Timescales Associated with the Evolution of Reactive Scalar Gradient in Premixed Turbulent Combustion: A Direct Numerical Simulation Analysis
Abstract
1. Introduction
2. Mathematical Background
- (1)
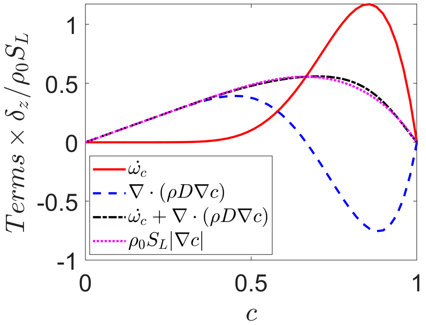
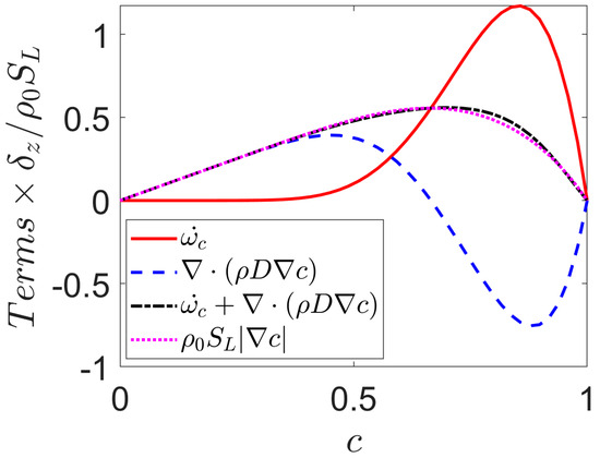
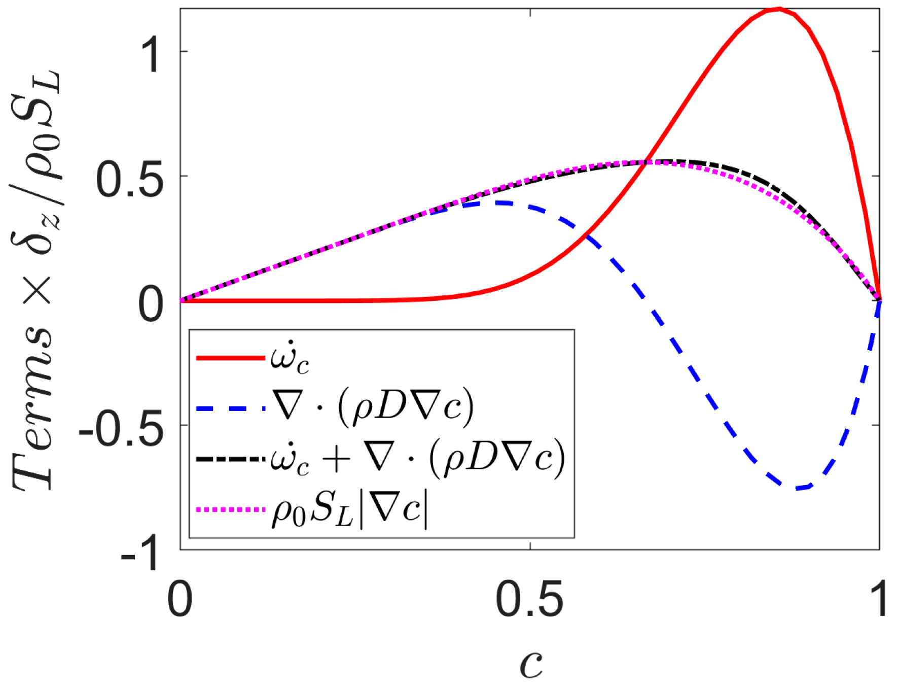
- Reaction–diffusion zone: Wherever within the flow domain, the chemical reaction would dominate over the fluid-dynamic strain rate to create or destruct . Molecular diffusion and chemical reaction would be of the same order, which leads to
- (2)
- Convective–diffusive zone: Wherever, within the flow domain, the fluid-dynamic strain rate would dominate over the chemical reaction to create or destruct . Molecular diffusion and fluid-dynamic strain rate would plausibly be of the same order, which leads to
3. Numerical Implementation
4. Results and Discussion
4.1. Flame Morphology
4.2. Mean Behaviours of and Conditioned upon
4.3. Magnitudes of and Conditioned upon
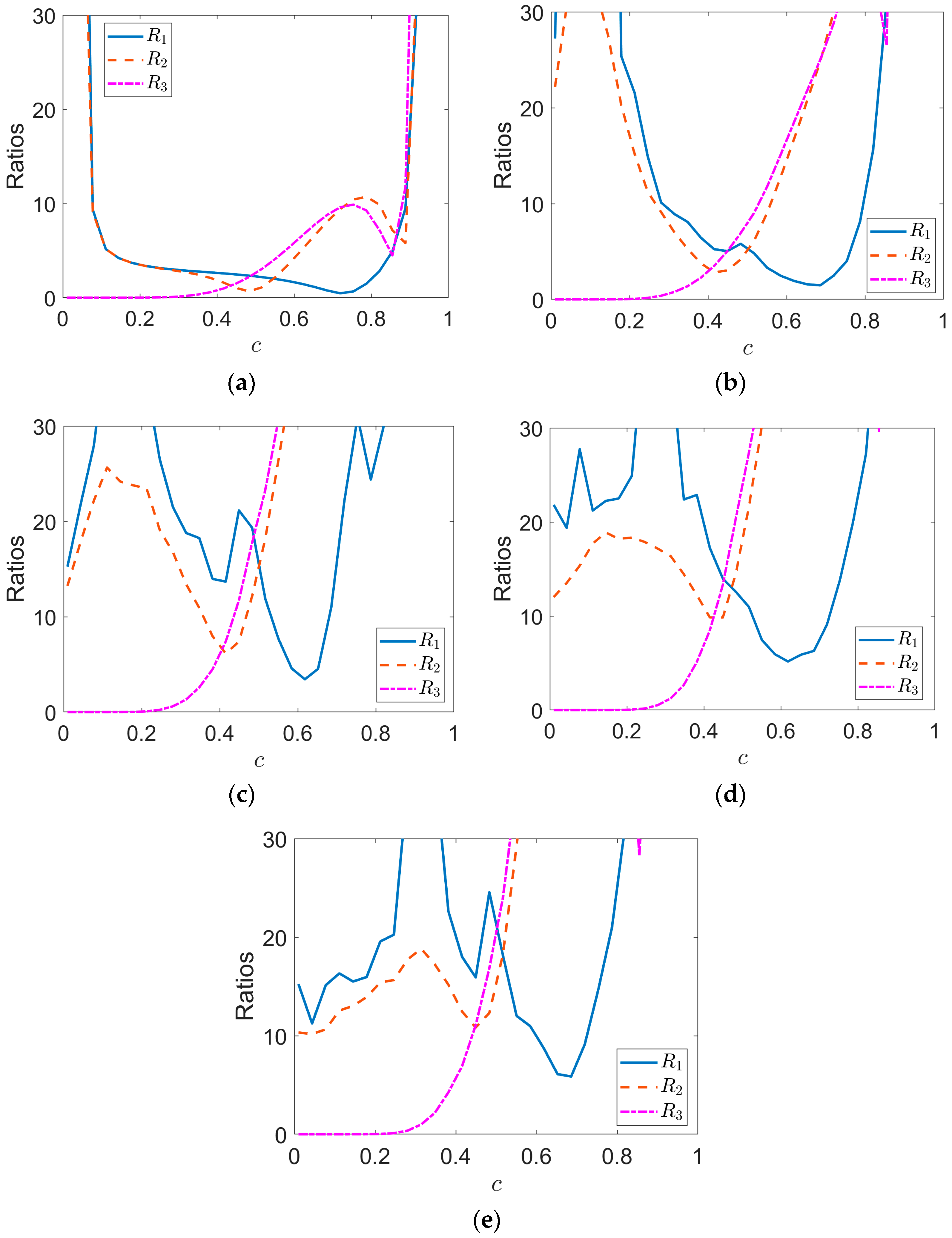
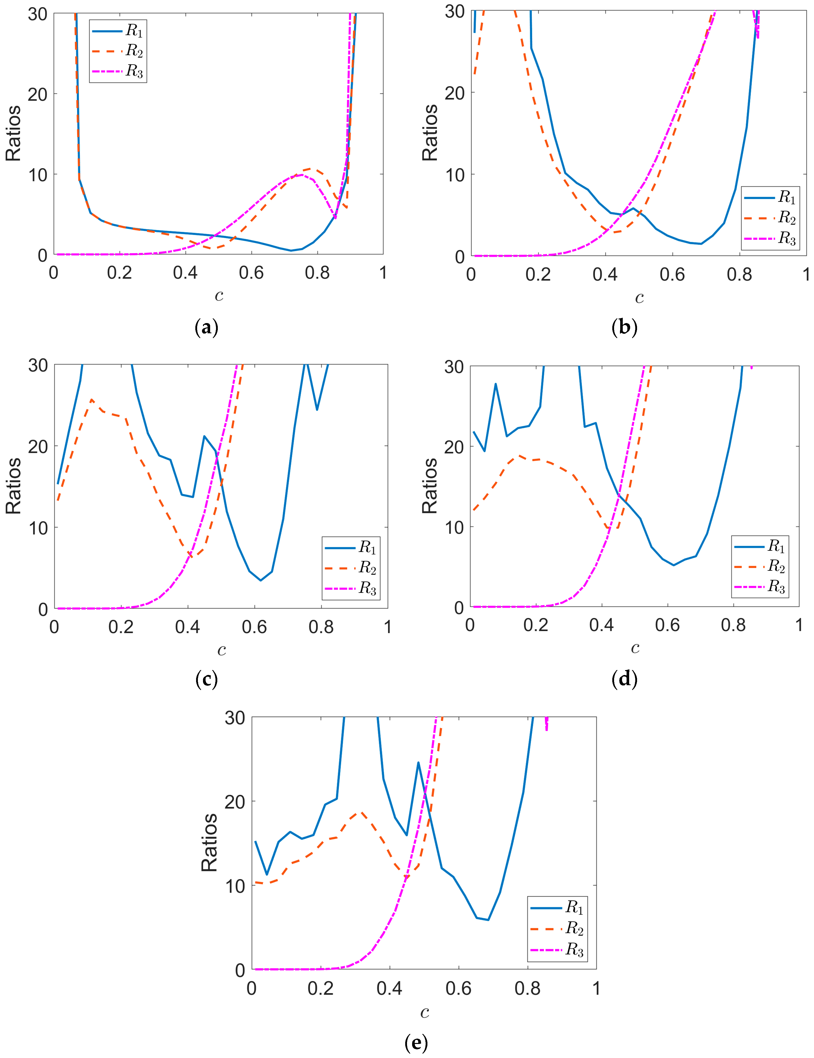
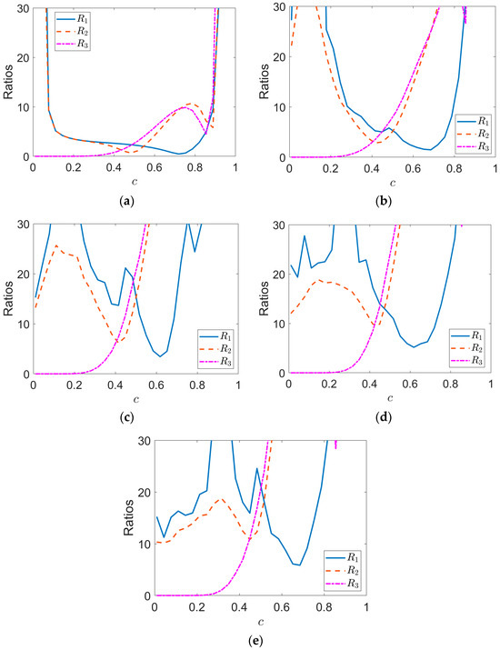
4.4. Relative Magnitudes of Timescales and
5. Conclusions
Author Contributions
Funding
Institutional Review Board Statement
Informed Consent Statement
Data Availability Statement
Conflicts of Interest
References
- Vervisch, L.; Bidaux, E.; Bray, K.N.C.; Kollmann, W. Surface density function in premixed turbulent combustion modelling, similarities between probability density function and flame surface approaches. Phys. Fluids A 1995, 7, 2496–2503. [Google Scholar] [CrossRef]
- Veynante, D.; Vervisch, L. Turbulent combustion modelling. Prog. Energy Combust. Sci. 2002, 28, 193–266. [Google Scholar] [CrossRef]
- Kollmann, W.; Chen, J.H. Pocket formation and the flame surface density equation. Proc. Combust. Inst. 1998, 27, 927–934. [Google Scholar] [CrossRef]
