Abstract
In line with circular economy principles and the reduction of primary material exploitation, waste-to-energy (WtE) by-products such as bottom ash (BA) are increasingly being used as raw materials in cement and ceramics manufacturing. However, it is critical to verify that the final product presents not only adequate technical properties but also that it does not pose negative impacts to the environment and human health during its use. This study investigates the environmental compatibility of the use of ceramic porcelain stoneware tiles manufactured with BA as partial replacement of traditional raw materials, with a particular focus on the leaching behavior of the tiles during their use, and also after crushing to simulate their characteristics at their end of life. To evaluate the latter aspect, compliance leaching tests were performed on crushed samples and compared with Italian End-of-Waste (EoW) thresholds for the use of construction and demolition waste as recycled aggregates. Whereas, to assess the environmental compatibility of the tiles during the utilization phase, a methodology based on the application of monolithic leaching tests to intact tiles, and the evaluation of the results through multi-scenario human health risk assessment and the analysis of the main mechanisms governing leaching at different stages, was employed. The results of the study indicate that the analyzed BA-based tiles showed no significant increase in the release of potential contaminants compared to traditional formulations and fully complied with End-of-Waste criteria. The results of the monolith tests used as input for site-specific risk assessment, simulating worst-case scenarios involving the potential contamination of the groundwater, indicated negligible risks to human health for both types of tiles, even considering very conservative assumptions. As for differences in the release mechanisms, tiles containing BA exhibited a shift toward depletion-controlled leaching and some differences in early element release compared to the ones with a traditional formulation.
1. Introduction
The increasing global production of municipal solid waste has led to a growing interest in waste-to-energy (WtE) technologies such as incineration, which significantly reduces the waste volume while recovering energy. However, this process generates various by-products, the most significant in terms of weight being bottom ash (BA) [1].
Bottom ash accounts for roughly 20% of the total weight of waste incinerated in WtE plants [2] and makes up around 80% of the solid residues produced by such facilities [3]. Until recently, in Italy and other European countries, this by-product was primarily disposed of in landfills; however, over the past two decades, significant efforts have been made to find more sustainable and valuable uses for this residue [4]. The mineral fraction of BA is widely used as a replacement for sand or aggregates in concrete and asphalt mixtures [5,6], as well as in unbound applications such as road sub-base layers [4,7,8]. Beyond these uses, BA has also been explored as a raw material in cement production [9] and, more recently, in ceramic manufacturing for products like tiles, bricks, refractories, glass, and sanitary ware [10].
Ceramic materials present an excellent opportunity for the integration of alternative and more sustainable raw materials like bottom ash from incineration of municipal solid waste. This is mainly due to the high-temperature manufacturing process, which allows the stabilization and inertization of potential inorganic contaminants present in the BA. Additionally, ceramics manufacturing can incorporate industrial by-products without requiring significant modifications to processing methods. As a result, the use of BA in ceramics formulations represents a promising opportunity for sustainable material innovation and the practical implementation of circular economy strategies. However, it is fundamental to assess the effect of BA addition on product performance, durability, and environmental compatibility in terms of potential negative impacts on the environment and human health.
The preprocessing stage is essential for preparing bottom ash before its incorporation into ceramic formulations. This typically involves processes such as sieving to select particles of the optimal size, improving homogeneity, and removing ferrous and non-ferrous metals. Additionally, particle size reduction through milling or grinding is generally performed to enhance the reactivity and compatibility of the BA with other ceramic raw materials. These steps are largely consistent with traditional ceramic processing techniques [11], which commonly include washing, sieving, ball milling, drying, and compaction/pelletizing. Through these treatments, BA, as well as the other raw materials, can be more uniformly and effectively integrated into the ceramic matrix, ensuring better control over the final properties of the product.
After preprocessing, thermal treatment is essential for manufacturing the final ceramic product. This process, generally named firing, can be classified into three main categories: melting, sintering, or vitrification [1,12,13,14]. Melting and vitrification involve the complete fusion of the material at very high temperatures (typically between 1000 and 1500 °C) [1,11], which makes them less suitable for traditional ceramic processes. In contrast, sintering, the most widely used thermal treatment process for ceramics manufacturing, is performed at lower temperatures, typically between 700 and 1200 °C [1,10], involving the partial fusion of the material and resulting in improved density, mechanical strength, and durability, while preserving the structural integrity of the final product. It is widely applied in the production of various types of ceramic materials, including those that incorporate bottom ash as an additive. Sintering allows the BA to bond with the other raw materials without fully melting, enhancing the final product’s performance [11].
Several studies have analyzed key technical parameters to evaluate the feasibility of incorporating bottom ash in the formulation of ceramic materials, focusing on aspects such as sintering behavior, mechanical properties, and environmental behavior, particularly in relation to the release of potential contaminants, such as metals, metalloids, and salts, and the durability of the product [10,15].
Studies on the sintering behavior of bottom ash have demonstrated that the temperature employed significantly influences the product’s density, mineralogical transformations, and metal encapsulation. A study identified 1080 °C as the temperature at which the maximum density is achieved [16]. Similar findings were reported by Cheeseman et al. [17], who examined BA that was milled, pelletized, and sintered at temperatures between 900 °C and 1080 °C, confirming the improved densification and reduction in porosity of the treatment product. Other research highlighted that the use of pre-vitrified BA reduces the sintering temperatures by approximately 20 °C compared to non-vitrified BA, facilitating crystallization and improving material stability [18,19]. Regarding the mineralogical composition, it was observed that ceramics composed of 60% by weight of BA and 40% by weight of industrial clays exhibit a different sintering process. In these materials, the liquid phase forms through transformations involving CaO, SiO2, and Al2O3, rather than feldspar melting as in traditional ceramic formulations [20].
The influence of the variation in BA incorporation percentages on the properties of ceramic materials has been extensively investigated. Research on ceramic materials containing up to 20% BA has consistently shown that higher BA contents lead to increased water absorption, while reducing shrinkage, bending strength, and wear resistance [21]. Dagnew [22], who examined BA percentages ranging from 0 to 60%, identified 30% BA as the optimal content for maximizing flexural strength and water absorption, with the breaking strength reaching a plateau at this percentage. Another study indicated that incorporating up to 60% BA can still lead to a product with mechanical properties comparable to commercial products [20]. Specifically, a mixture of 60% BA and 40% clay, sintered at temperatures between 1190 and 1240 °C, demonstrated high crystallinity, low water absorption, and good mechanical resistance. Experimental work on glass–ceramic materials has also confirmed pre-vitrified BA’s potential to enhance mechanical properties, including bending strength and Young’s modulus, also when combined with other industrial waste and sintered at high temperatures [23].
The environmental impact of the utilization of the mineral fraction of BA for different applications has been widely studied, particularly through the analysis of the leaching behavior of the initial residues and of the obtained products, and also through life cycle assessment (LCA) studies comparing the manufacturing of the products with or without the use of BA. As for the latter, LCA has been employed to quantify the environmental footprint of BA utilization in ceramics manufacturing both as a replacement for feldspar sand in conventional materials [24] and for the production of frit for ceramic glaze [25], making use of data regarding energy consumption, raw material savings, emissions, and the management of the solid residues. The results of these studies indicate that BA incorporation can lead to a decrease in environmental impacts compared to traditional formulations, particularly related to the avoidance of the quarrying and transport of the substituted raw materials and to the avoidance of BA landfilling [24].
Leaching refers to the process by which substances are released from a material into the environment when in contact with an eluent such as water. The alkalinity and potential leaching of inorganic contaminants from BA, such as metals, metalloids, and salts, are the critical issues that are considered when assessing the potential adverse environmental effects related to BA use, since the leached pollutants could affect the quality of water resources and hence human and ecosystem health. In materials with low permeability, such as ceramics, contaminants primarily diffuse through the material, which often limits the rate of leaching. This is particularly relevant for monolithic materials, which tend to exhibit slower leaching rates due to the lower specific surface area in contact with the extracting liquid compared to granular materials. Studies have shown that sintered BA in granular form exhibits a reduced acid neutralization capacity, especially at low pH values, and its neutralization capacity decreases when there is an increase in the sintering temperature [7,8]. Multiple investigations have reported a significant reduction in the leaching of metals and metalloids (Ni, Cr, Cd, Pb) and major elements (Ca, Mg, Na, K) as a result of their encapsulation in glassy and crystalline phases during sintering [16,17,18,26]. In particular, one study reported an up to 90% reduction in Ni release and up to 99% decrease in the leaching of other metals from sintered BA, even for acidic environments, under which these metals typically exhibit the highest release from untreated bottom ash [16]. Only in one case the leaching of elements such as Cr, Zn, and Cd was reported to have been slightly higher from sintered products compared to untreated bottom ash [17]. Regarding vitrified bottom ash, studies have shown a significant improvement in their leaching behavior, with metal and metalloid release reduced to nearly zero and a one-order-of-magnitude decrease in the leaching of macro-elements such as Ca and Mg [18,26].
Although the literature on the environmental behavior of bottom ash employed in granular form is extensive, studies on the leaching behavior of monolithic materials obtained employing bottom ash as one of the raw materials is instead quite limited. This is especially true for ceramic materials incorporating BA, despite the growing interest in sustainable construction materials and waste valorization options. Studies on monolithic applications have demonstrated that leaching from BA-containing monolithic products is significantly reduced, particularly when BA is incorporated into concrete, asphalt, or other construction materials [27,28,29,30]. Clavier et al. [31] also observed acceptable leaching values for BA used in cement production as a kiln feed ingredient, replacing traditional kiln feed components, further supporting the potential of BA utilization for manufacturing sustainable construction materials.
