Abstract
It has been proposed that suids were absent from Europe during the post-Olduvai to pre-Jaramillo Early Pleistocene (from less than 1.8 to more than 1.2 Ma) and that their “re-appearance” in the late Early Pleistocene would mark the end of the late Villafranchian and the beginning of the Epivillafranchian. Arguments enumerated in favor of this “suid gap” are the lack of suid remains from extensively sampled fossil localities of this age and the high reproductive potential (r-strategy) of suids, which would translate in a high commonness of their remains in the fossil record. However, here it shown that while suids’ reproductive potential is certainly exceptional within artiodactyls, there is no direct relationship between the reproductive strategy and preservation rate of a taxon in the fossil record. In Early Pleistocene localities of Europe and adjoining areas, where suids are present in a fossil assemblage, they are always rare. In terms of number of occurrences (frequency), suids range from being moderately common (~2.0–1.8 Ma) to moderately rare (~1.1–1.0 Ma). Suid material is also described herein from Peyrolles (Issoire, France; reference locality for MNQ 19), a site dated at 1.47 Ma, providing direct evidence for the presence of suids within the purported “suid gap”. The case of suids underlines an important source of caveat in inferring faunal dynamics of the late Early Pleistocene of western Europe—including the dispersal of hominins—i.e., the unequal geographical distribution of the paleontological sites of post-Olduvai to pre-Jaramillo age. Indeed, Peyrolles is the only large mammal site in western Europe located outside the Iberian and Italian Peninsulas reliably dated around 1.5 Ma. In the post-Olduvai to pre-Jaramillo period, there is a paucity of radiometric estimates (or they have too coarse a resolution) and of paleomagnetic excursions detectable in continental deposits. Basically, for this time span, there is a high dependence on biochronological correlations, although, at the same time, these correlations are less reliable—because these are based on a few sites not covering the entire spectrum of environments present in Europe and the sites are not independently dated with methods that outperform biochronology—than those for other periods.
1. Introduction
The Pleistocene witnessed substantial oceanographic, meteorological, and environmental changes in a broad sense, including fluctuations in ice cover and sea level at a global scale. These phenomena, mediated by ecological interactions, shaped the evolution of the biota. In turn, the fossil record is key for reconstructing these changes, understanding their pace and magnitude, and comparing and correlating them between different areas [1,2,3,4,5].
In this context, one of the most intensively investigated and debated topics of research concerns the first hominin dispersal into Europe and the reason why it postdates by a considerable amount of time the earliest evidence Out of Africa, especially considering the extensive sample of Dmanisi at ~1.8 Ma [6,7]. Essentially, the time span bracketed between the earliest hominin presence in the Caucasus and their dispersal in western Europe can be considered the core chronology to examine to gain a better understanding of the hominin spread in the region. The latter point engenders vibrant debate, and while many authors favor a pre-Jaramillo age (e.g., [2,3]), the large uncertainties associated with the available dating methods should push to exercise caution [8,9]. In general, and focusing on the ~1.8–1.2 Ma crucial period, investigating the large mammal fossil record plays a fundamental role, not only owing to the paucity of hominin evidence, but also by recognizing that hominins were part of a wider faunal renewal featuring the appearance in Europe of species of African and Asian origin [2,3].
The perceived biochronological and paleoecological significance of the Early Pleistocene suids of Europe in the context of Quaternary faunal turnovers and in relation to hominins has long been quite low, being mainly limited to the inclusion of the appearance of S. strozzii in the bioevents denoting the late Villafranchian faunal turnover, the “Wolf event” [10,11,12]—although the species is now documented in several middle Villafranchian localities [13]—and to the emphasis placed on the replacement between S. strozzii Forsyth Major, 1881 [14] and S. scrofa Linnaeus, 1758 [15] in terms of the different ecological requirements of the two species [16,17]. In this framework, an important impetus was given by the work of Martínez-Navarro et al. [18], in which it is argued that suids were absent from Europe during the 1.8–1.2 Ma time span and that a species phylogenetically related to the extant wild boar (Sus gr. scrofa) appears at 1.2 Ma, approximately at the same time of other bioevents correlated with the beginning of the Epivillafranchian [19,20,21,22]. Martínez-Navarro et al. [18] also tentatively interpreted the absence of suids in terms of competitive displacement with hominins.
The attribution of the Epivillafranchian suids as Sus gr. scrofa proposed by Martínez-Navarro et al. [18] was challenged shortly after, when Bona and Sala [23] described an almost complete mandible of S. strozzii from the locality of Frantoio, placed at ~1.0 Ma based on paleomagnetism. Van der Made et al. [24] already assigned the latest Early Pleistocene suids to Sus sp. and did not recognize any gap in the European suid fossil record (this work, although issued later, was published online roughly at the same time as that of Martínez-Navarro et al. [18]). Cherin et al. [25] recognized that all Epivillafranchian samples that preserve lower male canines display a “verrucosic” cross-section, which differs from the “scrofic” morphology of S. scrofa, and consequently should be attributed to S. strozzii. Despite this, Cherin et al. [25] did not reject the existence of the “suid gap”.
Prior to the work of Martínez-Navarro et al. [18], suids were either regarded as continuously present in Europe from the Early to the Middle Pleistocene or indeed experiencing a gap between the last record of S. strozzii and the earliest of S. scrofa, but shorter than that subsequently proposed and potentially considered an artefact of the low numbers of fossil localities of appropriate age [16,24,26,27,28,29].
