Mid-Term Effects of Fire on Soil Properties of North-East Mediterranean Ecosystems
Abstract
:1. Introduction
2. Materials and Methods
2.1. Study Area
2.2. Field Sampling, Data Collection and Analysis
- Community of Quercus coccifera, Philyrea latifolia and Olea europaea (Henceforth MQ1)
- Community of Q. ilex and F. ornus (Henceforth MQ2)
- Community of Q. petraea (Henceforth FC1)
- Community of Castanea sativa (Henceforth FC2)
3. Results
3.1. Quercus coccifera, Philyrea latifolia and Olea europaea (MQ1) Community
3.2. Quercus ilex-Fraxinus ornus (MQ2) Community
3.3. Quercus petraea (FC1) Community
3.4. Castanea sativa (FC2) Community
4. Discussion
4.1. Quercus coccifera, Philyrea latifolia and Olea europaea (MQ1) Community
4.2. Quercus ilex-Fraxinus ornus (MQ2) and Quercus petraea (FC1) Communities
4.3. Castanea sativa Community (FC2)
5. Conclusions
Author Contributions
Funding
Data Availability Statement
Conflicts of Interest
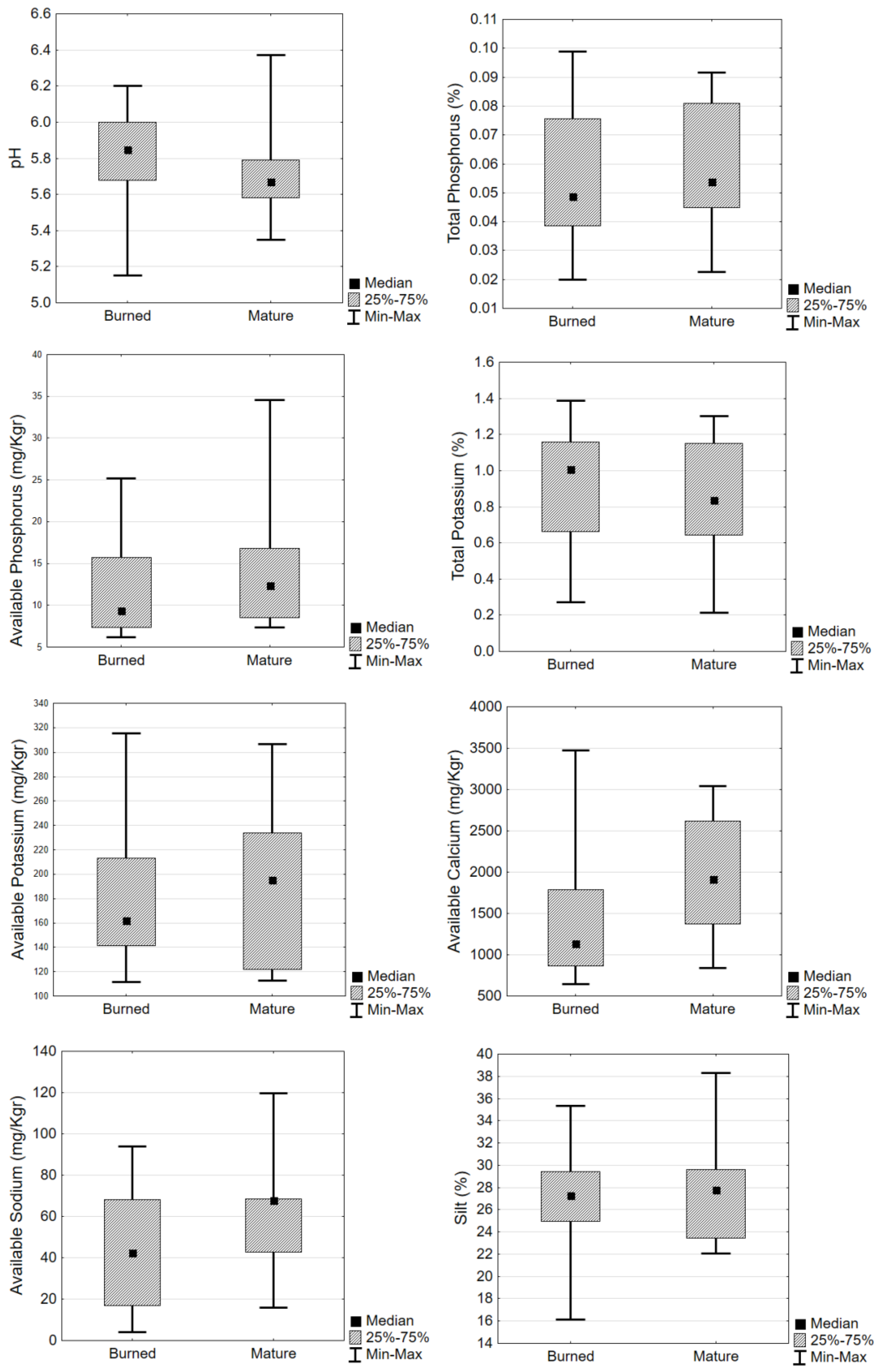
Appendix A. Boxplots on Soil Properties with No Significant Differences between Burned and Mature Sites of All Communities




References
- Dymov, A.A.; Startsev, V.V.; Yakovleva, E.V.; Dubrovskiy, Y.A.; Milanovsky, E.Y.; Severgina, D.A.; Panov, A.V.; Prokushkin, A.S. Fire-Induced Alterations of Soil Properties in Albic Podzols Developed under Pine Forests (Middle Taiga, Krasnoyarsky Kray). Fire 2023, 6, 67. [Google Scholar] [CrossRef]
- Hrenović, J.; Kisić, I.; Delač, D.; Durn, G.; Bogunović, I.; Mikulec, M.; Pereira, P. Short-Term Effects of Experimental Fire on Physicochemical and Microbial Properties of a Mediterranean Cambisol. Fire 2023, 6, 155. [Google Scholar] [CrossRef]
- Samburova, V.; Schneider, E.; Rüger, C.P.; Inouye, S.; Sion, B.; Axelrod, K.; Bahdanovich, P.; Friederici, L.; Raeofy, Y.; Berli, M.; et al. Modification of Soil Hydroscopic and Chemical Properties Caused by Four Recent California, USA Megafires. Fire 2023, 6, 186. [Google Scholar] [CrossRef]
- Sion, B.; Samburova, V.; Berli, M.; Baish, C.; Bustarde, J.; Houseman, S. Assessment of the Effects of the 2021 Caldor Megafire on Soil Physical Properties, Eastern Sierra Nevada, USA. Fire 2023, 6, 66. [Google Scholar] [CrossRef]
- DeBano, L.F.; Neary, D.G.; Ffolliot, P.F. Fire’s Effects on Ecosystems; John Willey & Sons: New York, NY, USA, 1998. [Google Scholar]
- Giovannini, G.; Lucchesi, S.; Giachetti, M. Benefitial and detrimental effects of heating on soil quality. In Fire in Ecosystem Dynamics: Mediterranean and Northern Perspectives; Goldamer, J.G., Jenkins, M.J., Eds.; SPB Academic Publishing: The Hague, The Netherlands, 1990; pp. 95–102. [Google Scholar]
