte, S.; Vicini, A. Higgs production via gluon-gluon fusion with finite top mass beyond next-to-leading order. Nucl. Phys. B 2008, 800, 127–145. [Google Scholar] [CrossRef]
- Caola, F.; Forte, S.; Marzani, S. Small x resummation of rapidity distributions: The Case of Higgs production. Nucl. Phys. B 2011, 846, 167–211. [Google Scholar] [CrossRef]
- Caola, F.; Marzani, S. Finite fermion mass effects in pseudoscalar Higgs production via gluon-gluon fusion. Phys. Lett. B 2011, 698, 275–283. [Google Scholar] [CrossRef][Green Version]
- Forte, S.; Muselli, C. High energy resummation of transverse momentum distributions: Higgs in gluon fusion. J. High Energy Phys. 2016, 3, 122. [Google Scholar] [CrossRef]
- Muselli, C.; Bonvini, M.; Forte, S.; Marzani, S.; Ridolfi, G. Top Quark Pair Production beyond NNLO. J. High Energy Phys. 2015, 8, 076. [Google Scholar] [CrossRef]
- Silvetti, F.; Bonvini, M. Differential heavy quark pair production at small x. Eur. Phys. J. C 2023, 83, 267. [Google Scholar] [CrossRef]
- Silvetti, F. Resummation Phenomenology and PDF Determination for Precision QCD at the LHC. Ph.D. Thesis, Rome U., Rome, Italy, 2023. arXiv2024, arXiv:2403.20315. [Google Scholar]
- Ball, R.D.; Bertone, V.; Bonvini, M.; Marzani, S.; Rojo, J.; Rottoli, L. Parton distributions with small-x resummation: Evidence for BFKL dynamics in HERA data. Eur. Phys. J. 2018, C78, 321. [Google Scholar] [CrossRef]
- Abdolmaleki, H.; Bertone, V.; Britzger, D.; Camarda, S.; Cooper-Sarkar, A.; Giuli, F.; Glazov, A.; Kusina, A.; Luszczak, A.; Olness, F.; et al. Impact of low-x resummation on QCD analysis of HERA data. Eur. Phys. J. C 2018, 78, 621. [Google Scholar] [CrossRef]
- Bonvini, M.; Giuli, F. A new simple PDF parametrization: Improved description of the HERA data. Eur. Phys. J. Plus 2019, 134, 531. [Google Scholar] [CrossRef]
- Bacchetta, A.; Celiberto, F.G.; Radici, M.; Taels, P. Transverse-momentum-dependent gluon distribution functions in a spectator model. Eur. Phys. J. C 2020, 80, 733. [Google Scholar] [CrossRef]
- Brodsky, S.J.; Fadin, V.S.; Kim, V.T.; Lipatov, L.N.; Pivovarov, G.B. High-energy QCD asymptotics of photon-photon collisions. JETP Lett. 2002, 76, 249–252. [Google Scholar] [CrossRef]
- Chirilli, G.A.; Kovchegov, Y.V. γ*γ* Cross Section at NLO and Properties of the BFKL Evolution at Higher Orders. J. High Energy Phys. 2014, 5, 099, Erratum in J. High Energy Phys. 2015, 8, 075. [Google Scholar] [CrossRef]
- Ivanov, D.Y.; Murdaca, B.; Papa, A. The γ*γ* total cross section in next-to-leading order BFKL and LEP2 data. J. High Energy Phys. 2014, 10, 058. [Google Scholar] [CrossRef]
- Segond, M.; Szymanowski, L.; Wallon, S. Diffractive production of two rho0(L) mesons in e+e- collisions. Eur. Phys. J. C 2007, 52, 93–112. [Google Scholar] [CrossRef]
- Ivanov, D.Y.; Papa, A. Electroproduction of two light vector mesons in the next-to-leading approximation. Nucl. Phys. B 2006, 732, 183–199. [Google Scholar] [CrossRef][Green Version]
- Ivanov, D.Y.; Papa, A. Electroproduction of two light vector mesons in next-to-leading BFKL: Study of systematic effects. Eur. Phys. J. C 2007, 49, 947–955. [Google Scholar] [CrossRef]
- Colferai, D.; Schwennsen, F.; Szymanowski, L.; Wallon, S. Mueller Navelet jets at LHC - complete NLL BFKL calculation. J. High Energy Phys. 2010, 12, 026. [Google Scholar] [CrossRef]
- Celiberto, F.G. Hunting BFKL in semi-hard reactions at the LHC. Eur. Phys. J. C 2021, 81, 691. [Google Scholar] [CrossRef]
- Celiberto, F.G.; Ivanov, D.Y.; Mohammed, M.M.A.; Papa, A. High-energy resummed distributions for the inclusive Higgs-plus-jet production at the LHC. Eur. Phys. J. C 2021, 81, 293. [Google Scholar] [CrossRef]
- Bolognino, A.D.; Celiberto, F.G.; Fucilla, M.; Ivanov, D.Y.; Papa, A. Inclusive production of a heavy-light dijet system in hybrid high-energy and collinear factorization. Phys. Rev. D 2021, 103, 094004. [Google Scholar] [CrossRef]
- Celiberto, F.G. High-energy emissions of light mesons plus heavy flavor at the LHC and the Forward Physics Facility. Phys. Rev. D 2022, 105, 114008. [Google Scholar] [CrossRef]
- Celiberto, F.G.; Fucilla, M. Diffractive semi-hard production of a J/ψ or a Υ from single-parton fragmentation plus a jet in hybrid factorization. Eur. Phys. J. C 2022, 82, 929. [Google Scholar] [CrossRef]
- Celiberto, F.G. Vector quarkonia at the LHC with JETHAD: A high-energy viewpoint. Universe 2023, 9, 324. [Google Scholar] [CrossRef]
- Deak, M.; Hautmann, F.; Jung, H.; Kutak, K. Forward Jet Production at the Large Hadron Collider. J. High Energy Phys. 2009, 9, 121. [Google Scholar] [CrossRef]
- van Hameren, A.; Kotko, P.; Kutak, K. Resummation effects in the forward production of Z0+jet at the LHC. Phys. Rev. D 2015, 92, 054007. [Google Scholar] [CrossRef]
- Deak, M.; van Hameren, A.; Jung, H.; Kusina, A.; Kutak, K.; Serino, M. Calculation of the Z+jet cross section including transverse momenta of initial partons. Phys. Rev. D 2019, 99, 094011. [Google Scholar] [CrossRef]
- Van Haevermaet, H.; Van Hameren, A.; Kotko, P.; Kutak, K.; Van Mechelen, P. Trijets in kT-factorisation: Matrix elements vs parton shower. Eur. Phys. J. C 2020, 80, 610. [Google Scholar] [CrossRef]
- van Hameren, A.; Motyka, L.; Ziarko, G. Hybrid kT-factorization and impact factors at NLO. J. High Energy Phys. 2022, 11, 103. [Google Scholar] [CrossRef]
- Giachino, A.; van Hameren, A.; Ziarko, G. A new subtraction scheme at NLO exploiting the privilege of kT-factorization. arXiv 2023, arXiv:2312.02808. [Google Scholar]
- Guiot, B.; van Hameren, A. Examination of kt-factorization in a Yukawa theory. J. High Energy Phys. 2024, 4, 085. [Google Scholar] [CrossRef]
- Mueller, A.H.; Navelet, H. An Inclusive Minijet Cross-Section and the Bare Pomeron in QCD. Nucl. Phys. B 1987, 282, 727–744. [Google Scholar] [CrossRef]
- Marquet, C.; Royon, C. Azimuthal decorrelation of Mueller-Navelet jets at the Tevatron and the LHC. Phys. Rev. D 2009, 79, 034028. [Google Scholar] [CrossRef]
