Early Detection of Failing Lead-Acid Automotive Batteries Using the Detrended Cross-Correlation Analysis Coefficient
Abstract
1. Introduction
2. Methods and Models for Evaluating Battery SOH Literature Review
3. Materials and Method
3.1. Data Acquisition and Vehicle Setup
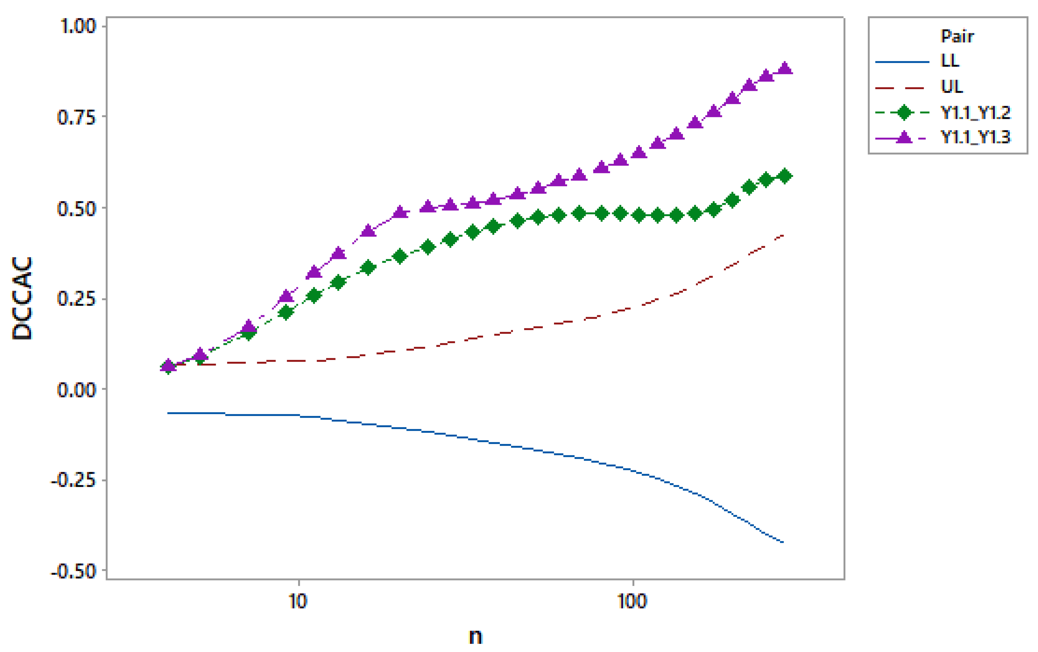
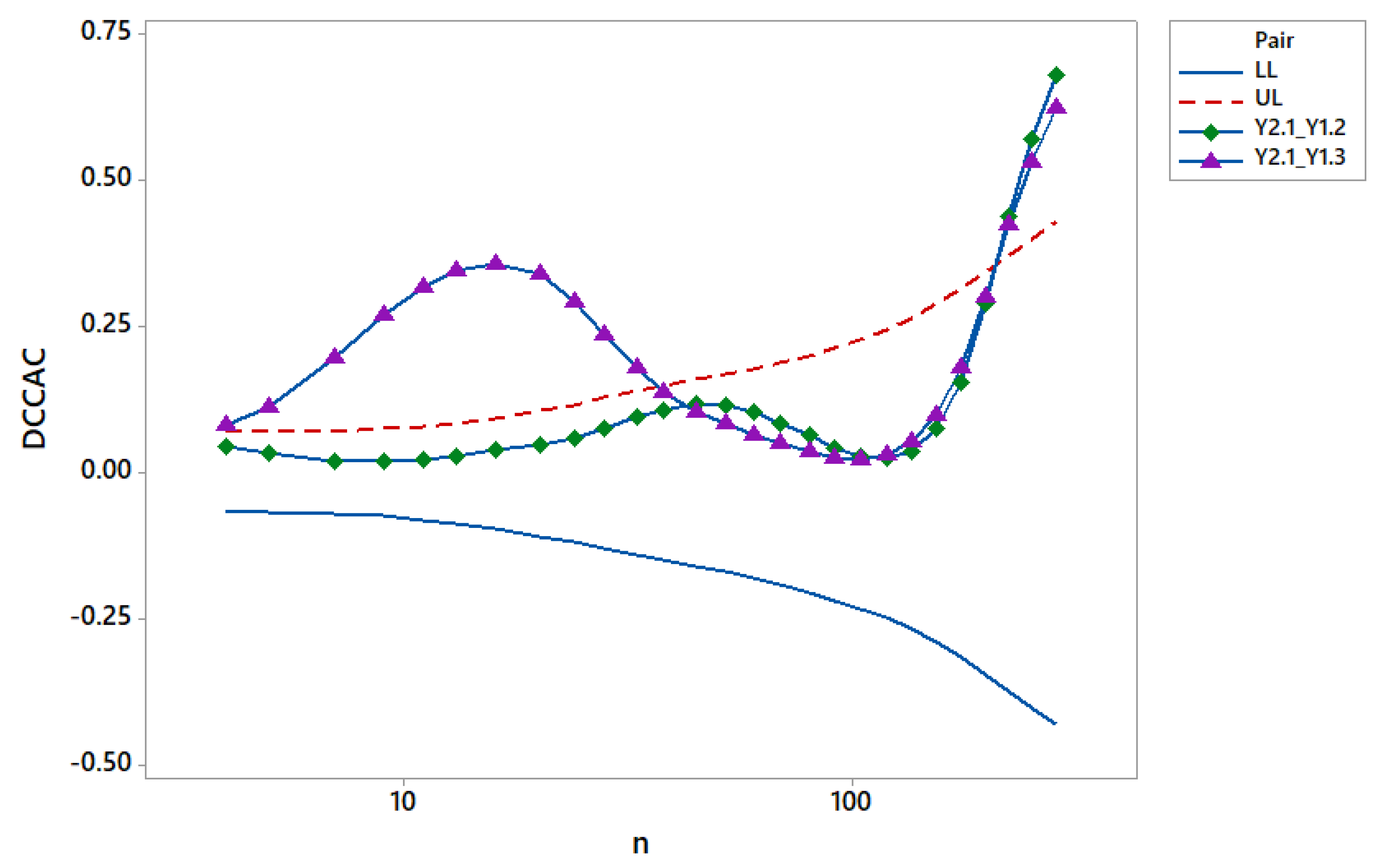
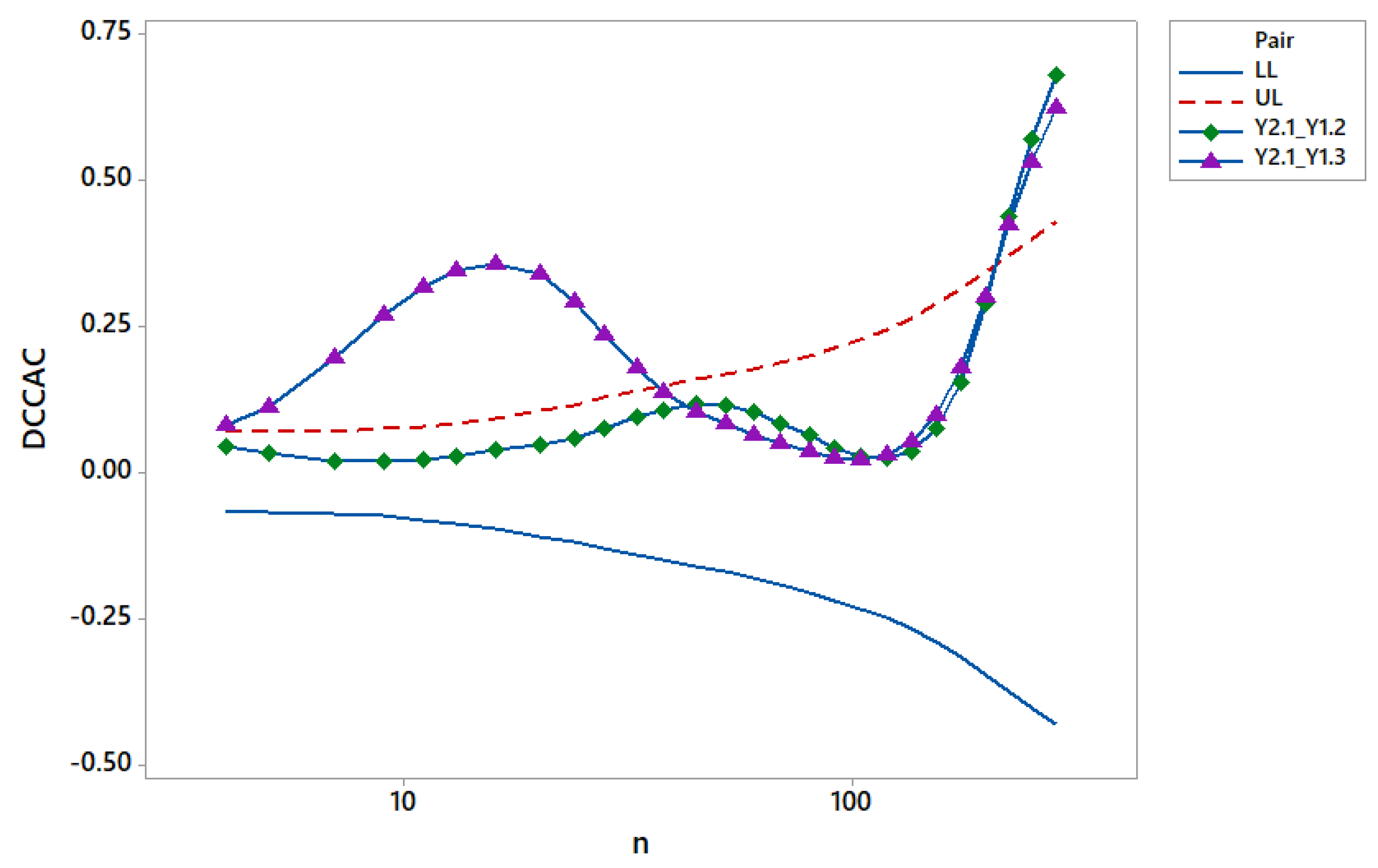
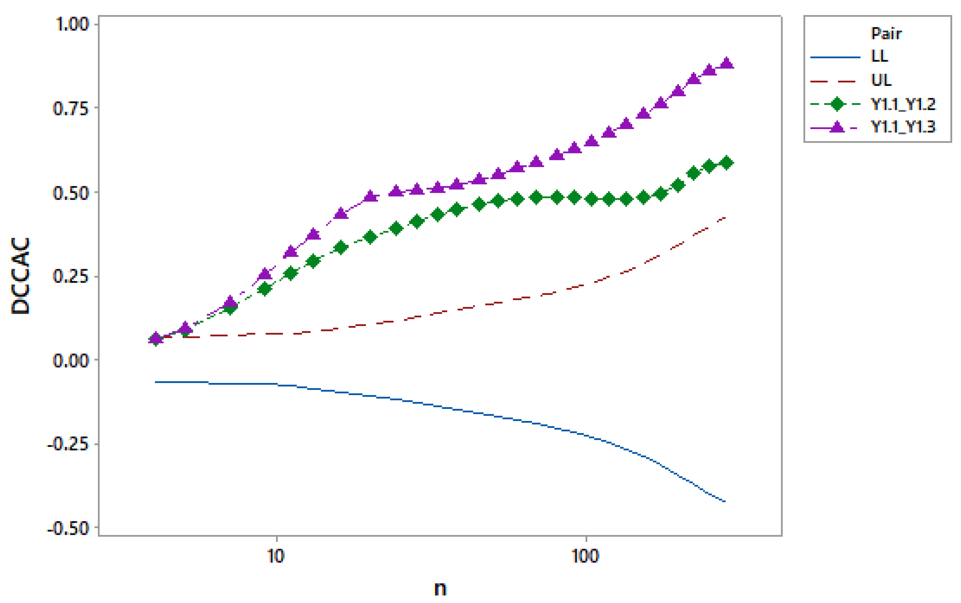
- Y1.1 = Subcompact car, 1.5 L engine, with 1 month of battery usage
- Y1.2 = Subcompact car, 1.5 L engine, with 6 months of battery usage
- Y1.3 = Subcompact car, 1.5 L engine, with 32 months of battery usage
- Y2.1 = Compact car, 2.0 L engine, with 15 months of battery usage
- Y2.2 = SUV car, 2.0 L engine, with deteriorated SOH
- Y2.3 = SUV car, 2.0 L engine, where the original battery was replaced by an aftermarket battery. Aftermarket battery with 6 months of usage
- Y2.4 = SUV car, 2.0 L engine, with deteriorated SOH. The battery received a new charge before the measurement
3.2. Detrended Cross-Correlation Analysis Coefficient
- DCCAC = +1: the time series are perfectly cross-correlated;
- DCCAC = 0: indicates no cross-correlation between the two analyzed time series;
- DCCAC = −1: the time series are perfectly anti-correlated.