In summary, the research on incorporating bottom ash into ceramic materials consistently shows that BA can be an effective alternative raw material, providing benefits such as reduced sintering temperature, enhanced mechanical properties, and reduced environmental impacts. However, further studies are necessary to assess the long-term environmental behavior of BA-containing monolithic materials, especially in ceramic products.
This study primarily aims to determine whether the partial replacement of traditional materials with bottom ash in porcelain stoneware tile formulations can be considered as an environmentally compatible solution, i.e., that does not lead to additional risks to the environment or human health. The main objective is to understand whether this substitution leads to significant variations in terms of chemical composition, leaching behavior, and compliance with regulatory requirements, when available. First, the total content of major elements and trace contaminants in tiles manufactured with BA and in those obtained with the traditional formulation was performed. This allowed to assess whether the use of BA could significantly alter the chemical composition of the material, potentially affecting its environmental compatibility. The focus then shifted to the end-of-life stage of the tiles. Here, the utilization potential of BA-containing ceramics as recycled aggregates in the construction sector at the end of their life (i.e., after demolition) was assessed. Compliance leaching tests were conducted on crushed tile samples manufactured with or without BA. The resulting concentrations were compared with the Italian End-of-Waste (EoW) criteria for the utilization of construction and demolition waste as recycled aggregates. This step was essential to verify that the BA-based tiles would meet environmental requirements not only during their use, but also when reintroduced into the material cycle after disposal. To evaluate the environmental behavior of the materials during their service life, monolith leaching tests were carried out on intact tile samples. This approach enables to perform a realistic evaluation of the materials’ environmental behavior under actual use conditions. In particular, depending on the utilization scenario, the amount of eluent and pH conditions may change, affecting in turn the release behavior of the material. The release of potential contaminants has been shown to vary depending on the characteristics of the element, but also on those of the solid matrix. It is hence important to identify the mechanisms controlling the release of the different constituents of the ceramic tile and how they may be modified if BA is employed in the formulation of the ceramics. The results of these tests were then integrated into a site-specific human health risk assessment study designed to simulate worst-case scenarios and assess the potential impact on groundwater quality and human health.
By examining variations in the chemical composition and the leaching mechanisms of the products manufactured with or without BA, the study aims to provide a clear and evidence-based framework for evaluating if the integration of BA into ceramic formulations could be a viable solution also from an environmental compatibility perspective, on the basis of the release behavior of the product during its use and at its end of life. This contributes to the broader goal of promoting resource efficiency and circularity in the ceramics industry, while ensuring long-term safety and environmental protection.
2. Materials and Methods
2.1. Analyzed Samples
In this study, ceramics samples were obtained from an Italian company that promotes a new production approach inspired by circular economy principles in the ceramics sector. The company has started a test production line for porcelain stoneware tiles to be used for outdoor pavement applications, incorporating 30% by weight of waste-to-energy bottom ash, used as a partial replacement for traditional raw materials rich in silico–aluminate compounds.
Before being used, the bottom ash underwent several processing steps to ensure its suitability for ceramics production. These steps included grinding to achieve a finer particle size, as well as the removal of both ferrous and non-ferrous metals. Once processed, the pre-treated bottom ash was added in the production line where it was blended with conventional raw materials typically used in traditional porcelain stoneware production and subsequently subjected to the standard firing process.
All tests were carried out both on stoneware tiles made only with traditional materials and on those containing bottom ash from WtE plants. Three replicates of each type of tile were provided by the company and are referred to as A, B, and C in this paper. A picture and the dimensions and surface area of each type of tile are reported in Table 1. As can be observed, the tiles manufactured with BA presented a slightly lighter brown color compared to those manufactured with the traditional formulation.
Table 1.
Analyzed materials.
The following terminology is used throughout the paper:
- Sample SP: refers to porcelain stoneware tiles made with the traditional formulation;
- Sample SP-BA: refers to porcelain stoneware tiles containing 30% by weight of WtE bottom ash.
In addition to the monolithic samples, the company also provided three crushed samples of each type of porcelain stoneware tile formulation, named D, E, and F in this paper, resulting in six crushed samples overall. These were specifically employed to carry out the standardized batch compliance tests on the crushed samples to analyze the leaching behavior of recycled aggregates that may be obtained at the end of life of the ceramic product.
2.2. Total Content
The total content of metals, metalloids, and major constituents of the two types of analyzed tiles was determined using an alkaline fusion process. This technique enables the complete decomposition of complex matrices into forms that are more easily dissolvable and analyzable. The process involves a high-temperature reaction between an inorganic flux and the sample matrix. Some of the most used fluxes include lithium metaborate (LiBO2), lithium tetraborate (Li2B4O7), boric acid (H3BO3), sodium peroxide (Na2O2), sodium carbonate (Na2CO3), and sodium hydroxide (NaOH) [32,33]. In order to perform the alkaline fusion process effectively, it is essential that the samples present a very fine particle size to ensure the complete and homogeneous fusion of the material. For this reason, a portion of the crushed samples provided by the company was subjected to an additional milling step aimed at improving homogeneity and reducing the particle size to the required level. All six materials (three replicates for traditional formulation samples (SP) and three replicates of samples containing bottom ash (SP-BA)) were milled to a particle size lower than 200 μm using a RETSCH RS 200 disk vibration mill (Retsch GmbH, Haan, Germany) set at 700 rpm for 10 s.
In preparation for the alkaline fusion process, approximately 0.3 g of each finely ground sample were weighed and transferred into platinum melting pots. Subsequently, 2.1 g of lithium tetraborate (Li2B4O7) (Sigma-Aldrich, St. Louis, MO, USA) were added to each melting pot, corresponding to a flux-to-sample ratio of 7:1. The mixture was fully homogenized and initially heated in a preheated muffle furnace (LT/ME-271000/M model Linetronic Technologies SA, Mendrisio, Switzerland) at approximately 500 °C. The temperature was then increased to 1050 °C and kept for 1 h to ensure the complete fusion of the sample with lithium tetraborate. Upon completion of the fusion step, the molten material from each platinum melting pot was rapidly contacted with a 4% by weight nitric acid (HNO3) (Sigma-Aldrich, St. Louis, MO, USA) solution in distilled water and allowed to dissolve under constant mixing for about 60 min. This step facilitated the complete dissolution of the solidified fused material into a clear solution. Each solution was then diluted to a final volume of 200 mL using the 4% nitric acid solution. The resulting solutions were filtered through 0.45 μm membrane filters in cellulose acetate to remove any remaining particulate matter before subsequent analytical determination.
2.3. Leaching Tests
2.3.1. Compliance Leaching Test
Batch compliance leaching tests are commonly performed on granular materials to evaluate their leaching behavior at native pH and for a set liquid-to-solid ratio. In this study, we applied these tests to crushed tile samples to simulate potential end-of-life scenarios, where the tiles, which could be used as recycled aggregates, may be subject to greater surface area exposure. The concentrations obtained were compared to the thresholds set by the Italian End-of-Waste (EoW) criteria for the use of construction and demolition waste as recycled aggregates (Decree No. 152/2022) [34].
The batch tests were performed applying the EN 12457-2 [35] standard compliance test at the native pH of the samples. The tested samples were provided by the company and consisted of crushed samples of both traditionally formulated tiles and tiles containing bottom ash. According to the standard, the particle size of the samples must be below 4 mm. If more than 20% of the weight of the sample exceeded this size, the coarser material was crushed further in the lab to ensure the sample met the required particle size specification. For each test, a liquid-to-solid ratio (L/S) of 10 L/kg was used. The samples were contacted with deionized water for a period of 24 h in an end-over-end Lauda Varioshake VS 20 OH tumbling device (LAUDA DR. R. WOBSER GMBH & CO. KG, Lauda-Königshofen, Germany) to allow for the leaching process to reach equilibrium conditions. These tests were performed in triplicate.
2.3.2. Monolith Leaching Test
The monolith test was conducted following the EN 15863:2015 [36] standard procedure, which is specifically designed to assess the leaching behavior of monolithic waste under dynamic conditions. The leaching procedure begins by suspending the test samples in tanks filled with deionized water. The samples were carefully placed in the leaching tanks, ensuring that there was a minimum distance of 2 cm from both the bottom and the walls of the container, with at least 2 cm of the sample submerged under the water surface. A support system was used to maintain this precise position throughout the experiment. This setup ensures that a controlled concentration gradient is established between the material’s surface and the water, which serves as the driving force for mass transport, facilitating the release of inorganic elements over time.
To maintain a consistent leaching environment, the leaching fluid is periodically renewed according to a standardized schedule (Supporting Information, Table S1). The volume of deionized water required for each test was determined using the standardized liquid-to-surface ratio (L/A = 8 ± 2 mL/cm2) required by the standard, where L represents the volume of the leaching agent (deionized water) and A corresponds to the exposed surface area of the sample.
Applying this ratio, the calculated volume of deionized water used for the SP samples (A = 433 cm2) was 3469 mL, while for the SP-BA samples (A = 452 cm2), it was 3616 mL. At each leaching interval, the test samples were removed and transferred to new tanks containing an equal volume of fresh deionized water. The collected eluates underwent pH and electrical conductivity measurements before filtration through a 0.45 µm cellulose acetate membrane. The results can be expressed either as mg of released constituent per m2 of the sample’s surface area, or as mg of the constituent per liter of eluate for each leaching interval.
