Abstract
Background: Inhalation of bushfire smoke is a risk to the health of firefighters, particularly across Australia where bushfires are becoming more frequent and intense. This study aimed to use real-time monitoring devices to assess the particle and chemical exposures of Western Australian firefighters during prescribed burns and bushfires. Methods: Participants included volunteer bushfire firefighters and forestry firefighters. Real-time gas and particulate monitors were used across nine unique fire events to evaluate the occupational exposures of firefighters. Findings: Firefighters (n = 40) were exposed to high concentrations of particulate matter (PM), particularly PM10, with concentrations varying widely between individuals and events. Exposures to carbon monoxide (CO) and volatile organic compounds (VOCs) were observed at elevated levels. No significant elevation in internal polycyclic aromatic hydrocarbons (PAHs) was observed. Conclusions: This study highlights the importance of respiratory protective equipment (RPE) and the need for health monitoring programmes for firefighters. Prescribed burns appear reflective of exposures at bushfires and could serve as valuable experimental settings for refining firefighting strategies and protective practises.
1. Introduction
Bushfires, also known as wildfires, have become increasingly prevalent across Australia. Research indicates that major, generation defining 1-in-20-year bushfire events are projected to occur annually in certain regions of the country as we progress further into the 21st century [1]. These fire events will require the involvement of hundreds to thousands of firefighters engaged in prolonged campaigns to suppress them, as exemplified by the continent-wide efforts during the 8-month-long Black Summer Bushfires of 2019–2020 [2]. The majority of these firefighters are volunteers who often work extended hours in hazardous conditions. While the physical risks of firefighting are evident, there are also other dangers such as potential exposure to hazardous airborne materials generated by the fires. Operating in hot environments further compounds these risks, increasing the likelihood of heat-related illnesses and dermal absorption of chemicals [3].
Interest in the chemical exposures of firefighters, particularly exposure to particulate matter (PM) and associated health risks, has been revitalised following the Australian Royal Commission inquest into the Black Summer fires and the recent classification of wildland firefighting as a carcinogenic occupation by the International Agency for Research on Cancer (IARC) [4,5,6]. However, due to the highly variable and dangerous nature of bushfires, which often occur in remote areas and with little forewarning, assessing workplace exposures of firefighters is challenging and sometimes not feasible.
In Western Australia (WA), several firefighting agencies are responsible for bushfire mitigation practises such as prescribed burning and emergency response. Two of these agencies are managed by the Department of Fire and Emergency Services (DFES) who mandate the procedures and assume control for natural disaster events across the State. The Career Fire Rescue Service (CFRS), which is the full-time firefighting force in WA, is primarily responsible for incident management roles at bushfires as they operate appliances specialised for rescue and structural fire operations. Complementing the CFRS is the WA Bushfire Service, consisting of over 26,000 volunteers in 560 brigades across the vast State, who provide the essential workforce required to combat bushfires [7]. A separate government department, the Department of Biodiversity, Conservation and Attractions (DBCA) also employs a career firefighting force, akin to forestry firefighters seen worldwide and referred to as such for this research. During the cooler months, DBCA conducts vast (over 200,000 hectares) prescribed burning operations to mitigate bushfire threats that arise during the warmer months. During the summer months, forestry firefighters are the primary responders to bushfires in State-owned land and are almost always involved in bushfires that impact life closer to the metropolitan area of Perth. These firefighters also conduct operations relating to the maintenance of national parks and the protection of the flora and fauna of the WA bushland.
Previous research shows that burning of bushland generates various particulate matter (PM) and gases such as carbon monoxide (CO) and polycyclic aromatic hydrocarbons (PAHs) [8,9]. These laboratory-based studies have had some limited translation [10,11] into exposure monitoring at prescribed burns in Western Australia (WA). Since these early field studies, the technological development of the equipment available for personal exposure monitoring has improved. Modern, real-time devices are now available that can monitor numerous gases simultaneously and PM in size fractions ranging from 1.0 μm through 10.0 μm (the respirable fraction). This study aimed to quantify personal exposures of firefighters at prescribed burns and bushfires across a range of locations in Western Australia (WA). To achieve this aim, this study addresses the research question: What are the levels of personal exposure to airborne contaminants among firefighters at prescribed burns and bushfires across different locations in Western Australia?
2. Methods
2.1. Recruitment and Participation
The study participants comprised WA firefighters recruited from two distinct cohorts: Volunteer Bushfire Firefighters from a brigade in metropolitan Perth, and Forestry Firefighters from the WA Department of Biodiversity, Conservation and Attractions (DBCA). Volunteer firefighters primarily attended bushfire events, while forestry firefighters participated in prescribed burns. The specific functions and roles of these firefighter groups are detailed in previous research [12].
Permission was obtained from DFES and DBCA management to approach firefighters as potential participants at prescribed burns in 2023. The study aims were explained to potential participants, and an opportunity provided to ask any questions. Volunteers were provided with a participant information sheet detailing the nature of their participation. Written informed consent was obtained from each volunteer firefighter.
2.2. Sampling for Particulate Matter
A Trolex XD1 (2022) real-time dust monitoring device was used to measure the concentration of particulate matter (PM) during the sampling events. The device records real time concentrations in (ug/m3) of PM in the size-fractions 1.0 μm, 2.5 μm, 4.25 μm and 10.0 μm in 10 s intervals. Data were recorded onto the onboard memory and the proprietary BreathLITE software (version 1.2.1) [13] was used to extract the data. This device is calibrated before use, and before each sampling event. The Trolex XD1 device is the small (10 cm by 6 cm) and was secured to the upper lapel of firefighters during their operations, within their breathing zone. The breathing zone is defined as a 30 cm radius surrounding the nose and mouth of a worker [14]. The decision to use non-validated sampling methods for PM over traditional sampling methods was due the sampling heads being deemed impractical during pilot testing as they became blocked within 90 min of operation due to the high PM environment of wildland fires. Results of the PM monitoring are presented as shift average exposure (average of each PM measurement across the entire shift) and the highest 15 min exposure experienced by each individual, to give some context to the exposure profile of firefighters throughout a shift. Due to a smaller sample size and lognormal distribution of data, IHSTAT was used to report average exposure for all participants. IHSTAT is an excel worksheet that enables statistical analyses of occupational hygiene measurement data and compliance testing (with occupational exposure limits). IHSTAT was developed by AIHA (American Industrial Hygiene Association).
