Piezoelectric and Electromechanical Characteristics of Porous Poly(Ethylene-co-Vinyl Acetate) Copolymer Films for Smart Sensors and Mechanical Energy Harvesting Applications
Abstract
:1. Introduction
2. Materials, Process, and Characterizations
2.1. Materials Preparation
2.2. Electrical Charging/Ionization Process
2.3. Physical Characterizations
2.4. Experimental Harvesting Energy Test
3. Results and Discussions
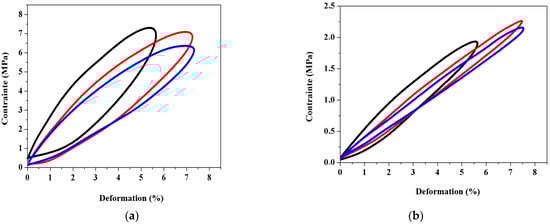
3.1. Mechanical Characterization
3.2. Influence of Environment Temperature and Time on the Piezoelectric Properties
3.3. Energy Harvesting Study
3.3.1. Piezoelectric Harvested Current Model
3.3.2. Energy Harvesting Results
4. Conclusions
Author Contributions
Funding
Institutional Review Board Statement
Informed Consent Statement
Data Availability Statement
Conflicts of Interest
References
- Yang, L.; Chi, S.; Dong, S.; Yuan, F.; Wang, Z.; Lei, J.; Bao, L.; Xiang, J.; Wang, J. Preparation and characterization of a novel piezoelectric nanogenerator based on soluble and meltable copolyimide for harvesting mechanical energy. Nano Energy 2019, 67, 104220. [Google Scholar] [CrossRef]
- Marwane, E.R. Lithium-ion battery modeling using equivalent circuit model. Int. J. Eng. Appl. Phys. 2021, 1, 48–60. [Google Scholar]
- Jain, A.; Prashanth, K.J.; Sharma, A.K.; Jain, A.; Rashmi, P.N. Dielectric and piezoelectric properties of PVDF/PZT composites: A review. Polym. Eng. Sci. 2015, 55, 1589–1616. [Google Scholar] [CrossRef]
- Zhang, Y.; Liu, X.; Wang, G.; Li, Y.; Zhang, S.; Wang, D.; Sun, H. Enhanced mechanical energy harvesting capability in sodium bismuth titanate based lead-free piezoelectric. J. Alloy. Compd. 2020, 825, 154020. [Google Scholar] [CrossRef]
- Rjafallah, A.; Hajjaji, A.; Guyomar, D.; Kandoussi, K.; Belhora, F.; Boughaleb, Y. Modeling of polyurethane/lead zirconate titanate composites for vibration energy harvesting. J. Compos. Mater. 2018, 53, 613–623. [Google Scholar] [CrossRef]
- Ennawaoui, C.; Lifi, H.; Hajjaji, A.; Elballouti, A.; Laasri, S.; Azim, A.-E. Mathematical modeling of mass spring’s system: Hybrid speed bumps application for mechanical energy harvesting. Eng. Solid Mech. 2019, 7, 47–58. [Google Scholar] [CrossRef]
- Ennawaoui, C.; Hajjaji, A.; Elballouti, A.; Azeddine, A.Z.I.M. Smart speed bump for mechanical energy harvesting from roads. Int. J. Eng. Appl. Phys. 2021, 1, 61–66. [Google Scholar]
- Zhang, Y.; Bowen, C.R.; Ghosh, S.K.; Mandal, D.; Khanbareh, H.; Arafa, M.; Wan, C. Ferroelectret materials and devices for energy harvesting applications. Nano Energy 2018, 57, 118–140. [Google Scholar] [CrossRef]
- Drozdov, A.D.; Christiansen, J.D.C. The effect of porosity on elastic moduli of polymer foams. J. Appl. Polym. Sci. 2019, 137, 48449. [Google Scholar] [CrossRef]
- Lifi, H.; Ennawaoui, C.; Hajjaji, A.; Touhtouh, S.; Laasri, S.; Yessari, M.; Benjelloun, M. Sensors and energy harvesters based on (1–x)PMN-xPT piezoelectric ceramics. Eur. Phys. J. Appl. Phys. 2019, 88, 10901. [Google Scholar] [CrossRef]
- Elhmamsy, Y.; Ennawaoui, C.; Hajjaji, A.; Boughaleb, Y. Theoretical study and Simulation method for optimizing the performance of advanced energy harvesting techniques. Mater. Sci. Eng. 2020, 948, 012014. [Google Scholar] [CrossRef]
- Rjafallah, A.; Hajjaji, A.; Belhora, F.; Ballouti, A.; Touhtouh, S.; Guyomar, D.; Boughaleb, Y. PZT ceramic particles/polyurethane composites formalism for mechanical energy harvesting. Eur. Phys. J. Appl. Phys. 2020, 89, 30901. [Google Scholar] [CrossRef]
- Qaiss, A.; Saidi, H.; Fassi-Fehri, O.; Bousmina, M. Porosity formation by biaxial stretching in polyolefin films filled with calcium carbonate particles. J. Appl. Polym. Sci. 2011, 123, 3425–3436. [Google Scholar] [CrossRef]
