Emergence of Hadron Mass and Structure
Abstract
| Contents | ||
| 1 | Introduction | 2 |
| 2 | Hadron Mass Budgets | 4 |
| 3 | Gluons and the Emergence of Mass | 6 |
| 4 | Process-Independent Effective Charge | 8 |
| 5 | Confinement | 11 |
| 6 | Spectroscopy | 16 |
| 7 | Baryon Wave Functions | 22 |
| 8 | Meson Form Factors | 26 |
| 9 | Baryon Form Factors | 29 |
| 10 | Transition Form Factors of Heavy+Light Mesons | 36 |
| 11 | Distribution Functions | 42 |
| 12 | Conclusions | 50 |
| References | 51 | |
1. Introduction
2. Hadron Mass Budgets
3. Gluons and the Emergence of Mass
4. Process-Independent Effective Charge
- (a)
- Does QCD possess a unique, nonperturbatively well-defined and calculable effective charge, viz. a veritable analogue of QED’s Gell-Mann–Low running coupling; and
- (b)
- Does Equation (8) express the large- behaviour of that charge?
- Absence of a Landau pole. Whereas the perturbative running coupling, e.g., Equation (8), diverges at , revealing the Landau pole, the PI charge is a smooth function on : the Landau pole is eliminated owing to the appearance of a gluon mass scale, Equation (7).Implicit in the “screening function”, , is a screening mass:at which point the perturbative coupling would diverge but the PI coupling passes through an inflection point on its way to saturation. On , the PI charge enters a new domain, upon which the running slows, practically ceasing on , so that QCD is once again effectively a conformal theory and the charge saturates to a constant infrared value . This value is a prediction: within 3(4)%, the coupling saturates to a value of at . It is not yet known whether this proximity to has any deeper significance in Nature, but a potential explanation is provided in the next bullet.These features emphasise the role of EHM as expressed in Equation (7): the existence of guarantees that long-wavelength gluons are screened, so play no dynamical role. Consequently, marks the boundary between soft/nonperturbative and hard/perturbative physics. It is therefore a natural choice for the “hadron scale”, viz. the renormalisation scale at which valence quasiparticle degrees-of-freedom should be used to formulate and solve hadron bound state problems [71]. Implementing that notion, then those quasiparticles carry all hadron properties at . This approach is today being used to good effect in the prediction of hadron parton distribution functions (DFs)—see Section 11 and References [124,125,126,127,128,129,130,131,132,133,134,135,136].
- Match with the Bjorken process-dependent charge. The theory of process-dependent (PD) charges was introduced in References [137,138]: “…to each physical quantity depending on a single scale variable is associated an effective charge, whose corresponding Stückelberg–Peterman–Gell-Mann–Low function is identified as the proper object on which perturbation theory applies.” PD charges have since been widely canvassed [94,139,140].One of the most fascinating things about the PI running coupling is highlighted by its comparison with the data in Figure 3, which express measurements of the PD effective charge, , defined via the Bjorken sum rule [141,142]. The charge calculated in Reference [71] is an essentially PI charge. There are no parameters; and, prima facie, no reason to expect that it should match . The almost precise agreement is a discovery, given more weight by new results on [95], which now reach into the conformal window at infrared momenta.Mathematically, at least part of the explanation lies in the fact that the Bjorken sum rule is an isospin non-singlet relation, which eliminates many dynamical contributions that might distinguish between the two charges. It is known that the two charges are not identical; yet, equally, on any domain for which perturbation theory is valid, the charges are nevertheless very much alike:where is given in Equation (8). At the c quark current–mass, the ratio is , i.e., indistinguishable from unity insofar as currently achievable precision is concerned. At the other extreme, in the far infrared, the Bjorken charge saturates to ; hence,
- Infrared completion. Being process-independent, serves numerous purposes and unifies many observables. It is therefore a good candidate for that long-sought running coupling which describes QCD’s effective charge at all accessible momentum scales [139], from the deep infrared to the far ultraviolet, and at all scales in between, without any modification.Significantly, the properties of support the conclusion that QCD is actually a theory, viz. a well-defined quantum gauge field theory. QCD therefore emerges as a viable tool for use in moving beyond the SM by giving substructure to particles that today seem elementary. A good example was suggested long ago; namely, perhaps all spin- bosons may be [57] “…secondary dynamical manifestations of strongly coupled primary fermion fields and vector gauge fields …”. Adopting this position, the SM’s Higgs boson might also be composite, in which case, inter alia, the quadratic divergence of Higgs boson mass corrections would be eliminated.
5. Confinement
“Quantum Yang–Mills theory is now the foundation of most of elementary particle theory, and its predictions have been tested at many experimental laboratories, but its mathematical foundation is still unclear. The successful use of Yang–Mills theory to describe the strong interactions of elementary particles depends on a subtle quantum mechanical property called the ‘mass gap’: the quantum particles have positive masses, even though the classical waves travel at the speed of light. This property has been discovered by physicists from experiment and confirmed by computer simulations, but it still has not been understood from a theoretical point of view. Progress in establishing the existence of the Yang–Mills theory and a mass gap will require the introduction of fundamental new ideas both in physics and in mathematics.”
6. Spectroscopy
7. Baryon Wave Functions
- … -wave ground state;
- … -wave radial excitation of ;
- … -wave orbital angular momentum excitation of ;
- … -wave excitation of .
- … -wave ground state in this channel and an angular momentum coupling partner of ;
- … -wave angular momentum coupling partner of ;
- … -wave orbital angular momentum excitation of ;
- … -wave orbital angular momentum excitation of .
8. Meson Form Factors
9. Baryon Form Factors
10. Transition Form Factors of Heavy+Light Mesons
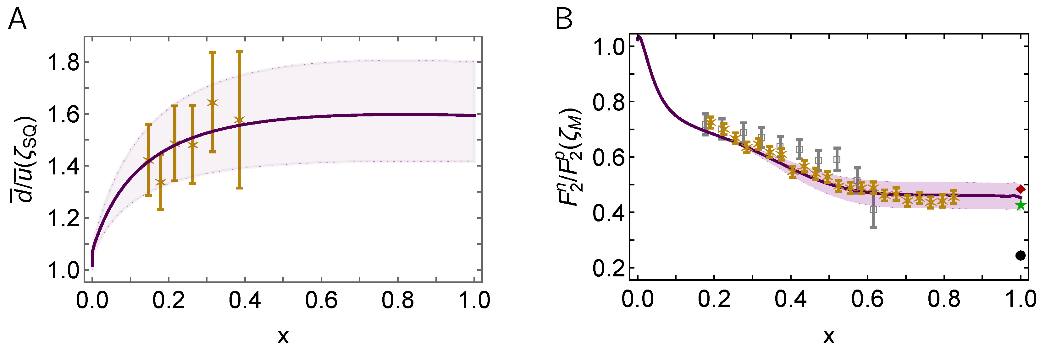
11. Distribution Functions
- P1
- There is an effective charge, , which, when used to integrate the one-loop perturbative-QCD DGLAP equations, defines a DF evolution scheme that is all orders exact.
- (i)
- The power-laws express measurable effective exponents, obtained from separate linear fits to on the domains , . (Here, denotes a generic DF.)
- (ii)
- Within mutual uncertainties, proton and pion DFs have the same power-law behaviour on :
- (iii)
- On , the following relationships exist for and between pion and proton DF exponents:
- (iv)
- Given (ii) and (iii), then the CSM predictions are consistent with the QCD expectations discussed in connection with Equation (56).
- (v)
- Observation A
- … Applied to MARATHON data, the SPM yields ⇒.8 The possibility is thus excluded with a 98.7% level of confidence; hence, scalar-diquark-only models of proton structure are excluded with equal likelihood. On the other hand, with this same 98.7% level of confidence, the SPM analysis confirms the QCD parton model prediction [412,446]: on .
- Observation B
- … The value of inferred from nuclear DIS [456] agrees with the SPM prediction; hence, they may be averaged to yieldThis result is drawn on Row 3 in Figure 27. It corresponds toand entails that the probability that scalar-diquark-only models of proton structure might be consistent with available data is . In fact, with a high level of confidence, one may discard any proton structure model that delivers a result for that differs significantly from Equation (64). (As reviewed in Section 9, the ratio places an even harder exclusion bound on scalar-diquark-only models.)
- Observation C
- … Within uncertainties, the result in Equation (64) agrees with both: (i) the value obtained by assuming an SU-symmetric spin–flavour wave function for the proton and helicity conservation in high- interactions [412,446]; and (ii) the prediction developed from proton Faddeev wave functions that contain both scalar and axial vector diquarks, with the axial vector contributing approximately 40% of the proton charge [271,450]. (Recall that this was the axial vector diquark fraction built into the analyses in References [134,135].)
12. Conclusions
Funding
Data Availability Statement
Acknowledgments
Conflicts of Interest
Abbreviations
| ACM | anomalous chromomagnetic moment |
| AdS/CFT (duality) | anti-de Sitter/conformal field theory (duality) |
| mean absolute relative difference | |
| CKM | Cabibbo–Kobayashi–Maskawa (matrix) |
| CSMs | continuum Schwinger function methods |
| DCSB | dynamical chiral symmetry breaking |
| DF | (parton) distribution function |
| DIS | deep inelastic scattering |
| DSE | Dyson–Schwinger equation |
| EHM | emergent hadron mass |
| FF | (parton) fragmentation function |
| JLab | Thomas Jefferson National Accelerator Facility |
| lQCD | lattice-regularised quantum chromodynamics |
| NG (mode/boson) | Nambu–Goldstone (mode/boson) |
| PD (charge) | process-dependent (charge) |
| PDG | Particle Data Group and associated publications |
| PI (charge) | process-independent (charge) |
| QCD | quantum chromodynamics |
| QED | quantum electrodynamics |
| RGI | renormalisation-group-invariant |
| RL | rainbow ladder (truncation) |
| SCI | symmetry-preserving treatment of a vector×vector contact interaction |
| SM | Standard Model of particle physics |
| SPM | Schlessinger point method |
| VMD | vector meson dominance |
| 1 | Here, the value “10” is arbitrary. More generally, the number should be small enough to ensure that predictive power is not lost through a need to fit too many renormalised observables to measured quantities. |
| 2 | When working with a Euclidean formulation, as we do, Poincaré covariance maps straightforwardly into Euclidean covariance, viz. valid Schwinger functions must transform covariantly under O rotations and linear translations in . Owing to the simplicity of this connection, we avoid transliteration and speak of Poincaré covariance and invariance throughout. |
| 3 | This is well known and explains why the truncated interaction in Equation (26) was not used for any of the calculations described in Section 7, Section 8, Section 9, Section 10 and Section 11 below. All those studies are based on interactions that at least preserve QCD’s ultraviolet power-law behaviour, where more has not yet been achieved—Section 7 and Section 9—and also the one-loop logarithmic improvement, when the necessary algorithms are already available—Section 8, Section 10, and Section 11. |
| 4 | Dressed-quark propagators form an important part of the kernels of all bound state equations. As on-shell meson masses increase, poles in those propagators enter the complex plane integration domain sampled by the Bethe–Salpeter equation [199]. For such cases—here, meson excited states—a direct on-shell solution cannot be obtained using simple algorithms. Therefore, to obtain the masses of those mesons, Reference [222] used an extrapolation procedure based on Padé approximants. This is the origin of the uncertainty bar on the CSM predictions. |
| 5 | The Chebyshev (or hyperspherical) expansion of Poincaré-invariant functions of two scalar variables is discussed, e.g., in Reference [199] (IV.B). |
| 6 | If one eliminates axial vector diquarks from the proton wave function, then , a result disfavoured by experiments at the level of , i.e., the probability that the scalar-diquark-only proton result could be consistent with data is . |
| 7 | |
| 8 | Extrapolations based on Padé fits to MARATHON data, obtained using a one-point jackknife procedure, yield on ⇒ [182]. Another analysis [460], employing practitioner-chosen polynomials as the basis for extrapolation, obtains on ⇒. The latter is less precise, but both results are consistent with the function form unbiased SPM prediction. |
References
- Appelquist, T.; Pisarski, R.D. High-Temperature Yang–Mills Theories and Three-Dimensional Quantum Chromodynamics. Phys. Rev. D 1981, 23, 2305. [Google Scholar] [CrossRef]