- Giovannini, G.; Lucchesi, S. Effect of fire on soil physico-chemical characteristics and errosion dynamics. In Fire in Mediterranean ecosystems; Trabaud, L., Prodon, R., Eds.; ECSC-EEC-EAEC: Brussels, Belgium, 1993; pp. 403–411. [Google Scholar]
- Giovannini, G.; Lucchesi, S.; Giachetti, M. Efects of heating on some chemical parameters related to soil fertility and plant growth. Soil Sci. 1990, 149, 344–350. [Google Scholar] [CrossRef]
- Raison, R.J.; Khanna, P.K.; Woods, P.V. Mechanisms of element transfer to the atmosphere during vegetation fires. Can. J. For. Res. 1985, 15, 132–140. [Google Scholar] [CrossRef]
- Raison, R.J.; Khanna, P.K.; Woods, P.V. Transfer of elements to the atmosphere during low-intensity prescribed fires in three Australian subalpine eucalypt forests. Can. J. For. Res. 1985, 15, 657–664. [Google Scholar] [CrossRef]
- Certini, G. Effects of fire on properties of forest soils: A review. Oecologia 2005, 143, 1–10. [Google Scholar] [CrossRef]
- Carter, M.C.; Foster, C.D. Prescribed burning and productivity in southern pine forests: A review. For. Ecol. Manag. 2004, 191, 93–109. [Google Scholar] [CrossRef]
- Neary, D.G.; Klopatek, C.C.; DeBano, L.F.; Ffolliott, P.F. Fire effects on belowground sustainability: A review and synthesis. For. Ecol. Manag. 1999, 122, 51–71. [Google Scholar] [CrossRef]
- Covington, W.W.; Sacket, S.S. Soil mineral nitrogen changes following prescribed burning in ponderosa pine. For. Ecol. Manag. 1992, 54, 175–191. [Google Scholar] [CrossRef]
- Christensen, N.L. The effects of fire on physical and chemical properties of soils in Mediterranean-climate shrublands. In The Role of Fire in Mediterranean-Type Ecosystems; Moreno, J.M., Oechel, W.C., Eds.; Ecological studies 107; Springer-Verlag Inc.: New York, NY, USA, 1994; pp. 79–95. [Google Scholar]
- Fisher, R.F.; Binkley, D. Ecology and Management of Forest Soils; John Willwy & Sons: New York, NY, USA, 2000. [Google Scholar]
- Raison, R.J.; O’Connell, A.M.; Khanna, P.K.; Keith, H. Effects of repeated fires on nitrogen and phosphorus budgets and cycling processes in forest ecosystems. In Fire in Mediterranean Ecosystems; Trabaud, L., Prodon, R., Eds.; ECSC-EEC-EAEC: Brussels, Belgium, 1993; pp. 347–363. [Google Scholar]