- Rjafallah, A.; Hajjaji, A.; Belhora, F.; Guyomar, D.; Seveyrat, L.; EL Otmani, R.; Boughaleb, Y. Mechanical energy harvesting using polyurethane/lead zirconate titanate composites. J. Compos. Mater. 2017, 52, 1171–1182. [Google Scholar] [CrossRef]
- Yang, K.; Rongong, J.A.; Worden, K. Damage detection in a laboratory wind turbine blade using techniques of ultrasonic NDT and SHM. Strain 2018, 54, e12290. [Google Scholar] [CrossRef]
- Zhang, X.; Pondrom, P.; Sessler, G.M.; Ma, X. Ferroelectret nanogenerator with large transverse piezoelectric activity. Nano Energy 2018, 50, 52–61. [Google Scholar] [CrossRef]
- Kachroudi, A.; Basrour, S.; Rufer, L.; Jomni, F. Air-spaced PDMS piezo-electret cantilevers for vibration energy harvesting. J. Phys. Conf. Ser. 2016, 773, 012072. [Google Scholar] [CrossRef]
- Hanana, F.E.; Chimeni, D.Y.; Rodrigue, D. Morphology and mechanical properties of maple reinforced LLDPE produced by rotational moulding: Effect of fibre content and surface treatment. Polym. Compos. 2018, 26, 299–308. [Google Scholar] [CrossRef]
- Wegener, M.; Gerhard-Multhaupt, R.; Bergweiler, S.; Wirges, W.; Pucher, A. Voided space-charge electrets? Piezoelectric transducer materials for electro-acoustic applications. In Proceedings of the Audio Engineering Society Convention 116, Berlin/Heidelberg, Germany, 8–11 May 2004. [Google Scholar]
- Duc, C.; Stoclet, G.; Soulestin, J.; Samuel, C. Poly(ethylene oxide)/PEDOT: PSS blends: An efficient route to highly conductive thermoplastic materials for melt-state extrusion processing? ACS Appl. Polym. Mater. 2020, 2, 2366–2379. [Google Scholar] [CrossRef]
- Cui, H.; Hensleigh, R.; Yao, D.; LoPinto, D.; Zheng, X. Three-dimensional printing of piezoelectric materials with designed anisotropy and their applications in underwater transducers. Bull. Am. Phys. Soc. 2020, 65, 1. [Google Scholar]
- Mooney, D.; Baldwin, D.F.; Suh, N.P.; Vacanti, J.P.; Langer, R. Novel approach to fabricate porous sponges of poly(d,l-lactic-co-glycolic acid) without the use of organic solvents. Biomaterials 1996, 17, 1417–1422. [Google Scholar] [CrossRef]
- Hmamsy, Y.; Ennawaoui, C.; Najihi, I.; Hajjaji, A. The synchronized electrical charge extraction regulator for harvesting energy using piezoelectric materials. In Proceedings of the International Conference on Digital Technologies and Applications, Fez, Morocco, 29–30 January 2021. [Google Scholar]
- Schmidt, R.H.; Mosbach, K.; Haupt, K. A simple method for spin-coating molecularly imprinted polymer films of controlled thickness and porosity. Adv. Mater. 2004, 16, 719–722. [Google Scholar] [CrossRef]
- Wegener, M.; Bauer, S. Microstorms in cellular polymers: A route to soft piezoelectric transducer materials with engineered macroscopic dipoles. Chem. Phys. Chem. 2005, 6, 1014–1025. [Google Scholar] [CrossRef] [PubMed]
- Khan, T.; Acar, V.; Aydin, M.R.; Hülagü, B.; Akbulut, H.; Seydibeyoğlu, M. A review on recent advances in sandwich structures based on polyurethane foam cores. Polym. Compos. 2020, 41, 2355–2400. [Google Scholar] [CrossRef]
- Qaiss, A.E.K.; Bousmina, M. Biaxial stretching of polymers using a novel and versatile stretching system. Polym. Eng. Sci. 2011, 51, 1347–1353. [Google Scholar] [CrossRef]
- Wegener, M.; Bergweiler, S.; Wirges, W.; Pucher, A.; Tuncer, E.; Gerhard-Multhaupt, R. Piezoelectric two-layer stacks of cellular polypropylene ferroelectrets: Transducer response at audio and ultrasound frequencies. IEEE Trans. Ultrason. Ferroelectr. Freq. Control. 2005, 52, 1601–1607. [Google Scholar] [CrossRef]
