Next Article in Journal
Open Access to Burn Severity Data—A Web-Based Portal for Mainland Portugal
Next Article in Special Issue
Improvement in Fire Resistance and Smoke Leakage Performance for Existing Polyvinyl Chloride Pipes Passing Through Walls
Previous Article in Journal
Comparing Grassland Fire Drivers and Models in Inner Mongolia Using Field and Remote Sensing Data
Previous Article in Special Issue
Fire Resistance of Building Structures and Fire Protection Materials: Bibliometric Analysis
 
 
Font Type:
Arial Georgia Verdana
Font Size:
Aa Aa Aa
Line Spacing:
Column Width:
Background:
Article

Experimental and Numerical Studies of Window Shutters Under Bushfire Radiant Heat Exposure

by
Birunthan Perinpalingam
,
Anthony Ariyanayagam
* and
Mahen Mahendran
Centre for Materials Science, Faculty of Engineering, Queensland University of Technology (QUT), Brisbane 4000, Australia
*
Author to whom correspondence should be addressed.
Submission received: 15 January 2025 / Revised: 19 February 2025 / Accepted: 21 February 2025 / Published: 25 February 2025
(This article belongs to the Special Issue Advances in Building Fire Safety Engineering)

Abstract

The growing intensity and frequency of bushfires across the globe pose serious threats to building safety when it comes to the vulnerability of glass windows. During bushfires, extreme heat can cause significant damage to these windows, creating openings that allow embers, radiant heat, and flames to enter buildings. This study investigated the effectiveness of various construction materials, including thin steel sheets, glass fibre blankets, aluminium foil layers, and intumescent layers on glass fibre blankets, as bushfire-resistant shutters for protecting windows in bushfire-prone areas. The shutters were tested under two scenarios of radiant heat exposure: rapid and prolonged exposures of 11 and 47 min, respectively. Heat transfer models of the tested shutters were developed and validated using fire test results, and then comparisons of the performance of materials were made through parametric studies for bushfire radiant heat exposure. The results show that a 0.4 mm glass fibre blanket with aluminium foil performed best, with very low glass temperatures and ambient heat fluxes due to the reflective properties of the foil. Similarly, a thin steel sheet (1.2 mm) also effectively maintained low glass temperatures and ambient heat fluxes. Additionally, graphite-based intumescent coating on a glass fibre blanket reduced the ambient heat flux. These results highlight the importance of bushfire-resistant shutters and provide valuable insights for improving their design and performance.

Graphical Abstract

1. Introduction

The vulnerability of buildings to bushfires stems from exposure to embers, radiant heat, and direct flame contact, each posing a unique threat. Exposure to radiant heat can cause buildings to catch fire as fire fronts come into the proximity of building elements. Quarles et al. [1] have found that a bushfire front can rapidly pass through an area, lasting anywhere from 1 to 10 min. Due to the high temperatures and the presence of elements like carbon dioxide, water vapour, and soot, thermal radiation significantly influences heat transfer processes during bushfire events. Ensuring the integrity of a building’s external envelope against this radiant heat plays a crucial role in its protection during a bushfire.
The selection of building materials, the design of external envelopes, and architectural considerations are critical factors in this defence [2]. Both Australian and international standards provide guidelines for bushfire-resistant construction. For example, the Australian Standard AS 3959 [3] sets out the construction requirements for buildings in bushfire-prone areas, offering protection against various forms of bushfire attack (radiant heat, flame, and embers) and categorising them into different Bushfire Attack Levels (BALs). Based on the BAL, AS 3959 advises on construction requirements regarding the use of non-combustible materials and minimising the gaps in the building’s external envelope [3]. For testing of building elements against bushfires, AS 1530.8.1 [4] outlines the testing procedures for radiant heat, including different curves for BAL-12.5 to BAL-40 (Figure 1a) with a rapid heat exposure period of 11 min. The National Association for Steel Framed Housing (NASH) Bushfire Standard [5] combines testing and fire engineering principles to establish construction provisions and include a three-stage prolonged 47 min radiant heat exposure curve. This heat flux curve developed by the Commonwealth Scientific and Industrial Research Organisation (CSIRO) [5] provides a more realistic representation of heat exposure during a bushfire (Figure 1b). It categorises the bushfire attack phase into three zones: pre-fire front radiant heat zone, flame immersion zone, and post-fire front radiant heat zone.
In Australia, the most utilised materials for external wall cladding, such as blocks, bricks, fibre cement board, steel cladding, and concrete, are considered non-combustible. Many experimental and numerical studies have been conducted on external wall panels exposed to bushfires and building fires [6,7,8,9,10,11]. However, these studies did not consider the windows or openings in external walls. Since glass windows are highly susceptible to fire, safeguarding them is important for ensuring the safety of the entire structure. During bushfire attacks, windows present a unique challenge. The intense heat from a bushfire or direct flame contact can cause windows to break, enabling embers to enter a building during and after a fire. Embers that gather on window ledges and around glass panels can ignite flammable window frames, potentially causing the glass to break from radiant heat or direct flame contact [12]. One strategy to mitigate the impact of bushfires on buildings involves proactively removing potential fuel sources around homes. Nonetheless, fuel management alone may not always be sufficient to halt a bushfire’s progression or protect the building from thermal radiation, the dominant form of energy transfer in intense fires. In such cases, erecting a physical barrier is essential for protecting buildings from the fire’s intense radiative and convective heat. A study conducted by Takahashi [13] focused on enhancing building protection against bushfires, which led to the development of structural wraps. These wraps are made of aluminium foil, silica fabric, and glass fibre fabric from the materials used in fire shelter construction [13]. For many years, aluminium foil has been widely used in the construction of firefighter shelters, demonstrating its durability and effectiveness in reflecting radiant heat. They conducted further investigations into various materials to evaluate their effectiveness in a dual-layer set-up for these wraps [14]. The results showed that such dual-layer configurations could block up to 92% of convective heat and 96% of radiant heat, but this level of protection was only confirmed for durations of 10 min or less [13,14]. Despite their efficacy, it is recognised that these protective materials may degrade after prolonged exposure to high temperatures. A study by Hao et al. [15] and Puri et al. [16] highlighted the potential of intumescent paint, which expands significantly from its original thickness when exposed to heat, creating a carbonaceous char layer. This layer acts as a barrier, providing thermal and physical protection by insulating the material beneath from heat, making it an exceptionally efficient method for enhancing fire resistance [15]. While intumescent coatings have been primarily used to protect structural steel, their efficacy extends to wooden structures, offering protection against fire [17].
While there are many studies on strategies to detect and reduce the spread of bushfires, there is limited research on the resistance of building components to bushfire radiant heat curves [1,2,12,18,19,20,21]. Wakefield et al. [11] simulated a timber wall system using the BAL-40 (Figure 1a) radiant heat curve to assess its effectiveness as a radiation barrier. NASH and CSIRO applied the BAL-FZ radiant heat curve (Figure 1b) in evaluating steel-framed walls and houses [9,10]. Further, a set of outdoor experiments was carried out on two different wall systems, one with steel cladding on the fire-exposed side and another without it, using outdoor LP gas burners to simulate the bushfire conditions, and the outcomes have been documented in the literature [8]. However, no experimental or numerical analyses have been conducted for windows and shutter systems exposed to bushfire radiant heat curves (Figure 1).
Buildings feature a variety of glass types, each with distinct characteristics in terms of heat transfer, light transmission, fire protection, aesthetic appeal, and cost. Common glass types include float/annealed, heat-strengthened, toughened, laminated, wired, and fire-resistant glass. Beyond these, buildings may also incorporate various glazing systems, with double- and triple-glazed windows being among the most prevalent. The way glass breaks during a fire is influenced by multiple factors, such as its chemical and physical properties, the glazing system’s specifics (size, shape, and placement), the installation method, and the intensity and duration of the fire. Ordinary float glass is known to crack at temperatures above 150 °C yet can remain intact until reaching 200 °C [22,23]. Cracks typically spread from the edges of the glass pane, with the temperature difference between the exposed glass surface and the edge-protected areas being a critical determinant of initial and subsequent cracking [24]. Studies conducted by Bowditch et al. [25] and Skelly et al. [26] investigated how different window configurations affect glass breakage under controlled fire conditions, finding that unframed glass is more resistant to temperature increases than framed glass. Mowrer’s [27] experiments using a radiant heat panel to emulate bushfire heat on glass demonstrated that a maximum heat flux of 16 kW/m2 could induce cracking without causing the glass to dislodge from window frames. Fire testing by Bowditch et al. [25] and Richardson et al. [28] highlighted that 6 mm thick toughened glass performs differently in fire scenarios compared to float (annealed) glass. Toughened glass shatters upon initial cracking at temperatures significantly higher than those causing cracks in float glass. The initial cracking temperature for toughened glass ranges from about 290 °C to 380 °C, with a noticeable temperature difference on the unexposed side. Glass dislodgement occurs at surface temperatures ranging from 415 to 486 °C, necessitating a heat flux of 35 kW/m2 for this to happen [25,29].
Installing a shutter system on the exterior of buildings is crucial for safeguarding against the primary threats posed by bushfires, including direct flames, radiant heat, and embers. However, only few bushfire shutter products are available on the market, including bushfire roller shutters, stainless steel screens, fire-resistant glass, and fire curtains. The high cost, limited selection, and lack of reliable performance evaluations pose significant challenges for homeowners and bushfire professionals making decisions (mostly based on fire assessments rather than actual fire tests). This research initially examined various materials that could endure the intense heat of bushfire events, aiming to provide strong protection against the radiant heat generated during these fires. Among the options considered, four materials were ultimately selected for detailed laboratory testing: steel sheets, glass fibre blanket, glass fibre blanket with aluminium foil, and glass fibre blanket with intumescent coating. The primary objective was to create cost-effective, bushfire-resistant shutters from widely available building materials, ensuring maximum protection for windows during bushfires. Hence, the above four materials were selected for detailed experimental and numerical studies. Experiments were carried out under two distinct radiant heat exposure scenarios, lasting 11 min (rapid) and 47 min (prolonged), by using a radiant heat panel. Alongside these tests, computational heat transfer models were developed using Fire Dynamic Simulator (FDS) and subsequently validated using the experimental results. These validated models enabled the execution of parametric studies based on specific radiant heat flux versus time curves, compensating for the inability to maintain exact heat flux curves during experiments due to the manual operation of the radiant heat panel. This approach established a solid foundation for developing effective and economically viable solutions for the protection of windows and shutters against bushfire radiant heat.

