Comparing Grassland Fire Drivers and Models in Inner Mongolia Using Field and Remote Sensing Data
Abstract
1. Introduction
2. Overview of the Research Area and Research Methods
2.1. General Situation
2.2. Data Source and Preprocessing
2.2.1. Fire Data
2.2.2. Meteorological Data
2.2.3. Terrain Data
2.2.4. Vegetation Data
2.2.5. Human and Socio-Economic Data
2.3. Research Method
2.3.1. Data Preprocessing
2.3.2. Match Meteorological Data
2.4. Model
- (1)
- Random Forest Model
- (2)
- Enhanced Regression Tree Model
- (3)
- Gompit regression model
- (4)
- Logistic Regression Model
- (5)
- Support Vector Machine Model
- (6)
- XGBoost Model
2.5. Model Accuracy Verification
2.6. Marginal Effects
3. Results and Analysis
3.1. Grassland Fire Situation
3.2. Model Performance Comparison
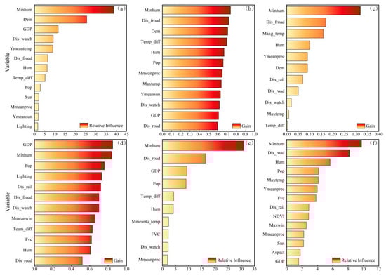
3.3. Variable Importance Sorting
3.4. Draw a Probability Map of Fire Occurrence
3.5. Marginal Effects of Driving Factors for Grassland Fires
4. Discussion
4.1. Analysis of Differences Between Manually Recorded Data and Satellite Remote Sensing Data
4.2. Driving Factors Affecting Grassland Fires
4.3. Probability of Grassland Fires in Inner Mongolia
5. Conclusions
6. Shortcomings and Prospects
Author Contributions
Funding
Data Availability Statement
Acknowledgments
Conflicts of Interest
References
- Aldersley, A.; Murray, S.J.; Cornell, S.E. Global and regional analysis of climate and human drivers of wildfire. Sci. Total Environ. 2011, 409, 3472–3481. [Google Scholar] [CrossRef] [PubMed]
- Thomson, D.M.; Bonapart, A.D.; King, R.A.; Schultz, E.L.; Startin, C.R. Long-term monitoring of a highly invaded annual grassland community through drought, before and after an unintentional fire. J. Veg. Sci. 2020, 31, 307–318. [Google Scholar] [CrossRef]
- Steiner, J.L.; Wetter, J.; Robertson, S.; Teet, S.; Wang, J.; Wu, X.; Zhou, Y.; Brown, D.; Xiao, X. Grassland wildfires in the Southern Great Plains: Monitoring ecological impacts and recovery. Remote Sens. 2020, 12, 619. [Google Scholar] [CrossRef]
- Jiang, L.; YU, S.; Wulantuya, D. Summary of grassland fire research. Acta Agrestia Sin. 2018, 26, 791. [Google Scholar]
- Mohajane, M.; Costache, R.; Karimi, F.; Pham, Q.B.; Essahlaoui, A.; Nguyen, H.; Laneve, G.; Oudija, F. Application of remote sensing and machine learning algorithms for forest fire mapping in a Mediterranean area. Ecol. Indic. 2021, 129, 107869. [Google Scholar] [CrossRef]
- Jolly, W.M.; Cochrane, M.A.; Freeborn, P.H.; Holden, Z.A.; Brown, T.J.; Williamson, G.J.; Bowman, D.M. Climate-induced variations in global wildfire danger from 1979 to 2013. Nat. Commun. 2015, 6, 7537. [Google Scholar] [CrossRef]
- Chandra, K.; Bhardwaj, A.K. Incidence of forest fire in India and its effect on terrestrial ecosystem dynamics, nutrient and microbial status of soil. Int. J. Agric. For. 2015, 5, 69–78. [Google Scholar]
- Guo, F.; Innes, J.L.; Wang, G.; Ma, X.; Sun, L.; Hu, H.; Su, Z. Historic distribution and driving factors of human-caused fires in the Chinese boreal forest between 1972 and 2005. J. Plant Ecol. 2015, 8, 480–490. [Google Scholar] [CrossRef]