- Carballas, M.; Acea, M.J.; Cabaneiro, A.; Trasar, C.; Villar, M.C.; Diaz-Ravina, M.; Fernandez, I.; Prieto, A.; Saa, A.; Vazquez, F.J.; et al. Organic matter, nitrogen, phosphorus and microbial populations evolution in forest humiferous acid soils after wildfires. In Fire in Mediterranean Ecosystems; Trabaud, L., Prodon, R., Eds.; ECSC-EEC-EAEC: Brussels, Belgium, 1993; pp. 379–385. [Google Scholar]
- Ferreira, A.J.D.; Coelho, C.O.A.; Boulet, A.K.; Lopes, F.P. Temporal patterns of solute loss following wildfires in Central Portugal. Int. J. Wildland Fire 2005, 14, 401–412. [Google Scholar] [CrossRef]
- Belillas, C.M.; Feller, M.C. Relationships between fire severity and atmospheric and leaching nutrient losses in British Columbia’s coastal Western Hemlock zone forests. Int. J. Wildland Fire 1998, 8, 87–101. [Google Scholar] [CrossRef]
- Gimeno-Garcia, E.; Andreu, V.; Rubio, J.L. Changes in organic matter, nitrogen, phosphorus and cations in soil as a result of fire and water erosion in a mediterranean landscape. Eur. J. Soil Sci. 2000, 51, 201–210. [Google Scholar] [CrossRef]
- Diaz-Fierros, F.; Benito, E.; Vega, J.A.; Castelao, A.; Soto, B.; Perez, R.; Taboada, T. Solute loss and soil erosion in burnt soil from Galcia (NW Spain). In Fire in Ecosystem Dynamics: Mediterranean and Northern Perspectives; Goldamer, J.G., Jenkins, M.J., Eds.; SPB Academic Publishing: The Hague, The Netherlands, 1990; pp. 103–116. [Google Scholar]
- Lasanta, T.; Cerda, A. Long-term erosional responses after fire in the Central Spanish Pyrenees—2. Solute release. Catena 2005, 60, 81–100. [Google Scholar] [CrossRef]
- DeBano, L.F. The effect of hydrophobic substances on water movement in soil during infiltration. Soil Sci. Soc. Am. Proc. 1971, 35, 340–343. [Google Scholar] [CrossRef]
- DeBano, L.F. The role of fire and soil heating on water repellency in wildland environments: A review. J. Hydrol. 2000, 231–232, 195–206. [Google Scholar] [CrossRef]
- DeBano, L.F. Water repellency in soils: A historical overview. J. Hydrol. 2000, 231, 4–32. [Google Scholar] [CrossRef]
- Christensen, N.L. Fire and the Nitrogen cycle in California chaparral. Science 1973, 181, 66–68. [Google Scholar] [CrossRef]
- Christensen, N.L.; Muller, C.H. Effects of fire on factors controlling plant growth in Adenostoma chaparal. Ecol. Monogr. 1975, 45, 29–55. [Google Scholar] [CrossRef]
- DeBano, L.F.; Eberlein, G.E.; Dumm, P.H. Effects of burning on Chaparral soils: Soil Nitrogen. Soil Sci. Soc. Am. J. 1979, 43, 504–509. [Google Scholar] [CrossRef]