2. Experimental Study

2.1. Specimen Holding Frame and Test Set-Up

The experimental phase commenced with constructing a steel frame at QUT Banyo Laboratory (Figure 2a). To replicate the appearance of a window within this experimental set-up, an opening measuring 900 × 900 mm was created. This opening was designed to accommodate window glass and was supported by a frame constructed using 50 × 50 × 4 mm L-angles (Figure 2b). A 75 mm thick AAC panel was securely positioned as a wall panel to represent a window in the specimen-holding frame for bushfire radiant heat exposure fire tests (Figure 2b).
All the tests followed the procedure outlined in AS 1530.8.1 [4]. Two heat flux meters were used, one placed in front of the shutter and another positioned 365 mm from the ambient side of the glass panel, as specified in AS 1530.8.1 [4] (Figure 2c,d). The heat flux meter fixed at the front shutter enabled precise control and measurement of radiant heat exposure curves. This arrangement effectively monitored the heat flux on the fire-exposed side of the shutter specimen, providing a reliable means to regulate the radiant heat. The radiant heat panel consistently emitted heat, while variations in the distance between the shutter specimen and the radiant heat panel created the time-variable heat flux exposure curves.
This bushfire test set-up not only facilitated the measurement of the heat transfer occurring through the shutter and window system but also enabled the installation of the heat flux and temperature sensors on the fire and ambient sides. To support the execution of multiple experiments and ensure consistent positioning of various shutter configurations, a cold-formed steel L-angle frame measuring 40 × 40 mm (Figure 2d) was firmly fixed to the wall. Within this frame, 16 nuts with a diameter of 12 mm were welded. The shutter specimen was inserted into this frame and securely fastened using the bolts to the nuts (Figure 2d).
Australian standards define the critical radiant heat exposure in bushfire conditions as BAL-40 [3]. Therefore, all bushfire tests in this study were conducted under rapid 11 min radiant heat exposures at BAL-40, as this is the most severe exposure compared to other lower radiant heat levels (Figure 3a). However, real bushfires typically have much longer exposure durations. To address this, the BAL-FZ NASH curve was modified for BAL-40 exposures to examine the effects of the prolonged period of 47 min radiant heat exposure [5]. The profile provided in the NASH standard is for flame zone exposure, but in this study, it was modified to represent the maximum radiant heat exposure conditions by replacing the flame immersion zone of 110 s with a peak radiant heat exposure of 40 kW/m2 (Figure 3b).

2.2. Test Specimens

This study investigated four shutter configurations for BAL-40 radiant heat exposure conditions. These configurations were used to test against the AS 1530.8.1 BAL-40 curve (11 min) (Figure 3a) and a modified NASH curve (47 min) (Figure 3b) for each configuration except the last one. In all the tests, a 6 mm thick toughened glass pane was placed 125 mm away from the shutter specimen to closely replicate a window and shutter system and assess the bushfire resistance of the system (Figure 4). This glass thickness was chosen because AS 3959 [3] recommends the use of toughened window glass with a thickness of 6 mm or greater for BAL-40 conditions. This set-up aimed to recreate a practical window configuration, with the glass firmly secured within an L-angle frame to represent a window frame. To enhance the simulation of real-world conditions, a 7.5 mm thick fibre cement board (called ‘Blue Board’) enclosed the space between the shutter and the glass on all four sides (Figure 4). This arrangement was intended to reflect the typical installation of windows within walls, where all sides are sealed to inhibit heat escape, thus providing a good representation of the operational conditions of window and shutter systems in a real-world scenario. The shutter configurations used in the tests are listed next:
  • Test Specimen 1: 1.2 mm thick steel sheet (Figure 5a);
  • Test Specimen 2: 0.4 mm thick glass fibre blanket—430 g/m2 (Figure 5b);
  • Test Specimen 3: 0.4 mm thick glass fibre blanket—430 g/m2—with 35-micron aluminium foil (Figure 5c);
  • Test Specimen 4: 0.4 mm glass fibre blanket with 0.9 mm thick graphite-based intumescent coating (Figure 5d).
All the test specimens were constructed at 1 × 1 m, intended to fit over 900 × 900 mm window openings. A 6 mm toughened glass pane (980 × 980 mm) was installed in a 990 × 990 mm frame to prevent cracking from heat-induced mechanical stress, allowing 5 mm clearance for expansion. Twenty thermocouples were positioned across and along the window and shutter system. They were evenly distributed, with five thermocouples on each surface: front shutter (FS), rear shutter (RS), front glass (FG), and rear glass (RG). The thermocouple used in these tests was the 20 G type K Hi-Temp GL/GL thermocouple with fibreglass braid insulation. Figure 6 shows the thermocouple locations on the shutter system. In compliance with the Australian bushfire testing standard AS 1530.8.1, one thermocouple was positioned at the centre of the sample and another four thermocouples were placed at the centre of each quarter [4]. This arrangement covered the entire shutter area for temperature measurements.
Figure 4. Front and rear views of the experimental set-up: (a) fire side and (b) ambient side.
Figure 4. Front and rear views of the experimental set-up: (a) fire side and (b) ambient side.
Fire 08 00094 g004
Figure 5. Test specimens: (a) Test 1—1.2 mm steel sheet; (b) Test 2—0.4 mm glass fibre blanket; (c) Test 3—0.4 mm glass fibre blanket with aluminium foil; and (d) Test 4—0.4 mm glass fibre blanket with intumescent coating.
Figure 5. Test specimens: (a) Test 1—1.2 mm steel sheet; (b) Test 2—0.4 mm glass fibre blanket; (c) Test 3—0.4 mm glass fibre blanket with aluminium foil; and (d) Test 4—0.4 mm glass fibre blanket with intumescent coating.
Fire 08 00094 g005
Figure 6. Locations of temperature and heat flux sensors.
Figure 6. Locations of temperature and heat flux sensors.
Fire 08 00094 g006