Even though the absence of a taxon in a fossil record should only be taken as evidence of absence with great caution, Martínez-Navarro et al.’s [18] “suid gap” hypothesis, or at least part of the associated arguments, was followed by many authors (e.g., [25,30,31,32,33]). Indeed, the purported link between the reproductive potential of suids and their abundance in the fossil record was especially influential, and it is worth stressing that Martínez-Navarro et al. [18] were arguably the firsts to discuss the peculiar reproductive strategy of suids in relation to their fossil record at this level of detail. In brief, their reasoning can be summarized as follows: suids have a higher reproductive potential than related species of comparable size; consequently, when present, they are abundant in the fossil record; and therefore, their absence from extensively sampled localities dated between 1.8 and 1.2 Ma should be reliable. However, the link between the first and second points was assumed rather than tested, as was the abundance of suid remains in the European fossil record in the first place.
This work is articulated in several parts: (1) I describe the suid material from the site of Peyrolles (France), which is, at the moment, the only radiometrically dated (at 1.47 Ma) suid-bearing locality within the “suid gap”; (2) I investigate the relationship between body mass and reproductive strategy in artiodactyls to understand whether and how suids differ from other species of comparable size; and (3) I evaluate whether suids where truly abundant in the European fossil record before and after their putative absence. Finally, the case of suids is discussed in relation to the paucity and heterogeneous geographical distribution of European paleontological sites with mammal remains falling between ~1.8 and 1.2 Ma, and the implications for our comprehension of the faunal dynamics of this time span, including hominin dispersal.
2. Peyrolles
Peyrolles is located in the region of Issoire (Puy-de-Dôme, France), an area known since the 18th century for its extensive fossil record of Pliocene and Pleistocene of large mammals [34] (Figure 1). The paleontological site of Peyrolles was discovered and investigated mainly in the first half of the 19th century, and after a long period of oblivion, rediscovered in 1995 [34]. In the years elapsed between the first studies and the rediscovery of the site, and in those following, the area has been extensively investigated from a geochronological perspective, especially based on the products of the Mont-Dore stratovolcano, located ~30 Km west of Peyrolles (e.g., [35,36,37,38]). In particular, Nomade et al. [39] dated with the 40Ar/39Ar method the trachytic pumiceous alluvium interstratified within the Creux de Peyrolles fossiliferous beds, obtaining an age of 1.47 ± 0.01 Ma. Associated uncertainty aside, an equivalent age (1.42 ± 0.10 Ma, also 40Ar/39Ar dated) was reported in an unpublished doctoral thesis [40].
Figure 1.
Outline of France with emphasis on the department of Puy-de-Dôme (squares indicate main cities) and geographical location of Peyrolles (star) and nearby localities in the area of Issoire.
The fauna of Peyrolles assumed an important biochronological role for the Villafranchian (Figure 2), being considered representative of MNQ 19 (French Biozones), and hence younger than Senèze (MNQ 18) and potentially close to the Tasso FU (Italian Faunal Units), although the presence of a derived form of Eucladoceros was already remarked as indicative of an age later than Tasso [11]. Few French faunas have been consistently referred to MNQ 19, namely Peyrolles (type fauna), Blassac-La Girondie, and La Sartanette [41]. La Sartanette is only constrained by the inverse polarity of the sediments to a likely post-Olduvai but pre-Jaramillo age [42]. On the other hand, Paquette et al. [43] obtained an age of 1.946 ± 0.028 Ma for Blassac-La Girondie, based on U/Pb dating on volcanic zircons. These authors reasoned that the combined evidence derived from the recent dating of Peyrolles (1.47 ± 0.01 Ma) and Blassac (1.946 ± 0.028 Ma) would suggest a rather long duration for the MNQ 19 French biozone, corresponding to multiple Italian FUs (i.e., Olivola, Tasso, Farneta, and perhaps Pirro Nord). It is worth noting that Peyrolles has been taken as representative of MNQ 19 mainly for historical reasons, that is, having long been the only known fauna filling that chronology [41,44]. However, the fauna is neither abundant nor diverse in terms of number of species [34]. Considering the paucity of the late Villafranchian deposits in France already remarked in previous studies [41,45], the possibility that Peyrolles represents a unique faunal complex with respect to the others present in the country cannot be ruled out. Moreover, as will be stressed in this work, biochronological correlations for the 1.8–1.2 Ma time span in Europe are biased by the heterogeneous distribution of fossiliferous deposits. This is especially relevant when considering Peyrolles, as the biochronological placement of the site has been based on cervids, especially “Cervus” perolensis [34,44], for which different lineages in France and Italy are customarily recognized against the background of a myriad of divergent taxonomic proposals (e.g., [46]).
Figure 2.
Biochronological scheme for the Early Pleistocene, indicating selected localities with suid remains from Europe and adjoining areas. Question marks indicate uncertain chronology (if placed before a locality) or uncertain occurrence (after).
3. Materials and Methods
3.1. Fossil Material
The fossil suid material from Peyrolles is housed in the Natural History Museum, London (NHMUK). It consists only of one fragmented metapodial, catalogued as NHMUK PV OR 27621. The anatomical identification and comparative description of the specimen were mainly based on the extant wild boar, S. scrofa and, as far as possible considering the paucity of metapodial remains known for the latter species, S. strozzii (details are provided in the relevant section below). Material of the extant wild boar is available in several collections. Here, I especially used an individual part of the comparative osteological collection of the Hungarian Natural History Museum, Budapest (HNHM, specimen 56. 25. 3.). Measurements were taken with a digital caliper to the nearest 0.1 mm.
