Abstract
The vibration control in structural design has long been a critical area of study, particularly in mitigating undesirable resonant vibrations using dynamic vibration absorbers (DVAs). Traditional approaches to tuning DVAs have relied on complex mathematical models based on Newtonian or Euler–Lagrange equations, often leading to intricate systems requiring simplification of the analysis of multi-degree-of-freedom structures. This paper introduces a novel modeling approach for analyzing DVAs based on the concept of global admittance, which stems from mechanical admittance and network simplifications. This model streamlines the representation of structures with DVAs as one-degree-of-freedom systems coupled with a global admittance function, which emulates additional damping coupled to the primary structure. In this work, global admittance functions are determined by the independent analysis of the mechanical networks of the DVA, restructuring the process of obtaining the system’s transfer function. The model was validated using different classical DVA configurations, demonstrating total accuracy in its applicability across designs concerning conventional modeling. Our most remarkable finding was that the dimensionless function, , resulting from the global admittance, partially decouples the dynamics of the DVAs from the primary structure, facilitating the implementation of passive vibration control strategies in more realistic structural models. Additionally, this work establishes a significant advancement in vibration control analysis, providing a flexible tool for control strategies in real-world structural systems.
1. Introduction
Vibration analysis is a fundamental approach to mechanical system design. It focuses on assembling mechanical control systems in the primary structure to minimize internal, external, or combined undesirable vibratory movements, typically characterized by their magnitude and frequency. These vibratory movements are particularly critical when their frequency value is aligned with the structure’s natural frequency, which is its occurring resonance effect that amplifies vibrations throughout the structure, potentially causing irreversible damage or even leading to structural failure. A famous historical example of this singularity is the collapse of the Tacoma Narrows Bridge in 1940, which was triggered by wind-induced vortices. Therefore, civil and mechanical engineering research has developed innovative damping systems to decrease and control structure vibrations. These vibration control systems can be classified into four categories: passive, active, semi-active, and hybrid control systems [1]. Among these, passive vibration control systems are particularly notable for their simplicity because they are traditionally formed by inertial, elastic, and damping elements that are usually preferred for their reliability and ease of maintenance [2]. On the contrary, active and semi-active systems use sensors and actuators to adjust the damping properties dynamically, offering greater adaptability to changing conditions but becoming complex in their implementation and high maintenance costs for large structures.
In the context of passive control, dynamic vibration absorbers (DVAs) have gained relevance [3]. These devices add a secondary structure to the system, typically comprising mechanical elements such as springs, dampers, and masses. Initially proposed by Frahm in 1911 [4], a DVA consists of mass and spring elements connected in series with the primary structure. Later, Ormondroyd and Hartog enhanced the DVA by incorporating a damping component that functions parallel to the spring component [5] to minimize the vibration amplitude of the primary structure, an optimization technique known as the fixed-point theory. In general terms, this technique involves optimizing the DVA mechanical elements by calibrating the excitation frequencies independently of the damping ratio. This optimized DVA is also known as a classical tuned mass damper (TMD). The significance and broad application of DVAs in mechanical engineering have garnered particular attention from the scientific community, leading to various configurations to improve their robustness and dynamic performance. For instance, conventional TMDs based on Maxwell’s model [6,7,8], non-conventional TMDs based on grounding [9,10,11,12], series-parallel TMDs [13,14,15], nonlinear energy sinks approach [16,17], and multi-degree of freedom TMDs with translational and rotational motions have all been reported in the literature [18,19]. However, it is crucial to note that the performance of DVAs primarily depends on the physical mass with which they are designed, making this a critical element in their operation [20].
Recent research has suggested that DVA’s mechanical performance can be enhanced by incorporating new components, including inerters [21] and negative stiffness technology [22]. For example, Smith proposed a mechanical device called inerter that was attached to the structure. This device operates based on moments of inertia and consists of two terminals without connection restrictions, generating an acceleration difference proportional to the applied force. This results in the dynamic effect of an additional mass to the physical mass of the DVA. In the same way, other mechanical networks incorporating inerters have been developed [23,24,25,26], chasing an improvement of the DVAs performance, such as variable stiffness [27], inertial amplification [28], hydraulic [29,30], and electromagnetic devices [31]. However, these systems are still influenced by the physical mass of the device and the limited levels of inertance that inerters can provide. Therefore, the scientific community has particularly explored the negative stiffness devices to address these limitations. Negative stiffness can be visualized as an element that provides a force helping the system move out of dynamic equilibrium rather than stabilizing it, as a conventional spring does [22]. When negative stiffness devices are integrated into DVAs, they mitigate the constraints related to mass and inertance, providing a significant advantage [32]. The dynamic effect of negative stiffness takes precedence, resulting in improved vibration control performance of DVAs [33,34,35].
The evolution of DVAs in various design alternatives has proven effective in passive vibration control across different engineering fields. DVAs have been successfully applied in beam-type mechanical structures [36], buildings [37,38], wind turbines [39,40], automotive suspensions [41], and other types of structures [42,43]. The literature also provides extensive information on the analysis and study of the dynamic performance of DVAs [44,45,46,47] and various optimization techniques, including the norm [14,48], norm [15,49,50], hybrid analytical H-norm approach [51], the maximum stability technique [14], and energy balance methods [52,53]. However, detailed information on the modeling techniques of DVAs remains scarce. Most studies on the dynamic performance of DVAs begin with a simplified mechanical system represented by a damping–spring–mass system (primary structure) with one degree of freedom, where the mechanical elements represent the modal parameters of the fundamental mechanical system [5,6,7,8,9,10,11,12,13,14,15,16,17,18,19,20,21,22,23,24,25,26,27,28,29,30,31,32,33,34,35].
Regarding DVAs, researchers such as Hu et al. [25,39] and Jin et al. [36] have demonstrated the feasibility of simplifying the modeling of various mechanical network configurations using mechanical admittance. This concept involves representing a mechanical network through a mathematical expression that visualizes the effect of a damping element (equivalent damping), with the force produced by mechanical admittance contingent on the system’s velocity. Therefore, a new global admittance concept is proposed based on this idea. This concept facilitates the analysis and dynamic performance evaluation of various DVA design alternatives based on the topology of mechanical networks in more complex structures. Global admittance allows for a more streamlined and practical approach to DVA modeling, especially in intricate systems where conventional methods may be inadequate. By partially isolating the DVA configuration from the primary structure, predictions of dynamic behavior and improved vibration control can be achieved. This innovation holds significant potential for advancing the field of vibration control in engineering, providing a robust framework for designing and implementing global admittance, enabling more accurate and more efficient DVAs in complex applications such as high-rise buildings, large-scale bridges, and more complicated structures.