2.3. Sampling for Chemicals
Multirae Pro real-time monitoring devices were used to measure the concentration of multiple gases that firefighters may be exposed to. These are an industry-standard real-time gas monitor used extensively for occupational exposure monitoring. Each device was fitted with sensors to measure concentrations of sulphur dioxide (SO2), nitrogen monoxide (nitric oxide, NO), carbon monoxide (CO), and general volatile organic compounds (VOCs) as a specific VOC sensor was not deemed practical. The Multirae recorded the concentration of the four chemicals every 10 s and reported the results as particles per million (ppm). Data were recorded to the onboard memory of the device and extracted through ProRAE studio software (version 1.9) [15] after sampling. Each device was calibrated before and after use, as advised by the manufacturer. The Multirae Pro was secured on the upper lapel of firefighters during their shift, within their breathing zone. The results are presented as average shift exposure and highest 15 min exposure to allow comparison with previous research conducted in the region [16].
2.4. Polycyclic Aromatic Hydrocarbons as a Biomarker of Exposure
Biological samples were used to quantify the body burden of Polycyclic Aromatic Hydrocarbon (PAH) exposure before and after each shift. To assess the absorption of PAHs into the body, urine samples were assessed for 1-OH Pyrene, a metabolite. The urine samples were collected during prescribed burn events, and we included firefighters who had not been exposed to bushfire smoke prior to their shift that day. To ensure rigour, we asked each participant to provide two urine samples both before and after their shift. Urine samples (30 mL) were refrigerated and stored for a maximum of 24 h before transport to the laboratory for testing. A National Association of Testing Authorities (NATA)-certified laboratory conducted the sample analysis to determine the concentration of 1-OH Pyrene present in urine. This metabolite was the laboratory choice for PAH analysis.
2.5. Personal Perception of Exposure to Smoke
Immediately after their shift, the participating firefighters completed a questionnaire to gauge their personal perceptions of their level of smoke exposure during their shift. These data were collected to enable a comparison of firefighter’s perceptions of their exposure to the personal exposure monitoring data. This questionnaire was pilot-tested prior to implementation and based on the work of Navarro et al. [17]. The firefighters were asked to rate the general smoke conditions on the day and to rate their personal exposure to smoke during their shift both on a scale of very low to very high. The specific question asked was, “during your shift today, how would you rate the amount of smoke you were exposed to on a scale of very low to very high. Think of your average shift exposure as medium exposure and the worst smoke you have been in as very high”. The responses were tabulated for frequency analysis and comparison to their personal exposure results.
3. Results
3.1. Fire Events
Overall, nine fire events were included in the study: four were prescribed burns conducted by the DBCA forestry firefighters and five were bushfires attended to by volunteer firefighters from the bushfire service. Each prescribed burn had between six and 20 firefighters working to manage the intentionally lit fire. In total, n = 40 participants were recruited for this study.
Prescribed burns conducted across multiple ecoregions in the State of Western Australia were included in the study. One of these burns were in the southern region of Nannup, characterised by high rainfall patterns and thick jarrah forest. A second burn was to the east of Perth, which had a more open canopy of sparse wandoo forest caused by reduced rainfall and clay soil. There were also prescribed burns north of Perth, in the sandy limestone area of Wilbinga, characterised by coastal heathland of banksia and grass trees, and further north in the biodiversity hotspot of Badgingarra which is characterised by kwongan heath and Basendeen sands and laterite gravel. The age of the fuel ranged from 10 to over 25 years and the size of each burn ranged from 150 to over 1000 hectares. In general, firefighters attending prescribed burns were primarily responsible for maintaining burn edge boundaries, keeping fire intensity low through water suppression and eventually mopping up and walking the boundary lines to ensure no chance of reignition.
The bushfire events were all out-of-control emergency fires threatening property or life in the suburbs of metropolitan Perth. The bushfires varied in intensity and duration, ranging from grass and scrub fires that were contained and controlled within hours to large-scale multi-agency operations that lasted up to a week. A single bushfire brigade attended all the bushfire events included in this study. The general tasks of firefighters at bushfire events were defensive in nature. Firefighters were tasked with defending assets, locating and extinguishing ‘hop overs’, and mopping-up areas to prevent reignition.
Fire events are unpredictable and as such, there is no typical shift length for wildland firefighters. Exposure monitoring of firefighters participating in this study was between five and nine hours in duration. The shorter sample times were due to operational requirements, usually because firefighters were rerouted to locations away from the research team, and is not indicative of the end of the shift. The average exposure over the shift, referred to as the time-weighted average (TWA), was reported for these participants, and their exposure on the sampling day would likely have continued after monitoring; therefore, the results reported may be underestimating true exposure.
3.2. Particulate Matter
3.2.1. Prescribed Burns
Table 1 summarises the particulate matter (PM) exposure of firefighters (n = 11) across four prescribed burns. The results indicate that firefighters are primarily exposed to larger particulate matter (PM10). Shift average exposure results show that the concentration of PM exposure increased with increasing size fraction of PM, that is, firefighters were more exposed to higher concentrations of larger size fractions (PM10) compared to smaller size fractions (PM1). This same relationship was also observed across the highest average 15 min exposures (Table 2). The results also indicate that exposures between firefighters vary greatly, within the same fire and also between separate fires. The peak PM exposure for a 10 s duration measured at any prescribed burn was 333.9 μg/m3 for PM1.0, 1742.6 μg/m3 for PM2.5, 7095.3 μg/m3 for PM4.25 and 44,521.1 μg/m3 for PM10. It is important to note that these levels were recorded on firefighters wearing no respiratory protective equipment (RPE).
Table 1.
Firefighter exposure to particulate matter (PM) during prescribed burns, reported as the shift average exposure (Avg), highest 15 min average exposure (15 mHA), and estimated arithmetic mean (MVUE), stratified by size-fraction.
Table 2.
Firefighter exposure to particulate matter (PM) during bushfire events, reported as the shift average exposure (Avg), highest 15 min average exposure (15 mHA), and estimated arithmetic mean (MVUE), stratified by size-fraction.