3.2. Reproductive Strategies
To understand whether and how much Suidae differ from other species of comparable size in terms of reproductive strategy, data for living Artiodacyla were downloaded from COMBINE [47], considering terrestrial non-volant species. Body mass (BM) and 9 other variables were selected, considering relatedness to reproduction and including only variables for which more than 95% of species have data: longevity (L), age at female sexual maturity (ASM), age at first reproduction (AFR), gestation length (GSL), litter size (LS), litters per year (LY), interbirth interval (II), weaning age (WA), and generation length (GNL). Details are provided in Table 1. In total, 247 species of artiodactyls were included. A non-parametric Spearman’s rank-order correlation coefficient was calculated between the natural-logged variables to test for linear relationships, with and without the inclusion of suids. The correlation coefficient ranges from −1 (negative relationship) to +1 (positive relationship), while a score of 0 indicates no relationship. A principal component analysis (PCA) was performed on the correlation matrix of the same variables. The results of these analyses and comparisons were used to explore and discuss the differences in reproductive strategy between suids and other artiodactyls. The software PAST was used for the analysis [48].
Table 1.
Variables considered in the analysis on reproductive strategies in Artiodactyla. After [47].
3.3. Abundance and Frequency of Suids in the Fossil Record
To assess whether Suidae were abundant or not in the European fossil record during the Early Pleistocene, two approaches were applied. First, to understand the abundance of suids with respect to other artiodactyls in localities where their remains have been recovered. Second, to evaluate the frequency of suid occurrences with respect to well-known fossil localities from selected time spans.
In the first case, I collected data on the minimum number of individuals (MNI) or the number of identified specimens (NISP) for localities dated from ~2.0 to 0.9 Ma with suid remains for which this information is available. In chronological order, this comprises Poggio Rosso [49], ‘Ubeidiya II-23 [50], Untermassfeld [51], and Vallparadís EVT7 [52]. The inclusion of ‘Ubeidiya, although the site is not located in Europe, is justified by the presence of several faunal elements of European affinity [53,54,55].
For the second approach, I used data from Palombo [3], who provided an authoritative compilation of faunal lists for the Pleistocene of southwestern Europe (from Iberian, French, and Italian sites). This part of the analysis is focused on western Europe, as the presence of suids in the eastern Mediterranean was never denied [18,25] but it might be considered compatible with the “suid gap” hypothesis, if interpreted as a refuge with respect to western Europe [56]. Faunas from two Faunal Complexes (as referred to by Palombo [3]) were considered, V4 (~2.0–1.8 Ma, including faunas customarily referred to Olivola and Tasso FUs or MNQ 18, with the addition of Blassac, see below) and G1 (~<1.2–1.0 Ma, including faunas referred to the Colle Curti FU or MNQ 20). The two subtended time spans denote the periods before and after the purported absence of suids from Europe (Farneta and Pirro FUs, or MNQ 19), when the group has been stressed to be widely represented in the fossil record [18].
Some emendations to the faunal lists provided by Palombo [3] were made as detailed as follows, either regarding presence/absence data, chronology, or taxonomy (Supplementary Material). For the first time span, Palombo [3] listed S. strozzii from Casa Frata but the species is not present in this locality [57,58] and therefore I considered it absent. The local fauna referred to as “Valdarno 2” by Palombo [3] is not included, as it is a composite faunal list of historical findings of different provenance within the Upper Valdarno, which therefore does not satisfy the criterion of being “a list of the species identified from the same stratigraphical horizon at a given fossiliferous site” defined by the author, and besides is redundant with respect to Casa Frata, Matassino, and Poggio Rosso (which are also from the Upper Valdarno, but deriving from relatively recent collections). On the other hand, Blassac-La Girondie is included, in agreement with the dating of 1.946 ± 0.028 Ma obtained by Paquette et al. [43].
For the second time span, the fauna of Monte Peglia is not considered, as only two artiodactyl species were listed by Palombo [3] and both records were tentative. I also excluded Redicicoli and the Early Pleistocene layers of Vallparadís, which could be correlated with the following Slivia FU [46,59]. Likewise, I omitted all the faunas from the different layers of Gran Dolina, which were argued to be likely younger than previously assumed, considering the occurrence of Galerian newcomers [45], as eventually confirmed by new paleomagnetic investigations [60,61]. On the other hand, I added the fauna of Frantoio (Arda River; [23]).
Leptobos etruscus and L. vallisarni are treated together as they are commonly included in the same group or lineage (e.g., [62,63]), as opposite to another group consisting of L. stenometopon, L. elatus, L. merlai, and L. furtivus.
Dubious occurrences and taxa undetermined at the species level where not considered when they might represent a taxon already recorded, while tentative attributions at the species level (e.g., ‘Pseudodama’ cf. vallonnetensis) were accepted as valid. The following three reasonable exceptions to this rule were made: (1) the Praemegaceros material of the ~1.1–1.0 time span (which is altogether referred to P. verticornsis); (2) Hippopotamus (all pragmatically referred to as H. antiquus); (3) suids, which, for the purpose of this analysis, are necessarily lumped into S. strozzii, although some localities yielded remains that are left in open taxonomy (e.g., Castagnone; [64]). Some dubious cases were checked critically by evaluating the primary literature. For instance, the presence of Cervus elaphus acoronatus at Saint Prest was not accepted, considering the paucity of the material described by Guérin et al. [65], who indeed originally assigned it to Cervidae cf. Cervus elaphus.