2.4. Analysis of the Obtained Solutions
The filtered solutions collected from the alkaline fusion procedure, compliance leaching tests, and monolith tests were analyzed to determine the concentrations of major and trace elements (Al, As, B, Ba, Be, Ca, Cd, Co, Cr, Cu, Fe, K, Mg, Mn, Mo, Na, Ni, Pb, Sb, Se, Si, V, and Zn) by Inductively Coupled Plasma Optical Emission Spectroscopy (ICP-OES) (Agilent 5800, Agilent Technologies, Santa Clara, CA, USA), and of anions (chlorides, sulfates, nitrates, and fluorides) by Ion Chromatography (IC) (Thermo Scientific Dionex ICS-1100, Thermo Fisher Scientific, Waltham, MA, USA). Specifically, for the ICP-OES analysis the following measurement conditions were employed: a radio frequency of 1.3 kW, axial viewing mode, a read time of 15 s, and the following flows: nebulizer 0.7 L/min, plasma 12 L/min, and auxiliary 1 L/min. For the IC measurements, the following conditions were used: a AS22 column with an AG22 guard column (Thermo Fisher Scientific, Waltham, MA, USA), a DRS 600-4 mm suppressor, a 4.5 mM Na2CO3–1.4 mM NaHCO3 (Sigma-Aldrich, St. Louis, MO, USA) eluent with a flow rate of 1.2 mL/min, current of 33 mA, and injection volume of 25 μL. The limits of quantification (LOQ) of all of the analyzed constituents are reported in Table S2 of the Supporting Information section. In the figures presented in Section 3, the LOQ values are visually distinguished by a diagonal pattern or by a gray dashed line, enabling a clear comparison with the other values.
2.5. Assessement of the Results of the Monolith Leaching Tests
In this section, the methodologies employed to evaluate the results obtained from the leaching monolith tests on both types of tile samples in order to identify the main mechanisms controlling the contaminants’ release and to perform the human health risk assessment are described.
2.5.1. Analysis of the Main Release Mechanisms
To assess the release mechanisms resulting from the results of the monolith leaching tests, various alternative approaches are reported in the literature. Experimental data can be interpreted by fitting a regression curve to the cumulative release over time, or by using a logarithmic plot of the cumulative flux vs. time [37]. In this study, we opted for the latter procedure, adopting the analytical framework proposed by De Groot and Van der Sloot [38] which is also incorporated into the Dutch standard for monolith leaching tests NEN 7375:2004 [39]. This methodology is widely applied for the evaluation of the release mechanisms for monolithic waste materials [29,37,40,41,42,43] and involves plotting the cumulative mass of constituent released per unit of surface area (mg/m2) as a function of the cumulative leaching time on a double logarithmic (log–log) scale.
In this study, the analysis was conducted to assess whether incorporating bottom ash into the porcelain stoneware tiles could modify the release mechanisms of certain constituents, compared to the ones resulting for the traditional tile formulation. The inclusion of BA could in fact potentially change the solubility or mobility of specific elements, influencing how they are bound within the ceramic matrix and, in turn, modifying their release behavior.
The analysis can be carried out both considering the entire dataset or for defined time-specific intervals to capture temporal variations in the leaching behavior. The leaching intervals analyzed, which correspond to different time intervals (see Table S1 in the Supporting Information section) were the following:
- Total range: full dataset encompassing all sampling fractions (leaching interval from 1 to 8);
- Initial leaching phase: early-stage fractions (leaching interval from 1 to 3);
- Intermediate phase: mid-leaching stage (leaching interval from 3 to 6);
- Final phase: later-stage fractions (leaching interval from 5 to 8).
Linear regression analysis was applied to both the total leaching period and its segmented stages (initial, intermediate, and final) to determine the slope of the trend line. This slope provides insight into the prevailing release mechanism and how it evolves over time [38]. A slope < 0.35 during the total leaching period is generally indicative of surface wash-off, reflecting the rapid dissolution of readily soluble species from the product surface. In the segmented intervals, a slope < 0.35 has a distinct interpretation depending on the release stage: in the initial phase, it indicates surface wash-off, characterized by the rapid release of readily available constituents. Conversely, in the intermediate and final phases, the same slope reflects depletion-controlled release, driven by the gradual exhaustion of leachable constituents and by a corresponding decline in the release rate. Slopes between 0.35 and 0.65 are associated with diffusion-controlled release. This interpretation is consistent for both total and segmented analyses. Notably, Van der Sloot and Dijkstra [44] affirmed that a slope of 0.5 is characteristic of a purely diffusion-controlled mechanism, reinforcing this threshold as a meaningful indicator. Finally, slopes > 0.65 suggest a dissolution-driven mechanism, where the solubility of the product matrix is sufficiently high that the dissolution of a constituent at the surface exceeds the rate of diffusion through the internal pore structure.
In some cases, the slopes of the lines interpolating the leaching data could result in being very close to the threshold values that define the classification limits of each mechanism. Such rigid thresholds may lead to uncertainties in mechanism assignment, because even small variations in the measurements or slight experimental fluctuations can shift the classification from one mechanism to another. To better account for this, the 95% confidence interval (CI) of the regression slope was calculated. Only when the CI fell entirely within the boundaries of a single mechanism was the mechanism considered clearly defined. When the CI overlapped two mechanisms, the dominant mechanism was considered to be potentially either one of these, and when it spanned three mechanisms, the release mechanism was classified as not defined (ND). This approach allows a more objective and statistically supported interpretation of the prevailing release mechanisms, especially for borderline cases.
2.5.2. Risk Assessment Procedure
Given the nature of the contaminants characteristic of the investigated type of residues (i.e., metals, metalloids, and salts) and the utilization scenario assumed (use of the tiles for outdoor paving), in the human health risk assessment, leaching to the underlying groundwater was considered as the only potentially relevant migration pathway of the contaminants [45,46,47]. Other potential exposure routes, such as accidental ingestion, dermal contact, or dust inhalation, were not considered relevant in this case. Accidental ingestion is in fact unlikely to occur, as the product is in the form of tiles. Similarly, dermal contact is not considered a concern, since the tiles remain intact during normal use and do not disintegrate or release particles. This minimizes the potential for skin adsorption of any contaminants that may be bound within the tile matrix. Furthermore, the inhalation of vapors, which can be a concern for certain organic waste types, is not relevant in this case, since the contaminants of interest are non-volatile, meaning they do not pose a risk through vapor release.
Considering these factors, the risk assessment was carried out based on the following target contaminants, which include a range of metals, metalloids, and inorganic ions typically found in BA at varying concentrations: Al, As, B, Ba, Be, Cd, Co, Cr, Cu, Mn, Mo, Ni, Pb, Sb, V, Zn, chlorides, fluorides, sulfates, and nitrates. The results obtained from the monolith leaching test were used as input data for the assessment.
In particular, the procedure followed for conducting the assessment was structured into four steps:
- Definition of the exposure scenario, i.e., the conditions under which the product is used (for outdoor pavements in this case);
- Calculation of the predicted concentration of a specific contaminant in the environmental compartment (PEC) using the respective maximum concentration resulting from the monolith leaching test and standardized fate and transport models;
- Calculation of the concentration of the specific contaminant that is compatible with an acceptable risk, or Predicted No-Effect Concentration (PNEC);
- Calculation of the risk by comparing the PEC to the PNEC value for each contaminant; if the PEC/PNEC ratio is below 1, the human health risk can be considered acceptable.
Utilization Scenarios Considered for the Risk Assessment
The first step of the risk assessment procedure consists of defining the conceptual model. This involves identifying the source of contamination, the pathways through which contaminants migrate across different environmental compartments, and the potential exposure mechanisms to determine the receptors that may be affected.
Specifically, the following two different utilization scenarios were considered (see Figure 1):
Figure 1.
Scheme of the proposed scenarios for porcelain stoneware tiles utilization considering (a) direct application in the groundwater, or (b) large-scale deployment in the unsaturated zone.
- Scenario 0: representing a “no restrictions” scenario, where direct contact between the porcelain stoneware tiles and the groundwater is assumed. This situation is characterized by the absence of attenuation in the unsaturated zone and of dilution in the groundwater.
- Scenario 1: assumes the use of the porcelain stoneware tiles for the construction of the outdoor paving of a large area. As an example, we considered the size of St. Peter’s square in Vatican City (320 m of length by 240 m of width). In this case, the attenuation in the unsaturated zone and dilution in the groundwater were considered.
It is important to highlight that Scenario 0, although considered as the most conservative case, represents a condition that is unlikely to occur in practice. This scenario was included to evaluate if the material could be used in free-use conditions without any restrictions.
The Point of Compliance (POC) represented in the figure indicates the location where the risk assessment was carried out by comparing the Predicted Environmental Concentration (PEC) with the Predicted No-Effect Concentration (PNEC). In this study, the POC was assumed to be in the groundwater table directly beneath the tile layer.
Human Health Risk Calculation
The Predicted Environmental Concentration (PEC) in the environmental compartment was then determined using the maximum concentration obtained from the eight leaching intervals of the monolith tests for each target contaminant, applying a standardized fate and transport model.