3.2.2. Bushfires
Table 2 summarises the average shift PM concentrations and maximum 15 min average concentrations of six firefighters across the four bushfires sampled. Similarly to the results from prescribed burns, the level of PM exposure to firefighters appears to increase with increasing size fraction of PM. The lowest exposures were measured in the PM1 range, and the largest in the PM10 range. The peak PM exposure concentration experienced by a firefighter for a 10 s duration at a bushfire was 307.3 μg/m3 for PM1, 3492.1 μg/m3 for PM2.5, 10,917.4 μg/m3 for PM4.25, and 48,554.6 μg/m3 for PM10. The crew leader, who was typically not on operating a line of hose, had similar exposure to other firefighters sampled.
3.2.3. Proportion of PM Exposures
Across the five bushfires and four prescribed burns, the proportion of the four PM categories that firefighters were exposed to was found to not be statistically different after ANOVA and Chi-square analysis. In terms of the overall particulate distribution, the average proportion of PM1 was 2.3% and 4.9%, PM2.5 averaged 12.7% and 15.9%, PM4.25 averaged 24.2% and 24.9%, and PM10 accounted for the largest proportion, averaging 60.9% and 54.3% for bushfires and prescribed burns, respectively. These values highlight that PM10 consistently contributed most of the particulate matter across all fires, followed by PM4.25, PM2.5, and PM1.
3.3. Exposures to Chemicals
3.3.1. Prescribed Burns
Table 3 summarises the chemical exposures that firefighters (n = 14) experienced during prescribed burn operations; we report their shift average exposure and the highest 15 min average exposure, as seen in the previous section. Of these samples, one was a machine operator confined to the cab of the vehicle throughout their shift and one was a manager in charge of directing the operation from inside their vehicle throughout their shift. Overall, the real-time monitoring results indicate that the TWA and STEL (2 ppm, 5 ppm) [18], used by conventional sampling methods, were likely not exceeded for SO2 for any firefighter at prescribed burns.
Table 3.
Firefighter exposure to chemicals (SO2, CO, NO2 and general VOCs) during prescribed burns, reported as the shift average exposure (Avg), highest average 15 min exposure (15 mHA), and estimated arithmetic mean (MVUE).
Real-time monitoring results for CO indicate that the TWA (30 ppm) [19] was possibly exceeded on a few occasions. Firefighter 7 at Burn 3 was exposed to a shift average of 39.3 ppm and experienced a 15 min exposure of 198.3 ppm. Firefighter 4 at the same burn also experienced high concentrations of CO approaching the TWA. Another firefighter at Burn 4 was also possibly exposed to high concentrations of CO, recording a shift average of 32.5 ppm.
The WES for NO2 (TWA 3 ppm, STEL 5 ppm) [20] was not exceeded by any firefighter at a prescribed burn. The highest indicated shift average exposure of NO2 was 0.3 ppm, experienced by a firefighter at Burn 4, and the highest indicated 15 min exposure of a firefighter was 0.7 ppm, experienced by a firefighter at Burn 3.
Currently there is no exposure standard for general VOCs, but some individual constituents of VOCs have associated exposure standards, such as formaldehyde, which has a TWA of 0.1 ppm and a STEL of 0.3 ppm [21]. Some chemicals, such as benzene, which has a TWA of 0.1 ppm and STEL of 1.0 ppm [22], may be of particular concern due to high concentrations of VOC measured for several firefighters. The highest indicated VOC exposures experienced by a single firefighter were observed at Burn 2, where they experienced an estimated shift average exposure of 2.3 ppm and an estimated 15 min high of 63.6 ppm. On several occasions, the maximum readable concentration was exceeded on the gas monitors (over 500 ppm of CO on several occasions, over 20 ppm of SO2 on two occasions, over 500 ppm on VOC on one occasion) and because of these sampling limitations, the above results may be underreported. It is important to reiterate that no firefighter wore any RPE during their operations at a prescribed burn.
3.3.2. Bushfires
Table 4 provides the estimated average shift exposure and highest estimated 15 min exposure of n = 7 firefighters to chemical exposures experienced at bushfire events. It also shows two static cabin readings of the vehicles that the firefighters were driving during those events. Overall, the exposure of firefighters to SO2 at bushfires was low, with many shift averages indicating less than 0.01 ppm exposure. At only one bushfire event (bushfire 5) were SO2 levels elevated. As the table suggests, the estimated shift exposure of firefighters to CO at bushfires was low, with most firefighters at these events recording less than 50% of the published TWA [19]. Concentrations of NO2 were also well below exposure limits, with most firefighters recording a safe estimated exposure. The peak estimated gaseous exposure experienced by a firefighter for a 10 s duration at a bushfire event was 3.5 ppm for SO2, 500 ppm (the maximum for the gas monitor) for CO, 3.9 ppm for NO2, and 44.0 ppm for VOC.
Table 4.
Firefighter exposure to chemicals (SO2, CO, NO2 and general VOCs) during bushfire events, reported as the shift average exposure (Avg), highest average 15 min exposure (15 mHA), and estimated arithmetic mean (MVUE).
The one exception to the general findings was a single firefighter at Bushfire 5. Our findings suggest that the CO TWA was possibly exceeded, and high concentrations were recorded for SO2 (TWA 0.1 ppm; STEL 1.5 ppm), NO2 (TWA 0.3 ppm; STEL 2.5 ppm), and general VOC throughout their shift. At this same fire, measurements taken in the cabin of their vehicle also recorded high concentrations of these gases. This firefighter reported their personal exposure perceptions to be medium.
3.3.3. Bushfire vs. Prescribed Burn
The estimated shift exposure for firefighters at a prescribed burn versus bushfire was (0.12 ppm and 0.04 ppm) for SO2, (14.5 ppm and 14.2 ppm) for CO, (0.02 ppm and 0.10 ppm) for NO2, and (0.68 ppm and 0.47 ppm) for general VOC, respectively.
The peak exposure of firefighters measured at prescribed burns for a 10 s period were higher compared to bushfire events for all chemicals sampled: 8.6 ppm and 1.6 ppm for SO2, 243.6 ppm and 241.14 ppm for CO, 1.1 ppm and 1.0 ppm for NO2, and 84.00 and 11.3 ppm for VOC.