- Ducloué, B.; Szymanowski, L.; Wallon, S. Confronting Mueller-Navelet jets in NLL BFKL with LHC experiments at 7 TeV. J. High Energy Phys. 2013, 5, 096. [Google Scholar] [CrossRef]
- Ducloué, B.; Szymanowski, L.; Wallon, S. Evidence for high-energy resummation effects in Mueller-Navelet jets at the LHC. Phys. Rev. Lett. 2014, 112, 082003. [Google Scholar] [CrossRef]
- Caporale, F.; Murdaca, B.; Vera, A.S.; Salas, C. Scale choice and collinear contributions to Mueller-Navelet jets at LHC energies. Nucl. Phys. B 2013, 875, 134–151. [Google Scholar] [CrossRef]
- Caporale, F.; Ivanov, D.Y.; Murdaca, B.; Papa, A. Mueller–Navelet jets in next-to-leading order BFKL: Theory versus experiment. Eur. Phys. J. C 2014, 74, 3084, Erratum in Eur. Phys. J. C 2015, 75, 535. [Google Scholar] [CrossRef]
- Ducloué, B.; Szymanowski, L.; Wallon, S. Evaluating the double parton scattering contribution to Mueller-Navelet jets production at the LHC. Phys. Rev. D 2015, 92, 076002. [Google Scholar] [CrossRef]
- Celiberto, F.G.; Ivanov, D.Y.; Murdaca, B.; Papa, A. Mueller–Navelet Jets at LHC: BFKL Versus High-Energy DGLAP. Eur. Phys. J. C 2015, 75, 292. [Google Scholar] [CrossRef]
- Celiberto, F.G.; Ivanov, D.Y.; Murdaca, B.; Papa, A. Mueller–Navelet Jets at the LHC: Discriminating BFKL from DGLAP by Asymmetric Cuts. Acta Phys. Polon. Suppl. 2015, 8, 935. [Google Scholar] [CrossRef]
- Caporale, F.; Ivanov, D.Y.; Murdaca, B.; Papa, A. Brodsky-Lepage-Mackenzie optimal renormalization scale setting for semihard processes. Phys. Rev. D 2015, 91, 114009. [Google Scholar] [CrossRef]
- Celiberto, F.G.; Ivanov, D.Y.; Murdaca, B.; Papa, A. Mueller–Navelet jets at 13 TeV LHC: Dependence on dynamic constraints in the central rapidity region. Eur. Phys. J. C 2016, 76, 224. [Google Scholar] [CrossRef]
- Celiberto, F.G.; Ivanov, D.Y.; Murdaca, B.; Papa, A. BFKL effects and central rapidity dependence in Mueller-Navelet jet production at 13 TeV LHC. PoS DIS2016 2016, 256, 176. [Google Scholar] [CrossRef][Green Version]
- Caporale, F.; Celiberto, F.G.; Chachamis, G.; Gómez, D.G.; Sabio Vera, A. Inclusive dijet hadroproduction with a rapidity veto constraint. Nucl. Phys. B 2018, 935, 412–434. [Google Scholar] [CrossRef]
- de León, N.B.; Chachamis, G.; Sabio Vera, A. Average minijet rapidity ratios in Mueller–Navelet jets. Eur. Phys. J. C 2021, 81, 1019. [Google Scholar] [CrossRef]
- Celiberto, F.G.; Papa, A. Mueller-Navelet jets at the LHC: Hunting data with azimuthal distributions. Phys. Rev. D 2022, 106, 114004. [Google Scholar] [CrossRef]
- Egorov, A.I.; Kim, V.T. Next-to-leading BFKL evolution for dijets with large rapidity separation at different LHC energies. Phys. Rev. D 2023, 108, 014010. [Google Scholar] [CrossRef]
- Khachatryan, V.; Sirunyan, A.M.; Tumasyan, A.; Adam, W.; Asilar, E.; Bergauer, T.; Brandstetter, J.; Brondolin, E.; Dragicevic, M.; Erö, J.; et al. Azimuthal decorrelation of jets widely separated in rapidity in pp collisions at = 7 TeV. J. High Energy Phys. 2016, 8, 139. [Google Scholar] [CrossRef]
- Tumasyan, A. et al. [CMS Collaboration] Study of dijet events with large rapidity separation in proton-proton collisions at = 2.76 TeV. J. High Energy Phys. 2022, 3, 189. [Google Scholar] [CrossRef]
- Celiberto, F.G.; Ivanov, D.Y.; Murdaca, B.; Papa, A. High energy resummation in dihadron production at the LHC. Phys. Rev. D 2016, 94, 034013. [Google Scholar] [CrossRef]
- Celiberto, F.G.; Ivanov, D.Y.; Murdaca, B.; Papa, A. Dihadron Production at LHC: BFKL Predictions for Cross Sections and Azimuthal Correlations. AIP Conf. Proc. 2017, 1819, 060005. [Google Scholar] [CrossRef]
- Celiberto, F.G.; Ivanov, D.Y.; Murdaca, B.; Papa, A. Dihadron production at the LHC: Full next-to-leading BFKL calculation. Eur. Phys. J. C 2017, 77, 382. [Google Scholar] [CrossRef]
- Celiberto, F.G.; Ivanov, D.Y.; Murdaca, B.; Papa, A. Inclusive charged light di-hadron production at 7 and 13 TeV LHC in the full NLA BFKL approach. arXiv 2017, arXiv:1709.01128. [Google Scholar]
- Celiberto, F.G.; Ivanov, D.Y.; Murdaca, B.; Papa, A. Inclusive dihadron production at the LHC in NLA BFKL. In Proceedings of the 17th Conference on Elastic and Diffractive Scattering, Prague, Czech Republic, 26–30 June 2017. arXiv2017, arXiv:1709.04758. [Google Scholar]
- Bolognino, A.D.; Celiberto, F.G.; Ivanov, D.Y.; Mohammed, M.M.A.; Papa, A. Hadron-jet correlations in high-energy hadronic collisions at the LHC. Eur. Phys. J. C 2018, 78, 772. [Google Scholar] [CrossRef]
- Bolognino, A.D.; Celiberto, F.G.; Ivanov, D.Y.; Mohammed, M.M.A.; Papa, A. High-energy effects in forward inclusive dijet and hadron-jet production. PoS DIS2019 2019, 352, 049. [Google Scholar] [CrossRef]
- Bolognino, A.D.; Celiberto, F.G.; Ivanov, D.Y.; Mohammed, M.M.A.; Papa, A. Inclusive hadron-jet production at the LHC. Acta Phys. Polon. SuppL. 2019, 12, 773. [Google Scholar] [CrossRef]
- Celiberto, F.G.; Ivanov, D.Y.; Papa, A. Diffractive production of Λ hyperons in the high-energy limit of strong interactions. Phys. Rev. D 2020, 102, 094019. [Google Scholar] [CrossRef]
- Celiberto, F.G. Emergence of high-energy dynamics from cascade-baryon detections at the LHC. Eur. Phys. J. C 2023, 83, 332. [Google Scholar] [CrossRef]
- Caporale, F.; Chachamis, G.; Murdaca, B.; Sabio Vera, A. Balitsky-Fadin-Kuraev-Lipatov Predictions for Inclusive Three Jet Production at the LHC. Phys. Rev. Lett. 2016, 116, 012001. [Google Scholar] [CrossRef]
- Caporale, F.; Celiberto, F.G.; Chachamis, G.; Sabio Vera, A. Multi-Regge kinematics and azimuthal angle observables for inclusive four-jet production. Eur. Phys. J. C 2016, 76, 165. [Google Scholar] [CrossRef]
- Caporale, F.; Celiberto, F.G.; Chachamis, G.; Gómez, D.G.; Sabio Vera, A. BFKL azimuthal imprints in inclusive three-jet production at 7 and 13 TeV. Nucl. Phys. B 2016, 910, 374–386. [Google Scholar] [CrossRef]
