Next Article in Journal
Research on Temperature Distribution of Cable Fire in Utility Tunnel and Fire Extinguishing Efficiency of High-Pressure Water Mist Fire Extinguishing System
Previous Article in Journal
Multidimensional Advances in Wildfire Behavior Prediction: Parameter Construction, Model Evolution and Technique Integration
Previous Article in Special Issue
Frequency Spectrum Characterization of Infrared Thermal Images of Methane Diffusion Flames
 
 
Font Type:
Arial Georgia Verdana
Font Size:
Aa Aa Aa
Line Spacing:
Column Width:
Background:
Article

Validation of the Simplified and Detailed Models of Mixed Polymer Combustion in a Small Fire in a Cargo Compartment

by
Andrei Ponomarev
1,2,* and
Rustam Mullyadzhanov
1,2
1
Kutateladze Institute of Thermophysics SB RAS, Lavrentyev Ave. 1, 630090 Novosibirsk, Russia
2
Department of Physics, Novosibirsk State University, Pirogov Str. 1, 630090 Novosibirsk, Russia
*
Author to whom correspondence should be addressed.
Fire 2025, 8(10), 403; https://doi.org/10.3390/fire8100403
Submission received: 11 August 2025 / Revised: 12 October 2025 / Accepted: 15 October 2025 / Published: 16 October 2025
(This article belongs to the Special Issue Sooting Flame Diagnostics and Modeling)

Abstract

This study validates numerical models for mixed polymer combustion in a B-707 aircraft cargo compartment against Federal Aviation Administration test data. A simplified approach using a predefined mass loss rate was compared with a detailed model coupling in-depth heat transfer and pyrolysis kinetics based on the assumption of negligible co-pyrolysis effects. Both approaches reliably captured smoke dynamics and light transmission. The detailed model predicted the mass loss rate with high accuracy, matching the experimental value of 0.11 g/s at 200 s after the ignition. However, it significantly overpredicted the heat release rate with a peak value of 8 kW versus 5 kW in the experiment. This discrepancy was examined through a sensitivity analysis of key parameters: the radiative fraction, heat of combustion, turbulence model, and pyrolysis kinetics. The Smagorinsky model best captures the growth pattern of the heat release and mass loss rates, despite its larger deviation from the experimental data compared to other models. The analysis revealed that the radiative fraction and the activation energy of high heat-of-combustion materials like high-density polyethylene are the most influential parameters. One possible solution to the overestimation is the calibration of the activation energy and heat of combustion values for high-energy materials like HDPE. The results confirm the detailed model’s physical realism for fire spread modeling and highlight a path for improving its heat release rate predictions. Further investigation is required across a wider range of computational cases with varying sample mass fractions, compositions, geometries, and boundary conditions to establish the broader applicability of this approach.

1. Introduction

Fire safety in aviation remains a critical concern due to the potential for the rapid spread of fire and the challenges associated with early detection and suppression. The presence of combustible materials combined with limited fire suppression capabilities onboard creates a high-risk environment where even a small ignition can lead to catastrophic consequences. Among the key challenges in this field is the development of numerical approaches for accurate modeling of fire dynamics, which involves understanding the thermal decomposition of polymeric materials, the spread of smoke and flames, and the performance of fire detection systems.
Numerical simulations of fire propagation in enclosed compartments typically rely on two distinct modeling methodologies. The first approach employs a predefined mass loss rate per unit area (MLRPUA), adjusted according to experimental data, which assumes a predefined fuel degradation rate [1]. This simplification drastically reduces computational costs by eliminating the need for complex chemical kinetics and is commonly employed for CFD code validation against heat and mass transfer data [2,3]. This method inherently restricts the analysis to a single, predetermined fire development path, neglecting the influence of other physical conditions. In contrast, the second approach incorporates real pyrolysis kinetics, explicitly modeling the multistage decomposition of polymers through Arrhenius-based reaction mechanisms [4,5]. This method captures the dynamic nature of fire growth, accounting for temperature-dependent mass loss, evolving gas composition, and heat release rates. While computationally intensive, kinetic modeling enables the exploration of diverse fire scenarios, including variations in ignition sources, ventilation effects, and material compositions critical for assessing real fire hazards.
For the second approach, a fundamental aspect of fire modeling lies in the thermal decomposition rate of combustible materials, which governs the dynamics of real fire scenarios [6]. Polymer-based materials, ubiquitous in aviation cargo (packaging and protective films, storage containers, electronics, etc.), require particular attention due to their complex pyrolysis behavior. Unlike simple fuels, polymers undergo multistage decomposition involving numerous intermediate species and reactions. The detailed kinetics for some polymers may include dozens of species and hundreds of reactions [7], making a completely detailed kinetic model computationally prohibitive for practical fire simulations.
As a result, simplified approaches are often employed, focusing on dominant mass loss processes while using averaged gas properties [8]. Although such methods cannot capture fine-scale flame characteristics, they provide reasonable estimates of critical parameters such as CO and soot yields, which are essential for fire hazard assessment [9].
The analysis of pyrolysis kinetics for polymeric materials has been extensively studied in the literature, with numerous simplified reaction mechanisms proposed to describe thermal decomposition processes [10,11,12]. However, a critical question remains regarding the practical applicability of these mechanisms in numerical modeling—specifically, whether they can be accurately implemented for a given real-world scenario, especially in the case of a mixture polymer combustion. Thermogravimetric, kinetic, and product studies report that in some conditions, the notable changes can be achieved in pyrolysis temperatures, apparent activation energy, and altered oil or gas yields during the co-pyrolysis of polymers compared to their expected weighted averages [13,14,15]. However, in the ground-breaking work of Westernhout et al. [16], it was found that the pyrolysis kinetics of the polymers in the mixture remains unaltered in comparison with the pyrolysis of the pure polymers at temperatures below 450 °C. In this study, we not only examine the theoretical foundations of pyrolysis kinetics but also evaluate their suitability for computational simulations.
The choice between simplified and detailed kinetic models often involves a compromise between accuracy and computational efficiency. While single-step Arrhenius kinetics may suffice for some thermoplastics (e.g., polyethylene or polystyrene [17,18]), more complex materials like polyvinyl chloride or polyurethane [19,20] necessitate multistep models to accurately reproduce mass loss and heat release rates. This challenge becomes even more pronounced when dealing with multicomponent fuel mixtures, as commonly encountered in real fire scenarios.
In this context, experimental data from controlled fire scenarios provide invaluable benchmarks for validating numerical models. Of particular relevance are the Federal Aviation Administration (FAA) tests conducted in a Boeing 707 cargo compartment, which examined the combustion behavior of a polymer mixture under realistic conditions [21,22]. These experiments recorded key parameters such as temperature profiles, gaseous product concentrations, and light transmission dynamics, offering a comprehensive dataset for model evaluation.
This work validates numerical approaches for modeling the thermal decomposition and combustion of a plastic mixture in an aircraft cargo compartment against FAA experimental data. Two primary methodologies are compared: a simplified predefined mass loss rate per unit area (MLRPUA) approach and a more detailed kinetic scheme accounting for real-time pyrolysis chemistry. This study evaluates their respective advantages and limitations in predicting fire growth, smoke transport, and detection timelines, demonstrating the applicability of such models for fire dynamics simulations in aviation.

2. Numerical Methods and Details

For numerical modeling, the Fire Dynamic Simulator (FDS-6.10.1) open-source software [23], developed by the National Institute of Standards and Technology (NIST, Gaithersburg, MD, USA), was utilized. The software was designed to model diverse fire scenarios in indoor and outdoor environments. The choice was motivated by previous validation studies of the smoke transport in the same experimental compartment, which showed good agreement with the experiment.
The numerical approach employs a second-order finite difference scheme with a low Mach number formulation to solve the Navier–Stokes equations. Combustion is modeled using the mixture fraction concept under the assumption of infinitely fast chemistry. Turbulence is simulated via large eddy simulation (LES), with the Deardorff model [24], which is the same model used in the FDS validation guide for smoke transport modeling in the B-707 cargo compartment [23]. The developers of the FDS software also recommend this model as the most suitable for common fire scenarios. This recommendation is based on comparisons of the wide variety of full-scale experiments. Nevertheless, in FDS, four other turbulence models are available: constant and dynamic Smagorinsky [25,26,27], Vreman [28], and Wall-Adapting local Eddy-viscosity (WALE) [29]. The radiative transfer equation (RTE) is solved using the finite volume method (FVM), with a prescribed radiative fraction, χ r = 0.55 [23,30], acting as a lower bound to mitigate uncertainties in radiation calculations arising from temperature field inaccuracies.