3.3.4. PM Average Difference
An independent t-test was performed to compare the mean particulate matter (PM10) exposure during burn events and fire events. The mean PM10 exposure for prescribed burn events was 579.15 µg/m3 (SD = 386.33 µg/m3), while the mean PM10 exposure for bushfire events was 871.05 µg/m3 (SD = 414.23 µg/m3). The t-test indicated no statistically significant difference between the two means: t(18) = −1.45, p = 0.17. The highest 15 min mean PM10 concentration for prescribed burn events was 3085.01 µg/m3 (SD = 4448.94 µg/m3) and for bushfire events, the mean PM10 concentration was 2986.18 µg/m3 (SD = 2718.00 µg/m3). The t-test results indicated no statistically significant difference between the two means: t(18) = 0.05, p = 0.96.
3.3.5. CO Average Difference
Mean carbon monoxide (CO) exposure between burn and bushfire events was compared and the mean CO exposure during burn events was 16.94 ppm (SD = 11.96 ppm), while the mean CO exposure during bushfire events was 11.76 ppm (SD = 13.17 ppm). The independent t-test results indicated no statistically significant difference between the two means: t(18) = 0.98, p = 0.34. The highest 15 min mean CO exposure during prescribed burns was 58.74 ppm (SD = 54.90 ppm), while the mean CO exposure during bushfires was 110.13 ppm (SD = 113.58 ppm).
The results of the t-test indicated that there was no statistically significant difference in CO exposure between prescribed burns and bushfires: t(22) = −1.28, p = 0.22.
3.3.6. Urinary Polycyclic Aromatic Hydrocarbons
In total, eight participants provided urine samples from three different prescribed burns. Each participant had samples collected both before and after their shift. Overall, there was no detectable difference in the urinary concentrations before and after the burns for 1-OH pyrene across any of the samples, with all samples (before and after the shift) recording < 2.0 µg/L of 1-OH pyrene.
3.3.7. Personal Perception of Smoke
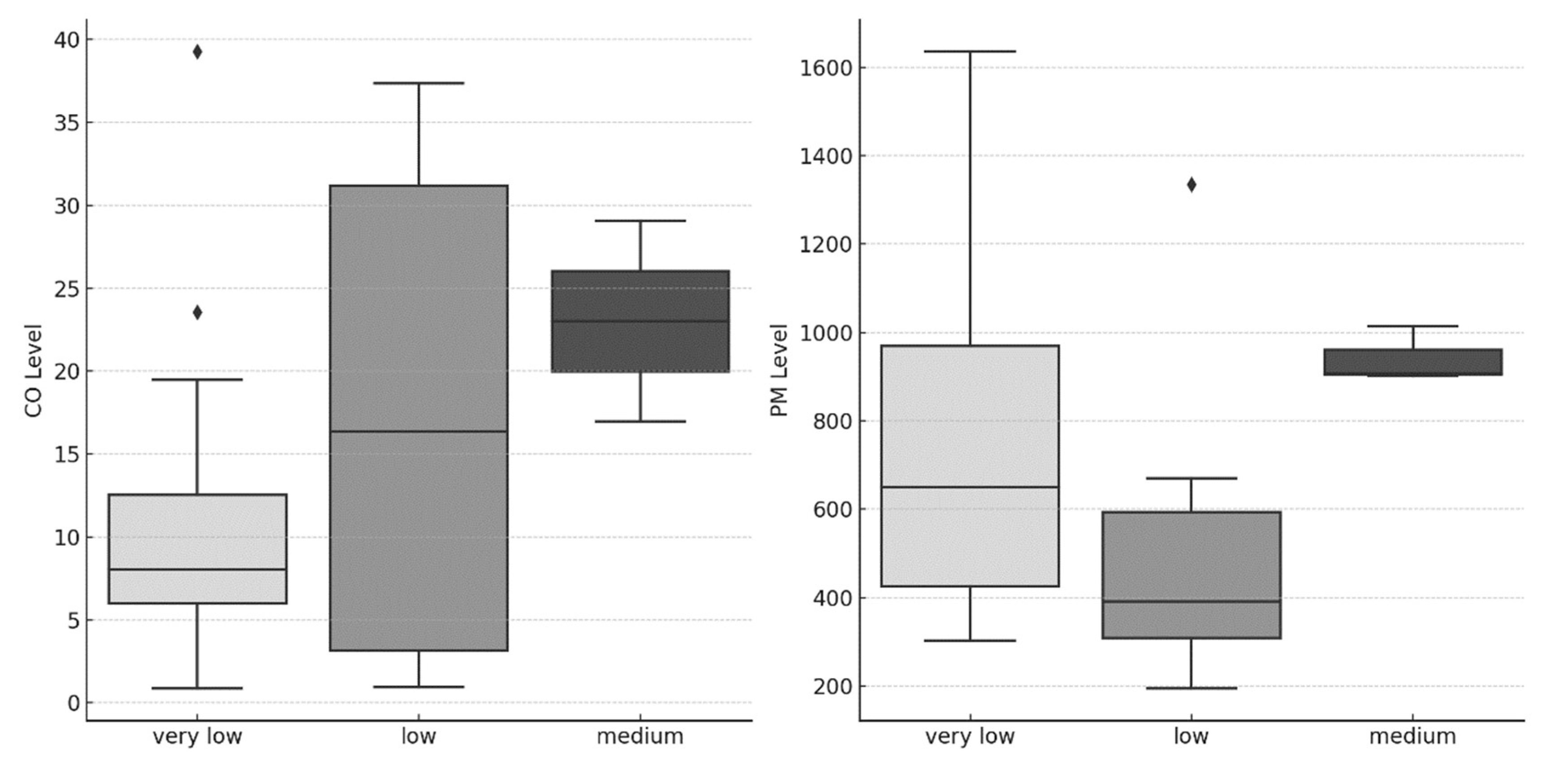
The majority (87%) of participants rated their exposure to smoke at all fire events sampled to be either very low or low. Only 13% of total participants rated their exposure to be medium and none reported their exposure was high or very high. A one-way analysis of variance (ANOVA) was conducted to examine the differences in mean carbon monoxide (CO) and particulate matter (PM) exposure levels across three exposure rating categories: “very low”, “low”, and “medium.”