2.3. Test 1—1.2 mm Thick Steel Sheet

In Test 1, 1.2 mm thick steel sheet specimens were individually exposed to rapid 11 min and prolonged 47 min bushfire radiant heat curves; Figure 3a,b and Figure 7a,b show the heat flux values on the front face of the test specimen and the ambient side at 365 mm from the rear face of the glass during the tests. Furthermore, Figure 7c–f show an overview of the temperature data recorded by the thermocouples: fire and ambient sides of the steel sheet and glass surfaces. Although five thermocouples were attached to each face, some of them malfunctioned during the tests. Consequently, their readings were excluded from the results. In the rapid and prolonged bushfire tests, the radiant heat panel was moved towards and away from the test specimen to maintain the target heat flux as per the radiant heat curves. These tests were conducted outdoors, leading to fluctuations in the heat flux values due to wind interference (Figure 7a). As seen in Figure 7a, slightly higher incident heat flux values were maintained on the fire side to ensure consistent exposure of the shutter specimen to heat levels exceeding the target heat flux vs. time curves. The maximum ambient (glass) heat flux recorded during the 11 min test was around 140 W/m2, while it reached around 220 W/m2 during the 47 min test. Both values fall well below the 15 kW/m2 threshold recommended by AS 1530.8.1 [4], which aims to prevent the ignition of flammable objects inside the building. Keeping the ambient heat flux at a low level helps reduce the risk of a building fire.
During the 11 min test, the fire-side steel sheet recorded a maximum temperature of 306 °C, with the glass temperature increasing to 63 °C. However, in the 47 min test, the steel sheet reached 321 °C, and the glass temperature was 95 °C. The higher temperatures in the prolonged test were due to its duration being more than four times that of the rapid radiant heat exposure test (47 min vs. 11 min). Despite the substantial increase in exposure time and total heat in the 47 min test, the front shutter temperature only increased by 15 °C (306 and 321 °C in 11 min and 47 min tests). This is most likely due to ambient cool air facilitating convective heat loss, maintaining consistent maximum temperatures on the fire side of the shutter. The fire-side glass temperatures were 63 and 95 °C in 11 min and 47 min tests, respectively, resulting in a substantial 32 °C increase. This is primarily due to the experimental set-up, which aimed to replicate real-world window fixing in buildings. In the set-up, the gap between the shutter and glass was sealed on all four sides, creating a confined space. Within this enclosed space (125 mm), the air became heated and trapped, reducing the likelihood of convective heat loss, as observed in the case of the shutter front surface (i.e., the fire side of the steel sheet). Furthermore, it also led to convective heat gain on the fire side of the glass surface (63 °C vs. 95 °C). The 1.2 mm steel sheet and the 6 mm toughened glass panel showed no significant changes or damage at the end of 11 min and 47 min tests. This shows the effectiveness of having a non-combustible thin steel sheet as a protective measure, demonstrating its capacity to safeguard window glass against BAL-40 radiant heat exposure conditions.

2.4. Test 2: 0.4 mm Thick Glass Fibre Fire Blanket (430 g/m2)

Test 2 is similar to Test 1. However, it had a 0.4 mm thick glass fibre blanket (430 g/m2) instead of the 1.2 mm thick steel sheet and was exposed to 11 and 47 min radiant heat flux versus time curves.
Figure 8a,b present the measured heat flux values on the front face of the shutter specimen and the ambient side, positioned at 365 mm from the rear face of the glass. Figure 8c–f show the temperature data recorded by the thermocouples at various locations: fire and ambient sides of the glass fibre blanket and fire and ambient sides of the glass.
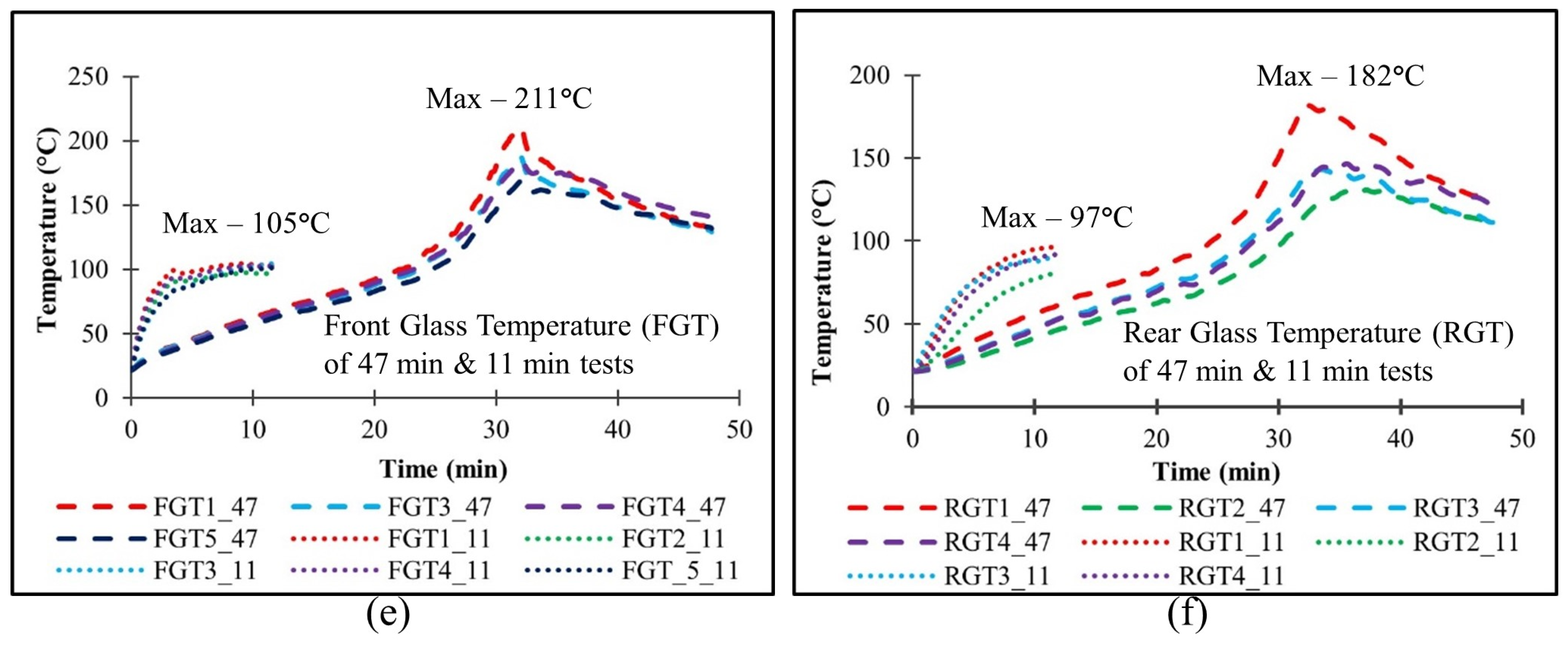
In the 11 min test, the glass fibre blanket reached the maximum temperature of 336 °C, and the fire-side glass peaked at 105 °C. In the 47 min test, the glass fibre blanket and fire-side glass temperatures were 463 and 211 °C, respectively. This is consistent with the temperature patterns observed in Test 1. Test 2 also demonstrated a uniform temperature distribution for the shutter and glass when exposed to BAL-40 radiant heat. However, Test 2 differed from Test 1 in that the temperature increase on the front shutter during the 47 min test was greater than the 11 min test (Test 1: 306 and 321 °C vs. Test 2: 336 and 463 °C). This is due to the peak heat flux, which reached approximately 40 kW/m2 during the 11 min test but was around 47 kW/m2 in the 47 min test, unlike the similar heat flux values seen in Test 1. The maximum temperature on the fire side of the glass in the 47 min test was double that of the 11 min test, which is due to the confined space effect and higher total heat flux exposure, as discussed in Test 1.
Like Test 1, neither the glass fibre blanket nor the toughened glass panel displayed any changes or damage throughout the testing and observation periods. In the 11 min test, the maximum ambient heat flux reached approximately 1970 W/m2, while it was 2986 W/m2 in the 47 min test, both of them less than the 15 kW/m2 specified in the AS 1530.8.1 failure criterion [4].

