Prediction of Physical and Mechanical Properties of Al2O3–TiB2–TiC Composites Using Design of Mixture Experiments
Abstract
1. Introduction
2. Materials and Methods
2.1. Powder Mixture Preparation
2.2. Spark Plasma Sintering
2.3. Relative Densities Measurement
2.4. Flexural Strength Testing
2.5. Vickers Hardness Testing
2.6. Fracture Toughness Testing
2.7. X-Ray Diffraction (XRD) Analysis
3. Results
3.1. X-Ray Diffraction (XRD)
3.2. Relative Densities of Sintered Composites
3.3. Flexural Strength
3.4. Vickers Hardness
3.5. Fracture Toughness
4. Discussion
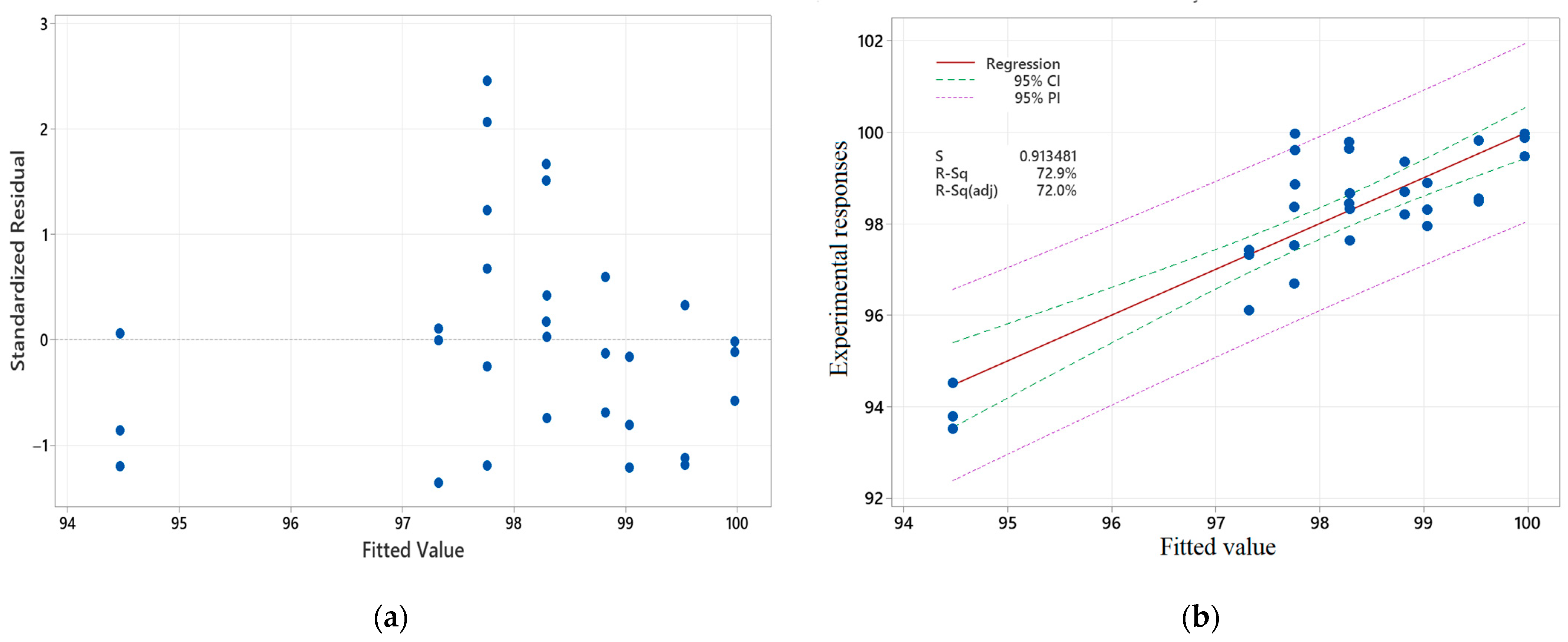
4.1. Relative Density Models
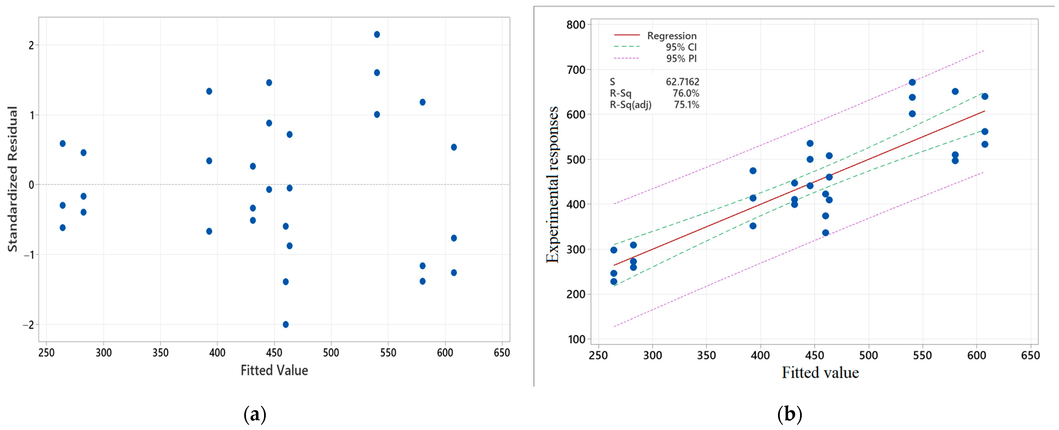
4.2. Flexural Strength Models
4.3. Vickers Hardness Models
4.4. Fracture Toughness Models
4.5. Contour Plots
5. Conclusions
Author Contributions
Funding
Institutional Review Board Statement
Informed Consent Statement
Data Availability Statement
Acknowledgments
Conflicts of Interest
References
- Grigoriev, S.N.; Pristinskiy, Y.; Soe, T.N.; Malakhinsky, A.; Mosyanov, M.; Podrabinnik, P.; Smirnov, A.; Solís Pinargote, N.W. Processing and Characterization of Spark Plasma Sintered SiC-TiB2-TiC Powders. Materials 2022, 15, 1946. [Google Scholar] [CrossRef] [PubMed]
- Stolin, A.M.; Bazhin, P.M.; Khairulina, R.V. Using the SHS extrusion process to produce composite nanoceramics. Perspect. Mater. 2012, 2, 77–82. (In Russian) [Google Scholar]
- Sahu, J.K.; Sahoo, C.K.; Masanta, M. In-Situ TiB2–TiC–Al2O3 Composite Coating on Aluminum by Laser Surface Modification. Mater. Manuf. Process. 2015, 30, 736–742. [Google Scholar] [CrossRef]
- Zou, B.; Huang, C.; Ji, W.; Li, S. Effects of Al2O3 and NbC additives on the microstructure and mechanical properties of TiB2–TiC composite ceramic cutting tool materials. Ceram. Int. 2014, 40, 3667–3677. [Google Scholar] [CrossRef]
- Chen, Z.; Ji, L.; Guo, N.; Xu, C.; Zhang, S. Crack healing and strength recovery of Al2O3/TiC/TiB2 ceramic tool materials. Int. J. Refract. Met. Hard Mater. 2020, 87, 105167. [Google Scholar] [CrossRef]
- Cui, H.; Chen, Z.; Xiao, G.; Ji, L.; Yi, M.; Zhang, J.; Zhou, T.; Xu, C. Mechanical Proper-ties and Microstructures of Al2O3/TiC/TiB2 Ceramic Tool Material. Crystals 2021, 11, 637. [Google Scholar] [CrossRef]