2.1. Combustion

In the gaseous phase, combustion is specified by a single-step chemical reaction with prescribed CO and soot yield controlled by mixing processes. Theeddy dissipation concept (EDC) is used. The idea is to represent the cell as a well-stirred reactor, where the part of the mixture is premixed while the rest is non-premixed. The premixed part can chemically react, and it is controlled by the mixing time τ m i x . The mass source term is solved in the following form:
m ˙ a = ρ d Y ˜ a d t = ρ ς τ m i x ( Y ^ a Y ^ a 0 ) + ( 1 ς ) d Y ^ a d t ,
d ς d t = ς 0 e t τ m i x .
where ς is the unmixed fraction of the cell mass for every species in the cell, ς 0 = 1 is for turbulent diffusion flames, and Y ^ a is the mixed fraction value. If neither the fuel nor the oxidizer unmixed fraction equals 1, a portion of the mass in the cell can chemically react, producing new components. The mixing time τ m i x is represented by
τ m i x = m a x ( τ c h e m , m i n ( τ d , τ u , τ g , τ f l a m e ) ) ,
where different time scale terms are as follows:
τ d = Δ 2 D F ; τ u = C u Δ ( 2 / 3 ) k s g s ; τ g = 2 Δ / g ; τ c h e m = D F S L 2 .
Here D F denotes the molecular diffusivity of the fuel, S L is the laminar flame speed, Δ = Δ x Δ y Δ z 3 is the linear cell size, k s g s is subgrid scale kinetic energy, δ is the flame front thickness, g = 9.81 m / s 2 is gravitational acceleration, and C u = 0.4 is the advective time scale constant [31].
The change in fuel concentration is limited by the fraction of a reactant:
m ˙ F = ρ m i n ( Y F , Y A / s ) τ m i x ,
where s is a stoichiometric coefficient and Y F and Y A are the cell mean mass fraction of fuel and air, respectively.
The combustion of gaseous fuel is modeled using a single-step irreversible reaction with the general formula C x H y N z O v C l k . The overall reaction can be expressed as follows:
C x H y N z O v C l k + ν O 2 O 2 ν C O 2 C O 2 + ν C O C O + ν H 2 O H 2 O + ν S C + ν N 2 N 2 + ν H C l H C l ,
where the variables x y z v k are computed by the next system of equations:
ν O 2 = ν C O 2 + ν C O 2 + ν H 2 O 2 v 2 ,
ν C O 2 = x ν C O ν S ,
ν H C l = k ,
ν H 2 O = y k 2 ,
ν C O = W F W C O y C O ,
ν S = W F W S y S ,
ν N 2 = z 2 .

2.2. Solid State

For solid heat transport, the 1D model was utilized due to the high ratio of the sample linear size to its width (≈10). This assumption works well when heat transport is essentially along a single coordinate and material properties vary mildly (e.g., layered conduction [32,33]). However, this model has limitations and breaks down in cases with high local gradients and complex geometry [34,35,36]. FDS also supports the 3D heat transfer model (Beta version) realized by Alternating Direction Implicit (ADI) scheme [37,38,39] with the specific limitations presented in the User Guide [23]. The 1D equation is solved in the direction normal to the surface.
ρ s c s T s t = x k s T s x + q ˙ s ,
k s = a = 1 N m X a k s , a ,
ρ s c s = a = 1 N m ρ s , a c s , a ,
where N m is the number of material components, X a is the volume fraction of the component, ρ s , a is the component density, and k s and ρ s c s are component-averaged conductivity and volumetric heat capacity, respectively.
The equation below describes the evolution in time of a mass per unit volume of the a material component:
ρ s , a t = β = 1 N r , a r a β + S a .
where N r , a is the number of reactions for material a, r a β is the rate of reaction β , and S a is the production of material from other reactions. The general view of the reaction rate in this computational study is described by the following equation, according to the experimental pyrolysis data:
r a , β = ρ s , a n s , a β A a β exp E a β R T s ,
where n s , a β is the partial reaction order, A a β is the pre-exponential factor of reaction β for component a, and E a β and activation energy.

3. Discretization of Experiments and Simulation

This section describes the initial conditions applied in the numerical study according to the experimental data. As a fire source, six types of plastics, including high-density polyethylene (HDPE), polyvinyl chloride (PVC), polyamide 66 (PA66), polystyrene (PS), thermoplastic poly-urethane (TPU), and polybutylene terephthalate (PBT), were combined in the sample. The sample was a 10 cm × 10 cm × 1 cm brick composed of small plastic beads melted together and slightly fused in an oven at 180 °C. The nichrome wire, connected to a variable voltage power supply, was embedded inside the sample. The thermal decomposition process was initiated by applying a variable voltage and heating the wire at a power of 483 W. A small amount of heptane was ignited on the top of the sample to produce a flame. The duration of the experiment was 180 s. The mass loss rate, heat release rate, and pyrolyzate gas composition were measured separately by TG-FTIR calorimetry [40] in the same conditions in terms of sample size and embedded wire as the heating source and air atmosphere. The sample geometry and ignition mechanism in the FAA cargo compartment experiment were replicated from the TG-FTIR setup. An oxygen consumption cone calorimeter (Atlas Electric Devices) was employed to quantify the heat release rate, visible smoke production, and mass loss of the specimen [41]. The principle of operation for determining the heat release rate is based on the oxygen depletion technique. The gaseous combustion products are extracted into an exhaust duct, where the oxygen concentration is measured. Concurrently, a laser beam system quantifies the obscuration of visible light by the smoke to determine the smoke yield from the sample. The test methodology also entails continuous monitoring of carbon dioxide and carbon monoxide generation, alongside specimen mass loss. The duration of the TG-FTIR experiment was 300 s.
During the FAA experiments in the compartment, the following parameters were monitored: temperature, light transmission, and concentrations of CO and CO 2 gas species [22]. To monitor the temperature dynamics, 40 thermocouples were installed under the cargo ceiling. The thermocouples were 36 gauge, Type K Chromel/Alumel. Six optical detectors were used to monitor light transmission inside the compartment, and three gas analyzers were employed to measure the concentrations of CO and CO 2 . The smokemeters consisted of a 670-nanometer diode laser and silicon photocoltaic detector. The detector was covered with bandpass and infrared filters to prevent interference with other radiation sources. The measuring properties of the smokemeters satisfied the UL 217 standard [42]. Figure 1 shows the geometric configuration of the compartment, the location of the fire source and the monitoring devices, and the coordinate system in the computational domain. Smoke detectors are presented as black beams, measuring the path transmission through the compartment. The exact location of the fire source and the name of each measuring device are available in Table A1.
The modeling focuses on the first FAA test, where the sample was located in the middle of the compartment. In order to implement coupled modeling of the pyrolysis of the sample and the combustion of volatile products, the assumption was made that each component undergoes pyrolysis individually, and copyrolysis effects are negligible. This assumption is supported by the work of Westerhout et al. [16] which demonstrated that the pyrolysis kinetics for polymer mixtures remain unchanged from those of pure polymers at temperatures below 450 °C. In the present numerical simulation, the sample reaches 450 °C only at 217 s after ignition, with a maximum temperature of 510 °C at the simulation endpoint (t = 300 s). This maximum is only marginally higher than the threshold established by Westerhout et al. Thus, we operate under the assumption that this rule is generally applicable for the scope of this study. In this study, three distinct simulation approaches were employed to investigate the fire behavior of a mixed polymer sample, each differing in boundary conditions and material representation.

3.1. Single-Component (SC) Approach

This case is the same as that described in the FDS Validation Guide. This approach uses a specified mass loss rate derived from TG-FTIR experimental data [40]. The mixed polymer sample is treated as a single pseudo-component material with averaged combustion properties, simplifying the representation of the pyrolysis process. The properties, which were utilized for the sample representation are shown in Table 1.
This approach permits the use of any pseudo-species as a fuel, even chemically unrealistic ones like C 1 H 12.2 . The only requirement is specifying the correct mass yield of combustion products. This simplified formulation demonstrated reasonable agreement with the experimental measurements in terms of the heat release rate and fire dynamics, as shown in the FDS Validation Guide [23] and the work of Blake et al. [21] on the smoke transport code validation. However, since the fuel properties were not derived from the actual sample composition but instead based on empirical approximations, their determination remained somewhat arbitrary. Consequently, while the SC model provided a computationally efficient approximation, it did not completely capture the composition-dependent combustion behavior of the mixed polymer system.

3.2. Multicomponent (MC) Approach

Similarly to SC, this method also applies a predefined MLR based on the experimental measurements. However, instead of a single pseudo-component, it explicitly accounts for all six individual polymers in the sample, incorporating their specific combustion properties. These parameters were obtained from the SFPE Handbook of Fire Protection Engineering [43], with specific values and corresponding polymer masses detailed in Table 2. Furthermore, the radiative fraction for all fuel components was set to 0.55, consistent with the value applied in the FDS Validation Guide (SC model).

3.3. Multicomponent with In-Depth Thermal Decomposition (MCTD) Approach

This is the most detailed approach, which incorporates coupled in-depth heat transfer and pyrolysis processes. Unlike the predefined MLR methods (SC and MC), MCTD simulates the decomposition process dynamically using simplified reaction kinetics of decomposition for each of the six polymers in the mixture. The thermal decomposition kinetics of PE, PS, PBT, and PA66 was modeled using a single-step, zero-residue reaction:
Solid Gas
The thermal decomposition of PVC and PU was modeled in two steps, according to the available experimental data [19,20]:
Solid μ 1 Gas 1 + ( 1 μ 1 ) Residue 1 ,
Residue 1 μ 2 Gas 2 + ( 1 μ 2 ) Residue 2 .
Since PU undergoes complete combustion without char formation, the coefficients μ 1 and μ 2 were set at 0.35 and 1.0, respectively. Among all components, only PVC produced a char residue during decomposition [19], with μ 1 = 0.55 and μ 2 = 0.47 . In order to avoid all discrepancies between numerical and experimental data, the complete set of kinetic and thermophysical parameters for each polymer component, along with references to the supporting literature, is explicitly specified in Table A2. Figure 2 shows a schematic representation of the sample configuration for this case.
The MCTD model accounted for air-filled voids in the sample, maintaining a total solid mass of 68.2 g to match the experimental conditions. The plastic resin block was divided into three layers with thicknesses of 0.495 cm (top), 0.01 cm (middle), and 0.495 cm (bottom). This heating layer thickness was chosen as an assumption of the initial pyrolysis zone and is a geometrically intermediate scale between the characteristic wire diameter (0.1 cm) and the approximate ratio of the wire volume within the sample to the sample surface (0.001 cm). All layers had identical plastic compositions and thermal properties. An internal heat source of 483 W was applied specifically to the middle layer to simulate wire heating as in the FAA experiment. Heat transfer inside the sample was modeled using a one-dimensional approach due to the high ratio of the linear sample size (10 cm) to its thickness (1 cm). The solid domain was discretized with a grid resolution of 2.5 × 10 5 m, resulting in approximately 400 computational cells. For the surrounding compartment, a base grid of 4 cm cubic cells was employed, with local refinement to 1 cm cells in the fire source area.