2.5. Test 3: 0.4 mm Thick Glass Fibre Blanket with 35-Micron Aluminium Foil

Test 3 was also conducted for 11 min and 47 min heat flux versus time curves, similar to Tests 1 and 2. Figure 9a,b present the measured heat flux values while Figure 9c–f present the measured temperature curves across and along the shutter system.
During the 11 min test, the temperature on the fire-side blanket reached 305 °C, while the temperature of the fire-side glass remained relatively low at 41 °C. Similarly, in the 47 min test, the temperature of the fire-side blanket increased to 370 °C, while the fire-side glass temperatures were low compared to Tests 1 and 2, i.e., only 51 °C. Furthermore, the heat flux on the ambient side reached a maximum of 97 W/m2 in the 11 min test and slightly higher at 105 W/m2 in the 47 min test. Further, throughout the tests and observation period, the aluminium foil blanket and the toughened glass panel showed no significant changes or signs of failure.
In Test 3, the fire-side glass temperature and ambient-side heat flux were significantly lower than in Test 2. The difference between Test 3 and Test 2 was the addition of a 35-micron aluminium foil layer to the fire side of the glass fibre blanket. Figure 10 shows the glass temperature and ambient heat flux data from Tests 2 and 3. In Test 2 (fire blanket and rapid 11 min), the maximum fire-side glass temperature surged to 105 °C from its initial 22 °C, marking an increment of 83 °C, and for the prolonged 47 min exposure it was 189 °C (211–22 °C). In contrast, in Test 3 (fire blanket with aluminium foil and rapid 11 min), the maximum fire-side glass temperature was 41 °C (vs. 105 °C), and in the prolonged 47 min exposure, it was 51 °C (vs. 211 °C). Therefore, the glass temperature increased only by 19 °C (41–22 °C) and 20 °C (51–31 °C). Therefore, using only a 0.035 mm thick aluminium foil layer on the fire side of the glass fibre blanket reduced the glass temperature significantly (19 and 20 °C vs. 83 and 189 °C).
Furthermore, the maximum ambient-side heat flux in Test 2 (with 11 min exposure) was 1970 W/m2, while in Test 3 (with the same exposure), it was only 97 W/m2. This is a significant reduction of more than 20 times. Similarly, in the prolonged 47 min exposure to the fire blanket with aluminium foil, the maximum ambient heat flux was only 105 W/m2, nearly 28 times less than that of fire-blanket-only test (2984 vs. 105 W/m2). This remarkable performance of the composite material (fire blanket with aluminium foil) is due to the excellent radiant heat reflection capabilities of the attached aluminium foil and glass fibre blanket. The shiny surface of the aluminium foil is highly effective in reflecting most of the radiant heat, resulting in only a minimal amount being transmitted towards the window side when the aluminium foil layer is attached to the fire side of the blanket.
Also, the 0.4 mm thick glass fibre blanket with 35-micron aluminium foil demonstrated superior bushfire resistance in preventing the heating of the glass panel compared to the 1.2 mm solid steel sheet, as observed in the comparison of results from Tests 1 and 3. The fire-side glass temperature and ambient heat flux values were much lower (rapid and prolonged: Test 1—63 °C/140 W/m2 and 95 °C/220 W/m2 vs. Test 3—41 °C/97 W/m2 and 51 °C/105 W/m2), particularly in the context of radiant heat exposure conditions of up to BAL-40 bushfire scenarios.

2.6. Test 4: 0.4 mm Glass Fibre Blanket with 0.9 mm Graphite-Based Intumescent Coating

Test 4 was conducted only for the prolonged 47 min fire exposure (Figure 3b). Figure 11a,b show the measured heat flux values on the shutter specimen’s fire-side surface and the ambient side located 365 mm from the rear face of the glass, while Figure 11c–f show the measured temperatures across and along the shutter system: fire-side blanket, ambient-side blanket, fire side of the glass, and ambient side of the glass. This test was prematurely concluded after 20 min due to thick, white-coloured smoke appearing from the expansion of the intumescent layer. In Figure 11c–f, the performance of the graphite-based intumescent substance-coated glass fibre blanket was compared with Test 2 (glass fibre blanket) for the initial 20 min of the 47 min test.
In Test 4, the maximum temperature reached on the fire-side blanket was 270 °C, while the fire-side glass temperature reached 94 °C. However, Test 2 using only the glass fibre blanket had a lower maximum temperature of 183 °C on the fire-side blanket after 20 min of exposure, with the fire-side glass temperature of 93 °C. The higher fire-side blanket temperature in Test 4 is due to the graphite coating’s heat absorption properties, which causes it to heat up and expand when exposed to high temperatures. However, the glass temperature increment was similar in both types of blankets (94 and 91 °C).
The ambient-side heat flux on the intumescent substance-coated blanket was 263 W/m2 at 20 min, while in Test 2 it was 665 W/m2 at 20 min, i.e., nearly 2.5 times less. This reduction in ambient heat flux aligns with the earlier observation of higher fire-side blanket temperature in the intumescent substance-coated blanket, where the intumescent coating absorbed more heat compared to the plain blanket and significantly decreased heat transfer to the ambient side. It is important to note that the full potential of the graphite-coated blanket in reducing the ambient side heat flux could not be confirmed since Test 4 was terminated early.
Within 5 min of commencing the test, the intumescent layer began to produce white smoke (Figure 12a). This smoke continued to emanate from the specimen as the intumescent layer expanded in response to the heat, forming a thicker protective barrier (Figure 12b). Throughout this 20 min test duration, neither the blanket nor the toughened glass panel exhibited any integrity or insulation failures. Nonetheless, the test was concluded after 20 min due to the health and safety requirements of the laboratory.

3. Numerical Modelling

In this section, advanced numerical modelling was performed to investigate the performance of different shutter materials under radiant heat exposure conditions, closely mirroring the 11 min and 47 min exposure time curves detailed in the experimental studies section. Fire Dynamics Simulator (FDS) Version 6.8.0, a Computational Fluid Dynamics (CFD) programme, was employed to develop detailed heat transfer models for the shutter and window systems under study. This tool has been previously used in numerous studies for analysing heat transfer in buildings and their components. Given the variety of shutter systems employed and the significant expense and time required for experimental studies associated with them, it becomes imperative to investigate the use of numerical heat transfer models. These models can be used to predict the heat transfer and performance of various window and shutter systems during bushfires.
The accuracy of these models was validated using the experimental test results presented in the previous section, with a particular focus on the heat flux versus time curve. It was observed that the experimental curves exhibited slightly higher heat flux exposures compared to the reference curves, an aspect carefully considered in the modelling process. Following the validation phase, the study conducted parametric analyses, replicating the heat flux versus time curves for both the 11 min and 47 min exposures. Measurements were taken for several critical parameters, including the temperatures on the front and rear faces of the shutter and temperatures on both the fire and ambient sides of the glass. These measurements paralleled the methodology of the experimental tests detailed in previous sections, thereby ensuring a thorough and comparable analysis across the entirety of the study.