- Chakraborty, N.; Cant, R.S. Effects of strain rate and curvature on Surface Density Function transport in turbulent premixed flames in the thin reaction zones regime. Phys. Fluids 2005, 17, 65108. [Google Scholar] [CrossRef]
- Chakraborty, N.; Hawkes, E.R.; Chen, J.H.; Cant, R.S. Effects of strain rate and curvature on Surface Density Function transport in turbulent premixed CH4-air and H2-air flames: A comparative study. Combust. Flame 2008, 154, 259–280. [Google Scholar] [CrossRef]
- Sankaran, R.; Hawkes, E.R.; Chen, J.H.; Lu, T.; Law, C.K. Structure of a spatially developing turbulent lean methane–air Bunsen flame. Proc. Combust. Inst. 2007, 31, 1291–1298. [Google Scholar] [CrossRef]
- Dopazo, C.; Cifuentes, L.; Martin, J.; Jimenez, C. Strain rates normal to approaching isoscalar surfaces in a turbulent premixed flame. Combust. Flame 2015, 162, 1729–1736. [Google Scholar] [CrossRef]
- Wang, H.; Hawkes, E.R.; Chen, J.H.; Zhou, B.; Li, Z.; Alden, M. Direct numerical simulations of a high Karlovitz number laboratory premixed jet flame—An analysis of flame stretch and flame thickening. J. Fluid Mech. 2017, 815, 511–536. [Google Scholar] [CrossRef]
- Sandeep, A.; Proch, F.; Kempf, A.M.; Chakraborty, N. Statistics of strain rates and Surface Density Function in a flame-resolved high-fidelity simulation of a turbulent premixed bluff body burner. Phys. Fluids 2018, 30, 065101. [Google Scholar] [CrossRef]
- Jenkins, K.W.; Cant, R.S. DNS of turbulent flame kernels. In Proceedings of the 2nd AFOSR Conference on DNS and LES, New Brunswick, NJ, USA, 7–9 June 1999; Liu, C., Sakell, L., Beautner, T., Eds.; Kluwer Academic Publishers: New York, NY, USA, 1999; pp. 192–202. [Google Scholar]
- Cant, R.S. Direct Numerical Simulation of premixed turbulent flames. Phil. Trans. R. Soc. Lond. A 1990, 357, 3583–3604. [Google Scholar] [CrossRef]
- Wray, A.A. Minimal Storage Time Advancement Schemes for Spectral Methods; Unpublished Report; NASA Ames Research Center: Mountain View, CA, USA, 1990.
