The Evaluation of Non-Destructive Tests for the Strength and Physical Properties of Granite, Marble, and Sandstone: A Case Study from North Pakistan
Abstract
1. Introduction
2. Geology of the Study Area
2.1. Malakand Granite
2.2. Utla Granite
2.3. Nowshera Formation
2.4. Murree Formation
3. Materials and Methods
Regression Analysis
4. Results
4.1. Petrographic Observation
4.1.1. Granite
4.1.2. Marble
4.1.3. Sandstone
4.2. Physical and Strength Properties
5. Discussion
5.1. Factors Affecting NDTs
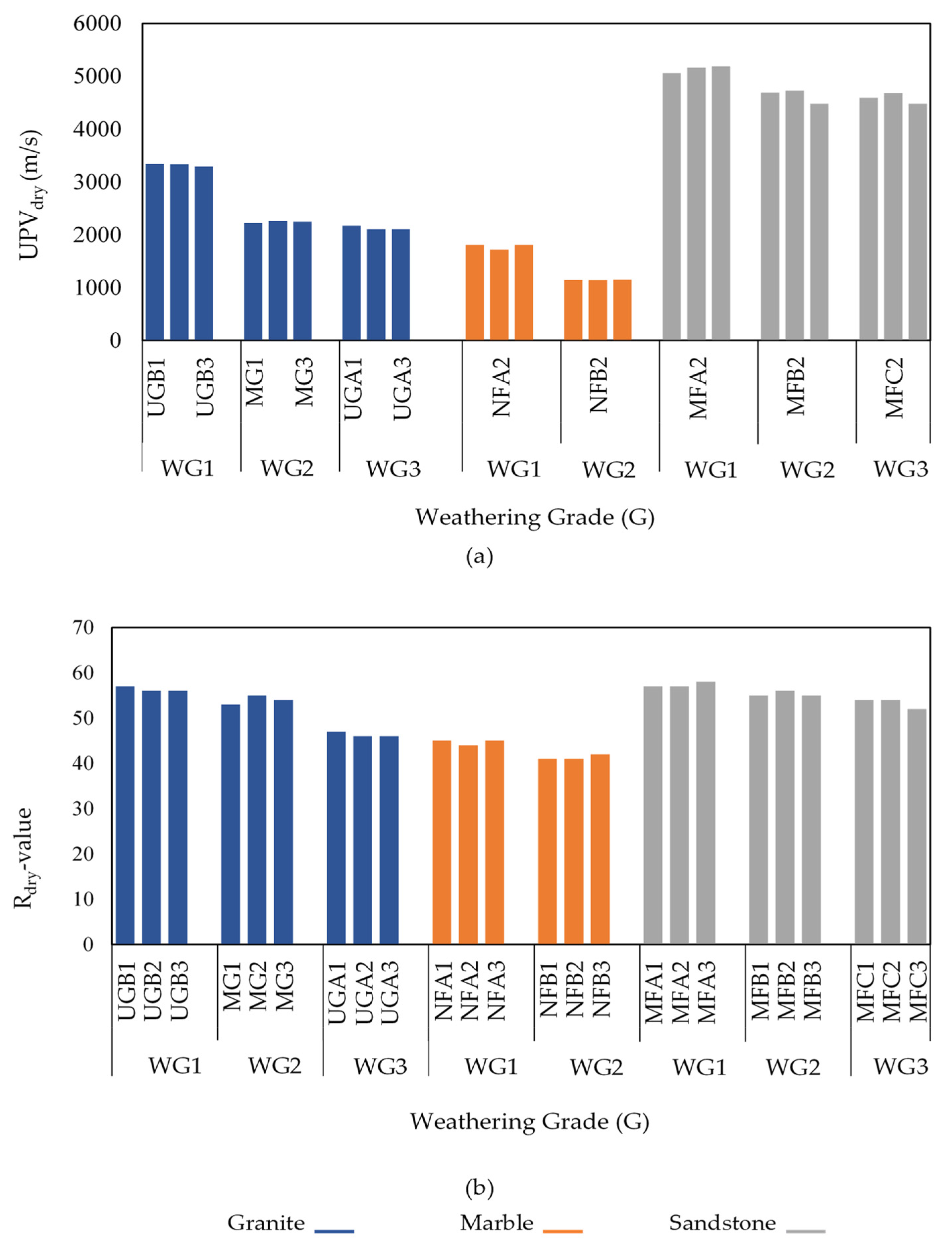
5.1.1. Weathering Grade
5.1.2. Moisture Content and Porosity
5.1.3. Correlation between NDTS and Physical Properties
5.1.4. Correlation between NDTS and Strength Properties
6. Conclusions
Author Contributions
Funding
Data Availability Statement
Acknowledgments
Conflicts of Interest
References
- Li, D.; Armaghani, D.J.; Zhou, J.; Lai, S.H.; Hasanipanah, M. A GMDH predictive model to predict rock material strength using three non-destructive tests. J. Nondestruct. Eval. 2020, 39, 1–14. [Google Scholar] [CrossRef]
- Parsajoo, M.; Armaghani, D.J.; Mohammed, A.S.; Khari, M.; Jahandari, S. Tensile strength prediction of rock material using non-destructive tests: A comparative intelligent study. Transp. Geotech. 2021, 31, 100652. [Google Scholar] [CrossRef]
- Pereira, M.L.; da Silva, P.F.; Fernandes, I.; Chastre, C. Characterization and correlation of engineering properties of basalts. Bull. Eng. Geol. Environ. 2021, 80, 2889–2910. [Google Scholar] [CrossRef]
- Malek, J.; Kaouther, M. Destructive and non-destructive testing of concrete structures. Jordan J. Civ. Eng. 2014, 159, 1–10. [Google Scholar]
- Gupta, M.; Khan, M.A.; Butola, R.; Singari, R.M. Advances in applications of Non-Destructive Testing (NDT): A review. Adv. Mater. Process. Technol. 2021, 8, 2286–2307. [Google Scholar] [CrossRef]
- Özdemir, E. A New Predictive Model for Uniaxial Compressive Strength of Rock Using Machine Learning Method: Artificial Intelligence-Based Age-Layered Population Structure Genetic Programming (ALPS-GP). Arab. J. Sci. Eng. 2022, 47, 629–639. [Google Scholar] [CrossRef]
- Aldeeky, H.; Al Hattamleh, O. Prediction of engineering properties of basalt rock in Jordan using ultrasonic pulse velocity test. Geotech. Geol. Eng. 2018, 36, 3511–3525. [Google Scholar] [CrossRef]
- Barham, W.S.; Rabab’ah, S.R.; Aldeeky, H.H.; Al Hattamleh, O.H. Mechanical and physical based artificial neural network models for the prediction of the unconfined compressive strength of rock. Geotech. Geol. Eng. 2020, 38, 4779–4792. [Google Scholar] [CrossRef]
- Hayat, M.; Ur Rehman, A.; Ali, D.; Saleem, A.; Mustafa, N. Developing Empirical Models for Uniaxial Compressive Strength Prediction by Using Non-Destructive Test Results. J. Min. Sci. 2019, 55, 883–892. [Google Scholar] [CrossRef]
- Martín-del-Rio, J.J.; Canivell, J.; Falcon, R.M. The use of non-destructive testing to evaluate the compressive strength of a lime-stabilised rammed-earth wall: Rebound index and ultrasonic pulse velocity. Constr. Build. Mater. 2020, 242, 118060. [Google Scholar] [CrossRef]
- Arman, H.; Paramban, S. Dimensional Effects on Dynamic Properties and the Relationships between Ultrasonic Pulse Velocity and Physical Properties of Rock Under Various Environmental Conditions. Geotech. Geol. Eng. 2021, 39, 3947–3957. [Google Scholar] [CrossRef]
- Aydin, T.Y.; Kucukkose, A. Ultrasonic testing and evaluation of moisture-dependent elastic properties of fir wood. Mater. Test. 2020, 62, 1059–1064. [Google Scholar] [CrossRef]