- Caporale, F.; Celiberto, F.G.; Chachamis, G.; Sabio Vera, A. Inclusive four-jet production: A study of Multi-Regge kinematics and BFKL observables. PoS DIS2016 2016, 265, 177. [Google Scholar] [CrossRef]
- Caporale, F.; Celiberto, F.G.; Chachamis, G.; Gómez, D.G.; Sabio Vera, A. Inclusive Four-jet Production at 7 and 13 TeV: Azimuthal Profile in Multi-Regge Kinematics. Eur. Phys. J. C 2017, 77, 5. [Google Scholar] [CrossRef]
- Celiberto, F.G. BFKL phenomenology: Resummation of high-energy logs in semi-hard processes at LHC. Frascati Phys. Ser. 2016, 63, 43–48. [Google Scholar]
- Caporale, F.; Celiberto, F.G.; Chachamis, G.; Gómez, D.G.; Sabio Vera, A. Inclusive three- and four-jet production in multi-Regge kinematics at the LHC. AIP Conf. Proc. 2017, 1819, 060009. [Google Scholar] [CrossRef]
- Caporale, F.; Celiberto, F.G.; Chachamis, G.; Gordo Gomez, D.; Murdaca, B.; Sabio Vera, A. High energy effects in multi-jet production at LHC. arXiv 2016, arXiv:1610.04765. [Google Scholar]
- Chachamis, G.; Caporale, F.; Celiberto, F.; Gomez Gordo, D.; Sabio Vera, A. Inclusive three jet production at the LHC for 7 and 13 TeV collision energies. PoS DIS2016 2016, 265, 178. [Google Scholar] [CrossRef][Green Version]
- Caporale, F.; Celiberto, F.G.; Chachamis, G.; Gordo Gómez, D.; Sabio Vera, A. Probing the BFKL dynamics in inclusive three jet production at the LHC. EPJ Web Conf. 2017, 164, 07027. [Google Scholar] [CrossRef][Green Version]
- Caporale, F.; Celiberto, F.G.; Chachamis, G.; Gordo Gómez, D.; Sabio Vera, A. Stability of Azimuthal-angle Observables under Higher Order Corrections in Inclusive Three-jet Production. Phys. Rev. D 2017, 95, 074007. [Google Scholar] [CrossRef]
- Caporale, F.; Celiberto, F.G.; Gordo Gomez, D.; Sabio Vera, A.; Chachamis, G. Multi-jet production in the high energy limit at LHC. arXiv 2017, arXiv:1801.00014. [Google Scholar]
- Chachamis, G.; Caporale, F.; Celiberto, F.G.; Gordo Gomez, D.; Sabio Vera, A. Azimuthal-angle Observables in Inclusive Three-jet Production. PoS DIS2017 2018, 297, 067. [Google Scholar] [CrossRef][Green Version]
- Golec-Biernat, K.; Motyka, L.; Stebel, T. Forward Drell-Yan and backward jet production as a probe of the BFKL dynamics. J. High Energy Phys. 2018, 12, 091. [Google Scholar] [CrossRef]
- Celiberto, F.G.; Ivanov, D.Y.; Mohammed, M.M.A.; Papa, A. High-energy resummation in inclusive hadroproduction of Higgs plus jet. SciPost Phys. Proc. 2022, 8, 039. [Google Scholar] [CrossRef]
- Celiberto, F.G.; Fucilla, M.; Papa, A.; Ivanov, D.Y.; Mohammed, M.M.A. Higgs-plus-jet inclusive production as stabilizer of the high-energy resummation. PoS EPS-HEP2021 2022, 398, 589. [Google Scholar] [CrossRef]
- Celiberto, F.G.; Fucilla, M.; Ivanov, D.Y.; Mohammed, M.M.A.; Papa, A. Higgs boson production in the high-energy limit of pQCD. PoS PANIC2021 2022, 380, 352. [Google Scholar] [CrossRef]
- Celiberto, F.G.; Fucilla, M.; Ivanov, D.Y.; Mohammed, M.M.A.; Papa, A. BFKL phenomenology: Resummation of high-energy logs in inclusive processes. SciPost Phys. Proc. 2022, 10, 002. [Google Scholar] [CrossRef]
- Bolognino, A.D.; Celiberto, F.G.; Fucilla, M.; Ivanov, D.Y.; Papa, A. Hybrid high-energy/collinear factorization in a heavy-light dijets system reaction. SciPost Phys. Proc. 2022, 8, 068. [Google Scholar] [CrossRef]
- Celiberto, F.G.; Fucilla, M.; Ivanov, D.Y.; Papa, A. High-energy resummation in Λc baryon production. Eur. Phys. J. C 2021, 81, 780. [Google Scholar] [CrossRef]
- Celiberto, F.G.; Fucilla, M.; Ivanov, D.Y.; Mohammed, M.M.A.; Papa, A. Bottom-flavored inclusive emissions in the variable-flavor number scheme: A high-energy analysis. Phys. Rev. D 2021, 104, 114007. [Google Scholar] [CrossRef]
- Bolognino, A.D.; Celiberto, F.G.; Fucilla, M.; Ivanov, D.Y.; Papa, A. Heavy flavored emissions in hybrid collinear/high energy factorization. PoS EPS-HEP2021 2022, 398, 389, arXiv2022, arXiv:2110.12772. [Google Scholar] [CrossRef]
- Celiberto, F.G. Stabilizing BFKL via Heavy-flavor and NRQCD Fragmentation. Acta Phys. Polon. Suppl. 2023, 16, 41. [Google Scholar] [CrossRef]
- Bolognino, A.D.; Celiberto, F.G.; Fucilla, M.; Ivanov, D.Y.; Mohammed, M.M.A.; Papa, A. High-energy Signals from Heavy-flavor Physics. Acta Phys. Polon. Suppl. 2023, 16, 17. [Google Scholar] [CrossRef]
- Celiberto, F.G. The high-energy spectrum of QCD from inclusive emissions of charmed B-mesons. Phys. Lett. B 2022, 835, 137554. [Google Scholar] [CrossRef]
- Celiberto, F.G.; Fucilla, M.; Mohammed, M.M.A.; Papa, A. Ultraforward production of a charmed hadron plus a Higgs boson in unpolarized proton collisions. Phys. Rev. D 2022, 105, 114056. [Google Scholar] [CrossRef]
- Celiberto, F.G.; Fucilla, M. Inclusive J/ψ and Υ emissions from single-parton fragmentation in hybrid high-energy and collinear factorization. In Proceedings of the 29th International Workshop on Deep-Inelastic Scattering and Related Subjects, Santiago de Compostela, Spain, 2–6 May 2022. arXiv2022, arXiv:2208.07206. [Google Scholar] [CrossRef]
- Celiberto, F.G. High-energy QCD dynamics from bottom flavor fragmentation at the Hi-Lumi LHC. Eur. Phys. J. C 2024, 84, 384. [Google Scholar] [CrossRef]
- Celiberto, F.G.; Papa, A. A high-energy QCD portal to exotic matter: Heavy-light tetraquarks at the HL-LHC. Phys. Lett. B 2024, 848, 138406. [Google Scholar] [CrossRef]
- Celiberto, F.G. Exotic tetraquarks at the HL-LHC with JETHAD: A high-energy viewpoint. Symmetry 2024, 16, 550. [Google Scholar] [CrossRef]
- Celiberto, F.G.; Gatto, G.; Papa, A. Fully charmed tetraquarks from LHC to FCC: Natural stability from fragmentation. arXiv 2024, arXiv:2405.14773. [Google Scholar]
- Brodsky, S.J.; Hautmann, F.; Soper, D.E. Probing the QCD pomeron in e+ e- collisions. Phys. Rev. Lett. 1997, 78, 803–806, Erratum in Phys. Rev. Lett. 1997, 79, 3544. [Google Scholar] [CrossRef]
- Brodsky, S.J.; Hautmann, F.; Soper, D.E. Virtual photon scattering at high-energies as a probe of the short distance pomeron. Phys. Rev. D 1997, 56, 6957–6979. [Google Scholar] [CrossRef]