The mean CO levels were as follows: “very low” (M = 11.86, SD = 10.48), “low” (M = 17.64, SD = 16.52), and “medium” (M = 23.01, SD = 8.55). The ANOVA for CO levels showed no statistically significant difference between the rating groups: F(2, 13) = 0.96, p = 0.40. Post hoc comparisons using Tukey’s Honest Significant Difference (HSD) test confirmed that none of the pairwise comparisons between the rating groups were statistically significant (all p > 0.05). Therefore, CO exposure did not vary significantly across the categories.
For PM levels, the mean values were: “very low” (M = 777.60, SD = 498.45), “low” (M = 513.73, SD = 368.19), and “medium” (M = 940.54, SD = 63.11). The ANOVA for PM levels also showed no statistically significant difference between the rating groups: F(2, 12) = 1.53, p = 0.25. Tukey’s HSD post hoc tests further indicated that none of the pairwise comparisons between the ratings were statistically significant (all p > 0.05). PM exposure levels did not significantly differ across the three rating groups.
4. Discussion
4.1. Particulate Matter
This study aimed to quantify personal exposures of firefighters at prescribed burns and bushfires across a range of locations in Western Australia (WA). Contrary to previous research conducted in WA [9,10], this study found that PM2.5 is not the most abundant particle size to which firefighters are exposed while containing or extinguishing wildland fires in Western Australia. The data collected demonstrated that larger particle sizes were more abundant compared to smaller particle sizes in the same smoke plume (Figure 1). This study represents the first real-time monitoring of particulate matter conducted with firefighters at the frontline of a bushfire in Australia. Consequently, it may serve as a foundation for larger studies and the development of an exposure standard for bushfire smoke.
Figure 1.
Boxplot of firefighter average shift exposure to CO (ppm) and PM10 (ug/m3) stratified by personal exposure rating.
In Australia, there is currently no exposure standard for particulate matter exposure from bushfire smoke. The Occupational Safety and Health Administration (OSHA) in the United States of America has set an occupational exposure limit (OEL) for the respirable fraction of particles not otherwise regulated (PNOR; including some PM4 as well as larger particles) for an 8 h workday at 5 milligrams per cubic metre (mg/m3) or 5000 micrograms per cubic metre (μg/m3) [23]. All firefighter exposures in the current study were measured at concentrations lower than the OSHA PEL-TWA.
In North America, The National Wildfire Coordinating Group (NWCG): Smoke Exposure Task Group recommends a wildland firefighter OEL of 0.7 mg/m3 (700 ug/m3) for shift-average PM4. Navarro, West, O’Dell, Sen, Chen, Fischer, Hornbrook, Apel, Hills, and Jarnot [17] recently investigated PM exposure to firefighters in the United States and found that 19% of participants exceeded the 0.7 mg/m3 standard. Our study, which measured PM4.25, found that no firefighters exceeded this exposure standard. The difference in shift exposure to PM4.25 could be attributed to the different firefighting tactics used in Australia and the heavy reliance on all-terrain firefighting appliances to transport and shelter firefighters from smoke exposure. Although our findings suggest that firefighters in Western Australia experience marginally lower PM4.25 exposure during wildfires compared to their North American counterparts [17], other particle sizes may be of greater concern, as the current research found that firefighters are exposed to far higher concentrations of PM10 compared to PM4.25.
4.2. Chemical Exposures
This study provides an examination of gaseous chemical exposures experienced by firefighters during wildland fire events, highlighting potential implications for occupational health. Our data indicates that firefighters are occasionally exposed to potentially hazardous concentrations of carbon monoxide (CO) and volatile organic compounds (VOCs). While nitrogen dioxide (NO2) and sulphur dioxide (SO2) were detected at lower levels, their cumulative effect, along with other gases present in bushfire smoke, could still pose significant risks to firefighters’ overall toxic exposure. Moreover, frequent overloading of gas monitors, particularly SO2 and CO sensors resulting maxing out of sensors, suggests that actual exposure levels may be higher than those recorded.
We documented three instances where both the CO time-weighted average (TWA) and short-term exposure limit (STEL) were possibly surpassed for firefighters, particularly during bushfire events compared to prescribed burns. Interestingly, the interior of firefighting vehicles appeared to not offer much protection from gaseous exposures as results from participants in said vehicles indicated that concentration of gas may have exceeded published standards. This suggests that relocating firefighting appliances away from the fire front might be more effective in safeguarding firefighters from gaseous exposures than relying on cabin shielding alone. This approach, which prioritises higher-level controls over PPE, is increasingly supported by recent research and is gaining traction in contemporary research [24].
In comparison to prior Australian research [11,25], our findings revealed a higher average shift exposure to CO, although the highest 15 min average measurements aligned with those previously reported by Reisen and colleagues. Reinhardt and Ottmar (2004) previously recommended a scaling factor of 0.54 be applied to existing CO exposure standards to better reflect the unique working conditions of firefighters and their exposure to multiple air toxins. If this correction factor was applied, the exposure standard would be exceeded for almost 60% of firefighters attending prescribed burns sampled in our study. The recommendation regarding the scaling factor was suggested more than 20 years ago, suggesting that little has changed in the exposure management of wildland firefighters, especially in Australia. Recent qualitative research with Australian firefighters highlighted knowledge gaps about the health risks associated with bushfire-generated contaminants and firefighter frustration at inequities in the adequate provision of respiratory protection and decontamination facilities [12].
Interpreting the VOC exposure findings is challenging due to the use of a general VOC sensor on the Multi-Rae device. This makes comparison with Workplace Exposure Standards (WESs) of commonly measured VOCs, such as formaldehyde, impossible. However, comparisons can be made to smoke analysis conducted on bushfires and prescribed burns, with recent research highlighting the presence and potentially dangerous concentrations of benzene, formaldehyde, and acrolein [26]. Additionally, these chemicals were found to be released from firefighting PPE after initial exposure, indicating that firefighters may continue to be exposed to these harmful substances well after direct exposure has ended, and possibly beyond the period covered by hygiene monitoring [27].