The paper aims to bridge the gap between theoretical modeling and practical applications of DVAs, ensuring that the proposed methods can be effectively implemented in real-world scenarios using global admittance as a design tool. The comparative analysis highlights the advantages of global admittance functions, particularly in complex structures where conventional modeling techniques may prove inadequate. The study’s findings are expected to contribute significantly to the field of vibration control, offering new insights and potential pathways for future research and development in DVA technologies. This paper is organized as follows: Section 2 explains the simplification process of mathematical modeling of DVAs based on the topology of mechanical networks and the mechanical admittance concept. It provides a detailed mathematical formulation, focusing on deriving the equations of motion, and justifies the concept of global admittance. Additionally, it explains the fundamental equations and how they are applied in this context. Section 3 describes the modeling process for obtaining the Frequency Response Function (FRF), covering both conventional modeling approaches and the proposed methodology. Section 4 details the implementation of the proposed methodology and contrast its results with conventional modeling using 45 DVA design alternatives described in the literature. From these, five DVAs were selected for the FRF simulation process based on each author’s parameterization and optimization data. The results for each selected DVA are presented and analyzed in detail. Finally, Section 5 summarizes the conclusions of this work.
2. Theoretical Analysis
2.1. DVAs’ Simplification Analogy Using the Mechanical Admittance Concept
In the constant effort to improve mechanical system designs against resonant vibration modes, DVAs have seen significant advancements. A critical development is the design of DVAs based on the topology of mechanical networks, enabling the integration of various components, such as springs, dampers, inerters, and negative stiffness technologies. These components can be combined in numerous configurations—such as series, parallel, and series–parallel connections—each offering distinct advantages in vibration control. While this flexibility dramatically enhances the potential for optimized performance, it also presents challenges in analyzing and tuning these complex configurations, which can be modeled in various ways, as illustrated in Figure 1. In this example, the simplest case of a structure equipped with a DVA is illustrated in Figure 1a [5], known as a classical TMD. In this schematic, the primary structure is represented by a mass, modeled as an inertial element, . Thence, this mass is subjected to a generalized external force, , provoking a displacement, , across the structure. As a result, the structure responds to this displacement by trying to dissipate the energy of by contracting and dilating the grounding elements attached to the . These elements are directly related to the structure’s inherent properties of elasticity () and damping ().
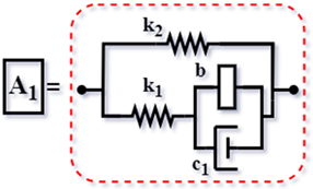
Figure 1.
DVAs’ analogy of simplification for schematic diagrams based on the topology of mechanical networks to one-degree-of-freedom systems: (a) classical TMD schematic model [5]; (b) series TMD schematic model [15]; (c) generalized schematic diagram of DVAs based on the topology of mechanical networks using the concept of mechanical admittance; and (d) schematic diagram simplified by the global admittance.
Regarding the DVA integrated into this system, a similar configuration of the primary structure is implemented. It comprises analogous components to the primary structure: for stiffness, for damping, and for inertial mass, with representing the displacement of . These elements ideally work together to counteract the vibrations experienced by the primary structure, effectively reducing the amplitude of resonant oscillations in a determined frequency window. However, the response of this classical TMD may be inefficient across an extended frequency window, causing us to implement more sophisticated configurations. For instance, the DVA proposed by Asami [15], represented in Figure 1b, can be seen as an improved classical TMD; here, a second TMD is connected in series to the DVA of Figure 1a, where its mechanical elements of stiffness, damping, mass, and displacement are populated as , , , and , respectively. Ultimately, the overall performance can be significantly enhanced by combining the operational ranges of both TMDs.
Applying the mechanical admittance concept is one practical approach to mathematically analyzing these DVAs [25]. This method allows for a generalized system representation, simplifying the complex interactions between its components. Therefore, if it is desired to model the system shown in Figure 1a or, alternatively, the one displayed in Figure 1b, both configurations can be effectively represented using the schematic in Figure 1c. This approach simplifies the analysis by reducing the system to a more abstract but universally applicable model, enabling easier comparison and evaluation of different configurations. Here, the factors and can be replaced by a more suitable term, denoted as mechanical sub-admittance, which is a virtual mechanical reactive coupling between the inertial elements, . For example, in the scenario depicted in Figure 1c, the element attached to represents the behavior of a DVA modeled on conventional TMD. Likewise, sub-admittance captures the behavior of a TMD configured in series, commonly referred to as Asami’s DVA. Also, by extending this approach, the DVA modeling can be further generalized by incorporating a sub-admittance configuration that represents the behavior of DVAs based on grounded series-type TMD. In addition, it is essential to emphasize that the sub-admittances are not confined to configurations where the mechanical elements, and , are exclusively parallel. As demonstrated in Appendix A, these sub-admittances can be adapted to a wide range of configurations documented in the literature, allowing for a comprehensive analysis of the dynamic performance of DVAs based on the topology of mechanical networks from the viewpoint of the admittance approach. Additionally, Appendix A provides substantial sub-admittance functions for various configurations, offering valuable tools for modeling the DVAs across different applications.
It is important to note that in the implementation of the vibrating system depicted in Figure 1a, the mass is not explicitly shown in the admittance diagram of Figure 1c. Instead, its effects are integrated into the sub-admittance , with one of its terminals grounded. This configuration allows the system to function as a DVA based on inerter-based dampers (IBDs), effectively managing vibrations with inertance. Grounding the terminal also simplifies the mechanical design, making it easier to implement in complex structures, while also delivering robust vibration control. Furthermore, if the mass is omitted and one of the terminals of sub-admittance is grounded, the system will behave as a non-conventional TMD. This versatility enhances the system’s adaptability to various DVA configurations, ensuring several alternatives for vibration control.
Moreover, based on the schematic diagram in Figure 1c, the dynamic performance of DVAs can be analyzed by calculating the sub-admittance functions for various DVA designs. In this diagram, it is important to note the sequential series connection between the mass and the sub-admittances , as it aligns with the general structure proposed for DVAs. These connections effectively form a new mechanical network, suggesting that mechanical admittance could be applied again. However, due to the complexities introduced by the displacements of the masses and potential internal movements within the sub-admittances, the conventional concept of mechanical admittance alone becomes unsatisfactory. A more refined approach is necessary to analyze these connections and fully comprehend the system’s dynamic behavior. This can be achieved by generalizing the schematic diagram in Figure 1c into a simplified single-degree-of-freedom (1 DoF) system, as illustrated in Figure 1d. In this rationalized model, the dynamic effects of the mass and the sub-admittance are consolidated into a generalized function known as the global mechanical admittance, denoted as . This innovative concept effectively simplifies the complex series connection, reducing it to a resultant damping function that can be seamlessly integrated into analyzing a 1 DoF structure.
2.2. Mathematical Modeling of Classical TMD, Series TMD, and Admittance
The equations of motion for the classical TMD, as shown in Figure 1a, and the series TMD depicted in Figure 1b can be effectively modeled using the Euler–Lagrange formulation. This mathematical approach provides a systematic way to account for the kinetic and potential energies of the system, leading to precise equations that govern the dynamic behavior of these TMD configurations. This formulation is especially valuable, as it provides critical insights into how various design parameters affect the system’s overall performance, enabling more precise tuning of TMDs to achieve optimal vibration control. Additionally, this method can be extended to more complex systems, providing a robust framework for analyzing various DVA configurations. Thence, the following equations are the representation of the models mentioned above:
Classical TMD:
Series TMD:
Considering the classical TMD connected to the sub-admittance , where one of the terminals is connected to the ground of Figure 1c and according to the mechanical admittance concept, Equation (1) can be rewritten as follows:
Non-conventional TMD:
Similarly, if the series TMD is connected to sub-admittance , where one of the terminals is connected to the ground, and if we apply the concept of mechanical admittance, Equation (2) can be rewritten as follows:
Grounded series TMD:
The transfer functions for the non-traditional TMD described by Equation (3) and the grounded-series TMD described by Equation (4) are provided in Appendix B.