- Ma, W.; Feng, Z.; Cheng, Z.; Chen, S.; Wang, F. Identifying forest fire driving factors and related impacts in china using random forest algorithm. Forests 2020, 11, 507. [Google Scholar] [CrossRef]
- Chang, Y.; Zhu, Z.; Bu, R.; Chen, H.; Feng, Y.; Li, Y.; Hu, Y.; Wang, Z. Predicting fire occurrence patterns with logistic regression in Heilongjiang Province, China. Landsc. Ecol. 2013, 28, 1989–2004. [Google Scholar] [CrossRef]
- Ruffault, J.; Mouillot, F. Contribution of human and biophysical factors to the spatial distribution of forest fire ignitions and large wildfires in a French Mediterranean region. Int. J. Wildland Fire 2017, 26, 498–508. [Google Scholar] [CrossRef]
- Su, Z.; Hu, H.; Tigabu, M.; Wang, G.; Zeng, A.; Guo, F. Geographically weighted negative Binomial regression model predicts wildfire occurrence in the Great Xing’an Mountains better than negative Binomial Model. Forests 2019, 10, 377. [Google Scholar] [CrossRef]
- Gao, C.; Zhao, F.; Shi, C.; Liu, K.; Wu, X.; Wu, G.; Liang, Y.; Shu, L. Previous Atlantic Multidecadal Oscillation (AMO) modulates the lightning-ignited fire regime in the boreal forest of Northeast China. Environ. Res. Lett. 2021, 16, 024054. [Google Scholar] [CrossRef]
- Wang, S.; Liang, X. Prediction of Forest Fire Damage Area Based on Random Forest and XGBoost. China Comput. Commun. 2022, 34, 5–8. [Google Scholar]
- Sakr, G.E.; Elhajj, I.H.; Mitri, G. Efficient forest fire occurrence prediction for developing countries using two weather parameters. Eng. Appl. Artif. Intell. 2011, 24, 888–894. [Google Scholar] [CrossRef]
- Shao, Y.; Feng, Z.; Cao, M.; Wang, W.; Sun, L.; Yang, X.; Ma, T.; Guo, Z.; Fahad, S.; Liu, X. An ensemble model for forest fire occurrence mapping in China. Forests 2023, 14, 704. [Google Scholar] [CrossRef]
- Cui, Y.; Di, H.; Xing, Y.; Chang, X.; Shan, W. Spatial and temporal distributions of forest fires in Heilongjiang Province from 2001 to 2018 based on MODIS data. J. Nanjing For. Univ. 2021, 45, 205. [Google Scholar]
- Chan, A.H.; Guizar-Coutiño, A.; Kalamandeen, M.; Coomes, D.A. Reconstructing 34 years of fire history in the wet, subtropical vegetation of Hong Kong using Landsat. Remote Sens. 2023, 15, 1489. [Google Scholar] [CrossRef]
- Xie, L.; Zhang, R.; Zhan, J.; Li, S.; Shama, A.; Zhan, R.; Wang, T.; Lv, J.; Bao, X.; Wu, R. Wildfire risk assessment in Liangshan Prefecture, China based on an integration machine learning algorithm. Remote Sens. 2022, 14, 4592. [Google Scholar] [CrossRef]
- Mishra, B.; Panthi, S.; Poudel, S.; Ghimire, B.R. Forest fire pattern and vulnerability mapping using deep learning in Nepal. Fire Ecol. 2023, 19, 3. [Google Scholar] [CrossRef]
- Osman, M.A.; Abdel-Rahman, E.M.; Onono, J.O.; Elhag, M.M.; Olaka, L.A.; Tonnang, H.E. Integrating satellite remote sensing data and small-scale farmers’ perceptions to determine land use/land cover changes and their driving factors in Gedaref state, Sudan. Environ. Dev. Sustain. 2025, 1–27. [Google Scholar] [CrossRef]