4.3. Prescribed Burns Versus Bushfire Exposures
Our data shows that PM exposure was slightly higher at bushfire events compared to prescribed burns; however, gas exposures were similar between the two types of fire events. Variance of PM and CO exposures are reported in Supplementary Material Table S2 and S3. During prescribed burns, firefighters typically operate at the boundary lines of the burn cell, often positioned upwind to ensure containment of the fire within the designated area. It was initially hypothesised that the much higher intensity of bushfires would result in increased exposure of firefighters to harmful contaminants. However, in practice, much of the time spent by firefighters at large bushfires is not directly involved in fighting the fire itself, compared to the higher workloads sometimes required at prescribed burns [28].
Our observations revealed that firefighters dedicated significant amounts of time to tasks such as property assessments, maintaining defensive lines far from the fire front, supervising machinery cutting boundary breaks, and ’blacking-out’ already burned ground to prevent reignitions. Unlike prescribed burns, where frontal attacks are more common, large bushfires often necessitate defensive strategies, supported by aerial appliances, which may limit direct exposure to harmful elements [29].
Due to the comparable nature of exposure between prescribed burns and bushfires, prescribed burns may serve as a suitable testing ground for future exposure monitoring and testing of other workplace safety methods, as they appear to reflect bushfire environments effectively. This finding underscores the importance of utilising prescribed burns not only for land management purposes but also for enhancing firefighter safety through exposure monitoring and safety testing initiatives.
4.4. Polycyclic Aromatic Hydrocarbon Body Burden
In our examination of urinary polycyclic aromatic hydrocarbon (PAH) levels among firefighters, our study did not find a significant elevation in the biomarker 1-hydroxy pyrene (1-OH pyrene) levels pre- and post-shift. This finding contrasts with much of the current literature. For instance, a meta-analysis by Hwang et al. [30] found a 1.7 times increase in urinary PAH across 27 studies that examined firefighter samples from both wildfire and structural fires. Our study followed the protocol of other recent studies, which also found a similar trend of increased urinary PAH levels after firefighters’ shifts, such as those by Barros et al. [31], Cherry et al. [32], and Oliveira et al. [33] who established/measured increases in urinary PAH.
It is possible that our subjects were exposed to less smoke and associated contaminants than participants in the mentioned studies, which may account for our findings. However, further investigation is required to fully understand the factors contributing to the finding. Further research could explore variations in firefighting tactics, fire conditions, or personal protective equipment usage that might have influenced the PAH exposure levels among the firefighters in this study. Understanding these factors is crucial for developing effective strategies to minimise PAH exposure and protect firefighters’ health.
4.5. Exposure Monitoring Challenges
The extreme and unpredictable nature of wildland firefighting poses challenges when deploying personal sampling devices during bushfire events. It was observed that even with rugged devices like the Multi-Rae, the air intakes became blocked after 4–6 hours of use on the fire ground due to the high concentration of particulate matter (PM) in the air. The gradual blockage of filters caused the internal pump to work harder to maintain airflow, resulting in increased noise levels that distracted and annoyed participants, leading many to switch off the device to focus on their tasks. Consequently, this led to the loss of many samples.
Initial attempts at traditional PM monitoring proved impractical, as filters would block within 90 min of firefighters starting their work, underscoring the high PM environment they operate in. In contrast, while not yet approved as compliant monitoring methods, Trolex real-time PM monitoring devices performed well. They were quiet and comfortable for participants to wear for extended periods, resulting in a higher retention rate of samples compared to gas monitoring. However, further testing of these filter-less devices over extended periods is necessary to determine their precision, accuracy and robustness in high PM environments.
The operational demands faced by firefighters further complicated exposure monitoring. Firefighters were often deployed to fires suitable for exposure monitoring, only to be rerouted to other locations, sometimes hundreds of kilometres away from the initial fire. Additionally, the use of water and foam in firefighting operations rendered approved passive sampling devices for volatile organic compound (VOC) monitoring impractical compared to real-time monitoring. Due to these challenges, alternative methods of estimating workplace exposure may be more suitable.
4.6. Personal Perception of Smoke
When asked to rate their exposure to smoke on the day of operations, the majority of participants (87%) rated their personal smoke exposure as either low or very low. summary of personal exposure ratings is available in the Supplementary Material (Table S1) This perception of minimal exposure to smoke, despite the findings indicating high levels of particulate matter (PM) exposure and nearing exposure limits for several gases, highlights a potential gap in the personal awareness of the workplace hazards faced by these workers.
This finding reinforces previous qualitative research, which found that volunteer firefighters often lacked understanding of the health risks they are likely to encounter during a bushfire [12]. Additionally, it underscores the potential impact of cultural challenges within firefighting organisations, reported in previous research where findings demonstrated resistance to the use of personal protective equipment (PPE) among volunteer firefighters and a lack of access to respiratory protective equipment (RPE) and decontamination facilities for forestry firefighters [12].
Similarly, Zadunayski et al. [34] found that firefighters’ subjective perception of smoke intensity did not align with actual particulate exposure levels. Despite higher measured exposure, mask use was not more frequent, indicating a disconnect between perception and protective behaviour. This misalignment highlights the importance of addressing both awareness and cultural factors within firefighting organisations, which could significantly influence health outcomes.
Further research is required on this issue, with larger sample sizes and more appropriate methodology, to explore these phenomena. This is particularly important in light of the potential health consequences of inadequate awareness and protection from the health risks present in a wildland fire environment.
4.7. Strengths and Limitations
Our study provides an integrated dataset on the personal exposure profiles of wildland firefighters across vastly different regions across WA. It also represents the first time that real-time monitoring of PM has been conducted on this group of workers in Australia. A notable limitation is the fact that real-time monitoring methods for particulate monitoring have not yet been validated and approved by most occupational hygiene regulatory authorities. However, the approved gravimetric method is not appropriate for personal sampling in this unique cohort as the equipment is cumbersome, rapidly overloads the sample filters and requires extensive time to setup and prepare samples for analysis. Due to the unplanned nature of rapidly evolving bushfire emergencies, it was not always possible to attend and sample all fires that occurred over the study period; as a result, several large-scale (and possibly more harmful) fires were impractical to survey. In addition, our findings may have limited generalisability beyond WA due to the unique vegetation profiles, fuel compositions, and loadings in each eco-region. It is recommended that the methods used in this study be replicated in other environments, with larger sample sizes to obtain a more comprehensive understanding of the applicability of real-time devices.