- Poinsot, T.; Lele, S.K. Boundary conditions for direct simulation of compressible viscous flows. J. Comp. Phys. 1992, 101, 104–129. [Google Scholar] [CrossRef]
- Rogallo, R.S. Numerical Experiments in Homogeneous Turbulence; NASA Technical Memorandum 81315; NASA Ames Research Center: Mountain View, CA, USA, 1981.
- Batchelor, G.K.; Townsend, A.A. Decay of turbulence in final period. Proc. R. Soc. Lond. 1948, A194, 527–543. [Google Scholar]
- Klein, M.; Chakraborty, N.; Ketterl, S. A comparison of strategies for Direct Numerical Simulation of turbulence chemistry interaction in generic planar turbulent premixed flames. Flow Turb. Combust. 2017, 199, 955–971. [Google Scholar] [CrossRef]
- Peters, N. Turbulent Combustion, 1st ed.; Cambridge University Press: Cambridge, UK, 2000. [Google Scholar]
- Rutland, C.; Trouvé, A. Direct Simulations of premixed turbulent flames with nonunity Lewis numbers, Combust. Flame 1993, 94, 41–57. [Google Scholar] [CrossRef]
- Trouvé, A.; Poinsot, T. The evolution equation for flame surface density in turbulent premixed combustion. J. Fluid Mech. 1994, 278, 1–31. [Google Scholar] [CrossRef]
- Boger, M.; Veynante, D.; Boughanem, H.; Trouvé, A. Direct Numerical Simulation analysis of flame surface density concept for Large Eddy Simulation of turbulent premixed combustion. Proc. Combust. Inst. 1998, 27, 917–925. [Google Scholar] [CrossRef]
- Charlette, F.; Meneveau, C.; Veynante, D. A power law wrinkling model for LES of premixed turbulent combustion, Part I: Non dynamic formulation and initial tests. Combust. Flame 2002, 131, 159–180. [Google Scholar] [CrossRef]
- Han, I.; Huh, K.Y. Roles of displacement speed on evolution of flame surface density for different turbulent intensities and Lewis numbers for turbulent premixed combustion. Combust. Flame 2008, 152, 194–205. [Google Scholar] [CrossRef]
- Grout, R.W.; Swaminathan, N. Interaction of turbulence and scalar fields in premixed flames. Phys. Fluids 2006, 18, 045102. [Google Scholar]