3.3. Interpreting DCCAC Results for Battery SOH Evaluation
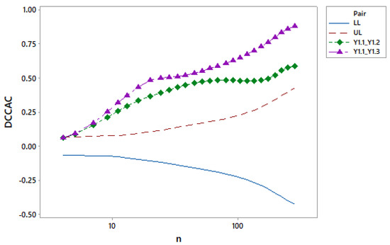
4. Results and Discussion
5. Conclusion
Author Contributions
Funding
Institutional Review Board Statement
Informed Consent Statement
Data Availability Statement
Conflicts of Interest
References
- Chumchal, C.; Kurzweil, D. Lead–acid battery operation in micro-hybrid and electrified vehicles. In Lead-Acid Batteries for Future Automobiles; Elsevier: Amsterdam, The Netherlands, 2017; pp. 395–414. [Google Scholar]
- Gelbke, M.; Mondoloni, C. Flooded starting-lighting-ignition (SLI) and enhanced flooded batteries (EFBs): State-of-the-art. In Lead-Acid Batteries for Future Automobiles; Elsevier: Amsterdam, The Netherlands, 2017; pp. 149–184. [Google Scholar]
- Feldman, I.; Lifset, R.; Ellis, T.; Rifer, W.; Feldman, R.D. The circular economy: Regulatory and commercial law implications. Envtl. L. Rep. News Anal. 2016, 46, 11009. [Google Scholar]
- Lopes, P.P.; Stamenkovic, V.R. Past, present, and future of lead–acid batteries. Science 2020, 369, 923–924. [Google Scholar] [CrossRef]
- Culpin, B.; Rand, D. Failure modes of lead/acid batteries. J. Power Sources 1991, 36, 415–438. [Google Scholar] [CrossRef]
- Khare, N.; Chandra, S.; Govil, R. Statistical modeling of SoH of an automotive battery for online indication. In Proceedings of the INTELEC 2008-2008 IEEE 30th International Telecommunications Energy Conference, San Diego, CA, USA, 14–18 September 2008; pp. 1–7. [Google Scholar] [CrossRef]
- Dini, P.; Colicelli, A.; Saponara, S. Review on Modeling and SOC/SOH Estimation of Batteries for Automotive Applications. Batteries 2024, 10, 34. [Google Scholar] [CrossRef]
- Li, Y.; Liu, K.; Foley, A.M.; Zülke, A.; Berecibar, M.; Nanini-Maury, E.; Van Mierlo, J.; Hoster, H.E. Data-driven health estimation and lifetime prediction of lithium-ion batteries: A review. Renew. Sustain. Energy Rev. 2019, 113, 109254. [Google Scholar] [CrossRef]
- Moseley, P.T.; Rand, D.A.; Monahov, B. Designing lead–acid batteries to meet energy and power requirements of future automobiles. J. Power Sources 2012, 219, 75–79. [Google Scholar] [CrossRef]
- Kurzweil, P. Gaston Planté and his invention of the lead–acid battery—The genesis of the first practical rechargeable battery. J. Power Sources 2010, 195, 4424–4434. [Google Scholar] [CrossRef]
- Sajjad, M.; Zhang, J.; Zhang, S.; Zhou, J.; Mao, Z.; Chen, Z. Long-life lead-carbon batteries for stationary energy storage applications. Chem. Rec. 2024, 24, e202300315. [Google Scholar] [CrossRef] [PubMed]
- Yin, J.; Lin, H.; Shi, J.; Lin, Z.; Bao, J.; Wang, Y.; Lin, X.; Qin, Y.; Qiu, X.; Zhang, W. Lead-Carbon Batteries toward Future Energy Storage: From Mechanism and Materials to Applications. Electrochem. Energy Rev. 2022, 5, 2. [Google Scholar] [CrossRef]
- Rajper, S.Z.; Albrecht, J. Prospects of electric vehicles in the developing countries: A literature review. Sustainability 2020, 12, 1906. [Google Scholar] [CrossRef]
- Majumdar, D.; Majumder, A.; Jash, T. Performance of low speed electric two-wheelers in the urban traffic conditions: A case study in Kolkata. Energy Procedia 2016, 90, 238–244. [Google Scholar] [CrossRef]