4. Validation Results

This section presents the results of comparing different model approaches described in the previous section. Computations for the simplified (SC/MC) and detailed (MCTD) models required approximately 10 and 240 CPU hours, respectively, on EPYC7313 processors. This demonstrates a significant computational advantage for the simplified models. The calculation error was considered as the deviation between the simulations and the experimental data. Figure 3 shows the propagation of fire and smoke at 10 and 120 s after ignition.
Parameters tracked in simulations, according to the experiment:
  • Light transmission (LT).
  • Gas species concentrations (CO and CO 2 ).
  • Heat release rate.
  • Mass loss rate (in MCTD case).
  • Temperature dynamics (via thermocouple measurements).

4.1. Heat Release Rate

Figure 3 compares the heat release rate (HRR) profiles in all computational cases with experimental data (Exp). For cases with a specified mass loss rate (SC and MC), the simulations show good agreement with the experimental results. However, the case incorporating six polymers (MC) slightly overestimates HRR, with a peak deviation of approximately 0.5 kW (10% of the maximum experimental value) above both the experimental and the FDS Validation Guide data (SC model). Despite this discrepancy, the overall trend remains consistent with the observed behavior.
A significant deviation in the heat release rate is observed for the coupled thermal decomposition (MCTD) case, where the predicted values substantially exceed the experimental data. At t = 50 s, HRR is twice as high as the experimental measurement. The peak HRR value reaches 8.0 kW, representing approximately 60% overestimation compared to the experiment, although the peak occurrence time (t = 78 s) closely matches the experimental one (t = 82 s). Beyond 100 s, the simulated HRR remains consistently higher than the experimental values. Nevertheless, the level of overestimation (60%) remains stable regarding the experimental data, maintaining this overprediction trend until the end of the simulation.

4.2. Mass Loss Rate

In contrast, the MLR for the coupled thermal decomposition (MCTD) simulation shows rather good agreement with the experimental data (Figure 4a). The cumulative mass loss at t = 180 s is 27.6 g in the simulation versus 23.1 g in the experiment, while at t = 300 s, these values are 40.0 g and 36.4 g, respectively. From the time of 200 s after ignition to the end of the simulation, the MLR curve in the MCTD case perfectly matches the experimental one. Despite minor deviations, these results demonstrate that the MCTD model predicts mass loss with reasonably high accuracy, capturing the overall degradation behavior effectively.
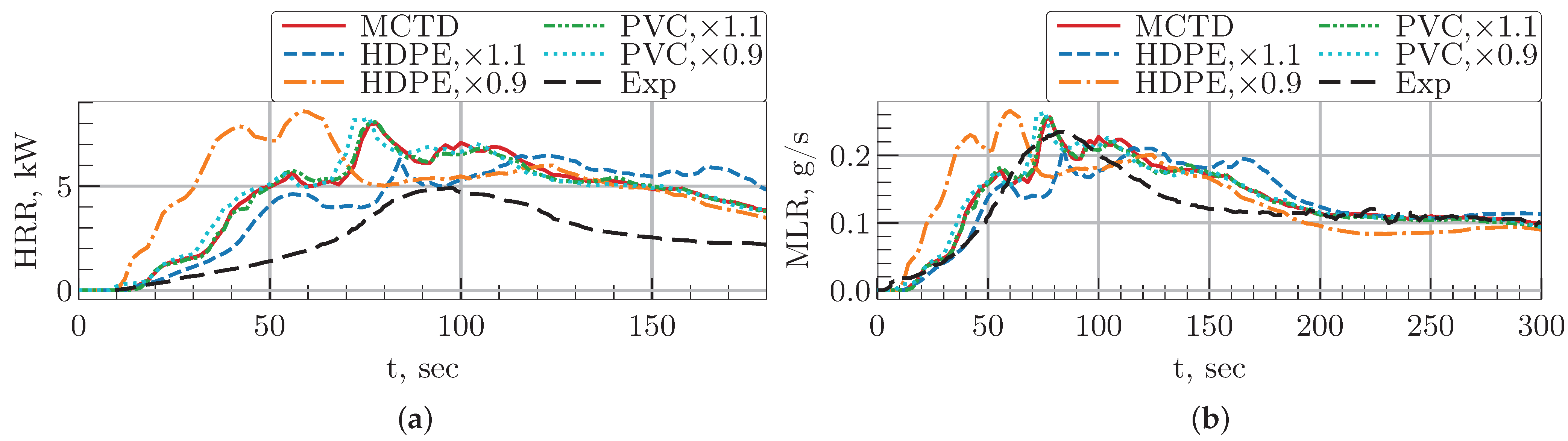
Figure 4b presents the MLR of individual components in the coupled thermal decomposition (MCTD) simulation. High-density polyethylene (HDPE) exhibits the most intensive decomposition, followed by polystyrene (PS) and thermoplastic polyurethane (TPU), all peaking at t = 78 s after ignition. Although these components follow similar decomposition trends, the intensity of their mass loss rates varies slightly at the level of ≈0.02 g/s. In contrast, polyamide 66 (PA 66) shows a delayed peak at t = 160 s with the value of 0.05 g/s.
The lowest decomposition rates are observed for polybutylene terephthalate (PBT) and polyvinyl chloride (PVC). By t ≈ 200 s, the MLR curves for most components stabilize at a plateau of 0.025 g/s, except for PVC, which reaches a lower steady-state value of 0.015 g/s. These results demonstrate that the MCTD model captures varying decomposition kinetics among components, unlike the MC model, which assumes uniform mass loss rates. Notably, despite these component-specific variations, the total predicted mass loss aligns closely with the experimental data.

4.3. Temperature Dynamics

Figure 5 presents the temperature dynamics for thermocouples 3 (TC3), 13 (TC13), and 23 (TC23), which form a straight line from the location of the fire source (TC23) to the planar side wall (TC3). For temperature, the difference between the obtained value and the initial value is represented. The data for other thermocouples are not presented but maintain the same trend as the ones mentioned above.
The best agreement with the experiment was achieved in the SC and MC cases. In the SC case for TC3 and TC13 (Figure 5a,b), the temperature values at t = 180 s are 6.75 °C and 9.2 °C, respectively, exceeding the experimental values by approximately 4 °C. For the thermocouple located directly above the fire source (TC23, Figure 5c), the simulated temperature closely matches the experimental data up to 60 s after the start of the simulation. A relative deviation of 5.0 °C is observed in the time range of 60–100 s. However, beyond 100 s, the simulated data match the experimental results with high accuracy.
The MC case closely follows the temperature trend observed in the SC case but exhibits slightly higher values. At t = 180 s, the obtained values for TC3, TC13 and TC23 are 7.70, 11.12 and 11.12, respectively. The MCTD simulation results show considerable temperature overpredictions compared to the experimental data. For thermocouples 3 and 13, the simulated temperatures are approximately double the experimental values, while thermocouple 23 shows a smaller deviation of 1.5 times the experimental measurement. These discrepancies correlate directly with the overpredicted HRR observed in the MC and MCTD case, suggesting that excessive energy release in the simulation leads to elevated temperature predictions throughout the compartment.

4.4. CO and CO2 Concentration

Figure 6 compares the predicted CO concentrations in different simulation cases. The results for every simulation case underestimate the experiment. For the MC and MCTD cases, the CO concentration trends show close agreement with each other. At t = 180 s, the CO volume fractions at the positions of the AFT, MID, and TC36 gas analyzers reach values of 9.0 × 10 5 mol/mol, 9.6 × 10 5 mol/mol, and 8.7 × 10 5 mol/mol, respectively. For the AFT and MID detectors, these values are approximately twice as low as the experimental ones (Figure 6a,b). Notable deviations are observed for the AFT and MID positions of the gas analyzer in the time range from 60 s to 100 s. For the gas analyzer located near the thermocouple 36 (TC36) this difference is smaller and amounts to 70% of the Exp value of 1.2 × 10 4 mol/mol. The best agreement was achieved for the SC model. The deviations from the experiment for the AFT and MID gas analyzers are 5.5 × 10 5 mol/mol and 5.2 × 10 5 mol/mol. For the TC36 position, simulated CO dynamics perfectly match the experiment.
Among all scenarios, the SC case, which models the sample as a single-component material with averaged properties, demonstrates the closest agreement with experimental measurements of CO 2 concentration (Figure 7). This model repeats the experiment with excellent precision for gas analyzers with the AFT and TC36 positions. A noticeable difference is observed for the MID position, where the simulation results are lower than the experimental one by 5.5 × 10 4 mol/mol (27.5%) at t = 180 s.
In the MC case, a sudden spike is observed in the 60 to 100 s range for the gas analyzer positioned above the flame source (Figure 6b), similarly to that observed in the CO concentration. This case generally replicates the trends observed in the SC case, but with relatively higher values by approximately 2.0 × 10 4 mol/mol.
The MCTD simulation predicts significantly higher CO 2 levels than the other computational cases and the experimental data. The maximum deviations from the experiment for the AFT and TC36 positions are approximately 1.0 × 10 3 mol/mol, which represents the 70% overestimation of the experiment data (Figure 7a,c). For the gas analyzer located closely above the flame, the maximum computational variance from the experiment is lower, measuring 4.9 × 10 3 mol/mol.
While all cases capture the general CO 2 concentration trends, the best quantitative alignment is achieved in the SC approach, suggesting that simplified single-component modeling may be more effective for CO 2 prediction in this configuration.

