Utilizing Soft Computing Techniques to Estimate the Axial Permanent Deformation of Asphalt Concrete
Abstract
1. Introduction
2. Permanent Deformation Influential Factors
3. Materials and Testing
3.1. Asphalt Cement (AC)
3.2. Aggregate
3.3. Mineral Filler
3.4. Specimen Preparation
3.5. Uniaxial Repeated Loading Test
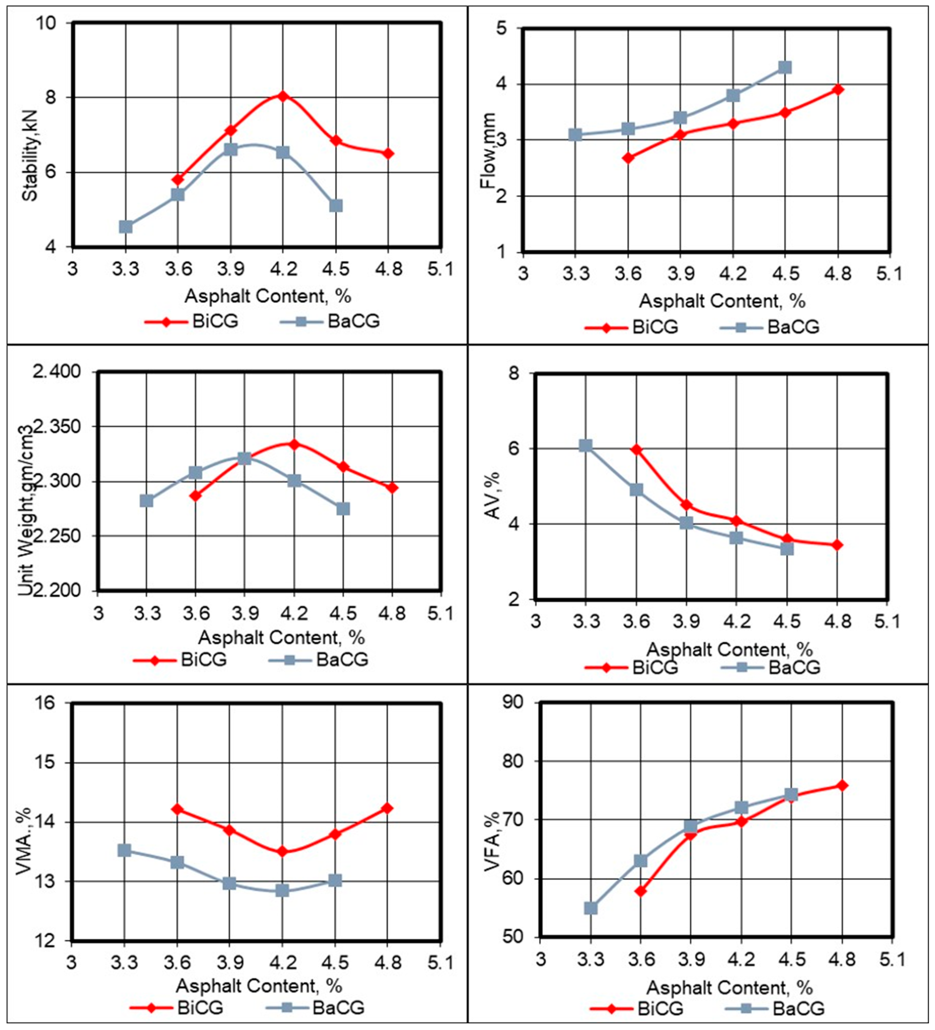
3.6. Mix Design
3.7. Factors Influencing Permanent Deformation
4. Model Development
5. Results and Analysis
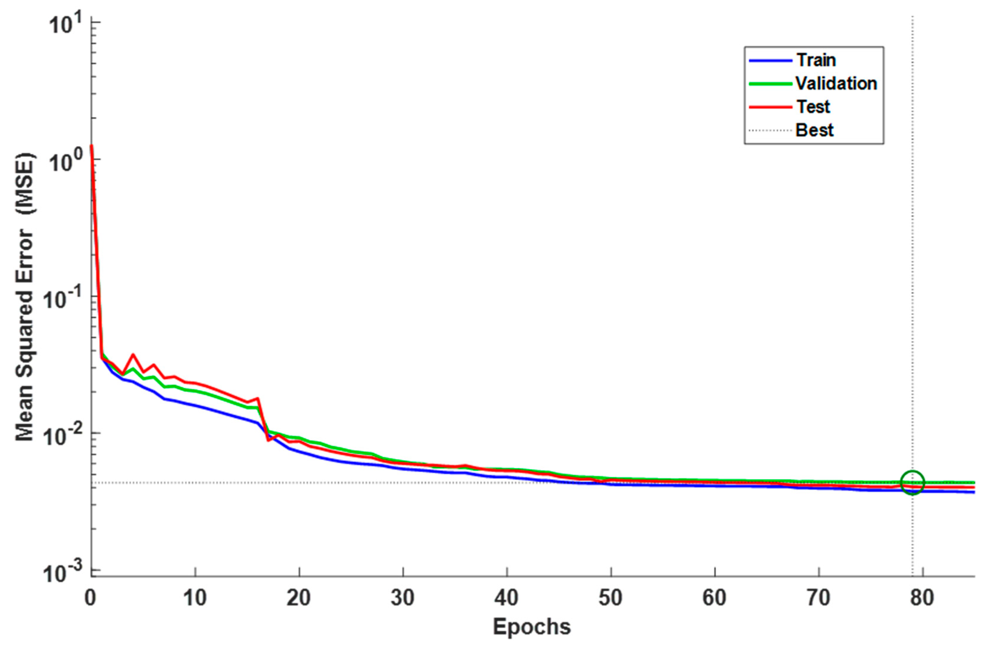
6. Conclusions
- The ANN model accurately predicted axial permanent strain (εp) in asphalt mixtures, achieving an R2 value of 0.9305 and an MSE of 0.0039.
- Seven hidden neurons were included in the optimal ANN model, resulting in reliable and consistent outcomes, making the model effective in predicting permanent deformation under various conditions.
- Based on the sensitivity analysis, aggregate passing the 4.75 mm (PPNo.4) sieve and Gmm were the most influential factors in predicting rutting, with 13% and 11.8% contribution rates, respectively.
- Permanent deformation increased with an increase in the number of applied loads and high testing temperatures, demonstrating the importance of designing asphalt mixtures based on temperature and load resistance.
- Input impact analysis showed that the normal stress levels, air voids (AV), and aggregate bulk specific gravity (Gsb) had an adverse impact on permanent deformation, while factors like temperature, asphalt content (AC), and gradation (PP1/2, PPNo.4) contributed positively to εp values.
7. Limitations and Future Research
Author Contributions
Funding
Data Availability Statement
Conflicts of Interest
References
- Pan, Y.; Guo, H.; Guan, W.; Zhao, Y. A laboratory evaluation of factors affecting rutting resistance of asphalt mixtures using wheel tracking test. Case Stud. Constr. Mater. 2023, 18, e02148. [Google Scholar] [CrossRef]
- Vámos, M.J.; Szendefy, J. Temperature effects on traffic load-induced accumulating strains in flexible pavement structures. Int. J. Pavement Res. Technol. 2024, 1, 1–12. [Google Scholar] [CrossRef]
- Zhang, Q.; Yang, S.; Chen, G. Regional variations of climate change impacts on asphalt pavement rutting distress. Transp. Res. Part D: Transp. Environ. 2024, 126, 103968. [Google Scholar] [CrossRef]