5. Conclusions
This research underscores the efficacy of real-time PM monitoring devices over traditional methods in dynamic, volatile, and extreme environments, suggesting that there is a disparity between firefighters’ perceived smoke exposure and reality. Additionally, it challenges previous assumptions about the abundance of PM2.5 that firefighters are exposed to and proposes that PM10 may be a greater exposure risk. While chemical exposures were potentially low, the cumulative exposure of PM and chemical supports the need to provide combination cartridge filters in RPE for all firefighters in the wildland space. Moreover, the comparable exposures at burns and bushfires suggest that prescribed burns are a valuable experimental setting for refining protective practises, firefighting strategies and conducting exposure monitoring. Nonetheless, monitoring firefighter exposure remains challenging and potentially dangerous so the necessity for surrogate measures like biomonitoring or analysing tunic off-gassing is important. Finally, there is an imperative for more precise investigation of the chemical composition of WA bushfire smoke for a better assessment of risk of exposure to firefighters.
Supplementary Materials
The following supporting information can be downloaded at: https://www.mdpi.com/article/10.3390/fire8030098/s1, Table S1: Firefighters’ personal exposure ratings of smoke exposure during their shift at prescribed burn and bushfire events expressed on a Likert scale. Table S2: Combined variance of PM concentrations across Bushfire and Prescribed Burn events for each PM type (PM1, PM2.5, PM4.25, and PM10) for shift average exposure (avg) and the 15-minute highest average exposure (15mHA). Table S3: Combined variance of chemical concentrations across Bushfire and Prescribed Burn events for each chemical measured (SO2, CO, NO2 and VOC) for shift average exposure (avg) and the 15-minute highest average exposure (15mHA).
Author Contributions
Conceptualization, K.P. and J.O.; methodology, K.P. and J.O.; formal analysis, K.P.; investigation, K.P.; writing—original draft preparation, K.P.; writing—review and editing, K.P., A.L., R.W. and J.O.; supervision, A.L., R.W. and J.O. All authors have read and agreed to the published version of the manuscript.
Funding
We acknowledge and appreciate the support of Natural Hazards Research Australia who have provided a scholarship and support to the primary author for this important research. This research was supported by an Australian Government Research Training Program (RTP) scholarship.
Institutional Review Board Statement
The study was conducted in accordance with the Declaration of Helsinki and approved by the Ethics Committee of EDITH COWAN UNIVERSITY (2022-03698-PADAMSEY; 28 October 2022) for studies involving humans.
Informed Consent Statement
Written informed consent was obtained from all subjects involved in the study.
Data Availability Statement
The data that support this study cannot be publicly shared due to ethical or privacy reasons. The raw data from this study will be made available upon reasonable request to the corresponding author.
Acknowledgments
We graciously acknowledge the contributions of The Department of Biodiversity, Conservations and Attractions and the Department of Fire and Emergency Services for their support and collaboration.
Conflicts of Interest
The authors declare no conflict of interest.
References
- Herold, N.; Downes, S.; Gross, M.; Ji, F.; Nishant, N.; Macadam, I.; Ridder, N.; Beyer, K. Projected changes in the frequency of climate extremes over southeast Australia. Environ. Res. Commun. 2021, 3, 011001. [Google Scholar] [CrossRef]
- Davey, S.M.; Sarre, A. The 2019/20 Black Summer bushfires. Aust. For. 2020, 83, 47–51. [Google Scholar] [CrossRef]
- Gill, B.; Britz-McKibbin, P. Biomonitoring of smoke exposure in firefighters: A review. Curr. Opin. Environ. Sci. Health 2020, 15, 57–65. [Google Scholar] [CrossRef]
- Binskin, M.; Bennett, A.; Macintosh, A. Royal Commission into Natural Disaster Arrangements. 2020; p. 115. Available online: https://www.royalcommission.gov.au/system/files/2020-12/Royal%20Commission%20into%20National%20Natural%20Disaster%20Arrangements%20-%20Report%20%20%5Baccessible%5D.pdf (accessed on 25 February 2025).
- Demers, P.A.; DeMarini, D.M.; Fent, K.W.; Glass, D.C.; Hansen, J.; Adetona, O.; Andersen, M.H.G.; Freeman, L.E.B.; Caban-Martinez, A.J.; Daniels, R.D.; et al. Carcinogenicity of occupational exposure as a firefighter. Lancet Oncol. 2022, 23, 985–986. [Google Scholar] [CrossRef]
- International Agency for Research on Cancer. Occupational Exposure as a Firefighter. IARC Monographs on the Identification of Carcinogenic Hazards to Humans. Available online: https://publications.iarc.fr/615 (accessed on 8 August 2023).
- Department of Fire and Emergency Services. 2020/21 Annual Report. Available online: https://www.dfes.wa.gov.au/annualreport2021/ (accessed on 30 March 2022).
- Dong, T.; Hinwood, A.; Callan, A.; Stock, W. Emissions of gaseous pollutants from laboratory-based fires of vegetation from five common vegetation types in Western Australia. Atmos. Pollut. Res. 2020, 11, 180–189. [Google Scholar] [CrossRef]
- Dong, T.; Stock, W.; Callan, A.; Strandberg, B.; Hinwood, A. Emission factors and composition of PM2.5 from laboratory combustion of five Western Australian vegetation types. Sci. Total Environ. 2020, 703, 134796. [Google Scholar] [CrossRef]
- De Vos, A.J.; Reisen, F.; Cook, A.; Devine, B.; Weinstein, P. Respiratory irritants in Australian bushfire smoke: Air toxics sampling in a smoke chamber and during prescribed burns. Arch. Environ. Contam. Toxicol. 2009, 56, 380–388. [Google Scholar] [CrossRef]
- Reisen, F.; Hansen, D.; Meyer, C.M. Exposure to bushfire smoke during prescribed burns and wildfires: Firefighters’ exposure risks and options. Environ. Int. 2011, 37, 314–321. [Google Scholar] [CrossRef]
- Padamsey, K.; Wallace, R.; Liebenberg, A.; Cross, M.; Oosthuizen, J. Fighting fire and fumes: Risk awareness and protective practices among Western Australian firefighters. Int. J. Wildland Fire 2024, 33, WF23147. [Google Scholar] [CrossRef]
- Trolex BreatheLITE [Computer Software]. 2023. Stockport (UK): Trolex. Available online: https://trolex.com (accessed on 25 February 2025).