Specifically, the concentration in the groundwater (PEC) for each target contaminant was calculated as follows:
where Cmax leachate (mg/L) is the maximum concentration of the target contaminant obtained from the monolith test across all leaching intervals and LF (-) is the dimensionless leaching factor. The LF considers the dilution and attenuation of the contaminant concentration during its transport from the tile layer to the groundwater. In particular, the leaching factor (LF) can be calculated according to the following:
where LDF (-) is the Leachate Dilution Factor, which represents the dilution of the contaminant concentration when it moves from the unsaturated zone to the groundwater [48]:
where δgw (m) is the groundwater mixing zone height, vgw (m/s) the groundwater Darcy velocity, W the width of the source area longitudinal to the groundwater flow, and Ieff (m/s) the effective water infiltration rate. Ieff can be estimated by multiplying the annual precipitation rate, P (expressed as cm/y), by an empirical coefficient for water infiltration, β (-), which depends on the specific soil type considered, and by an infiltration coefficient, η (-), which accounts for the water infiltration through the paved surface.
SAM (-) is the Soil Attenuation Model, which considers the sorption of constituents from the leachate onto clean soil [49]. SAM is calculated by the following equation:
where d (m) is the thickness of the tile layer and Lgw (m) the water table depth (see Figure S1 in Supporting Information for a graphical explanation of the parameters).
The input parameters used for the calculation of the leaching factor are reported in the Supporting Information section (Table S3). Most of these values refer to the conservative default values suggested by the Italian guidelines for the application of risk assessment to contaminated sites [50].
By applying these values to Equations (2)–(4) for the calculation of the leaching factor (LF), the overall dilution factors were obtained for the two different utilization scenarios:
- Scenario 0 (“no restrictions” scenario): LF = 1 (i.e., no attenuation nor dilution of the leachate concentration in the groundwater).
- Scenario 1 (“worst-case” scenario): LF = 484.
The leaching factors were then applied to the maximum concentrations resulting from the monolith laboratory tests (Table S4 in the Supporting Information section) to estimate the Predicted Environmental Concentration (PEC) using Equation (1).
The PEC (mg/L) was subsequently compared to the Predicted No-Effect Concentration, PNEC (mg/L), which represents the risk-based concentration limit for the specific contaminant in the groundwater. The PNEC was derived using risk-based criteria, specifically considering the water ingestion pathway for a child receptor. The assessment accounted for both toxicological and carcinogenic effects. The toxicological parameters were obtained from the Italian ISS-INAIL database. For this assessment, the Risk-net software (version 3.1.1), developed by the University of Rome “Tor Vergata” was used [51]. Note that if the risk-based limit values calculated with Risk-net resulted lower than the Italian limit values, these limits were adopted, as required by Italian regulations concerning these specific cases. The results are presented in Table S5 of the Supporting Information section.
Thus, the risk for groundwater for each contaminant, RGW (-), was calculated as follows:
If RGW was lower than 1, the risk was considered acceptable, as this condition indicates that the PEC for the target contaminant was below the corresponding PNEC.
3. Results
3.1. Total Content of Major Elements and of Potential Contaminants
The results obtained from the total content analysis, performed after alkaline fusion of the samples, provide a comprehensive overview of the elemental composition of the two types of samples. This method allows for the complete dissolution of the ceramic matrix, ensuring the quantification of all of the non-volatile elements, including those bound within crystalline or amorphous phases. The results expressed in grams of constituent per kilogram of product are reported in Figure 2, which shows the average concentrations obtained from three replicates, along with the corresponding standard deviations.
Figure 2.
Total content results in g/kg. Traditional porcelain stoneware tiles are represented in green, while those containing bottom ash (SP-BA) are shown in yellow. LOQ values, indicated by bars filled with a diagonal pattern, are reported for the elements that presented a concentration below the LOQ. Error bars indicate the standard deviation of three independent replicates.
Silicon and aluminum were the most abundant elements retrieved in both samples, with silicon concentrations exceeding 300 g/kg in the SP-BA formulation and aluminum levels around 100 g/kg for both types of samples. These high levels are attributable to the use of feldspar sand and clay in the tiles’ formulation, but also to the presence of the BA in samples SP-BA, since all of these materials are rich in silicates and aluminosilicates [52,53]. Potassium, sodium, iron, calcium, and magnesium were also present in significant amounts. The addition of BA appeared to slightly increase the concentration of some elements, including Si, Ca, Mg, Ba, Cu, Mn, Pb, and Zn, suggesting a contribution of these elements from the BA source. Conversely, elements such as Co, Cr, and Mo showed to be present in lower amounts in the SP-BA sample, indicating a dilution effect or lack of contribution from the BA. Trace elements like As, Be, Mo, Ni, Sb, Se, and V were found at much lower concentrations, i.e., below 0.1 g/kg, for both materials.
Overall, from the perspective of the total content, the incorporation of bottom ash did not appear to cause significant variations in elemental composition compared to the traditional formulation, except for a one-order-of-magnitude-higher content of Pb in the SP-BA samples that, however, exhibited a one-order-of-magnitude-lower Cr and Mo content compared to the SP tiles. The concentrations of major and trace elements remained largely consistent, suggesting that the partial substitution of traditional materials with BA did not substantially alter the chemical composition of the final ceramic product.
3.2. Compliance Leaching Test
The compliance leaching test results and the comparison with the limits set by the Italian regulation for the utilization of construction and demolition materials as recycled aggregates are shown, respectively, in Figure 3 and Table 2. The results include all of the analyzed elements, while the comparison only considers the regulated elements.
Figure 3.
Compliance leaching test results obtained for the traditional porcelain stoneware tiles (in green) and for the product containing bottom ash (in yellow). LOQ values, indicated by bars filled with a diagonal pattern, are reported for the constituents that presented a concentration below the LOQ. Error bars indicate the standard deviation of three independent replicates.
Table 2.
Comparison of compliance leaching test results with Italian EoW concentration limits (EoW Decree 152/22) for the utilization of recycled aggregates from C&D waste. The green cell background indicates values below the limits. Values written in gray represent the LOQ (limit of quantification). Values highlighted in red indicate exceedance of the limits. D, E, and F represent the replicates of the crushed tile samples.
As shown in Figure 3, on average, the tiles containing bottom ash exhibited a pH increase of 0.7 units, which could influence the release of certain elements. The leaching of many of the constituents, however, remained below the quantification limit (LOQ) in both cases. The addition of BA appeared to slightly increase the eluate concentration of a few elements, including B, Mg, Mn, and chlorides, suggesting that the use of the BA as raw material increased their contents or that changes in pH may have affected their release. In contrast, for other elements such as Cu, Fe, Mo, and Zn, the addition of BA seemed to have reduced their release. Overall, it does not seem that the addition of BA negatively affected the leaching behavior of the material in its granular form. In fact, the results showed a similar release behavior for the two tile formulations, indicating that BA incorporation did not significantly affect the environmental behavior of the ground tile material.
The comparison of the results of the compliance leaching test with the Italian End-of-Waste (EoW) criteria for construction and demolition (C&D) waste use as recycled aggregates is shown in Table 2, which reports the results obtained for the three replicates of the crushed samples, indicated as D, E, and F. Some of the analyzed elements (Al, B, Ca, Fe, K, Mg, Mn, Na, Sb) are not included in Table 2, as the Italian End-of-Waste (EoW) Decree 152/22 does not report limit values for these constituents. Examining the concentrations resulting from each replicate, it can be noted that for all constituents, apart from Ba, chlorides, and sulfates, at least one of the replicates was below the quantification limit. In some cases, e.g., Zn, Cu, and nitrates, one of the replicates presented a higher concentration than the others; this result may be related to possible heterogeneity within the samples that in this case were only crushed and not finely milled as in the case of the total composition analysis. Nonetheless, the absence of any exceedances, even for the single replicates, demonstrates that both materials may be suitable for use as recycled aggregates at the end of their application as pavement tiles.
To further assess the leaching behavior of each type of material, for each element, the released percentage was calculated as the ratio between the maximum concentration leached during the compliance leaching test and the corresponding total content in the material determined by the alkaline fusion procedure. The results are presented in Figure 4. It should be noted that this evaluation was performed only for constituents for which the total content was determined, i.e., for all constituents apart from boron, since lithium tetraborate was used in the alkaline fusion procedure, and the anions analyzed in the leachate solutions, since their total contents cannot be determined through the employed method. In cases where the maximum concentration detected in the leachate corresponded to the instrumental quantification limit (LOQ) (i.e., Al, As, Be, Cd, Co, Cr, Ni, Pb, Sb, Se, and V), this value was used as a conservative estimate for the calculation.
Figure 4.
Leached percentage for each element, calculated as the ratio between the maximum concentration resulting from the compliance leaching test and the total content measured for SP and SP-BA samples.
As shown, the majority of the elements exhibited leaching percentages well below 0.1%, indicating a very low release. A few elements displayed slightly higher percentages around 1–2%. Among these, elements such as As, Be, Sb, and Se were detected at concentrations lower than the respective LOQs in the compliance leaching test. In these cases, the release percentages may have been hence overestimated. This conservative assumption was intentionally adopted to ensure that even potentially critical elements were evaluated under worst-case conditions. Overall, these results clearly confirm the effective immobilization of the constituents within the ceramic matrix, demonstrating that the incorporation of bottom ash did not compromise the material’s leaching behavior even after the material was ground.
Such limited release is most likely attributable to the high temperature used in porcelain stoneware tile production, which promotes the formation of a dense structure and the inertization of the bottom ash. High temperatures in fact promote the incorporation of elements, including those introduced via bottom ash, into both the crystalline and the amorphous phases of the ceramic matrix. This process significantly reduces the mobility of the elements, effectively stabilizing them within the structure of the product. The encapsulation of potentially hazardous elements limits their solubility under the leaching test conditions [26].