3.1. Model Development and Validation

In the development of the heat transfer models in this study, PyroSim Version 2023.3.1206, a user interface software, was employed to facilitate the creation and execution of models to run in FDS Version 6.8.0. These models were developed to mirror the tested specimens, featuring the selected shutter and glass components each measuring 900 × 900 mm, with the glass positioned 125 mm away from the shutter, in line with the experimental design. To align with the experimental approach, a heat flux meter was placed at the front of the specimen enabling a direct comparison with experimental results and providing a basis for model validation. The ’solid phase device’ option in FDS was utilised for measuring the incident heat flux. Temperature measurements were conducted at five key locations on both the fire and ambient sides of the shutters and glass, paralleling the experimental procedure. The ’solid phase device’ option in FDS was again employed for this purpose. The wall temperature option was used to measure front temperatures, and the back wall temperature option was used for ambient temperatures [30]. Consistent with the experimental conditions, a 7.5 mm blue board covered the entirety of the confined space between the shutter and glass (Figure 13).
To prevent numerical instability in the FDS model during heating, two vents were introduced into the side blue board, one on each side (Figure 13). The model’s boundaries were set to open, replicating the experimental set-up, except for the front (red) and front left (green) boundaries (Figure 13). The front boundary, located 100 mm from the shutter’s front, served as a heating source. A heater/cooler surface employing the net heat flux boundary condition model was utilised, with net heat flux varying with ramp-up time to match the heat flux measurements at the shutter’s front face observed in the experiments [30]. Notably, during experiments it was observed that an additional mechanical airflow was generated by the compressor of the radiant heat panel. To represent this effect in the model, an air supply surface with custom varying velocity was created on the left side, in front of the shutter specimen (Figure 13). This set-up simulated variations in additional external velocity at the front of the specimen from the moving radiant heat panel’s effect. A trial-and-error approach was used to fine-tune the airflow from the air supply surface, with a maximum velocity of 12 m/s supplied from the supply surface when the radiant heat furnace was closest to the specimen. At that point, the heat flux was also at its highest (Figure 14). Additionally, to accurately mirror the outdoor experimental conditions, it was essential to incorporate the environmental factors observed during the experiments into the FDS simulations. An average wind speed of 1 m/s, consistently recorded in the outdoor experiments, was thus included in the simulation parameters with a wind speed setting of 1 m/s and a direction fixed at 0°. This approach ensured a good representation of the experimental conditions in the simulations.
A cell sensitivity analysis was initially conducted to balance computational resource efficiency with model accuracy. Cell sizes of 12.5 mm, 25 mm, and 50 mm were evaluated, with a 25 mm cell size ultimately selected for modelling the shutter and window system. This size struck an optimal balance between accuracy and computational resource demands. The study employed 1D heat transfer models, creating surfaces with backing exposed to facilitate heat transfer between surfaces in a manner like the experimental set-up. Temperature-dependent thermal material properties were assigned to each shutter material and glass (Figure 15). The thermal properties of steel were sourced from Eurocode [31], while the thermal conductivity of the glass fibre blanket was determined using Netzsch LFA 467 Hyperflash equipment. This testing involved a powder sample of the blanket to ascertain its thermal conductivity, and the specific heat of the glass fibre blanket was sourced from previous research [32]. The temperature-dependent specific heat and thermal conductivity of glass were also obtained from previous research [33]. The use of these temperature-dependent material properties in the modelling was crucial to ensure the accuracy of the simulation results, thereby reinforcing the validity of the study’s findings.
In this study, six tests were replicated in FDS for three shutter specimens, corresponding to both 11 min and 47 min test durations. The results from these FDS models were then compared with the outcomes of the experimental tests, demonstrating a reasonable correlation, as shown in Figure 16, Figure 17 and Figure 18. Subsequently, parametric studies were conducted to accurately capture the glass temperature profiles for each time-dependent heat flux exposure curve, specifically for the exact 11 min and 47 min curves.
The models of the first specimen involved a 1.2 mm steel sheet shutter. This was simulated in FDS as a solid obstruction, utilising the concept of layered surfaces, and incorporating temperature-dependent thermal properties for steel. In the models of the second specimen, a glass fibre blanket was used. Similarly to the first model, it was modelled as a solid obstruction employing temperature-dependent thermal properties for glass fibre blanket.
The models of the third specimen incorporated an aluminium foil-attached glass fibre blanket. Aluminium foil, known for its excellent radiant heat reflection, was assigned an emissivity value of 0.15. Unlike the previous two models, this model had a non-symmetrical layered obstruction approach. To accommodate this in the FDS modelling, two different surfaces were created and assigned to the front and back sides of the shutter obstruction. The front side was modelled with layers of aluminium foil followed by the glass fibre blanket, while the back side was configured with the glass fibre blanket layer preceding the aluminium foil.
In the analysis of all six models, the front-exposure heat fluxes were customised to align with experimental values (Figure 16a, Figure 17a and Figure 18a). It resulted in a close correspondence between the simulated and experimental temperatures of the front and rear shutters, as well as the front and rear glass temperatures, across all models (Figure 16, Figure 17 and Figure 18). Such alignment demonstrates the reliability of these models for parametric studies, particularly in predicting the glass temperatures under radiant heat exposure.
However, in the models of Tests 2 and 3, which involved the use of glass fibre blankets, some deviations were noted. Despite the close matching of front glass temperatures with experimental data, the front shutter temperatures exhibited an initial sharp increase in both the 11 min and 47 min tests (Figure 17b and Figure 18b). This initial hike is due to the thin, lightweight nature of the glass fibre blanket, 0.4 mm thick and weighing only 430 g/m2. As a result, the models showed a sudden spike in the temperature of the shutter when exposed to both high and low heat fluxes initially as per these two different heat flux versus time curves. Over time, these temperatures stabilised and eventually aligned with the experimental values, affirming the overall reliability of the FDS models. Additionally, the FDS models predicted slightly higher rear glass temperatures in some locations. Despite these higher values, the overall temperature patterns remained consistent with the experimental results, and the front glass temperatures continued to align closely. In Test 3, since the aluminium foil is extremely thin (0.035 mm), the FDS measures the front glass fibre temperature in place of the aluminium foil, resulting in lower front shutter temperature readings shown in Figure 18b. Apart from the initial temperature surge in the thin glass fibre blanket shutters, front shutter temperatures in Test 3, and the slightly higher rear glass temperature predictions, the FDS model and experimental values were in close agreement. This consistency provides confidence in using the FDS models for subsequent parametric studies.