- Appelquist, T.W.; Bowick, M.J.; Karabali, D.; Wijewardhana, L.C.R. Spontaneous Chiral Symmetry Breaking in Three-Dimensional QED. Phys. Rev. D 1986, 33, 3704. [Google Scholar] [CrossRef] [PubMed]
- Bashir, A.; Raya, A.; Cloet, I.C.; Roberts, C.D. Regarding confinement and dynamical chiral symmetry breaking in QED3. Phys. Rev. C 2008, 78, 055201. [Google Scholar] [CrossRef]
- Bashir, A.; Raya, A.; Sánchez-Madrigal, S.; Roberts, C.D. Gauge invariance of a critical number of flavours in QED3. Few Body Syst. 2009, 46, 229–237. [Google Scholar] [CrossRef]
- Braun, J.; Gies, H.; Janssen, L.; Roscher, D. Phase structure of many-flavor QED3. Phys. Rev. D 2014, 90, 036002. [Google Scholar] [CrossRef]
- Roberts, C.D. Perspective on the origin of hadron masses. Few Body Syst. 2017, 58, 5. [Google Scholar] [CrossRef]
- Glimm, J.; Jaffee, A. Quantum Physics: A Functional Point of View; Springer: New York, NY, USA, 1981. [Google Scholar]
- Seiler, E. Gauge Theories as a Problem of Constructive Quantum Theory and Statistical Mechanics; Springer: New York, NY, USA, 1982. [Google Scholar]
- Itzykson, C.; Zuber, J.B. Quantum Field Theory; McGraw-Hill Inc.: New York, NY, USA, 1980. [Google Scholar]
- Rakow, P.E.L. Renormalization group flow in QED: An investigation of the Schwinger-Dyson equations. Nucl. Phys. B 1991, 356, 27–45. [Google Scholar] [CrossRef]
- Gockeler, M.; Horsley, R.; Linke, V.; Rakow, P.E.L.; Schierholz, G.; Stuben, H. Probing the continuum limit in noncompact QED: New results on large lattices. Nucl. Phys. B Proc. Suppl. 1995, 42, 660–662. [Google Scholar] [CrossRef]
- Reenders, M. On the nontriviality of Abelian gauged Nambu-Jona-Lasinio models in four dimensions. Phys. Rev. D 2000, 62, 025001. [Google Scholar] [CrossRef]
- Kızılersü, A.; Sizer, T.; Pennington, M.R.; Williams, A.G.; Williams, R. Dynamical mass generation in unquenched QED using the Dyson–Schwinger equations. Phys. Rev. D 2015, 91, 065015. [Google Scholar] [CrossRef]
- Roberts, C.D.; Schmidt, S.M. Dyson–Schwinger equations: Density, temperature and continuum strong QCD. Prog. Part. Nucl. Phys. 2000, 45, S1–S103. [Google Scholar] [CrossRef]
- Roberts, C.D.; Williams, A.G.; Krein, G. On the implications of confinement. Int. J. Mod. Phys. A 1992, 7, 5607–5624. [Google Scholar] [CrossRef]
- Roberts, C.D.; Williams, A.G. Dyson–Schwinger equations and their application to hadronic physics. Prog. Part. Nucl. Phys. 1994, 33, 477–575. [Google Scholar] [CrossRef]
- Binosi, D.; Tripolt, R.A. Spectral functions of confined particles. Phys. Lett. B 2020, 801, 135171. [Google Scholar] [CrossRef]
- Wilson, K.G. Confinement of quarks. Phys. Rev. D 1974, 10, 2445–2459. [Google Scholar] [CrossRef]
- Wilson, K.G. The origins of lattice gauge theory. Nucl. Phys. Proc. Suppl. 2005, 140, 3–19. [Google Scholar] [CrossRef]
- Cali, S.; Detmold, W.; Korcyl, G.; Korcyl, P.; Shanahan, P. Implementation of the conjugate gradient algorithm for heterogeneous systems. In Proceedings of the 38th International Symposium on Lattice Field Theory—PoS(LATTICE2021), Cambridge, MA, USA, 26–30 July 2021; Volume 396. [Google Scholar]
- Maris, P.; Roberts, C.D. Dyson–Schwinger equations: A tool for hadron physics. Int. J. Mod. Phys. E 2003, 12, 297–365. [Google Scholar] [CrossRef]
- Roberts, C.D. Hadron Properties and Dyson–Schwinger Equations. Prog. Part. Nucl. Phys. 2008, 61, 50–65. [Google Scholar] [CrossRef]
- Chang, L.; Roberts, C.D.; Tandy, P.C. Selected highlights from the study of mesons. Chin. J. Phys. 2011, 49, 955–1004. [Google Scholar]
- Bashir, A.; Chang, L.; Cloet, I.C.; El-Bennich, B.; Liu, Y.X.; Roberts, C.D.; Tandy, P.C. Collective perspective on advances in Dyson–Schwinger Equation QCD. Commun. Theor. Phys. 2012, 58, 79–134. [Google Scholar] [CrossRef]
- Roberts, C.D. Strong QCD and Dyson–Schwinger Equations. IRMA Lect. Math. Theor. Phys. 2015, 21, 356–458. [Google Scholar]
- Roberts, C.D. Three Lectures on Hadron Physics. J. Phys. Conf. Ser. 2016, 706, 022003. [Google Scholar] [CrossRef]
- Horn, T.; Roberts, C.D. The pion: An enigma within the Standard Model. J. Phys. G. 2016, 43, 073001. [Google Scholar] [CrossRef]
- Eichmann, G.; Sanchis-Alepuz, H.; Williams, R.; Alkofer, R.; Fischer, C.S. Baryons as relativistic three-quark bound states. Prog. Part. Nucl. Phys. 2016, 91, 1–100. [Google Scholar] [CrossRef]
- Burkert, V.D.; Roberts, C.D. Roper resonance: Toward a solution to the fifty-year puzzle. Rev. Mod. Phys. 2019, 91, 011003. [Google Scholar] [CrossRef]
- Fischer, C.S. QCD at finite temperature and chemical potential from Dyson–Schwinger equations. Prog. Part. Nucl. Phys. 2019, 105, 1–60. [Google Scholar] [CrossRef]
- Qin, S.X.; Roberts, C.D. Impressions of the Continuum Bound State Problem in QCD. Chin. Phys. Lett. 2020, 37, 121201. [Google Scholar] [CrossRef]
- Roberts, C.D.; Schmidt, S.M. Reflections upon the Emergence of Hadronic Mass. Eur. Phys. J. Spec. Top. 2020, 229, 3319–3340. [Google Scholar] [CrossRef]
- Roberts, C.D. Empirical Consequences of Emergent Mass. Symmetry 2020, 12, 1468. [Google Scholar] [CrossRef]
- Roberts, C.D. On Mass and Matter. AAPPS Bull. 2021, 31, 6. [Google Scholar] [CrossRef]
- Roberts, C.D.; Richards, D.G.; Horn, T.; Chang, L. Insights into the emergence of mass from studies of pion and kaon structure. Prog. Part. Nucl. Phys. 2021, 120, 103883. [Google Scholar] [CrossRef]
- Binosi, D. Emergent Hadron Mass in Strong Dynamics. Few Body Syst. 2022, 63, 42. [Google Scholar] [CrossRef]
- Papavassiliou, J. Emergence of mass in the gauge sector of QCD. Chin. Phys. C 2022, 46, 112001. [Google Scholar] [CrossRef]
- Englert, F. Nobel Lecture: The BEH mechanism and its scalar boson. Rev. Mod. Phys. 2014, 86, 843. [Google Scholar] [CrossRef]
- Higgs, P.W. Nobel Lecture: Evading the Goldstone theorem. Rev. Mod. Phys. 2014, 86, 851. [Google Scholar] [CrossRef]
- Workman, R.L.; Burkert, V.D.; Crede, V.; Klempt, E.; Thoma, U.; Tiator, L.; Agashe, K.; Aielli, G.; Allanach, B.C.; Amsler, C.; et al. Review of Particle Physics. Prog. Theor. Exp. Phys. 2022, 2022, 083C01. [Google Scholar]
- Flambaum, V.V.; Höll, A.; Jaikumar, P.; Roberts, C.D.; Wright, S.V. Sigma terms of light quark hadrons. Few Body Syst. 2006, 38, 31–51. [Google Scholar] [CrossRef]
- Ruiz de Elvira, J.; Hoferichter, M.; Kubis, B.; Meißner, U.G. Extracting the σ-term from low-energy pion–nucleon scattering. J. Phys. G 2018, 45, 024001. [Google Scholar] [CrossRef]
- Aoki, S.; Aoki, Y.; Bečirević, D.; Blum, T.; Colangelo, G.; Collins, S.; Della Morte, M.; Dimopoulos, P.; Dürr, S.; Fukaya, H.; et al. FLAG Review 2019. Eur. Phys. J. C 2020, 80, 113. [Google Scholar]
- Nambu, Y. Quasiparticles and Gauge Invariance in the Theory of Superconductivity. Phys. Rev. 1960, 117, 648–663. [Google Scholar] [CrossRef]
- Goldstone, J. Field Theories with Superconductor Solutions. Nuovo Cim. 1961, 19, 154–164. [Google Scholar] [CrossRef]
- Gell-Mann, M.; Oakes, R.J.; Renner, B. Behavior of current divergences under SU(3) x SU(3). Phys. Rev. 1968, 175, 2195–2199. [Google Scholar] [CrossRef]
- Casher, A.; Susskind, L. Chiral magnetism (or magnetohadrochironics). Phys. Rev. 1974, D9, 436–460. [Google Scholar] [CrossRef]
- Brodsky, S.J.; Shrock, R. Condensates in Quantum Chromodynamics and the Cosmological Constant. Proc. Natl. Acad. Sci. USA 2011, 108, 45–50. [Google Scholar] [CrossRef]
- Brodsky, S.J.; Roberts, C.D.; Shrock, R.; Tandy, P.C. New perspectives on the quark condensate. Phys. Rev. C 2010, 82, 022201. [Google Scholar] [CrossRef]
- Chang, L.; Roberts, C.D.; Tandy, P.C. Expanding the concept of in-hadron condensates. Phys. Rev. C 2012, 85, 012201. [Google Scholar] [CrossRef]
- Brodsky, S.J.; Roberts, C.D.; Shrock, R.; Tandy, P.C. Confinement contains condensates. Phys. Rev. C 2012, 85, 065202. [Google Scholar] [CrossRef]
- Cloet, I.C.; Roberts, C.D. Explanation and Prediction of Observables using Continuum Strong QCD. Prog. Part. Nucl. Phys. 2014, 77, 1–69. [Google Scholar] [CrossRef]
- Pascual, P.; Tarrach, R. QCD: Renormalization for the Practitioner, Lecture Notes in Physics; Springer: Berlin/Heidelberg, Germany, 1984; Volume 194. [Google Scholar]
- Taylor, J.C. Ward Identities and Charge Renormalization of the Yang–Mills Field. Nucl. Phys. B 1971, 33, 436–444. [Google Scholar] [CrossRef]
- Slavnov, A.A. Ward Identities in Gauge Theories. Theor. Math. Phys. 1972, 10, 99–107. [Google Scholar] [CrossRef]
- Schwinger, J.S. Gauge Invariance and Mass. Phys. Rev. 1962, 125, 397–398. [Google Scholar] [CrossRef]
- Schwinger, J.S. Gauge Invariance and Mass. 2. Phys. Rev. 1962, 128, 2425–2429. [Google Scholar] [CrossRef]
- Appelquist, T.; Nash, D.; Wijewardhana, L. Critical Behavior in (2+1)-Dimensional QED. Phys. Rev. Lett. 1988, 60, 2575. [Google Scholar] [CrossRef] [PubMed]
- Maris, P. The influence of the full vertex and vacuum polarization on the fermion propagator in QED3. Phys. Rev. 1996, D54, 4049–4058. [Google Scholar]
- Aguilar, A.C.; Binosi, D.; Papavassiliou, J. Nonperturbative gluon and ghost propagators for d=3 Yang–Mills. Phys. Rev. D 2010, 81, 125025. [Google Scholar] [CrossRef]
- Cornwall, J.M. Exploring dynamical gluon mass generation in three dimensions. Phys. Rev. D 2016, 93, 025021. [Google Scholar] [CrossRef]
- Cornwall, J.M. Dynamical Mass Generation in Continuum QCD. Phys. Rev. D 1982, 26, 1453. [Google Scholar] [CrossRef]
- Aguilar, A.C.; Binosi, D.; Papavassiliou, J. Gluon and ghost propagators in the Landau gauge: Deriving lattice results from Schwinger-Dyson equations. Phys. Rev. D 2008, 78, 025010. [Google Scholar] [CrossRef]
- Boucaud, P.; Leroy, J.; Le Yaouanc, A.; Micheli, J.; Pene, O.; Rodríguez-Quintero, J. On the IR behaviour of the Landau-gauge ghost propagator. J. High Energy Phys. 2008, 0806, 099. [Google Scholar] [CrossRef]
- Binosi, D.; Papavassiliou, J. Pinch Technique: Theory and Applications. Phys. Rept. 2009, 479, 1–152. [Google Scholar] [CrossRef]
- Boucaud, P.; Leroy, J.P.; Le-Yaouanc, A.; Micheli, J.; Pene, O.; Rodríguez-Quintero, J. The Infrared Behaviour of the Pure Yang–Mills Green Functions. Few Body Syst. 2012, 53, 387–436. [Google Scholar] [CrossRef]
- Aguilar, A.C.; Binosi, D.; Papavassiliou, J. The Gluon Mass Generation Mechanism: A Concise Primer. Front. Phys. China 2016, 11, 111203. [Google Scholar] [CrossRef]
- Binosi, D.; Chang, L.; Papavassiliou, J.; Roberts, C.D. Bridging a gap between continuum-QCD and ab initio predictions of hadron observables. Phys. Lett. B 2015, 742, 183–188. [Google Scholar] [CrossRef]
- Aguilar, A.C.; Ferreira, M.N.; Papavassiliou, J. Exploring smoking-gun signals of the Schwinger mechanism in QCD. Phys. Rev. D 2022, 105, 014030. [Google Scholar] [CrossRef]
- Pinto-Gómez, F.; De Soto, F.; Ferreira, M.N.; Papavassiliou, J.; Rodríguez-Quintero, J. Lattice three-gluon vertex in extended kinematics: Planar degeneracy. arXiv 2022, arXiv:2208.01020. [Google Scholar]
- Cui, Z.F.; Zhang, J.L.; Binosi, D.; de Soto, F.; Mezrag, C.; Papavassiliou, J.; Roberts, C.D.; Rodríguez-Quintero, J.; Segovia, J.; Zafeiropoulos, S. Effective charge from lattice QCD. Chin. Phys. C 2020, 44, 083102. [Google Scholar] [CrossRef]
- Aguilar, A.C.; De Soto, F.; Ferreira, M.; Papavassiliou, J.; Rodríguez-Quintero, J.; Zafeiropoulos, S. Gluon propagator and three-gluon vertex with dynamical quarks. Eur. Phys. J. C 2020, 80, 154. [Google Scholar] [CrossRef]
- Blum, T.; Boyle, P.A.; Christ, N.H.; Frison, J.; Garron, N.; Hudspith, R.J.; Izubuchi, T.; Janowski, T.; Jung, C.; Jüttner, A.; et al. Domain wall QCD with physical quark masses. Phys. Rev. D 2016, 93, 074505. [Google Scholar] [CrossRef]
- Boyle, P.A.; Christ, N.H.; Garron, N.; Jung, C.; Jüttner, A.; Kelly, C.; Mawhinney, R.D.; McGlynn, G.; Murphy, D.J.; Ohta, S.; et al. Low energy constants of SU(2) partially quenched chiral perturbation theory from Nf=2+1 domain wall QCD. Phys. Rev. D 2016, 93, 054502. [Google Scholar] [CrossRef]
- Boyle, P.A.; Del Debbio, L.; Jüttner, A.; Khamseh, A.; Sanfilippo, F.; Tsang, J.T. The decay constants fD and fDs in the continuum limit of Nf = 2 + 1 domain wall lattice QCD. J. High Energy Phys. 2017, 12, 008. [Google Scholar] [CrossRef]
- Binosi, D.; Chang, L.; Papavassiliou, J.; Qin, S.X.; Roberts, C.D. Natural constraints on the gluon–quark vertex. Phys. Rev. D 2017, 95, 031501. [Google Scholar] [CrossRef]
- Brodsky, S.J.; Deur, A.; Roberts, C.D. Artificial dynamical effects in quantum field theory. Nat. Rev. Phys. 2022, 4, 489–495. [Google Scholar] [CrossRef]