Even for elements present in relatively high concentrations in terms of total content (e.g., Si, Al, Ca, K, and Fe), the leached percentages were negligible. This confirms the high chemical stability of the products. Importantly, the inclusion of bottom ash in the SP-BA formulation did not lead to an increase in the release of constituents of potential environmental concern, even after the material was ground, reinforcing the conclusion that 30% by weight of bottom ash could be incorporated into the ceramic matrix without compromising its leaching performance at the end of life of the product.
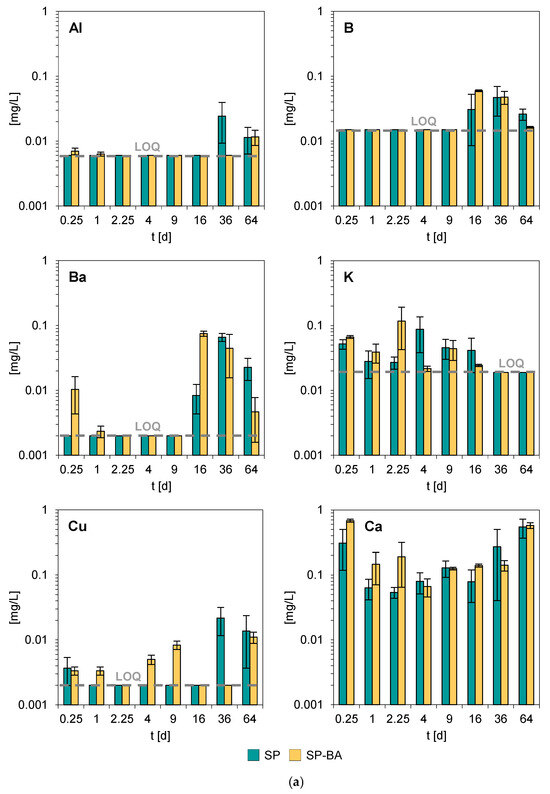
3.3. Monolith Leaching Test
The leaching behavior of monolithic samples of traditional porcelain stoneware tiles (SP) and tiles containing bottom ash (SP-BA) was analyzed through three replicate tests. The results obtained for pH and conductivity in each leaching interval are presented in Table 3 as averages of the replicates; the correlated standard deviations are also shown. For both tile formulations, the pH remained relatively stable, with pH values generally falling in the slightly acidic range (values around 5–6), showing only minor fluctuations and a slight increase over time, especially for the last sampling interval.
Table 3.
pH and conductivity of the eluates from the monolith leaching tests for each of the eight standardized time intervals. The table reports the average values obtained from the tests along with the corresponding standard deviations (SD).
Conductivity also fluctuated, without a clear trend in this case, indicating small variations in ion concentrations. Notably, the conductivity values remained very low, typically in the range of 2–8 µS/cm, reflecting minimal ion dissolution from the samples. No significant differences were observed between the two types of tiles, suggesting that the addition of this secondary raw material did not significantly affect pH or conductivity.
Figure 5a,b reports the average concentrations of the investigated elements released during the monolith leaching tests, along with the corresponding standard deviations (SD), based on three replicates. The constituents resulting consistently below the respective limits of quantification (LOQ) across all replicates and time points were omitted from the figure; the LOQ values are reported in Table S2 in the Supporting Information section.

Figure 5.
(a) and (b). Results of the monolith leaching test. The limit of quantification (LOQ) of each constituent, if relevant, is reported as a dashed gray line. Error bars indicate the standard deviation of three independent replicates.
Also in this case, the constituents that presented the highest concentrations in the collected leachates were major elements such as calcium, potassium, magnesium, sodium, and silicon. For most of the other analyzed elements, the concentrations in the eluates remained consistently close or below the respective LOQs throughout the entire testing period. Notably, the samples containing bottom ash (SP-BA) did not display significant differences in their dynamic leaching behavior compared to the traditional SP formulation. A slightly higher release was found in some leaching intervals for Ba, Ca, Mg, and Zn, which is consistent with the results of the total content analysis, which indicated that these elements were more abundant in the SP-BA samples. This minor increase, however, did not affect the overall environmental performance of the material. As already observed for pH and conductivity, the elemental release trends remained comparable for both formulations. This suggests that the incorporation of bottom ash did not significantly alter the leaching characteristics of the tiles. The overall stability of both formulations during all tested intervals, combined with the absence of substantial variations in the release of potentially hazardous elements, supports the conclusion that the addition of bottom ash did not negatively impact the environmental performance of the porcelain stoneware tiles. Additionally, the tests showed a good reproducibility between the three replicates, with consistent leaching trends observed throughout the experiment.
The very limited release exhibited by both types of products suggests a high stability of these elements within the ceramic matrix, also considering that some of them, e.g., Fe, Mn, and Pb, were present in significant concentrations, as shown by the results of the total content analysis (see Figure 2). The differences between the total contents and the leached concentrations from the monolith test highlight again the strong binding of these elements within the tile structure. In fact, as for the compliance leaching test (see Section 3.2), also for the monolith tests, the maximum concentrations obtained for each constituent, considering all eight leaching intervals and three replicates, were divided by the respective total contents to obtain the release percentages. Since the maximum concentrations observed in the monolith tests were slightly lower than those resulting from the compliance test, the calculated leachate percentages, shown in Figure S2 of the Supporting Information section, were even lower in this case.
3.4. Assessment of the Results of the Monolith Leaching Tests
3.4.1. Identification of the Main Release Mechanisms
Figure 6a,b reports the release mechanisms resulting for 10 constituents for both the traditional and BA-containing tiles, following the methodology described in Section 2.5.1. Constituents that consistently exhibited concentrations below the respective LOQs, or those for which detectable concentrations were only found in one or two leaching intervals, were excluded from the analysis.

Figure 6.
(a) and (b). Cumulative release vs. time of different constituents from porcelain stoneware tiles. Solid lines refer to the traditional formulation (SP), while dashed lines represent the formulation containing bottom ash (SP-BA). The colors indicate the release phase: black = initial, green = intermediate, red = final. The identified release mechanisms are reported as labels: SW = surface wash-off, DP = depletion, DF = diffusion, DS = dissolution, ND = not defined.
The graphs reported in the previously mentioned figures focus on the three temporal phases of leaching (initial, intermediate, and final) and show the evolution over time in a log–log scale of the average cumulative release resulting from the three replicate samples. When considering the cumulative release values, a trend can be noted: tiles incorporating bottom ash tended to release higher amounts over time of several elements, such as Ba, Ca, Cu, K, Mg, Zn, and . For other elements like chlorides and Si, the cumulative release appeared very similar between the two materials. Only Na showed a lower release from BA-containing tiles, possibly indicating a stronger retention or incorporation within less soluble phases. As for the release mechanisms, as can be seen, for all constituents, more than one type of mechanism prevailed depending on the leaching interval considered. Furthermore, differences in the main mechanisms governing release were highlighted for the tiles containing BA compared to those with the traditional formulation.
The release of constituents from a solid material typically occurs through four distinct mechanisms: surface wash-off, dissolution, diffusion, and depletion, depending on the characteristics of the constituent and of the material and on other parameters such as the liquid-to-solid ratio and pH.
Considering the 95% confidence interval (CI) analysis, which allows a more rigorous assessment of the uncertainty in mechanism assignment, clearly defined single mechanisms could be identified in only a few cases. Surface wash-off (SW), occurring exclusively in the initial phase, was clearly identified for Ca and Na in SP tiles, and for Ba and Na in BA-containing tiles, reflecting the immediate availability of these elements at the surface. Diffusion (DF) was observed as a single mechanism only for Ba in the initial phase for SP tiles. Depletion (DP), which occurs when the source of an element within the tile matrix becomes progressively exhausted, leading to a decrease in the release rate over time, was observed more frequently than other single mechanisms. In SP tiles, DP was clearly identified for Ca (intermediate), K (final), and Cl− (final). In BA-containing tiles, it occurred for Ca (intermediate), K (intermediate and final), Zn (intermediate and final), Cl− (final), and SO42− (intermediate and final). Overall, the DP mechanism was more pronounced for SP-BA tiles, particularly during the final phases of leaching, highlighting a stronger tendency for progressive exhaustion of certain elements in the tile matrix.
In many cases, the release behavior could not be clearly attributed to a single mechanism. When the CI overlapped two mechanisms (e.g., DP/DF), the dominant process was considered to be potentially combined. This situation often arose when the slope of the linear regression was very close to the thresholds defining mechanism boundaries (e.g., 0.35 or 0.65), so that even minor fluctuations in the leaching data could shift the apparent mechanism.
In other cases, the CI spanned three mechanisms, and the release mechanism was classified as not defined (ND). These ND cases indicate that the observed release may have been influenced by more than one process without a clearly dominant mechanism.
A particularly distinct behavior was observed for copper. In BA-containing tiles, copper was released more quickly during the early and intermediate stages, resulting in higher cumulative release concentrations than the SP tiles at corresponding time intervals. During these phases, the release could not be clearly attributed to a single mechanism, likely reflecting contributions from different mechanisms. In contrast, SP tiles showed a lower initial release of Cu, with surface wash-off and combined diffusion–depletion observed in the intermediate phase. However, in the final stage, the release from SP tiles increased, ultimately exceeding that of the SP-BA tiles. Overall, this pattern indicates that BA-containing tiles released more copper at the beginning of the leaching process, but over the long term, the total release became greater for traditional SP tiles.