2.3. Global Mechanical Admittance
In contrast, as per the global admittance concept represented in Figure 1d, the overarching equation of motion for DVA derived from the mechanical network topology can be expressed as follows:
The parameter in Equation (5) represents the global admittance associated with any DVA design based on the mechanical network’s topology. To mathematically determine the system’s global admittance, it is crucial to simplify first Equation (1) through Equation (4) by expressing them in a reduced form. This can be achieved by applying the substitution method to Equations (1) and (2), allowing for a more streamlined representation that facilitates further analysis. They can be rewritten as follows:
Classical TMD:
Series TMD:
Similarly, Equations (3) and (4) can be expressed as follows:
Non-conventional TMD:
Grounded series TMD:
If the primary structure is linked to the sub-admittance with one of its terminals grounded, the system operates as an IBD. In this case, the equation of motion for the system can be expressed as follows:
It is observed from Equations (6)–(10) that the dynamics of the system behavior in the different TMD configurations can be represented by a single equation, a feature that can be exploited to determine the global admittance, , of each DVA based on the topology of the mechanical networks.
2.4. How to Apply for Global Admittance
Supposing that Equation (5) is taken as the beginning and overlayed with Equations (8)–(10), it becomes evident that the corresponding terms in each equation represent the components of the primary structure denoted by , , and . Thence, the additional terms in any of these equations are related to the DVA components, which reflect the absorber’s influence on the system’s dynamics. Therefore, insolating these terms, it is possible to build the following equations of global admittance for DVA mentioned above:
where each expression describes only the fundamental behavior of DVA. Indeed, Equation (11) corresponds to inerter-based dampers (IBDs), Equation (12) corresponds to tuned mass dampers with grounding (TMDG), and Equation (13) corresponds to series-type tuned mass dampers with grounding (TSG). Applying the Laplace transform and expressing the results as functions of , the primary global admittances for IBD (Equation (14)), TMDG (Equation (15)), and TSG (Equation (16)) can be obtained:
Note that in each equation, the variables in the Laplace domain represent the sub-admittances, which are detailed in Appendix A, while the displacements and represent the vibration amplitudes for the primary structure and the DVA, respectively (see Appendix B).
Following the procedure, the next step is directly linking global admittance to the system’s structural components and dynamic properties, which is achieved by substituting the terms and . For instance, the terms for and from Equation (15) can be replaced by using the transfer functions of Equations (A2) and (A3) (Appendix B), while the Equations (A4)–(A6) (Appendix B) can be used in Equation (16), which yields the following:
In practical terms, Equations (14), (17), and (18) facilitate the modeling from a two- or three-degrees-of-freedom system into a single-degree-of-freedom system. Thus, this enables the primary structure to be connected to any DVA based on IBD, TMD, or TSG configurations. However, it is essential to note that if the selected DVA lacks a ground connection, Equations (17) and (18) can be simplified by setting for and for , respectively.
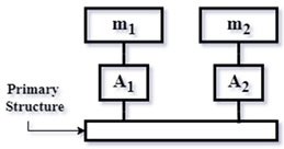
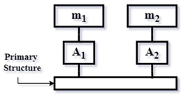
This way, based on the theoretical analysis of this methodology, as shown in Figure 2, it can be conceptualized that any DVA based on the topology of mechanical networks can be represented using the global admittance methodology. This approach simplifies the study of vibration control system dynamics by focusing exclusively on the primary structure’s dynamics and reinterpreting the DVA as an equivalent damping function, maintaining computational efficiency without sacrificing the accuracy on the dynamic model compared to conventional modeling. This offers an accessible and practical alternative for analyzing the vibration control system without compromising the quality of the dynamic representation.
Figure 2.
Conceptualization of the global admittance methodology based on theoretical analysis [4,5,24,25,54,55].
3. Modeling Procedure
3.1. Conventional Modeling and Global Admittance Variances
One way to highlight the differences between conventional modeling and global admittance is through the flow diagram shown in Figure 3. The process begins by deriving the system’s equations of motion, either from Newton’s second law or through energy-based methods like the Euler–Lagrange formulation (indicated by the brown dotted box). The number of equations generated depends on the DoF system. For instance, the two equations presented in Equation (1) describe the dynamics of a modal structure coupled with a classical TMD. Thence, the system of equations is solved by proposing a solution for the displacement, , which typically assumes harmonic behavior due to the excitation force. In this approach, the displacement, velocity, and acceleration components are expressed as , along with their respective first and second derivatives concerning time and . Then, solving the aforementioned system, the results yield the transfer functions, , in the frequency domain for each DoF. Note that represents an imaginary quantity, and the excitation frequency, in these equations.
Figure 3.
Comparative flowchart of conventional modeling versus the proposed general modeling based on global admittance, used to obtain the Frequency Response Function (FRF) of systems with DVAs, according to the topology of mechanical networks.
Alternatively, this procedure can be carried out using the Laplace transform without considering initial conditions. Under this case, the results in the system’s transfer functions, , will depend on the Laplace variable, . Based on the preceding discussion, the transfer functions derived from the system of equations for the classical TMD from Equation (1) can be stated as follows:
where and represent the steady-state vibration magnitudes of the primary structure and the DVA in the Laplace domain, respectively. Typically, is the transfer function used in vibration control analysis, representing the vibration magnitude induced in the primary structure. This transfer function is also essential in processing the most common optimization criteria for DVAs, such as fixed-point theory, norm, and system vibration energy analysis using the norm. It is important to note that conventional modeling for DVAs has two main disadvantages. First, as the complexity of the DVA’s mechanical network increases, obtaining the system’s transfer functions becomes challenging due to the increased DoFs. Second, different DVA design alternatives cannot be evaluated simultaneously, requiring each design to repeat the process of obtaining DoF transfer functions.
In contrast with the above procedure, the red dotted box at the bottom of the flow diagram (Figure 3) outlines the modeling process for DVAs using the global admittance approach. According to this methodology, the design of DVAs based on mechanical network topologies can be classified into six categories: DVAs utilizing IBDs, conventional TMDs, non-conventional TMDs, TMDs in series configurations, TMDs with grounded series configurations, and special cases. However, two specific conditions must be considered: first, the sub-admittance requirements for modeling DVAs in conventional TMDs and TMDs with series configurations (magenta dotted box); and second, the special case category, where it is crucial to derive the fundamental equation for global admittance (cyan dotted box), as detailed in Section 2.3 and Section 2.4 of this paper.