- Brodsky, S.J.; Fadin, V.S.; Kim, V.T.; Lipatov, L.N.; Pivovarov, G.B. The QCD pomeron with optimal renormalization. JETP Lett. 1999, 70, 155–160. [Google Scholar] [CrossRef]
- Celiberto, F.G.; Papa, A. The high-energy QCD dynamics from Higgs-plus-jet correlations at the FCC. arXiv 2023, arXiv:2305.00962. [Google Scholar]
- Celiberto, F.G.; Delle Rose, L.; Fucilla, M.; Gatto, G.; Papa, A. High-energy resummed Higgs-plus-jet distributions at NLL/NLO* with Powheg+Jethad. In Proceedings of the 57th Rencontres de Moriond on QCD and High Energy Interactions, La Thuile, Italy, 25 March–1 April 2023. arXiv2023, arXiv:2305.05052. [Google Scholar]
- Celiberto, F.G.; Delle Rose, L.; Fucilla, M.; Gatto, G.; Papa, A. NLL/NLO− studies on Higgs-plus-jet production with POWHEG+JETHAD. PoS RADCOR2023 2024, 432, 389. [Google Scholar] [CrossRef]
- Celiberto, F.G.; Delle Rose, L.; Fucilla, M.; Gatto, G.; Papa, A. Towards high-energy Higgs+jet distributions at NLL matched to NLO. PoS EPS-HEP2023 2024, 449, 390. [Google Scholar] [CrossRef]
- Celiberto, F.G.; Fucilla, M.; Ivanov, D.Y.; Mohammed, M.M.A.; Papa, A. Higgs boson production at next-to-leading logarithmic accuracy. In Proceedings of the 57th Rencontres de Moriond on QCD and High Energy Interactions, La Thuile, Italy, 25 March–1 April 2023. arXiv2023, arXiv:2305.11760. [Google Scholar]
- Celiberto, F.G.; Fucilla, M.; Mohammed, M.M.A.; Ivanov, D.Y.; Papa, A. High-energy resummation in Higgs production at the next-to-leading order. PoS RADCOR2023 2024, 432, 389. [Google Scholar] [CrossRef]
- Celiberto, F.G.; Fucilla, M.; Papa, A. The high-energy limit of perturbative QCD: Theory and phenomenology. EPJ Web Conf. 2022, 270, 00001. [Google Scholar] [CrossRef]
- Mele, B.; Nason, P. The Fragmentation function for heavy quarks in QCD. Nucl. Phys. B 1991, 361, 626–644, Erratum in Nucl. Phys. B 2017, 921, 841–842. [Google Scholar] [CrossRef]
- Cacciari, M.; Greco, M. Large pT hadroproduction of heavy quarks. Nucl. Phys. B 1994, 421, 530–544. [Google Scholar] [CrossRef]
- Buza, M.; Matiounine, Y.; Smith, J.; van Neerven, W.L. Charm electroproduction viewed in the variable flavor number scheme versus fixed order perturbation theory. Eur. Phys. J. C 1998, 1, 301–320. [Google Scholar] [CrossRef]
- Celiberto, F.G. Towards Quarkonium Fragmentation from NRQCD in a Variable-Flavor Number Scheme. In Proceedings of the 58th Rencontres de Moriond on QCD and High Energy Interactions, La Thuile, Italy, 31 March–7 April 2024. arXiv2024, arXiv:2405.08221. [Google Scholar]
- Celiberto, F.G. Quarkonium fragmentation in a variable-flavor number scheme: Towards NRFF1.0. arXiv 2024, arXiv:2406.10779. [Google Scholar]
- Chiappetta, P.; Fergani, R.; Guillet, J.P. Production of two large p(T) hadrons from hadronic collisions. Z. Phys. C 1996, 69, 443–457. [Google Scholar] [CrossRef]
- Owens, J.F. A Next-to-leading order study of dihadron production. Phys. Rev. D 2002, 65, 034011. [Google Scholar] [CrossRef]
- Binoth, T.; Guillet, J.P.; Pilon, E.; Werlen, M. A next-to-leading order study of pion pair production and comparison with E706 data. Eur. Phys. J. C 2002, 24, 245–260. [Google Scholar] [CrossRef][Green Version]
- Binoth, T.; Guillet, J.P.; Pilon, E.; Werlen, M. A Next-to-leading order study of photon pion and pion pair hadro production in the light of the Higgs boson search at the LHC. Eur. Phys. J. Direct 2002, 4, 7. [Google Scholar] [CrossRef][Green Version]
- Almeida, L.G.; Sterman, G.F.; Vogelsang, W. Threshold Resummation for Di-hadron Production in Hadronic Collisions. Phys. Rev. D 2009, 80, 074016. [Google Scholar] [CrossRef]
- Hinderer, P.; Ringer, F.; Sterman, G.F.; Vogelsang, W. Toward NNLL Threshold Resummation for Hadron Pair Production in Hadronic Collisions. Phys. Rev. D 2015, 91, 014016. [Google Scholar] [CrossRef]
- Arakawa, J.; Feng, J.L.; Ismail, A.; Kling, F.; Waterbury, M. Neutrino detection without neutrino detectors: Discovering collider neutrinos at FASER with electronic signals only. Phys. Rev. D 2022, 106, 052011. [Google Scholar] [CrossRef]
- Maciula, R.; Szczurek, A. Far-forward production of charm mesons and neutrinos at forward physics facilities at the LHC and the intrinsic charm in the proton. Phys. Rev. D 2023, 107, 034002. [Google Scholar] [CrossRef]
- Bhattacharya, A.; Kling, F.; Sarcevic, I.; Stasto, A.M. Forward neutrinos from charm at the Large Hadron Collider. Phys. Rev. D 2024, 109, 014040. [Google Scholar] [CrossRef]
- Fieg, M.; Kling, F.; Schulz, H.; Sjöstrand, T. Tuning pythia for forward physics experiments. Phys. Rev. D 2024, 109, 016010. [Google Scholar] [CrossRef]
- Cruz-Martinez, J.M.; Fieg, M.; Giani, T.; Krack, P.; Mäkelä, T.; Rabemananjara, T.R.; Rojo, J. The LHC as a Neutrino-Ion Collider. Eur. Phys. J. C 2024, 84, 369. [Google Scholar] [CrossRef]
- Buonocore, L.; Kling, F.; Rottoli, L.; Sominka, J. Predictions for Neutrinos and New Physics from Forward Heavy Hadron Production at the LHC. Eur. Phys. J. C 2024, 84, 363. [Google Scholar] [CrossRef]
- Wilkinson, C.; Soto, A.G. Low-ν method with LHC neutrinos. Phys. Rev. D 2024, 109, 033010. [Google Scholar] [CrossRef]
- Feng, J.L.; Hewitt, A.; Kling, F.; La Rocco, D. Simulating Heavy Neutral Leptons with General Couplings at Collider and Fixed Target Experiments. arXiv 2024, arXiv:2405.07330. [Google Scholar]
- Bardeen, W.A.; Buras, A.J.; Duke, D.W.; Muta, T. Deep-inelastic scattering beyond the leading order in asymptotically free gauge theories. Phys. Rev. D 1978, 18, 3998–4017. [Google Scholar] [CrossRef]
- Kotikov, A.V.; Lipatov, L.N. NLO corrections to the BFKL equation in QCD and in supersymmetric gauge theories. Nucl. Phys. B 2000, 582, 19–43. [Google Scholar] [CrossRef]
- Kotikov, A.V.; Lipatov, L.N. DGLAP and BFKL equations in the N=4 supersymmetric gauge theory. Nucl. Phys. B 2003, 661, 19–61, Erratum in Nucl. Phys. B 2004, 685, 405–407. [Google Scholar] [CrossRef]