- Ahmed, F.; Thompson, J.; Kim, D.; Huynh, N.; Carroll, E. Evaluation of pavement service life using AASHTO 1972 and mechanistic-empirical pavement design guides. Int. J. Transp. Sci. Technol. 2023, 12, 46–61. [Google Scholar] [CrossRef]
- Al-Tameemi, A.F.; Wang, Y.; Albayati, A. Influence of hydrated lime on the properties and permanent deformation of the asphalt concrete layers in pavement. Rom. J. Transp. Infrastruct. 2015, 4, 1–19. [Google Scholar] [CrossRef]
- Shafabakhsh, G.; Ani, O.J.; Talebsafa, M. Artificial neural network modeling (ANN) for predicting rutting performance of nano-modified hot-mix asphalt mixtures containing steel slag aggregates. Constr. Build. Mater. 2015, 85, 136–143. [Google Scholar] [CrossRef]
- Joumblat, R.; Al Basiouni Al Masri, Z.; Al Khateeb, G.; Elkordi, A.; El Tallis, A.R.; Absi, J. State-of-the-art review on permanent deformation characterization of asphalt concrete pavements. Sustainability 2023, 15, 1166. [Google Scholar] [CrossRef]
- Cano-Ortiz, S.; Pascual-Muñoz, P.; Castro-Fresno, D. Machine learning algorithms for monitoring pavement performance. Autom. Constr. 2022, 139, 104309. [Google Scholar] [CrossRef]
- Jweihan, Y.S.; Romanoschi, S.A.; Al-Kheetan, M.J.; Tarawneh, A.; Momani, Y.; Alrwashdeh, S.S.; Grujicic, M.J. Improvements to the duplicate shear test (DST) device for measuring the fundamental shear properties of asphalt concrete mixes. Int. J. Pavement Res. Technol. 2023, 16, 1255–1266. [Google Scholar] [CrossRef]
- Sun, Y.; He, D.; Li, J. Research on the fatigue life prediction for a new modified asphalt mixture of a support vector machine based on particle swarm optimization. Appl. Sci. 2021, 11, 11867. [Google Scholar] [CrossRef]
- Luo, Y.; Guo, P.; Gao, J.; Chen, Y.; Zhou, D.; Hu, J. Prediction and evaluation the moisture damage resistance of rejuvenated asphalt mixtures based on neural network. Constr. Build. Mater. 2023, 378, 131130. [Google Scholar] [CrossRef]
- Yang, X.; Guan, J.; Ding, L.; You, Z.; Lee, V.C.; Hasan, M.R.M.; Cheng, X. Research and applications of artificial neural network in pavement engineering: A state-of-the-art review. J. Traffic Transp. Eng. (Engl. Ed.) 2021, 8, 1000–1021. [Google Scholar] [CrossRef]
- Abambres, M.; Ferreira, A. Application of ANN in pavement engineering: State-of-art. Authorea Preprints 2023. [Google Scholar] [CrossRef]
- Yu, S.; Shen, S.; Lu, M. Data sensing and compaction condition modeling for asphalt pavements. Autom. Constr. 2023, 154, 105021. [Google Scholar] [CrossRef]