3.2. Parametric Studies Using FDS Models for Performance Comparison

The experimental set-up involved manually adjusting the location of the radiant panel to control heat flux variations, with each test commencing at different initial temperatures. This approach resulted in different heat flux exposures and starting temperatures for each test. To facilitate a comparative analysis of the performance of various shutter materials, the parametric studies standardised the exposure curves and initial temperatures for all three specimens. In these parametric studies, the heat flux curves closely adhered to the predefined 11 min and 47 min reference curves, and a consistent initial environmental temperature of 22 °C was maintained across all six models. This uniformity allowed for a direct comparison of the average shutter and glass temperatures for all three specimens (Figure 19). Temperatures were recorded at five locations on each face in the FDS models, mirroring the experimental set-up, which showed similar patterns with only slight variations. Therefore, the average of these five measurements was used in the analyses and comparisons.
This study subjected all three types of shutters to heat flux exposures of both 11 min and 47 min durations. As predicted, the longer 47 min exposure led to the highest glass temperatures due to greater overall heat loading. The 11 min exposure tests proved valuable in assessing the potential for thermal shock failure. Previous studies have shown that sudden exposure to high heat flux can make some materials vulnerable to rapid thermal changes [8,34]. Although none of the four materials tested in this study exhibited thermal shock failure, this underlines the importance of considering both rapid and prolonged exposure effects when evaluating shutter material performance under bushfire conditions.
The glass fibre blanket with aluminium foil was found to significantly outperform other materials in terms of maintaining lower average temperatures on the glass surface (Figure 19d). Specifically, the glass fibre blanket alone allowed the fire-side glass temperature to rise by 148 °C, reaching a maximum of 170 °C. In contrast, adding a 35-micron aluminium foil layer to the blanket reduced the maximum temperature rise by just 17 °C above the ambient temperature of 22 °C, effectively demonstrating a significant decrease in temperature elevation by incorporating the aluminium foil layer.
Comparatively, the heavy 1.2 mm steel sheet, weighing approximately 9.5 kg/m2, was less effective in blocking radiant heat than the lightweight glass fibre blanket with aluminium foil, which weighs only around 0.45 kg/m2. The steel sheet allowed the average temperature of the glass to rise by 52 °C, reaching 74 °C, whereas the aluminium foil blanket kept the temperature rise to only 17 °C, with a maximum temperature of 39 °C. This comparison underscores the superior performance of the glass fibre blanket with aluminium foil in reflecting radiant heat and maintaining cooler glass temperatures under bushfire radiant heat exposure.
Further analysis of the various types of glass from the literature review reveals that standard float glass and laminated glass are prone to cracking at temperatures ranging from 150 °C to 200 °C. In contrast, toughened glass is observed to shatter only at temperatures exceeding 290 °C, with the outcome significantly influenced by the framing conditions [25]. The parametric studies indicated that utilising a glass fibre blanket as the sole shutter material in response to BAL-40 bushfire radiant heat exposure resulted in the maximum glass temperatures surpassing 150 °C. Conversely, when employing a 1.2 mm steel sheet or glass fibre blanket with aluminium foil as shutter materials, the temperature of the glass remained below 80 °C. While all three shutter specimens prevented the 6 mm thick toughened glass from exceeding its breaking temperature under radiant heat, the hierarchy of effectiveness positions the glass fibre blanket with aluminium foil as the most efficient, followed by the 1.2 mm steel sheet, and finally, the glass fibre blanket. This order reflects their respective capabilities to mitigate heat transfer and maintain cooler glass temperatures when exposed to bushfire radiant heat. Further, this study does not account for the increased heat fluxes caused by ember accumulation, which represents a limitation compared to the testing methods for window shutters under bushfire radiant heat specified in AS 1530.8.1 [4].
During all these tests and FDS modelling, incident heat flux was measured using the heat flux meters at the front of the shutter. Other heat flux measurement options available in FDS were utilised in the parametric studies (Test 1—1.2 mm steel sheet). These included the measurement of net radiative heat flux, net convective heat flux, and overall net heat fluxes, utilising the ‘solid phase device’ options (Figure 20). Notably, when the maximum incident heat flux reached 40 kW/m2, the net radiative heat flux observed on the surface of the front shutter was approximately 20 kW/m2, which is about half. This reduction can be due to the reflective properties of the shiny steel sheet used. Regarding net convective heat flux, it was observed to remain in the negative range throughout both the 11 min and 47 min exposures. This phenomenon occurred because the experiments were conducted under outdoor ambient conditions, where cooler air significantly contributed to heat dissipation, resulting in a net heat loss rather than gain. The maximum convective heat flux loss recorded was 13 kW/m2 during exposure to peak heat flux conditions of 40 kW/m2 in both the 11 min and 47 min exposures. The total net heat flux absorbed by the shutter specimen was calculated by summing the values of the net radiative heat flux and the net convective heat flux.

4. Conclusions

This paper has described the experimental and numerical studies of window and shutter systems under two different BAL-40 radiant heat versus time curves with durations of 11 min (rapid) and 47 min (prolong). These radiant heat exposure tests were carried out under outdoor conditions using a gas-fired radiant heat panel. Four materials—1.2 mm steel sheet, 0.4 mm glass fibre blanket, 0.4 mm glass fibre blanket with 35-micron aluminium foil, and 0.4 mm glass fibre blanket with graphite-based intumescent coating—were evaluated for their bushfire resistance as shutter materials. The performance of these materials under bushfire radiant heat exposure was evaluated and discussed. Furthermore, numerical models were developed using FDS to simulate the heat transfer behaviour of different shutter materials and the window shutter system. These models were then validated using experimental results and utilised in parametric studies with exact heat flux versus time curves and a fixed ambient temperature of 22 °C, facilitating a comparative analysis of material performance. Based on the findings from this research, the following conclusions and recommendations are drawn:
  • The study conducted tests under two different heat flux versus time curves to examine the effects of exposure duration and type. The 11 min test assessed the initial thermal shock resistance of shutter materials, while the 47 min test was used to replicate prolonged real bushfire radiant heat exposures.
  • Despite the extended exposure in the 47 min tests leading to higher total heat exposure, the temperatures on the front shutter were only slightly higher than in the 11 min tests. This outcome was influenced by the cooling effect of ambient air in outdoor conditions. However, glass temperatures were considerably higher in the 47 min tests due to the enclosed space between the shutter and glass.
  • The application of a 35-micron aluminium foil to the glass fibre blanket significantly reduced the glass temperature and ambient heat flux, showcasing the aluminium foil’s effectiveness in reflecting radiant heat.
  • Comparatively, the lightweight glass fibre blanket with aluminium foil outperformed the heavier 1.2 mm steel sheet in terms of both glass temperatures and ambient heat fluxes during bushfire radiant heat exposures.
  • The use of intumescent coating, known for its insulative properties on steel or timber members, was explored by applying a graphite-based intumescent coating to the 0.4 mm glass fibre blanket. Although this increased the fire-side shutter temperature, the glass temperature remained similar, and the ambient heat flux was reduced by approximately 2.5 times compared to the uncoated blanket. However, the full potential of this coating was not fully explored as Test 4 was terminated early at 20 min.
  • Numerical models created using FDS and validated in this study provide a valuable tool for predicting the heat transfer and performance of various window and shutter systems during bushfire radiant heat exposure, offering an efficient alternative to extensive physical testing of each potential shutter configuration.
  • Various types of window glass respond differently under fire conditions. Using a 1.2 mm steel sheet or a 0.4 mm glass fibre blanket with aluminium foil as shutter materials can keep a 6 mm toughened glass below 80 °C during bushfire radiant heat exposures. This temperature is well below the 150 °C threshold at which float glass typically cracks. Consequently, shutters made of these materials are safe to use with 6 mm or thicker glass windows. While these shutters might also provide adequate protection for glass thinner than 6 mm, further studies are needed to confirm this, as the experiments and FDS models in this study have focused on 6 mm thick glass.

Author Contributions

Conceptualization, B.P. and A.A.; methodology, B.P. and A.A.; software, B.P.; validation, B.P.; formal analysis, B.P.; investigation, B.P.; resources, A.A and M.M.; data curation, B.P.; writing—original draft preparation, B.P.; writing—review and editing, A.A and M.M.; visualization, B.P. and A.A.; supervision, A.A and M.M.; project administration, A.A and M.M.; funding acquisition, A.A and M.M. All authors have read and agreed to the published version of the manuscript.

Funding

This PhD research scholarship was funded by QUT’s Centre for Materials Science (QCMS) through linkage spark project, School of Civil and Environmental Engineering and QUT HDR tuition fee Sponsorship.

Institutional Review Board Statement

Not applicable.

Informed Consent Statement

Not applicable.

Data Availability Statement

The original contributions presented in this study are included in the article. Further inquiries can be directed to the corresponding author.

Acknowledgments

The authors wish to acknowledge the facilities provided by QUT Banyo Laboratory for conducting the experiments, the computational resources provided by QUT’s High-Performance Computing (HPC) facility, and Thunderhead Engineering for the PyroSim software academic license.

Conflicts of Interest

The authors declare no conflict of interest.