- Wang, D.; Bai, Y.; Qiu, B.; Yu, H.; Li, Z. Design of spark plasma sintering parameters and preparation of Al2O3/TiB2/TiC micro–nano composite ceramic tool material. Int. J. Appl. Ceram. Technol. 2022, 20, 1420. [Google Scholar] [CrossRef]
- Cui, X.; Li, Y.; Guo, J.; Guo, Q. Fabrication, transport behaviors and green interrupted cutting performance of bio-inspired microstructure on Al2O3/TiC composite ceramic surface. J. Manuf. Process. 2022, 75, 203–218. [Google Scholar] [CrossRef]
- Aydin, H.; Elmus, B. Fabrication and characterization of Al2O3-TiB2 nano-composite powder by mechanochemical processing. J. Aust. Ceram. Soc. 2021, 57, 731–741. [Google Scholar] [CrossRef]
- Matsuda, T. Synthesis and sintering of TiC-TiB2 composite powders. Mater. Today Commun. 2020, 25, 101457. [Google Scholar] [CrossRef]
- Zou, B.; Shen, P.; Cao, X.; Jiang, Q. Reaction path of the synthesis of α-Al2O3-TiC-TiB2 in an Al-TiO2-B4C system. Int. J. Refract. Met. Hard Mater. 2011, 29, 591–595. [Google Scholar] [CrossRef]
- Xu, J.; Zou, B.; Fan, X.; Zhao, S.; Hui, Y.; Wang, Y.; Zhou, X.; Cai, X.; Tao, S.; Ma, H.; et al. Reactive plasma spraying synthesis and characterization of TiB2–TiC–Al2O3/Al composite coatings on a magnesium alloy. J. Alloys Compd. 2014, 596, 10–18. [Google Scholar] [CrossRef]
- Li, Z.; Wei, M.; Xiao, K.; Bai, Z.; Xue, W.; Dong, C.; Wei, D.; Li, X. Microhardness and wear resistance of Al2O3-TiB2-TiC ceramic coatings on carbon steel fabricated by laser cladding. Ceram. Int. 2018, 45, 115–121. [Google Scholar] [CrossRef]
- Masanta, M.; Ganesh, P.; Kaul, R.; Roy Choudhury, A. Microstructure and mechanical properties of TiB2–TiC–Al2O3–SiC composite coatings developed by combined SHS, sol–gel and laser technology. Surf. Coat. Technol. 2010, 204, 3471–3480. [Google Scholar] [CrossRef]
- Wang, Z.; Liu, X.; Bian, X. Reaction in the Al-TiO2-CB4 System andin Situ Synthesis of an Al/(TiC + TiB2 + α − Al2O3) Composite. Adv. Eng. Mater. 2004, 6, 977–980. [Google Scholar] [CrossRef]
- Akao, T.; Tonoko, K.; Onda, T.; Chen, Z.-C. In-situ Synthesis of Al-based Composites Reinforced with TiB2-TiC-Al2O3 Ceramic Particulates. J. Sustain. Res. Eng. 2015, 2, 45–52. [Google Scholar]