- Iglesias, T.; Cala, V.; Gonzalez, J. Mineralogical and chemical modifications in soils affected by a forests fire in the Mediterranean area. Sci. Total Environ. 1997, 204, 89–96. [Google Scholar] [CrossRef]
- Kutiel, P.; Naveh, Z.; Kutiel, H.T. The effect of wildfire on soil nutrients and vegetation in an Alepo pine forest on Mount Carmel Israel. In Fire in Ecosystem Dynamics: Mediterranean and Northern Perspectives; Goldamer, J.G., Jenkins, M.J., Eds.; SPB Academic Publishing: The Hague, The Netherlands, 1990; pp. 85–94. [Google Scholar]
- Chandler, C.; Cheney, P.; Thomas, P.; Trabaud, L.; Williams, D. Fire in Forestry. Volume I. Forest Fire Behavior and Effects; John Wiley & Sons: New York, NY, USA, 1983. [Google Scholar]
- Giovannini, G.; Lucchesi, S.; Giachetti, M. Effect of Heating on Some Physical and Chemical-Parameters Related to Soil Aggregation and Erodibility. Soil Sci. 1988, 146, 255–261. [Google Scholar] [CrossRef]
- Giovannini, G.; Lucchesi, S. Modifications induced in soil physico-chemical parameters by experimental fires at different intensities. Soil Sci. 1997, 162, 479–486. [Google Scholar] [CrossRef]
- Navidi, M.; Lucas-Borja, M.E.; Plaza-Álvarez, P.A.; Carra, B.G.; Parhizkar, M.; Zema, D.A. Mid-Term Changes in Soil Properties after Wildfire, Straw Mulching and Salvage Logging in Pinus halepensis Mill. Forests. Fire 2022, 5, 158. [Google Scholar] [CrossRef]
- Xofis, P.; Buckley, P.G.; Takos, I.; Mitchley, J. Long Term Post-Fire Vegetation Dynamics in North-East Mediterranean Ecosystems. The Case of Mount Athos Greece. Fire 2021, 4, 92. [Google Scholar] [CrossRef]
- Rackham, O. The Holly Mountain. Plant Talk 2002, 27, 19–23. [Google Scholar]
- Makrogiannis, T.; Flokas, A. The analysis of climatic parameters in the major area of Agion Oros. In Mount Athos. Nature-Worship-Art; Dafis, S., Tsigaridas, E.N., Fountoulis, I.M., Eds.; Shape & Art: Thessaloniki, Greece, 2001; Volume 1, pp. 83–92. [Google Scholar]
- Mueller-Dombois, D.; Ellenberg, H. Aims and Methods of Vegetation Ecology; John Willey and Sons: New York, NY, USA, 1974. [Google Scholar]
- Westhoff, V.; van der Maarel, E. The Braun-Blanquet approach. In Classification of Plant Communities; Whittaker, R.H., Ed.; Dr. W. Junk b.v. Publishers: The Hague, The Netherlands, 1978; pp. 287–399. [Google Scholar]
- Allen, S.E. Chemical Analysis of Ecological Materials; Blackwell Scientific Publication: Oxford, UK, 1989. [Google Scholar]
- ADAS. The Analysis of Agricultural Materials; Ministry of Agriculture Fisheries and Food: London, UK, 1986.