A similar behavior, though less pronounced, was also observed for Ba, Ca, K, Na, Zn, and sulfates: SP-BA tiles showed a higher initial release and a slope that decreased over time, whereas SP tiles presented lower initial values but a higher release in the final stage. As time progressed, the release curves of the two tile types tended to converge, and in the case of copper, as already discussed, the release from traditional SP tiles eventually exceeded that of the SP-BA tiles.
In these cases, the influence on the release mechanisms of the presence of bottom ash in the tile matrix may be related to microstructural features (e.g., porosity and specific surface area), which were not investigated here and, to our knowledge, have not been reported in the literature, warranting focused attention in future research. Concerning the comparison of the results of this study with those reported in previous works, it should be considered that the approach that was employed has been widely applied in the literature to investigate the leaching behavior of various monolithic matrices incorporating waste materials. These include hazardous waste stabilized through cement-based solidification processes, such as municipal solid waste incineration fly ash, filter ashes, metal sludge, and filter cakes derived from wastewater treatment [41]. Other examples involve bottom ash stabilized with Portland cement concrete and hot mix asphalt [29], as well as concrete made with cement from cement kiln co-processing of hazardous waste [40]. In these systems, diffusion is commonly identified as the predominant release mechanism throughout all leaching phases for many metals. In some cases, it has been observed that deviations from diffusion-controlled behavior may occur in the later stages of leaching, often as a result of changes in environmental conditions. In particular, shifts in pH can significantly affect the release of certain elements, indicating a transition in the mechanisms controlling leaching [41]. In this study, the incorporation of bottom ash showed to reduce early surface availability and shift the leaching mechanism towards depletion. At the same time, the tiles containing BA showed to be characterized by a higher early cumulative release for certain elements such as Cu, due to more sustained diffusion in the early phases, contrasted by the delayed release behavior observed in the latter stages of leaching. For a comprehensive summary of all the release mechanisms, including the total cumulative release, the reader is referred to the table in the Supporting Information section (Table S6), which includes a detailed overview of the data.
3.4.2. Human Health Risk Assessment
The results obtained from the monolith leaching tests were employed to assess the potential impact on water resources associated with the use of the tiles. This evaluation was carried out through a risk assessment analysis, considering the two utilization scenarios described in section “Utilization Scenarios Considered for the Risk Assessment”. The first scenario (Scenario 0) involves the use of the porcelain stoneware tiles in direct contact with the groundwater, while the second one (Scenario 1) involves using the material for paving a large outdoor area. As mentioned, the size of St. Peter’s Square in Vatican City was considered. To perform the risk assessment, the maximum concentrations obtained from the eight leaching intervals from the monolith tests for each target contaminant (Supporting Information, Table S4) were used as the starting point. This approach ensures a precautionary evaluation by considering the highest concentrations of leached substances measured, which serve as the basis for estimating the potential impact on groundwater quality. By considering the leaching factor (see section “Human Health Risk Calculation”) resulting for each scenario, the Predicted Environmental Concentrations (PEC) in the groundwater were determined.
In Figure 7a,b, the risks for the groundwater (RGW) resulting from each constituent are reported for the two scenarios. These were calculated as the ratios between the PEC and the PNEC values for each relevant constituent. For more details on these parameters and their determination, refer to section “Human Health Risk Calculation”. For the constituents whose maximum leaching concentration from the monolith test was below the respective LOQ, the risk was estimated by assuming the concentration to be equal to the LOQ value.

Figure 7.
(a). Risk assessment results for Scenario 0, porcelain stoneware tiles in direct contact with the groundwater. (b). Risk assessment results for Scenario 1, porcelain stoneware tiles used for the outdoor pavement of an area the size of St. Peter’s Square in Vatican City. Error bars indicate the standard deviation.
The results show that, in both scenarios and for both types of tiles, the calculated risks remained consistently below the acceptability threshold of 1 (i.e., PEC < PNEC). This suggests that the leached concentrations would not pose a significant concern to groundwater quality under any of the considered conditions. In addition, the SP-BA formulation showed risk levels comparable to those resulting for the traditional SP tiles. This confirms that the addition of bottom ash would not increase the environmental risk and can be considered safe from the perspective of its leaching behavior during use and also in terms of its long-term impacts on groundwater.
Notably, even in Scenario 0 (an extreme, unrealistic case for which higher risks are expected due to direct contact with the groundwater and the absence of natural attenuation processes), the risk for all elements remained below the acceptable limit. In some cases, the difference was of several orders of magnitude (e.g., Al, Cr, Ni, Zn, chlorides, and sulfates). This result is particularly relevant, as the absence of a significant risk even under these unrealistic assumptions demonstrates a strong safety margin, supporting the feasibility of the use of the BA-based tiles without restrictions. Hence, in this case, the product could be considered as a viable End-of-Waste product suitable for free use from an environmental perspective.
Additionally, a statistical analysis was conducted to globally compare the risk levels obtained for the SP and SP-BA samples, considering all of the involved analytes. This comparison was made by determining the 5th, 25th, 50th, 75th, and 95th percentiles of all the calculated risks for the water resource. The results are illustrated in Figure 8. To carry out this analysis, a box plot was created, offering an immediate visual summary of the dispersion of the values in the dataset.
Figure 8.
Statistical analysis of the RGW results for samples SP and SP-BA in Scenario 0 and Scenario 1.
The statistical analysis showed that the calculated risks were very similar among the three replicates in both scenarios. Specifically, referring to Scenario 0, it can be seen that 50% of the data showed a risk lower by one to two orders of magnitude than the acceptance threshold, both for the traditional samples (SP) and for the samples containing incineration residues (SP-BA). The results suggest that there would be no significant differences in terms of risks posed by both types of porcelain stoneware tiles, indicating that the tested materials were comparable in terms of their environmental impact and safety for use. For Scenario 1, 50% of the data resulted within four to five orders of magnitude below the limit for both materials. Furthermore, the 95th percentile consistently yielded values at least three orders of magnitude below the risk threshold of 1.
The overall distribution of the risk values indicates a low level of risk, with only a very small fraction of the data approaching the threshold for both types of samples. This suggests that the addition of BA in the tile samples did not significantly affect the leaching behavior of the material and hence did not lead to an increased human health risk related to its use in outdoor pavements.
4. Conclusions
This study aimed to evaluate the environmental viability of incorporating bottom ash (BA) as a raw material for porcelain stoneware tile manufacturing. The primary objective was to assess whether the addition of BA would negatively impact the chemical properties or the environmental behavior of the tiles. By comparing the properties of BA-based tiles to the traditional porcelain formulation, we sought to determine whether this waste material could serve as a sustainable alternative material in tile production while maintaining compliance with environmental standards. Furthermore, this work aimed to fill a gap in the existing literature by conducting monolith leaching tests on ceramic materials containing BA, an area that has been scarcely explored to date.
In the initial phase, we focused on characterizing both materials through elemental composition analysis to determine whether the addition of 30% BA by weight in the tile formulation would significantly alter their chemical properties of the product. This analysis demonstrated that the incorporation of BA did not result in substantial changes in the elemental content of the tiles.
Subsequently, a standardized batch compliance leaching test was performed on crushed tile samples to assess the material’s compliance with the Italian End-of-Waste (EoW) criteria for construction and demolition waste (Legislative Decree 27 September 2022). This test was performed to assess if at the end-of-life stage of the tiles they could be used as recycled aggregates in construction from an environmental compliance point of view. The results showed that the BA-containing ceramics met the EoW thresholds, indicating their suitability for use also in granular form.
Following these assessments, more detailed evaluations were carried out to assess potential risks during the use phase of the product. In particular, the monolith leaching test on intact tiles was conducted to evaluate their behavior under direct exposure conditions in scenarios such as the use for outdoor paving. The results were then integrated into a human health risk assessment methodology to quantify the potential impacts resulting under assumed exposure scenarios. The comparison between the two tile types also allowed us to identify differences in release mechanisms. Although a single mechanism was not always clearly identifiable, BA-containing tiles showed a reduced early surface availability, leading to a shift toward depletion-controlled leaching. These tiles also presented a higher early release of some elements, likely due to increased diffusion at the beginning of the leaching process. Despite these variations in release behavior, the contaminant concentrations measured in the leachate led to no significant differences in risk between the two types of tile formulations, which, under all the conditions assumed, remained below the risk acceptance threshold of 1. These findings provide robust evidence supporting the environmental compatibility and safety of the free use of the analyzed BA-based tiles.
In conclusion, the results of this study demonstrate that the integration of bottom ash from Waste-to-Energy processes into the porcelain stoneware tiles examined in this study represents an environmentally viable solution. The addition of BA showed not to negatively impact the chemical stability nor the environmental performance of the tiles. The results highlight the potential of BA to be employed as a secondary raw material in ceramics manufacturing, contributing to circular economy strategies and reducing the need for waste disposal.
Supplementary Materials
The following supporting information can be downloaded at: https://www.mdpi.com/article/10.3390/ceramics8030116/s1. Figure S1: Reference framework for the SAM and LDF calculation; Figure S2: Leached percentage of each element, calculated as the ratio between the maximum leached concentration from the monolith test and the total content for SP and SP-BA samples; Table S1: Leaching solution renewal schedule; Table S2: Limits of quantification (LOQ) for the analyzed elements; Table S3: Input values for Scenario 1. For Scenario 0, dilution and attenuation factors do not apply, as no reduction in concentration is assumed (LF = 1); Table S4: The maximum concentration obtained from the monolith test for the target contaminants. The LOQ values are shown in grey; Table S5: Limit concentrations considered for the groundwater (PNEC values); Table S6: Release mechanisms resulting from the results of the monolith test for traditional tiles (SP) and tiles containing bottom ash (SP-BA).