- Webber, B.R. QCD power corrections from a simple model for the running coupling. J. High Energy Phys. 1998, 10, 012. [Google Scholar] [CrossRef]
- Bartels, J.; Lotter, H. A Note on the BFKL pomeron and the ’hot spot’ cross-section. Phys. Lett. B 1993, 309, 400–408. [Google Scholar] [CrossRef]
- Caporale, F.; Chachamis, G.; Madrigal, J.D.; Murdaca, B.; Sabio Vera, A. A study of the diffusion pattern in N = 4 SYM at high energies. Phys. Lett. B 2013, 724, 127–132. [Google Scholar] [CrossRef]
- Ross, D.A.; Sabio Vera, A. The Effect of the Infrared Phase of the Discrete BFKL Pomeron on Transverse Momentum Diffusion. J. High Energy Phys. 2016, 8, 071. [Google Scholar] [CrossRef]
- Ball, R.D. et al. [NNPDF Collaboration] An open-source machine learning framework for global analyses of parton distributions. Eur. Phys. J. C 2021, 81, 958. [Google Scholar]
- Ball, R.D. et al. [NNPDF Collaboration] The path to proton structure at 1% accuracy. Eur. Phys. J. C 2022, 82, 428. [Google Scholar] [CrossRef]
- Bertone, V.; Carrazza, S.; Hartland, N.P.; Nocera, E.R.; Rojo, J. A determination of the fragmentation functions of pions, kaons, and protons with faithful uncertainties. Eur. Phys. J. C 2017, 77, 516. [Google Scholar] [CrossRef]
- Bertone, V.; Hartland, N.P.; Nocera, E.R.; Rojo, J.; Rottoli, L. Charged hadron fragmentation functions from collider data. Eur. Phys. J. C 2018, 78, 651. [Google Scholar] [CrossRef] [PubMed]
- de Florian, D.; Sassot, R.; Epele, M.; Hernández-Pinto, R.J.; Stratmann, M. Parton-to-Pion Fragmentation Reloaded. Phys. Rev. D 2015, 91, 014035. [Google Scholar] [CrossRef]
- Moffat, E.; Melnitchouk, W.; Rogers, T.C.; Sato, N. Simultaneous Monte Carlo analysis of parton densities and fragmentation functions. Phys. Rev. D 2021, 104, 016015. [Google Scholar] [CrossRef]
- Khalek, R.A.; Bertone, V.; Nocera, E.R. Determination of unpolarized pion fragmentation functions using semi-inclusive deep-inelastic-scattering data. Phys. Rev. D 2021, 104, 034007. [Google Scholar] [CrossRef]
- Abdul Khalek, R.; Bertone, V.; Khoudli, A.; Nocera, E.R. Pion and kaon fragmentation functions at next-to-next-to-leading order. Phys. Lett. B 2022, 834, 137456. [Google Scholar] [CrossRef]
- Soleymaninia, M.; Hashamipour, H.; Khanpour, H.; Spiesberger, H. Fragmentation Functions for Ξ−/Ξ¯+ Using Neural Networks. Nucl. Phys. A 2022, 2023, 01. [Google Scholar] [CrossRef]
- Soleymaninia, M.; Hashamipour, H.; Khanpour, H. Neural network QCD analysis of charged hadron fragmentation functions in the presence of SIDIS data. Phys. Rev. D 2022, 105, 114018. [Google Scholar] [CrossRef]
- Kniehl, B.A.; Kramer, G.; Schienbein, I.; Spiesberger, H. Inclusive D*+- production in p anti-p collisions with massive charm quarks. Phys. Rev. D 2005, 71, 014018. [Google Scholar] [CrossRef]
- Kniehl, B.A.; Kramer, G. D0, D+, D+(s), and Lambda+(c) fragmentation functions from CERN LEP1. Phys. Rev. D 2005, 71, 094013. [Google Scholar] [CrossRef]
- Kniehl, B.A.; Kramer, G. Charmed-hadron fragmentation functions from CERN LEP1 revisited. Phys. Rev. D 2006, 74, 037502. [Google Scholar] [CrossRef]
- Kneesch, T.; Kniehl, B.A.; Kramer, G.; Schienbein, I. Charmed-meson fragmentation functions with finite-mass corrections. Nucl. Phys. B 2008, 799, 34–59. [Google Scholar] [CrossRef]
- Bowler, M.G. e+ e- Production of Heavy Quarks in the String Model. Z. Phys. C 1981, 11, 169. [Google Scholar] [CrossRef]
- Kniehl, B.A.; Kramer, G.; Schienbein, I.; Spiesberger, H. Finite-mass effects on inclusive B meson hadroproduction. Phys. Rev. D 2008, 77, 014011. [Google Scholar] [CrossRef]
- Kartvelishvili, V.G.; Likhoded, A.K. Structure Functions and Leptonic Widths of Heavy Mesons. Yad. Fiz. 1985, 42, 1306–1308. [Google Scholar]
- Corcella, G.; Ferrera, G. Charm-quark fragmentation with an effective coupling constant. J. High Energy Phys. 2007, 12, 029. [Google Scholar] [CrossRef]
- Anderle, D.P.; Kaufmann, T.; Stratmann, M.; Ringer, F.; Vitev, I. Using hadron-in-jet data in a global analysis of D* fragmentation functions. Phys. Rev. D 2017, 96, 034028. [Google Scholar] [CrossRef]
- Salajegheh, M.; Moosavi Nejad, S.M.; Soleymaninia, M.; Khanpour, H.; Atashbar Tehrani, S. NNLO charmed-meson fragmentation functions and their uncertainties in the presence of meson mass corrections. Eur. Phys. J. C 2019, 79, 999. [Google Scholar] [CrossRef]
- Salajegheh, M.; Moosavi Nejad, S.M.; Delpasand, M. Determination of meson fragmentation functions through two different approaches. Phys. Rev. D 2019, 100, 114031. [Google Scholar] [CrossRef]
- Soleymaninia, M.; Khanpour, H.; Moosavi Nejad, S.M. First determination of D*+-meson fragmentation functions and their uncertainties at next-to-next-to-leading order. Phys. Rev. D 2018, 97, 074014. [Google Scholar] [CrossRef]
- Binnewies, J.; Kniehl, B.A.; Kramer, G. Inclusive B meson production in e+e− and collisions. Phys. Rev. D 1998, 58, 034016. [Google Scholar] [CrossRef]
- Kniehl, B.A.; Kramer, G.; Schienbein, I.; Spiesberger, H. Inclusive B-Meson Production at the LHC in the GM-VFN Scheme. Phys. Rev. D 2011, 84, 094026. [Google Scholar] [CrossRef]
- Kniehl, B.A.; Kramer, G.; Moosavi Nejad, S.M. Bottom-Flavored Hadrons from Top-Quark Decay at Next-to-Leading order in the General-Mass Variable-Flavor-Number Scheme. Nucl. Phys. B 2012, 862, 720–736. [Google Scholar] [CrossRef]
- Kramer, G.; Spiesberger, H. b-hadron production in the general-mass variable-flavour-number scheme and LHC data. Phys. Rev. D 2018, 98, 114010. [Google Scholar] [CrossRef]
- Kramer, G.; Spiesberger, H. -baryon production in pp collisions in the general-mass variable-flavour-number scheme and comparison with CMS and LHCb data, Chin. Phys. C 2018, 42, 083102. [Google Scholar] [CrossRef]
- Salajegheh, M.; Moosavi Nejad, S.M.; Khanpour, H.; Kniehl, B.A.; Soleymaninia, M. B-hadron fragmentation functions at next-to-next-to-leading order from a global analysis of e+e− annihilation data. Phys. Rev. D 2019, 99, 114001. [Google Scholar] [CrossRef]