A simple quartile subdivision of the observed frequencies is used to objectively refer to a taxon as common (100–75% of occurrences), moderately common (74.9–50%), moderately rare (49.9–25%), or rare (less than 25%).
4. Systematic Paleontology
Class Mammalia Linnaeus, 1758 [15].
Order Artiodactyla Owen, 1848 [66].
Family Suidae Gray, 1821 [67].
Subfamily Suinae Gray, 1821 [67].
Genus Sus Linnaeus, 1758 [15].
Sus sp.
(Figure 3).
Figure 3.
(A) The fragmentary left fourth metatarsal of Sus sp. from Peyrolles (NHMUK PV OR 27621) in anterior (A1), internal (A2), posterior (A3), external (A4), proximal (A5), and distal (A6) views; (B) the homologous element of Sus scrofa for comparison, in anterior (B1) and internal (B2) views; (C) anatomical sketch indicating the position of the bone. The dotted line in A2 approximately indicates the missing portion of the trochlea. The scale bar corresponds to 20 mm.
Referred material from Peyrolles. NHMUK PV OR 27621, a distal fragment of a left fourth metatarsal (henceforth, MT IV).
Remarks. Suids have a four-toe foot, with two small (second and fifth) and two large (third and fourth) digits and metapodials. The metapodial from Peyrolles is clearly large and hence represents the third or fourth. The proximal portion of the bone, which is the most diagnostic for anatomical identification, is not preserved in our specimen, but the section of the shaft and the distal end provide useful information as well. In the fourth metatarsals, the external side of the distal end is more strongly inclined toward the internal side of the bone than in third metatarsals. In the third and fourth metapodials, the internal side of the diaphysis is approximately straight antero-posteriorly and the anterior and posterior sides converge externally. In the metacarpals, this convergence is more pronounced than in the metatarsals; so, the section of the shaft is more rounded in the latter. As the metapodial from Peyrolles has a strongly inclined lateral side of the distal portion and a relatively rounded section of the diaphysis, it is identified as an MT IV.
NHMUK PV OR 27621 is, therefore, a distal fragment of a left MT IV. Just under half of the bone is preserved, measuring approximately 56 mm proximo-distally. The internal-external (transversal) diameter of the distal epiphysis measures 20 mm, while the perpendicular antero-posterior diameter cannot be taken reliably as the trochlea is eroded.
Comparing the Peyrolles MT IV with the homologous element in S. scrofa reveals a clear morphological resemblance, but I assign it to Sus sp., considering the limited knowledge on the postcranial anatomy of S. strozzii and the poor preservation of our specimen. In detail, I could not find an isolated and well-preserved MT IV of S. strozzii among the main collections that preserve remains of the species (see the institutions listed by Iannucci [13,68]). The MT IV is present in a mounted subadult skeleton from Senèze preserved in the Naturhistorisches Museum Basel (NMB) [69], which is the main source of information on the postcranial anatomy of S. strozzii and associated paleoecological inference [70]. Based on this specimen, Azzaroli [70] underlined that in S. strozzii, the metapodials are relatively shorter and hence stouter than in S. scrofa. Unfortunately, the incomplete preservation of the MT IV from Peyrolles precludes an assessment of its proportions.
5. Reproductive Strategies
In artiodactyls, most reproduction-related variables are significantly correlated with each other, with or without the inclusion of suids in the estimates (Figure 4A). The only exception is LS, which only has a weak negative relationship with GSL. Nonetheless, excluding suids from the computation always increases the correlation (positive or negative) between each variable, apart from relationships involving LS. The only other exception is the relationship between AFR and GSL.
Figure 4.
Correlation plot of variables related to reproduction in artiodactyls, with (A) or without (B) the inclusion of suids; (C) Correlation between BM and other variables. Boxed areas indicate significant results (at α = 0.05).
Focusing on BM reveals a strong (correlation coefficient > 0.60) positive relationship with L, ASM, AFR, GSL, II, WA, and GNL, and a weaker negative relationship with LY (0.55) in all artiodactyls (Figure 4B). Including suids in the computation always diminishes the correlations between variables, and in the case of LS even has the effect of changing the relationship from positive to negative (although this relationship is not significant, Figure 4A).
In the PCA, the first two components jointly account for 67.5% of the explained variance (C1 = 53.9%, C2 = 13.6%) (Table 2). In the ecospace projection onto the plane described by the first two components, most artiodactyls are scattered along the first axis, which is positively influenced by all variables apart from LS and LY (Figure 5). This first axis can be mainly interpreted as the BM-related component of reproductive strategy in artiodactyls. Along the second component, the sample is mainly distributed according to the opposite contribution of LS and GSL, providing a partial separation of suids (complete for Sus) and, to a lesser extent, tayassuids, from other artiodactyls. This axis captures the rapidity of reproduction, with species plotting toward more positive values (like suids) producing a high number of offspring in a short time.
Table 2.
Eigenvalues, percentage of explained variance, and loadings of PCA. Components explaining more than 5% of variance are reported.
Figure 5.
Ecospace projection of the PCA carried out on variables related to reproduction in artiodactyls onto the plane described by the first two components (A), and their respective loadings (B). In (A) Suidae are in green (darker for Sus), Tayassuidae in blue, and all other artiodactyls in orange.