- McRae, S.G. Practical Pedology-Studying Soils in the Field; Ellis Horwood Ltd.: Chichester, UK, 1988. [Google Scholar]
- Hill, M.O. TWINSPAN-a Fortran Program for Arranging Multivariate Data in an Ordered Two Way Table by Classification of the Individuals and the Atributes; Cornell University, Department of Ecology and Systematics: Ithaca, NY, USA, 1979. [Google Scholar]
- Hill, M.O.; Bunce, R.G.H.; Shaw, M.W. Indicator Species Analysis, a divisive polythetic method of classification, and its application to a survey of native pinewoods in Scotland. J. Ecol. 1975, 63, 597–613. [Google Scholar] [CrossRef]
- Gauch, H.G.; Whittaker, R.H. Hierarchical classification of community data. J. Ecol. 1981, 69, 537–557. [Google Scholar] [CrossRef]
- Kutiel, P.; Inbar, M. Fire impact on soil nutrients and soil erosion in a Mediterranean pine forest plantation. Catena 1993, 20, 129–139. [Google Scholar] [CrossRef]
- Kennard, D.K.; Gholz, H.L. Effects of high- and low-intensity fires on soil properties and plant growth in a Bolivian dry forest. Plant Soil 2001, 234, 119–129. [Google Scholar] [CrossRef]
- Giovannini, G.; Lucchesi, S.; Giachetti, M. The Natural Evolution of a Burned Soil—A 3-Year Investigation. Soil Sci. 1987, 143, 220–226. [Google Scholar] [CrossRef]
- Andreu, V.; Rubio, J.L.; Forteza, J.; Cerni, R. Postfire effects on suil properties and nutrient losses. Int. J. Wildland Fire 1996, 6, 53–58. [Google Scholar] [CrossRef]
- Mesleard, F.; Lepart, J. Continuous basal sprouting from a lignotuber: Arbutus unedo L. and Erica arborea L., as woody mediterranean examples. Oecologia 1989, 80, 127–131. [Google Scholar] [CrossRef]
- White, E.M.; Thompson, W.W.; Gartner, F.R. Heat effects on nutrient release from soils under ponderosa pine. J. Range Manag. 1973, 26, 22–24. [Google Scholar] [CrossRef]
- Robichaud, P.R. Fire effects on infiltration rates after prescribed fire in Northern Rocky Mountain forests, USA. J. Hydrol. 2000, 231–232, 220–229. [Google Scholar] [CrossRef]
- Soto, B.; Diaz-Fierros, F. Runoff and soil erosion from areas of burnt scrub: Comparison of experimental results with those predicted by the WEPP model. Catena 1998, 31, 257–270. [Google Scholar] [CrossRef]
- Rubio, J.L.; Forteza, J.; Andreu, V.; Cerni, R. Soil profile characteristics influencing runoff and soil erosion after forest fire: A case study (Valencia, Spain). Soil Technol. 1997, 11, 67–78. [Google Scholar] [CrossRef]