- Chen, H.; Yang, N.; Song, X.; Lu, C.; Lu, M.; Chen, T.; Deng, S. A novel agricultural drought index based on multi-source remote sensing data and interpretable machine learning. Agric. Water Manag. 2025, 308, 109303. [Google Scholar] [CrossRef]
- Chang, C.; Chang, Y.; Xiong, Z.; Ping, X.; Zhang, H.; Guo, M.; Hu, Y. Model Comparisons for Predicting Grassland Fire Occurrence Probability in Inner Mongolia Autonomous Region, China. Nat. Hazards Earth Syst. Sci. Discuss. 2022, 2022, 1–25. [Google Scholar]
- Qin, X.; Yan, H.; Zhan, Z.; Li, Z. Characterising vegetative biomass burning in China using MODIS data. Int. J. Wildland Fire 2013, 23, 69–77. [Google Scholar] [CrossRef]
- Zhang, W.; Wang, J.; Wang, Q.; Zhang, X.; Cao, H.; Long, T. Analyses on spatial and temporal characteristies of forest fires in YunnanProvince based on MODIS from 2001 to 2020. J. Nanjing For. Univ. (Nat. Sci. Ed.) 2023, 47, 73. [Google Scholar]
- Wei, X.; Wang, G.; Chen, T.; Hagan, D.F.T.; Ullah, W. A spatio-temporal analysis of active fires over China during 2003–2016. Remote Sens. 2020, 12, 1787. [Google Scholar] [CrossRef]
- Zhou, H.; Wang, Y.; Zhou, G. Temporal and spatial dynamics of grassland fires in lnner Mongolia. Acta Prataculturae Sin. 2016, 25, 16. [Google Scholar]
- Guo, F.; Su, Z.; Wang, G.; Sun, L.; Tigabu, M.; Yang, X.; Hu, H. Understanding fire drivers and relative impacts in different Chinese forest ecosystems. Sci. Total Environ. 2017, 605, 411–425. [Google Scholar] [CrossRef]
- Bai, H.; Liu, X.; Niu, S.; He, Y. Construction of forest fire prediction model based on Bayesian model averagingmethod: Taking Dali Prefecture, Yunnan Province of southwestern China as an example. J. Beijing For. Univ. 2021, 43, 44–52. [Google Scholar]
- Zhang, H.; Qi, P.; Guo, G. Improvement of fire danger modelling with geographically weighted logistic model. Int. J. Wildland Fire 2014, 23, 1130–1146. [Google Scholar] [CrossRef]
- Du, Q.; Yang, C.; Zhang, G. Driving Factors Analysis and Fire Risk Regional Division of Forest Fire in Yunnan Province. J. Wildland Fire Sci. 2022, 40, 10–14. [Google Scholar]
- Araujo, R.M.G.; Schafaschek, A.M.; Bezerra, C.W.F.; Nogueira, D.J.; Grassi, M.T.; Silva, M.A.N.; Figueiredo, B.R.S. Water pollution caused by ash from grassland fires alters the molecular, biochemical, and morphological biomarkers of non-biting midge larvae. J. Hazard. Mater. 2025, 485, 136914. [Google Scholar] [CrossRef] [PubMed]
- Rodrigues, M.; de la Riva, J.; Fotheringham, S. Modeling the spatial variation of the explanatory factors of human-caused wildfires in Spain using geographically weighted logistic regression. Appl. Geogr. 2014, 48, 52–63. [Google Scholar] [CrossRef]
- Ding, S.; Qi, B.; Tan, H. An overview on theory and algorithm of support vector machines. J. Univ. Electron. Sci. Technol. China 2011, 40, 2–10. [Google Scholar]
- Liang, H.; Song, Y.; Dai, Z.; Liu, H.; Zhong, K.; Feng, H.; Xu, L. Soil total nitrogen content and pH value estimation method considering spatial heterogeneity: Based on GNNW-XGBoost model. Spectrochim. Acta Part A Mol. Biomol. Spectrosc. 2025, 330, 125716. [Google Scholar] [CrossRef]