References

  1. Quarles, S.L.; Valachovic, Y.; Nakamura, G.M.; Nader, G.A.; De Lasaux, M.J. Home Survival in Wildfire-Prone Areas: Building Materials and Design Considerations; ANR Publication 8393; University of California, Agriculture and Natural Resources: Richmond, CA, USA, 2010. [Google Scholar]
  2. Leonard, J.; Blanchi, R.; Weir, I. Bushfire Resilient Building Guidance for Queensland Homes; Queensland Government: Queensland, Australian, 2020.
  3. AS 3959:2018; Construction of Buildings in Bushfire-Prone Areas. Australian Standard: Sydney, Australia, 2018.
  4. AS 1530.8.1; Methods for Fire Tests on Building Materials, Components and Structures, Part 8.1: Tests on Elements of Construction for Buildings Exposed to Simulated Bushfire Attack—Radiant Heat and Small Flaming Sources. Australian Standard: Sydney, Australia, 2018.
  5. NS 300; Steel Framed Construction in Bushfire Areas. National Association of Steel-framed Housing Inc.: Hartwell, Australia, 2021.
  6. Dart, Z.; Watkins, E.M.; Ariyanayagam, A.; Mahendran, M. Bushfire Resistance of Light Gauge Steel Framed Wall Systems. In Proceedings of the 12th International Conference on Structures in Fire; Hong Kong Polytechnic University: Hong Kong, China, 2022; pp. 579–590. [Google Scholar]
  7. Hendawitharana, S.; Ariyanayagam, A.; Mahendran, M. Predicting the behaviour of external steel walls under bushfire radiant heat conditions. Fire Saf. J. 2023, 141, 103888. [Google Scholar] [CrossRef]
  8. Hendawitharana, S.; Ariyanayagam, A.; Mahendran, M.; Steau, E. Bushfire resistance of external light steel wall systems lined with fibre cement boards. Fire Saf. J. 2023, 139, 103806. [Google Scholar] [CrossRef]
  9. Macindoe, L.; Leonard, J.; Brown, S. NASH Steel Framed House Burnover; CSIRO Ecosystem Science; CSIRO: Canberra, Australia, 2011. [Google Scholar]
  10. Leonard, L.M.S. NASH Steel Framed Wall Tests; Report EP117726; CSIRO: Canberra, Australia, 2011. [Google Scholar]
  11. Wakefield, T.; He, Y.; Dowling, V. An experimental study of solid timber external wall performance under simulated bushfire attack. Build. Environ. 2009, 44, 2150–2157. [Google Scholar] [CrossRef]
  12. Leonard, J.; Blanchi, R. Investigation of Bushfire Attack Mechanisms Involved in House Loss in the ACT Bushfire 2003, CMIT-2005-478(CMIT-Technical Report); Bushfire CRC: Melbourne, Australia, 2005; pp. 1–61. [Google Scholar]
  13. Takahashi, F. Whole-house fire blanket protection from wildland-urban interface fires. Front. Mech. Eng. 2019, 5, 60. [Google Scholar] [CrossRef]
  14. Takahashi, F.; Abbott, A.; Murray, T.M.; T’ien, J.S.; Olson, S.L. Thermal response characteristics of fire blanket materials. Fire Mater. 2014, 38, 609–638. [Google Scholar] [CrossRef]
  15. Hao, J.; Chow, W.K. A brief review of intumescent fire retardant coatings. Archit. Sci. Rev. 2003, 46, 89–95. [Google Scholar] [CrossRef]
  16. Puri, R.G.; Khanna, A. Intumescent coatings: A review on recent progress. J. Coat. Technol. Res. 2017, 14, 1–20. [Google Scholar] [CrossRef]
  17. Ustinov, A.; Zybina, O.; Kruglov, E. Intumescent coatings with improved properties for fireproofing of wooden building constructions. In IOP Conference Series: Materials Science and Engineering; IOP Publishing: Bristol, UK, 2020; p. 012032. [Google Scholar]
  18. NFPA 1144; Standard for Reducing Structure Ignition Hazards from Wildland Fire. National Fire Protection Association: Quincy, MA, USA, 2013.
  19. Buechi, H.; Weber, P.; Heard, S.; Cameron, D.; Plantinga, A.J. Long-term trends in wildfire damages in California. Int. J. Wildland Fire 2021, 30, 757–762. [Google Scholar] [CrossRef]
  20. Caton, S.E.; Hakes, R.S.; Gorham, D.J.; Zhou, A.; Gollner, M.J. Review of pathways for building fire spread in the wildland urban interface part I: Exposure conditions. Fire Technol. 2017, 53, 429–473. [Google Scholar] [CrossRef]
  21. Eriksen, C.; Gill, N. Bushfire and everyday life: Examining the awareness-action ‘gap’ in changing rural landscapes. Geoforum 2010, 41, 814–825. [Google Scholar] [CrossRef]
  22. Perinpalingam, B.; Ariyanayagam, A.; Mahendran, M. Bushfire resistance of windows and shutters. In Proceedings of the Australasian Structural Engineering Conference: ASEC 2022, Melbourne, Australia, Engineers Australia Barton, ACT, Melbourne, Australia, 9–10 November 2022; pp. 65–74. [Google Scholar]
  23. Pope, N.; Bailey, C. Development of a Gaussian glass breakage model within a fire field model. Fire Saf. J. 2007, 42, 366–376. [Google Scholar] [CrossRef]
  24. Keski-Rahkonen, O. Breaking of window glass close to fire. Fire Mater. 1988, 12, 61–69. [Google Scholar] [CrossRef]
  25. Bowditch, P.; Leonard, J.; Sargeant, A.; Macindoe, L. Window and Glazing Exposure to Laboratory-Simulated Bushfires; Bushfire CRC Report; CSIRO Manufacturing & Infrastructure Technology: Melbourne, Australia, 2005. [Google Scholar]
  26. Skelly, M.J.; Roby, R.J.; Beyler, C.L. An experimental investigation of glass breakage in compartment fires. J. Fire Prot. Eng. 1991, 3, 25–34. [Google Scholar] [CrossRef]
  27. Mowrer, F.W. Window Breakage Induced by Exterior Fires; NASA: Washington, DC, USA, 1998. [Google Scholar]
  28. Richardson, J.K.; Oleszkiewicz, I. Fire tests on window assemblies protected by automatic sprinklers. Fire Technol. 1987, 23, 115–132. [Google Scholar] [CrossRef]
  29. Shields, T.; Silcock, G.; Flood, M. Performance of a single glazing assembly exposed to a fire in the centre of an enclosure. Fire Mater. 2002, 26, 51–75. [Google Scholar] [CrossRef]
  30. McGrattan, K.; Hostikka, S.; Floyd, J.; McDermott, R.; Vanella, M. Fire Dynamics Simulator User’s Guide; NIST Special Publication 1019; National Institute of Standards and Technology: Gaithersburg, MD, USA, 2022. [Google Scholar]
  31. EN 1993-1-2; European Standard, Eurocode 3, Design of Steel Structures—Part 1-2: General Rules—Structural Fire Design. CEN-European Committee for Standardization: Brussels, Belgium, 2005.
  32. Hsu, S.-Y.; T’ien, J.S.; Takahashi, F.; Olson, S. Modeling heat transfer in thin fire blanket materials under high external heat fluxes. Fire Saf. Sci. 2011, 10, 973–986. [Google Scholar] [CrossRef]
  33. Debuyser, M.; Sjöström, J.; Lange, D.; Honfi, D.; Sonck, D.; Belis, J. Behaviour of monolithic and laminated glass exposed to radiant heating. Constr. Build. Mater. 2017, 130, 212–229. [Google Scholar] [CrossRef]
  34. Fu, Y.; Li, L. Study on mechanism of thermal spalling in concrete exposed to elevated temperatures. Mater. Struct. 2011, 44, 361–376. [Google Scholar] [CrossRef]
Figure 1. Radiant heat profiles: (a) 11 min profiles in AS 1530.8.1 and (b) 47 min profile in NASH Bushfire Standard.
Figure 1. Radiant heat profiles: (a) 11 min profiles in AS 1530.8.1 and (b) 47 min profile in NASH Bushfire Standard.
Fire 08 00094 g001
Figure 2. Specimen-holding frame and test set-up at QUT Banyo Laboratory: (a) holding frame (b); wall and window frame; (c) test set-up; and (d) window.
Figure 2. Specimen-holding frame and test set-up at QUT Banyo Laboratory: (a) holding frame (b); wall and window frame; (c) test set-up; and (d) window.
Fire 08 00094 g002
Figure 3. BAL-40 radiant heat curves: (a) rapid 11 min curve and (b) prolonged 47 min curve.
Figure 3. BAL-40 radiant heat curves: (a) rapid 11 min curve and (b) prolonged 47 min curve.
Fire 08 00094 g003
Figure 7. Fire-side and ambient-side heat fluxes and shutter and glass temperatures of Test 1—1.2 mm steel sheet: (a) front heat flux; (b) ambient heat flux (at 365 mm); (c) front shutter temperature; (d) rear shutter temperature; (e) front glass temperature; and (f) rear glass temperature.