- Weiss, M.; Dekker, P.; Moro, A.; Scholz, H.; Patel, M.K. On the electrification of road transportation–a review of the environmental, economic, and social performance of electric two-wheelers. Transp. Res. Part Transp. Environ. 2015, 41, 348–366. [Google Scholar] [CrossRef] [PubMed]
- Mürken, M.; Kübel, D.; Thanheiser, A.; Gratzfeld, P. Analysis of automotive lead-acid batteries exchange rate on the base of field data acquisition. In Proceedings of the 2018 IEEE International Conference on Electrical Systems for Aircraft, Railway, Ship Propulsion and Road Vehicles & International Transportation Electrification Conference (ESARS-ITEC), Nottingham, UK, 7–9 November 2018; pp. 1–6. [Google Scholar] [CrossRef]
- Hariprakash, B.; Martha, S.; Shukla, A. Monitoring sealed automotive lead-acid batteries by sparse-impedance spectroscopy. J. Chem. Sci. 2003, 115, 465–472. [Google Scholar] [CrossRef]
- May, G. Valve-regulated lead-acid batteries for stop-and-go applications. J. Power Sources 2004, 133, 110–115. [Google Scholar] [CrossRef]
- Blanke, H.; Bohlen, O.; Buller, S.; De Doncker, R.W.; Fricke, B.; Hammouche, A.; Linzen, D.; Thele, M.; Sauer, D.U. Impedance measurements on lead–acid batteries for state-of-charge, state-of-health and cranking capability prognosis in electric and hybrid electric vehicles. J. Power Sources 2005, 144, 418–425. [Google Scholar] [CrossRef]
- Okoshi, T.; Yamada, K.; Hirasawa, T.; Emori, A. Battery condition monitoring (BCM) technologies about lead–acid batteries. J. Power Sources 2006, 158, 874–878. [Google Scholar] [CrossRef]
- Zhang, X.; Grube, R.; Shin, K.K.; Salman, M.; Conell, R.S. Parity-relation-based state-of-health monitoring of lead acid batteries for automotive applications. Control. Eng. Pract. 2011, 19, 555–563. [Google Scholar] [CrossRef]
- Ushiyama, K.; Morimoto, M. SOH estimation of lead acid battery for automobile. In Proceedings of the 2011 IEEE Ninth International Conference on Power Electronics and Drive Systems, Singapore, 5–8 December 2011; pp. 739–744. [Google Scholar] [CrossRef]
- Marcos, J.; Cao-Paz, A.; Lago, A.; Nogueiras, A.; Peñalver, C. Fiber optic sensors for diagnosis and maintenance in lead-acid batteries. IFAC Proc. Vol. 2012, 45, 85–90. [Google Scholar] [CrossRef]
- Li, Y.; Shen, Z.; Ray, A.; Rahn, C.D. Real-time estimation of lead-acid battery parameters: A dynamic data-driven approach. J. Power Sources 2014, 268, 758–764. [Google Scholar] [CrossRef]
- Li, Y.; Chattopadhyay, P.; Ray, A.; Rahn, C.D. Identification of the battery state-of-health parameter from input—Output pairs of time series data. J. Power Sources 2015, 285, 235–246. [Google Scholar] [CrossRef]
- Kerley, R.; Hyun, J.H.; Ha, D.S. Automotive lead-acid battery state-of-health monitoring system. In Proceedings of the IECON 2015—41st Annual Conference of the IEEE Industrial Electronics Society, Yokohama, Japan, 9–12 November 2015; pp. 003934–003938. [Google Scholar] [CrossRef]
- Piłatowicz, G.; Budde-Meiwes, H.; Kowal, J.; Sarfert, C.; Schoch, E.; Königsmann, M.; Sauer, D.U. Determination of the lead-acid battery’s dynamic response using Butler-Volmer equation for advanced battery management systems in automotive applications. J. Power Sources 2016, 331, 348–359. [Google Scholar] [CrossRef]
- Hyun, J.H. State of Health Estimation System for Lead-Acid Car Batteries Through Cranking Voltage Monitoring. Ph.D. Thesis, Virginia Tech, Blacksburg, VA, USA, 2016. [Google Scholar]