Then, once the DVA is categorized, the sub-admittances of the internal mechanical networks between the system’s mass elements are calculated based on mechanical admittance. Next, the resulting sub-admittances are substituted, based on their category, into one of the general global admittance functions (Equations (14), (17) and (18)), yielding the global admittance function, , for the DVA under analysis (green dotted box). Finally, this global admittance function is substituted into the transfer function derived from Equation (5), resulting in the transfer function for the primary structure of the DVA under analysis.
3.2. Parameterization and FRF
Both conventional and global admittance modeling approaches share the final steps outlined in the upper-right blocks of the flow diagram in Figure 3. These steps are critical for standardizing system parameters and deriving the system’s response function in the frequency domain. To achieve this standardization, dimensionless parameters are introduced to reduce the system’s complexity by minimizing the number of variables. For example, Buckingham’s pi theorem can be applied to derive the physical equations representing the system’s behavior.
Nevertheless, it is essential to highlight that the parameterization process for systems incorporating DVAs is not a one-size-fits-all approach. Undoubtedly, the DVA varies with the complexity of mechanical networks and each designer’s specific approach. This diversity in styles is beneficial in identifying the optimal parameters for systems, which complicates the general dimensioning of global admittance functions in DVA modeling. Therefore, after completing the parameterization process, the resulting transfer function can be expressed in the following general form:
This equation is known as the system’s FRF, which characterizes its steady-state response. In the FRF, A and C denote the real part, while B and D correspond to the imaginary part of the transfer function. Also, in Equation (20), it is evident that the magnitude of the system, , depends on the variable , which represents the ratio between the excitation frequency and the natural frequency of the primary structure.
4. Method Implementation
4.1. Selection of the DVAs and Their FRFs
As a starting point in Equation (20), the variable represents the FRF evaluation simulations used to validate the proposed methodology mathematically. These simulations were conducted in 45 different DVAs; however, 5 different DVA designs were selected from Table A5 in Appendix C to analyze in this paper, summarizing this quantity. The selection reflects the evolution of DVA technology over time, incorporating a range of configurations reported in the literature. For example, the classical TMD is a reference alongside advanced DVAs based on inerters, negative stiffness technology, and combinations. Therefore, the chosen DVAs for the simulations included the classical TMD [5], IDVA C4 [25], NIDVA C3 [24], RN [54], and NS-NIDVA C6 [55].
Moreover, each selected DVA was initially modeled using the conventional approach, which involved calculating their equations of motion, deriving their transfer functions in the Laplace domain, and performing a parameterization process to determine their dimensions. This process continued until their respective FRFs were obtained as outlined in Equation (20). The coefficients , , , and for each DVA are listed in Equations (A7) through (A11) in Appendix D. Subsequently, the proposed global admittance methodology was applied, where the global admittance functions, , were integrated into a DoF transfer function. The parameterization process was repeated, and the FRFs for each DVA were recalculated using this new approach.
To effectively compare the performance of the FRFs across the selected DVAs, both the parameterization process and the optimal parameters proposed by each author were considered. These dimensionless parameters were standardized to align with the terminology used in this study, ensuring consistency across the five analyzed DVAs. Table 1 presents these parameters, divided into two categories: standard parameters, shared across all DVAs, and specific parameters recommended by the original authors that are necessary to size each DVA accurately.
Table 1.
Standardization of dimensionless parameters from the literature for the five selected DVAs.
Note that the standard parameters , , and in Table 1 are dimensionless parameters associated with the primary structure and can be used to size the transfer function. However, it is necessary to consider the Laplace parameter, , along with an additional dimensionless parameter that relates the global admittance function, , to the parameters of the primary structure.
As previously mentioned, the variable is a damping function that characterizes the behavior of any DVA based on the topology of mechanical networks. Since the DVA is connected to the primary structure, there must be a relationship between the two. This relationship is determined by the structure’s frequency, , and the mass ratio between the primary structure and the DVA. This may depend on the effective mass generated by the inerter (in the case of IBDs) or the primary mass of the DVA in other cases. Therefore, the dimensionless parameter proposed is expressed as , where represents the connection ratio between the global admittance function and the primary structure. Based on the preceding discussion, the FRF is obtained by determining the transfer function derived from Equation (5) and substituting the primary structure’s dimensionless parameters, which yields the following:
Functions, , for each selected DVA are shown in Table 2. These functions mainly depend on the primary structure through the forced frequency ratio, , because the DVA relies on the dynamics of the primary structure to control vibrations, meaning that the isolation of the DVA from the primary structure, as achieved through the proposed methodology, is only partial. This can be verified by evaluating the dimensionless parameters of the FRF using optimization criteria.
Table 2.
Global admittance functions of the selection of DVA design alternatives.
4.2. FRFs Simulation and Result Discussion
Once the FRFs were obtained using both the conventional and proposed methodology for each selected DVA, their evaluation was carried out using the optimal parameters proposed by each author, following the norm, which is based on calibrating the resonant points of the FRF. These parameters were adjusted according to the terminology used in this paper, as shown in Table 3, which contains all the information used for the simulation step. Also, each optimal parameter in Table 3 was substituted into the FRFs obtained through conventional modeling (using Equation (20)) and proposed modeling (using Equation (21) and the functions from Table 2), with a mass ratio of , a damping ratio , and an evaluation interval of with increments of .
Table 3.
Global admittance functions of the selection of DVA design alternatives.
The FRFs of the vibration magnitude, , for the selected DVAs were evaluated and compared between the conventional modeling approach and the proposed global admittance methodology. Figure 4, Figure 5, Figure 6, Figure 7 and Figure 8 present these results for five distinct DVA configurations, demonstrating the effectiveness of the global admittance approach in accurately modeling the dynamic performance of vibration absorbers.
Figure 4.
Comparison of the FRF of the conventional with the proposed model of the classical TMD, utilizing the optimal parameters outlined in Table 3 for a mass ratio , focusing on the first resonant point approach.
Figure 5.
Comparison of the FRF of the conventional with the proposed model of the TMDI Config. C4, utilizing the optimal parameters outlined in Table 3 for a mass ratio of , focusing on the first resonant point approach.
Figure 6.
Comparison of the FRF of the conventional with the proposed model of the NIDVA Config. C3, utilizing the optimal parameters outlined in Table 3 for a mass ratio of , focusing on the first resonant point approach.
Figure 7.
Comparison of the FRF of the conventional with the proposed model of the RN, utilizing the optimal parameters outlined in Table 3 for a mass ratio of , focusing on the first resonant point approach.
Figure 8.
Comparison of the FRF of the conventional with the proposed model of the NS-NIDVA Config. C6, utilizing the optimal parameters outlined in Table 3 for a mass ratio of , focusing on the first resonant point approach.
Comparing the FRF analysis highlights a remarkable correlation between the conventional and global admittance approaches. Across all configurations, the vibrational response of the primary structure, calculated using the global admittance method, aligns closely with that obtained through conventional modeling. This consistency is observed throughout the entire frequency range, including near the critical first resonant point. Given that the behavior at resonance is habitually where DVAs exert the most significant impact on structural performance, this alignment is crucial in demonstrating the validity of the proposed global admittance methodology.