Author Contributions
Conceptualization, G.C., I.V., F.L., C.M. and S.M.; methodology, G.C. and I.V.; software, I.V.; formal analysis, L.A.; investigation, L.A.; data curation, L.A.; writing—original draft preparation, L.A. and G.C.; writing—review and editing, I.V.; supervision, F.L., C.M. and S.M.; resources, C.M. and S.M.; project administration, G.C. and F.L.; funding acquisition, G.C. and F.L. All authors have read and agreed to the published version of the manuscript.
Funding
This research was partially funded by A2A Ambiente S.p.A.
Data Availability Statement
The original contributions presented in this study are included in the article and Supplementary Material. Further inquiries can be directed to the corresponding author.
Acknowledgments
The authors gratefully acknowledge A2A Ambiente S.p.A. and the Italian Ministry of University and Research (MUR) for funding the industrial PhD scholarship of Luigi Acampora through the PON program (Ministerial Decree No. 1061/2021, dated 10 August 2021), supported by the FSE REACT-EU initiative. The authors wish also to thank Alessia Falsetti for her assistance in supervising all chemical analyses and Sara D’Onofrio who participated in the experimental activities as part of her Master’s degree thesis.
Conflicts of Interest
Claudia Mensi and Simone Malvezzi were employed by A2A Ambiente S.p.A. A2A Ambiente S.p.A. provided funding assistant for this research. The remaining authors declare that the research was conducted in the absence of any commercial or financial relationships that could be construed as a potential conflict of interest.
References
- Sabbas, T.; Polettini, A.; Pomi, R.; Astrup, T.; Hjelmar, O.; Mostbauer, P.; Cappai, G.; Magel, G.; Salhofer, S.; Speiser, C.; et al. Management of Municipal Solid Waste Incineration Residues. Waste Manag. 2003, 23, 61–88. [Google Scholar] [CrossRef] [PubMed]
- CEWEP Bottom Ash Fact Sheet. 2019. Available online: https://www.cewep.eu/wp-content/uploads/2017/09/FINAL-Bottom-Ash-factsheet.pdf (accessed on 16 August 2025).
- Chimenos, J.M.; Segarra, M.; Fernández, M.A.; Espiell, F. Characterization of the Bottom Ash in Municipal Solid Waste Incinerator. J. Hazard. Mater. 1999, 64, 211–222. [Google Scholar] [CrossRef]
- Blasenbauer, D.; Huber, F.; Lederer, J.; Quina, M.J.; Blanc-Biscarat, D.; Bogush, A.; Bontempi, E.; Blondeau, J.; Chimenos, J.M.; Dahlbo, H.; et al. Legal Situation and Current Practice of Waste Incineration Bottom Ash Utilisation in Europe. Waste Manag. 2020, 102, 868–883. [Google Scholar] [CrossRef] [PubMed]
- Cho, B.H.; Nam, B.H.; An, J.; Youn, H. Municipal Solid Waste Incineration (MSWI) Ashes as Construction Materials—A Review. Materials 2020, 13, 3143. [Google Scholar] [CrossRef]
- Verbinnen, B.; Billen, P.; Van Caneghem, J.; Vandecasteele, C. Recycling of MSWI Bottom Ash: A Review of Chemical Barriers, Engineering Applications and Treatment Technologies. Waste Biomass Valor 2017, 8, 1453–1466. [Google Scholar] [CrossRef]
- Hjelmar, O.; Holm, J.; Crillesen, K. Utilisation of MSWI Bottom Ash as Sub-Base in Road Construction: First Results from a Large-Scale Test Site. J. Hazard. Mater. 2007, 139, 471–480. [Google Scholar] [CrossRef]
- Lynn, C.J.; Ghataora, G.S.; Dhir Obe, R.K. Municipal Incinerated Bottom Ash (MIBA) Characteristics and Potential for Use in Road Pavements. Int. J. Pavement Res. Technol. 2017, 10, 185–201. [Google Scholar] [CrossRef]
- Yin, K.; Ahamed, A.; Lisak, G. Environmental Perspectives of Recycling Various Combustion Ashes in Cement Production—A Review. Waste Manag. 2018, 78, 401–416. [Google Scholar] [CrossRef]
- Silva, R.V.; De Brito, J.; Lynn, C.J.; Dhir, R.K. Use of Municipal Solid Waste Incineration Bottom Ashes in Alkali-Activated Materials, Ceramics and Granular Applications: A Review. Waste Manag. 2017, 68, 207–220. [Google Scholar] [CrossRef]
- Lindberg, D.; Molin, C.; Hupa, M. Thermal Treatment of Solid Residues from WtE Units: A Review. Waste Manag. 2015, 37, 82–94. [Google Scholar] [CrossRef]
- Chandler, A.J.; Eighmy, T.T.; Hjelmar, O.; Kosson, D.S.; Sawell, S.E.; Vehlow, J.; Van der Sloot, H.A.; Hartlén, J. Municipal Solid Waste Incinerator Residues; Elsevier: Amsterdam, The Netherlands, 1997; Volume 67, ISBN 0-08-053718-9. [Google Scholar]
- Lam, C.H.K.; Ip, A.W.M.; Barford, J.P.; McKay, G. Use of Incineration MSW Ash: A Review. Sustainability 2010, 2, 1943–1968. [Google Scholar] [CrossRef]
- Dou, X.; Ren, F.; Nguyen, M.Q.; Ahamed, A.; Yin, K.; Chan, W.P.; Chang, V.W.-C. Review of MSWI Bottom Ash Utilization from Perspectives of Collective Characterization, Treatment and Existing Application. Renew. Sustain. Energy Rev. 2017, 79, 24–38. [Google Scholar] [CrossRef]
- Yeo, R.J.; Sng, A.; Wang, C.; Tao, L.; Zhu, Q.; Bu, J. Strategies for Heavy Metals Immobilization in Municipal Solid Waste Incineration Bottom Ash: A Critical Review. Rev. Environ. Sci. Biotechnol. 2024, 23, 503–568. [Google Scholar] [CrossRef]
- Bethanis, S.; Cheeseman, C.R.; Sollars, C.J. Effect of Sintering Temperature on the Properties and Leaching of Incinerator Bottom Ash. Waste Manag. Res. 2004, 22, 255–264. [Google Scholar] [CrossRef] [PubMed]
- Cheeseman, C.R.; Makinde, A.; Bethanis, S. Properties of Lightweight Aggregate Produced by Rapid Sintering of Incinerator Bottom Ash. Resour. Conserv. Recycl. 2005, 43, 147–162. [Google Scholar] [CrossRef]
- Rambaldi, E.; Esposito, L.; Andreola, F.; Barbieri, L.; Lancellotti, I.; Vassura, I. The Recycling of MSWI Bottom Ash in Silicate Based Ceramic. Ceram. Int. 2010, 36, 2469–2476. [Google Scholar] [CrossRef]
- Conte, S.; Buonamico, D.; Magni, T.; Arletti, R.; Dondi, M.; Guarini, G.; Zanelli, C. Recycling of Bottom Ash from Biomass Combustion in Porcelain Stoneware Tiles: Effects on Technological Properties, Phase Evolution and Microstructure. J. Eur. Ceram. Soc. 2022, 42, 5153–5163. [Google Scholar] [CrossRef]
- Schabbach, L.M.; Andreola, F.; Barbieri, L.; Lancellotti, I.; Karamanova, E.; Ranguelov, B.; Karamanov, A. Post-Treated Incinerator Bottom Ash as Alternative Raw Material for Ceramic Manufacturing. J. Eur. Ceram. Soc. 2012, 32, 2843–2852. [Google Scholar] [CrossRef]
- Lin, D.-F.; Wang, W.-J.; Chen, C.-W.; Lin, K.-L. Applying Mixture of Municipal Incinerator Bottom Ash and Sewage Sludge Ash for Ceramic Tile Manufacturing. Materials 2021, 14, 3863. [Google Scholar] [CrossRef]
- Dagnew, E.H. Alternative Resource of Incineration Bottom Ash for Ceramic Tile Production. Int. J. Ceram. Eng. Sci. 2022, 4, 281–285. [Google Scholar] [CrossRef]
- Appendino, P.; Ferraris, M.; Matekovits, I.; Salvo, M. Production of Glass–Ceramic Bodies from the Bottom Ashes of Municipal Solid Waste Incinerators. J. Eur. Ceram. Soc. 2004, 24, 803–810. [Google Scholar] [CrossRef]
- Costa, G.; Acampora, L.; Spagnuolo, R.; Piacenti, L.; Lombardi, F. Evaluating by LCA the Environmental Impact Savings Related to the Use of Waste Incineration Bottom Ash in Porcelain Tiles Manufacturing: The Role of Metals Recovery. In Proceedings of the WasteLCA_3: Life Cycle Sustainability Assessment for Waste Management and Resource Optimization, Calabria, Italy, 5–10 June 2022. [Google Scholar]
- Barberio, G.; Buttol, P.; Masoni, P.; Scalbi, S.; Andreola, F.; Barbieri, L.; Lancellotti, I. Use of Incinerator Bottom Ash for Frit Production. J. Ind. Ecol. 2010, 14, 200–216. [Google Scholar] [CrossRef]
- Cheeseman, C.R.; Monteiro Da Rocha, S.; Sollars, C.; Bethanis, S.; Boccaccini, A.R. Ceramic Processing of Incinerator Bottom Ash. Waste Manag. 2003, 23, 907–916. [Google Scholar] [CrossRef] [PubMed]
- Eighmy, T.T.; Crimi, D.; Whitehead, I.E.; Zhang, X.; Gress, D.L. The Influence of Monolith Physical Properties and Integrity on Diffusional Leaching Behavior of Asphaltic Pavements Constructed with MSW Combustion Bottom Ash. In Studies in Environmental Science; Elsevier: Amsterdam, The Netherlands, 1997; Volume 71, pp. 125–147. ISBN 978-0-444-82771-5. [Google Scholar]
- Gonzalez, M.L.; Blanc, D. Technical and Environmental Assessment of MSWI Bottom-Ash as Secondary Raw Material in Road Construction. In Proceedings of the CIGOS 2013-Construction et Développement durable, Lyon, France, 4–5 April 2013. [Google Scholar]
- Roessler, J.G.; Townsend, T.G.; Ferraro, C.C. Use of Leaching Tests to Quantify Trace Element Release from Waste to Energy Bottom Ash Amended Pavements. J. Hazard. Mater. 2015, 300, 830–837. [Google Scholar] [CrossRef]
- Taoufiq, L. Concrete Made with Treated Bottom Ash: Mechanical and Environmental Study. J. Mater. Cycles Waste Manag. 2021, 23, 1102–1113. [Google Scholar] [CrossRef]
- Clavier, K.A.; Watts, B.; Liu, Y.; Ferraro, C.C.; Townsend, T.G. Risk and Performance Assessment of Cement Made Using Municipal Solid Waste Incinerator Bottom Ash as a Cement Kiln Feed. Resour. Conserv. Recycl. 2019, 146, 270–279. [Google Scholar] [CrossRef]
- Lindahl, P.; Olszewski, G.; Eriksson, M. Total Dissolution of Environmental Samples for the Determination of Uranium and Thorium by ICP-MS and Alpha-Particle Spectrometry. Appl. Radiat. Isot. 2022, 181, 110103. [Google Scholar] [CrossRef]
- Awaji, S.; Nakamura, K.; Nozaki, T.; Kato, Y. A Simple Method for Precise Determination of 23 Trace Elements in Granitic Rocks by ICP-MS after Lithium Tetraborate Fusion. Resour. Geol. 2006, 56, 471–478. [Google Scholar] [CrossRef]
- Decree No. 152/2022, Italian End-of-Waste (EoW) Criteria for the Use of Construction and Demolition Waste as Recycled Aggregates. Available online: https://www.gazzettaufficiale.it/eli/id/2022/10/20/22G00163/SG (accessed on 17 August 2025).