- Fioretti, G.; Andriani, G.F. Ultrasonic wave velocity measurements for detecting decay in carbonate rocks. Q. J. Eng. Geol. Hydrogeol. 2018, 51, 179–186. [Google Scholar] [CrossRef]
- Kahraman, S. The correlations between the saturated and dry P-wave velocity of rocks. Ultrasonics 2007, 46, 341–348. [Google Scholar] [CrossRef]
- Janjuhah, H.T.; Alansari, A.; Vintaned, J.A.G. Quantification of microporosity and its effect on permeability and acoustic velocity in Miocene carbonates, Central Luconia, offshore Sarawak, Malaysia. J. Pet. Sci. Eng. 2019, 175, 108–119. [Google Scholar] [CrossRef]
- Yasir, M.; Ahmed, W.; Islam, I.; Sajid, M.; Janjuhah, H.T.; Kontakiotis, G. Composition, Texture, and Weathering Controls on the Physical and Strength Properties of Selected Intrusive Igneous Rocks from Northern Pakistan. Geosciences 2022, 12, 273. [Google Scholar] [CrossRef]
- Asteris, P.G.; Mamou, A.; Hajihassani, M.; Hasanipanah, M.; Koopialipoor, M.; Le, T.-T.; Kardani, N.; Armaghani, D. Soft computing based closed form equations correlating L and N-type Schmidt hammer rebound numbers of rocks. Transp. Geotech. 2021, 29, 100588. [Google Scholar] [CrossRef]
- Wang, M.; Wan, W. A new empirical formula for evaluating uniaxial compressive strength using the Schmidt hammer test. Int. J. Rock Mech. Min. Sci. 2019, 123, 104094. [Google Scholar] [CrossRef]
- Fereidooni, D.; Khajevand, R. Determining the geotechnical characteristics of some sedimentary rocks from Iran with an emphasis on the correlations between physical, index, and mechanical properties. Geotech. Test. J. 2018, 41, 555–573. [Google Scholar] [CrossRef]
- Jamshidi, A.; Nikudel, M.R.; Khamehchiyan, M.; Sahamieh, R.Z.; Abdi, Y. A correlation between P-wave velocity and Schmidt hardness with mechanical properties of travertine building stones. Arab. J. Geosci. 2016, 9, 568. [Google Scholar] [CrossRef]
- Jobli, A.F.; Hampden, A.Z.; Tawie, R. The role of ultrasonic velocity and Schmidt hammer hardness-The simple and economical non-destructive test for the evaluation of mechanical properties of weathered granite. AIP Conf. Proc. 2017, 1875, 030005. [Google Scholar]
- Vasanelli, E.; Colangiuli, D.; Calia, A.; Sileo, M.; Aiello, M.A. Ultrasonic pulse velocity for the evaluation of physical and mechanical properties of a highly porous building limestone. Ultrasonics 2015, 60, 33–40. [Google Scholar] [CrossRef] [PubMed]
- Borrelli, L.; Greco, R.; Gullà, G. Weathering grade of rock masses as a predisposing factor to slope instabilities: Reconnaissance and control procedures. Geomorphology 2007, 87, 158–175. [Google Scholar] [CrossRef]
- Pan, X.-P.; Zhang, G.-Z.; Chen, J.-J. The construction of shale rock physics model and brittleness prediction for high-porosity shale gas-bearing reservoir. Pet. Sci. 2020, 17, 658–670. [Google Scholar] [CrossRef]
- Islam, I.; Ahmed, W.; Rashid, M.U.; Orakzai, A.U.; Ditta, A. Geophysical and geotechnical characterization of shallow subsurface soil: A case study of University of Peshawar and surrounding areas. Arab. J. Geosci. 2020, 13, 949. [Google Scholar] [CrossRef]
- Karaman, K.; Kesimal, A. Evaluation of the influence of porosity on the engineering properties of volcanic rocks from the Eastern Black Sea Region: NE Turkey. Arab. J. Geosci. 2015, 8, 557–564. [Google Scholar] [CrossRef]
- Aşcı, M.; Kaplanvural, İ.; Karakaş, A.; Şahin, Ö.; Kurtuluş, C. Correlation of physical and mechanical properties with ultrasonic pulse velocities of sandstones in Çenedağ, Kocaeli-Turkey. Int. J. Adv. Geosci. 2017, 5, 109–115. [Google Scholar] [CrossRef][Green Version]