The FRF results show that near the first resonant frequency, the global admittance approach yields identical vibrational responses to those obtained with the conventional method. This indicates that the proposed methodology accurately captures the dynamics of coupled systems with DVAs. More importantly, this similarity suggests that the global admittance function can model complex mechanical networks while maintaining computational simplicity, a key advantage over traditional approaches. Predicting resonant behavior accurately is essential for optimizing vibration mitigation strategies in practical applications, such as minimizing structural damage or improving system longevity.
The results further emphasize the efficiency of the global admittance approach in deriving the system’s transfer function. Conventional methods, which involve detailed calculations of the system’s equations of motion and transfer functions, can become cumbersome for complex mechanical networks. However, the global admittance method offered a streamlined alternative, reducing the complexity of the modeling process without sacrificing accuracy. This methodology provides an efficient tool for analyzing DVAs across various design alternatives by simplifying the representation of coupled systems as a one-degree-of-freedom system.
The five configurations analyzed, ranging from classical TMDs to more advanced DVAs based on inerters, negative stiffness technology, or a combination of both, further validate the versatility of the global admittance approach. The results suggest that this approach can be extended to other configurations, offering a robust framework for future DVA designs that leverage mechanical network topologies. Overall, the analysis of the FRFs demonstrates that the global admittance approach is an effective and reliable alternative to conventional modeling methods. Its ability to closely match the vibrational response obtained through traditional methods across all tested configurations validates its use in modeling systems with DVAs.
5. Conclusions
This paper introduces a novel approach to modeling DVAs based on the topology of mechanical networks through global admittance. The key findings and contributions of the study highlight significant advancements in the analysis and design of passive vibration control systems.
First, the global admittance approach offers a new framework for modeling DVAs that expands on the traditional concept of mechanical admittance by incorporating the analysis of displacements generated by the DVA masses. This development effectively represents complex vibration control devices as simplified one-degree-of-freedom systems. The resulting coupled modal structure, characterized by an equivalent damping function or global admittance function, provides a simplified method for analyzing the dynamic of DVAs.
The study demonstrated that the global admittance function not only simplifies the analysis but also decouples the dynamic behavior of the DVA from the primary structure to some extent. This partial decoupling is achieved through the dimensionless function, , which depends on the forced-frequency ratio of the primary structure. As a result, this method could facilitate passive vibration control implementation in more complex and realistic structural models, making it easier to apply damping functions across a wide range of DVA designs based on mechanical network topologies.
A vital outcome of this work is creating a comprehensive database of global admittance functions for 45 DVA design alternatives, as presented in Appendix C. This database is a valuable resource for future research in passive vibration control, providing a foundation for further studies and optimizations in the field. The global admittance functions formulated in this study offer a reference point for researchers and engineers aiming to improve the performance of vibration control devices in various engineering applications.
In summary, the proposed global admittance methodology not only streamlines the analysis of DVAs but also opens new possibilities for developing more advanced vibration control systems. By offering a general and efficient modeling approach, this work has the potential to significantly impact the design and application of DVAs in engineering structures such as buildings, automotive suspensions, rotodynamic systems, wind turbines, and any structure requiring vibration control.
Author Contributions
Conceptualization, C.M.-V., J.A.P.-M., E.E.M.-V. and A.B.-S.; methodology, C.M.-V., E.B. and J.C.-O.; software, C.M.-V. and A.B.-S.; validation, C.M.-V., E.B., J.C.-O. and D.P.-V.; formal analysis, C.M.-V. and J.A.P.-M.; investigation, C.M.-V., E.B. and J.C.-O.; writing—original draft preparation, C.M.-V. and E.E.M.-V.; writing—review and editing, C.M.-V., E.B., J.C.-O., J.A.P.-M., D.P.-V. and E.E.M.-V.; visualization, C.M.-V., E.B., J.C.-O., D.P.-V. and E.E.M.-V.; supervision, J.C.-O. and E.E.M.-V. All authors have read and agreed to the published version of the manuscript.
Funding
This research received no external funding.
Data Availability Statement
The original contributions presented in this study are included in the article. Further inquiries can be directed to the corresponding author.
Conflicts of Interest
The authors declare no conflicts of interest.
Appendix A. Sub-Admittance Functions
Table A1.
Sub-admittances in accordance with the inerter-based damping systems.
Table A1.
Sub-admittances in accordance with the inerter-based damping systems.
| Schematic Diagram by Admittance | Associated DVAs | Internal Diagram of | Functions |
|---|---|---|---|
![]() | (VMD) [56] (2007) | ![]() | |
| (TVMD) [57] (2012) | ![]() | ||
| TID [58] (2014) | ![]() | ||
| IBDs [25] (2015) | |||
| Config. C2 | ![]() | ||
| Config. C3 | ![]() | ||
| Config. C5 | ![]() | ||
Table A2.
Sub-admittances in accordance with the conventional TMDs.
Table A2.
Sub-admittances in accordance with the conventional TMDs.
| Schematic Diagram by Admittance | Associated DVAs | Internal Diagram of | Functions |
|---|---|---|---|
![]() | Classical TMD [5] (1928) | ![]() | |
| TMD for Asami [6] (1999) | ![]() | ||
| TMDI Hu [25] (2015) | |||
| Config. C1 | ![]() | ||
| Config. C2 | ![]() | ||
| Config. C3 | ![]() | ||
| Config. C4 | ![]() | ||
| Config. C5 | ![]() | ||
| Config. C6 | ![]() | ||
| IA1 [59] (2018) | ![]() | ||
Table A3.
Sub-admittances in accordance with the conventional TMDs.
Table A3.
Sub-admittances in accordance with the conventional TMDs.
| Schematic Diagram by Admittance | Associated DVAs | Internal Diagram of | Functions |
|---|---|---|---|
![]() | TMD for Ren [10] (2001) | ![]() | |
| TMD for Wang [9] (2016) | ![]() | ||
| TMDI [60] (2014) | ![]() | ||
| WN [61] (2016) | ![]() | ||
| RN [54] (2017) | ![]() | ||
| IA2 [59] (2018) | ![]() | ||
| IR1 [59] (2018) | ![]() | ||
| IR2 [59] (2018) | ![]() | ||
| AN [62] (2019) | ![]() | ||
| WI [62] (2019) | ![]() | ||
![]() | DN [62] (2019) | ![]() | |
| DIN [62] (2019) | ![]() | ||
| RIN [62] (2019) | ![]() | ||
| AIN [62] (2019) | ![]() | ||
| WIN [62] (2019) | ![]() | ||
| NIDVAs [24] (2020) | |||
| Config. C3 | ![]() | ||
| Config. C4 | ![]() | ||
| Config. C6 | ![]() | ||
![]() | NS-NIDVAs [55] (2021) | ||
| Config. C3 | ![]() | ||
| Config. C4 | ![]() | ||
| Config. C6 | ![]() | ||
| TE-type [63] (2023) | ![]() | ||
| TEI-type [63] (2023) | ![]() | ||
| NS-TE-type [63] (2023) | ![]() | ||
| NI-TE-type [63] (2023) | ![]() | ||
Table A4.