4.5. Light Transmission

A key requirement in aviation safety is the detection of fire within the first 60 s after ignition, as required by stringent safety protocols. Accurate smoke transport modeling and precise light transmission measurements are essential to ensure reliable early fire detection [44]. Light transmission is mainly affected by the concentration of soot particles in the air [45,46]. In FDS, it is calculated in the following form:
L T = exp K m L 0 L i N ρ s , i Δ x i × 100 % / m ,
where K m is the mass extinction coefficient, L 0 = 1 m, Δ x i is the length of the beam path through cell i, and ρ s , i is soot density in cell i.
Figure 8 presents the light transmission data measured by a vertical array of optical detectors positioned above the fire source. The transmission values for the LOW and HIGH optical detector positions show close agreement between all cases. However, significant deviations from the experimental data occur for the MED (medium) position detector, which is located directly above the flame. At t = 180 s, the cases MCTD and SC predict transmission values of 44.0 %/m and 39.0 %/m, respectively, compared to the experimental measurement of 68.0 %/m. The SC case yields an intermediate value of 54 %/m. These results demonstrate that, while the simulations show reasonable agreement for the optical detectors located under the ceiling, the largest prediction errors occur for the detector located directly above the flame. This fact suggests particular challenges in modeling smoke obscuration in the region above the flame, where soot concentration and thermal gradients are typically highest.
Figure 9 compares the simulated and experimental light transmission measurements obtained from ceiling-mounted optical detectors. The computational results are in strong agreement with the experimental data in all test cases, with absolute deviations consistently below 12%. This close alignment suggests that the models reliably predict soot concentration distributions in the upper compartment region. The observed consistency among simulations further indicates a robust representation of buoyancy-driven smoke transport dynamics near the ceiling. In the case of the MCTD model, this accuracy primarily stems from the precise prediction of the sample mass loss rate, which governs smoke production. This result is important for fire safety modeling, as fire detectors are usually located under the ceiling in different compartments and react precisely to the absorption of light by soot particles.

5. Sensitivity Analysis

The MCTD model demonstrated high accuracy in predicting MLR, temperature, and CO/ CO 2 concentration dynamics in comparison with simplified models. However, a consistent overestimation of the HRR was observed. To investigate the potential causes of this discrepancy, a sensitivity analysis was performed on key model parameters. Based on their potential influence on the energy balance, the parameters selected for investigation were the heat of combustion, the radiative fraction, kinetic parameters, and the turbulence model. The analysis focuses on the HRR, MLR, temperature at thermocouple TC23, light transmission from the HIGH smokemeter, and CO concentration from the MID gas analyzer. For gas analyzers, only the CO concentration is presented as it totally correlates with CO 2 . These specific measurement locations were chosen due to their proximity to the fire source and because their data trends are representative of the all set of detectors.

5.1. Turbulence Model

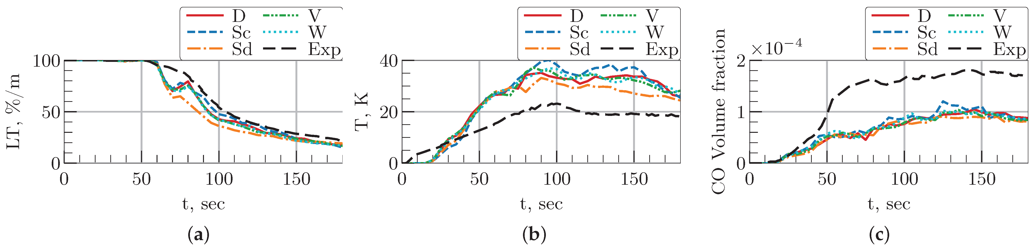
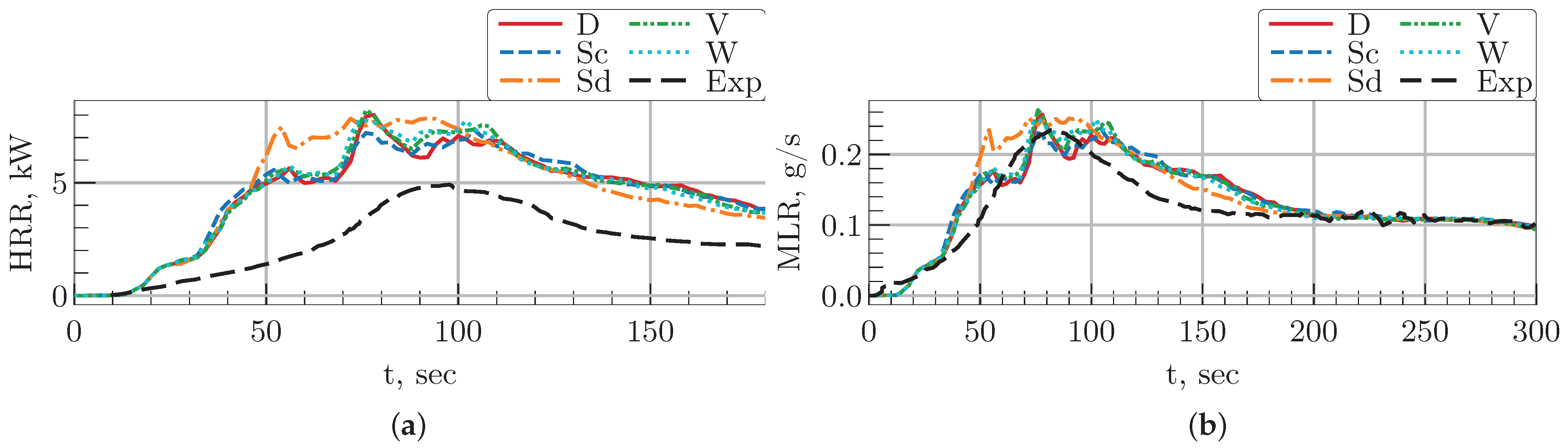
The selection of a turbulence model is critical in fire modeling as it directly affects the simulation of turbulent mixing, which governs the transport of pyrolyzates and the removal of heat from the fuel surface. This process has a direct influence on the predicted fire spread rate. Five turbulence models available in FDS were investigated: Deardorff (D) [24], constant (Sc) and dynamic Smagorinsky (Sd) [25,26,27], Vreman (V) [28], and WALE (W) [29]. The impact on the HRR and MLR is presented in Figure 10. The results indicate that four of the five models (D, Sc, V, W) produced very similar predictions for both HRR and MLR. A notable exception was the Sd model, which demonstrated a substantial deviation from the other models during the period from 50 s to 70 s. However, it demonstrated smoother growth of the MLR and HRR curves without substantial oscillations, which reflects a closer agreement with the experimental trend of these parameters.
Figure 11 presents the light transmission, temperature at thermocouple TC23, and CO concentration from the MID analyzer for each turbulence model. Consistent with the deviation observed in the HRR and MLR (Figure 10), the dynamic Smagorinsky (Sd) model also deviates significantly from the common trend of the other models in predicting light transmission and temperature (Figure 11a,b). Specifically, the Sd model predicts lower light transmission between 70 s and 140 s and a lower temperature between 90 s and 180 s. In contrast, its prediction of CO concentration aligns closely with the other models, showing no significant deviation.
The Deardorff turbulence model [24] is a classical model implemented in FDS for the large eddy simulation (LES) approach. The FDS developers recommend this model for fire simulations, as it covers a wide range of fire scenarios with notable accuracy [47]. Consequently, it is widely employed in scientific investigations of fire dynamics [48,49,50].
The model’s performance relative to other turbulence closures has been examined in several studies. Nilsson et al. [51] state that the Deardorff model can handle both fine and coarse grid sizes, whereas the constant Smagorinsky model requires higher grid resolution due to greater dissipation rate. Similarly, Sarwar [52] compared different FDS turbulence models for fluid flow over a backward-facing step. That study found that while the constant Smagorinsky model performed best on a fine grid, the dynamic Smagorinsky and Deardorff models yielded superior results on coarse grids. However, Vreman model demonstrated the lowest accuracy.
In a different application, Beshir et al. [53] used the WALE model by Nicoud and Ducros [29] to model the effects of boundary walls on fire dynamics in informal settlement dwellings. Their modeling results demonstrated an accuracy within ±10% of empirical data.