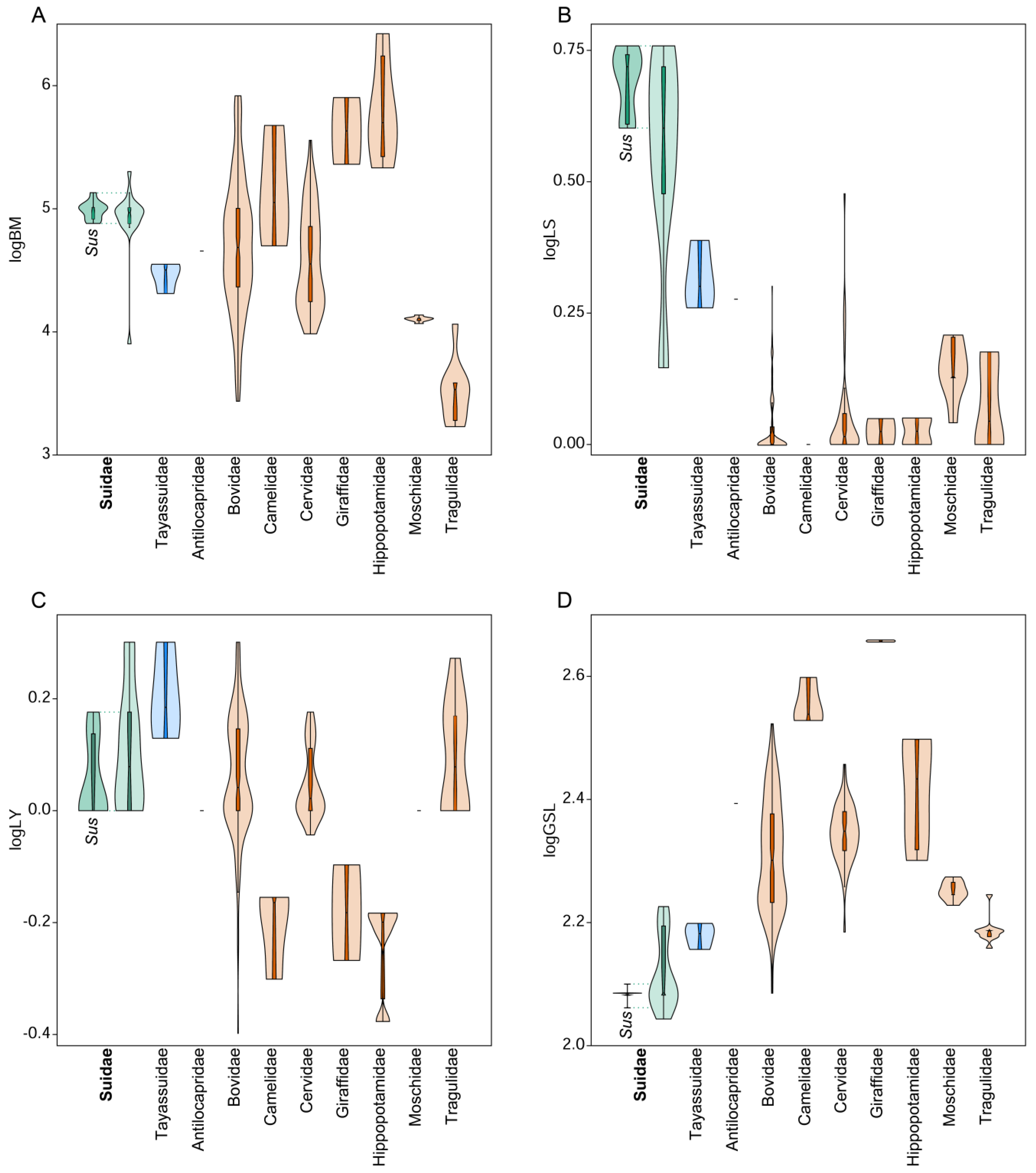
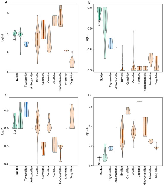
BM (as a proxy for most other reproduction-related variables), LS, LY, and GSL are considered in further detail given the aforementioned results. Violin and box plots are used to visualize these variables in different families of artiodactyls and separately for Sus (Figure 6).
Figure 6.
Violin and box plots of selected variables related to reproduction in artiodactyls. (A) Body mass (BM); (B) litter size (LS); (C) litters per year (LY); (D) gestation length (GSL). Suidae are in green (darker for Sus), Tayassuidae in blue, and all other artiodactyls in orange.
As regards BM, artiodactyls exhibit large variability, from ~2 to over 2500 kg (Figure 6A). Suids can be roughly described as middle-sized, falling within the variability of groups represented by most species (Bovidae and Cervidae) and outside that of clearly small- (Moschidae and Tragulidae) or large-sized (Giraffidae and Hippopotamidae) families. The smallest BM value reported for suids is 8 kg (Porcula salvania) and the largest 200 kg (Hylochoerus meinertzhageni). Sus does not exhibit such extreme values.
In most artiodactyls, the LS is either one or ranges from one to two (Figure 6B). All suids and tayassuids have values greater than one (only in babirusas is it less than two) and in Sus, the minimum number of offspring is four. Bovids and cervids have some “outliers” (observations plotting outside the box plot of more than 1.5 times the box height), respectively, 14 (9.8%) and 6 (11%), with the most extreme case being the Chinese water deer (Hydropotes inermis) with a LS value of 3 [71]. Mean values for tragulids (1.27) and moschids (1.4) are also above one (but always below two).