- Like, Q.; Xikun, L.; Yang, P.; Weimin, M.; Guanming, Q.; Yanbin, S. Types, Performance and Application of AI2O3 System Ceramic Cutting Tool. J. Rare Earths 2007, 25, 322–326. [Google Scholar] [CrossRef]
- Gong, F.; Zhao, J.; Liu, G.; Ni, X. Design and fabrication of TiB2–TiC–Al2O3 gradient composite ceramic tool materials reinforced by VC/Cr3C2 additives. Ceram. Int. 2021, 47, 20341–20351. [Google Scholar] [CrossRef]
- Fernandez-Garcia, E.; Gutierrez-Gonzalez, C.F.; Peretyagin, P.; Solis, W.; Lopez-Esteban, S.; Torrecillas, R.; Fernandez, A. Effect of yttria–titanium shell–core structured powder on strength and ageing of zirconia/titanium composites. Mater. Sci. Eng. A 2015, 646, 96–100. [Google Scholar] [CrossRef]
- Díaz, L.A.; Solís, W.; Peretyagin, P.; Fernández, A.; Morales, M.; Pecharromán, C.; Moya, J.S.; Torrecillas, R. Spark Plasma Sintered Si3N4/TiN Nanocomposites Obtained by a Colloidal Processing Route. J. Nanomater. 2016, 2016, 3170142. [Google Scholar] [CrossRef]
- Yushin, D.I.; Smirnov, A.V.; Solis Pinargote, N.; Peretyagin, P.Y.; Kuznetsov, V.A.; Torrecillas, R. Spark plasma sintering of cutting plates. Russ. Eng. Res. 2016, 36, 410–413. [Google Scholar] [CrossRef]
- Gutiérrez-González, C.F.; Pozhidaev, S.; Rivera, S.; Peretyagin, P.; Solís, W.; Díaz, L.A.; Fernández, A.; Torrecillas, R. Longer-lasting Al2O3-SiCw-TiC cutting tools obtained by spark plasma sintering. Int. J. Appl. Ceram. Technol. 2017, 14, 367–373. [Google Scholar] [CrossRef]
- Yushin, D.I.; Smirnov, A.V.; Pinargote, N.W.S.; Peretyagin, P.Y.; Millan, R.T.S. Modeling Process of Spark Plasma Sintering of Powder Materials by Finite Element Method. Mater. Sci. Forum 2015, 834, 41–50. [Google Scholar] [CrossRef]
- Pristinskiy, Y.; Pinargote, N.W.S.; Smirnov, A. The effect of MgO addition on the microstructure and mechanical properties of alumina ceramic obtained by spark plasma sintering. Mater. Today Proc. 2019, 19, 1990–1993. [Google Scholar] [CrossRef]
- Pristinskiy, Y.; Pinargote, N.W.S.; Smirnov, A. Spark plasma and conventional sintering of ZrO2-TiN composites: A comparative study on the microstructure and mechanical properties. MATEC Web Conf. 2018, 224, 01055. [Google Scholar] [CrossRef]