- Bressanini, G.L.; Busarello, T.D.C.; Péres, A. Design and implementation of lead-acid battery state-of-health and state-of-charge measurements. In Proceedings of the 2017 Brazilian Power Electronics Conference (COBEP), Juiz de Fora, Brazil, 19–22 November 2017; pp. 1–6. [Google Scholar] [CrossRef]
- Kwiecien, M.; Schröer, P.; Kuipers, M.; Sauer, D. 4—Current research topics for lead–acid batteries. In Lead-Acid Batteries for Future Automobiles; Garche, J., Karden, E., Moseley, P.T., Rand, D.A., Eds.; Elsevier: Amsterdam, the Netherlands, 2017; pp. 133–146. [Google Scholar] [CrossRef]
- Zhang, Y.; Du, X.; Salman, M. Battery state estimation with a self-evolving electrochemical ageing model. Int. J. Electr. Power Energy Syst. 2017, 85, 178–189. [Google Scholar] [CrossRef]
- Kumar, B.; Khare, N.; Chaturvedi, P. FPGA-based design of advanced BMS implementing SoC/SoH estimators. Microelectron. Reliab. 2018, 84, 66–74. [Google Scholar] [CrossRef]
- Wassiliadis, N.; Adermann, J.; Frericks, A.; Pak, M.; Reiter, C.; Lohmann, B.; Lienkamp, M. Revisiting the dual extended Kalman filter for battery state-of-charge and state-of-health estimation: A use-case life cycle analysis. J. Energy Storage 2018, 19, 73–87. [Google Scholar] [CrossRef]
- Khaleghi, S.; Firouz, Y.; Van Mierlo, J.; Van den Bossche, P. Developing a real-time data-driven battery health diagnosis method, using time and frequency domain condition indicators. Appl. Energy 2019, 255, 113813. [Google Scholar] [CrossRef]
- Li, W.; Rentemeister, M.; Badeda, J.; Jöst, D.; Schulte, D.; Sauer, D.U. Digital twin for battery systems: Cloud battery management system with online state-of-charge and state-of-health estimation. J. Energy Storage 2020, 30, 101557. [Google Scholar] [CrossRef]
- Calborean, A.; Bruj, O.; Murariu, T.; Morari, C. Resonance frequency analysis of lead-acid cells: An EIS approach to predict the state-of-health. J. Energy Storage 2020, 27, 101143. [Google Scholar] [CrossRef]
- Guida, G.; Faverato, D.; Colabella, M.; Buonomo, G. Robust state of charge and state of health estimation for batteries using a novel multi model approach. Control. Theory Technol. 2022, 20, 418–438. [Google Scholar] [CrossRef]
- Dong, G.; Wei, J.; Zhang, C.; Chen, Z. Online state of charge estimation and open circuit voltage hysteresis modeling of LiFePO4 battery using invariant imbedding method. Appl. Energy 2016, 162, 163–171. [Google Scholar] [CrossRef]
- Baroi, S.; Sarker, P.C.; Baroi, S. An Improved MPPT Technique – Alternative to Fractional Open Circuit Voltage Method. In Proceedings of the 2017 2nd International Conference on Electrical & Electronic Engineering (ICEEE), Rajshahi, Bangladesh, 27–29 December 2017; pp. 1–4. [Google Scholar] [CrossRef]
- Movassagh, K.; Raihan, A.; Balasingam, B.; Pattipati, K. A critical look at coulomb counting approach for state of charge estimation in batteries. Energies 2021, 14, 4074. [Google Scholar] [CrossRef]
- Chang, W.Y. The state of charge estimating methods for battery: A review. Int. Sch. Res. Not. 2013, 2013, 953792. [Google Scholar] [CrossRef]
- Xie, J.; Ma, J.; Bai, K. Enhanced coulomb counting method for state-of-charge estimation of lithium-ion batteries based on peukert’s law and coulombic efficiency. J. Power Electron. 2018, 18, 910–922. [Google Scholar]