Several artiodactyls, including suids and tayassuids, have generally one litter per year (LY) or more, except larger species (Giraffidae and Hippopotamidae) and camelids, which do not have a litter every year (Figure 6C). Bovids are highly variable, with 17 species (11.9%) having less than one LY.
As regards GSL, suids have low values, ranging from ~110 days in P. salvania to less than ~170 days in Phacochoerus spp. (Figure 6D). There is only little overlap between suids and the lower range of bovids and cervids, and tragulids.
6. Abundance and Frequency in the Fossil Record
Mazza et al. [49] provided information on the number of identified specimens (NISP) and the minimum number of individuals (MNI) from Poggio Rosso. In both cases, around half of the mammal fauna corresponds to the large-sized deer referred to as Eucladoceros dicranios, whereas the percentages in terms of NISP and MNI represented by S. strozzii are 4% and 7%, respectively (Figure 7A).
Figure 7.
Abundance of suids (in green) and other artiodactyls (in orange) in terms of number of identified specimens (NISP) or minimum number of individuals (MNI) at: (A) Poggio Rosso [49]; (B) ‘Ubeidiya layer II-23 [50]; (C) Untermassfeld [51]; (D) Vallparadís layer EVT7 [52]. Percentages refer to all large mammals but only artiodactyls are plotted.