- Chakraborty, N.; Kolla, H.; Sankaran, R.; Hawkes, E.R.; Chen, J.H.; Swaminathan, N. Determination of three-dimensional quantities related to scalar dissipation rate and its transport from two-dimensional measurements: Direct Numerical Simulation based validation. Proc. Combust. Inst. 2013, 34, 1151–1162. [Google Scholar] [CrossRef]
- Keil, F.B.; Amzehnhoff, M.; Ahmed, U.; Chakraborty, N.; Klein, M. Comparison of flame propagation statistics extracted from DNS based on simple and detailed chemistry Part 1: Fundamental flame turbulence interaction. Energies 2021, 14, 5548. [Google Scholar] [CrossRef]
- Ahmed, U.; Chakraborty, N.; Klein, M. Insights into the bending effect in premixed turbulent combustion using the Flame Surface Density transport. Combust. Sci. Technol. 2019, 191, 898–920. [Google Scholar] [CrossRef]
- Chakraborty, N.; Swaminathan, N. Influence of Damköhler number on turbulence-scalar interaction in premixed flames, Part I: Physical Insight. Phys. Fluids 2017, 19, 045103. [Google Scholar] [CrossRef]
- Batchelor, G.K. The effect of homogeneous turbulence on material lines and surfaces. Proc. R. Soc. Lond. A 1952, 231, 349–366. [Google Scholar]
- Batchelor, G.K. Small-scale variation of convected quantities like temperature in turbulent fluid Part 1. General discussion and the case of small conductivity. J. Fluid Mech. 1959, 5, 113–133. [Google Scholar] [CrossRef]
- Gibson, C. Fine structure of scalar fields mixed by turbulence. I: Zero gradient points and minimal gradient points. Phys. Fluids 1968, 11, 2305–2315. [Google Scholar] [CrossRef]
- Yeung, P.K.; Girimaji, S.S.; Pope, S.B. Straining and scalar dissipation on material surfaces in turbulence: Implication for flamelets. Combust. Flame 1990, 79, 340–365. [Google Scholar] [CrossRef]











| Case | Domain Size | Grid Size | |||||
|---|---|---|---|---|---|---|---|