- Kniehl, B.A.; Moosavi Nejad, S.M. Angular analysis of bottom-flavored hadron production in semileptonic decays of polarized top quarks. Phys. Rev. D 2021, 103, 034015. [Google Scholar] [CrossRef]
- Kniehl, B.A.; Kramer, G.; Schienbein, I.; Spiesberger, H. production in pp collisions with a new fragmentation function. Phys. Rev. D 2020, 101, 114021. [Google Scholar] [CrossRef]
- Delpasand, M.; Moosavi Nejad, S.M.; Soleymaninia, M. fragmentation functions from pQCD approach and the Suzuki model. Phys. Rev. D 2020, 101, 114022. [Google Scholar] [CrossRef]
- Salam, G.P. A Resummation of large subleading corrections at small x. JHEP 1998, 7, 019. [Google Scholar] [CrossRef]
- Ciafaloni, M.; Colferai, D.; Salam, G.P.; Stasto, A.M. Renormalization group improved small x Green’s function. Phys. Rev. D 2003, 68, 114003. [Google Scholar] [CrossRef]
- Ciafaloni, M.; Colferai, D.; Colferai, D.; Salam, G.P.; Stasto, A.M. Extending QCD perturbation theory to higher energies. Phys. Lett. B 2003, 576, 143–151. [Google Scholar] [CrossRef]
- Ciafaloni, M.; Colferai, D.; Salam, G.P. On factorization at small x. J. High Energy Phys. 2000, 7, 054. [Google Scholar] [CrossRef][Green Version]
- Ciafaloni, M.; Colferai, D.; Salam, G.P. Renormalization group improved small x equation. Phys. Rev. D 1999, 60, 114036. [Google Scholar] [CrossRef]
- Ciafaloni, M.; Colferai, D. The BFKL equation at next-to-leading level and beyond. Phys. Lett. B 1999, 452, 372–378. [Google Scholar] [CrossRef]
- Vera, A.S. An ’All-poles’ approximation to collinear resummations in the Regge limit of perturbative QCD. Nucl. Phys. B 2005, 722, 65–80. [Google Scholar] [CrossRef]
- Barbieri, R.; d’Emilio, E.; Curci, G.; Remiddi, E. Strong Radiative Corrections to Annihilations of Quarkonia in QCD. Nucl. Phys. B 1979, 154, 535–546. [Google Scholar] [CrossRef]
- Celmaster, W.; Gonsalves, R.J. Quantum-chromodynamics perturbation expansions in a coupling constant renormalized by momentum-space subtraction. Phys. Rev. Lett. 1979, 42, 1435–1438. [Google Scholar] [CrossRef]
- Chatrchyan, S. et al. [CMS Collaboration] Measurement of the cross section and the to ratio with J/ΨΛ decays in pp collisions at = 7 TeV. Phys. Lett. B 2012, 714, 136–157. [Google Scholar] [CrossRef]
- Andersen, J.R.; Duca, V.D.; Frixione, S.; Schmidt, C.R.; Stirling, W.J. Mueller-Navelet jets at hadron colliders. J. High Energy Phys. 2001, 2, 007. [Google Scholar] [CrossRef]
- Fontannaz, M.; Guillet, J.P.; Heinrich, G. Is a large intrinsic k(T) needed to describe photon + jet photoproduction at HERA? Eur. Phys. J. C 2001, 22, 303–315. [Google Scholar] [CrossRef]
- Ducloué, B.; Szymanowski, L.; Wallon, S. Violation of energy–momentum conservation in Mueller–Navelet jets production. Phys. Lett. B 2014, 738, 311–316. [Google Scholar] [CrossRef]
- Liu, H.-Y.; Kang, Z.-B.; Liu, X. Threshold resummation for hadron production in the small-x region. Phys. Rev. D 2020, 102, 051502. [Google Scholar] [CrossRef]
- Stasto, A.M.; Xiao, B.-W.; Zaslavsky, D. Towards the Test of Saturation Physics Beyond Leading Logarithm. Phys. Rev. Lett. 2014, 112, 012302. [Google Scholar] [CrossRef]
- Cerci, S.; d’Enterria, D. Low-x QCD studies with forward jets in proton-proton collisions at s**(1/2) = 14-TeV. AIP Conf. Proc. 2009, 1105, 28–32. [Google Scholar] [CrossRef]
- Vera, A.S. The Effect of NLO conformal spins in azimuthal angle decorrelation of jet pairs. Nucl. Phys. B 2006, 746, 1–14. [Google Scholar] [CrossRef]
- Sabio Vera, A.; Schwennsen, F. The Azimuthal decorrelation of jets widely separated in rapidity as a test of the BFKL kernel. Nucl. Phys. B 2007, 776, 170–186. [Google Scholar] [CrossRef]
- Sirunyan, A.M. et al. [CMS Collaboration] Observation of Correlated Azimuthal Anisotropy Fourier Harmonics in pp and p+Pb Collisions at the LHC. Phys. Rev. Lett. 2018, 120, 092301. [Google Scholar] [CrossRef] [PubMed]
- Mace, M.; Skokov, V.V.; Tribedy, P.; Venugopalan, R. Initial state description of azimuthally collimated long range correlations in ultrarelativistic light-heavy ion collisions. arXiv 2019, arXiv:1901.10506. [Google Scholar]
- Sirunyan, A.M. et al. [CMS Collaboration] Correlations of azimuthal anisotropy Fourier harmonics with subevent cumulants in pPb collisions at = 8.16 TeV. Phys. Rev. C 2021, 103, 014902. [Google Scholar] [CrossRef]
- Arslandok, M.; Bass, S.A.; Baty, A.A.; Bautista, I.; Beattie, C.; Becattini, F.; Bellwied, R.; Berdnikov, Y.; Berdnikov, A.; Bielcik, J.; et al. Hot QCD White Paper. arXiv 2023, arXiv:2303.17254. [Google Scholar]
- Ollitrault, J.Y. Measures of azimuthal anisotropy in high-energy collisions. Eur. Phys. J. A 2023, 59, 236. [Google Scholar] [CrossRef]
- Acharya, S. et al. [ALICE Collaboration] Measurements of long-range two-particle correlation over a wide pseudorapidity range in p–Pb collisions at =5.0 TeV. J. High Energy Phys. 2024, 1, 199. [Google Scholar] [CrossRef]
- Tumasyan, A. et al. [CMS Collaboration] Study of azimuthal anisotropy of Υ(1S) mesons in pPb collisions at = 8.16 TeV. Phys. Lett. B 2024, 850, 138518. [Google Scholar] [CrossRef]
- Hayrapetyan, A. [CMS Collaboration]. Overview of high-density QCD studies with the CMS experiment at the LHC. arXiv 2024, arXiv:2405.10785. [Google Scholar]
- Cacciari, M.; Greco, M.; Nason, P. The pT spectrum in heavy-flavour hadroproduction. J. High Energy Phys. 1998, 5, 007. [Google Scholar] [CrossRef]
- Cacciari, M.; Frixione, S.; Houdeau, N.; Mangano, M.L.; Nason, P.; Ridolfi, G. Theoretical predictions for charm and bottom production at the LHC. J. High Energy Phys. 2012, 10, 137. [Google Scholar] [CrossRef]
- Cacciari, M.; Frixione, S.; Nason, P. The p(T) spectrum in heavy flavor photoproduction. J. High Energy Phys. 2001, 3, 006. [Google Scholar] [CrossRef]
- Cacciari, M.; Mangano, M.L.; Nason, P. Gluon PDF constraints from the ratio of forward heavy-quark production at the LHC at = 7 and 13 TeV. Eur. Phys. J. C 2015, 75, 610. [Google Scholar] [CrossRef]