- Khandelwal, M. Correlating P-wave Velocity with the Physico-Mechanical Properties of Different Rocks. Pure Appl. Geophys. 2012, 170, 507–514. [Google Scholar] [CrossRef]
- Moradian, Z.; Behnia, M. Predicting the uniaxial compressive strength and static Young’s modulus of intact sedimentary rocks using the ultrasonic test. Int. J. Geomech. 2009, 9, 14–19. [Google Scholar] [CrossRef]
- Mishra, D.; Basu, A. Estimation of uniaxial compressive strength of rock materials by index tests using regression analysis and fuzzy inference system. Eng. Geol. 2013, 160, 54–68. [Google Scholar] [CrossRef]
- Kılıç, A.; Teymen, A. Determination of mechanical properties of rocks using simple methods. Bull. Eng. Geol. Environ. 2008, 67, 237–244. [Google Scholar] [CrossRef]
- Strzałkowski, P.; Köken, E. Assessment of Böhme Abrasion Value of Natural Stones through Artificial Neural Networks (ANN). Materials 2022, 15, 2533. [Google Scholar] [CrossRef] [PubMed]
- Adam Mohammed, A.A.; Fener, M.; Comakli, R.; İnce, İ.; Balci, M.C.; Kayabalı, K. Investigation of the relationships between basic physical and mechanical properties and abrasion wear resistance of several natural building stones used in Turkey. J. Build. Eng. 2021, 42, 103084. [Google Scholar] [CrossRef]
- Asif, A.R.; Islam, I.; Ahmed, W.; Sajid, M.; Qadir, A.; Ditta, A. Exploring the potential of Eocene carbonates through petrographic, geochemical, and geotechnical analyses for their utilization as aggregates for engineering structures. Arab. J. Geosci. 2022, 15, 1–19. [Google Scholar] [CrossRef]
- Islam, F.; Ahmad, M.N.; Janjuhah, H.T.; Ullah, M.; Islam, I.U.; Kontakiotis, G.; Skilodimou, H.D.; Bathrellos, G.D. Modelling and Mapping of Soil Erosion Susceptibility of Murree, Sub-Himalayas Using GIS and RS-Based Models. Appl. Sci. 2022, 12, 12211. [Google Scholar] [CrossRef]
- Chaudhry, M.; Ashraf, M.; Hussain, S.; Iqbal, M. Geology and petrology of Malakand and a part of Dir (Toposheet 38 N/14). Geol. Bull. Univ. Punjab 1976, 12, 17–40. [Google Scholar]
- Chaudhry, M.; Jafferi, S.; Saleemi, B. Geology and petrology of the Malakand granite and its environs. Geol. Bull. Univ. Punjab 1974, 10, 43–58. [Google Scholar]
- Hamidullah, S.; Jabeen, N.; Bilqees, R.; Jamil, K. Geology and petrology of the Malakand granite, gneiss and metasedimentary complex. Geol. Bull. Univ. Peshawar 1986, 19, 61–76. [Google Scholar]
- Khattak, N.; Akram, M.; Khan, M.; Khan, H. Emplacement time of the Loe–Shilman carbonatite from NW Pakistan: Constraints from fission-track dating. Radiat. Meas. 2008, 43, S313–S318. [Google Scholar] [CrossRef]
- Le Bas, M.; Mian, I.; Rex, D. Age and nature of carbonatite emplacement in North Pakistan. Geol. Rundsch. 1987, 76, 317–323. [Google Scholar] [CrossRef]
- Khan, M.; Hammad, M. Petrology of Utla Granite, Gadoon Area; University of Peshawar: Pakhtunkhwa, Pakistan, 1978. [Google Scholar]
- Rafiq, M.; Jan, M.Q. Petrography of Ambela granitic complex, NW Pakistan. Geol. Bull. Univ. Peshawar 1988, 21, 27–48. [Google Scholar]
- DiPietro, J.A.; Pogue, K.R. Geologic map of the Indus syntaxis and surrounding area. Himalaya Tibet. Mt. Roots Mt. Tops 1999, 328, 159. [Google Scholar]
- Hussain, A.; Dipietro, J.; Pogue, K.; Ahmad, I. Geological Map of the 43B Degree Sheet, NWFP, Pakistan. Degree Sheet Map Series, Geological Map 2004. Available online: https://www.researchgate.net/publication/291046437 (accessed on 21 December 2021).