5.2. Radiative Fraction

The sensitivity of the model to the radiative fraction was investigated due to its critical role in fire dynamics. This parameter governs the fraction of energy radiated from the flame back to the fuel surface, preheating it and intensifying the combustion process. The influence of varying the radiative fraction on the predicted HRR and MLR is shown in Figure 12. The radiative fraction demonstrates a pronounced influence on the simulated mass loss rate and heat release rate, underscoring the critical role of radiative heating. Higher RF values (0.65, 0.75) resulted in significantly more intense combustion, with peak HRR and MLR values of 9.7 kW and 2.4 g/s, respectively. In contrast, a lower RF of 0.35 produced an attenuated response, characterized by a smooth HRR curve that reached a maximum of 5 kW at t = 100 s, with a corresponding peak MLR of only 0.17 g/s.
This strong correlation confirms that internal radiative heating is the dominant mechanism controlling pyrolysis at the beginning of the simulation. The high peak values observed under elevated RF conditions are attributed to more intensive heating of the fuel surface, leading to accelerated pyrolysis and combustion, primarily of the HDPE and PS materials (Figure 4b). Following this initial peak, the MLR stabilizes to a constant value as the rates of heat transfer and pyrolysis equilibrate. Under low RF conditions, the pyrolysis process is governed predominantly by internal heat conduction within the fuel sample. These results indicate that in a long-time fire scenario under the investigated conditions, the internal heating becomes the dominant process.
The radiative fraction significantly influences not only the HRR and MLR but also secondary parameters (Figure 13). Simulations show that lower RF values result in higher LT values, which is attributed to a lower MLR and a corresponding reduction in soot production. The case with RF = 0.75 exhibits the greatest deviation from the experimental LT data, with an error of approximately 20% at t = 80 s. In contrast, an RF of 0.45 provides the best fit to the experimental curve from t = 100 s onwards. Temperature dynamics within the compartment are also strongly dependent on the RF. Simulations with a lower RF predict a higher compartment temperature. This result is logical from an energy balance perspective: a lower radiative fraction implies a greater proportion of the total energy is transferred via convection, directly heating the surrounding gases rather than being radiated back to the fuel surface or lost. All simulated cases except those with RF = 0.35 predict the peak temperature at approximately t = 75–80 s, but the values diverge significantly by t = 180 s. At this time point for RF = 0.35, the maximum temperature value of 36 °C is reached. As expected, the simulated CO concentration closely follows the MLR curves, with a higher MLR producing greater quantities of combustion products, including CO. At t = 180 s, the model predicts CO concentrations between 6 · 10 4 and 9 · 10 4 mol/mol. However, these predicted values are approximately half of those measured experimentally, indicating a consistent underprediction of CO yield in the later stages of the fire.
According to the results below, adjusting the radiative fraction is not a viable solution to the overprediction of the HRR, as the relationship is unambiguous: an increase in the radiative fraction elevates both the HRR and MLR. Therefore, any reduction in HRR to align with experimental data would concurrently lower the MLR, diverging from its measured values. Furthermore, accurately defining precise spectral bands for radiation transport, instead of a constant radiative fraction value, for a given polymer is profoundly complex. The pyrolyzate, which evolves as a combustible gas, is not a uniform species but rather a complex mixture of polymer fragments with diverse chain lengths and chemical structures, generated by random bond cleavage [7]. Consequently, computing the absorption spectra for this mixture presents a formidable challenge, in contrast to the case of conventional gaseous fuels like methane or ethylene [54].

5.3. Heat of Combustion

A sensitivity analysis was also performed on the heat of combustion (HOC) to evaluate its influence on the total energy released. The HOC value was varied uniformly for all fuel species, including the polymer residues modeled with multi-step kinetics (PVC and PU). Figure 14 presents the resulting MLR and HRR curves. The labels on the graphs indicate the relative shift in HOC (in MJ/kg) from the initial MCTD simulation case for every polymer component. The results confirm a direct, positive correlation between the HOC and the peak HRR. A reduction of 2 MJ/kg for each component decreased the maximum HRR from 8 kW (baseline) to 6.5 kW. Although this change lowered the fire intensity, the overall temporal progression of the HRR remained consistent. In contrast, the MLR demonstrated negligible sensitivity to variations in HOC. The maximum divergence between the MLR curves was only 0.04 g/s (15% of the peak value), and this minor discrepancy was confined to a single time point at t = 93 s.
Figure 15 presents the simulated temperature, light transmission (LT), and CO concentration dynamics. The results demonstrate that these parameters are largely insensitive to the investigated changes in the heat of combustion. As evidenced by Figure 15a,c, the variations in both LT and CO concentration are negligible. Similarly, the temperature profiles show minimal divergence, with a maximum inter-case deviation of less than 5 K.

5.4. Pyrolysis Kinetics

This section investigates the influence of the activation energy (AE) and pre-exponential factor for both single-step and multi-step pyrolysis kinetics. Given that the dynamics of light transmission (LT), temperature, and CO concentration consistently correlate with the heat and mass release rates (as established in previous sections), the analysis focuses solely on the HRR and MLR. The sensitivity is demonstrated by the variation of the activation energy and pre-exponential factor of the HDPE and PVC material components as representative examples of single-step and multi-step kinetics, respectively.
Figure 16 shows the MLR and HRR curves for variations in the AE of HDPE and PVC’s first kinetic step. An increase in the HDPE activation energy reduces the combustion intensity and delays the peak MLR and HRR from 75 s to 125 s. Conversely, a decrease in activation energy intensifies the process and shifts the peaks to an earlier time of t = 60 s. Despite these temporal shifts, the peak HRR value changes only marginally, from 8 kW to 8.5 kW. For PVC, the same relative change in AE resulted in only minor deviations from the baseline MCTD curves. A negative change in AE advanced the peaks of HRR and MLR slightly, from 75 s to 72 s, without altering their intensity. An increase in AE had no observable effect. Changes in the pre-exponential factor demonstrated low sensitivity. Variations of over ±50% did not lead to significant changes in the HRR or MLR values (Figure 17).
The sensitivity analysis indicates that the consistent overestimation of the heat release rate in the MCTD case may be resolved by adjusting the HOC values and activation energy parameters for materials with high HOC values, primarily HDPE and PS. For instance, simultaneously decreasing the HOC of HDPE and slightly reducing its activation energy can reproduce the same mass loss rate dynamics while yielding lower HRR values that align more closely with experimental data. This approach represents the most promising solution to the problem. The rationale is rooted in the following argument: data from the literature may differ from that of real-world samples because different manufacturers, despite producing polymers under the same generic name, can employ different production technologies and additives [55]. These differences can influence the pyrolysis rate and the total heat released.

6. Conclusions

Two approaches for fire spread modeling were numerically analyzed: a simplified model using a predefined mass loss rate and a detailed model incorporating coupled in-depth thermal decomposition and pyrolysis kinetics. All investigated cases demonstrated reasonable agreement with the experimental data for temperature distributions, gas concentrations (CO/ CO 2 ), and light transmission measurements. The predicted light transmission values during the initial 60 s showed strong agreement with experimental measurements. This consistency is critical for ensuring reliable fire detection in cargo aviation applications. Numerical simulations of multicomponent systems demonstrate close agreement with experimental data. The results indicate the correctness of the assumption that the copyrolysis is statistically insignificant under the investigated conditions.
The coupled thermal decomposition model demonstrated high accuracy in predicting mass loss rates, with deviations of only 16% from experimental data at 180 s and 8% at 300 s. However, the heat release rate was significantly overestimated. A sensitivity analysis was conducted to identify the cause of this discrepancy, investigating the radiative fraction, heat of combustion, turbulence models, and pyrolysis kinetics. The results demonstrate that the radiative fraction has a strong influence on the entire combustion process. Increasing the radiative fraction reduced both the heat release and mass loss rates. Consequently, this increased light transmission and reduced the concentration of combustion products. Simultaneously, the temperature within the compartment rose due to a greater proportion of heat being transferred via convection. Changing the turbulence model had no significant effect, except for the dynamic Smagorinsky model, which overestimates the MLR and HRR between 50 and 70 s after ignition, but best captures the growth pattern of mass loss and heat release rates. Variations in the heat of combustion only affected the HRR, with no significant change observed in the MLR. Finally, changes in the activation energy of the pyrolysis kinetics had a substantial effect for high heat-of-combustion materials like HDPE but only a minor effect for low heat-of-combustion materials like the first kinetic step of PVC. Changes in the values of pre-exponential factors demonstrated low sensitivity.
According to the sensitivity analysis data, it was suggested that this discrepancy could be resolved by calibrating the kinetic parameters (activation energy) and heat of combustion values, as data from the literature may differ from the actual properties of the tested samples. Despite this need for calibration, the coupled approach represents good results with a more physically realistic modeling strategy by eliminating the reliance on a predefined mass loss rate. These results strongly support the feasibility of implementing coupled heat transfer and pyrolysis models for multicomponent materials, under the key assumption that each constituent material undergoes thermal decomposition independently.
To establish the broader applicability of this approach, further investigation is required across a wider range of computational cases with varying sample mass fractions, compositions, geometries, and boundary conditions. Future work should therefore focus on such parametric studies to thoroughly assess the model’s robustness and generalizability. The primary objective should be to validate this approach for the same sample geometry but different compositions to confirm its applicability to other polymers. The next step should be to test different geometries to evaluate the limitations of the one-dimensional heat transfer model.

Author Contributions

Validation, A.P.; visualization, A.P.; writing—original draft preparation, A.P. and R.M.; formal analysis, A.P. and R.M.; resources, R.M.; investigation, A.P. and R.M.; data curation, R.M.; supervision, R.M.; conceptualization, A.P. and R.M.; methodology, A.P. All authors have read and agreed to the published version of the manuscript.

Funding

This research was funded by the Ministry of Science and Higher Education of the Russian Federation, Agreement No. 075-15-2024-543 dated 24 April 2024.

Data Availability Statement

Data will be made available on request.

Acknowledgments

We acknowledge the computational resources of HPC “Cascade” provided by the Institute of Thermophysics SB RAS.

Conflicts of Interest

The authors declare no conflicts of interest.