- Solvason, C.; Chemmangattuvalappil, N.G.; Eljack, F.T.; Eden, M.R. Efficient Visual Mixture Design of Experiments using Property Clustering Technique. Ind. Eng. Chem. Res. 2009, 48, 2245–2256. [Google Scholar] [CrossRef]
- Cornell, J.A. A Primer on Experiments with Mixtures; Wiley Series in Probability and Statistics; John Wiley & Sons, Inc.: Hoboken, NJ, USA, 2011. [Google Scholar]
- de Mestral, F.; Thevenot, F. Boride-Carbide Composites: TiB2-TiC-SiC. In The Physics and Chemistry of Carbides, Nitrides and Borides; Freer, R., Ed.; NATO ASI Series; Springer: Dordrecht, The Netherlands, 1990; Volume 185. [Google Scholar] [CrossRef]
- de Mestral, F.; Thevenot, F. Ceramic composites: TiB2-TiC-SiC. Part I Properties and microstructures in the ternary system. J. Mater. Sci. 1991, 26, 5547–5560. [Google Scholar] [CrossRef]
- de Mestral, F.; Thevenot, F. Ceramic composites: TiB2-TiC-SiC. II: Optimization of the composite 20% TiB2-55% (mol %) TiC-25% SiC. J. Mater. Sci. 1991, 26, 5561–5565. [Google Scholar] [CrossRef]
- Coronado, M.; Segadães, A.M.; Andrés, A. Combining mixture design of experiments with phase diagrams in the evaluation of structural ceramics containing foundry by-products. Appl. Clay Sci. 2014, 101, 390–400. [Google Scholar] [CrossRef]
- Silveira, J.; Leite, J.P. Technique for optimization of ceramic bodies using mixture design. Ceramica 2010, 56, 347–354. [Google Scholar] [CrossRef]
- Khaskhoussi, A.; Calabrese, L.; Bouhamed, H.; Kamoun, A.; Proverbio, E.; Bouaziz, J. Mixture design approach to optimize the performance of TiO2 modified zirconia/alumina sintered ceramics. Mater. Des. 2018, 137, 1–8. [Google Scholar] [CrossRef]
- Rajendar, K.; Eswaraiah, K. Experimental investigation and optimization for friction and wear behavior of aluminum LM 25/h-BN/B4C composites via mixture design and desirability approach. Int. J. Interact. Des. Manuf. 2024, 18, 2017–2029. [Google Scholar] [CrossRef]
- 21-ASTM C1161-13; Standard Test Method for Flexural Strength of Advanced Ceramics at Ambient Temperature. ASTM International: West Conshohocken, PA, USA, 2013.