Sub-admittances in accordance with the series TMDs and especial case.
Table A4.
Sub-admittances in accordance with the series TMDs and especial case.
| Schematic Diagram by Admittance | Associated DVAs | Internal Diagram of | Functions |
|---|---|---|---|
| Based series TMDs | |||
![]() | TMD series mode [15] (2016) | ![]() | |
| I-SDTMDI [23] (2019) | ![]() | ||
| TMD series-type with grounding. | |||
![]() | SDTMDI type II [23] (2019) | ![]() | |
| Especial cases | |||
| Global admittance function (parallel TMD) | |||
![]() | Parallel TMD [15] (2016) | ![]() | |
| Global admittance function (serial-type TMD with grounding on the primary TMD) | |||
![]() | SDTMDI type I [23] (2019) | ![]() | |
Appendix B. Equations of Motion Based on Mechanical Admittance
Fundamental transfer function of inerter-based damping systems:
Fundamental transfer functions of non-conventional TMD:
Fundamental transfer functions of the grounded-series TMD:
where
Appendix C. Global Admittance Functions
Table A5.
Global admittance functions.
Table A5.
Global admittance functions.
| DVA | Schematic Diagram | Functions Ag(s) |
|---|---|---|
| TMD for Hartog [5] (1928) | ![]() | |
| TMD for Asami [6] (1999) | ![]() | |
| TMD for Ren [10] (2001) | ![]() | |
| Viscous mass damper (VMD) [56] (2007) | ![]() | |
| Tuned viscous mass damper (TVMD) [57] (2012) | ![]() | |
| Tuned inerter damper (TID) [58] (2014) | ![]() | |
| TMDI [60] (2014) | ![]() | |
| TMDI for Hu [25] (2015) | ||
| Config. C1 | ![]() | |
| Config. C2 | ![]() | |
| Config. C3 | ![]() | |
| Config. C4 | ![]() | |
| Config. C5 | ![]() | |
| Config. C6 | ![]() | |
| Inerter-based dampers (IBDs) [25] (2015) | ||
| Config. C2 | ![]() | |
| Config. C3 | ![]() | |
| Config. C5 | ![]() | |
| TMD for Wang [9] (2016) | ![]() | |
| TMD series mode [15] (2016) | ![]() | |
| TMD parallel mode [15] (2016) | ![]() | |
| NS-TMD based on Wang’s TMD (WN) [61] (2016) | ![]() | |
| NS-TMD based on Ren’s TMD (RN) [54] (2017) | ![]() | |
| TMDI type 1 based on Asami’s TMD (AI1) [59] (2018) | ![]() | |
| TMDI type 2 based on Asami’s TMD (AI2) [59] (2018) | ![]() | |
| TMDI type 1 based on Ren’s TMD (RI1) [59] (2018) | ![]() | |
| TMDI type 2 based on Ren’s TMD (RI2) [59] (2018) | ![]() | |
| I-SDTMDI [23] (2019) | ![]() | |
| G-SDTMDI type I [23] (2019) | ![]() | |
| G-SDTMDI type II [23] (2019) | ![]() | |
| NS-TMD based on Hartog’s TMD (DN) [62] (2019) | ![]() | |
| NI-TMD based on Hartog’s TMD (DIN) [62] (2019) | ![]() | |
| NS-TMD based on Asami’s TMD (AN) [62] (2019) | ![]() | |
| NI-TMD based on Asami’s TMD (AIN) [62] (2019) | ![]() | |
| NI-TMD based on Ren’s TMD (RIN) [62] (2019) | ![]() | |
| TMDI based on Wang’s TMD (WI) [62] (2019) | ![]() | |
| NI-TMD based on Wang’s TMD (WIN) [62] (2019) | ![]() | |
| Non-traditional inerter-based dynamic vibration absorber (NIDVAs) [24] (2020) | ||
| Config. C3 | ![]() | |
| Config. C4 | ![]() | |
| Config. C6 | ![]() | |
| Negative-stiffness nontraditional inerter-based dynamic vibration absorbers NS-NIDVAs (NS-NIDVAs) [55] (2021) | ||
| Config. C3 | ![]() | |
| Config. C4 | ![]() | |
| Config. C6 | ![]() | |
| Three-element DVA model (TE-type) [63] (2023) | ![]() | |
| Three-element DVA model with inerter (TEI-type) [63] (2023) | ![]() | |
| Three-element DVA model with negative stiffness (NS-TE-type) [63] (2023) | ![]() | |
| Three-element DVA model with inerter and negative stiffness (NI-TE-type) [63] (2023) | ![]() | |
Appendix D. Coefficients Ai, Bi, Ci, and Di for i = 1, 2, …, 5
For the classical TMD device, we have the following:
For the TMDI Config. C4 device, we have the following:
For the NIDVA Config. C3 device, we have the following:
For the RN device, we have the following:
For the NS-NIDVA C6 device, we have the following:
References
- Pastia, C.; Luca, S.G.; Chira, F.; Roşca, V.O. Structural control systems implemented in civil engineering. Bull. Polytech. Inst. Jassy Constr. Archit. Sect. LI (LV) 2005, 76–80. [Google Scholar]
- Constantinou, M.; Soong, T.; Dargush, G. Passive Energy Dissipation Systems for Structural Design and Retrofit, Monograph No. 1; Multidisciplinary Center for Earthquake Engineering Research: Buffalo, NY, USA, 1998; pp. 9–62. [Google Scholar]
- Elias, S.; Matsagar, V. Research developments in vibration control of structures using passive tuned mass dampers. Annu. Rev. Control 2017, 44, 129–156. [Google Scholar] [CrossRef]
- Frahm, H. Device for Damping Vibrations of Bodies. United States Patent Appl. 0989958, April 15, 1911. Available online: https://www.freepatentsonline.com/0989958.html (accessed on 20 December 2024).