- EN 12457-2:2002; Characterisation of Waste-Leaching-Compliance Test for Leaching of Granular Waste Materials and Sludges-Part 2: One Stage Batch Test at a Liquid to Solid Ratio of 10 l/Kg for Materials with Particle Size Below 4 Mm (Without or with Size Reduction). CEN: Brussels, Belgium, 2002. Available online: https://standards.cencenelec.eu/dyn/www/f?p=CEN:110:0::::FSP_PROJECT,FSP_ORG_ID:14487,2046877&cs=1E17B76E9588A8F99D58DF6F2C1B14C6A (accessed on 17 August 2025).
- EN 15863:2015; Characterization of Waste-Leaching Behaviour Test for Basic Characterization-Dynamic Monolithic Leaching Test with Periodic Leachant Renewal, Under Fixed Conditions. CEN: Brussels, Belgium, 2015. Available online: https://standards.cencenelec.eu/dyn/www/f?p=CEN:110:0::::FSP_PROJECT,FSP_ORG_ID:39449,2046877&cs=17A7E761EC879812AAE6ED700EA7A1A86 (accessed on 17 August 2025).
- Torras, J.; Buj, I.; Rovira, M.; De Pablo, J. Semi-Dynamic Leaching Tests of Nickel Containing Wastes Stabilized/Solidified with Magnesium Potassium Phosphate Cements. J. Hazard. Mater. 2011, 186, 1954–1960. [Google Scholar] [CrossRef]
- de Groot, G.; van der Sloot, H. Determination of Leaching Characteristics of Waste Materials Leading to Environmental Product Certification. In Stabilization and Solidification of Hazardous, Radioactive, and Mixed Wastes: 2nd Volume; Gilliam, T., Wiles, C., Eds.; ASTM International: West Conshohocken, PA, USA, 1992; ISBN 978-0-8031-1443-2. [Google Scholar]
- NEN 7375:2004; Leaching Characteristics of Moulded or Monolithic Building and Waste Materials—Determination of Leaching of Inorganic Components with the Diffusion Test—Solid Sample. Nederlands Normalisatie-Instituut (NEN): Delft, The Netherlands, 2004.
- Yang, Y.; Yang, Y.; Wang, Q.; Huang, Q. Release of Heavy Metals from Concrete Made with Cement from Cement Kiln Co-Processing of Hazardous Wastes in Pavement Scenarios. Environ. Eng. Sci. 2010, 28, 35–42. [Google Scholar] [CrossRef]
- Van Der Sloot, H.A.; Van Zomeren, A.; Meeussen, J.C.L.; Seignette, P.; Bleijerveld, R. Test Method Selection, Validation against Field Data, and Predictive Modelling for Impact Evaluation of Stabilised Waste Disposal. J. Hazard. Mater. 2007, 141, 354–369. [Google Scholar] [CrossRef] [PubMed]
- Štulović, M.; Ivšić-Bajčeta, D.; Ristić, M.; Kamberović, Ž.; Korać, M.; Anđić, Z. Leaching Properties of Secondary Lead Slag Stabilized/Solidified with Cement and Selected Additives. Environ. Protect. Eng. 2013, 39, 149–163. [Google Scholar] [CrossRef]
- Iacobescu, R.I.; Cappuyns, V.; Geens, T.; Kriskova, L.; Onisei, S.; Jones, P.T.; Pontikes, Y. The Influence of Curing Conditions on the Mechanical Properties and Leaching of Inorganic Polymers Made of Fayalitic Slag. Front. Chem. Sci. Eng. 2017, 11, 317–327. [Google Scholar] [CrossRef]
- Van der Sloot, H.A.; Dijkstra, J.J. Development of Horizontally Standardized Leaching Tests for Construction Materials: A Material Based or Release Based Approach? Identical Leaching Mechanisms for Different Materials; ECN: Petten, The Netherlands, 2004. [Google Scholar]
- Birgisdóttir, H.; Pihl, K.A.; Bhander, G.; Hauschild, M.Z.; Christensen, T.H. Environmental Assessment of Roads Constructed with and without Bottom Ash from Municipal Solid Waste Incineration. Transp. Res. Part D Transp. Environ. 2006, 11, 358–368. [Google Scholar] [CrossRef]
- Olsson, S.; Kärrman, E.; Gustafsson, J.P. Environmental Systems Analysis of the Use of Bottom Ash from Incineration of Municipal Waste for Road Construction. Resour. Conserv. Recycl. 2006, 48, 26–40. [Google Scholar] [CrossRef]
- Shih, H.; Ma, H. Assessing the Health Risk of Reuse of Bottom Ash in Road Paving. Chemosphere 2011, 82, 1556–1562. [Google Scholar] [CrossRef] [PubMed]
- E2081-00; ASTM Standard Guide for Risk-Based Corrective Action. American Society for Testing and Materials: West Conshohocken, PA, USA, 2000.
- Connor, J.A.; Bowers, R.L.; Paquette, S.M.; Newell, C.J. Soil Attenuation Model for Derivation of Risk-Based Soil Remediation Standards; Groundwater Services Inc.: Houston, TX, USA, 1997. [Google Scholar]
- ISPRA. Criteri Metodologici per L’applicazione Dell’analisi Assoluta di Rischio ai Siti Contaminati (Revisione 2, Marzo 2008). Available online: https://www.isprambiente.gov.it/files/temi/siti-contaminati-02marzo08.pdf (accessed on 19 April 2025).
- Verginelli, I. Risk-Net v 3.2-User Guide. Available online: https://www.reconnet.net/Docs/Risk-net%20ver%203_2/User%20guide%20Risk-net%203.2%20Pro.pdf (accessed on 19 April 2025).
- Grim, R.E. Clay Mineralogy: The Clay Mineral Composition of Soils and Clays Is Providing an Understanding of Their Properties. Science 1962, 135, 890–898. [Google Scholar] [CrossRef] [PubMed]
- EUROFEL–European Association of Feldspar Producers (Member of IMA-Europe), What Is Feldspar? Available online: https://ima-europe.eu/wp-content/uploads/2020/06/Feldspar_An-WEB-2011.pdf (accessed on 16 April 2025).
Disclaimer/Publisher’s Note: The statements, opinions and data contained in all publications are solely those of the individual author(s) and contributor(s) and not of MDPI and/or the editor(s). MDPI and/or the editor(s) disclaim responsibility for any injury to people or property resulting from any ideas, methods, instructions or products referred to in the content. |
© 2025 by the authors. Licensee MDPI, Basel, Switzerland. This article is an open access article distributed under the terms and conditions of the Creative Commons Attribution (CC BY) license (https://creativecommons.org/licenses/by/4.0/).