Figure 7. Fire-side and ambient-side heat fluxes and shutter and glass temperatures of Test 1—1.2 mm steel sheet: (a) front heat flux; (b) ambient heat flux (at 365 mm); (c) front shutter temperature; (d) rear shutter temperature; (e) front glass temperature; and (f) rear glass temperature.
Fire 08 00094 g007
Figure 8. Fire-side and ambient-side heat fluxes and shutter and glass temperatures of Test 2—0.4 mm thick glass fibre blanket: (a) front heat flux; (b) ambient heat flux (at 365 mm); (c) front shutter temperature; (d) rear shutter temperature; (e) front glass temperature; and (f) rear glass temperature.
Figure 8. Fire-side and ambient-side heat fluxes and shutter and glass temperatures of Test 2—0.4 mm thick glass fibre blanket: (a) front heat flux; (b) ambient heat flux (at 365 mm); (c) front shutter temperature; (d) rear shutter temperature; (e) front glass temperature; and (f) rear glass temperature.
Fire 08 00094 g008aFire 08 00094 g008b
Figure 9. Fire-side and ambient-side heat fluxes and shutter and glass temperatures of Test 3—0.4 mm thick glass fibre blanket with 35-micron aluminium foil: (a) front heat flux; (b) ambient heat flux (at 365 mm); (c) front shutter temperature; (d) rear shutter temperature; (e) front glass temperature; and (f) rear glass temperature.
Figure 9. Fire-side and ambient-side heat fluxes and shutter and glass temperatures of Test 3—0.4 mm thick glass fibre blanket with 35-micron aluminium foil: (a) front heat flux; (b) ambient heat flux (at 365 mm); (c) front shutter temperature; (d) rear shutter temperature; (e) front glass temperature; and (f) rear glass temperature.
Fire 08 00094 g009
Figure 10. Comparison of selected results from Tests 2 and 3: (a) front glass temperature and (b) ambient heat flux (at 365 mm).
Figure 10. Comparison of selected results from Tests 2 and 3: (a) front glass temperature and (b) ambient heat flux (at 365 mm).
Fire 08 00094 g010
Figure 11. Fire-side and ambient-side heat fluxes and shutter and glass temperatures of Test 4—0.4 mm glass fibre blanket with 0.9 mm graphite-based intumescent coating: (a) front heat flux; (b) ambient heat flux (at 365 mm); (c) front shutter temperature; (d) rear shutter temperature; (e) front glass temperature; and (f) rear glass temperature.
Figure 11. Fire-side and ambient-side heat fluxes and shutter and glass temperatures of Test 4—0.4 mm glass fibre blanket with 0.9 mm graphite-based intumescent coating: (a) front heat flux; (b) ambient heat flux (at 365 mm); (c) front shutter temperature; (d) rear shutter temperature; (e) front glass temperature; and (f) rear glass temperature.
Fire 08 00094 g011
Figure 12. Test 4 specimen (a) during the test and (b) post-test.
Figure 12. Test 4 specimen (a) during the test and (b) post-test.
Fire 08 00094 g012
Figure 13. Typical model of shutter and glass for radiant heat exposure.
Figure 13. Typical model of shutter and glass for radiant heat exposure.
Fire 08 00094 g013
Figure 14. Additional wind speed used in front of the specimen to incorporate the wind speed from the radiant heater in FDS modelling: (a) 11 min model and (b) 47 min model.
Figure 14. Additional wind speed used in front of the specimen to incorporate the wind speed from the radiant heater in FDS modelling: (a) 11 min model and (b) 47 min model.
Fire 08 00094 g014
Figure 15. Thermal properties of the materials used in FDS modelling: (a) steel sheet [31]; (b) glass fibre blanket [32]; and (c) glass [33].
Figure 15. Thermal properties of the materials used in FDS modelling: (a) steel sheet [31]; (b) glass fibre blanket [32]; and (c) glass [33].
Fire 08 00094 g015
Figure 16. FDS modelling results compared with Test 1 results—1.2 mm steel sheet: (a) front heat flux; (b) front shutter temperature; (c) rear shutter temperature; (d) front glass temperature; and (e) rear glass temperature.
Figure 16. FDS modelling results compared with Test 1 results—1.2 mm steel sheet: (a) front heat flux; (b) front shutter temperature; (c) rear shutter temperature; (d) front glass temperature; and (e) rear glass temperature.
Fire 08 00094 g016aFire 08 00094 g016b
Figure 17. FDS modelling results compared with Test 2 results—0.4 mm thick glass fibre blanket: (a) front heat flux; (b) front shutter temperature; (c) rear shutter temperature; (d) front glass temperature; and (e) rear glass temperature.
Figure 17. FDS modelling results compared with Test 2 results—0.4 mm thick glass fibre blanket: (a) front heat flux; (b) front shutter temperature; (c) rear shutter temperature; (d) front glass temperature; and (e) rear glass temperature.
Fire 08 00094 g017aFire 08 00094 g017b
Figure 18. FDS modelling results compared with Test 3 results—0.4 mm thick glass fibre blanket with 35-micron aluminium foil: (a) front heat flux; (b) front shutter temperature; (c) rear shutter temperature; (d) front glass temperature; and (e) rear glass temperature.
Figure 18. FDS modelling results compared with Test 3 results—0.4 mm thick glass fibre blanket with 35-micron aluminium foil: (a) front heat flux; (b) front shutter temperature; (c) rear shutter temperature; (d) front glass temperature; and (e) rear glass temperature.
Fire 08 00094 g018aFire 08 00094 g018b
Figure 19. Parametric study results (ST—1.2 mm steel sheet; GF—0.4 mm glass fibre blanket; AL—0.4 mm glass fibre blanket with 35-micron aluminium foil): (a) front heat flux; (b) average front shutter temperature; (c) average rear shutter temperature; (d) average front glass temperature; and (e) average rear glass temperature.
Figure 19. Parametric study results (ST—1.2 mm steel sheet; GF—0.4 mm glass fibre blanket; AL—0.4 mm glass fibre blanket with 35-micron aluminium foil): (a) front heat flux; (b) average front shutter temperature; (c) average rear shutter temperature; (d) average front glass temperature; and (e) average rear glass temperature.
Fire 08 00094 g019aFire 08 00094 g019bFire 08 00094 g019c
Figure 20. Comparison of incident, radiative, convective and net heat fluxes in Test 1 (1.2 mm steel sheet) from the parametric study: (a) 11 min test and (b) 47 min test.
Figure 20. Comparison of incident, radiative, convective and net heat fluxes in Test 1 (1.2 mm steel sheet) from the parametric study: (a) 11 min test and (b) 47 min test.
Fire 08 00094 g020
Disclaimer/Publisher’s Note: The statements, opinions and data contained in all publications are solely those of the individual author(s) and contributor(s) and not of MDPI and/or the editor(s). MDPI and/or the editor(s) disclaim responsibility for any injury to people or property resulting from any ideas, methods, instructions or products referred to in the content.

Share and Cite

MDPI and ACS Style

Perinpalingam, B.; Ariyanayagam, A.; Mahendran, M. Experimental and Numerical Studies of Window Shutters Under Bushfire Radiant Heat Exposure. Fire 2025, 8, 94. https://doi.org/10.3390/fire8030094

AMA Style

Perinpalingam B, Ariyanayagam A, Mahendran M. Experimental and Numerical Studies of Window Shutters Under Bushfire Radiant Heat Exposure. Fire. 2025; 8(3):94. https://doi.org/10.3390/fire8030094

Chicago/Turabian Style

Perinpalingam, Birunthan, Anthony Ariyanayagam, and Mahen Mahendran. 2025. "Experimental and Numerical Studies of Window Shutters Under Bushfire Radiant Heat Exposure" Fire 8, no. 3: 94. https://doi.org/10.3390/fire8030094

APA Style

Perinpalingam, B., Ariyanayagam, A., & Mahendran, M. (2025). Experimental and Numerical Studies of Window Shutters Under Bushfire Radiant Heat Exposure. Fire, 8(3), 94. https://doi.org/10.3390/fire8030094

Article Metrics

Back to TopTop