- West, G.B. General Infrared and Ultraviolet Properties of the Gluon Propagator in Axial Gauge. Phys. Rev. D 1983, 27, 1878. [Google Scholar] [CrossRef]
- Brown, N.; Pennington, M.R. Studies of Confinement: How the Gluon Propagates. Phys. Rev. D 1989, 39, 2723. [Google Scholar] [CrossRef] [PubMed]
- Cucchieri, A.; Mendes, T.; Santos, E.M.S. Covariant gauge on the lattice: A New implementation. Phys. Rev. Lett. 2009, 103, 141602. [Google Scholar] [CrossRef] [PubMed]
- Gao, F.; Qin, S.X.; Roberts, C.D.; Rodríguez-Quintero, J. Locating the Gribov horizon. Phys. Rev. D 2018, 97, 034010. [Google Scholar] [CrossRef]
- Gell-Mann, M.; Low, F.E. Quantum electrodynamics at small distances. Phys. Rev. 1954, 95, 1300–1312. [Google Scholar] [CrossRef]
- Politzer, H.D. The dilemma of attribution. Proc. Natl. Acad. Sci. USA 2005, 102, 7789–7793. [Google Scholar] [CrossRef]
- Wilczek, F. Asymptotic freedom: From paradox to paradigm. Proc. Natl. Acad. Sci. USA 2005, 102, 8403–8413. [Google Scholar] [CrossRef]
- Gross, D.J. The discovery of asymptotic freedom and the emergence of QCD. Proc. Natl. Acad. Sci. USA 2005, 102, 9099–9108. [Google Scholar] [CrossRef]
- Pickering, A. Constructing Quarks. A Sociological History of Particle Physics; University of Chicago Press: Chicago, IL, USA, 1999. [Google Scholar]
- Marciano, W.J.; Pagels, H. Quantum Chromodynamics: A Review. Phys. Rept. 1978, 36, 137. [Google Scholar] [CrossRef]
- Fischer, C.S. Infrared properties of QCD from Dyson–Schwinger equations. J. Phys. G 2006, 32, R253–R291. [Google Scholar] [CrossRef]
- Chang, L.; Roberts, C.D. Sketching the Bethe–Salpeter kernel. Phys. Rev. Lett. 2009, 103, 081601. [Google Scholar] [CrossRef]
- Binosi, D.; Mezrag, C.; Papavassiliou, J.; Roberts, C.D.; Rodríguez-Quintero, J. Process-independent strong running coupling. Phys. Rev. D 2017, 96, 054026. [Google Scholar] [CrossRef]
- Pilaftsis, A. Generalized pinch technique and the background field method in general gauges. Nucl. Phys. B 1997, 487, 467–491. [Google Scholar] [CrossRef]
- Cornwall, J.M.; Papavassiliou, J.; Binosi, D. The Pinch Technique and its Applications to Non-Abelian Gauge Theories; Cambridge University Press: Cambridge, UK, 2010. [Google Scholar]
- Abbott, L.F. Introduction to the Background Field Method. Acta Phys. Polon. B 1982, 13, 33. [Google Scholar]
- Deur, A.; Brodsky, S.J.; de Teramond, G.F. The QCD Running Coupling. Prog. Part. Nucl. Phys. 2016, 90, 1–74. [Google Scholar] [CrossRef]
- Deur, A.; Burkert, V.; Chen, J.P.; Korsch, W. Experimental determination of the QCD effective charge αg1(Q). Particles 2022, 5, 171. [Google Scholar] [CrossRef]
- Deur, A.; Burkert, V.; Chen, J.P.; Korsch, W. Experimental determination of the effective strong coupling constant. Phys. Lett. B 2007, 650, 244–248. [Google Scholar] [CrossRef]
- Deur, A.; Burkert, V.; Chen, J.P.; Korsch, W. Determination of the effective strong coupling constant αg1(s) from CLAS spin structure function data. Phys. Lett. B 2008, 665, 349–351. [Google Scholar] [CrossRef]
- Deur, A.; Prok, Y.; Burkert, V.; Crabb, D.; Girod, F.X.; Griffioen, K.A.; Guler, N.; Kuhn, S.E.; Kvaltine, N. High precision determination of the Q2 evolution of the Bjorken Sum. Phys. Rev. D 2014, 90, 012009. [Google Scholar] [CrossRef]
- The HERMES Collaboration; Ackerstaff, K. Measurement of the neutron spin structure function with a polarized 3He internal target. Phys. Lett. B 1997, 404, 383–389. [Google Scholar] [CrossRef]
- Ackerstaff, K.; Airapetian, A.; Akopov, N.; Akushevich, I.; Amarian, M.; Aschenauer, E.; Avakian, H.; Avetissian, A.; Bains, B.; Barrow, S.; et al. Determination of the deep inelastic contribution to the generalized Gerasimov-Drell-Hearn integral for the proton and neutron. Phys. Lett. B 1998, 444, 531–538. [Google Scholar] [CrossRef]
- Airapetian, A.; Akopov, N.; Akushevich, I.; Amarian, M.; Aschenauer, E.; Avakian, H.; Avetissian, A.; Bains, B.; Baumgarten, C.; Beckmann, M.; et al. Measurement of the proton spin structure function with a pure hydrogen target. Phys. Lett. B 1998, 442, 484–492. [Google Scholar] [CrossRef]
- Airapetian, A.; Akopov, N.; Akopov, Z.; Amarian, M.; Ammosov, V.V.; Aschenauer, E.C.; Avakian, H.; Avetissian, A.; Bailey, P.; Baturin, V.; et al. Evidence for quark hadron duality in the proton spin asymmetry A1. Phys. Rev. Lett. 2003, 90, 092002. [Google Scholar] [CrossRef]
- Airapetian, A.; Akopov, N.; Akopov, Z.; Andrus, A.; Aschenauer, E.C.; Augustyniak, W.; Tchuiko, B. Precise determination of the spin structure function g1 of the proton, deuteron and neutron. Phys. Rev. D 2007, 75, 012007. [Google Scholar] [CrossRef]
- NuTeV Collaboration. A Measurement of αs(Q2) from the Gross-Llewellyn Smith sum rule. Phys. Rev. Lett. 1998, 81, 3595–3598. [Google Scholar] [CrossRef]
- Alexakhin, V.Y.; Alexandrov, Y.; Alexeev, G.D.; Alexeev, M.; Amoroso, A.; Badełek, B.; Mikhailov, Y.V. The Deuteron Spin-dependent Structure Function and its First Moment. Phys. Lett. B 2007, 647, 8–17. [Google Scholar] [CrossRef]
- Alekseev, M.G.; Alexakhin, V.Y.; Alexandrov, Y.; Alexeev, G.D.; Amoroso, A.; Austregesilo, A.; Padee, A. The Spin-dependent Structure Function of the Proton and a Test of the Bjorken Sum Rule. Phys. Lett. B 2010, 690, 466–472. [Google Scholar] [CrossRef]
- COMPASS Collaboration; Bordalo, P.; Franco, C.; Nunes, A.S.; Quaresma, M.; Quintans, C.; Ramos, S.; Silva, L.; Stolarski, M. The spin structure function of the proton and a test of the Bjorken sum rule. Phys. Lett. B 2016, 753, 18–28. [Google Scholar] [CrossRef]
- Anthony, P.L.; Arnold, R.G.; Band, H.R.; Borel, H.; Bosted, P.E.; Breton, V.; Cates, G.D.; Chupp, T.E.; Dietrich, F.S.; Dunne, J.; et al. Determination of the neutron spin structure function. Phys. Rev. Lett. 1993, 71, 959–962. [Google Scholar] [CrossRef] [PubMed]
- E143 Collaboration; Abe, K.; Akagi, T.; Anthony, P.L.; Antonov, R.; Arnold, R.G.; Averett, T. Precision measurement of the proton spin structure function . Phys. Rev. Lett. 1995, 74, 346–350. [Google Scholar] [CrossRef]
- E143 Collaboration; Abe, K.; Akagi, T.; Anthony, P.L.; Antonov, R.; Arnold, R.G.; Averett, T. Precision measurement of the deuteron spin structure function . Phys. Rev. Lett. 1995, 75, 25–28. [Google Scholar] [CrossRef] [PubMed]
- Abe, K.; Akagi, T.; Anthony, P.L.; Antonov, R.; Arnold, R.G.; Averett, T.; Band, H.R.; Bauer, J.M.; Borel, H.; Bosted, P.E.; et al. Measurements of the proton and deuteron spin structure function g2 and asymmetry A2. Phys. Rev. Lett. 1996, 76, 587–591. [Google Scholar] [CrossRef] [PubMed]
- Abe, K.; Akagi, T.; Anthony, P.; Antonov, R.; Arnold, R.; Averett, T.; Band, H.; Bauer, J.; Borel, H.; Bosted, P.; et al. Measurements of the Q2 dependence of the proton and deuteron spin structure functions and . Phys. Lett. B 1995, 364, 61–68. [Google Scholar] [CrossRef]
- Anthony, P.L.; Arnold, R.G.; Band, H.R.; Borel, H.; Bosted, P.E.; Breton, V.; Cates, G.D.; Chupp, T.E.; Dietrich, F.S.; Dunne, J.; et al. Deep inelastic scattering of polarized electrons by polarized 3He and the study of the neutron spin structure. Phys. Rev. D 1996, 54, 6620–6650. [Google Scholar] [CrossRef]
- Abe, K.; Akagi, T.; Anderson, B.D.; Anthony, P.L.; Arnold, R.G.; Averett, T.; Band, H.R.; Berisso, C.M.; Bogorad, P.; Borel, H.; et al. Precision determination of the neutron spin structure function . Phys. Rev. Lett. 1997, 79, 26–30. [Google Scholar] [CrossRef]
- Abe, K.; Akagi, T.; Anderson, B.; Anthony, P.; Arnold, R.; Averett, T.; Band, H.; Berisso, C.; Bogorad, P.; Borel, H.; et al. Measurement of the neutron spin structure function and asymmetry . Phys. Lett. B 1997, 404, 377–382. [Google Scholar] [CrossRef]
- Abe, K.; Akagi, T.; Anderson, B.; Anthony, P.; Arnold, R.; Averett, T.; Band, H.; Berisso, C.; Bogorad, P.; Borel, H.; et al. Next-to-leading order QCD analysis of polarized deep inelastic scattering data. Phys. Lett. B 1997, 405, 180–190. [Google Scholar] [CrossRef]
- Abe, K.; Akagi, T.; Anthony, P.L.; Antonov, R.; Arnold, R.G.; Averett, T.; Band, H.R.; Bauer, J.M.; Borel, H.; Bosted, P.E.; et al. Measurements of the proton and deuteron spin structure functions g1 and g2. Phys. Rev. 1998, D58, 112003. [Google Scholar]
- E155 Collaboration; Anthony, P.L.; Arnold, R.G.; Averett, T.; Band, H.R.; Berisso, M.C.; Borelg, H.; Bosteda, P.E.; Bültmanns, S.L.; Buenerd, M.; et al. Measurement of the proton and deuteron spin structure functions g2 and asymmetry A2. Phys. Lett. 1999, B458, 529–535. [Google Scholar]
- Anthony, P.; Arnold, R.; Averett, T.; Band, H.; Berisso, M.; Borel, H.; Bosted, P.; Bültmann, S.; Buenerd, M.; Chupp, T.; et al. Measurement of the deuteron spin structure function (x) for 1 (GeV/c)2 < Q2 < 40 (GeV/c)2. Phys. Lett. B 1999, 463, 339–345. [Google Scholar]
- Anthony, P.; Arnold, R.; Averett, T.; Band, H.; Berisso, M.; Borel, H.; Bosted, P.; Bültmann, S.; Buenerd, M.; Chupp, T.; et al. Measurements of the Q2 dependence of the proton and neutron spin structure functions and . Phys. Lett. B 2000, 493, 19–28. [Google Scholar] [CrossRef]
- Anthony, P.; Arnold, R.; Averett, T.; Band, H.; Benmouna, N.; Boeglin, W.; Borel, H.; Bosted, P.; Bültmann, S.; Court, G.; et al. Precision measurement of the proton and deuteron spin structure functions g2 and asymmetries A2. Phys. Lett. B 2003, 553, 18–24. [Google Scholar] [CrossRef]
- Binosi, D.; Quadri, A. Anti-BRST symmetry and background field method. Phys. Rev. D 2013, 88, 085036. [Google Scholar] [CrossRef]
- Aslam, M.J.; Bashir, A.; Gutierrez-Guerrero, L.X. Local Gauge Transformation for the Quark Propagator in an SU(N) Gauge Theory. Phys. Rev. D 2016, 93, 076001. [Google Scholar] [CrossRef]
- Ding, M.; Raya, K.; Binosi, D.; Chang, L.; Roberts, C.D.; Schmidt, S.M. Drawing insights from pion parton distributions. Chin. Phys. C (Lett.) 2020, 44, 031002. [Google Scholar] [CrossRef]
- Ding, M.; Raya, K.; Binosi, D.; Chang, L.; Roberts, C.D.; Schmidt, S.M. Symmetry, symmetry breaking, and pion parton distributions. Phys. Rev. D 2020, 101, 054014. [Google Scholar] [CrossRef]
- Cui, Z.F.; Ding, M.; Gao, F.; Raya, K.; Binosi, D.; Chang, L.; Roberts, C.D.; Rodríguez-Quintero, J.; Schmidt, S.M. Higgs modulation of emergent mass as revealed in kaon and pion parton distributions. Eur. Phys. J. A (Lett.) 2021, 57, 5. [Google Scholar] [CrossRef]
- Cui, Z.F.; Ding, M.; Gao, F.; Raya, K.; Binosi, D.; Chang, L.; Roberts, C.D.; Rodríguez-Quintero, J.; Schmidt, S.M. Kaon and pion parton distributions. Eur. Phys. J. C 2020, 80, 1064. [Google Scholar] [CrossRef]
- Han, C.; Xie, G.; Wang, R.; Chen, X. An Analysis of Parton Distribution Functions of the Pion and the Kaon with the Maximum Entropy Input. Eur. Phys. J. C 2021, 81, 302. [Google Scholar] [CrossRef]
- Chang, L.; Roberts, C.D. Regarding the distribution of glue in the pion. Chin. Phys. Lett. 2021, 38, 081101. [Google Scholar] [CrossRef]
- Xie, G.; Han, C.; Wang, R.; Chen, X. Tackling the kaon structure function at EicC. Chin. Phys. C 2022, 46, 064107. [Google Scholar] [CrossRef]
- Raya, K.; Cui, Z.F.; Chang, L.; Morgado, J.M.; Roberts, C.D.; Rodríguez-Quintero, J. Revealing pion and kaon structure via generalised parton distributions. Chin. Phys. C 2022, 46, 013105. [Google Scholar] [CrossRef]
- Cui, Z.F.; Ding, M.; Morgado, J.M.; Raya, K.; Binosi, D.; Chang, L.; Papavassiliou, J.; Roberts, C.D.; Rodríguez-Quintero, J.; Schmidt, S.M. Concerning pion parton distributions. Eur. Phys. J. A 2022, 58, 10. [Google Scholar] [CrossRef]
- Cui, Z.F.; Ding, M.; Morgado, J.M.; Raya, K.; Binosi, D.; Chang, L.; De Soto, F.; Roberts, C.D.; Rodríguez-Quintero, J.; Schmidt, S.M. Emergence of pion parton distributions. Phys. Rev. D 2022, 105, L091502. [Google Scholar] [CrossRef]
- Chang, L.; Gao, F.; Roberts, C.D. Parton distributions of light quarks and antiquarks in the proton. Phys. Lett. B 2022, 829, 137078. [Google Scholar] [CrossRef]
- Lu, Y.; Chang, L.; Raya, K.; Roberts, C.D.; Rodríguez-Quintero, J. Proton and pion distribution functions in counterpoint. Phys. Lett. B 2022, 830, 137130. [Google Scholar] [CrossRef]
- De Paula, W.; Ydrefors, E.; Nogueira Alvarenga, J.H.; Frederico, T.; Salmè, G. Parton distribution function in a pion with Minkowskian dynamics. Phys. Rev. D 2022, 105, L071505. [Google Scholar] [CrossRef]
- Grunberg, G. Renormalization Scheme Independent QCD and QED: The Method of Effective Charges. Phys. Rev. D 1984, 29, 2315. [Google Scholar] [CrossRef]