- Ormondroyd, J.; Den Hartog, J.P. The Theory of the Dynamic Vibration Absorber. Trans. Am. Soc. Mech. Eng. 1928, 49–50, 021007. [Google Scholar] [CrossRef]
- Asami, T.; Nishihara, O. Analytical and Experimental Evaluation of an Air Damped Dynamic Vibration Absorber: Design Optimizations of the Three-Element Type Model. J. Vib. Acoust. 1999, 121, 334–342. [Google Scholar] [CrossRef]
- Nishihara, O. Exact Optimization of a Three-Element Dynamic Vibration Absorber: Minimization of the Maximum Amplitude Magnification Factor. J. Vib. Acoust. 2019, 141, 011001. [Google Scholar] [CrossRef]
- Batou, A.; Adhikari, S. Optimal parameters of viscoelastic tuned-mass dampers. J. Sound Vib. 2019, 445, 17–28. [Google Scholar] [CrossRef]
- Wang, X.; Shen, Y.; Yang, S. H∞ optimization of the grounded three-element type dynamic vibration absorber. J. Dyn. Control 2016, 14, 448–453. [Google Scholar] [CrossRef]
- Ren, M.Z. A variant design of the dynamic vibration absorber. J. Sound Vib. 2001, 245, 762–770. [Google Scholar] [CrossRef]
- Cheung, Y.L.; Wong, W.O. H2 optimization of a non-traditional dynamic vibration absorber for vibration control of structures under random force excitation. J. Sound Vib. 2011, 330, 1039–1044. [Google Scholar] [CrossRef]
- Cheung, Y.L.; Wong, W.O. H-infinity optimization of a variant design of the dynamic vibration absorber—Revisited and new results. J. Sound Vib. 2011, 330, 3901–3912. [Google Scholar] [CrossRef]
- Kim, S.-Y.; Lee, C.-H. Optimum design of linear multiple tuned mass dampers subjected to white-noise base acceleration considering practical configurations. Eng. Struct. 2018, 171, 516–528. [Google Scholar] [CrossRef]
- Asami, T. Exact Algebraic Solution of an Optimal Double-Mass Dynamic Vibration Absorber Attached to a Damped Primary System. J. Vib. Acoust. 2019, 141, 051013. [Google Scholar] [CrossRef]
- Asami, T. Optimal Design of Double-Mass Dynamic Vibration Absorbers Arranged in Series or in Parallel. J. Vib. Acoust. 2016, 139, 011015. [Google Scholar] [CrossRef]
- Wang, C.; Brown, J.D.; Singh, A.; Moore, K.J. A two-dimensional nonlinear vibration absorber using elliptical impacts and sliding. Mech. Syst. Signal Process. 2023, 189, 110068. [Google Scholar] [CrossRef]
- Geng, X.-F.; Ding, H.; Ji, J.-C.; Wei, K.-X.; Jing, X.-J.; Chen, L.-Q. A state-of-the-art review on the dynamic design of nonlinear energy sinks. Eng. Struct. 2024, 313, 118228. [Google Scholar] [CrossRef]
- Yang, Y.; Dai, W.; Liu, Q. Design and implementation of two-degree-of-freedom tuned mass damper in milling vibration mitigation. J. Sound Vib. 2015, 335, 78–88. [Google Scholar] [CrossRef]
- Ma, W.; Yang, Y.; Yu, J. General routine of suppressing single vibration mode by multi-DOF tuned mass damper: Application of three-DOF. Mech. Syst. Signal Process. 2019, 121, 77–96. [Google Scholar] [CrossRef]
- Schmelzer, B.; Oberguggenberger, M.; Adam, C. Efficiency of tuned mass dampers with uncertain parameters on the performance of structures under stochastic excitation. Proc. Inst. Mech. Eng. Part O J. Risk Reliab. 2010, 224, 297–308. [Google Scholar] [CrossRef]
- Smith, M. Synthesis of mechanical networks: The inerter. IEEE Trans. Autom. Control. 2002, 47, 1648–1662. [Google Scholar] [CrossRef]
- Platus, D. Negative-Stiffness-Mechanism Vibration Isolation Systems (SPIE Technical: OPTCON ’91); SPIE: Bellingham, WA, USA, 1992. [Google Scholar]
- Zhou, S.; Jean-Mistral, C.; Chesne, S. Influence of inerters on the vibration control effect of series double tuned mass dampers: Two layouts and analytical study. Struct. Control Health Monit. 2019, 26, e2414. [Google Scholar] [CrossRef]
- Barredo, E.; Larios, J.M.; Colín, J.; Mayén, J.; Flores-Hernández, A.; Arias-Montiel, M. A novel high-performance passive non-traditional inerter-based dynamic vibration absorber. J. Sound Vib. 2020, 485, 115583. [Google Scholar] [CrossRef]
- Hu, Y.; Chen, M.Z. Performance evaluation for inerter-based dynamic vibration absorbers. Int. J. Mech. Sci. 2015, 99, 297–307. [Google Scholar] [CrossRef]
- Cao, L.; Li, C. Tuned tandem mass dampers-inerters with broadband high effectiveness for structures under white noise base excitations. Struct. Control Health Monit. 2019, 26, e2319. [Google Scholar] [CrossRef]
- Javidialesaadi, A.; Wierschem, N.E. An inerter-enhanced nonlinear energy sink. Mech. Syst. Signal Process. 2019, 129, 449–454. [Google Scholar] [CrossRef]
- Cheng, Z.; Palermo, A.; Shi, Z.; Marzani, A. Enhanced tuned mass damper using an inertial amplification mechanism. J. Sound Vib. 2020, 475, 115267. [Google Scholar] [CrossRef]
- Wang, Q.; Tiwari, N.D.; Qiao, H.; Wang, Q. Inerter-based tuned liquid column damper for seismic vibration control of a single-degree-of-freedom structure. Int. J. Mech. Sci. 2020, 184, 105840. [Google Scholar] [CrossRef]
- Zhao, Z.; Zhang, R.; Jiang, Y.; Pan, C. A tuned liquid inerter system for vibration control. Int. J. Mech. Sci. 2019, 164, 105171. [Google Scholar] [CrossRef]
- Gonzalez-Buelga, A.; Clare, L.R.; Neild, S.A.; Burrow, S.G.; Inman, D.J. An electromagnetic vibration absorber with harvesting and tuning capabilities. Struct. Control Health Monit. 2015, 22, 1359–1372. [Google Scholar] [CrossRef]
- Xiuchang, H.; Zhiwei, S.; Hongxing, H. Optimal parameters for dynamic vibration absorber with negative stiffness in controlling force transmission to a rigid foundation. Int. J. Mech. Sci. 2019, 152, 88–98. [Google Scholar] [CrossRef]
- Huang, X.; Su, Z.; Hua, H. Application of a dynamic vibration absorber with negative stiffness for control of a marine shafting system. Ocean Eng. 2018, 155, 131–143. [Google Scholar] [CrossRef]
- Shen, Y.; Xing, Z.; Yang, S.; Sun, J. Parameters optimization for a novel dynamic vibration absorber. Mech. Syst. Signal Process. 2019, 133, 106282. [Google Scholar] [CrossRef]
- Su, N.; Chen, Z.; Zeng, C.; Xia, Y.; Bian, J. Concise analytical solutions to negative-stiffness inerter-based DVAs for seismic and wind hazards considering multi-target responses. Earthq. Eng. Struct. Dyn. 2024, 53, 3820–3858. [Google Scholar] [CrossRef]
- Jin, X.; Chen, M.Z.; Huang, Z. Minimization of the beam response using inerter-based passive vibration control configurations. Int. J. Mech. Sci. 2016, 119, 80–87. [Google Scholar] [CrossRef]