- Safe Work Australia. Workplace Exposure Standards for Airborne Contaminants. Available online: https://www.safeworkaustralia.gov.au/doc/workplace-exposure-standards-airborne-contaminants-2022 (accessed on 10 February 2022).
- RAE systems. ProRae Studio II. Redwood City (CA): RAE Systems. 2022. Available online: https://www.raesystems.com (accessed on 25 February 2025).
- MacSween, K.; Paton-Walsh, C.; Roulston, C.; Guérette, E.-A.; Edwards, G.; Reisen, F.; Desservettaz, M.; Cameron, M.; Young, E.; Kubistin, D. Cumulative firefighter exposure to multiple toxins emitted during prescribed burns in Australia. Expo. Health 2020, 12, 721–733. [Google Scholar] [CrossRef]
- Navarro, K.M.; West, M.R.; O’Dell, K.; Sen, P.; Chen, I.-C.; Fischer, E.V.; Hornbrook, R.S.; Apel, E.C.; Hills, A.J.; Jarnot, A. Exposure to particulate matter and estimation of volatile organic compounds across wildland firefighter job tasks. Environ. Sci. Technol. 2021, 55, 11795–11804. [Google Scholar] [CrossRef] [PubMed]
- Safe Work Australia. Exposure Standard Details: Sulphur Dioxide. Available online: https://hcis.safeworkaustralia.gov.au/ExposureStandards/Details?exposureStandardID=576 (accessed on 8 April 2024).
- Safe Work Australia. Exposure Standard Details: Carbon Monoxide (e). Available online: https://hcis.safeworkaustralia.gov.au/ExposureStandards/Details?exposureStandardID=111 (accessed on 8 April 2024).
- Safe Work Australia. Exposure Standard Details: Nitric Oxide. Available online: https://hcis.safeworkaustralia.gov.au/ExposureStandards/Details?exposureStandardID=438 (accessed on 8 April 2024).
- Safe Work Australia. Exposure Standard Details: Formaldehyde (h). Available online: https://hcis.safeworkaustralia.gov.au/ExposureStandards/Details?exposureStandardID=1094 (accessed on 8 April 2024).
- Safe Work Australia. Exposure Standard Details: Benzene. Available online: https://hcis.safeworkaustralia.gov.au/ExposureStandards/Details?exposureStandardID=1065 (accessed on 8 April 2024).
- Occupational Safety and Health Administration. Particles not Otherwise Regulated, Total and Respirable Dust (PNOR). Available online: https://www.osha.gov/chemicaldata/801 (accessed on 23 May 2024).
- Horn, G.P.; Fent, K.W.; Kerber, S.; Smith, D.L. Hierarchy of contamination control in the fire service: Review of exposure control options to reduce cancer risk. J. Occup. Environ. Hyg. 2022, 19, 538–557. [Google Scholar] [CrossRef] [PubMed]
- Reisen, F.; Brown, S.K. Australian firefighters’ exposure to air toxics during bushfire burns of autumn 2005 and 2006. Environ. Int. 2009, 35, 342–352. [Google Scholar] [CrossRef]
- Padamsey, K.; Liebenberg, A.; Wallace, R.; Oosthuizen, J. Characterising the Chemical Composition of Bushfire Smoke and Implications for Firefighter Exposure in Western Australia. Fire 2024, 7, 388. [Google Scholar] [CrossRef]
- Padamsey, K.; Liebenberg, A.; Wallace, R.; Oosthuizen, J. Preliminary Assessment of Tunic Off-Gassing after Wildland Firefighting Exposure. Fire 2024, 7, 321. [Google Scholar] [CrossRef]
- Phillips, M.; Payne, W.; Lord, C.; Netto, K.; Nichols, D.; Aisbett, B. Identification of physically demanding tasks performed during bushfire suppression by Australian rural firefighters. Appl. Ergon. 2012, 43, 435–441. [Google Scholar] [CrossRef]
- Bushfire Centre of Excellence. Guide to Mechanical Bushfire Mitigation. Available online: https://publications.dfes.wa.gov.au/publications/guide-to-mechanical-bushfire-mitigation (accessed on 23 May 2024).
- Hwang, J.; Xu, C.; Grunsted, P.; Agnew, R.J.; Malone, T.R.; Clifton, S.; Thompson, K.; Xu, X. Urinary Metabolites of Polycyclic Aromatic Hydrocarbons in Firefighters: A systematic review and meta-analysis. Int. J. Environ. Res. Public Health 2022, 19, 8475. [Google Scholar] [CrossRef]
- Barros, B.; Oliveira, M.; Morais, S. Urinary biohazard markers in firefighters. Adv. Clin. Chem. 2021, 105, 243–319. [Google Scholar]
- Cherry, N.; Galarneau, J.-M.; Kinniburgh, D.; Quemerais, B.; Tiu, S.; Zhang, X. Exposure and absorption of PAHs in wildland firefighters: A field study with pilot interventions. Ann. Work Expo. Health 2021, 65, 148–161. [Google Scholar] [CrossRef]
- Oliveira, M.; Costa, S.; Vaz, J.; Fernandes, A.; Slezakova, K.; Delerue-Matos, C.; Teixeira, J.P.; Pereira, M.C.; Morais, S. Firefighters exposure to fire emissions: Impact on levels of biomarkers of exposure to polycyclic aromatic hydrocarbons and genotoxic/oxidative-effects. J. Hazard. Mater. 2020, 383, 121179. [Google Scholar] [CrossRef]
- Zadunayski, T.; Broznitsky, N.; Lichty, D.; Cherry, N. Perceptions of Exposure and Mask Use in Wildland Firefighters. Toxics 2024, 12, 576. [Google Scholar] [CrossRef] [PubMed]
Disclaimer/Publisher’s Note: The statements, opinions and data contained in all publications are solely those of the individual author(s) and contributor(s) and not of MDPI and/or the editor(s). MDPI and/or the editor(s) disclaim responsibility for any injury to people or property resulting from any ideas, methods, instructions or products referred to in the content. |
© 2025 by the authors. Licensee MDPI, Basel, Switzerland. This article is an open access article distributed under the terms and conditions of the Creative Commons Attribution (CC BY) license (https://creativecommons.org/licenses/by/4.0/).