- Grunberg, G. On Some Ambiguities in the Method of Effective Charges. Phys. Rev. D 1989, 40, 680. [Google Scholar] [CrossRef]
- Dokshitzer, Y.L. Perturbative QCD theory (includes our knowledge of α(s)) - hep-ph/9812252. In Proceedings of the 29th International Conference High-Energy Physics (ICHEP’98), Vancouver, BC, Canada, 23–29 July 1998; Volume 1, pp. 305–324. [Google Scholar]
- Prosperi, G.M.; Raciti, M.; Simolo, C. On the running coupling constant in QCD. Prog. Part. Nucl. Phys. 2007, 58, 387–438. [Google Scholar] [CrossRef]
- Bjorken, J.D. Applications of the Chiral U(6) x (6) Algebra of Current Densities. Phys. Rev. 1966, 148, 1467–1478. [Google Scholar] [CrossRef]
- Bjorken, J.D. Inelastic Scattering of Polarized Leptons from Polarized Nucleons. Phys. Rev. D 1970, 1, 1376–1379. [Google Scholar] [CrossRef]
- Brodsky, S.J.; de Téramond, G.F. Light-front hadron dynamics and AdS/CFT correspondence. Phys. Lett. B 2004, 582, 211–221. [Google Scholar] [CrossRef]
- Brodsky, S.J.; de Teramond, G.F.; Deur, A. Nonperturbative QCD Coupling and its β-function from Light-Front Holography. Phys. Rev. D 2010, 81, 096010. [Google Scholar] [CrossRef]
- Carlson, J.; Jaffe, A.; Wiles, A. (Eds.) The Millennium Prize Problems; American Mathematical Society: Providence, RI, USA, 2006. [Google Scholar]
- Eichten, E.; Gottfried, K.; Kinoshita, T.; Lane, K.D.; Yan, T.M. Charmonium: The Model. Phys. Rev. D 1978, 17, 3090, Erratum: Phys. Rev. D 1980, 21, 313. [Google Scholar] [CrossRef]
- Richardson, J.L. The Heavy Quark Potential and the Upsilon, J/psi Systems. Phys. Lett. B 1979, 82, 272–274. [Google Scholar] [CrossRef]
- Buchmuller, W.; Tye, S.H.H. Quarkonia and Quantum Chromodynamics. Phys. Rev. D 1981, 24, 132. [Google Scholar] [CrossRef]
- Godfrey, S.; Isgur, N. Mesons in a Relativized Quark Model with Chromodynamics. Phys. Rev. D 1985, 32, 189–231. [Google Scholar] [CrossRef]
- Lucha, W.; Schöberl, F.F.; Gromes, D. Bound states of quarks. Phys. Rept. 1991, 200, 127–240. [Google Scholar] [CrossRef]
- Binosi, D.; Chang, L.; Qin, S.X.; Papavassiliou, J.; Roberts, C.D. Symmetry preserving truncations of the gap and Bethe–Salpeter equations. Phys. Rev. D 2016, 93, 096010. [Google Scholar] [CrossRef]
- Smirnov, A.V.; Smirnov, V.A.; Steinhauser, M. Three-loop static potential. Phys. Rev. Lett. 2010, 104, 112002. [Google Scholar] [CrossRef] [PubMed]
- Brodsky, S.J.; Deur, A.; de Téramond, G.F.; Dosch, H.G. Light-Front Holography and Superconformal Quantum Mechanics: A New Approach to Hadron Structure and Color Confinement. Int. J. Mod. Phys. Conf. Ser. 2015, 39, 1560081. [Google Scholar] [CrossRef]
- Brodsky, S.J.; de Teramond, G.F.; Dosch, H.G.; Erlich, J. Light-Front Holographic QCD and Emerging Confinement. Phys. Rept. 2015, 584, 1–105. [Google Scholar] [CrossRef]
- Reinhardt, H.; Burgio, G.; Campagnari, D.; Ebadati, E.; Heffner, J.; Quandt, M.; Vastag, P.; Vogt, H. Hamiltonian approach to QCD in Coulomb gauge - a survey of recent results. Adv. High Energy Phys. 2018, 2018, 2312498. [Google Scholar] [CrossRef]
- Hoyer, P. Journey to the Bound States; Springer Briefs in Physics; Springer: Berlin/Heidelberg, Germany, 2021. [Google Scholar]
- Bali, G.S.; Neff, H.; Duessel, T.; Lippert, T.; Schilling, K. Observation of string breaking in QCD. Phys. Rev. D 2005, 71, 114513. [Google Scholar] [CrossRef]
- Prkacin, Z.; Bali, G.S.; Dussel, T.; Lippert, T.; Neff, H.; Schilling, K. Anatomy of string breaking in QCD. High Energy Phys. Lattice 2006, LAT2005, 308. [Google Scholar]
- Chang, L.; Cloet, I.C.; El-Bennich, B.; Klähn, T.; Roberts, C.D. Exploring the light quark interaction. Chin. Phys. C 2009, 33, 1189–1196. [Google Scholar]
- Munczek, H.J.; Nemirovsky, A.M. The Ground State q Mass Spectrum in QCD. Phys. Rev. D 1983, 28, 181–186. [Google Scholar] [CrossRef]
- Stingl, M. Propagation Properties and Condensate Formation of the Confined Yang–Mills Field. Phys. Rev. D 1986, 34, 3863–3881, [Erratum: Phys. Rev. D 36, 651 (1987)]. [Google Scholar] [CrossRef] [PubMed]
- Zwanziger, D. Local and Renormalizable Action From the Gribov Horizon. Nucl. Phys. B 1989, 323, 513–544. [Google Scholar] [CrossRef]
- Burden, C.J.; Roberts, C.D.; Williams, A.G. Singularity structure of a model quark propagator. Phys. Lett. B 1992, 285, 347–353. [Google Scholar] [CrossRef]
- Gribov, V.N. The theory of quark confinement. Eur. Phys. J. C 1999, 10, 91–105. [Google Scholar] [CrossRef]
- Stingl, M. A Systematic extended iterative solution for quantum chromodynamics. Z. Phys. A 1996, 353, 423–445. [Google Scholar] [CrossRef]
- Dudal, D.; Gracey, J.A.; Sorella, S.P.; Vandersickel, N.; Verschelde, H. A Refinement of the Gribov–Zwanziger approach in the Landau gauge: Infrared propagators in harmony with the lattice results. Phys. Rev. D 2008, 78, 065047. [Google Scholar] [CrossRef]
- Qin, S.X.; Rischke, D.H. Quark Spectral Function and Deconfinement at Nonzero Temperature. Phys. Rev. D 2013, 88, 056007. [Google Scholar] [CrossRef]
- Lucha, W.; Schöberl, F.F. Analytic Bethe–Salpeter Description of the Lightest Pseudoscalar Mesons. Phys. Rev. D 2016, 93, 056006. [Google Scholar] [CrossRef]
- Dudal, D.; Oliveira, O.; Roelfs, M.; Silva, P. Spectral representation of lattice gluon and ghost propagators at zero temperature. Nucl. Phys. B 2020, 952, 114912. [Google Scholar] [CrossRef]
- Fischer, C.S.; Huber, M.Q. Landau gauge Yang–Mills propagators in the complex momentum plane. Phys. Rev. D 2020, 102, 094005. [Google Scholar] [CrossRef]
- Osterwalder, K.; Schrader, R. Axioms for Euclidean Green’s Functions. Commun. Math. Phys. 1973, 31, 83–112. [Google Scholar] [CrossRef]
- Osterwalder, K.; Schrader, R. Axioms for Euclidean Green’s Functions. 2. Commun. Math. Phys. 1975, 42, 281. [Google Scholar] [CrossRef]
- Dedushenko, M. Snowmass White Paper: The Quest to Define QFT. arXiv 2022, arXiv:2203.08053. [Google Scholar]
- Stodolna, A.S.; Rouzée, A.; Lépine, F.; Cohen, S.; Robicheaux, F.; Gijsbertsen, A.; Jungmann, J.H.; Bordas, C.; Vrakking, M.J.J. Hydrogen Atoms under Magnification: Direct Observation of the Nodal Structure of Stark States. Phys. Rev. Lett. 2013, 110, 213001. [Google Scholar] [CrossRef] [PubMed]
- Bhagwat, M.; Pichowsky, M.; Tandy, P.C. Confinement phenomenology in the Bethe–Salpeter equation. Phys. Rev. D 2003, 67, 054019. [Google Scholar] [CrossRef]
- Field, R.D.; Feynman, R.P. A Parametrization of the Properties of Quark Jets. Nucl. Phys. B 1978, 136, 1–76. [Google Scholar] [CrossRef]
- Gribov, V.N.; Lipatov, L.N. Deep inelastic electron scattering in perturbation theory. Phys. Lett. B 1971, 37, 78–80. [Google Scholar] [CrossRef]
- Brodsky, S.J.; Deshpande, A.L.; Gao, H.; McKeown, R.D.; Meyer, C.A.; Meziani, Z.E.; Milner, R.G.; Qiu, J.; Richards, D.G.; Roberts, C.D. QCD and Hadron Physics. arXiv 2015, arXiv:1502.05728. [Google Scholar]
- Denisov, O. Letter of Intent (Draft 2.0): A New QCD facility at the M2 beam line of the CERN SPS. arXiv 2018, arXiv:1808.00848. [Google Scholar]
- Aguilar, A.C.; Ahmed, Z.; Aidala, C.; Ali, S.; Andrieux, V.; Arrington, J.; Bashir, A.; Berdnikov, V.; Binosi, D.; Chang, L.; et al. Pion and Kaon Structure at the Electron-Ion Collider. Eur. Phys. J. A 2019, 55, 190. [Google Scholar] [CrossRef]
- Brodsky, S.J.; Burkert, V.D.; Carman, D.S.; Chen, J.P.; Cui, Z.-F.; Döring, M.; Dosch, H.G.; Draayer, J.; Elouadrhiri, L.; Glazier, D.I.; et al. Strong QCD from Hadron Structure Experiments. Int. J. Mod. Phys. E 2020, 29, 2030006. [Google Scholar] [CrossRef]
- Chen, X.; Guo, F.K.; Roberts, C.D.; Wang, R. Selected Science Opportunities for the EicC. Few Body Syst. 2020, 61, 43. [Google Scholar] [CrossRef]
- Anderle, D.P.; Bertone, V.; Cao, X.; Chang, L.; Chang, N.; Chen, G.; Chen, X.; Chen, Z.; Cui, Z.; Dai, L.; et al. Electron-ion collider in China. Front. Phys. 2021, 16, 64701. [Google Scholar] [CrossRef]
- Arrington, J.; Gayoso, C.A.; Barry, P.C.; Berdnikov, V.; Binosi, D.; Chang, L.; Diefenthaler, M.; Ding, M.; Ent, R.; Frederico, T.; et al. Revealing the structure of light pseudoscalar mesons at the electron–ion collider. J. Phys. G 2021, 48, 075106. [Google Scholar] [CrossRef]
- Aoki, K.; Fujioka, H.; Gogami, T.; Hidaka, Y.; Hiyama, E.; Honda, R.; Hosaka, A.; Ichikawa, Y.; Ieiri, M.; Isaka, M.; et al. Extension of the J-PARC Hadron Experimental Facility: Third White Paper. arXiv 2021, arXiv:2110.04462. [Google Scholar]
- Quintans, C. The New AMBER Experiment at the CERN SPS. Few Body Syst. 2022, 63, 72. [Google Scholar] [CrossRef]
- Capstick, S.; Roberts, W. Quark models of baryon masses and decays. Prog. Part. Nucl. Phys. 2000, 45, S241–S331. [Google Scholar] [CrossRef]
- Giannini, M.M.; Santopinto, E. The hypercentral Constituent Quark Model and its application to baryon properties. Chin. J. Phys. 2015, 53, 020301. [Google Scholar]
- Plessas, W. The constituent-quark model — Nowadays. Int. J. Mod. Phys. A 2015, 30, 1530013. [Google Scholar] [CrossRef]
- Dudek, J.J.; Edwards, R.G.; Peardon, M.J.; Richards, D.G.; Thomas, C.E. Toward the excited meson spectrum of dynamical QCD. Phys. Rev. D 2010, 82, 034508. [Google Scholar] [CrossRef]
- Edwards, R.G.; Dudek, J.J.; Richards, D.G.; Wallace, S.J. Excited state baryon spectroscopy from lattice QCD. Phys. Rev. D 2011, 84, 074508. [Google Scholar] [CrossRef]
- Liu, L.; Moir, G.; Peardon, M.; Ryan, S.M.; Thomas, C.E.; Vilaseca, P.; Dudek, J.J.; Edwards, R.G.; Joo, B.; Richards, D.G. Excited and exotic charmonium spectroscopy from lattice QCD. J. High Energy Phys. 2012, 7, 126. [Google Scholar] [CrossRef]
- Dudek, J.J.; Edwards, R.G. Hybrid Baryons in QCD. Phys. Rev. D 2012, 85, 054016. [Google Scholar] [CrossRef]
- Ryan, S.M.; Wilson, D.J. Excited and exotic bottomonium spectroscopy from lattice QCD. J. High Energy Phys. 2021, 02, 214. [Google Scholar] [CrossRef]
- Woss, A.J.; Dudek, J.J.; Edwards, R.G.; Thomas, C.E.; Wilson, D.J. Decays of an exotic 1-+ hybrid meson resonance in QCD. Phys. Rev. D 2021, 103, 054502. [Google Scholar] [CrossRef]
- Munczek, H.J. Dynamical chiral symmetry breaking, Goldstone’s theorem and the consistency of the Schwinger-Dyson and Bethe–Salpeter Equations. Phys. Rev. D 1995, 52, 4736–4740. [Google Scholar] [CrossRef] [PubMed]
- Bender, A.; Roberts, C.D.; von Smekal, L. Goldstone Theorem and Diquark Confinement Beyond Rainbow- Ladder Approximation. Phys. Lett. B 1996, 380, 7–12. [Google Scholar] [CrossRef]
- Maris, P.; Roberts, C.D.; Tandy, P.C. Pion mass and decay constant. Phys. Lett. B 1998, 420, 267–273. [Google Scholar] [CrossRef]
- Maris, P.; Roberts, C.D. π and K meson Bethe–Salpeter amplitudes. Phys. Rev. C 1997, 56, 3369–3383. [Google Scholar] [CrossRef]
- Chen, M.; Ding, M.; Chang, L.; Roberts, C.D. Mass-dependence of pseudoscalar meson elastic form factors. Phys. Rev. D 2018, 98, 091505. [Google Scholar] [CrossRef]
- Ding, M.; Raya, K.; Bashir, A.; Binosi, D.; Chang, L.; Chen, M.; Roberts, C.D. γ*γ→η,η′ transition form factors. Phys. Rev. D 2019, 99, 014014. [Google Scholar] [CrossRef]
- Eichmann, G.; Fischer, C.S.; Williams, R. Kaon-box contribution to the anomalous magnetic moment of the muon. Phys. Rev. D 2020, 101, 054015. [Google Scholar] [CrossRef]
- Xu, Y.Z.; Binosi, D.; Cui, Z.F.; Li, B.L.; Roberts, C.D.; Xu, S.S.; Zong, H.S. Elastic electromagnetic form factors of vector mesons. Phys. Rev. D 2019, 100, 114038. [Google Scholar] [CrossRef]
- Xu, Y.Z.; Chen, S.; Yao, Z.Q.; Binosi, D.; Cui, Z.F.; Roberts, C.D. Vector-meson production and vector meson dominance. Eur. Phys. J. C 2021, 81, 895. [Google Scholar] [CrossRef]
- Yao, Z.Q.; Binosi, D.; Cui, Z.F.; Roberts, C.D.; Xu, S.S.; Zong, H.S. Semileptonic decays of D(s) mesons. Phys. Rev. D 2020, 102, 014007. [Google Scholar] [CrossRef]
- Yao, Z.Q.; Binosi, D.; Cui, Z.F.; Roberts, C.D. Semileptonic Bc→ηc,J/ψ transitions. Phys. Lett. B 2021, 818, 136344. [Google Scholar] [CrossRef]
- Yao, Z.Q.; Binosi, D.; Cui, Z.F.; Roberts, C.D. Semileptonic transitions: B(s)→π(K); Ds→K; D→π,K; and K→π. Phys. Lett. B 2022, 824, 136793. [Google Scholar] [CrossRef]
- Höll, A.; Krassnigg, A.; Roberts, C.D. Pseudoscalar meson radial excitations. Phys. Rev. C 2004, 70, 042203. [Google Scholar] [CrossRef]
- Höll, A.; Krassnigg, A.; Maris, P.; Roberts, C.D.; Wright, S.V. Electromagnetic properties of ground and excited state pseudoscalar mesons. Phys. Rev. C 2005, 71, 065204. [Google Scholar] [CrossRef]
- Fischer, C.S.; Williams, R. Probing the gluon self-interaction in light mesons. Phys. Rev. Lett. 2009, 103, 122001. [Google Scholar] [CrossRef]