- Sajid, M.; Arif, M. Field features and petrography of igneous rocks from Utla (Gadoon), NW Pakistan: Preliminary investigation. J. Himal. Earth Sci. 2010, 43, 75–76. [Google Scholar]
- Sajid, M.; Arif, M.; Shah, M.T. Petrogenesis of granites from the Utla area of Gadoon, north-west Pakistan: Implications from petrography and geochemistry. J. Earth Sci. 2014, 25, 445–459. [Google Scholar] [CrossRef]
- Sajid, M.; Andersen, J.; Rocholl, A.; Wiedenbeck, M. U-Pb geochronology and petrogenesis of peraluminous granitoids from northern Indian plate in NW Pakistan: Andean type orogenic signatures from the early Paleozoic along the northern Gondwana. Lithos 2018, 318–319, 340–356. [Google Scholar] [CrossRef]
- Stauffer, K.W. Silurian-devonian reef complex near Nowshera, west Pakistan. Geol. Soc. Am. Bull. 1968, 79, 1331–1350. [Google Scholar] [CrossRef]
- Pogue, K.; Hussain, A. New light on stratigraphy of Nowshera area and the discovery of early to middle Ordovician trace fossils in NWFP Pakistan. Geol. Surv. Pak. Inf. Release 1986, 135, 15. [Google Scholar]
- Teichert, C.; Stauffer, K.W. Paleozoic Reef Discovery in Pakistan. Geol. Survry Pak. Rec. 1965, 3, 2–19. [Google Scholar]
- Bilal, A.; Yang, R.; Mughal, M.S.; Janjuhah, H.T.; Zaheer, M.; Kontakiotis, G. Sedimentology and Diagenesis of the Early–Middle Eocene Carbonate Deposits of the Ceno-Tethys Ocean. J. Mar. Sci. Eng. 2022, 10, 1794. [Google Scholar] [CrossRef]
- Talent, J.A.; Mawson, R. Paleozoic-Mesozoic biostratigraphy of Pakistan in relation to biogeography and the coalescence of Asia. Geodyn. Pak. 1979, 104, 81–102. [Google Scholar]
- Shah, S. Stratigraphy of Pakistan, Geological Survey of Pakistan Memoirs 12. Islamabad Pak. Geol. Surv. Pak Memoir. 1977, 12, 138. [Google Scholar]
- Rahim, H.-U.; Qamar, S.; Shah, M.M.; Corbella, M.; Martín-Martín, J.D.; Janjuhah, H.T.; Navarro-Ciurana, D.; Lianou, V.; Kontakiotis, G. Processes Associated with Multiphase Dolomitization and Other Related Diagenetic Events in the Jurassic Samana Suk Formation, Himalayan Foreland Basin, NW Pakistan. Minerals 2022, 12, 1320. [Google Scholar] [CrossRef]
- Zaheer, M.; Khan, M.R.; Mughal, M.S.; Janjuhah, H.T.; Makri, P.; Kontakiotis, G. Petrography and Lithofacies of the Siwalik Group in the Core of Hazara-Kashmir Syntaxis: Implications for Middle Stage Himalayan Orogeny and Paleoclimatic Conditions. Minerals 2022, 12, 1055. [Google Scholar] [CrossRef]
- Tahirkheli, R.A.K. Major tectonic scars of Peshawar Vale and adjoining areas, and associated magmatism. Geol. Bull. Uni. Peshawar 1980, 39–46. [Google Scholar]
- Meissner, C.R., Jr.; Master, J.; Rashid, M.; Hussain, M. Stratigraphy of the Kohat Quadrangle, Pakistan; U.S. Government Publishing Office: Washington, DC, USA, 1974; pp. 2330–7102.