- Qaiss, A.; Saidi, H.; Fassi-Fehri, O.; Bousmina, M. Theoretical modeling and experiments on the piezoelectric coefficient in cellular polymer films. Polym. Eng. Sci. 2012, 53, 105–111. [Google Scholar] [CrossRef]
- Bai, B.; Zhou, J.; Yin, M. A comprehensive review of polyacrylamide polymer gels for conformance control. Pet. Explor. Dev. 2015, 42, 525–532. [Google Scholar] [CrossRef]
- Liu, T.; Peng, X.-F.; Mi, H.-Y.; Li, H.; Turng, L.-S.; Xu, B.-P. Preparation of fast-degrading poly(lactic acid)/soy protein concentrate biocomposite foams via supercritical CO2 foaming. Polym. Eng. Sci. 2019, 59, 1753–1762. [Google Scholar] [CrossRef]
- Handa, Y.P.; Zhang, Z. A new technique for measuring retrograde vitrification in polymer-gas systems and for making ultramicrocellular foams from the retrograde phase. J. Polym. Sci. 2000, 38, 716–725. [Google Scholar] [CrossRef]
- Hmamsy, Y.; Ennawaoui, C.; Hajjaji, A. Study and design the circuit for piezoelectric vibration energy harvester to charge a datalogger. Int. J. Eng. Appl. Phys. 2021, 1, 18–25. [Google Scholar]
- Neef, A.; Samuel, C.; Stoclet, G.; Rguiti, M.; Courtois, C.; Dubois, P.; Soulestin, J.; Raquez, J.-M. Processing of PVDF-based electroactive/ferroelectric films: Importance of PMMA and cooling rate from the melt state on the crystallization of PVDF beta-crystals. Soft Matter 2018, 14, 4591–4602. [Google Scholar] [CrossRef] [PubMed]
- Ennawaoui, C.; Hajjaji, A.; Azim, A.; Boughaleb, Y. Theoretical modeling of power harvested by piezo-cellular polymers. Mol. Cryst. Liq. Cryst. 2016, 628, 49–54. [Google Scholar] [CrossRef]
- Wirges, W.; Wegener, M.; Voronina, O.; Zirkel, L.; Gerhard-Multhaupt, R. Optimized preparation of elastically soft, highly piezoelectric, cellular ferroelectrets from nonvoided poly (ethylene terephthalate) films. Adv. Funct. Mater. 2007, 17, 324–329. [Google Scholar] [CrossRef]
- Ma, N.; Yang, Y. Enhanced self-powered UV photoresponse of ferroelectric BaTiO3 materials by pyroelectric effect. Nano Energy 2017, 40, 352–359. [Google Scholar] [CrossRef]
- Yan, S.; Lu, J.; Song, W.; Xiao, R. Flexible triboelectric nanogenerator based on cost-effective thermoplastic polymeric nanofiber membranes for body-motion energy harvesting with high humidity-resistance. Nano Energy 2018, 48, 248–255. [Google Scholar] [CrossRef]
- Mokhtari, F.; Shamshirsaz, M.; Latifi, M. Investigation of β phase formation in piezoelectric response of electrospun polyvinylidene fluoride nanofibers: LiCl additive and increasing fibers tension. Polym. Eng. Sci. 2015, 56, 61–70. [Google Scholar] [CrossRef]
- Malki, Z.; Ennawaoui, C.; Hajjaji, A.; Najihi, I.; ElJouad, M.; Boughaleb, Y. Pedestrian crossing system for the mechanical energy harvesting using piezoelectric materials. Mater. Sci. Eng. 2020, 948, 012030. [Google Scholar] [CrossRef]
- Pointner, T.; Wegener, M. Low voltage driven dielectric membrane actuators integrated into fast switching electronic circuit boards. Smart Mater. Struct. 2019, 28, 084002. [Google Scholar] [CrossRef]
- Cao, Y.; Figueroa, J.; Pastrana, J.J.; Li, W.; Chen, Z.; Wang, Z.L.; Sepúlveda, N. Flexible ferroelectret polymer for self-powering devices and energy storage systems. ACS Appl. Mater. Interfaces 2019, 11, 17400–17409. [Google Scholar] [CrossRef]
- Hamdi, O.; Mighri, F.; Rodrigue, D. Piezoelectric property improvement of polyethylene ferroelectrets using postprocessing thermal-pressure treatment. Polym. Adv. Technol. 2018, 30, 153–161. [Google Scholar] [CrossRef] [Green Version]
- Wu, W.; Kurup, S.N.; Ellingford, C.; Li, J.; Wan, C. Coupling dynamic covalent bonds and ionic crosslinking network to promote shape memory properties of ethylene-vinyl acetate copolymers. Polymers 2020, 12, 983. [Google Scholar] [CrossRef] [PubMed] [Green Version]