- Yu, S.; Shen, S. Compaction prediction for asphalt mixtures using wireless sensor and machine learning algorithms. IEEE Trans. Intell. Transp. Syst. 2022, 24, 778–786. [Google Scholar] [CrossRef]
- Ashraf, A.; Sophian, A.; Shafie, A.A.; Gunawan, T.S.; Ismail, N.N. Machine learning-based pavement crack detection, classification, and characterization: A review. Bull. Electr. Eng. Inform. 2023, 12, 3601–3619. [Google Scholar] [CrossRef]
- Nguyen, L.N.; Le, T.-H.; Nguyen, L.Q.; Tran, V.Q. Machine learning approaches for predicting cracking tolerance index (CTIndex) of asphalt concrete containing reclaimed asphalt pavement. PLoS ONE 2023, 18, e0287255. [Google Scholar] [CrossRef]
- Hu, X.; Ishaq, A.; Khattak, A.; Chen, F. Assessment of factors affecting pavement rutting in Pakistan using finite element method and machine learning models. Sustainability 2024, 16, 2362. [Google Scholar] [CrossRef]
- SCRB/R9; General Specification for Roads and Bridges, S.R. Hot-Mix Asphalt Concrete Pavement, State Corporation of Roads and Bridges. Ministry of Housing and Construction: Baghdad, Iraq, 2003.
- Abarkan, I.; Rabi, M.; Ferreira, F.P.V.; Shamass, R.; Limbachiya, V.; Jweihan, Y.S.; Santos, L.F.P. Machine learning for optimal design of circular hollow section stainless steel stub columns: A comparative analysis with Eurocode 3 predictions. Eng. Appl. Artif. Intell. 2024, 132, 107952. [Google Scholar] [CrossRef]
- Rabi, M.; Jweihan, Y.S.; Abarkan, I.; Ferreira, F.P.V.; Shamass, R.; Limbachiya, V.; Tsavdaridis, K.D.; Santos, L.F.P. Machine learning-driven web-post buckling resistance prediction for high-strength steel beams with elliptically-based web openings. Results Eng. 2024, 21, 101749. [Google Scholar] [CrossRef]
- Jin, J.; Li, M.; Jin, L. Data normalization to accelerate training for linear neural net to predict tropical cyclone tracks. Math. Probl. Eng. 2015, 2015, 931629. [Google Scholar] [CrossRef]
- Garson, D.G. Interpreting neural network connection weights. AI Expert 1991, 6, 47–51. [Google Scholar]
- Golalipour, A.; Jamshidi, E.; Niazi, Y.; Afsharikia, Z.; Khadem, M. Effect of aggregate gradation on rutting of asphalt pavements. Procedia-Soc. Behav. Sci. 2012, 53, 440–449. [Google Scholar] [CrossRef]
- Sousa, J.B.; Craus, J.; Monismith, C. Summary Report on Permanent Deformation in Asphalt Concrete; National Research Council: Washington, DC, USA, 1991.