- Jiang, Z.; Xu, L.; Pan, Z.; Jin, A. Analysis and Assessment of a Large-Scale Traditional Chinese Medicine Examination Based on Cognitive Diagnostic. J. Tradit. Chin. Med. 2024, 65, 2383–2388. [Google Scholar]
- Liang, H.; Guo, F.; Wang, W.; Su, Z.; Zhao, J.; Lin, Y. Driving Factors and Their Effect Power on Forest Fire Occurrence of Yichun, Xiaoxing’ an Mountains. J. Northeast For. Univ. 2015, 43, 29–35. [Google Scholar]
- Feng, L.; Zhou, W. The Forest Fire Dynamic Change Influencing Factors and the Impacts on Gross Primary Productivity in China. Remote Sens. 2023, 15, 1364. [Google Scholar] [CrossRef]
- Ying, L.; Shen, Z.; Yang, M.; Piao, S. Wildfire Detection Probability of MODIS Fire Products under the Constraint of Environmental Factors: A Study Based on Confirmed Ground Wildfire Records. Remote Sens. 2019, 11, 3031. [Google Scholar] [CrossRef]
- Hantson, S.; Padilla, M.; Corti, D.; Chuvieco, E. Strengths and weaknesses of MODIS hotspots to characterize global fire occurrence. Remote Sens. Environ. 2013, 131, 152–159. [Google Scholar] [CrossRef]
- Fusco, E.J.; Finn, J.T.; Abatzoglou, J.T.; Balch, J.K.; Dadashi, S.; Bradley, B.A. Detection rates and biases of fire observations from MODIS and agency reports in the conterminous United States. Remote Sens. Environ. 2019, 220, 30–40. [Google Scholar] [CrossRef]
- Li, X. Study of Forest and Grasslands Conflagration Law and Early Warning in the North-East of Inner Mongolia; Chinese Academy of Agricultural Sciences: Beijing, China, 2007. [Google Scholar]
- Benali, A.; Russo, A.; Sá, A.C.; Pinto, R.M.; Price, O.; Koutsias, N.; Pereira, J.M. Determining fire dates and locating ignition points with satellite data. Remote Sens. 2016, 8, 326. [Google Scholar] [CrossRef]
- Guo, Z.; Fang, W.; Tan, J.; Shi, X. A time-dependent stochastic grassland fire ignition probability model for Hulun Buir Grassland of China. Chin. Geogr. Sci. 2013, 23, 445–459. [Google Scholar] [CrossRef]
- Zhang, Z.; Zhang, H.; Li, D.; Xu, J.; Zhou, D. Spatial distribution pattern of human-caused fires in Hulunbeir grassland. Acta Ecol. Sin. 2013, 33, 2023–2031. [Google Scholar] [CrossRef]
- Massada, A.B.; Syphard, A.D.; Stewart, S.I.; Radeloff, V.C. Wildfire ignition-distribution modelling: A comparative study in the Huron–Manistee National Forest, Michigan, USA. Int. J. Wildland Fire 2012, 22, 174–183. [Google Scholar] [CrossRef]
- Zhou, F.; Guo, M.; Zhong, C.; Chang, Y.; Yu, F. Spatial-temporal Patterns and Characteristics of Grassland Fire in the Hulunbuir Grassland. Geoscience 2022, 42, 1838–1847. [Google Scholar]
- Vilar, L.; Woolford, D.G.; Martell, D.L.; Martín, M.P. A model for predicting human-caused wildfire occurrence in the region of Madrid, Spain. Int. J. Wildland Fire 2010, 19, 325–337. [Google Scholar] [CrossRef]
- Zhu, Z.; Zhao, F.; Wang, Q.; Gao, Z.; Deng, X.; Huang, P. Driving factors of forest fire and fire risk zoning in Kunming City. J. Zhejiang AF Univ. 2022, 39, 380–387. [Google Scholar]
- Krawchuk, M.A.; Moritz, M.A. Constraints on global fire activity vary across a resource gradient. Ecology 2011, 92, 121–132. [Google Scholar] [CrossRef]