- Bacchetta, A.; Celiberto, F.G.; Radici, M. T-odd gluon distribution functions in a spectator model. Eur. Phys. J. C 2024, 84, 576. [Google Scholar] [CrossRef]
- Celiberto, F.G. 3D tomography of the nucleon: Transverse-momentum-dependent gluon distributions. Nuovo Cim. C 2021, 44, 36. [Google Scholar] [CrossRef]
- Bacchetta, A.; Celiberto, F.G.; Radici, M.; Taels, P. A spectator-model way to transverse-momentum-dependent gluon distribution functions. SciPost Phys. Proc. 2022, 8, 040. [Google Scholar] [CrossRef]
- Bacchetta, A.; Celiberto, F.G.; Radici, M. Toward twist-2 T-odd transverse-momentum-dependent gluon distributions: The f-type Sivers function. PoS EPS-HEP2021 2022, 398, 376. [Google Scholar] [CrossRef]
- Bacchetta, A.; Celiberto, F.G.; Radici, M. Toward twist-2 T-odd transverse-momentum-dependent gluon distributions: The f-type linearity function. PoS EPS-HEP2021 2022, 380, 378. [Google Scholar] [CrossRef]
- Bacchetta, A.; Celiberto, F.G.; Radici, M. Towards Leading-twist T-odd TMD Gluon Distributions. JPS Conf. Proc. 2022, 37, 020124. [Google Scholar] [CrossRef]
- Bacchetta, A.; Celiberto, F.G.; Radici, M. Unveiling the proton structure via transverse-momentum-dependent gluon distributions. Rev. Mex. Fis. Suppl. 2022, 3, 0308108. [Google Scholar] [CrossRef]
- Bacchetta, A.; Celiberto, F.G.; Radici, M.; Signori, A. Phenomenology of gluon TMDs from ηb,c production. In Proceedings of the 29th International Workshop on Deep-Inelastic Scattering and Related Subjects, Santiago de Compostela, Spain, 2–6 May 2022. arXiv2022, arXiv:2208.06252. [Google Scholar] [CrossRef]
- Celiberto, F.G. A Journey into the Proton Structure: Progresses and Challenges. Universe 2022, 8, 661. [Google Scholar] [CrossRef]
- Bacchetta, A.; Celiberto, F.G.; Radici, M. Spectator-model studies for spin-dependent gluon TMD PDFs at the LHC and EIC. PoS EPS-HEP2023 2024, 449, 247. [Google Scholar] [CrossRef]
- Bacchetta, A.; Celiberto, F.G.; Radici, M. Proton 3D reconstruction with T-odd TMD gluon densities. arXiv 2024, arXiv:2406.04893. [Google Scholar]
- Hautmann, F.; Jung, H.; Lelek, A.; Radescu, V.; Zlebcik, R. Soft-gluon resolution scale in QCD evolution equations. Phys. Lett. B 2017, 772, 446–451. [Google Scholar] [CrossRef]
- Hautmann, F.; Jung, H.; Lelek, A.; Radescu, V.; Zlebcik, R. Collinear and TMD Quark and Gluon Densities from Parton Branching Solution of QCD Evolution Equations. J. High Energy Phys. 2018, 1, 070. [Google Scholar] [CrossRef]
- Monfared, S.T.; Hautmann, F.; Jung, H.; Schmitz, M. Extending parton branching TMDs to small x. PoS DIS2019 2019, 352, 136. [Google Scholar] [CrossRef]
- Mukherjee, S.; Skokov, V.V.; Tarasov, A.; Tiwari, S. Unified description of DGLAP, CSS, and BFKL evolution: TMD factorization bridging large and small x. Phys. Rev. D 2024, 109, 034035. [Google Scholar] [CrossRef]
- Boer, D.; Mulders, P.J. Time reversal odd distribution functions in leptoproduction. Phys. Rev. D 1998, 57, 5780–5786. [Google Scholar] [CrossRef]
- Bacchetta, A.; Boer, D.; Diehl, M.; Mulders, P.J. Matches and mismatches in the descriptions of semi-inclusive processes at low and high transverse momentum. J. High Energy Phys. 2008, 8, 023. [Google Scholar] [CrossRef]
- Barone, V.; Prokudin, A.; Ma, B.-Q. A Systematic phenomenological study of the cos 2 phi asymmetry in unpolarized semi-inclusive DIS. Phys. Rev. D 2008, 78, 045022. [Google Scholar] [CrossRef]
- Barone, V.; Melis, S.; Prokudin, A. The Boer-Mulders effect in unpolarized SIDIS: An Analysis of the COMPASS and HERMES data on the cos 2 phi asymmetry. Phys. Rev. D 2010, 81, 114026. [Google Scholar] [CrossRef]
- Gelis, F.; Iancu, E.; Jalilian-Marian, J.; Venugopalan, R. The Color Glass Condensate. Ann. Rev. Nucl. Part. Sci. 2010, 60, 463–489. [Google Scholar] [CrossRef]
- Kovchegov, Y.V.; Levin, E. Quantum Chromodynamics at High Energy; Cambridge University Press: Cambridge, UK, 2012; Volume 33. [Google Scholar] [CrossRef]
- Chirilli, G.A.; Xiao, B.-W.; Yuan, F. Inclusive Hadron Productions in pA Collisions. Phys. Rev. D 2012, 86, 054005. [Google Scholar] [CrossRef]
- Boussarie, R.; Grabovsky, A.V.; Szymanowski, L.; Wallon, S. Impact factor for high-energy two and three jets diffractive production. J. High Energy Phys. 2014, 9, 026. [Google Scholar] [CrossRef][Green Version]
- Benic, S.; Fukushima, K.; Garcia-Montero, O.; Venugopalan, R. Probing gluon saturation with next-to-leading order photon production at central rapidities in proton-nucleus collisions. J. High Energy Phys. 2017, 1, 115. [Google Scholar] [CrossRef]
- Benić, S.; Fukushima, K.; Garcia-Montero, O.; Venugopalan, R. Constraining unintegrated gluon distributions from inclusive photon production in proton–proton collisions at the LHC. Phys. Lett. B 2019, 791, 11–16. [Google Scholar] [CrossRef]
- Roy, K.; Venugopalan, R. NLO impact factor for inclusive photon+dijet production in e + A DIS at small x. Phys. Rev. D 2020, 101, 034028. [Google Scholar] [CrossRef]
- Roy, K.; Venugopalan, R. Extracting many-body correlators of saturated gluons with precision from inclusive photon+dijet final states in deeply inelastic scattering. Phys. Rev. D 2020, 101, 071505. [Google Scholar] [CrossRef]
- Beuf, G.; Hänninen, H.; Lappi, T.; Mäntysaari, H. Color Glass Condensate at next-to-leading order meets HERA data. Phys. Rev. D 2020, 102, 074028. [Google Scholar] [CrossRef]
- Iancu, E.; Mueller, A.H.; Triantafyllopoulos, D.N. Probing Parton Saturation and the Gluon Dipole via Diffractive Jet Production at the Electron-Ion Collider. Phys. Rev. Lett. 2022, 128, 202001. [Google Scholar] [CrossRef]
- Iancu, E.; Mueller, A.H.; Triantafyllopoulos, D.N.; Wei, S.Y. Probing gluon saturation via diffractive jets in ultra-peripheral nucleus-nucleus collisions. Eur. Phys. J. C 2023, 83, 1078. [Google Scholar] [CrossRef]
- van Hameren, A.; Kakkad, H.; Kotko, P.; Kutak, K.; Sapeta, S. Searching for saturation in forward dijet production at the LHC. Eur. Phys. J. C 2023, 83, 947. [Google Scholar] [CrossRef]