- Krassnigg, A. Survey of J=0,1 mesons in a Bethe–Salpeter approach. Phys. Rev. D 2009, 80, 114010. [Google Scholar] [CrossRef]
- Qin, S.X.; Chang, L.; Liu, Y.X.; Roberts, C.D.; Wilson, D.J. Interaction model for the gap equation. Phys. Rev. C 2011, 84, 042202. [Google Scholar] [CrossRef]
- Qin, S.X.; Chang, L.; Liu, Y.X.; Roberts, C.D.; Wilson, D.J. Investigation of rainbow-ladder truncation for excited and exotic mesons. Phys. Rev. C 2012, 85, 035202. [Google Scholar] [CrossRef]
- Blank, M.; Krassnigg, A. Bottomonium in a Bethe–Salpeter-equation study. Phys. Rev. D 2011, 84, 096014. [Google Scholar]
- Hilger, T.; Popovici, C.; Gomez-Rocha, M.; Krassnigg, A. Spectra of heavy quarkonia in a Bethe–Salpeter-equation approach. Phys. Rev. D 2015, 91, 034013. [Google Scholar] [CrossRef]
- Fischer, C.S.; Kubrak, S.; Williams, R. Spectra of heavy mesons in the Bethe–Salpeter approach. Eur. Phys. J. A 2015, 51, 10. [Google Scholar] [CrossRef]
- Eichmann, G.; Fischer, C.S.; Sanchis-Alepuz, H. Light baryons and their excitations. Phys. Rev. D 2016, 94, 094033. [Google Scholar] [CrossRef]
- Qin, S.X.; Roberts, C.D.; Schmidt, S.M. Spectrum of light- and heavy-baryons. Few Body Syst. 2019, 60, 26. [Google Scholar] [CrossRef]
- Chang, L.; Roberts, C.D. Tracing masses of ground state light quark mesons. Phys. Rev. C 2012, 85, 052201. [Google Scholar] [CrossRef]
- Williams, R.; Fischer, C.S.; Heupel, W. Light mesons in QCD and unquenching effects from the 3PI effective action. Phys. Rev. D 2016, 93, 034026. [Google Scholar] [CrossRef]
- Qin, S.X.; Roberts, C.D. Resolving the Bethe–Salpeter kernel. Chin. Phys. Lett. Express 2021, 38, 071201. [Google Scholar] [CrossRef]
- Xu, Z.N.; Yao, Z.Q.; Qin, S.X.; Cui, Z.F.; Roberts, C.D. Bethe–Salpeter kernel and properties of strange-quark mesons. arXiv 2022, arXiv:2208.13903. [Google Scholar]
- Qin, S.X.; Roberts, C.D.; Schmidt, S.M. Ward–Green–Takahashi identities and the axial-vector vertex. Phys. Lett. B 2014, 733, 202–208. [Google Scholar] [CrossRef]
- Bhagwat, M.S.; Höll, A.; Krassnigg, A.; Roberts, C.D.; Tandy, P.C. Aspects and consequences of a dressed quark-gluon vertex. Phys. Rev. C 2004, 70, 035205. [Google Scholar] [CrossRef]
- Chang, L.; Liu, Y.X.; Roberts, C.D.; Shi, Y.M.; Sun, W.M.; Zong, H.S. Chiral susceptibility and the scalar Ward identity. Phys. Rev. C 2009, 79, 035209. [Google Scholar] [CrossRef]
- Singh, J. Anomalous magnetic moment of light quarks and dynamical symmetry breaking. Phys. Rev. D 1985, 31, 1097–1108. [Google Scholar] [CrossRef]
- Bicudo, P.J.A.; Ribeiro, J.E.F.T.; Fernandes, R. The anomalous magnetic moment of quarks. Phys. Rev. C 1999, 59, 1107–1112. [Google Scholar] [CrossRef]
- Chang, L.; Liu, Y.X.; Roberts, C.D. Dressed-quark anomalous magnetic moments. Phys. Rev. Lett. 2011, 106, 072001. [Google Scholar] [CrossRef]
- Bashir, A.; Bermúdez, R.; Chang, L.; Roberts, C.D. Dynamical chiral symmetry breaking and the fermion–gauge-boson vertex. Phys. Rev. C 2012, 85, 045205. [Google Scholar] [CrossRef]
- Kızılersü, A.; Oliveira, O.; Silva, P.J.; Skullerud, J.I.; Sternbeck, A. Quark-gluon vertex from Nf=2 lattice QCD. Phys. Rev. D 2021, 103, 114515. [Google Scholar] [CrossRef]
- Williams, R. The quark-gluon vertex in Landau gauge bound state studies. Eur. Phys. J. A 2015, 51, 57. [Google Scholar] [CrossRef]
- Yin, P.L.; Cui, Z.F.; Roberts, C.D.; Segovia, J. Masses of positive- and negative-parity hadron ground states, including those with heavy quarks. Eur. Phys. J. C 2021, 81, 327. [Google Scholar] [CrossRef]
- Xu, Z.N.; Cui, Z.F.; Roberts, C.D.; Xu, C. Heavy + light pseudoscalar meson semileptonic transitions. Eur. Phys. J. C 2021, 81, 1105. [Google Scholar] [CrossRef]
- Gutiérrez-Guerrero, L.X.; Paredes-Torres, G.; Bashir, A. Mesons and baryons: Parity partners. Phys. Rev. D 2021, 104, 094013. [Google Scholar] [CrossRef]
- Höll, A.; Maris, P.; Roberts, C.D.; Wright, S.V. Schwinger functions and light quark bound states, and sigma terms. Nucl. Phys. Proc. Suppl. 2006, 161, 87–94. [Google Scholar] [CrossRef]
- Santowsky, N.; Eichmann, G.; Fischer, C.S.; Wallbott, P.C.; Williams, R. The σ-meson: Four-quark vs. two-quark components and decay width in a Bethe–Salpeter approach. Phys. Rev. D 2020, 102, 056014. [Google Scholar] [CrossRef]
- Nakanishi, N. A General survey of the theory of the Bethe–Salpeter equation. Prog. Theor. Phys. Suppl. 1969, 43, 1–81. [Google Scholar] [CrossRef]
- Cui, Z.F.; Binosi, D.; Roberts, C.D.; Schmidt, S.M. Hadron and light nucleus radii from electron scattering. Chin. Phys. C 2022, in press. [Google Scholar] [CrossRef]
- Binosi, D.; Chang, L.; Ding, M.; Gao, F.; Papavassiliou, J.; Roberts, C.D. Distribution Amplitudes of Heavy-Light Mesons. Phys. Lett. B 2019, 790, 257–262. [Google Scholar] [CrossRef]
- McNeile, C.; Michael, C. The decay constant of the first excited pion from lattice QCD. Phys. Lett. B 2006, 642, 244–247. [Google Scholar] [CrossRef]
- Ballon-Bayona, A.; Krein, G.; Miller, C. Decay constants of the pion and its excitations in holographic QCD. Phys. Rev. D 2015, 91, 065024. [Google Scholar] [CrossRef]
- Chen, M.; Chang, L. A pattern for the flavor dependent quark-antiquark interaction. Chin. Phys. C 2019, 43, 114103. [Google Scholar] [CrossRef]
- Qin, P.; Qin, S.X.; Liu, Y.X. Heavy-light mesons beyond the ladder approximation. Phys. Rev. D 2020, 101, 114014. [Google Scholar] [CrossRef]
- Burden, C.J.; Pichowsky, M.A. JPC exotic mesons from the Bethe–Salpeter equation. Few Body Syst. 2002, 32, 119–126. [Google Scholar] [CrossRef]
- Hilger, T.; Gomez-Rocha, M.; Krassnigg, A. Masses of JPC=1-+ exotic quarkonia in a Bethe–Salpeter-equation approach. Phys. Rev. D 2015, 91, 114004. [Google Scholar] [CrossRef]
- Xu, S.S.; Cui, Z.F.; Chang, L.; Papavassiliou, J.; Roberts, C.D.; Zong, H.S. New perspective on hybrid mesons. Eur. Phys. J. A (Lett.) 2019, 55, 113. [Google Scholar] [CrossRef]
- Meyers, J.; Swanson, E.S. Spin Zero Glueballs in the Bethe–Salpeter Formalism. Phys. Rev. D 2013, 87, 036009. [Google Scholar] [CrossRef]
- Souza, E.V.; Narciso Ferreira, M.; Aguilar, A.C.; Papavassiliou, J.; Roberts, C.D.; Xu, S.S. Pseudoscalar glueball mass: A window on three-gluon interactions. Eur. Phys. J. A (Lett.) 2020, 56, 25. [Google Scholar] [CrossRef]
- Kaptari, L.P.; Kämpfer, B. Mass spectrum of pseudo-scalar glueballs from a Bethe–Salpeter approach with the rainbow-ladder truncation. Few Body Syst. 2020, 61, 28. [Google Scholar] [CrossRef]
- Huber, M.Q.; Fischer, C.S.; Sanchis-Alepuz, H. Higher spin glueballs from functional methods. Eur. Phys. J. C 2021, 81, 1083. [Google Scholar] [CrossRef]
- Ablikim, M.; Achasov, M.N.; Adlarson, P.; Ahmed, S.; Albrecht, M.; Alekseev, M.; Amoroso, A.; An, F.F.; An, Q.; Bai, Y.; et al. Future Physics Programme of BESIII. Chin. Phys. C 2020, 44, 040001. [Google Scholar] [CrossRef]
- Khalek, R.A.; Accardi, A.; Adam, J.; Adamiak, D.; Akers, W.; Albaladejo, M.; Blin, A.H. Science Requirements and Detector Concepts for the Electron-Ion Collider: EIC Yellow Report. Nucl. Phys. A 2022, 1026, 122447. [Google Scholar] [CrossRef]
- Pauli, P. Accessing glue through photoproduction measurements at GlueX. Rev. Mex. Fis. Suppl. 2022, 3, 0308002. [Google Scholar] [CrossRef]
- Eichmann, G.; Alkofer, R.; Krassnigg, A.; Nicmorus, D. Nucleon mass from a covariant three-quark Faddeev equation. Phys. Rev. Lett. 2010, 104, 201601. [Google Scholar] [CrossRef] [PubMed]
- Barabanov, M.; Bedolla, M.; Brooks, W.; Cates, G.; Chen, C.; Chen, Y.; Cisbani, E.; Ding, M.; Eichmann, G.; Ent, R.; et al. Diquark Correlations in Hadron Physics: Origin, Impact and Evidence. Prog. Part. Nucl. Phys. 2021, 116, 103835. [Google Scholar] [CrossRef]
- Cahill, R.T.; Roberts, C.D.; Praschifka, J. Baryon structure and QCD. Austral. J. Phys. 1989, 42, 129–145. [Google Scholar] [CrossRef]
- Burden, C.J.; Cahill, R.T.; Praschifka, J. Baryon Structure and QCD: Nucleon Calculations. Austral. J. Phys. 1989, 42, 147–159. [Google Scholar] [CrossRef]
- Reinhardt, H. Hadronization of Quark Flavor Dynamics. Phys. Lett. B 1990, 244, 316–326. [Google Scholar] [CrossRef]
- Efimov, G.V.; Ivanov, M.A.; Lyubovitskij, V.E. Quark—Diquark approximation of the three quark structure of baryons in the quark confinement model. Z. Phys. C 1990, 47, 583–594. [Google Scholar] [CrossRef]
- Gutiérrez-Guerrero, L.X.; Bashir, A.; Cloet, I.C.; Roberts, C.D. Pion form factor from a contact interaction. Phys. Rev. C 2010, 81, 065202. [Google Scholar] [CrossRef]
- Gutiérrez-Guerrero, L.X.; Bashir, A. Contact Interaction Studies of Hadron Observables. Particles 2022, 5, 69–138. [Google Scholar]
- Brown, Z.S.; Detmold, W.; Meinel, S.; Orginos, K. Charmed bottom baryon spectroscopy from lattice QCD. Phys. Rev. D 2014, 90, 094507. [Google Scholar] [CrossRef]
- Mathur, N.; Padmanath, M.; Mondal, S. Precise predictions of charmed-bottom hadrons from lattice QCD. Phys. Rev. Lett. 2018, 121, 202002. [Google Scholar] [CrossRef] [PubMed]
- Bahtiyar, H.; Can, K.U.; Erkol, G.; Gubler, P.; Oka, M.; Takahashi, T.T. Charmed baryon spectrum from lattice QCD near the physical point. Phys. Rev. D 2020, 102, 054513. [Google Scholar] [CrossRef]
- Chen, C.; El-Bennich, B.; Roberts, C.D.; Schmidt, S.M.; Segovia, J.; Wan, S. Structure of the nucleon’s low-lying excitations. Phys. Rev. D 2018, 97, 034016. [Google Scholar] [CrossRef]
- Chen, C.; Krein, G.I.; Roberts, C.D.; Schmidt, S.M.; Segovia, J. Spectrum and structure of octet and decuplet baryons and their positive-parity excitations. Phys. Rev. D 2019, 100, 054009. [Google Scholar] [CrossRef]
- Liu, L.; Chen, C.; Lu, Y.; Roberts, C.D.; Segovia, J. Composition of low-lying J = ± Δ-baryons. Phys. Rev. D 2022, 105, 114047. [Google Scholar] [CrossRef]
- Liu, L.; Chen, C.; Roberts, C.D. Wave functions of (I, JP) = (, ∓) baryons. arXiv 2022, arXiv:2208.12353. [Google Scholar] [CrossRef]
- Crede, V.; Roberts, W. Progress towards understanding baryon resonances. Rept. Prog. Phys. 2013, 76, 076301. [Google Scholar] [CrossRef]
- Alkofer, R.; Höll, A.; Kloker, M.; Krassnigg, A.; Roberts, C.D. On nucleon electromagnetic form-factors. Few Body Syst. 2005, 37, 1–31. [Google Scholar] [CrossRef]
- Segovia, J.; Cloet, I.C.; Roberts, C.D.; Schmidt, S.M. Nucleon and Δ elastic and transition form factors. Few Body Syst. 2014, 55, 1185–1222. [Google Scholar] [CrossRef]
- Chen, C.; Lu, Y.; Binosi, D.; Roberts, C.D.; Rodríguez-Quintero, J.; Segovia, J. Nucleon-to-Roper electromagnetic transition form factors at large Q2. Phys. Rev. D 2019, 99, 034013. [Google Scholar] [CrossRef]
- Lu, Y.; Chen, C.; Cui, Z.F.; Roberts, C.D.; Schmidt, S.M.; Segovia, J.; Zong, H.S. Transition form factors: γ*+p→Δ(1232), Δ(1600). Phys. Rev. D 2019, 100, 034001. [Google Scholar] [CrossRef]
- Chen, C.; Fischer, C.S.; Roberts, C.D.; Segovia, J. Form Factors of the Nucleon Axial Current. Phys. Lett. B 2021, 815, 136150. [Google Scholar] [CrossRef]
- Chen, C.; Fischer, C.S.; Roberts, C.D.; Segovia, J. Nucleon axial-vector and pseudoscalar form factors and PCAC relations. Phys. Rev. D 2022, 105, 094022. [Google Scholar] [CrossRef]
- Chen, C.; Roberts, C.D. Nucleon axial form factor at large momentum transfers. Eur. Phys. J. A 2022, 58, 206. [Google Scholar] [CrossRef]
- Klempt, E.; Metsch, B.C. Multiplet classification of light quark baryons. Eur. Phys. J. A 2012, 48, 127. [Google Scholar] [CrossRef]
- Weinberg, S. Precise relations between the spectra of vector and axial vector mesons. Phys. Rev. Lett. 1967, 18, 507–509. [Google Scholar] [CrossRef]
- Lane, K.D. Asymptotic Freedom and Goldstone Realization of Chiral Symmetry. Phys. Rev. D 1974, 10, 2605. [Google Scholar] [CrossRef]
- Politzer, H.D. Effective Quark Masses in the Chiral Limit. Nucl. Phys. B 1976, 117, 397. [Google Scholar] [CrossRef]
- Pagels, H. Dynamical Chiral Symmetry Breaking in Quantum Chromodynamics. Phys. Rev. D 1979, 19, 3080. [Google Scholar] [CrossRef]
- Higashijima, K. Dynamical Chiral Symmetry Breaking. Phys. Rev. D 1984, 29, 1228. [Google Scholar] [CrossRef]
- Pagels, H.; Stokar, S. The Pion Decay Constant, Electromagnetic Form-Factor and Quark Electromagnetic Selfenergy in QCD. Phys. Rev. D 1979, 20, 2947. [Google Scholar] [CrossRef]
- Cahill, R.T.; Roberts, C.D. Soliton Bag Models of Hadrons from QCD. Phys. Rev. D 1985, 32, 2419. [Google Scholar] [CrossRef] [PubMed]
- Munczek, H.J. Infrared Effects on the Axial Gauge Quark Propagator. Phys. Lett. B 1986, 175, 215–218. [Google Scholar] [CrossRef]