Abbreviations

The following abbreviations are used in this manuscript:
TGaThermogravimetric analysis
FTIRFurier Transform Infra Red
MLRMass loss rate
HRRHeat release rate
HDPEHigh density polyethylene
PVCPolyvinyl chloride
PA66polyamide 66
PSPolystyrene
TPUThermoplastic polyurethane
PBTPolybutylene terephthalate
NISTNational Institute of Standards and Technology
LTLight transmission
ExpExperimental data
HOCHeat of combustion

Appendix A

This section represents all plastic components’ parameters and measuring devices’ labels with precise location used in simulations. An asterisk (*) in Table A2 indicates parameter values that are assumptions, as their exact values were unavailable in the literature.
Table A1. Table of the experimental devices and precise location of the fire source in the cargo compartment test. TC—thermocouple; smk—smokemeters.
Table A1. Table of the experimental devices and precise location of the fire source in the cargo compartment test. TC—thermocouple; smk—smokemeters.
Device NameXYZDevice NameXYZDevice NameXYZ
TC1−1.371.330.17TC17−0.461.332.91TC340.461.335.65
TC2−0.461.330.17TC180.01.332.91TC351.371.335.65
TC30.01.330.17TC190.461.332.91TC36−1.371.336.57
TC40.461.330.17TC201.101.332.91TC37−0.461.336.57
TC51.371.330.17TC21−1.371.333.82TC380.01.336.57
TC6−1.371.331.08TC22−0.461.333.82TC390.461.336.57
TC7−0.461.331.08TC230.01.333.82TC401.371.336.57
TC80.01.331.08TC240.461.333.82  Ceil smk FWD  −1.58 to 1.581.31.73
TC90.461.331.08TC251.101.333.82Ceil smk MID−1.58 to 1.581.32.95
TC101.371.331.08TC26−1.371.334.74Ceil smk AFT−1.58 to 1.581.35.31
TC11−1.371.331.99TC27−0.461.334.74Vert smk HIGH−1.51 to 1.511.024.9
TC12−0.461.331.99TC280.01.334.74Vert smk MID−1.39 to 1.390.744.9
TC130.01.331.99TC290.461.334.74Vert smk LOW−1.04 to 1.040.334.9
TC140.461.331.99TC301.371.334.74Gas MID0.01.423.23
TC151.101.331.99TC31−1.371.335.65Gas AFT0.01.424.75
TC16−1.371.332.91TC32−0.461.335.65Gas TC 36−1.321.356.52
TC330.01.335.65Fire source0.080.0053.73
Table A2. Table of the plastic components’ properties and parameters.
Table A2. Table of the plastic components’ properties and parameters.
PropertyPEPAPSPBTTPUPVC
Kinetic steps1 [56]1 [57]1 [56]1 [58]2 [20]2 [19]
Density, kg/ m 3 950 [43]1150 [43]1200 [43]1350 [43]1270 [43]1430 [43]
Specific heat, kJ/(kg · K)1.5 [43]2.5 [43]1.1 [43]2.23 [43]1.67 [43]1.55 [43]
Conductivity, W/(m · K)0.4 [43]0.34 [43]0.14 [43]0.29 [43]0.21 [43]0.17 [43]
Emissivity0.92 [59]0.95 [57]0.86 [59]0.88 [57]0.9 *0.9 *
Absorption coef., 1/m1300 [60]3920 [57]2700 [60]2561 [61]3500 [62]2145 [60]
Reac 1, Pre-Exp factor, 1/s9.47 × 1029 [56]5.7 × 1017 [57]5.52 × 1014 [56]2.49 × 1014 [58]6.93 × 1011 [20]3.67 × 105 [19]
Reac 1, Activation energy, J/mol3.75 × 105 [56]2.74 × 105 [57]1.92 × 105 [56]2.12 × 105 [58]1.34 × 105 [20]1.4 × 1033 [19]
Reac 1, Heat of reaction, kJ/kg920 [63]1390 [57]1000 [63]2000 *1960 [64]170 [19]
Reac 1, reaction order1.7 [56]1.0 [57]0.9 [56]1.0 [58]0.805 [20]1.0 [19]
Reac 1, Heat of combustion, MJ/kg43.0 [43]30.8 [43]39.2 [43]19.5 [58]9.6 [64]2.7 [19]
Reac 1, Gas phase product C 2 H 4 C 12 H 26 N 2 O 4 C 8 H 8 C 12 H 12 O 2 C 3 H 7 NO 2 HCl
Residue 1 yield (1 − μ 1 )0.00.00.00.00.650.44 [19]
Residue 1 Density, kg/ m 3 ----1200 *629 [19]
Residue 1 Specific heat, kJ/(kg · K)----1.67 *1.55 [19]
Residue 1 Conductivity, W/(m · K)----0.21 [43]0.17 [19]
Residue 1 Emissivity----0.9 *0.9 [19]
Char 1 Absorption coef., 1/m----3500 *2453 [19]
Reac 2, Pre-Exp factor, 1/s----3.240 × 1017 [20]3.50 × 1012 [19]
Reac 2, Activation energy, J/mol----2.17 × 105 [20]2.07 × 105 [19]
Reac 2, Heat of reaction, kJ/kg----1960 [64]170 [19]
Reac 2, reaction order----1.246 [20]1.0 [19]
Reac 2, Heat of combustion, MJ/kg----17.5 [64]36.5 [19]
Reac 2, Gas phase product---- [ C 3 H 7 NO 2 ] n [ C 2 H 3 Cl ] n
Residue 2 yield (1 − μ 1 )----0.00.47 [19]
Residue 2 Density, kg/ m 3 -----296 [19]
Residue 2 Specific heat, kJ/(kg · K)-----1.70 [19]
Residue 2 Conductivity, W/(m · K)-----0.26 [19]
Residue 1 Emissivity-----0.85 [19]
*—Assumption due to lack of information.