- Hussain, A. Stratography and structural events around the southern margin of Peshawar Basin, Pakistan. J. Himal. Earth Sci. 1989, 22, 58–79. [Google Scholar]
- Feniak, M.W. Grain sizes and shapes of various minerals in igneous rocks. J. Earth Planet. Mater. 1944, 29, 415–421. [Google Scholar]
- Bozkurt, N.; Yazicioglu, S. Strength and capillary water absorption of lightweight concrete under different curing conditions. Indian J. Eng. Mater. Sci. 2010, 17, 145–151. [Google Scholar]
- Chen, X.; Huang, W.; Zhou, J. Effect of moisture content on compressive and split tensile strength of concrete. Indian J. Eng. Mater. Sci. 2012, 19, 427–435. [Google Scholar]
- Aydin, A. Upgraded ISRM suggested method for determining sound velocity by ultrasonic pulse transmission technique. In The ISRM Suggested Methods for Rock Characterization, Testing and Monitoring: 2007–2014; Springer: Cham, Switzerland, 2013; pp. 95–99. [Google Scholar]
- Franklin, J.A. Suggest methods for determining water content, porosity, density, absorption and related properties and swelling and slake-durability index properties. Int. J. Rock Mech. Min. Sci. Geomech. 1979, 16, 141–156. [Google Scholar]
- Sheskin, D.J. Handbook of Parametric and Nonparametric Statistical Procedures, 3rd ed.; Chapman and Hall: New York, NY, USA; CRC: New York, NY, USA, 2003. [Google Scholar] [CrossRef]
- Khandelwal, M.; Singh, T. Correlating static properties of coal measures rocks with P-wave velocity. Int. J. Coal Geol. 2009, 79, 55–60. [Google Scholar] [CrossRef]
- Anon, O. Classification of rocks and soils for engineering geological mapping. Part 1: Rock and soil materials. Bull. Int. Assoc. Eng. Geol. 1979, 19, 355–371. [Google Scholar]
- Vasconcelos, G.; Lourenço, P.B.; Alves, C.; Pamplona, J. Ultrasonic evaluation of the physical and mechanical properties of granites. Ultrasonics 2008, 48, 453–466. [Google Scholar] [CrossRef]
- Yavuz, H.; Demirdag, S.; Caran, S. Thermal effect on the physical properties of carbonate rocks. Int. J. Rock Mech. Min. Sci. 2010, 47, 94–103. [Google Scholar] [CrossRef]
- Aydin, A. ISRM suggested method for determination of the Schmidt hammer rebound hardness: Revised version. In The ISRM Suggested Methods for Rock Characterization, Testing and Monitoring: 2007–2014; Springer: Cham, Switzerland, 2008; pp. 25–33. [Google Scholar]
- Gupta, A.; Rao, K.S. Index properties of weathered rocks: Inter-relationships and applicability. Bull. Eng. Geol. Environ. 1998, 57, 161–172. [Google Scholar] [CrossRef]
- Majeed, Y.; Bakar, M.A. Water saturation influences on engineering properties of selected sedimentary rocks of Pakistan. J. Min. Sci. 2018, 54, 914–930. [Google Scholar] [CrossRef]
- Wang, Z.; Batzle, M.; Nur, A. Effect of different pore fluids on seismic velocities in rocks. Can. J. Explor. Geophys. 1990, 26, 104–112. [Google Scholar]
- Sousa, L.M.O. The influence of the characteristics of quartz and mineral deterioration on the strength of granitic dimensional stones. Environ. Earth Sci. 2013, 69, 1333–1346. [Google Scholar] [CrossRef]
- Yusof, N.Q.A.M.; Zabidi, H. Correlation of Mineralogical and Textural Characteristics with Engineering Properties of Granitic Rock from Hulu Langat, Selangor. Procedia Chem. 2016, 19, 975–980. [Google Scholar] [CrossRef]
- Pappalardo, G. Correlation between P-wave velocity and physical–mechanical properties of intensely jointed dolostones, Peloritani mounts, NE Sicily. Rock Mech. Rock Eng. 2015, 48, 1711–1721. [Google Scholar] [CrossRef]
- Concu, G.; De Nicolo, B.; Valdes, M. Prediction of building limestone physical and mechanical properties by means of ultrasonic P-wave velocity. Sci. World J. 2014, 2014, 508073. [Google Scholar] [CrossRef]