- Efimov, G.V.; Ivanov, M.A. Confinement and quark structure of light hadrons. Int. J. Mod. Phys. A 1989, 4, 2031–2060. [Google Scholar] [CrossRef]
- Hecht, M.B.; Oettel, M.; Roberts, C.D.; Schmidt, S.M.; Tandy, P.C.; Thomas, A.W. Nucleon mass and pion loops. Phys. Rev. C 2002, 65, 055204. [Google Scholar] [CrossRef]
- Sanchis-Alepuz, H.; Fischer, C.S.; Kubrak, S. Pion cloud effects on baryon masses. Phys. Lett. B 2014, 733, 151–157. [Google Scholar] [CrossRef]
- Julia-Diaz, B.; Lee, T.S.H.; Matsuyama, A.; Sato, T. Dynamical coupled channel model of pi N scattering in the W≤2-GeV nucleon resonance region. Phys. Rev. C 2007, 76, 065201. [Google Scholar] [CrossRef]
- Suzuki, N.; Julia-Diaz, B.; Kamano, H.; Lee, T.S.H.; Matsuyama, A.; Sato, T. Disentangling the Dynamical Origin of P-11 Nucleon Resonances. Phys. Rev. Lett. 2010, 104, 042302. [Google Scholar] [CrossRef]
- Rönchen, D.; Döring, M.; Huang, F.; Haberzettl, H.; Haidenbauer, J.; Hanhart, C.; Krewald, S.; Meissner, U.G.; Nakayama, K. Coupled-channel dynamics in the reactions πN→πN, ηN, KΛ, KΣ. Eur. Phys. J. A 2013, 49, 44. [Google Scholar] [CrossRef]
- Kamano, H.; Nakamura, S.X.; Lee, T.S.H.; Sato, T. Nucleon resonances within a dynamical coupled channels model of πN and γN reactions. Phys. Rev. C 2013, 88, 035209. [Google Scholar] [CrossRef]
- García-Tecocoatzi, H.; Bijker, R.; Ferretti, J.; Santopinto, E. Self-energies of octet and decuplet baryons due to the coupling to the baryon-meson continuum. Eur. Phys. J. A 2017, 53, 115. [Google Scholar] [CrossRef]
- Eichmann, G.; Alkofer, R.; Cloet, I.C.; Krassnigg, A.; Roberts, C.D. Perspective on rainbow-ladder truncation. Phys. Rev. C 2008, 77, 042202. [Google Scholar] [CrossRef]
- Eichmann, G.; Cloet, I.C.; Alkofer, R.; Krassnigg, A.; Roberts, C.D. Toward unifying the description of meson and baryon properties. Phys. Rev. C 2009, 79, 012202. [Google Scholar] [CrossRef]
- Roberts, H.L.L.; Chang, L.; Cloet, I.C.; Roberts, C.D. Masses of ground and excited state hadrons. Few Body Syst. 2011, 51, 1–25. [Google Scholar] [CrossRef]
- Isupov, E.L.; Burkert, V.D.; Carman, D.S.; Gothe, R.W.; Hicks, K.; Ishkhanov, B.S.; Mokeev, V.I.; Adhikari, K.P.; Adhikari, S.; Adikaram, D.; et al. Measurements of ep→e′π+π−p′ Cross Sections with CLAS at 1.40 Gev < W < 2.0 GeV and 2.0 GeV2 < Q2 < 5.0 GeV2. Phys. Rev. C 2017, 96, 025209. [Google Scholar]
- Trivedi, A. Measurement of New Observables from the π+π− p Electroproduction Off the Proton. Few Body Syst. 2019, 60, 5. [Google Scholar] [CrossRef]
- Raya, K.; Gutiérrez-Guerrero, L.X.; Bashir, A.; Chang, L.; Cui, Z.F.; Lu, Y.; Roberts, C.D.; Segovia, J. Dynamical diquarks in the γ(*)p→N(1535)− transition. Eur. Phys. J. A 2021, 57, 266. [Google Scholar] [CrossRef]
- Aznauryan, I.G.; Burkert, V.D.; Biselli, A.S.; Egiyan, H.; Joo, K.; Kim, W.; Park, K.; Smith, L.C.; Ungaro, M.; Adhikari, K.P.; et al. Electroexcitation of nucleon resonances from CLAS data on single pion electroproduction. Phys. Rev. C 2009, 80, 055203. [Google Scholar] [CrossRef]
- Mokeev, V.I.; Burkert, V.D.; Carman, D.S.; Elouadrhiri, L.; Fedotov, G.V.; Golovatch, E.N.; Gothe, R.W.; Hicks, K.; Ishkhanov, B.S.; Isupov, E.L.; et al. New Results from the Studies of the N(1440)1/2+, N(1520)3/2−, and Δ(1620)1/2− Resonances in Exclusive ep→e′p′π+π− Electroproduction with the CLAS Detector. Phys. Rev. C 2016, 93, 025206. [Google Scholar] [CrossRef]
- Mokeev, V.I. Two Pion Photo- and Electroproduction with CLAS. EPJ Web Conf. 2020, 241, 03003. [Google Scholar] [CrossRef]
- Carman, D.; Joo, K.; Mokeev, V. Strong QCD Insights from Excited Nucleon Structure Studies with CLAS and CLAS12. Few Body Syst. 2020, 61, 29. [Google Scholar] [CrossRef]
- Mokeev, V.I.; Carman, D.S. New baryon states in exclusive meson photo-/electroproduction with CLAS. Rev. Mex. Fis. Suppl. 2022, 3, 0308024. [Google Scholar] [CrossRef]
- Mokeev, V.I.; Carman, D.S. Photo- and Electrocouplings of Nucleon Resonances. Few Body Syst. 2022, 63, 59. [Google Scholar] [CrossRef]
- Chang, L.; Cloet, I.C.; Roberts, C.D.; Schmidt, S.M.; Tandy, P.C. Pion electromagnetic form factor at spacelike momenta. Phys. Rev. Lett. 2013, 111, 141802. [Google Scholar] [CrossRef]
- Raya, K.; Chang, L.; Bashir, A.; Cobos-Martinez, J.J.; Gutiérrez-Guerrero, L.X.; Roberts, C.D.; Tandy, P.C. Structure of the neutral pion and its electromagnetic transition form factor. Phys. Rev. D 2016, 93, 074017. [Google Scholar] [CrossRef]
- Raya, K.; Ding, M.; Bashir, A.; Chang, L.; Roberts, C.D. Partonic structure of neutral pseudoscalars via two photon transition form factors. Phys. Rev. D 2017, 95, 074014. [Google Scholar] [CrossRef]
- Gao, F.; Chang, L.; Liu, Y.X.; Roberts, C.D.; Tandy, P.C. Exposing strangeness: Projections for kaon electromagnetic form factors. Phys. Rev. D 2017, 96, 034024. [Google Scholar] [CrossRef]
- Lepage, G.P.; Brodsky, S.J. Exclusive Processes in Quantum Chromodynamics: Evolution Equations for Hadronic Wave Functions and the Form-Factors of Mesons. Phys. Lett. B 1979, 87, 359–365. [Google Scholar] [CrossRef]
- Efremov, A.V.; Radyushkin, A.V. Factorization and Asymptotical Behavior of Pion Form- Factor in QCD. Phys. Lett. B 1980, 94, 245–250. [Google Scholar] [CrossRef]
- Lepage, G.P.; Brodsky, S.J. Exclusive Processes in Perturbative Quantum Chromodynamics. Phys. Rev. D 1980, 22, 2157–2198. [Google Scholar] [CrossRef]
- Brodsky, S.J.; Schmidt, I.A.; de Teramond, G.F. Nuclear-bound quarkonium. Phys. Rev. Lett. 1990, 64, 1011. [Google Scholar] [CrossRef]
- Tarrús Castellà, J.; Krein, G. Effective field theory for the nucleon-quarkonium interaction. Phys. Rev. D 2018, 98, 014029. [Google Scholar] [CrossRef]
- Luke, M.E.; Manohar, A.V.; Savage, M.J. A QCD Calculation of the interaction of quarkonium with nuclei. Phys. Lett. B 1992, 288, 355–359. [Google Scholar] [CrossRef]
- Kharzeev, D. Quarkonium interactions in QCD. Proc. Int. Sch. Phys. Fermi 1996, 130, 105–131. [Google Scholar]
- Krein, G.; Peixoto, T.C. Femtoscopy of the Origin of the Nucleon Mass. Few Body Syst. 2020, 61, 49. [Google Scholar] [CrossRef]
- Aaij, R.; Adeva, B.; Adinolfi, M.; Affolder, A.; Ajaltouni, Z.; Akar, S.; Albrecht, J.; Alessio, F.; Alexander, M.; Ali, S.; et al. Observation of J/ψp Resonances Consistent with Pentaquark States in →J/ψK−p Decays. Phys. Rev. Lett. 2015, 115, 072001. [Google Scholar] [CrossRef]
- Ali, A.; Amaryan, M.; Anassontzis, E.G.; Austregesilo, A.; Baalouch, M.; Barbosa, F.; Barlow, J.; Barnes, A.; Barriga, E.; Beattie, T.D.; et al. First Measurement of Near-Threshold J/ψ Exclusive Photoproduction off the Proton. Phys. Rev. Lett. 2019, 123, 072001. [Google Scholar] [CrossRef]
- Sakurai, J.J. Theory of strong interactions. Annals Phys. 1960, 11, 1–48. [Google Scholar] [CrossRef]
- Sakurai, J.J. Currents and Mesons; University of Chicago Press: Chicago, IL, USA, 1969. [Google Scholar]
- Fraas, H.; Schildknecht, D. Vector-meson dominance and diffractive electroproduction of vector mesons. Nucl. Phys. B 1969, 14, 543–565. [Google Scholar] [CrossRef]
- Sun, P.; Tong, X.B.; Yuan, F. Near threshold heavy quarkonium photoproduction at large momentum transfer. Phys. Rev. D 2022, 105, 054032. [Google Scholar] [CrossRef]
- Ivanov, M.A.; Kalinovsky, Y.L.; Roberts, C.D. Survey of heavy-meson observables. Phys. Rev. D 1999, 60, 034018. [Google Scholar] [CrossRef]
- Du, M.L.; Baru, V.; Guo, F.K.; Hanhart, C.; Meißner, U.G.; Nefediev, A.; Strakovsky, I. Deciphering the mechanism of near-threshold J/ψ photoproduction. Eur. Phys. J. C 2020, 80, 1053. [Google Scholar] [CrossRef]
- Lee, T.S.H.; Sakinah, S.; Oh, Y. Models of J/Ψ photo-production reactions on the nucleon. arXiv 2022, arXiv:2210.02154. [Google Scholar]
- Eichmann, G.; Fischer, C.S.; Heupel, W.; Santowsky, N.; Wallbott, P.C. Four-quark states from functional methods. Few Body Syst. 2020, 61, 38. [Google Scholar] [CrossRef]
- Pichowsky, M.A.; Lee, T.S.H. Exclusive diffractive processes and the quark substructure of mesons. Phys. Rev. D 1997, 56, 1644–1662. [Google Scholar] [CrossRef]
- Shi, C.; Xie, Y.P.; Li, M.; Chen, X.; Zong, H.S. Light front wave functions and diffractive electroproduction of vector mesons. Phys. Rev. D 2021, 104, L091902. [Google Scholar] [CrossRef]
- Roberts, C.D. Electromagnetic pion form-factor and neutral pion decay width. Nucl. Phys. A 1996, 605, 475–495. [Google Scholar] [CrossRef]
- Miramontes, A.; Bashir, A.; Raya, K.; Roig, P. Pion and Kaon box contribution to . Phys. Rev. D 2022, 105, 074013. [Google Scholar] [CrossRef]
- Rodríguez-Quintero, J. Gravitational form factors of Nambu–Goldstone bosons. In Proceedings of the ECT* Workshop: Revealing Emergent Mass through Studies of Hadron Spectra and Structure, Online, 12–16 September 2022. [Google Scholar]
- Eichmann, G. Nucleon electromagnetic form factors from the covariant Faddeev equation. Phys. Rev. D 2011, 84, 014014. [Google Scholar] [CrossRef]
- Eichmann, G.; Fischer, C.S. Nucleon axial and pseudoscalar form factors from the covariant Faddeev equation. Eur. Phys. J. A 2012, 48, 9. [Google Scholar] [CrossRef]
- Sanchis-Alepuz, H.; Williams, R.; Alkofer, R. Delta and Omega electromagnetic form factors in a three-body covariant Bethe–Salpeter approach. Phys. Rev. D 2013, 87, 095015. [Google Scholar] [CrossRef]
- Mokeev, V.I. Insight into EHM from results on electroexcitation of Δ(1600)3/2+ resonance. In Proceedings of the Workshop on Receiving the Emergence of Hadron Mass through AMBER @ CERN-VII, Geneva, Switzerland, 10–13 May 2022. [Google Scholar]
- Perdrisat, C.F.; Punjabi, V.; Vanderhaeghen, M. Nucleon electromagnetic form factors. Prog. Part. Nucl. Phys. 2007, 59, 694–764. [Google Scholar] [CrossRef]
- Mosel, U. Neutrino Interactions with Nucleons and Nuclei: Importance for Long-Baseline Experiments. Ann. Rev. Nucl. Part. Sci. 2016, 66, 171–195. [Google Scholar] [CrossRef]
- Alvarez-Ruso, L.; Athar, M.S.; Barbaro, M.B.; Cherdack, D.; Christy, M.; Coloma, P.; Donnelly, T.; Dytman, S.; de Gouvêa, A.; Hill, R.; et al. NuSTEC White Paper: Status and challenges of neutrino–nucleus scattering. Prog. Part. Nucl. Phys. 2018, 100, 1–68. [Google Scholar] [CrossRef]
- Hill, R.J.; Kammel, P.; Marciano, W.J.; Sirlin, A. Nucleon Axial Radius and Muonic Hydrogen — A New Analysis and Review. Rept. Prog. Phys. 2018, 81, 096301. [Google Scholar] [CrossRef]
- Gysbers, P.; Hagen, G.; Holt, J.D.; Jansen, G.R.; Morris, T.D.; Navrátil, P.; Papenbrock, T.; Quaglioni, S.; Schwenk, A.; Stroberg, S.R.; et al. Discrepancy between experimental and theoretical β-decay rates resolved from first principles. Nat. Phys. 2019, 15, 428–431. [Google Scholar] [CrossRef]
- Lovato, A.; Carlson, J.; Gandolfi, S.; Rocco, N.; Schiavilla, R. Ab initio study of (νℓ,ℓ−) and (ℓ,ℓ+) inclusive scattering in 12C: Confronting the MiniBooNE and T2K CCQE data. Phys. Rev. X 2020, 10, 031068. [Google Scholar]
- King, G.B.; Andreoli, L.; Pastore, S.; Piarulli, M.; Schiavilla, R.; Wiringa, R.B.; Carlson, J.; Gandolfi, S. Chiral Effective Field Theory Calculations of Weak Transitions in Light Nuclei. Phys. Rev. C 2020, 102, 025501. [Google Scholar] [CrossRef]
- Simons, D.; Steinberg, N.; Lovato, A.; Meurice, Y.; Rocco, N.; Wagman, M. Form factor and model dependence in neutrino-nucleus cross section predictions. arXiv 2022, arXiv:2210.02455. [Google Scholar]
- Oettel, M.; Pichowsky, M.; von Smekal, L. Current conservation in the covariant quark–diquark model of the nucleon. Eur. Phys. J. A 2000, 8, 251–281. [Google Scholar] [CrossRef]
- Meyer, A.S.; Betancourt, M.; Gran, R.; Hill, R.J. Deuterium target data for precision neutrino-nucleus cross sections. Phys. Rev. D 2016, 93, 113015. [Google Scholar] [CrossRef]
- Jang, Y.C.; Gupta, R.; Yoon, B.; Bhattacharya, T. Axial Vector Form Factors from Lattice QCD that Satisfy the PCAC Relation. Phys. Rev. Lett. 2020, 124, 072002. [Google Scholar] [CrossRef]
- Andreev, V.A.; Banks, T.I.; Carey, R.M.; Case, T.A.; Clayton, S.M.; Crowe, K.M.; Deutsch, J.; Egger, J.; Freedman, S.J.; Ganzha, V.A.; et al. Measurement of Muon Capture on the Proton to 1% Precision and Determination of the Pseudoscalar Coupling gP. Phys. Rev. Lett. 2013, 110, 012504. [Google Scholar] [CrossRef]
- Andreev, V.A.; Banks, T.I.; Carey, R.M.; Case, T.A.; Clayton, S.M.; Crowe, K.M.; Deutsch, J.; Egger, J.; Freedman, S.J.; Ganzha, V.A.; et al. Measurement of the Formation Rate of Muonic Hydrogen Molecules. Phys. Rev. C 2015, 91, 055502. [Google Scholar] [CrossRef]