References

  1. Ahmadi, O.; Mortazavi, S.B.; Pasdarshahri, H.; Mohabadi, H.A. Consequence analysis of large-scale pool fire in oil storage terminal based on computational fluid dynamic (CFD). Process Saf. Environ. Prot. 2019, 123, 379–389. [Google Scholar] [CrossRef]
  2. Skarsbø, L.R. An Experimental Study of Pool Fires and Validation of Different CFD Fire Models. Master’s Thesis, The University of Bergen, Bergen, Norway, 2011. [Google Scholar]
  3. Malik, A.A.; Nasif, M.S.; Arshad, U.; Mokhtar, A.A.; Tohir, M.Z.M.; Al-Waked, R. Predictive modelling of wind-influenced dynamic fire spread probability in tank farm due to domino effect by integrating numerical simulation with ANN. Fire 2023, 6, 85. [Google Scholar] [CrossRef]
  4. Oliveira, R.L.F.; Doubek, G.; Vianna, S.S. On the behaviour of the temperature field around pool fires in controlled experiment and numerical modelling. Process Saf. Environ. Prot. 2019, 123, 358–369. [Google Scholar] [CrossRef]
  5. Lee, J.; Kim, B.; Lee, S.; Shin, W.G. Validation of the fire dynamics simulator (FDS) model for fire scenarios with two liquid pool fires in multiple compartments. Fire Saf. J. 2023, 141, 103892. [Google Scholar] [CrossRef]
  6. Wampler, T.P. Applied Pyrolysis Handbook; CRC Press: Boca Raton, FL, USA, 2006. [Google Scholar]
  7. Witkowski, A.; Stec, A.A.; Hull, T.R. Thermal decomposition of polymeric materials. In SFPE Handbook of Fire Protection Engineering; Springer: New York, NY, USA, 2016; pp. 167–254. [Google Scholar]
  8. Stoliarov, S.I.; Ding, Y. Pyrolysis model parameterization and fire growth prediction: The state of the art. Fire Saf. J. 2023, 140, 103905. [Google Scholar] [CrossRef]
  9. Westbrook, C.K.; Dryer, F.L. Chemical kinetic modeling of hydrocarbon combustion. Prog. Energy Combust. Sci. 1984, 10, 1–57. [Google Scholar] [CrossRef]
  10. Moldoveanu, S.C. Analytical Pyrolysis of Natural Organic Polymers; Elsevier: Amsterdam, The Netherlands, 1998; Volume 20. [Google Scholar]
  11. Moldoveanu, S.C. Analytical Pyrolysis of Synthetic Organic Polymers; Elsevier: Amsterdam, The Netherlands, 2005; Volume 25. [Google Scholar]
  12. Wampler, T.P. Analytical pyrolysis: An overview. Applied Pyrolysis Handbook, 2nd ed.; Taylor Francis Group: New York, NY, USA, 2007; p. 288. [Google Scholar]
  13. Burra, K.; Gupta, A. Kinetics of synergistic effects in co-pyrolysis of biomass with plastic wastes. Appl. Energy 2018, 220, 408–418. [Google Scholar] [CrossRef]
  14. Li, Y.; Kang, S.; Han, W.; Yin, F. Synergistic Effects Between Mixed Plastics and Their Impact on Pyrolysis Behavior and Pyrolysis Products. Molecules 2024, 29, 6059. [Google Scholar] [CrossRef] [PubMed]
  15. Wu, M.; Wang, Z.; Chen, G.; Zhang, M.; Sun, T.; Wang, Q.; Zhu, H.; Guo, S.; Chen, Y.; Zhu, Y.; et al. Synergistic effects and products distribution during Co-pyrolysis of biomass and plastics. J. Energy Inst. 2023, 111, 101392. [Google Scholar] [CrossRef]
  16. Westerhout, R.; Waanders, J.; Kuipers, J.; van Swaaij, W.P.M. Kinetics of the low-temperature pyrolysis of polyethene, polypropene, and polystyrene modeling, experimental determination, and comparison with literature models and data. Ind. Eng. Chem. Res. 1997, 36, 1955–1964. [Google Scholar] [CrossRef]
  17. Conesa, J.A.; Marcilla, A.; Font, R.; Caballero, J. Thermogravimetric studies on the thermal decomposition of polyethylene. J. Anal. Appl. Pyrolysis 1996, 36, 1–15. [Google Scholar] [CrossRef]
  18. Zeng, W.; Chow, W.K.; Yao, B. Chemical kinetics and mechanism of polystyrene thermal decomposition. Fire Saf. Sci. 2007, 7, 128. [Google Scholar]
  19. Stoliarov, S.I.; Crowley, S.; Walters, R.N.; Lyon, R.E. Prediction of the burning rates of charring polymers. Combust. Flame 2010, 157, 2024–2034. [Google Scholar] [CrossRef]
  20. Garrido, M.A.; Font, R. Pyrolysis and combustion study of flexible polyurethane foam. J. Anal. Appl. Pyrolysis 2015, 113, 202–215. [Google Scholar] [CrossRef]
  21. Blake, D.; Suo-Anttila, J. Aircraft cargo compartment fire detection and smoke transport modeling. Fire Saf. J. 2008, 43, 576–582. [Google Scholar] [CrossRef]
  22. Blake, D.R. Development of a Standardized Fire Source for Aircraft Cargo Compartment Fire Detection Systems; US Department of Transportation, Federal Aviation Administration, Office of Aviation Research and Development: Washington, DC, USA, 2006.
  23. Official Fire Dynamic Simulator cite. Available online: https://pages.nist.gov/fds-smv/manuals.html (accessed on 29 October 2024).
  24. Deardorff, J.W. Stratocumulus-capped mixed layers derived from a three-dimensional model. Bound.-Layer Meteorol. 1980, 18, 495–527. [Google Scholar] [CrossRef]
  25. Smagorinsky, J. General circulation experiments with the primitive equations: I. The basic experiment. Mon. Weather. Rev. 1963, 91, 99–164. [Google Scholar] [CrossRef]
  26. Germano, M.; Piomelli, U.; Moin, P.; Cabot, W.H. A dynamic subgrid-scale eddy viscosity model. Phys. Fluids Fluid Dyn. 1991, 3, 1760–1765. [Google Scholar] [CrossRef]
  27. Moin, P.; Squires, K.; Cabot, W.; Lee, S. A dynamic subgrid-scale model for compressible turbulence and scalar transport. Phys. Fluids Fluid Dyn. 1991, 3, 2746–2757. [Google Scholar] [CrossRef]
  28. Vreman, A. An eddy-viscosity subgrid-scale model for turbulent shear flow: Algebraic theory and applications. Phys. Fluids 2004, 16, 3670–3681. [Google Scholar] [CrossRef]
  29. Nicoud, F.; Ducros, F. Subgrid-scale stress modelling based on the square of the velocity gradient tensor. Flow, Turbul. Combust. 1999, 62, 183–200. [Google Scholar] [CrossRef]
  30. Beyler, C.L.; Hirschler, M.M. Thermal decomposition of polymers. Sfpe Handb. Fire Prot. Eng. 2002, 2, 111–131. [Google Scholar]
  31. McGrattan, K.B.; Baum, H.R.; Rehm, R.G.; Hamins, A.; Forney, G.P.; Floyd, J.E.; Hostikka, S.; Prasad, K. Fire Dynamics Simulator—Technical Reference Guide; National Institute of Standards and Technology: Gaithersburg, MD, USA, 2000.
  32. Pakari, A.; Ghani, S. Comparison of 1D and 3D heat and mass transfer models of a counter flow dew point evaporative cooling system: Numerical and experimental study. Int. J. Refrig. 2019, 99, 114–125. [Google Scholar] [CrossRef]
  33. Arduino, A.; Bottauscio, O.; Grappein, D.; Scialó, S.; Vicini, F.; Zanovello, U.; Zilberti, L. 3D-1D modelling of cranial mesh heating induced by low or medium frequency magnetic fields. Comput. Methods Programs Biomed. 2025, 271, 109009. [Google Scholar] [CrossRef] [PubMed]
  34. Jiang, H.; Chen, W.; Zhang, Q.; He, L. Analytical-solution based corner correction for transient thermal measurement. J. Heat Transf. 2015, 137, 111302. [Google Scholar] [CrossRef]
  35. Singh, P. Errors incurred in local convective heat transfer coefficients obtained through transient one-dimensional semi-infinite conduction modeling: A computational heat transfer study. Energies 2022, 15, 7001. [Google Scholar] [CrossRef]
  36. Lunev, A.; Zborovskii, V.; Aliev, T. Complexity matters: Highly-accurate numerical models of coupled radiative–conductive heat transfer in a laser flash experiment. Int. J. Therm. Sci. 2021, 160, 106695. [Google Scholar] [CrossRef]
  37. Zhao, S. A matched alternating direction implicit (ADI) method for solving the heat equation with interfaces. J. Sci. Comput. 2015, 63, 118–137. [Google Scholar] [CrossRef]
  38. Birkhoff, G.; Varga, R.S.; Young, D. Alternating direction implicit methods. In Advances in Computers; Elsevier: Amsterdam, The Netherlands, 1962; Volume 3, pp. 189–273. [Google Scholar]
  39. Toro, E.F. Riemann Solvers and Numerical Methods for Fluid Dynamics: A Practical Introduction; Springer Science & Business Media: Berlin/Heidelberg, Germany, 2013. [Google Scholar]
  40. Speitel, L.C. Fourier transform infrared analysis of combustion gases. J. Fire Sci. 2002, 20, 349–371. [Google Scholar] [CrossRef]
  41. E1354-99; Standard Test Method for Heat and Visible Smoke Release Rates for Materials and Products Using an Oxygen Consumption Calorimeter. ASTM International: Conshohocken, PA, USA, 1999.
  42. Underwriters Laboratories Inc. Single and Multiple Station Smoke Alarms, 5th ed.; Underwriters Laboratories Inc.: Northbrook, IL, USA, 1997. [Google Scholar]
  43. Hurley, M.J.; Gottuk, D.T.; Hall, J.R., Jr.; Harada, K.; Kuligowski, E.D.; Puchovsky, M.; Watts, J.M., Jr.; Wieczorek, C.J. SFPE Handbook of fire Protection Engineering; Springer: Berlin/Heidelberg, Germany, 2015. [Google Scholar]
  44. Code of Federal Regulations 14 CFR Part 25.858. Available online: https://www.ecfr.gov/current/title-14/chapter-I/subchapter-C/part-25 (accessed on 14 October 2025).
  45. Weingartner, E.; Saathoff, H.; Schnaiter, M.; Streit, N.; Bitnar, B.; Baltensperger, U. Absorption of light by soot particles: Determination of the absorption coefficient by means of aethalometers. J. Aerosol Sci. 2003, 34, 1445–1463. [Google Scholar] [CrossRef]
  46. Clarke, A.D. Aerosol light absorption by soot in remote environments. Aerosol Sci. Technol. 1989, 10, 161–171. [Google Scholar] [CrossRef]
  47. McGrattan, K.; Hostikka, S.; McDermott, R.; Floyd, J.; Weinschenk, C.; Overholt, K. Fire dynamics simulator technical reference guide volume 1: Mathematical model. NIST Spec. Publ. 2013, 1018, 175. [Google Scholar]
  48. Kin, A.I.; Sidorenko, A.I. Simulation of the fire in the working of coal mine using the fire dynamics simulator software. In Proceedings of the 2020 21st International Conference of Young Specialists on Micro/Nanotechnologies and Electron Devices (EDM), Chemal, Russia, 29 June–3 July 2020; pp. 276–284. [Google Scholar]
  49. Hoffman, C.M.; Canfield, J.; Linn, R.R.; Mell, W.; Sieg, C.H.; Pimont, F.; Ziegler, J. Evaluating crown fire rate of spread predictions from physics-based models. Fire Technol. 2016, 52, 221–237. [Google Scholar] [CrossRef]