- Yasar, E.; Erdogan, Y. Correlating sound velocity with the density, compressive strength and Young’s modulus of carbonate rocks. Int. J. Rock Mech. Min. Sci. 2004, 41, 871–875. [Google Scholar] [CrossRef]
- Gomez-Heras, M.; Benavente, D.; Pla, C.; Martinez-Martinez, J.; Fort, R.; Brotons, V. Ultrasonic pulse velocity as a way of improving uniaxial compressive strength estimations from Leeb hardness measurements. Constr. Build. Mater. 2020, 261, 119996. [Google Scholar] [CrossRef]











| Abbreviation | Explanation |
|---|---|
| NDTs | Non-destructive testings |
| DT | Destructive testing |
| NDTs-dry | Non-testructive testings in the dry state |
| UPVdry | Ultrasonic pulse velocity in the dry state |
| UPVsat | Ultrasonic pulse velocity in the saturated state |
| Rdry-value | Schmidt hammer rebound-value in the dry state |
| Rsat-value | Schmidt hammer rebound-value in the saturated state |
| UCS | Unconfined compressive strength |
| UTS | Unconfined tensile strength |
| SH | Schmidt hammer |
| PPAIP | Peshawar plain alkaline igneous provence |
| AGC | Ambela granitic complex |
| MG | Malakand granite |
| UGA | Utla granite A |
| UGB | Utla granite B |
| NFA | Nowshera formation A |
| NFB | Nowshera formation B |
| MFA | Murree formation A |
| MFB | Murree formation B |
| MFC | Murree formation C |
| n | Porosity |
| WA | Water absorption |
| WG | Weathering grade |
| Rock Type | Origin | Sample | Specimen | WG * |
|---|---|---|---|---|
| Granite | Utla | UGB | UGB1 | I |
| UGB2 | ||||
| UGB3 | ||||
| Malakand | MG | MG1 | II | |
| MG2 | ||||
| MG3 | ||||
| Utla | UGA | UGA1 | III | |
| UGA2 | ||||
| UGA3 | ||||
| Marble | Manerai | NFA | NFA1 | I |
| NFA2 | ||||
| NFA3 | ||||
| NFB | NFB1 | II | ||
| NFB2 | ||||
| NFB3 | ||||
| Sandstone | Jenakor | MFA | MFA1 | I |
| MFA2 | ||||
| MFA3 | ||||
| MFB | MFB1 | II | ||
| MFB2 | ||||
| MFB3 | ||||
| MFC | MFC1 | III | ||
| MFC2 | ||||
| MFC3 |
| Rock Type | Sample | Qtz | Alkf | Plg | Ms | Bt | Ep | Mnz | Apt | Mc | Cal | RF | Chl | IO | Opq | Q:F | Cal:Opq | C/M | MGS |
|---|---|---|---|---|---|---|---|---|---|---|---|---|---|---|---|---|---|---|---|
| Granite | MG | 26.60 | 38.97 | 19.43 | 4.53 | 1.63 | 1.47 | 0.47 | 0.27 | 1.95 | -- | -- | -- | -- | 1.00 | 0.45 | -- | -- | 1.05 |
| UGA | 24.30 | 44.63 | 17.97 | 1.40 | 3.40 | 3.57 | -- | 1.63 | -- | -- | -- | -- | -- | 0.73 | 0.39 | -- | -- | 3.86 | |
| UGB | 29.27 | 36.47 | 17.67 | 1.73 | 6.27 | -- | 0.73 | 0.60 | 2.70 | -- | -- | -- | -- | 2.83 | 0.52 | -- | -- | 0.96 | |
| Marble | NFA | 2.10 | -- | -- | -- | -- | -- | -- | -- | -- | 96.97 | -- | -- | -- | 2.33 | -- | 41.63 | -- | 0.10 |
| NFB | 2.10 | -- | -- | -- | -- | -- | -- | -- | -- | 96.97 | -- | -- | -- | 2.33 | -- | 41.63 | -- | 0.10 | |
| Sandstone | MFA | 26.97 | 13.40 | -- | 0.47 | -- | -- | 0.37 | -- | -- | -- | 3.93 | 0.47 | 12.50 | -- | 2.07 | -- | 41.53 | 0.08 |
| MFB | 16.77 | 9.73 | -- | 0.13 | -- | -- | 0.33 | -- | -- | -- | 16.73 | 0.20 | 5.37 | -- | 1.73 | -- | 50.47 | 0.24 | |
| MFC | 13.17 | 9.30 | -- | 0.63 | -- | -- | 0.50 | -- | -- | -- | 29.97 | 0.10 | 5.67 | -- | 1.43 | -- | 40.03 | 0.28 |
| Rock Type | Sample | WG | Specific Gravity | Porosity (%) | Water Absorption (%) | Dry Density (g/cm3) | UCS (MPa) | UTS (MPa) |
|---|---|---|---|---|---|---|---|---|
| Granite | UGB | I | 2.69 | 0.89 | 0.33 | 2.66 | 131.20 | 8.47 |
| MG | II | 2.65 | 1.25 | 0.47 | 2.62 | 122.78 | 4.99 | |
| UGA | III | 2.67 | 2.00 | 0.76 | 2.61 | 40.69 | 3.66 | |
| Marble | NFA | I | 2.72 | 0.23 | 0.09 | 2.71 | 38.38 | 3.02 |