- Bernard, V.; Elouadrhiri, L.; Meissner, U.G. Axial structure of the nucleon: Topical Review. J. Phys. G 2002, 28, R1–R35. [Google Scholar] [CrossRef]
- Baru, V.; Hanhart, C.; Hoferichter, M.; Kubis, B.; Nogga, A.; Phillips, D.R. Precision calculation of threshold π−d scattering, πN scattering lengths, and the GMO sum rule. Nucl. Phys. A 2011, 872, 69–116. [Google Scholar] [CrossRef]
- Navarro Pérez, R.; Amaro, J.E.; Ruiz Arriola, E. Precise Determination of Charge Dependent Pion-Nucleon-Nucleon Coupling Constants. Phys. Rev. C 2017, 95, 064001. [Google Scholar] [CrossRef]
- Reinert, P.; Krebs, H.; Epelbaum, E. Precision determination of pion–nucleon coupling constants using effective field theory. Phys. Rev. Lett. 2021, 126, 092501. [Google Scholar] [CrossRef]
- Bloch, J.C.R.; Roberts, C.D.; Schmidt, S.M. Selected nucleon form-factors and a composite scalar diquark. Phys. Rev. C 2000, 61, 065207. [Google Scholar] [CrossRef]
- Cheng, P.; Serna, F.E.; Yao, Z.Q.; Chen, C.; Cui, Z.F.; Roberts, C.D. Contact interaction analysis of octet baryon axial-vector and pseudoscalar form factors. Phys. Rev. D 2022, 106, 054031. [Google Scholar] [CrossRef]
- Haidenbauer, J.; Meissner, U.G. The Julich hyperon-nucleon model revisited. Phys. Rev. C 2005, 72, 044005. [Google Scholar] [CrossRef]
- Rijken, T.A.; Nagels, M.M.; Yamamoto, Y. Baryon-baryon interactions: Nijmegen extended-soft-core models. Prog. Theor. Phys. Suppl. 2010, 185, 14–71. [Google Scholar] [CrossRef]
- Chang, L.; Roberts, C.D.; Schmidt, S.M. Dressed-quarks and the nucleon’s axial charge. Phys. Rev. C 2013, 87, 015203. [Google Scholar] [CrossRef]
- Cabibbo, N.; Swallow, E.C.; Winston, R. Semileptonic hyperon decays. Ann. Rev. Nucl. Part. Sci. 2003, 53, 39–75. [Google Scholar] [CrossRef]
- Ledwig, T.; Martin Camalich, J.; Geng, L.S.; Vicente Vacas, M.J. Octet-baryon axial-vector charges and SU(3)-breaking effects in the semileptonic hyperon decays. Phys. Rev. D 2014, 90, 054502. [Google Scholar] [CrossRef]
- Aidala, C.A.; Bass, S.D.; Hasch, D.; Mallot, G.K. The Spin Structure of the Nucleon. Rev. Mod. Phys. 2013, 85, 655–691. [Google Scholar] [CrossRef]
- Deur, A.; Brodsky, S.J.; De Téramond, G.F. The Spin Structure of the Nucleon. Rept. Prog. Phys. 2019, 82, 655. [Google Scholar] [CrossRef]
- Del Guerra, A.; Giazotto, A.; Giorgi, M.A.; Stefanini, A.; Botterill, D.R.; Montgomery, H.E.; Norton, P.R.; Matone, G. Threshold π+ electroproduction at high momentum transfer: A determination of the nucleon axial vector form-factor. Nucl. Phys. B 1976, 107, 65–81. [Google Scholar] [CrossRef]
- Park, K.; Gothe, R.W.; Adhikari, K.P.; Adikaram, D.; Anghinolfi, M.; Baghdasaryan, H.; Ball, J.; Battaglieri, M.; Batourine, V.; Bedlinskiy, I.; et al. Measurement of the generalized form factors near threshold via γ*p→nπ+ at high Q2. Phys. Rev. C 2012, 85, 035208. [Google Scholar] [CrossRef]
- Cui, Z.F.; Chen, C.; Binosi, D.; de Soto, F.; Roberts, C.D.; Rodríguez-Quintero, J.; Schmidt, S.M.; Segovia, J. Nucleon elastic form factors at accessible large spacelike momenta. Phys. Rev. D 2020, 102, 014043. [Google Scholar] [CrossRef]
- Xing, H.Y.; Xu, Z.N.; Cui, Z.F.; Roberts, C.D.; Xu, C. Heavy + heavy and heavy + light pseudoscalar to vector semileptonic transitions. Eur. Phys. J. C 2022, 82, 889. [Google Scholar] [CrossRef]
- Isgur, N.; Wise, M.B. Weak Transition Form Factors between Heavy Mesons. Phys. Lett. B 1990, 237, 527–530. [Google Scholar] [CrossRef]
- Amhis, Y.; Banerjee, S.; Ben-Haim, E.; Bernlochner, F.U.; Bona, M.; Bozek, A.; Bozzi, C.; Brodzicka, J.; Chrzaszcz, M.; Dingfelder, J.; et al. Averages of b-hadron, c-hadron, and τ-lepton properties as of 2018. Eur. Phys. J. C 2021, 81, 226. [Google Scholar]
- Glattauer, R. Measurement of the decay B→Dℓνℓ in fully reconstructed events and determination of the Cabibbo–Kobayashi–Maskawa matrix element |Vcb|. Phys. Rev. D 2016, 93, 032006. [Google Scholar] [CrossRef]
- Ablikim, M.; Achasov, M.N.; Ahmed, S.; Albrecht, M.; Alekseev, M.; Amoroso, A.; An, F.F.; An, Q.; Bai, Y.; Bakina, O.; et al. First Measurement of the Form Factors in →K0e+νe and →K*0e+νe Decays. Phys. Rev. Lett. 2019, 122, 061801. [Google Scholar] [CrossRef]
- LHCb Collaboration; Alfonso Albero, A.; Badalov, A.; Camboni, A.; Coquereau, S.; Fernandez, G.; Garrido Beltrán, L. Measurement of the ratio of branching fractions B(→J/ψτ+ντ)/B(→J/ψμ+νμ). Phys. Rev. Lett. 2018, 120, 121801. [Google Scholar]
- Tran, C.T.; Ivanov, M.A.; Körner, J.G.; Santorelli, P. Implications of new physics in the decays Bc→(J/ψ,ηc)τν. Phys. Rev. D 2018, 97, 054014. [Google Scholar] [CrossRef]
- Issadykov, A.; Ivanov, M.A. The decays Bc→J/ψ+νℓ and Bc→J/ψ+π(K) in covariant confined quark model. Phys. Lett. B 2018, 783, 178–182. [Google Scholar] [CrossRef]
- Wang, W.; Zhu, R. Model independent investigation of the RJ/ψ,ηc and ratios of decay widths of semileptonic Bc decays into a P-wave charmonium. Int. J. Mod. Phys. A 2019, 34, 1950195. [Google Scholar] [CrossRef]
- Leljak, D.; Melic, B.; Patra, M. On lepton flavour universality in semileptonic Bc→ηc,J/ψ decays. J. High Energy Phys. 2019, 5, 094. [Google Scholar] [CrossRef]
- Hu, X.Q.; Jin, S.P.; Xiao, Z.J. Semileptonic decays Bc→(ηc,J/ψ)ll in the “PQCD + Lattice” approach. Chin. Phys. C 2020, 44, 023104. [Google Scholar] [CrossRef]
- Zhou, T.; Wang, T.; Jiang, Y.; Tan, X.Z.; Li, G.; Wang, G.L. Relativistic calculations of R(D(*)), R(), R(ηc) and R(J/ψ). Int. J. Mod. Phys. A 2020, 35, 2050076. [Google Scholar] [CrossRef]
- Harrison, J.; Davies, C.T.H.; Lytle, A. R(J/ψ) and Bc-→J/ψℓ−ℓ Lepton Flavor Universality Violating Observables from Lattice QCD. Phys. Rev. Lett. 2020, 125, 222003. [Google Scholar] [CrossRef] [PubMed]
- Harrison, J.; Davies, C.T.H.; Lytle, A. Bc→J/ψ form factors for the full q2 range from lattice QCD. Phys. Rev. D 2020, 102, 094518. [Google Scholar] [CrossRef]
- Widhalm, L.; Abe, K.; Abe, K.; Adachi, I.; Aihara, H.; Arinstein, K.; Asano, Y.; Aushev, T.; Bakich, A.M.; Balagura, V.; et al. Measurement of D0→πlν(Klν) Form Factors and Absolute Branching Fractions. Phys. Rev. Lett. 2006, 97, 061804. [Google Scholar] [CrossRef] [PubMed]
- Besson, D.; Pedlar, T.K.; Xavier, J.; Cronin-Hennessy, D.; Gao, K.Y.; Hietala, J.; Kubota, Y.; Klein, T.; Poling, R.; Scott, A.W.; et al. Improved measurements of D meson semileptonic decays to π and K mesons. Phys. Rev. D 2009, 80, 032005. [Google Scholar] [CrossRef]
- Ablikim, M.; Achasov, M.N.; Ahmed, S.; Albrecht, M.; Alekseev, M.; Amoroso, A.; An, F.F.; An, Q.; Bai, J.Z.; Bai, Y.; et al. Study of Dynamics of D0→K−e+νe and D0→π−e+νe Decays. Phys. Rev. D 2015, 92, 072012. [Google Scholar] [CrossRef]
- Ablikim, M.; Achasov, M.N.; Ahmed, S.; Ai, X.C.; Albayrak, O.; Albrecht, M.; Ambrose, D.J.; Amoroso, A.; An, F.F.; An, Q.; et al. Analysis of D+→0e+νe and D+→π0e+νe semileptonic decays. Phys. Rev. D 2017, 96, 012002. [Google Scholar] [CrossRef]
- Lubicz, V.; Riggio, L.; Salerno, G.; Simula, S.; Tarantino, C. Scalar and vector form factors of D→π(K)ℓν decays with Nf=2+1+1 twisted fermions. Phys. Rev. D 2017, 96, 054514, Erratum: Phys. Rev. D 2019, 99, 099902. [Google Scholar] [CrossRef]
- Del Amo Sanchez, P.; Lees, J.P.; Poireau, V.; Prencipe, E.; Tisserand, V.; Garra Tico, J.; Grauges, E.; Martinelli, M.; Palano, A.; Pappagallo, M.; et al. Study of B→πℓν and B→ρℓν Decays and Determination of |Vub|. Phys. Rev. D 2011, 83, 032007. [Google Scholar] [CrossRef]
- Ha, H.; Won, E.; Adachi, I.; Aihara, H.; Aziz, T.; Bakich, A.M.; Balagura, V.; Barberio, E.; Bay, A.; Belous, K.; et al. Measurement of the decay B0→π−ℓ+ν and determination of |Vub|. Phys. Rev. D 2011, 83, 071101. [Google Scholar] [CrossRef]
- Lees, J.P.; Poireau, V.; Tisserand, V.; Garra Tico, J.; Grauges, E.; Palano, A.; Eigen, G.; Stugu, B.; Brown, D.N.; Kerth, L.T.; et al. Branching fraction and form-factor shape measurements of exclusive charmless semileptonic B decays, and determination of |Vub|. Phys. Rev. D 2012, 86, 092004. [Google Scholar] [CrossRef]
- Sibidanov, A.; Varvell, K.E.; Adachi, I.; Aihara, H.; Asner, D.M.; Aulchenko, V.; Aushev, T.; Bakich, A.M.; Bala, A.; Bozek, A.; et al. Study of Exclusive B→Xuℓν Decays and Extraction of ‖Vub‖ using Full Reconstruction Tagging at the Belle Experiment. Phys. Rev. D 2013, 88, 032005. [Google Scholar] [CrossRef]
- Bouchard, C.M.; Lepage, G.P.; Monahan, C.; Na, H.; Shigemitsu, J. Bs→Kℓν form factors from lattice QCD. Phys. Rev. D 2014, 90, 054506. [Google Scholar] [CrossRef]
- Flynn, J.M.; Izubuchi, T.; Kawanai, T.; Lehner, C.; Soni, A.; Van de Water, R.S.; Witzel, O. B→πℓν and Bs→Kℓν form factors and |Vub| from 2+1-flavor lattice QCD with domain wall light quarks and relativistic heavy quarks. Phys. Rev. D 2015, 91, 074510. [Google Scholar] [CrossRef]
- Aaij, R.; Abellán Beteta, C.; Ackernley, T.; Adeva, B.; Adinolfi, M.; Afsharnia, H.; Aidala, C.A.; Aiola, S.; Ajaltouni, Z.; Akar, S.; et al. First observation of the decay →K−μ+νμ and Measurement of |Vub|/|Vcb|. Phys. Rev. Lett. 2021, 126, 081804. [Google Scholar] [CrossRef]
- Bazavov, A.; Bernard, C.; DeTar, C.; Du, D.; El-Khadra, A.X.; Freeland, E.D.; Gámiz, E.; Gelzer, Z.; Gottlieb, S.; Heller, U.M.; et al. Bs→Kℓν decay from lattice QCD. Phys. Rev. D 2019, 100, 034501. [Google Scholar] [CrossRef]
- Wu, Y.L.; Zhong, M.; Zuo, Y.B. B(s),D(s)→π,K,η,ρ,K*,ω,ϕ Transition Form Factors and Decay Rates with Extraction of the CKM parameters |Vub|, |Vcs|, |Vcd|. Int. J. Mod. Phys. A 2006, 21, 6125–6172. [Google Scholar] [CrossRef]
- Faustov, R.N.; Galkin, V.O. Charmless weak Bs decays in the relativistic quark model. Phys. Rev. D 2013, 87, 094028. [Google Scholar] [CrossRef]
- Xiao, Z.J.; Fan, Y.Y.; Wang, W.F.; Cheng, S. The semileptonic decays of B/Bs meson in the perturbative QCD approach: A short review. Chin. Sci. Bull. 2014, 59, 3787–3800. [Google Scholar] [CrossRef]
- Gonzàlez-Solís, S.; Masjuan, P.; Rojas, C. Padé approximants to B→πℓνℓ and Bs→Kℓνℓ and determination of |Vub|. arXiv 2021, arXiv:2110.06153. [Google Scholar] [CrossRef]
- Melikhov, D. Dispersion approach to quark binding effects in weak decays of heavy mesons. Eur. Phys. J. Direct C 2002, 4, 1–154. [Google Scholar] [CrossRef]
- Faessler, A.; Gutsche, T.; Ivanov, M.A.; Korner, J.; Lyubovitskij, V.E. The Exclusive rare decays B→ K(K*) ℓ and Bc→ D(D*) ℓ in a relativistic quark model. Eur. Phys. J. Direct C 2002, 4, 18. [Google Scholar]
- Ebert, D.; Faustov, R.N.; Galkin, V.O. Weak decays of the Bc meson to Bs and B mesons in the relativistic quark model. Eur. Phys. J. C 2003, 32, 29–43. [Google Scholar] [CrossRef]
- Ball, P.; Zwicky, R. New results on B→π,K,η decay form factors from light-cone sum rules. Phys. Rev. D 2005, 71, 014015. [Google Scholar] [CrossRef]
- Khodjamirian, A.; Mannel, T.; Offen, N. Form-factors from light-cone sum rules with B-meson distribution amplitudes. Phys. Rev. D 2007, 75, 054013. [Google Scholar] [CrossRef]
- Lü, C.D.; Wang, W.; Wei, Z.T. Heavy-to-light form factors on the light cone. Phys. Rev. D 2007, 76, 014013. [Google Scholar] [CrossRef]
- Ivanov, M.A.; Körner, J.G.; Kovalenko, S.G.; Roberts, C.D. B- to light-meson transition form factors. Phys. Rev. D 2007, 76, 034018. [Google Scholar] [CrossRef]
- El-Bennich, B.; Ivanov, M.A.; Roberts, C.D. Strong D* -> D+pi and B* -> B+pi couplings. Phys. Rev. C 2011, 83, 025205. [Google Scholar] [CrossRef]
- Ji, C.R.; Maris, P. Kℓ3 transition form-factors. Phys. Rev. 2001, D64, 014032. [Google Scholar]
- Chen, C.; Chang, L.; Roberts, C.D.; Wan, S.L.; Schmidt, S.M.; Wilson, D.J. Features and flaws of a contact interaction treatment of the kaon. Phys. Rev. C 2013, 87, 045207. [Google Scholar] [CrossRef]
- Holt, R.J.; Roberts, C.D. Distribution Functions of the Nucleon and Pion in the Valence Region. Rev. Mod. Phys. 2010, 82, 2991–3044. [Google Scholar] [CrossRef]
- Taylor, R.E. Deep inelastic scattering: The Early years. Rev. Mod. Phys. 1991, 63, 573–595. [Google Scholar] [CrossRef]
- Kendall, H.W. Deep inelastic scattering: Experiments on the proton and the observation of scaling. Rev. Mod. Phys. 1991, 63, 597–614. [Google Scholar] [CrossRef]
- Friedman, J.I. Deep inelastic scattering: Comparisons with the quark model. Rev. Mod. Phys. 1991, 63, 615–629. [Google Scholar] [CrossRef]
- Friedman, J.I.; Kendall, H.W.; Taylor, R.E. Deep inelastic scattering: Acknowledgements. Rev. Mod. Phys. 1991, 63, 629. [Google Scholar] [CrossRef]