- Prosser, I.P.; Williams, L. The effect of wildfire on runoff and erosion in native Eucalyptus forest. Hydrol. Process. 1998, 12, 251–265. [Google Scholar] [CrossRef]
- Cerda, A.; Imeson, A.C.; Calvo, A. Fire and aspect induced differences on the erodibility and hydrology of soils at La Costera Valencia, southeast Spain. Catena 1995, 24, 289–304. [Google Scholar] [CrossRef]
- Inbar, M.; Tamir, M.; Wittenberg, L. Runoff and erosion processes after a forest fire in Mount Carmel, a Mediterranean area. Geomorphology 1998, 24, 17–33. [Google Scholar] [CrossRef]
- Ulery, A.L.; Graham, R.C. Forest fire effects on soil color and texture. Soil Sci. Soc. Am. J. 1993, 57, 135–140. [Google Scholar] [CrossRef]
- Moulopoulos, C. Forestry in Mount Athos. In Athoniki Politeia (in Greeks); Aristotelean University of Thessaloniki: Thessaloniki, Greece, 1963; pp. 679–706. [Google Scholar]
- Wuthrich, C.; Schaub, D.; Weber, M.; Marxer, P.; Conedera, M. Soil respiration and soil microbial biomass after fire in a sweet chestnut forest in southern Switzerland. Catena 2002, 48, 201–215. [Google Scholar] [CrossRef]
- Providoli, I.; Elsenbeer, H.; Conedera, M. Post-fire management and splash erosion in a chestnut coppice in southern Switzerland. For. Ecol. Manag. 2002, 162, 219–229. [Google Scholar] [CrossRef]
- Cheney, N.P. Fire Behaviour. In Fire and the Australian Biota; Gill, A.M., Groves, R.H., Noble, I.R., Eds.; Australian Academy of Science: Canberra, Australia, 1981; pp. 151–175. [Google Scholar]
- Fox, M.D.; Fox, B.J. The role of fire in the scleromorphic forests and shrublands of eastern Australia. In The Role of Fire in Ecological Systems; Trabaud, L., Ed.; SPB Academic Publishing: Tha Hague, The Netherlands, 1987; pp. 23–48. [Google Scholar]
- McLauchlan, K.K.; Higuera, P.E.; Miesel, J.; Rogers, B.M.; Schweitzer, J.; Shuman, J.K.; Tepley, A.J.; Varner, J.M.; Veblen, T.T.; Adalsteinsson, S.A.; et al. Fire as a Fundamental Ecological Process: Research Advances and Frontiers. J. Ecol. 2020, 108, 2047–2069. [Google Scholar] [CrossRef]
- Xofis, P.; Konstantinidis, P.; Papadopoulos, I.; Tsiourlis, G. Integrating Remote Sensing Methods and Fire Simulation Models to Estimate Fire Hazard in a South-East Mediterranean Protected Area. Fire 2020, 3, 31. [Google Scholar] [CrossRef]






| Community | Moran’s Index | z-Score | p-Value |
|---|---|---|---|
| MQ1 | −0.047141 | 0.13177 | 0.895166 |
| MQ2 | 0.146227 | 1.480381 | 0.138772 |
| FC1 | −0.096026 | −0.023153 | 0.981528 |
| FC2 | −0.103312 | −0.052988 | 0.957741 |
| Soil Property | Rank Sum Burned | Rank Sum Mature | U | Z | p-Value |