- Wallon, S. The QCD Shockwave Approach at NLO: Towards Precision Physics in Gluonic Saturation. Acta Phys. Polon. Suppl. 2023, 16, 26. [Google Scholar] [CrossRef]
- Celiberto, F.G.; Jenkovszky, L.; Myronenko, V. Saturation effects in low-x DIS structure functions and related hadronic total cross sections. EPJ Web Conf. 2016, 125, 04012. [Google Scholar] [CrossRef]
- Celiberto, F.G.; Fiore, R.; Jenkovszky, L. Collective Phenomena in pp and ep Scattering. AIP Conf. Proc. 2017, 1819, 030005. [Google Scholar] [CrossRef]
- Hatta, Y.; Xiao, B.-W.; Yuan, F.; Zhou, J. Anisotropy in Dijet Production in Exclusive and Inclusive Processes. Phys. Rev. Lett. 2021, 126, 142001. [Google Scholar] [CrossRef] [PubMed]
- Hatta, Y.; Xiao, B.-W.; Yuan, F.; Zhou, J. Azimuthal angular asymmetry of soft gluon radiation in jet production. Phys. Rev. D 2021, 104, 054037. [Google Scholar] [CrossRef]
- Caucal, P.; Salazar, F.; Venugopalan, R. Dijet impact factor in DIS at next-to-leading order in the Color Glass Condensate. J. High Energy Phys. 2021, 11, 222. [Google Scholar] [CrossRef]
- Caucal, P.; Salazar, F.; Schenke, B.; Venugopalan, R. Back-to-back inclusive dijets in DIS at small x: Sudakov suppression and gluon saturation at NLO. J. High Energy Phys. 2022, 11, 169. [Google Scholar] [CrossRef]
- Taels, P.; Altinoluk, T.; Beuf, G.; Marquet, C. Dijet photoproduction at low x at next-to-leading order and its back-to-back limit. J. High Energy Phys. 2022, 10, 184. [Google Scholar] [CrossRef]
- Fucilla, M.; Grabovsky, A.V.; Li, E.; Szymanowski, L.; Wallon, S. NLO computation of diffractive di-hadron production in a saturation framework. J. High Energy Phys. 2023, 3, 159. [Google Scholar] [CrossRef]
- Kotko, P.; Kutak, K.; Marquet, C.; Petreska, E.; Sapeta, S.; van Hameren, A. Improved TMD factorization for forward dijet production in dilute-dense hadronic collisions. J. High Energy Phys. 2015, 9, 106. [Google Scholar] [CrossRef]
- van Hameren, A.; Kotko, P.; Kutak, K.; Marquet, C.; Petreska, E.; Sapeta, S. Forward di-jet production in p+Pb collisions in the small-x improved TMD factorization framework. J. High Energy Phys. 2016, 12, 034, Erratum in J. High Energy Phys. 2019, 2, 158. [Google Scholar] [CrossRef]
- Altinoluk, T.; Boussarie, R.; Marquet, C.; Taels, P. Photoproduction of three jets in the CGC: Gluon TMDs and dilute limit. J. High Energy Phys. 2020, 7, 143. [Google Scholar] [CrossRef]
- Altinoluk, T.; Marquet, C.; Taels, P. Low-x improved TMD approach to the lepto- and hadroproduction of a heavy-quark pair. J. High Energy Phys. 2021, 6, 085. [Google Scholar] [CrossRef]
- Boussarie, R.; Mäntysaari, H.; Salazar, F.; Schenke, B. The importance of kinematic twists and genuine saturation effects in dijet production at the Electron-Ion Collider. J. High Energy Phys. 2021, 9, 178. [Google Scholar] [CrossRef]
- Caucal, P.; Salazar, F.; Schenke, B.; Stebel, T.; Venugopalan, R. Back-to-back inclusive dijets in DIS at small x: Gluon Weizsäcker-Williams distribution at NLO. J. High Energy Phys. 2023, 8, 062. [Google Scholar] [CrossRef]
- Kang, Z.-B.; Ma, Y.-Q.; Venugopalan, R. Quarkonium production in high energy proton-nucleus collisions: CGC meets NRQCD. J. High Energy Phys. 2014, 1, 056. [Google Scholar] [CrossRef]
- Ma, Y.-Q.; Venugopalan, R. Comprehensive Description of J/ψ Production in Proton-Proton Collisions at Collider Energies. Phys. Rev. Lett. 2014, 113, 192301. [Google Scholar] [CrossRef]
- Ma, Y.-Q.; Venugopalan, R.; Zhang, H.-F. J/ψ production and suppression in high energy proton-nucleus collisions. Phys. Rev. D 2015, 92, 071901. [Google Scholar] [CrossRef]
- Ma, Y.-Q.; Stebel, T.; Venugopalan, R. J/ψ polarization in the CGC+NRQCD approach. J. High Energy Phys. 2018, 12, 057. [Google Scholar] [CrossRef]
- Stebel, T.; Watanabe, K. Jψ polarization in high multiplicity pp and pA collisions: CGC + NRQCD approach. Phys. Rev. D 2021, 104, 034004. [Google Scholar] [CrossRef]
- Mäntysaari, H.; Penttala, J. Exclusive heavy vector meson production at next-to-leading order in the dipole picture. Phys. Lett. B 2021, 823, 136723. [Google Scholar] [CrossRef]
- Mäntysaari, H.; Penttala, J. Complete calculation of exclusive heavy vector meson production at next-to-leading order in the dipole picture. J. High Energy Phys. 2022, 8, 247. [Google Scholar] [CrossRef]
- Binosi, D.; Collins, J.; Kaufhold, C.; Theussl, L. JaxoDraw: A Graphical user interface for drawing Feynman diagrams. Version 2.0 release notes. Comput. Phys. Commun. 2009, 180, 1709–1715. [Google Scholar] [CrossRef]







Disclaimer/Publisher’s Note: The statements, opinions and data contained in all publications are solely those of the individual author(s) and contributor(s) and not of MDPI and/or the editor(s). MDPI and/or the editor(s) disclaim responsibility for any injury to people or property resulting from any ideas, methods, instructions or products referred to in the content. |
© 2024 by the author. Licensee MDPI, Basel, Switzerland. This article is an open access article distributed under the terms and conditions of the Creative Commons Attribution (CC BY) license (https://creativecommons.org/licenses/by/4.0/).
Share and Cite
Celiberto, F.G. Forward & Far-Forward Heavy Hadrons with Jethad: A High-Energy Viewpoint. Particles 2024, 7, 502-542. https://doi.org/10.3390/particles7030029
Celiberto FG. Forward & Far-Forward Heavy Hadrons with Jethad: A High-Energy Viewpoint. Particles. 2024; 7(3):502-542. https://doi.org/10.3390/particles7030029
Chicago/Turabian StyleCeliberto, Francesco Giovanni. 2024. "Forward & Far-Forward Heavy Hadrons with Jethad: A High-Energy Viewpoint" Particles 7, no. 3: 502-542. https://doi.org/10.3390/particles7030029
APA StyleCeliberto, F. G. (2024). Forward & Far-Forward Heavy Hadrons with Jethad: A High-Energy Viewpoint. Particles, 7(3), 502-542. https://doi.org/10.3390/particles7030029