The layer II-23 of ‘Ubeidiya [50] is dominated by remains assigned to Hippopotamus cf. behemoth (22.8% of NISP) and to the middle-sized deer ‘Pseudodama’ nestii (17.4%) (Figure 7B). Despite being represented by two species, suids are the rarest artiodactyl family in the sample, with few remains being referred to as S. strozzii (0.4%) and even fewer to Kolpochoerus oludvaiensis (0.1%).
At Untermassfeld [51], suids are represented by a MNI of six, which accounts for 1.3% of all large mammals (Figure 7C). The only artiodactyl species rarer than suids is Capreoulus cusanoides.
The artiodactyls recovered from the layer EVT7 of Vallparadís [52] are predominantly represented (in terms of NISP) by remains of hippopotamuses and middle-sized deer, referred to as Hippopotamus antiquus and ‘Pseudodama’ vallonnetensis, respectively (Figure 7D). Suids accounts for only 1.1% of all large mammals, with the only rarer taxon being an indeterminate representative of Caprini.
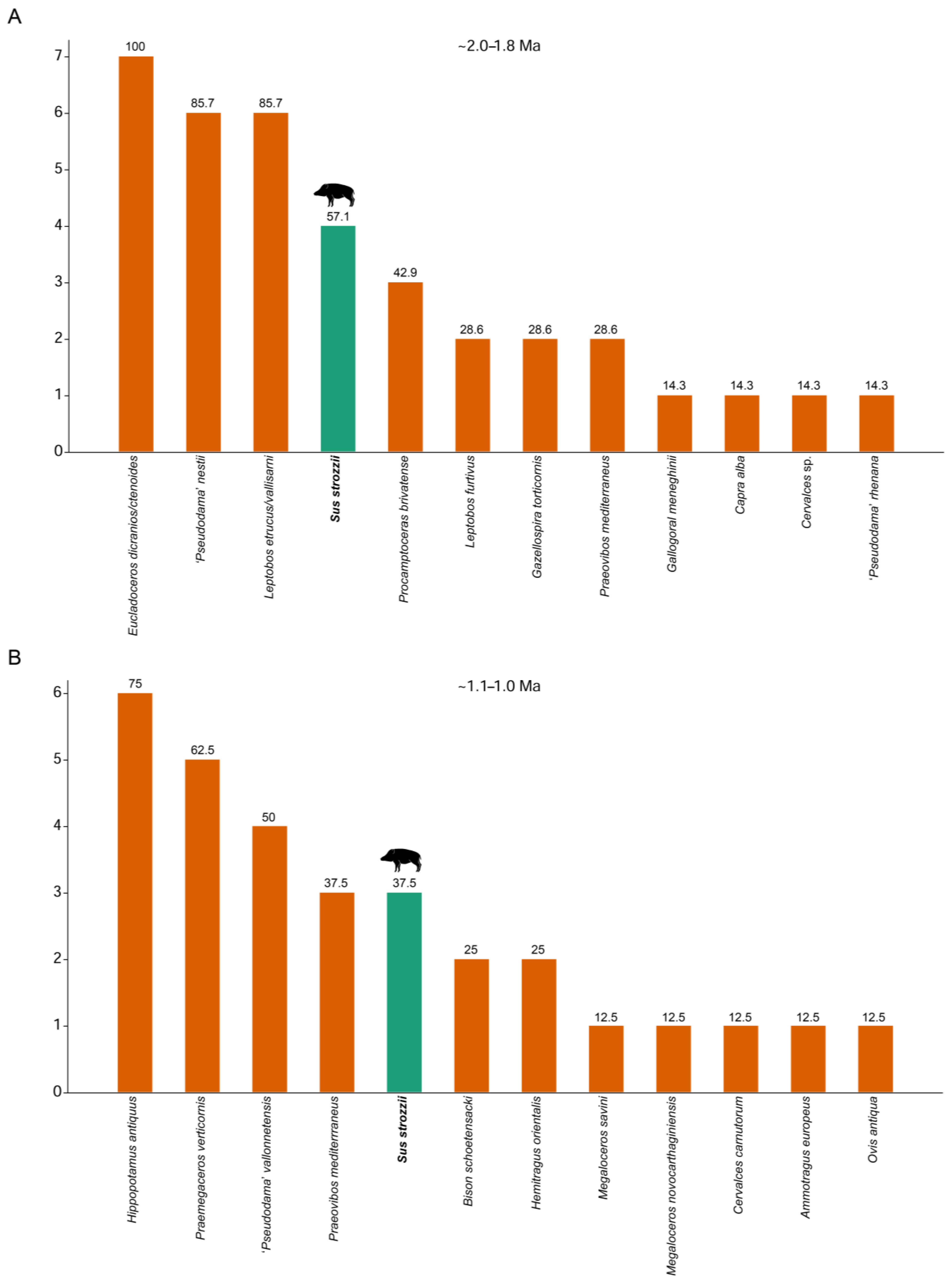
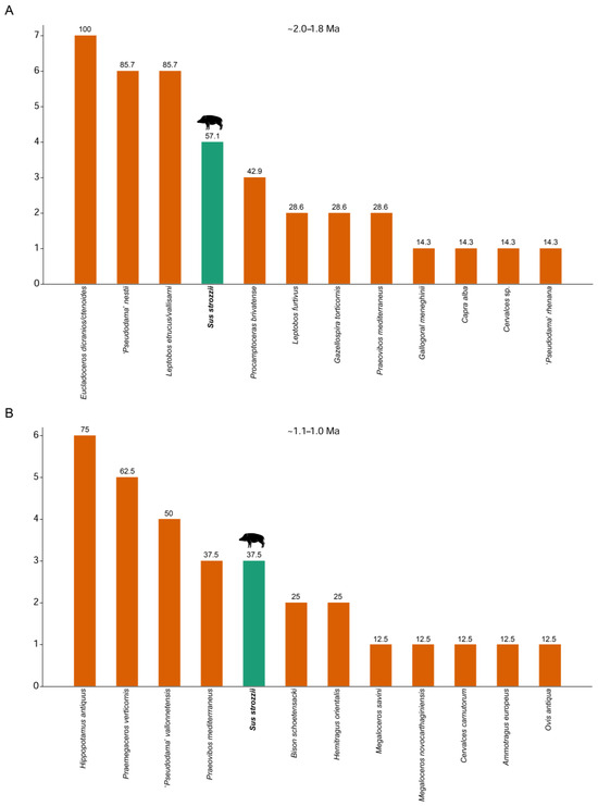
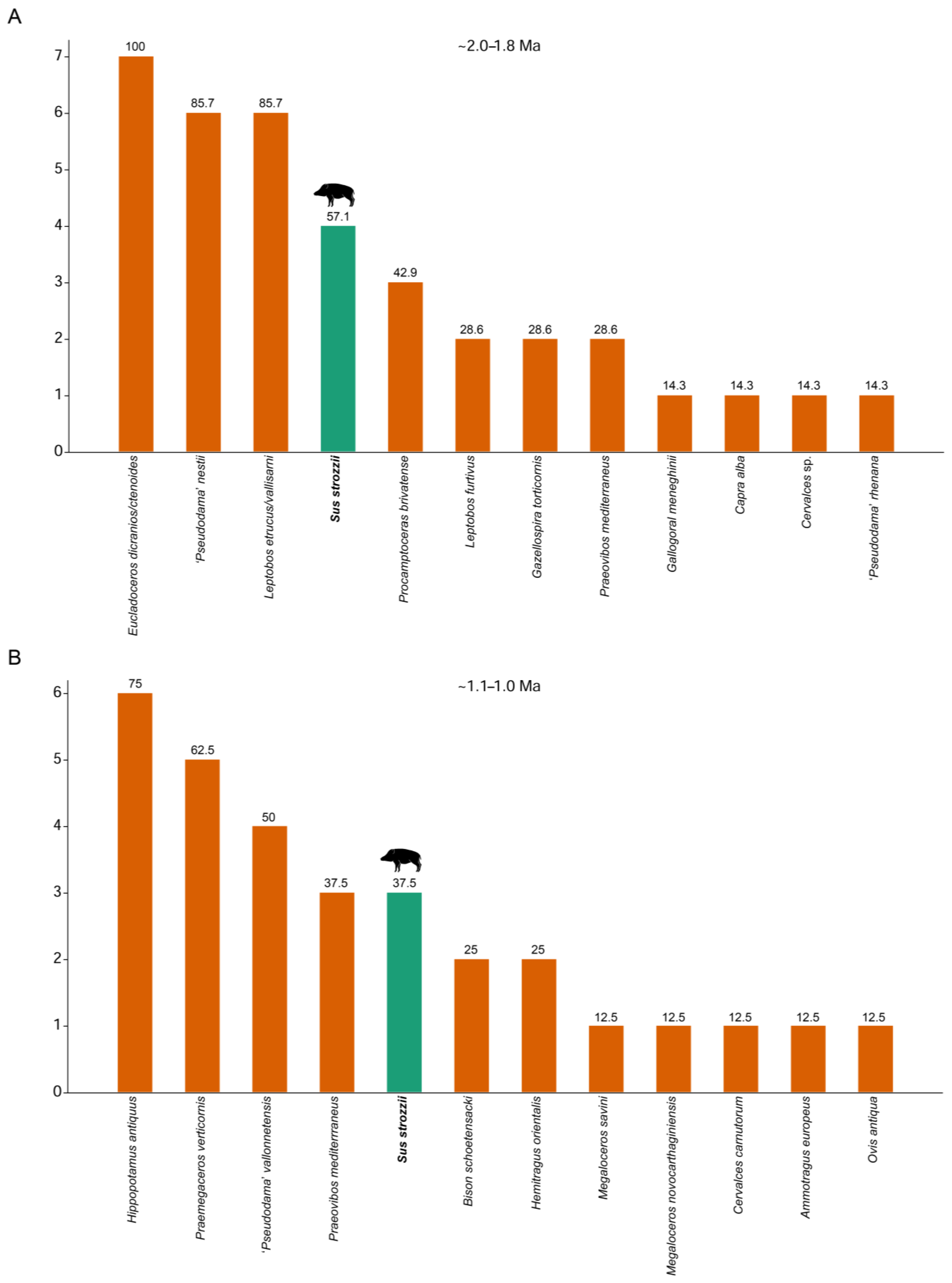
Considering the frequency of suid occurrences in comparison to those of other artiodactyls, in late Villafranchian faunas dated between ~2.0 and 1.8 Ma, suids are moderately common, being recorded in more than half (57.1%) of the paleontological localities (Figure 8A), while in the Epivillafranchian, ~1.1–1.0 Ma, they are moderately rare (37.5%) (Figure 8B).