- Olden, J.D.; Jackson, D.A. Illuminating the “black box”: A randomization approach for understanding variable contributions in artificial neural networks. Ecol. Model. 2002, 154, 135–150. [Google Scholar] [CrossRef]
- Sousa, J.B. Asphalt-aggregate mix design using the repetitive simple shear test (constant height)(with discussion). J. Assoc. Asphalt Paving Technol. 1994, 63, 1–19. [Google Scholar]
- Witczak, M.; Kaloush, K.; Pellinen, T.; El-Basyouny, M.; Von Quintus, H. Simple Performance Test for Superpave Mix Design (Report No. 465); NCHRP: Washington, DC, USA, 2002. [Google Scholar]








| Properties | ASTM Standard | Units | Asphalt Type | Specification Limit (ASTM D 946) | ||||
|---|---|---|---|---|---|---|---|---|
| 40/50 | 60/70 | 85/100 | ||||||
| Before the Thin Film Oven Test | ||||||||
| Penetration | D5 | 1/10 mm | 46 | 66 | 89 | 40-50 | 60-70 | 85-100 |
| Specific Gravity | D70 | ---- | 1.031 | 1.024 | 1.018 | ---- | ---- | ---- |
| Flash Point | D92 | °C | 322 | 296 | 291 | >232 | >232 | >232 |
| Softening Point | D36 | °C | 49 | 42 | 38 | ---- | ---- | ---- |
| Ductility | D113 | cm | >100 | >100 | >100 | >100 | >100 | >100 |
| Rotational Viscosity | D4402 | Pa. Sec | 0.71 | 0.496 | 0.350 | ---- | ---- | ---- |
| Solubility in Trichloroethylene | D2042 | % | 99.3 | 99.3 | 99.4 | >99 | >99 | >99 |
| After Thin Film Oven Test, D1754 | ||||||||
| Retained Penetration | D5 | % | 62 | 65 | 71 | >55 | >52 | >47 |
| Ductility | D113 | cm | 60 | 80 | >100 | ---- | >50 | >75 |
| Tested Properties | Results | ASTM Standard | SCRB Requirements |
|---|---|---|---|
| Fine aggregates | |||
| Apparent specific gravity | 2.695 | C-127 | - |
| Bulk specific gravity | 2.661 | C-127 | - |
| Sand equivalent (%) | 52 | D-2419 | 45 minimum |
| Water absorption (%) | 0.901 | C-127 | - |
| Coarse aggregates | |||
| Apparent specific gravity | 2.691 | C-127 | - |
| Bulk specific gravity | 2.631 | C-127 | - |
| Los Angeles abrasion (%) | 19.3 | C-127 | 30 maximum |
| Fractured pieces (%) | 94 | C-88 | 95 minimum |
| Water absorption (%) | 0.458 | C-127 | - |
| Soundness loss by sodium sulfate solution (%) | 3.9 | C-131 | 10 maximum |
| Property | Test Results |
|---|---|
| Passing sieve No.200 (0.075 mm) | 96 |
| Specific gravity | 2.787 |
| Factor | Levels | Description |
|---|---|---|
| Asphalt content | 3 | OAC and OAC ±0.6% |
| Asphalt viscosity | 3 | 40/50, 60/70 and 85/100 |
| Aggregate gradation | 5 | WCG 1, WCG 2, WCG 3, BiCG and BaCG |
| Temperature | 7 | 20, 25, 40, 55, 60, 65 and 70 °C |
| Stress level | 6 | 44.82 (6.5 psi), 68.95 (10 psi), 89.63 (13 psi), 137.89 (20 psi), 186.15 (27 psi), and 206.84 kPa (30 psi) |
| Volumetric properties | Variables | AV, VMA, Gmm, Gmb, Gsb |
| Inputs/Output | Xmin | Xmax | Ymin | Ymax |
|---|---|---|---|---|
| n | 0 | 10,000 | −1 | 1 |
| Temp. | 20 | 70 | −1 | 1 |
| AC | 3.4 | 5.6 | −1 | 1 |
| Vis | 0.35 | 0.71 | −1 | 1 |
| Stress | 6.5 | 30 | −1 | 1 |
| PP1/2 | 68 | 96 | −1 | 1 |
| PPNo.4 | 43 | 58 | −1 | 1 |
| AV | 1.87 | 10.49 | −1 | 1 |
| VMA | 9.36 | 20.54 | −1 | 1 |
| Gmm | 2.37 | 2.52 | −1 | 1 |
| Gmb | 2.22 | 2.47 | −1 | 1 |
| Gsb | 2.53 | 2.64 | −1 | 1 |
| εp | 0.05 | 103,000 | −1 | 1 |