- Lim, K.; Bastawrous, H.A.; Duong, V.H.; See, K.W.; Zhang, P.; Dou, S.X. Fading Kalman filter-based real-time state of charge estimation in LiFePO4 battery-powered electric vehicles. Appl. Energy 2016, 169, 40–48. [Google Scholar] [CrossRef]
- Shrivastava, P.; Soon, T.K.; Idris, M.Y.I.B.; Mekhilef, S. Overview of model-based online state-of-charge estimation using Kalman filter family for lithium-ion batteries. Renew. Sustain. Energy Rev. 2019, 113, 109233. [Google Scholar] [CrossRef]
- Lee, G.; Kwon, D.; Lee, C. A convolutional neural network model for SOH estimation of Li-ion batteries with physical interpretability. Mech. Syst. Signal Process. 2023, 188, 110004. [Google Scholar] [CrossRef]
- Jiang, S.; Song, Z. A review on the state of health estimation methods of lead-acid batteries. J. Power Sources 2022, 517, 230710. [Google Scholar] [CrossRef]
- Tong, S.; Lacap, J.H.; Park, J.W. Battery state of charge estimation using a load-classifying neural network. J. Energy Storage 2016, 7, 236–243. [Google Scholar] [CrossRef]
- Zebende, G.F. DCCA cross-correlation coefficient: Quantifying level of cross-correlation. Phys. A Stat. Mech. Its Appl. 2011, 390, 614–618. [Google Scholar] [CrossRef]
- Peng, C.K.; Buldyrev, S.V.; Havlin, S.; Simons, M.; Stanley, H.E.; Goldberger, A.L. Mosaic organization of DNA nucleotides. Phys. Rev. 1994, 49, 1685. [Google Scholar] [CrossRef]
- Podobnik, B.; Stanley, H.E. Detrended Cross-Correlation Analysis: A New Method for Analyzing Two Nonstationary Time Series. Phys. Rev. Lett. 2008, 100, 084102. [Google Scholar] [CrossRef] [PubMed]
- Azevedo, G.A.; Sampaio, R.R.; Filho, A.S.N.; Moret, M.A.; Murari, T.B. Sustainable urban mobility analysis for elderly and disabled people in São Paulo. Sci. Rep. 2021, 11, 791. [Google Scholar] [CrossRef] [PubMed]
- Figueiredo, P.; Moret, M.; Pascutti, P.; Nogueira, E., Jr.; Coutinho, S. Self-affine analysis of protein energy. Phys. A Stat. Mech. Its Appl. 2010, 389, 2682–2686. [Google Scholar] [CrossRef]
- Santos, J.; Moreira, D.; Moret, M.; Nascimento, E. Analysis of long-range correlations of wind speed in different regions of Bahia and the Abrolhos Archipelago, Brazil. Energy 2019, 167, 680–687. [Google Scholar] [CrossRef]
- Nascimento Filho, A.; Pereira, E.; Ferreira, P.; Murari, T.B.; Moret, M.A. Cross-correlation analysis on Brazilian gasoline retail market. Phys. A Stat. Mech. Its Appl. 2018, 508, 550–557. [Google Scholar] [CrossRef]
- Murari, T.B.; Nascimento Filho, A.S.; Pereira, E.J.; Ferreira, P.; Pitombo, S.; Pereira, H.B.B.; Santos, A.A.; Moret, M.A. Comparative analysis between hydrous ethanol and gasoline c pricing in brazilian retail market. Sustainability 2019, 11, 4719. [Google Scholar] [CrossRef]
- Ferreira, P.; Pereira, É.J.D.A.L.; da Silva, M.F.; Pereira, H.B.B. Detrended correlation coefficients between oil and stock markets: The effect of the 2008 crisis. Phys. A Stat. Mech. Its Appl. 2019, 517, 86–96. [Google Scholar] [CrossRef]
- Pereira, E.J.d.A.L.; da Silva, M.F.; da Cunha Lima, I.; Pereira, H.B.B. Trump’s Effect on stock markets: A multiscale approach. Phys. A Stat. Mech. Its Appl. 2018, 512, 241–247. [Google Scholar] [CrossRef]
- Pereira, E.J.; Ferreira, P.; da Cunha Lima, I.C.; Murari, T.B.; Moret, M.A.; Pereira, H.B.B. Conservation in the Amazon rainforest and Google searches: A DCCA approach. PLoS ONE 2022, 17, e0276675. [Google Scholar] [CrossRef]