| NFB | II | 2.72 | 0.42 | 0.15 | 2.70 | 34.29 | 2.67 | |
| Sandstone | MFA | I | 2.72 | 1.09 | 0.41 | 2.69 | 141.33 | 18.07 |
| MFB | II | 2.73 | 2.10 | 0.78 | 2.68 | 132.48 | 15.63 | |
| MFC | III | 2.76 | 2.45 | 0.91 | 2.69 | 61.94 | 11.80 |
| Physical Property | Rock Type | Ultrasonic Pulse Velocity, UPVdry | Rebound-Value, Rdry-Value | ||
|---|---|---|---|---|---|
| Equations | R2 | Equations | R2 | ||
| Specific Gravity | Granite | S.G = 0.0635 ln(UPVdry) + 2.1709 | 0.67 | S.G =0.0471 ln(Rdry-value) + 2.481 | 0.07 |
| Marble | No relation | 0.00 | No relation | 0.00 | |
| Sandstone | S.G = −0.258 ln(UPVdry) + 4.9265 | 0.71 | S.G =−0.398ln(Rdry-value) + 4.3337 | 0.68 | |
| Porosity | Granite | ŋ = 121282(UPVdry) −1.461 | 0.75 | ŋ = −5.483 ln(Rdry-value) + 23.048 | 0.95 |
| Marble | ŋ = 9778(UPVdry)−1.427 | 0.95 | ŋ = −2.483 ln(Rdry-value) + 9.6609 | 0.97 | |
| Sandstone | ŋ = −9 × 10−9 (UPVdry)2 − 0.0023(UPVdry) + 13.119 | 0.96 | ŋ = −17.29 ln(Rdry-value) + 71.253 | 0.86 | |
| Water Absorption | Granite | W.A. = 62336 (UPVdry) −1.501 | 0.76 | W.A.=−2.12 ln(Rdry-value) + 8.8997 | 0.95 |
| Marble | W.A. = –0.00UPV dry + 0.28 | 0.94 | W.A.= −0.859 ln(Rdry-value) + 3.35 | 0.97 | |
| Sandstone | W.A. = −4.316 ln(UPVdry) + 37.289 | 0.95 | W.A.= −6.436 ln(Rdry-value) + 26.52 | 0.86 | |
| Dry Density | Granite | ρ-dry =0.1074 ln(UPVdry) + 1.7893 | 0.98 | ρ-dry = 2.4469 × 100.0014(Rdry-value) | 0.53 |
| Marble | ρ-dry =0.0153 ln(UPVdry) + 2.5956 | 0.51 | ρ-dry = 2.6127 × 100.0008(Rdry-value) | 0.67 | |
| Sandstone | ρ-dry =0.0622 ln(UPVdry) + 2.1584 | 0.21 | ρ-dry = 2.6012 × 100.0006(Rdry-value) | 0.16 | |
| Specimen Designation | Specific Gravity | Porosity (%) | Water Absorption (%) | Dry Density (g/cm3) | ||||||||
|---|---|---|---|---|---|---|---|---|---|---|---|---|
| Measured | Calculated | Measured | Calculated | Measured | Calculated | Measured | Calculated | |||||
| UPV (Dry) | R (Dry) | UPV (Dry) | R (Dry) | UPV (Dry) | R (Dry) | UPV (Dry) | R (Dry) | |||||
| MG | 2.65 | 2.63 | 2.67 | 1.25 | 1.54 | 1.18 | 0.47 | 0.58 | 0.44 | 2.62 | 2.62 | 2.64 |
| UGA | 2.67 | 2.63 | 2.66 | 2.00 | 1.67 | 2.02 | 0.76 | 0.63 | 0.77 | 2.61 | 2.61 | 2.61 |
| UGB | 2.69 | 2.66 | 2.67 | 0.89 | 0.87 | 0.95 | 0.33 | 0.32 | 0.36 | 2.66 | 2.66 | 2.65 |
| NFA | 2.72 | - | - | 0.23 | 0.23 | 0.23 | 0.09 | 0.09 | 0.09 | 2.71 | 2.71 | 2.71 |
| NFB | 2.72 | - | - | 0.42 | 0.42 | 0.42 | 0.15 | 0.16 | 0.15 | 2.70 | 2.70 | 2.70 |
| MFA | 2.72 | 2.72 | 2.72 | 1.09 | 1.07 | 1.25 | 0.41 | 0.41 | 0.47 | 2.69 | 2.69 | 2.69 |
| MFB | 2.74 | 2.75 | 2.74 | 2.10 | 2.11 | 1.86 | 0.78 | 0.79 | 0.70 | 2.68 | 2.68 | 2.69 |
| MFC | 2.76 | 2.75 | 2.75 | 2.45 | 2.39 | 2.50 | 0.91 | 0.90 | 0.93 | 2.69 | 2.68 | 2.69 |
| Physical Property | Rock Type | Ultrasonic Pulse Velocity Dry (UPVdry) | Rebound-Value, Rdry-Value | ||
|---|---|---|---|---|---|
| t-Critical | t-Calculated | t-Critical | t-Calculated | ||
| Specific Gravity | Granite | 2.12 | 13.46 | 2.12 | 32.48 |
| Marble | - | - | - | - | |
| Sandstones | 2.12 | 55.54 | 2.12 | 84.34 | |
| Porosity | Granite | 2.12 | 13.47 | 2.12 | 33.13 |
| Marble | 2.23 | 10.29 | 2.23 | 55.00 | |
| Sandstones | 2.12 | 55.55 | 2.12 | 81.20 | |
| Water Absorption | Granite | 2.12 | 13.47 | 2.12 | 33.86 |
| Marble | 2.23 | 10.29 | 2.23 | 55.35 | |
| Sandstones | 2.12 | 55.57 | 2.12 | 86.92 | |
| Dry Density | Granite | 2.12 | 13.46 | 2.12 | 32.51 |
| Marble | 2.23 | 10.28 | 2.23 | 52.02 | |
| Sandstones | 2.12 | 55.54 | 2.12 | 84.42 | |
| Strength Property | Rock Type | Ultrasonic Pulse Velocity, UPV (Dry) | Rebound-Value R-(Dry) | ||
|---|---|---|---|---|---|