| Point | Al2O3 | TiC | TiB2 | Mixture |
|---|---|---|---|---|
| No. | [mol %] | Name | ||
| 1 | 100.00 | 0.00 | 0.00 | ATB-1 |
| 2 | 50.00 | 50.00 | 0.00 | ATB-3 |
| 3 | 0.00 | 100.00 | 0.00 | ATB-5 |
| 4 | 0.00 | 50.00 | 50.00 | ATB-7 |
| 5 | 0.00 | 0.00 | 100.00 | ATB-9 |
| 6 | 50.00 | 0.00 | 50.00 | ATB-11 |
| 7 | 33.33 | 33.33 | 33.33 | ATB-22 |
| Test points | ||||
| 8 | 67.00 | 16.50 | 16.50 | ATB-13 |
| 9 | 16.50 | 67.00 | 16.50 | ATB-16 |
| 10 | 16.50 | 16.50 | 67.00 | ATB-19 |
| Point | Mixture | ρth. * | Replication | Average | ||
|---|---|---|---|---|---|---|
| 1 | 2 | 3 | Density | |||
| No. | [g/cm3] | ρrel, [%] * | ρrel, [%] * | |||
| 1 | ATB-1 | 3.950 | 97.53 | 96.69 | 98.36 | 97.53 ± 0.84 |
| 2 | ATB-3 | 4.241 | 97.32 | 97.42 | 96.11 | 96.95 ± 0.73 |
| 3 | ATB-5 | 4.850 | 94.52 | 93.52 | 93.79 | 93.94 ± 0.52 |
| 4 | ATB-7 | 4.568 | 99.47 | 99.87 | 99.96 | 99.77 ± 0.26 |
| 5 | ATB-9 | 4.350 | 99.35 | 98.20 | 98.70 | 98.75 ± 0.58 |
| 6 | ATB-11 | 4.103 | 99.64 | 98.44 | 99.78 | 99.29 ± 0.74 |
| 7 | ATB-22 | 4.334 | 98.89 | 97.95 | 98.31 | 98.38 ± 0.47 |
| Test points | ||||||
| 8 | ATB-13 | 4.109 | 98.67 | 98.32 | 97.63 | 98.21 ± 0.53 |
| 9 | ATB-16 | 4.498 | 98.86 | 99.61 | 99.96 | 99.48 ± 0.56 |
| 10 | ATB-19 | 4.285 | 98.54 | 99.82 | 98.48 | 98.95 ± 0.76 |
| Point | Mixture | Replication | Average | ||
|---|---|---|---|---|---|
| 1 | 2 | 3 | Flexural Strength | ||
| No. | σf, Mpa * | σf, Mpa * | |||
| 1 | ATB-1 | 259.01 | 272.20 | 309.11 | 280.11 ± 25.97 |
| 2 | ATB-3 | 460.05 | 507.42 | 409.23 | 458.90 ± 49.11 |
| 3 | ATB-5 | 246.71 | 227.91 | 298.23 | 257.62 ± 36.41 |
| 4 | ATB-7 | 532.86 | 561.88 | 639.03 | 577.92 ± 54.87 |
| 5 | ATB-9 | 510.15 | 650.72 | 496.86 | 552.58 ± 85.25 |
| 6 | ATB-11 | 399.75 | 447.12 | 410.28 | 419.05 ± 24.87 |
| 7 | ATB-22 | 374.37 | 336.49 | 423.06 | 377.97 ± 43.40 |
| Test points | |||||
| 8 | ATB-13 | 351.83 | 413.64 | 474.68 | 413.38 ± 61.43 |
| 9 | ATB-16 | 499.69 | 535.16 | 441.13 | 491.99 ± 47.49 |
| 10 | ATB-19 | 601.10 | 670.64 | 637.39 | 636.38 ± 34.78 |
| Point | Mixture | Replication | Average | ||
|---|---|---|---|---|---|
| 1 | 2 | 3 | Vickers Hardness | ||
| No. | HV, Gpa * | HV, Gpa * | |||
| 1 | ATB-1 | 15.2 | 14.0 | 12.5 | 13.9 ± 1.4 |
| 2 | ATB-3 | 16.2 | 15.7 | 14.5 | 15.5 ± 0.9 |
| 3 | ATB-5 | 14.2 | 14.8 | 12.5 | 13.8 ± 1.2 |
| 4 | ATB-7 | 17.5 | 16.5 | 16.8 | 16.9 ± 0.5 |
| 5 | ATB-9 | 15.9 | 16.9 | 17.5 | 16.8 ± 0.8 |
| 6 | ATB-11 | 17.8 | 16.6 | 18.9 | 17.8 ± 1.2 |
| 7 | ATB-22 | 21.3 | 18.9 | 21.1 | 20.4 ± 1.3 |
| Test points | |||||