  50. Anderson, J.; Sjöström, J.; Temple, A.; Charlier, M.; Dai, X.; Welch, S.; Rush, D. FDS simulations and modelling efforts of travelling fires in a large elongated compartment. Fire Mater. 2021, 45, 699–707. [Google Scholar] [CrossRef]
  51. Nilsson, M.; Nilsen, J.; Mossberg, A. Validating FDS against a large-scale fire test for facade systems. In Proceedings of the 3rd Fire and Evacuation Modelling Technical Conference (FEMTC), Melia Costa del Sol, Torremolinos, Spain, 16–18 November 2016; Available online: https://www.researchgate.net/publication/311264945_Validating_FDS_against_a_largescale_fire_test_for_facade_systems (accessed on 14 October 2025).
  52. Sarwar, M.M.; Moinuddin, K.A.; Thorpe, G. Large eddy simulation of flow over a backward facing step using fire dynamics simulator (FDS). In Proceedings of the the 14th Asian Congress of Fluid Mechanics, Hanoi and Halong, Hanoi and Halong, Vietnam, 15–19 October 2013; pp. 469–474. [Google Scholar]
  53. Beshir, M.; Mohamed, M.; Welch, S.; Rush, D. Modelling the effects of boundary walls on the fire dynamics of informal settlement dwellings. Fire Technol. 2021, 57, 1753–1781. [Google Scholar] [CrossRef]
  54. Wakatsuki, K. High Temperature Radiation Absorption of Fuel Molecules and an Evaluation of Its Influence on Pool Fire Modeling; University of Maryland: College Park, MD, USA, 2005. [Google Scholar]
  55. Desidery, L.; Lanotte, M. Polymers and plastics: Types, properties, and manufacturing. In Plastic Waste for Sustainable Asphalt Roads; Elsevier: Amsterdam, The Netherlands, 2022; pp. 3–28. [Google Scholar]
  56. Silvarrey, L.D.; Phan, A. Kinetic study of municipal plastic waste. Int. J. Hydrogen Energy 2016, 41, 16352–16364. [Google Scholar] [CrossRef]
  57. Linteris, G.T.; Lyon, R.E.; Stoliarov, S. Prediction of the gasification rate of thermoplastic polymers in fire-like environments. Fire Saf. J. 2013, 60, 14–24. [Google Scholar] [CrossRef]
  58. Kempel, F.; Schartel, B.; Linteris, G.T.; Stoliarov, S.I.; Lyon, R.E.; Walters, R.N.; Hofmann, A. Prediction of the mass loss rate of polymer materials: Impact of residue formation. Combust. Flame 2012, 159, 2974–2984. [Google Scholar] [CrossRef]
  59. Hallman, J.; Welker, J.; Sliepcevich, C. Polymer surface reflectance-absorptance characteristics. Polym. Eng. Sci. 1974, 14, 717–723. [Google Scholar] [CrossRef]
  60. Tsilingiris, P. Comparative evaluation of the infrared transmission of polymer films. Energy Convers. Manag. 2003, 44, 2839–2856. [Google Scholar] [CrossRef]
  61. Linteris, G.; Zammarano, M.; Wilthan, B.; Hanssen, L. Absorption and reflection of infrared radiation by polymers in fire-like environments. Fire Mater. 2012, 36, 537–553. [Google Scholar] [CrossRef]
  62. Zhang, H.; Fang, W.Z.; Li, Y.M.; Tao, W.Q. Experimental study of the thermal conductivity of polyurethane foams. Appl. Therm. Eng. 2017, 115, 528–538. [Google Scholar] [CrossRef]
  63. Stoliarov, S.I.; Walters, R.N. Determination of the heats of gasification of polymers using differential scanning calorimetry. Polym. Degrad. Stab. 2008, 93, 422–427. [Google Scholar] [CrossRef]
  64. Prasad, K.; Kramer, R.; Marsh, N.; Nyden, M.; Ohlemiller, T.; Zammarano, M. Numerical simulation of fire spread on polyurethane foam slabs. In Proceedings of the Fire Research Division, BFRL, NIST Annual Fire Conference, Gaithersburg, MD, USA, 4–5 June 2009. [Google Scholar]
Figure 1. Numerical domain view with the display of the reference point and coordinate system: (a)—perspective view; (b)—front view.
Figure 1. Numerical domain view with the display of the reference point and coordinate system: (a)—perspective view; (b)—front view.
Fire 08 00403 g001
Figure 2. Fire source representation in the MCTD case.
Figure 2. Fire source representation in the MCTD case.
Fire 08 00403 g002
Figure 3. Heat release rate dynamics.
Figure 3. Heat release rate dynamics.
Fire 08 00403 g003
Figure 4. Mass loss rate dynamics: (a)—total; (b)—individual components.
Figure 4. Mass loss rate dynamics: (a)—total; (b)—individual components.
Fire 08 00403 g004
Figure 5. Temperature dynamics for thermocouples: (a)—TC3, (b)—TC13, (c)—TC23.
Figure 5. Temperature dynamics for thermocouples: (a)—TC3, (b)—TC13, (c)—TC23.
Fire 08 00403 g005
Figure 6. CO concentration dynamics for gas analyzers: (a)—AFT; (b)—MID; (c)—TC36.
Figure 6. CO concentration dynamics for gas analyzers: (a)—AFT; (b)—MID; (c)—TC36.
Fire 08 00403 g006
Figure 7. CO 2 concentration dynamics for gas analyzers: (a)—AFT; (b)—MID; (c)—TC36.
Figure 7. CO 2 concentration dynamics for gas analyzers: (a)—AFT; (b)—MID; (c)—TC36.
Fire 08 00403 g007
Figure 8. LT dynamics for vertical array of smokemeters: (a)—HIGH; (b)—MED; (c)—LOW.
Figure 8. LT dynamics for vertical array of smokemeters: (a)—HIGH; (b)—MED; (c)—LOW.
Fire 08 00403 g008
Figure 9. LT dynamics for horizontal array of smokemeters: (a)—AFT; (b)—MID; (c)—FWD.
Figure 9. LT dynamics for horizontal array of smokemeters: (a)—AFT; (b)—MID; (c)—FWD.
Fire 08 00403 g009
Figure 10. Heat release rate (a) and mass loss rate (b) under different turbulence models. D—Deardorff; Sc—Smagorinsky constant, Sd—dynamic Smagorinsky; V—Vreman; W—WALE.
Figure 10. Heat release rate (a) and mass loss rate (b) under different turbulence models. D—Deardorff; Sc—Smagorinsky constant, Sd—dynamic Smagorinsky; V—Vreman; W—WALE.
Fire 08 00403 g010
Figure 11. Light transmission for HIGH smokemeter (a), temperature for TC23 (b) and CO concentration for MID analyzer (c) for different turbulence models: D—Deardorff; Sc—Smagorinsky constant; Sd—dynamic Smagorinsky; V—Vreman; W—WALE.
Figure 11. Light transmission for HIGH smokemeter (a), temperature for TC23 (b) and CO concentration for MID analyzer (c) for different turbulence models: D—Deardorff; Sc—Smagorinsky constant; Sd—dynamic Smagorinsky; V—Vreman; W—WALE.
Fire 08 00403 g011
Figure 12. Heat release rate (a) and mass loss rate (b) under different values of the radiative fraction.
Figure 12. Heat release rate (a) and mass loss rate (b) under different values of the radiative fraction.
Fire 08 00403 g012
Figure 13. Light transmission for the HIGH smokemeter (a), temperature for TC23 (b), and CO concentration for MID analyzer (c) for different values of the radiative fraction.
Figure 13. Light transmission for the HIGH smokemeter (a), temperature for TC23 (b), and CO concentration for MID analyzer (c) for different values of the radiative fraction.
Fire 08 00403 g013
Figure 14. Heat release rate (a) and mass loss rate (b) for different values of heat of combustion.
Figure 14. Heat release rate (a) and mass loss rate (b) for different values of heat of combustion.
Fire 08 00403 g014
Figure 15. Light transmission for HIGH smokemeter (a), temperature for TC23 (b), and CO concentration for mid gas analyzer (c) for different values of heat of combustion.
Figure 15. Light transmission for HIGH smokemeter (a), temperature for TC23 (b), and CO concentration for mid gas analyzer (c) for different values of heat of combustion.
Fire 08 00403 g015
Figure 16. Heat release rate (a) and mass loss rate (b) for different values of activation energy (HDPE and PVC first step) changed relative to the initial value in the MCTD case (Table A2).
Figure 16. Heat release rate (a) and mass loss rate (b) for different values of activation energy (HDPE and PVC first step) changed relative to the initial value in the MCTD case (Table A2).
Fire 08 00403 g016
Figure 17. Heat release rate (a) and mass loss rate (b) for different values of the pre-exponential factor (HDPE and PVC first step) changed relative to the initial value in the MCTD case (Table A2).
Figure 17. Heat release rate (a) and mass loss rate (b) for different values of the pre-exponential factor (HDPE and PVC first step) changed relative to the initial value in the MCTD case (Table A2).
Fire 08 00403 g017
Table 1. SC model fire source properties.
Table 1. SC model fire source properties.
Pseudospecie NameHeat of Combustion kJ/kgCO Yield, g/gSoot Yield, g/gRadiative Fraction
C 1 H 12.2 21.0000.1250.0650.55
Table 2. Fire source components’ properties.
Table 2. Fire source components’ properties.
Plastic Name and FormulaMass, gCO Yield, g/gSoot Yield, g/gHOC, MJ/kg
HDPE, [ C 2 H 4 ] n 9.10.0240.06040.0
PVC, [ C 2 H 3 Cl ] n 22.70.0630.17216.4
PA66, [ C 12 H 26 N 2 O 4 ] n 9.10.0380.07530.8
PS, [ C 8 H 8 ] n 9.10.060.16639.2
TPU, [ C 3 H 7 NO 2 ] n 9.10.010.13121.0
PBT, [ C 12 H 12 O 4 ] n 9.10.030.10019.5
Disclaimer/Publisher’s Note: The statements, opinions and data contained in all publications are solely those of the individual author(s) and contributor(s) and not of MDPI and/or the editor(s). MDPI and/or the editor(s) disclaim responsibility for any injury to people or property resulting from any ideas, methods, instructions or products referred to in the content.

Share and Cite

MDPI and ACS Style

Ponomarev, A.; Mullyadzhanov, R. Validation of the Simplified and Detailed Models of Mixed Polymer Combustion in a Small Fire in a Cargo Compartment. Fire 2025, 8, 403. https://doi.org/10.3390/fire8100403

AMA Style

Ponomarev A, Mullyadzhanov R. Validation of the Simplified and Detailed Models of Mixed Polymer Combustion in a Small Fire in a Cargo Compartment. Fire. 2025; 8(10):403. https://doi.org/10.3390/fire8100403

Chicago/Turabian Style

Ponomarev, Andrei, and Rustam Mullyadzhanov. 2025. "Validation of the Simplified and Detailed Models of Mixed Polymer Combustion in a Small Fire in a Cargo Compartment" Fire 8, no. 10: 403. https://doi.org/10.3390/fire8100403

APA Style

Ponomarev, A., & Mullyadzhanov, R. (2025). Validation of the Simplified and Detailed Models of Mixed Polymer Combustion in a Small Fire in a Cargo Compartment. Fire, 8(10), 403. https://doi.org/10.3390/fire8100403

Article Metrics

Back to TopTop