| Equations | R2 | Equations | R2 | ||
| UCS | Granite | UCS = 135.22 ln(UPVdry) − 960.41 | 0.43 | UCS = 478.13 ln(Rdry-value) − 1791.3 | 0.98 |
| Marble | UCS = 0.0067 (UPVdry) + 26.567 | 0.72 | UCS = 57.911 ln(Rdry-value) − 181.44 | 0.88 | |
| Sandstone | UCS = 513.39 ln(UPVdry) − 4240.2 | 0.50 | UCS = 967.58 ln(Rdry-value) − 3770.9 | 0.74 | |
| UTS | Granite | UTS = 0.0037 (UPVdry) − 3.8636 | 0.94 | UTS = 0.0905 (Rdry-value)2 − 8.8367 R-dry + 218.8 | 0.87 |
| Marble | UTS = 0.3554 (UPVdry)0.2858 | 0.80 | UTS = 0.007 (Rdry-value)1.5966 | 0.83 | |
| Sandstone | UTS = 49.649 ln(UPVdry) − 405.73 | 0.73 | UTS = −0.0945 (Rdry-value)2 + 11.97 (Rdry-value) − 357.46 | 0.91 | |
| Uniaxial Compressive Strength (MPa) | Unconfined Indirect Tensile Strength (MPa) | |||||
|---|---|---|---|---|---|---|
| Measured | Calculated | Measured | Calculated | |||
| UPVdry | Rdry-Value | UPVdry | Rdry-Value | |||
| MG | 122.78 | 82.93 | 115.90 | 4.99 | 4.44 | 5.58 |
| UGA | 40.69 | 75.77 | 42.72 | 3.66 | 4.01 | 3.67 |
| UGB | 131.20 | 136.02 | 136.16 | 8.47 | 8.43 | 7.88 |
| NFA | 38.38 | 38.49 | 38.58 | 3.02 | 3.02 | 3.01 |
| NFB | 34.29 | 34.25 | 34.08 | 2.67 | 2.66 | 2.66 |
| MFA | 141.33 | 149.99 | 149.49 | 18.07 | 18.84 | 18.37 |
| MFB | 132.48 | 100.86 | 112.33 | 15.63 | 14.09 | 15.54 |
| MFC | 61.94 | 87.77 | 76.59 | 11.80 | 12.82 | 12.08 |
| Strength Property | Rock Type | Ultrasonic Pulse Velocity, UPV (Dry) | Rebound-Value, R-(Dry) | ||
|---|---|---|---|---|---|
| t-Critical | t-Calculated | t-Critical | t-Calculated | ||
| UCS | Granite | 2.12 | 12.92 | 2.12 | 3.16 |
| Marble | 2.23 | 10.04 | 2.23 | 4.91 | |
| Sandstone | 2.14 | 50.60 | 2.14 | 3.88 | |
| UTS | Granite | 2.12 | 13.44 | 2.12 | 27.47 |
| Marble | 2.23 | 10.27 | 2.23 | 51.48 | |
| Sandstone | 2.14 | 52.18 | 2.14 | 31.50 | |
Disclaimer/Publisher’s Note: The statements, opinions and data contained in all publications are solely those of the individual author(s) and contributor(s) and not of MDPI and/or the editor(s). MDPI and/or the editor(s) disclaim responsibility for any injury to people or property resulting from any ideas, methods, instructions or products referred to in the content. |
© 2023 by the authors. Licensee MDPI, Basel, Switzerland. This article is an open access article distributed under the terms and conditions of the Creative Commons Attribution (CC BY) license (https://creativecommons.org/licenses/by/4.0/).
Share and Cite
Ahmed, W.; Ahmad, N.; Janjuhah, H.T.; Islam, I.; Sajid, M.; Kontakiotis, G. The Evaluation of Non-Destructive Tests for the Strength and Physical Properties of Granite, Marble, and Sandstone: A Case Study from North Pakistan. Quaternary 2023, 6, 4. https://doi.org/10.3390/quat6010004
Ahmed W, Ahmad N, Janjuhah HT, Islam I, Sajid M, Kontakiotis G. The Evaluation of Non-Destructive Tests for the Strength and Physical Properties of Granite, Marble, and Sandstone: A Case Study from North Pakistan. Quaternary. 2023; 6(1):4. https://doi.org/10.3390/quat6010004
Chicago/Turabian StyleAhmed, Waqas, Niaz Ahmad, Hammad Tariq Janjuhah, Ihtisham Islam, Muhammad Sajid, and George Kontakiotis. 2023. "The Evaluation of Non-Destructive Tests for the Strength and Physical Properties of Granite, Marble, and Sandstone: A Case Study from North Pakistan" Quaternary 6, no. 1: 4. https://doi.org/10.3390/quat6010004
APA StyleAhmed, W., Ahmad, N., Janjuhah, H. T., Islam, I., Sajid, M., & Kontakiotis, G. (2023). The Evaluation of Non-Destructive Tests for the Strength and Physical Properties of Granite, Marble, and Sandstone: A Case Study from North Pakistan. Quaternary, 6(1), 4. https://doi.org/10.3390/quat6010004