| 8 | ATB-13 | 16.4 | 18.1 | 16.9 | 17.1 ± 0.9 |
| 9 | ATB-16 | 17.2 | 19.9 | 19.4 | 18.8 ± 1.4 |
| 10 | ATB-19 | 17.3 | 17.7 | 20.2 | 18.4 ± 1.6 |
| Point | Mixture | Replication | Average | ||
|---|---|---|---|---|---|
| 1 | 2 | 3 | Fracture Toughness | ||
| No. | K1c, MPa·m1/2 * | K1c, MPa·m1/2 * | |||
| 1 | ATB-1 | 5.3 | 5.6 | 4.7 | 5.2 ± 0.5 |
| 2 | ATB-3 | 6.7 | 6.4 | 7.0 | 6.7 ± 0.3 |
| 3 | ATB-5 | 5.4 | 5.6 | 6.2 | 5.7 ± 0.4 |
| 4 | ATB-7 | 5.7 | 5.8 | 6.1 | 5.9 ± 0.2 |
| 5 | ATB-9 | 7.5 | 7.9 | 6.8 | 7.4 ± 0.6 |
| 6 | ATB-11 | 7.7 | 6.7 | 6.4 | 6.9 ± 0.7 |
| 7 | ATB-22 | 7.0 | 7.6 | 7.8 | 7.5 ± 0.4 |
| Test points | |||||
| 8 | ATB-13 | 9.1 | 8.8 | 7.8 | 8.6 ± 0.7 |
| 9 | ATB-16 | 6.9 | 6.1 | 7.1 | 6.7 ± 0.5 |
| 10 | ATB-19 | 7.8 | 8.2 | 8.1 | 8.0 ± 0.2 |
| Regression Model | Property Equation |
|---|---|
| Linear | RDL = 98.06 X1 + 96.25 X2 + 100.06 X3 |
| Quadratic | RDQ = 97.76 X1 + 94.47 X2 + 98.82 X3 + 4.83 X1X2 + 13.32 X2X3 |
| Special cubic | RDSC = 97.43 X1 + 94.48 X2 + 98.49 X3+ 5.74 X1X2 + 3.88 X1X2 + 14.23 X2X3 − 14.4 X1X2X3 |
| Regression Model | Property Equation |
|---|---|
| Linear | FSL = 326.70 X1 + 390.80 X2 + 622.30 X3 |
| Quadratic | FSQ = 273.30 X1 + 270.30 X2 + 571.00 X3 + 623 X1X2 + 605 X2X3 |
| Special cubic | FSSC = 282.30 X1 + 264.10 X2 + 580.00 X3 + 760.00 X1X2 + 742.00 X2X3 − 2226.00 X1X2X3 |
| Regression Model | Property Equation |
|---|---|
| Linear | HVL = 15.92 X1 + 16.17 X2 + 18.75 X3 |
| Quadratic | HVQ = 13.55 X1 + 14.03 X2 + 16.37 X3+ 11.78 X1X2 + 13.92 X1X3 + 11.81 X2X3 |
| Special cubic | HVSC = 13.72 X1 + 14.20 X2 + 16.54 X3 + 6.78 X1X2 + 8.92 X1X3 + 6.81 X2X3 + 81.00 X1X2X3 |
| Regression Model | Property Equation |
|---|---|
| Linear | FTL = 6.73 X1 + 6.11 X2 + 7.74 X3 |
| Quadratic | FTQ = 5.45 X1 + 5.44 X2 + 7.30 X3+ 7.52 X1X2 + 5.50 X1X3 |
| Special cubic | FTSC = 5.53 X1 + 5.33 X2 + 7.19 X3 + 5.80 X1X2 + 3.78 X1X3 + 28.10 X1X2X3 |
| Point | Al2O3 | TiC | TiB2 | Mixture |
|---|---|---|---|---|
| No. | [mol %] | Name | ||
| 11 | 11.1 | 40.3 | 48.6 | 2ATB-4 |
| 12 | 11.1 | 23.5 | 65.4 | 2ATB-5 |
| 13 | 16.7 | 46.0 | 37.3 | 2ATB-8 |
| Point | ρrel [%] | 95% CI | σf [MPa] | 95% CI * | HV [GPa] | 95% CI * | K1c [MPa·m1/2] | 95% CI * | ||||
|---|---|---|---|---|---|---|---|---|---|---|---|---|
| No. | exp. * | pred. * | exp. * | pred. * | exp. * | pred. * | exp. * | pred. * | ||||
| 11 | 99.57 | 99.77 | (99.053; 100.491) | 560 | 550.5 | (498.2; 602.7) | 19.03 | 19.16 | (18.220; 20.108) | 6.91 | 7.10 | (6.549; 7.646) |