- Kaveh, A.; Farzam, M.F.; Jalali, H.H. Statistical seismic performance assessment of tuned mass damper inerter. Struct. Control Health Monit. 2020, 27, e2602. [Google Scholar] [CrossRef]
- Shen, W.; Niyitangamahoro, A.; Feng, Z.; Zhu, H. Tuned inerter dampers for civil structures subjected to earthquake ground motions: Optimum design and seismic performance. Eng. Struct. 2019, 198, 109470. [Google Scholar] [CrossRef]
- Hu, Y.; Wang, J.; Chen, M.Z.; Li, Z.; Sun, Y. Load mitigation for a barge-type floating offshore wind turbine via inerter-based passive structural control. Eng. Struct. 2018, 177, 198–209. [Google Scholar] [CrossRef]
- Zhang, Z.; Fitzgerald, B. Tuned mass-damper-inerter (TMDI) for suppressing edgewise vibrations of wind turbine blades. Eng. Struct. 2020, 221, 110928. [Google Scholar] [CrossRef]
- Shen, Y.; Chen, L.; Yang, X.; Shi, D.; Yang, J. Improved design of dynamic vibration absorber by using the inerter and its application in vehicle suspension. J. Sound Vib. 2016, 361, 148–158. [Google Scholar] [CrossRef]
- Ma, R.; Bi, K.; Hao, H. Mitigation of heave response of semi-submersible platform (SSP) using tuned heave plate inerter (THPI). Eng. Struct. 2018, 177, 357–373. [Google Scholar] [CrossRef]
- Lazar, I.; Neild, S.; Wagg, D. Vibration suppression of cables using tuned inerter dampers. Eng. Struct. 2016, 122, 62–71. [Google Scholar] [CrossRef]
- Rahimi, F.; Aghayari, R.; Samali, B. Application of Tuned Mass Dampers for Structural Vibration Control: A State-of-the-art Review. Civ. Eng. J. 2020, 6, 1622–1651. [Google Scholar] [CrossRef]
- Ma, R.; Bi, K.; Hao, H. Inerter-based structural vibration control: A state-of-the-art review. Eng. Struct. 2021, 243, 112655. [Google Scholar] [CrossRef]
- AChaudhary, S.; Nandanwar, Y.N.; Mungale, N.G. A review on optimization of design of tuned mass dampers. J. Phys. Conf. Ser. 2021, 1913, 012003. [Google Scholar] [CrossRef]
- Yang, F.; Sedaghati, R.; Esmailzadeh, E. Vibration suppression of structures using tuned mass damper technology: A state-of-the-art review. J. Vib. Control 2022, 28, 812–836. [Google Scholar] [CrossRef]
- Nishihara, O.; Asami, T. Closed-Form Solutions to the Exact Optimizations of Dynamic Vibration Absorbers (Minimizations of the Maximum Amplitude Magnification Factors). J. Vib. Acoust. 2002, 124, 576–582. [Google Scholar] [CrossRef]
- Zilletti, M.; Elliott, S.J.; Rustighi, E. Optimisation of dynamic vibration absorbers to minimise kinetic energy and maximise internal power dissipation. J. Sound Vib. 2012, 331, 4093–4100. [Google Scholar] [CrossRef]
- Warburton, G.B. Optimum absorber parameters for various combinations of response and excitation parameters. Earthq. Eng. Struct. Dyn. 1982, 10, 381–401. [Google Scholar] [CrossRef]
- Su, N.; Chen, Z.; Xia, Y.; Bian, J. Hybrid analytical H-norm optimization approach for dynamic vibration absorbers. Int. J. Mech. Sci. 2024, 264, 108796. [Google Scholar] [CrossRef]
- Zhao, Z.; Chen, Q.; Zhang, R.; Pan, C.; Jiang, Y. Energy dissipation mechanism of inerter systems. Int. J. Mech. Sci. 2020, 184, 105845. [Google Scholar] [CrossRef]
- Miller, D.; Crawley, E.; Ward, B. Inertial actuator design for maximum passive and active energy dissipation in flexible space structures. In Proceedings of the 26th Structures, Structural Dynamics, and Materials Conference, Orlando, FL, USA, 15–17 April 1985. [Google Scholar]
- Shen, Y.; Peng, H.; Li, X.; Yang, S. Analytically optimal parameters of dynamic vibration absorber with negative stiffness. Mech. Syst. Signal Process. 2017, 85, 193–203. [Google Scholar] [CrossRef]
- Barredo, E.; Rojas, G.L.; Mayén, J.; Flores-Hernández, A. Innovative negative-stiffness inerter-based mechanical networks. Int. J. Mech. Sci. 2021, 205, 106597. [Google Scholar] [CrossRef]
- Hwang, J.-S.; Kim, J.; Kim, Y.-M. Rotational inertia dampers with toggle bracing for vibration control of a building structure. Eng. Struct. 2007, 29, 1201–1208. [Google Scholar] [CrossRef]
- Ikago, K.; Saito, K.; Inoue, N. Seismic control of single-degree-of-freedom structure using tuned viscous mass damper. Earthq. Eng. Struct. Dyn. 2012, 41, 453–474. [Google Scholar] [CrossRef]
- Lazar, I.F.; Neild, S.; Wagg, D. Using an inerter-based device for structural vibration suppression. Earthq. Eng. Struct. Dyn. 2014, 43, 1129–1147. [Google Scholar] [CrossRef]
- Wang, X.; Liu, X.; Shan, Y.; Shen, Y.; He, T. Analysis and Optimization of the Novel Inerter-Based Dynamic Vibration Absorbers. IEEE Access 2018, 6, 33169–33182. [Google Scholar] [CrossRef]
- Marian, L.; Giaralis, A. Optimal design of a novel tuned mass-damper–inerter (TMDI) passive vibration control configuration for stochastically support-excited structural systems. Probabilistic Eng. Mech. 2014, 38, 156–164. [Google Scholar] [CrossRef]
- Shen, Y.; Wang, X.; Yang, S.; Xing, H. Parameters Optimization for a Kind of Dynamic Vibration Absorber with Negative Stiffness. Math. Probl. Eng. 2016, 2016, 9624325. [Google Scholar] [CrossRef]
- Wang, X.; He, T.; Shen, Y.; Shan, Y.; Liu, X. Parameters optimization and performance evaluation for the novel inerter-based dynamic vibration absorbers with negative stiffness. J. Sound Vib. 2019, 463, 114941. [Google Scholar] [CrossRef]
- Gao, T.; Li, J.; Zhu, S.; Yang, X.; Zhao, H. H∞ Optimization of Three-Element-Type Dynamic Vibration Absorber with Inerter and Negative Stiffness Based on the Particle Swarm Algorithm. Entropy 2023, 25, 1048. [Google Scholar] [CrossRef]
Disclaimer/Publisher’s Note: The statements, opinions and data contained in all publications are solely those of the individual author(s) and contributor(s) and not of MDPI and/or the editor(s). MDPI and/or the editor(s) disclaim responsibility for any injury to people or property resulting from any ideas, methods, instructions or products referred to in the content. |
© 2025 by the authors. Licensee MDPI, Basel, Switzerland. This article is an open access article distributed under the terms and conditions of the Creative Commons Attribution (CC BY) license (https://creativecommons.org/licenses/by/4.0/).







































































