|---|---|---|---|---|---|
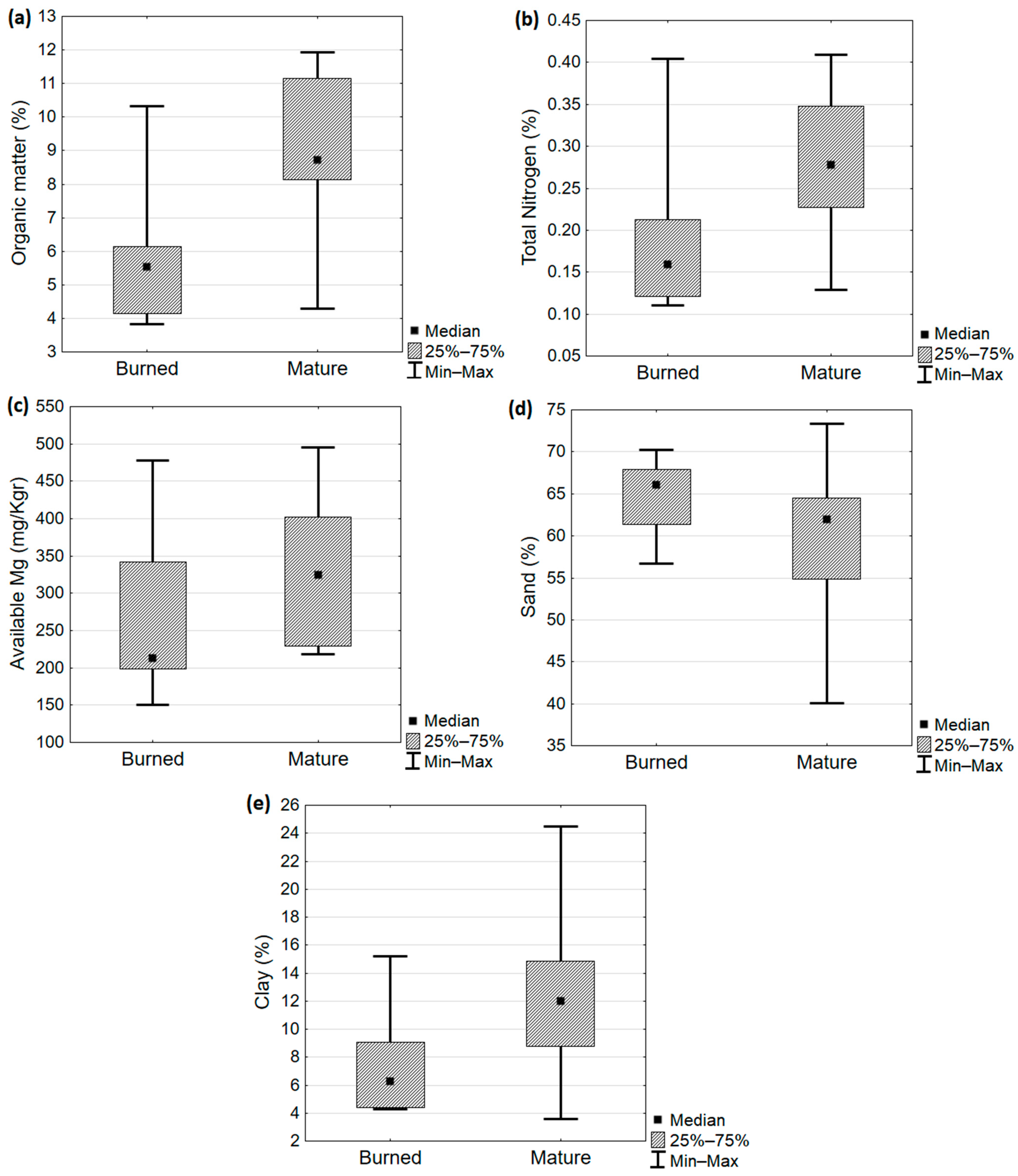
| Organic matter | 162.0 | 303 | 42.0 | −2.90346 | 0.004 |
| pH | 264.5 | 200.5 | 80.5 | 1.306559 | 0.191 |
| Total nitrogen | 170.0 | 295 | 50.0 | −2.57164 | 0.010 |
| Total phosphorus | 218.0 | 247.0 | 98.0 | −0.580693 | 0.561 |
| Available phosphorus | 202.0 | 263.0 | 82.0 | −1.24424 | 0.213 |
| Total potassium | 252.0 | 213.0 | 93.0 | 0.788083 | 0.431 |
| Available potassium | 214.0 | 251.0 | 94.0 | −0.746605 | 0.455 |
| Available magnesium | 181.0 | 284.0 | 61.0 | −2.11538 | 0.034 |
| Available calcium | 187.0 | 278.0 | 67.0 | −1.86651 | 0.062 |
| Available sodium | 187.0 | 278.0 | 67.0 | −1.86651 | 0.062 |
| Sand content | 289.0 | 176.0 | 56.0 | 2.322772 | 0.021 |
| Silt content | 228.0 | 237.0 | 108.0 | −0.165912 | 0.868 |
| Clay content | 182.0 | 283.0 | 62.0 | −2.07390 | 0.038 |
| Soil Property | Rank Sum Burned | Rank Sum Mature | U | Z | p-Value |
|---|---|---|---|---|---|
| Organic matter | 574.0 | 92.0 | 71.0 | 0.785281 | 0.432 |
| pH | 567.5 | 98.5 | 77.5 | 0.509372 | 0.610 |
| Total nitrogen | 590.0 | 76.0 | 55.0 | 1.464443 | 0.143 |
| Total phosphorus | 608.0 | 58.0 | 37.0 | 2.228501 | 0.026 |
| Available phosphorus | 582.0 | 84.0 | 63.0 | 1.124862 | 0.261 |
| Total potassium | 582.0 | 84.0 | 63.0 | 1.124862 | 0.261 |
| Available potassium | 590.0 | 76.0 | 55.0 | 1.464443 | 0.143 |
| Available magnesium | 547.0 | 119.0 | 82.0 | −0.318357 | 0.750 |
| Available calcium | 586.0 | 80.0 | 59.0 | 1.294653 | 0.195 |
| Available sodium | 551.0 | 115.0 | 86.0 | −0.148567 | 0.882 |
| Sand content | 539.0 | 127.0 | 74.0 | −0.657938 | 0.511 |
| Silt content | 559.0 | 107.0 | 86.0 | 0.148567 | 0.882 |
| Clay content | 580.0 | 86.0 | 65.0 | 1.039967 | 0.298 |
| Soil Property | Rank Sum Burned | Rank Sum Mature | U | Z | p-Value |
|---|---|---|---|---|---|
| Organic matter | 42.0 | 36.0 | 14.0 | −0.487199 | 0.626 |
| pH | 49.0 | 29.0 | 14.0 | −0.487199 | 0.626 |
| Total nitrogen | 47.0 | 31.0 | 16.0 | 0.162400 | 0.88 |
| Total phosphorus | 59.0 | 19.0 | 4.0 | 2.111195 | 0.035 |
| Available phosphorus | 54.0 | 24.0 | 9.0 | 1.299197 | 0.194 |
| Total potassium | 51.0 | 27.0 | 12.0 | 0.811998 | 0.417 |
| Available potassium | 49.0 | 29.0 | 14.0 | 0.487199 | 0.626 |
| Available magnesium | 49.0 | 29.0 | 14.0 | 0.487199 | 0.626 |
| Available calcium | 46.0 | 32.0 | 17.0 | 0.000000 | 1.000 |
| Available sodium | 45.0 | 33.0 | 17.0 | 0.000000 | 1.000 |
| Sand content | 46.0 | 32.0 | 17.0 | 0.000000 | 1.000 |