- Brodsky, S.J.; Burkardt, M.; Schmidt, I. Perturbative QCD constraints on the shape of polarized quark and gluon distributions. Nucl. Phys. B 1995, 441, 197–214. [Google Scholar] [CrossRef]
- Yuan, F. Generalized parton distributions at x→1. Phys. Rev. D 2004, 69, 051501. [Google Scholar] [CrossRef]
- Dokshitzer, Y.L. Calculation of the Structure Functions for Deep Inelastic Scattering and e+ e- Annihilation by Perturbation Theory in Quantum Chromodynamics. Sov. Phys. JETP 1977, 46, 641–653. (In Russian) [Google Scholar]
- Lipatov, L.N. The parton model and perturbation theory. Sov. J. Nucl. Phys. 1975, 20, 94–102. [Google Scholar]
- Altarelli, G.; Parisi, G. Asymptotic Freedom in Parton Language. Nucl. Phys. B 1977, 126, 298–318. [Google Scholar] [CrossRef]
- Aicher, M.; Schäfer, A.; Vogelsang, W. Soft-Gluon Resummation and the Valence Parton Distribution Function of the Pion. Phys. Rev. Lett. 2010, 105, 252003. [Google Scholar] [CrossRef] [PubMed]
- Ball, R.D.; Nocera, E.R.; Rojo, J. The asymptotic behaviour of parton distributions at small and large x. Eur. Phys. J. C 2016, 76, 383. [Google Scholar] [CrossRef] [PubMed]
- Hou, T.-J.; Gao, J.; Hobbs, T.J.; Xie, K.; Dulat, S.; Guzzi, M.; Huston, J.; Nadolsky, P.; Pumplin, J.; Schmidt, C.; et al. New CTEQ global analysis of quantum chromodynamics with high-precision data from the LHC. Phys. Rev. D 2021, 103, 014013. [Google Scholar] [CrossRef]
- Bailey, S.; Cridge, T.; Harland-Lang, L.A.; Martin, A.D.; Thorne, R.S. Parton distributions from LHC, HERA, Tevatron and fixed target data: MSHT20 PDFs. Eur. Phys. J. C 2021, 81, 341. [Google Scholar] [CrossRef]
- Novikov, I.; Abdolmaleki, H.; Britzger, D.; Cooper-Sarkar, A.; Giuli, F.; Glazov, A.; Kusina, A.; Luszczak, A.; Olness, F.; Starovoitov, P.; et al. Parton Distribution Functions of the Charged Pion Within The xFitter Framework. Phys. Rev. D 2020, 102, 014040. [Google Scholar] [CrossRef]
- Barry, P.C.; Ji, C.R.; Sato, N.; Melnitchouk, W. Global QCD Analysis of Pion Parton Distributions with Threshold Resummation. Phys. Rev. Lett. 2021, 127, 232001. [Google Scholar] [CrossRef]
- Chang, L.; Cloet, I.C.; Cobos-Martinez, J.J.; Roberts, C.D.; Schmidt, S.M.; Tandy, P.C. Imaging dynamical chiral symmetry breaking: Pion wave function on the light front. Phys. Rev. Lett. 2013, 110, 132001. [Google Scholar] [CrossRef]
- Lee, T.D.; Yang, C.N. Charge Conjugation, a New Quantum Number G, and Selection Rules Concerning a Nucleon Anti-nucleon System. Nuovo Cim. 1956, 10, 749–753. [Google Scholar] [CrossRef]
- Gao, F.; Chang, L.; Liu, Y.X.; Roberts, C.D.; Schmidt, S.M. Parton distribution amplitudes of light vector mesons. Phys. Rev. D 2014, 90, 014011. [Google Scholar] [CrossRef]
- Lu, Y.; Binosi, D.; Ding, M.; Roberts, C.D.; Xing, H.Y.; Xu, C. Distribution amplitudes of light diquarks. Eur. Phys. J A (Lett) 2021, 57, 115. [Google Scholar] [CrossRef]
- Alexandrou, C.; Constantinou, M.; Drach, V.; Hatziyiannakou, K.; Jansen, K.; Kallidonis, C.; Koutsou, G.; Leontiou, T.; Vaquero, A. Nucleon Structure using lattice QCD. Nuovo Cim. C 2013, 036, 111–120. [Google Scholar]
- Lin, H.W.; Chen, J.W.; Zhang, R. Lattice Nucleon Isovector Unpolarized Parton Distribution in the Physical-Continuum Limit. arXiv 2020, arXiv:2011.14971. [Google Scholar]
- Alexandrou, C.; Constantinou, M.; Hadjiyiannakou, K.; Jansen, K.; Manigrasso, F. Flavor decomposition of the nucleon unpolarized, helicity, and transversity parton distribution functions from lattice QCD simulations. Phys. Rev. D 2021, 104, 054503. [Google Scholar] [CrossRef]
- Ji, X.; Liu, Y.S.; Liu, Y.; Zhang, J.H.; Zhao, Y. Large-momentum effective theory. Rev. Mod. Phys. 2021, 93, 035005. [Google Scholar] [CrossRef]
- Xu, S.S.; Chang, L.; Roberts, C.D.; Zong, H.S. Pion and kaon valence quark parton quasidistributions. Phys. Rev. D 2018, 97, 094014. [Google Scholar] [CrossRef]
- Field, R.D.; Feynman, R.P. Quark Elastic Scattering as a Source of High Transverse Momentum Mesons. Phys. Rev. D 1977, 15, 2590–2616. [Google Scholar] [CrossRef]
- Fan, Z.; Lin, H.W. Gluon parton distribution of the pion from lattice QCD. Phys. Lett. B 2021, 823, 136778. [Google Scholar] [CrossRef]
- Accardi, A.; Brady, L.T.; Melnitchouk, W.; Owens, J.F.; Sato, N. Constraints on large-x parton distributions from new weak boson production and deep-inelastic scattering data. Phys. Rev. D 2016, 93, 114017. [Google Scholar] [CrossRef]
- Ball, R.D.; Bertone, V.; Carrazza, S.; Del Debbio, L.; Forte, S.; Groth-Merrild, P.; Guffanti, A.; Hartland, N.P.; Kassabov, Z.; Latorre, J.I.; et al. Parton distributions from high-precision collider data. Eur. Phys. J. C 2017, 77, 663. [Google Scholar] [CrossRef] [PubMed]
- Courtoy, A.; Nadolsky, P.M. Testing momentum dependence of the nonperturbative hadron structure in a global QCD analysis. Phys. Rev. D 2021, 103, 054029. [Google Scholar] [CrossRef]
- Gottfried, K. Sum rule for high-energy electron - proton scattering. Phys. Rev. Lett. 1967, 18, 1174. [Google Scholar] [CrossRef]
- Brock, R.; Collins, J.C.; Huston, J.; Kuhlmann, S.; Mishra, S.; Morfin, J.G.; Olness, F.I.; Owens, J.F.; Pumplin, J.; Qiu, J.-W.; et al. Handbook of perturbative QCD: Version 1.0. Rev. Mod. Phys. 1995, 67, 157–248. [Google Scholar]
- Amaudruz, P.; Arneodo, M.; Arvidson, A.; Badelek, B.; Baum, G.; Beaufays, J.; Bird, I.G.; Botje, M.; Broggini, C.; Bruckner, W.; et al. The Gottfried sum from the ratio /. Phys. Rev. Lett. 1991, 66, 2712–2715. [Google Scholar] [CrossRef]
- Arneodo, M.; Arvidson, A.; Badelek, B.; Ballintijn@f, M.; Baum@f, G.; Beaufays, J.; Bird, I.G.; Björkholm, P.; Botje, M.; Broggini, C.; et al. A Reevaluation of the Gottfried sum. Phys. Rev. D 1994, 50, R1–R3. [Google Scholar] [CrossRef]
- Baldit, A.; Barrière, C.; Castor, J.; Chambon, T.; Devaux, A.; Espagnon, B.; Fargeix, J.; Force, P.; Landaud, G.; Saturnini, P.; et al. Study of the isospin symmetry breaking in the light quark sea of the nucleon from the Drell-Yan process. Phys. Lett. B 1994, 332, 244–250. [Google Scholar] [CrossRef]
- Towell, R.S.; McGaughey, P.L.; Awes, T.C.; Beddo, M.E.; Brooks, M.L.; Geesaman, D.F.; Kaufman, S.B.; Makins, N.; Mueller, B.A.; Reimer, P.E.; et al. Improved measurement of the / asymmetry in the nucleon sea. Phys. Rev. D 2001, 64, 052002. [Google Scholar] [CrossRef]
- Dove, J.; Kerns, B.; McClellan, R.E.; Miyasaka, S.; Morton, D.H.; Nagai, K.; Prasad, S.; Sanftl, F.; Scott, M.B.C.; Tadepalli, A.S.; et al. The asymmetry of antimatter in the proton. Nature 2021, 590, 561–565. [Google Scholar] [CrossRef]
- Tkachenko, S.; Baillie, N.; Kuhn, S.E.; Zhang, J.; Arrington, J.; Bosted, P.; Bültmann, S.; Christy, M.E.; Dutta, D.; Ent, R.; et al. Measurement of the structure function of the nearly free neutron using spectator tagging in inelastic 2H(e, e’p)X scattering with CLAS. Phys. Rev. C 2014, 89, 045206, Addendum: Phys. Rev. C 2014, 90, 059901. [Google Scholar] [CrossRef]
- Abrams, D.; Albataineh, H.; Aljawrneh, B.S.; Alsalmi, S.; Aniol, K.; Armstrong, W.; Arrington, J.; Atac, H.; Averett, T.; Ayerbe Gayoso, C.; et al. Measurement of the Nucleon / Structure Function Ratio by the Jefferson Lab MARATHON Tritium/Helium-3 Deep Inelastic Scattering Experiment. Phys. Rev. Lett. 2022, 128, 132003. [Google Scholar] [CrossRef]
- Farrar, G.R.; Jackson, D.R. Pion and Nucleon Structure Functions Near x=1. Phys. Rev. Lett. 1975, 35, 1416. [Google Scholar] [CrossRef]
- Brodsky, S.J.; Lepage, G.P. Perturbative Quantum Chromodynamics. Prog. Math. Phys. 1979, 4, 255–422. [Google Scholar]
- Roberts, C.D.; Holt, R.J.; Schmidt, S.M. Nucleon spin structure at very high x. Phys. Lett. B 2013, 727, 249–254. [Google Scholar] [CrossRef]
- Close, F.E.; Thomas, A.W. The Spin and Flavor Dependence of Parton Distribution Functions. Phys. Lett. B 1988, 212, 227. [Google Scholar] [CrossRef]
- Xu, S.S.; Chen, C.; Cloet, I.C.; Roberts, C.D.; Segovia, J.; Zong, H.S. Contact-interaction Faddeev equation and, inter alia, proton tensor charges. Phys. Rev. D 2015, 92, 114034. [Google Scholar] [CrossRef]
- Bodek, A.; Breidenbach, M.; Dubin, D.L.; Elias, J.E.; Friedman, J.I.; Kendall, H.W.; Poucher, J.S.; Riordan, E.M.; Sogard, M.R.; Coward, D.H. Comparisons of Deep Inelastic ep and en Cross-Sections. Phys. Rev. Lett. 1973, 30, 1087. [Google Scholar] [CrossRef]
- Poucher, J.S.; Breidenbach, M.; Ditzler, R.; Friedman, J.I.; Kendall, H.W.; Bloom, E.D.; Taylor, R.E. High-Energy Single-Arm Inelastic ep and ed Scattering at 6-Degrees and 10-Degrees. Phys. Rev. Lett. 1974, 32, 118. [Google Scholar] [CrossRef]
- Whitlow, L.W.; Riordan, E.M.; Dasu, S.; Rock, S.; Bodek, A. Precise measurements of the proton and deuteron structure functions from a global analysis of the SLAC deep inelastic electron scattering cross-sections. Phys. Lett. B 1992, 282, 475–482. [Google Scholar] [CrossRef]
- Afnan, I.R.; Bissey, F.R.P.; Gomez, J.; Katramatou, A.T.; Melnitchouk, W.; Petratos, G.G.; Thomas, A.W. Neutron structure function and A = 3 mirror nuclei. Phys. Lett. B 2000, 493, 36–42. [Google Scholar] [CrossRef]
- Pace, E.; Salme, G.; Scopetta, S.; Kievsky, A. Neutron structure function (x) from deep inelastic electron scattering off few nucleon systems. Phys. Rev. C 2001, 64, 055203. [Google Scholar] [CrossRef]
- Segarra, E.; Schmidt, A.; Kutz, T.; Higinbotham, D.; Piasetzky, E.; Strikman, M.; Weinstein, L.; Hen, O. Neutron Valence Structure from Nuclear Deep Inelastic Scattering. Phys. Rev. Lett. 2020, 124, 092002. [Google Scholar] [CrossRef]
- Nachtmann, O. Positivity constraints for anomalous dimensions. Nucl. Phys. B 1973, 63, 237–247. [Google Scholar] [CrossRef]
- Cui, Z.F.; Gao, F.; Binosi, D.; Chang, L.; Roberts, C.D.; Schmidt, S.M. Valence quark ratio in the proton. Chin. Phys. Lett. Express 2022, 39, 041401. [Google Scholar] [CrossRef]
- Anselmino, M.; Predazzi, E.; Ekelin, S.; Fredriksson, S.; Lichtenberg, D.B. Diquarks. Rev. Mod. Phys. 1993, 65, 1199–1234. [Google Scholar] [CrossRef]
- Pace, E.; Rinaldi, M.; Salmè, G.; Scopetta, S. The European Muon Collaboration effect in Light-Front Hamiltonian Dynamics. arXiv 2022, arXiv:2206.05485. [Google Scholar]
- Joó, B.; Karpie, J.; Orginos, K.; Radyushkin, A.V.; Richards, D.G.; Sufian, R.S.; Zafeiropoulos, S. Pion valence structure from Ioffe-time parton pseudodistribution functions. Phys. Rev. D 2019, 100, 114512. [Google Scholar] [CrossRef]
- Alexandrou, C.; Bacchio, S.; Cloet, I.; Constantinou, M.; Hadjiyiannakou, K.; Koutsou, G.; Lauer, C. Pion and kaon 〈x3〉 from lattice QCD and PDF reconstruction from Mellin moments. Phys. Rev. D 2021, 104, 054504. [Google Scholar] [CrossRef]
- Brodsky, S.J.; Hoyer, P.; Peterson, C.; Sakai, N. The Intrinsic Charm of the Proton. Phys. Lett. B 1980, 93, 451–455. [Google Scholar] [CrossRef]
- Ball, R.D.; Candido, A.; Cruz-Martinez, J.; Forte, S.; Giani, T.; Hekhorn, F.; Kudashkin, K.; Magni, G.; Rojo, J. Evidence for intrinsic charm quarks in the proton. Nature 2022, 608, 483–487. [Google Scholar]


























| Mass Fraction (%) | |||
|---|---|---|---|
| Hadron (Mass/GeV) | HB | EHM+HB | EHM |
|
|---|
| 0 | ≈0 | ||||||
| 0 | 0 | ≈0 |
| References [206,207] | PDG [40] or Other, If Indicated | |||||
|---|---|---|---|---|---|---|
| ratio | ratio | |||||
| [370] | ||||||
| ratio | ratio | |||||
Disclaimer/Publisher’s Note: The statements, opinions and data contained in all publications are solely those of the individual author(s) and contributor(s) and not of MDPI and/or the editor(s). MDPI and/or the editor(s) disclaim responsibility for any injury to people or property resulting from any ideas, methods, instructions or products referred to in the content. |
© 2023 by the authors. Licensee MDPI, Basel, Switzerland. This article is an open access article distributed under the terms and conditions of the Creative Commons Attribution (CC BY) license (https://creativecommons.org/licenses/by/4.0/).
Share and Cite
Ding, M.; Roberts, C.D.; Schmidt, S.M. Emergence of Hadron Mass and Structure. Particles 2023, 6, 57-120. https://doi.org/10.3390/particles6010004
Ding M, Roberts CD, Schmidt SM. Emergence of Hadron Mass and Structure. Particles. 2023; 6(1):57-120. https://doi.org/10.3390/particles6010004
Chicago/Turabian StyleDing, Minghui, Craig D. Roberts, and Sebastian M. Schmidt. 2023. "Emergence of Hadron Mass and Structure" Particles 6, no. 1: 57-120. https://doi.org/10.3390/particles6010004
APA StyleDing, M., Roberts, C. D., & Schmidt, S. M. (2023). Emergence of Hadron Mass and Structure. Particles, 6(1), 57-120. https://doi.org/10.3390/particles6010004