| Case—A | 1.0 | 5.25 | 5.25 | 0.44 | 4.5 | 140.7 (70.35)2 | 800 (400)2 |
| Case—B | 3.0 | 5.25 | 1.75 | 2.27 | 4.5 | 140.7 (70.35)2 | 800 (400)2 |
| Case—C | 5.0 | 5.25 | 1.05 | 4.88 | 4.5 | 140.7 (70.35)2 | 800 (400)2 |
| Case—D | 7.5 | 5.25 | 0.7 | 8.96 | 4.5 | 140.7 (70.35)2 | 800 (400)2 |
| Case—E | 10.0 | 5.25 | 0.525 | 13.80 | 4.5 | 140.7 (70.35)2 | 800 (400)2 |
Disclaimer/Publisher’s Note: The statements, opinions and data contained in all publications are solely those of the individual author(s) and contributor(s) and not of MDPI and/or the editor(s). MDPI and/or the editor(s) disclaim responsibility for any injury to people or property resulting from any ideas, methods, instructions or products referred to in the content. |
© 2024 by the authors. Licensee MDPI, Basel, Switzerland. This article is an open access article distributed under the terms and conditions of the Creative Commons Attribution (CC BY) license (https://creativecommons.org/licenses/by/4.0/).
Share and Cite
Chakraborty, N.; Dopazo, C. Timescales Associated with the Evolution of Reactive Scalar Gradient in Premixed Turbulent Combustion: A Direct Numerical Simulation Analysis. Fire 2024, 7, 73. https://doi.org/10.3390/fire7030073
Chakraborty N, Dopazo C. Timescales Associated with the Evolution of Reactive Scalar Gradient in Premixed Turbulent Combustion: A Direct Numerical Simulation Analysis. Fire. 2024; 7(3):73. https://doi.org/10.3390/fire7030073
Chicago/Turabian StyleChakraborty, Nilanjan, and Cesar Dopazo. 2024. "Timescales Associated with the Evolution of Reactive Scalar Gradient in Premixed Turbulent Combustion: A Direct Numerical Simulation Analysis" Fire 7, no. 3: 73. https://doi.org/10.3390/fire7030073
APA StyleChakraborty, N., & Dopazo, C. (2024). Timescales Associated with the Evolution of Reactive Scalar Gradient in Premixed Turbulent Combustion: A Direct Numerical Simulation Analysis. Fire, 7(3), 73. https://doi.org/10.3390/fire7030073