| Silt content | 41.0 | 37.0 | 13.0 | −0.649598 | 0.516 |
| Clay content | 50.0 | 28.0 | 13.0 | 0.649598 | 0.516 |
| Soil Property | Rank Sum Burned | Rank Sum Mature | U | Z | p-Value |
|---|---|---|---|---|---|
| Organic matter | 26.0 | 52.0 | 5.0 | −0.200160 | 0.045 |
| pH | 38.0 | 40.0 | 17.0 | −0.080060 | 0.936 |
| Total nitrogen | 26.0 | 52.0 | 5.0 | −0.200160 | 0.045 |
| Total phosphorus | 39.0 | 39.0 | 18.0 | 0.080060 | 0.936 |
| Available phosphorus | 46.0 | 32.0 | 11.0 | 1.04083 | 0.298 |
| Total potassium | 44.0 | 34.0 | 13.0 | 0.47117 | 0.721 |
| Available potassium | 40.0 | 38.0 | 17.0 | 0.08006 | 0.936 |
| Available magnesium | 35.0 | 43.0 | 14.0 | −0.56045 | 0.575 |
| Available calcium | 33.0 | 45.0 | 12.0 | −0.88070 | 0.378 |
| Available sodium | 31.0 | 47.0 | 10.0 | −1.20096 | 0.230 |
| Sand content | 38.0 | 40.0 | 17.0 | −0.08006 | 0.936 |
| Silt content | 41.0 | 37.0 | 16.0 | 0.24019 | 0.810 |
| Clay content | 36.0 | 42.0 | 15.0 | −0.40032 | 0.689 |
Disclaimer/Publisher’s Note: The statements, opinions and data contained in all publications are solely those of the individual author(s) and contributor(s) and not of MDPI and/or the editor(s). MDPI and/or the editor(s) disclaim responsibility for any injury to people or property resulting from any ideas, methods, instructions or products referred to in the content. |
© 2023 by the authors. Licensee MDPI, Basel, Switzerland. This article is an open access article distributed under the terms and conditions of the Creative Commons Attribution (CC BY) license (https://creativecommons.org/licenses/by/4.0/).
Share and Cite
Xofis, P.; Buckley, P.G.; Kefalas, G.; Chalaris, M.; Mitchley, J. Mid-Term Effects of Fire on Soil Properties of North-East Mediterranean Ecosystems. Fire 2023, 6, 337. https://doi.org/10.3390/fire6090337
Xofis P, Buckley PG, Kefalas G, Chalaris M, Mitchley J. Mid-Term Effects of Fire on Soil Properties of North-East Mediterranean Ecosystems. Fire. 2023; 6(9):337. https://doi.org/10.3390/fire6090337
Chicago/Turabian StyleXofis, Panteleimon, Peter G. Buckley, George Kefalas, Michail Chalaris, and Jonathan Mitchley. 2023. "Mid-Term Effects of Fire on Soil Properties of North-East Mediterranean Ecosystems" Fire 6, no. 9: 337. https://doi.org/10.3390/fire6090337
APA StyleXofis, P., Buckley, P. G., Kefalas, G., Chalaris, M., & Mitchley, J. (2023). Mid-Term Effects of Fire on Soil Properties of North-East Mediterranean Ecosystems. Fire, 6(9), 337. https://doi.org/10.3390/fire6090337