- Azevedo, S.; Saba, H.; Miranda, J.; Filho, A.N.; Moret, M. Self-affinity in the dengue fever time series. Int. J. Mod. Phys. C 2016, 27, 1650143. [Google Scholar] [CrossRef]
- Filho, A.S.N.; Murari, T.B.; Ferreira, P.; Saba, H.; Moret, M.A. A spatio-temporal analysis of dengue spread in a Brazilian dry climate region. Sci. Rep. 2021, 11, 11892. [Google Scholar] [CrossRef]
- Oliveira, J.B.; Murari, T.B.; Nascimento Filho, A.S.; Saba, H.; Moret, M.A.; Cardoso, C.A.L. Paradox between adequate sanitation and rainfall in dengue fever cases. Sci. Total. Environ. 2023, 860, 160491. [Google Scholar] [CrossRef] [PubMed]
- Kristoufek, L. Measuring correlations between non-stationary series with DCCA coefficient. Phys. A Stat. Mech. Its Appl. 2014, 402, 291–298. [Google Scholar] [CrossRef]
- Dong, K.; Gao, Y.; Jing, L. Correlation tests of the engine performance parameter by using the detrended cross-correlation coefficient. J. Korean Phys. Soc. 2015, 66, 539–543. [Google Scholar] [CrossRef]
- Piao, L.; Fu, Z. Quantifying distinct associations on different temporal scales: Comparison of DCCA and Pearson methods. Sci. Rep. 2016, 6, 1–11. [Google Scholar] [CrossRef] [PubMed]
- Podobnik, B.; Jiang, Z.Q.; Zhou, W.X.; Stanley, H.E. Statistical tests for power-law cross-correlated processes. Phys. Rev. E 2011, 84, 066118. [Google Scholar] [CrossRef] [PubMed]





Disclaimer/Publisher’s Note: The statements, opinions and data contained in all publications are solely those of the individual author(s) and contributor(s) and not of MDPI and/or the editor(s). MDPI and/or the editor(s) disclaim responsibility for any injury to people or property resulting from any ideas, methods, instructions or products referred to in the content. |
© 2025 by the authors. Published by MDPI on behalf of the International Institute of Knowledge Innovation and Invention. Licensee MDPI, Basel, Switzerland. This article is an open access article distributed under the terms and conditions of the Creative Commons Attribution (CC BY) license (https://creativecommons.org/licenses/by/4.0/).
Share and Cite
Murari, T.B.; Costa, R.C.d.; Pereira, H.B.d.B.; Monteiro, R.L.S.; Moret, M.A. Early Detection of Failing Lead-Acid Automotive Batteries Using the Detrended Cross-Correlation Analysis Coefficient. Appl. Syst. Innov. 2025, 8, 29. https://doi.org/10.3390/asi8020029
Murari TB, Costa RCd, Pereira HBdB, Monteiro RLS, Moret MA. Early Detection of Failing Lead-Acid Automotive Batteries Using the Detrended Cross-Correlation Analysis Coefficient. Applied System Innovation. 2025; 8(2):29. https://doi.org/10.3390/asi8020029
Chicago/Turabian StyleMurari, Thiago B., Roberto C. da Costa, Hernane B. de B. Pereira, Roberto L. S. Monteiro, and Marcelo A. Moret. 2025. "Early Detection of Failing Lead-Acid Automotive Batteries Using the Detrended Cross-Correlation Analysis Coefficient" Applied System Innovation 8, no. 2: 29. https://doi.org/10.3390/asi8020029
APA StyleMurari, T. B., Costa, R. C. d., Pereira, H. B. d. B., Monteiro, R. L. S., & Moret, M. A. (2025). Early Detection of Failing Lead-Acid Automotive Batteries Using the Detrended Cross-Correlation Analysis Coefficient. Applied System Innovation, 8(2), 29. https://doi.org/10.3390/asi8020029