- Allan, J.M.; Mumin, A.; Wood, J.A.; Xu, W.Z.; Wu, W.; Charpentier, P.A. Silica aerogel-poly(ethylene-co-vinyl acetate) composite for transparent heat retention films. J. Polym. Sci. 2014, 52, 927–935. [Google Scholar] [CrossRef]
- Ennawaoui, C.; Lifi, H.; Hajjaji, A.; Samuel, C.; Rguiti, M.; Touhtouh, S.; Courtois, C. Dielectric and mechanical optimization properties of porous poly (ethylene-co-vinyl acetate) copolymer films for pseudo-piezoelectric effect. Polym. Eng. Sci. 2019, 59, 1455–1461. [Google Scholar] [CrossRef]
- Kanzaoui, M.; Ennawaoui, C.; Eladaoui, S.; Hajjaji, A.; Guenbour, A.; Boussen, R. Study of the physical behavior of a new composite material based on fly ash from the combustion of coal in an ultra-supercritical thermal power plant. J. Compos. Sci. 2021, 5, 151. [Google Scholar] [CrossRef]











| Samples | Before Extrusion | After Extrusion | |||
|---|---|---|---|---|---|
| Ethylene (%) | Vinyl Acetate (%) | Hydrocerol (%) | Poly(Ethylene-co-Vinyl Acetate) (%) | Porosity (%) | |
| EVA 0 | 86 | 14 | 0 | 100 | 0 |
| EVA 1 | 85 | 14 | 1 | 63 | 37 |
| EVA 2 | 84 | 14 | 2 | 35 | 65 |
| Material Proprieties | EVA 0% | EVA 37% | EVA 65% |
|---|---|---|---|
| Young Modulus (MPa) | 29 | 25 | 20 |
| Depolarization Temperature (°C) | 74 | 67 | 61 |
| Strain limit (%) | 24 | 27 | 31 |
| Piezoelectric Coefficient d33 (pC/N) | 2.2 | 4.2 | 5.1 |
| Time after deionization | 30 h | 33 days | 59 days |
| Relative Permittivity | 3.6 | 5.1 | 5.7 |
Publisher’s Note: MDPI stays neutral with regard to jurisdictional claims in published maps and institutional affiliations. |
© 2021 by the authors. Licensee MDPI, Basel, Switzerland. This article is an open access article distributed under the terms and conditions of the Creative Commons Attribution (CC BY) license (https://creativecommons.org/licenses/by/4.0/).
Share and Cite
Ennawaoui, C.; Hajjaji, A.; Samuel, C.; Sabani, E.; Rjafallah, A.; Najihi, I.; Laadissi, E.M.; Loualid, E.M.; Rguiti, M.; Ballouti, A.E.; et al. Piezoelectric and Electromechanical Characteristics of Porous Poly(Ethylene-co-Vinyl Acetate) Copolymer Films for Smart Sensors and Mechanical Energy Harvesting Applications. Appl. Syst. Innov. 2021, 4, 57. https://doi.org/10.3390/asi4030057
Ennawaoui C, Hajjaji A, Samuel C, Sabani E, Rjafallah A, Najihi I, Laadissi EM, Loualid EM, Rguiti M, Ballouti AE, et al. Piezoelectric and Electromechanical Characteristics of Porous Poly(Ethylene-co-Vinyl Acetate) Copolymer Films for Smart Sensors and Mechanical Energy Harvesting Applications. Applied System Innovation. 2021; 4(3):57. https://doi.org/10.3390/asi4030057
Chicago/Turabian StyleEnnawaoui, Chouaib, Abdelowahed Hajjaji, Cédric Samuel, Erroumayssae Sabani, Abdelkader Rjafallah, Ikrame Najihi, El Mehdi Laadissi, El Mehdi Loualid, Mohamed Rguiti, Abdessamad El Ballouti, and et al. 2021. "Piezoelectric and Electromechanical Characteristics of Porous Poly(Ethylene-co-Vinyl Acetate) Copolymer Films for Smart Sensors and Mechanical Energy Harvesting Applications" Applied System Innovation 4, no. 3: 57. https://doi.org/10.3390/asi4030057
APA StyleEnnawaoui, C., Hajjaji, A., Samuel, C., Sabani, E., Rjafallah, A., Najihi, I., Laadissi, E. M., Loualid, E. M., Rguiti, M., Ballouti, A. E., & Azim, A. (2021). Piezoelectric and Electromechanical Characteristics of Porous Poly(Ethylene-co-Vinyl Acetate) Copolymer Films for Smart Sensors and Mechanical Energy Harvesting Applications. Applied System Innovation, 4(3), 57. https://doi.org/10.3390/asi4030057