- Xu, Y. Study on Fire occurrence in Eastern Inner Mongolia Based on GIS. Ph.D. Thesis, Northeast Normal University, Jilin, China, 2019. [Google Scholar]













| Factors | Variables | Abbreviation | Units |
|---|---|---|---|
| Meteorological factors | average daily temperature, daily Maximum temperature, daily minimum temperature, daily temperature difference | Temp, Max_temp, Min_temp, Dtemp_dif | °C |
| average daily relative humidity, daily minimum relative humidity | Hum, Minhum | % | |
| average daily surface temperature, daily maximum surface temperature | G_temp, Maxg_temp | °C | |
| average daily wind speed, daily maximum wind speed | Win, Max_Win | m/s, | |
| daily precipitation, daily average air pressure | Prec, Pres | mm/24 h, hpa | |
| sunshine hours | Sun | h | |
| average monthly temperature, monthly maximum temperature, monthly minimum temperature, monthly temperature difference | Mmeantemp, Mmax_temp, Mmin_temp, Mtemp_dif | °C | |
| average monthly relative humidity, monthly minimum relative humidity | Mhum, Mminhum | % | |
| average monthly surface temperature, monthly maximum surface temperature | MG_temp, Mmaxg_temp | °C | |
| average monthly wind speed, monthly maximum wind speed | Mwin, Mmax_Win | m/s, | |
| average monthly precipitation, average monthly air pressure | MPrec, MPres | mm/24 h, hpa | |
| monthly sunshine hours | MSun | h | |
| average yearly temperature, yearly maximum temperature, yearly minimum temperature, yearly temperature difference | Ymeantemp, Ymax_temp, Ymin_temp, Ytemp_dif | °C | |
| average yearly relative humidity, yearly minimum relative humidity | Yhum, Yminhum | % | |
| average yearly surface temperature, yearly maximum surface temperature | YG_temp, Ymaxg_temp | °C | |
| average yearly wind speed, yearly maximum wind speed | Ywin, Ymax_Win | m/s, | |
| average yearly precipitation, average yearly air pressure | YPrec, YPres | mm/24 h, hpa | |
| yearly sunshine hours | YSun | h | |
| Infrastructure factors | distance to the nearest settlement, distance to the nearest road, distance to the nearest railway | Dis_res, Dis_road, Dis_rail | km |
| distance to the nearest watchtower, distance to the nearest fire brigade | Dis_watch, Dis_ fire bri | km | |
| distance to the nearest fireproof road, distance to the nearest fire barrier | Dis_fire road, Dis_fire barr | km | |
| Vegetation status | vegetation type | Vegetation type | - |
| FVC, NDVI | FVC, NDVI | ||
| Topographic Information | altitude | Dem | meter |
| aspect, slope | Aspect, Slope | -, degree | |
| Socio-economic factors | GDP per capita | GDP | 10,000 CNY/km2 |
| population density | Pop | person/km2 | |
| nighttime light | NL |
| Model | The Entire Region | Eastern Region | Central and Western Regions | Eastern Spring Fire Prevention Period | Eastern Autumn Fire Prevention Period | Central and Western Fire Prevention Period | ||||||
|---|---|---|---|---|---|---|---|---|---|---|---|---|
| Cut-Off | Accuracy % | Cut-Off | Accuracy % | Cut-Off | Accuracy % | Cut-Off | Accuracy % | Cut-Off | Accuracy % | Cut-Off | Accuracy % | |