| Neurons | Training | Validation | Test | All Data | ||||
|---|---|---|---|---|---|---|---|---|
| R2 | MSE | R2 | MSE | R2 | MSE | R2 | MSE | |
| 3 | 0.86564 | 0.0069 | 0.71538 | 0.0087 | 0.87049 | 0.0057 | 0.87265 | 0.0078 |
| 5 | 0.89643 | 0.0058 | 0.91623 | 0.0049 | 0.89246 | 0.0051 | 0.89814 | 0.0052 |
| 7 | 0.93412 | 0.0038 | 0.92064 | 0.0043 | 0.90592 | 0.0041 | 0.9305 | 0.0039 |
| 9 | 0.92602 | 0.0038 | 0.89284 | 0.0067 | 0.93586 | 0.0042 | 0.9213 | 0.0041 |
| Neuron | w1(i,j) | w2(i) | B1(i) | |||||||||||
|---|---|---|---|---|---|---|---|---|---|---|---|---|---|---|
| n | Temp. | AC | Vis | Stress | PP1/2 | PPNo.4 | AV | VMA | Gmm | Gmb | Gsb | |||
| 1 | −0.063 | 1.362 | 0.621 | −0.309 | 0.565 | 0.909 | −1.395 | 2.534 | 0.386 | −1.548 | 1.810 | 0.197 | 0.254 | −1.010 |
| 2 | −0.906 | 2.615 | 19.854 | −0.181 | 0.857 | 13.522 | −2.743 | −1.906 | −2.915 | 40.903 | −2.121 | −22.235 | 1.693 | 1.566 |
| 3 | −5.384 | −20.487 | 6.720 | 0.558 | 1.189 | 5.493 | −7.919 | 6.953 | −14.087 | 3.908 | −5.020 | 7.584 | −0.070 | 5.314 |
| 4 | −3.833 | 1.581 | 0.697 | −0.240 | 0.665 | 1.198 | −0.801 | 2.522 | 0.375 | −0.828 | 2.461 | −0.307 | −0.340 | −4.321 |
| 5 | −24.829 | 3.567 | 12.649 | −1.086 | 0.969 | 10.043 | −4.558 | 9.975 | −10.829 | 15.669 | 5.539 | −12.805 | −1.392 | −23.011 |
| 6 | 0.874 | −1.256 | 1.529 | −0.138 | 1.005 | −2.901 | −7.176 | 2.326 | −7.482 | −0.716 | −2.387 | 3.080 | −12.994 | 4.115 |
| 7 | 0.819 | −0.175 | 0.666 | −0.141 | 0.956 | −0.243 | −4.461 | 0.367 | −2.055 | 0.767 | −0.417 | −1.619 | 12.988 | 3.497 |
Disclaimer/Publisher’s Note: The statements, opinions and data contained in all publications are solely those of the individual author(s) and contributor(s) and not of MDPI and/or the editor(s). MDPI and/or the editor(s) disclaim responsibility for any injury to people or property resulting from any ideas, methods, instructions or products referred to in the content. |
© 2025 by the authors. Published by MDPI on behalf of the International Institute of Knowledge Innovation and Invention. Licensee MDPI, Basel, Switzerland. This article is an open access article distributed under the terms and conditions of the Creative Commons Attribution (CC BY) license (https://creativecommons.org/licenses/by/4.0/).
Share and Cite
Albayati, A.H.; Jweihan, Y.S.; Al-Kheetan, M.J. Utilizing Soft Computing Techniques to Estimate the Axial Permanent Deformation of Asphalt Concrete. Appl. Syst. Innov. 2025, 8, 26. https://doi.org/10.3390/asi8020026
Albayati AH, Jweihan YS, Al-Kheetan MJ. Utilizing Soft Computing Techniques to Estimate the Axial Permanent Deformation of Asphalt Concrete. Applied System Innovation. 2025; 8(2):26. https://doi.org/10.3390/asi8020026
Chicago/Turabian StyleAlbayati, Amjad H., Yazeed S. Jweihan, and Mazen J. Al-Kheetan. 2025. "Utilizing Soft Computing Techniques to Estimate the Axial Permanent Deformation of Asphalt Concrete" Applied System Innovation 8, no. 2: 26. https://doi.org/10.3390/asi8020026
APA StyleAlbayati, A. H., Jweihan, Y. S., & Al-Kheetan, M. J. (2025). Utilizing Soft Computing Techniques to Estimate the Axial Permanent Deformation of Asphalt Concrete. Applied System Innovation, 8(2), 26. https://doi.org/10.3390/asi8020026