| 12 | 99.49 | 99.85 | (99.221; 100.479) | 623 | 568.5 | (523.6; 613.5) | 18.93 | 18.93 | (18.121; 19.741) | 7.38 | 7.33 | (6.858; 7.800) |
| 13 | 98.77 | 99.30 | (98.661; 99.933) | 526 | 506.8 | (453.2; 560.3) | 18.85 | 19.56 | (18.589; 20.530) | 6.76 | 7.40 | (6.838; 7.966) |
| Mean Square | Relative Density | Flexural Strength | Vickers Hardness | Fracture Toughness |
|---|---|---|---|---|
| Pure error | 0.3833 | 2443 | 1.333 | 0.2250 |
| Residual error | 0.9346 | 4589 | 1.475 | 0.4984 |
| Point | ρth. * | ρ * [g/cm3] | 95% CI * | |
|---|---|---|---|---|
| No. | [g/cm3] | exp.* | pred.* | |
| 11 | 4.436 | 4.417 | 4.426 | (4.394; 4.458) |
| 12 | 4.369 | 4.347 | 4.362 | (4.335; 4.390) |
| 13 | 4.420 | 4.366 | 4.389 | (4.361; 4.417) |
Disclaimer/Publisher’s Note: The statements, opinions and data contained in all publications are solely those of the individual author(s) and contributor(s) and not of MDPI and/or the editor(s). MDPI and/or the editor(s) disclaim responsibility for any injury to people or property resulting from any ideas, methods, instructions or products referred to in the content. |
© 2024 by the authors. Licensee MDPI, Basel, Switzerland. This article is an open access article distributed under the terms and conditions of the Creative Commons Attribution (CC BY) license (https://creativecommons.org/licenses/by/4.0/).
Share and Cite
Solís Pinargote, N.W.; Pristinskiy, Y.; Meleshkin, Y.; Kurmysheva, A.Y.; Mozhaev, A.; Lavreshin, N.; Smirnov, A. Prediction of Physical and Mechanical Properties of Al2O3–TiB2–TiC Composites Using Design of Mixture Experiments. Ceramics 2024, 7, 1639-1657. https://doi.org/10.3390/ceramics7040105
Solís Pinargote NW, Pristinskiy Y, Meleshkin Y, Kurmysheva AY, Mozhaev A, Lavreshin N, Smirnov A. Prediction of Physical and Mechanical Properties of Al2O3–TiB2–TiC Composites Using Design of Mixture Experiments. Ceramics. 2024; 7(4):1639-1657. https://doi.org/10.3390/ceramics7040105
Chicago/Turabian StyleSolís Pinargote, Nestor Washington, Yuri Pristinskiy, Yaroslav Meleshkin, Alexandra Yu. Kurmysheva, Aleksandr Mozhaev, Nikolay Lavreshin, and Anton Smirnov. 2024. "Prediction of Physical and Mechanical Properties of Al2O3–TiB2–TiC Composites Using Design of Mixture Experiments" Ceramics 7, no. 4: 1639-1657. https://doi.org/10.3390/ceramics7040105
APA StyleSolís Pinargote, N. W., Pristinskiy, Y., Meleshkin, Y., Kurmysheva, A. Y., Mozhaev, A., Lavreshin, N., & Smirnov, A. (2024). Prediction of Physical and Mechanical Properties of Al2O3–TiB2–TiC Composites Using Design of Mixture Experiments. Ceramics, 7(4), 1639-1657. https://doi.org/10.3390/ceramics7040105