| LR | 0.345 | 0.783 | 0.289 | 0.796 | 0.327 | 0.834 | 0.321 | 0.857 | 0.446 | 0.883 | 0.356 | 0.902 |
| GR | 0.356 | 0.777 | 0.335 | 0.789 | 0.329 | 0.865 | 0.335 | 0.826 | 0.321 | 0.829 | 0.405 | 0.792 |
| RF | 0.405 | 0.826 | 0.405 | 0.805 | 0.405 | 0.789 | 0.329 | 0.876 | 0.302 | 0.861 | 0.432 | 0.912 |
| BRT | 0.323 | 0.865 | 0.298 | 0.825 | 0.455 | 0.778 | 0.319 | 0.885 | 0.336 | 0.889 | 0.478 | 0.884 |
| XGboost | 0.321 | 0.829 | 0.356 | 0.898 | 0.322 | 0.825 | 0.419 | 0.827 | 0.309 | 0.779 | 0.426 | 0.916 |
| SVM | 0.332 | 0.791 | 0.378 | 0.805 | 0.455 | 0.846 | 0.425 | 0.799 | 0.369 | 0.896 | 0.419 | 0.783 |
| Model | The Entire Region | Eastern Region | Central and Western Regions | Eastern Spring Fire Prevention Period | Eastern Autumn Fire Prevention Period | Central and Western Fire Prevention Period | ||||||
|---|---|---|---|---|---|---|---|---|---|---|---|---|
| Cut-Off | Accuracy % | Cut-Off | Accuracy % | Cut-Off | Accuracy % | Cut-Off | Accuracy % | Cut-Off | Accuracy % | Cut-Off | Accuracy % | |
| LR | 0.333 | 0.863 | 0.365 | 0.856 | 0.359 | 0.856 | 0.336 | 0.845 | 0.336 | 0.896 | 0.423 | 0.798 |
| GR | 0.328 | 0.860 | 0.401 | 0.878 | 0.389 | 0.878 | 0.326 | 0.895 | 0.359 | 0.886 | 0.401 | 0.789 |
| RF | 0.325 | 0.803 | 0.405 | 0.869 | 0.356 | 0.856 | 0.323 | 0.791 | 0.405 | 0.844 | 0.403 | 0.774 |
| BRT | 0.378 | 0.807 | 0.406 | 0.828 | 0.327 | 0.889 | 0.323 | 0.795 | 0.421 | 0.899 | 0.404 | 0.765 |
| XGboost | 0.382 | 0.769 | 0.405 | 0.834 | 0.359 | 0.798 | 0.389 | 0.786 | 0.356 | 0.887 | 0.445 | 0.715 |
| SVM | 0.376 | 0.839 | 0.425 | 0.886 | 0.349 | 0.776 | 0.400 | 0.776 | 0.338 | 0.837 | 0.449 | 0.758 |
Disclaimer/Publisher’s Note: The statements, opinions and data contained in all publications are solely those of the individual author(s) and contributor(s) and not of MDPI and/or the editor(s). MDPI and/or the editor(s) disclaim responsibility for any injury to people or property resulting from any ideas, methods, instructions or products referred to in the content. |
© 2025 by the authors. Licensee MDPI, Basel, Switzerland. This article is an open access article distributed under the terms and conditions of the Creative Commons Attribution (CC BY) license (https://creativecommons.org/licenses/by/4.0/).
Share and Cite
Zhang, H.; Liang, Y.; Ren, H.; Ban, Q. Comparing Grassland Fire Drivers and Models in Inner Mongolia Using Field and Remote Sensing Data. Fire 2025, 8, 93. https://doi.org/10.3390/fire8030093
Zhang H, Liang Y, Ren H, Ban Q. Comparing Grassland Fire Drivers and Models in Inner Mongolia Using Field and Remote Sensing Data. Fire. 2025; 8(3):93. https://doi.org/10.3390/fire8030093
Chicago/Turabian StyleZhang, Heng, Yansen Liang, Haiyan Ren, and Qingyu Ban. 2025. "Comparing Grassland Fire Drivers and Models in Inner Mongolia Using Field and Remote Sensing Data" Fire 8, no. 3: 93. https://doi.org/10.3390/fire8030093
APA StyleZhang, H., Liang, Y., Ren, H., & Ban, Q. (2025). Comparing Grassland Fire Drivers and Models in Inner Mongolia Using Field and Remote Sensing Data. Fire, 8(3), 93. https://doi.org/10.3390/fire8030093