Figure 8.
Frequency of occurrence of suids (in green) and other artiodactyl species (in orange) in southwestern Europe ~2.0–1.8 Ma (A) and ~1.1–1.0 Ma (B). The vertical axis indicates the number of localities. The value above each bar represents the percentage of occurrence over the total of localities. Data are from Palombo [3], with emendations detailed in Section 3.3.
7. Discussion
7.1. The Reproductive Strategy of Suids
Investigating the reproductive strategies of artiodactyls emphasized the uniqueness of suids, especially manifested in the large number of offspring per litter and short gestation length. These results agree with previous studies that underlined that extant suids are relatively r-selected in comparison to other ungulates, especially considering the wild boar, S. scrofa [18,32,72]. The r/K selection theory is a generalization of the ecological continuum of reproduction strategies, according to which r-selected species are those that maximize the quantity of offspring, while K-selected species focus on the “quality” (i.e., fewer offspring but with a greater investment) [73,74]. Many shades exist between the hypothetical endmembers of the spectrum and the use of the r/K selection theory as a predictive model in a strict sense is now surpassed (e.g., [75,76]), but considering species adaptations in this conceptual framework and its relative deviations toward one of the other ends—with respect to other related species—is often useful for understanding its ecology and evolution. This is because many biological features related to reproduction are also related to each other and to other life history traits (Figure 4). Indeed, the r/K terminology derives from the theory of island biogeography of MacArthur and Wilson [77,78], in which the different strategies are linked to different aspects of colonization and evolution on islands. From the above digression on reproduction strategies, the exceptionality of suids clearly emerges, as when the conditions are favorable, suids can reproduce at an extremely fast rate despite not being unlike other artiodactyls in the body-mass-related component of reproduction strategy (as exemplified by the PCA carried out herein, Figure 5).
Some aspects of the peculiar reproductive strategy of suids are, to some extent, shared with tayassuids (peccaries)—which are suids’ closest living relatives—suggesting that related extinct species were also relatively r-selected. Indeed, tayassuids have a higher LS, LY, and shorter GSL than most other artiodactyls (Figure 6). At the same time, some suids, especially those belonging to Sus, specialized even further in the direction of the rapidity of reproduction, with the most emblematic example being the wild boar, S. scrofa.
The peculiar reproductive strategy of suids certainly render them capable to cope with environmental disturbance better than many other ungulates, favored the impressive demographic increase in wild boar populations observed over the last decades, and facilitated their natural or human-mediated introduction in many regions of the world [79,80,81,82,83,84]. The difference in reproduction strategies has also been argued to be a key factor to explain S. scrofa’s ability to cope with environmental changes occurred during the Late Pleistocene of Apulia (southern Italy) through shifts in body size, whereas other large mammals reacted by modifying their range or went extinct [32]. Moreover, there might be a relation between the reproductive potential of suids and the morphological changes observed along some lineages in the fossil record, in turn promoting their employment as a biochronological tool or paleoecological proxy, especially in the African Neogene-Quaternary (e.g., [85,86,87,88,89,90]).
7.2. Abundance and Frequency of Suids in the Early Pleistocene of Europe
Considering the above section, during the Pleistocene of Europe, it would have been reasonable to observe a high density of suid populations, which belonged to species either directly known (S. scrofa) or indirectly expected (S. strozzii) to reproduce extremely fast. The question is, does this translate in an abundant presence of their remains in the fossil record? Judging from the available evidence, the answer is negative. Rather, it appears that suids were rare. Remains assigned to S. strozzii are already known from some localities older than 2 Ma, but none of them include more than a handful of specimens [13]—though Senèze yielded an almost complete skeleton [70]. To the list of early occurrences of S. strozzii discussed by Iannucci [13] (Saint Vallier, Valdeganga II, Coste San Giacomo, Quercia, and Vigna Nuova) should be added Pantalla, which has recently been recognized as older than previously assumed, at ~2.2 Ma [91]. Even in the case of Pantalla, S. strozzii is represented only by a hemimandible [31]. The time span bracketed between 2 and 1.8 Ma can be considered the acme of abundance of S. strozzii, with several localities correlated with the Olivola and Tasso FUs documenting the presence of the species, especially in central Italy [13,31,68,70] (Figure 8A). The only site of this period for which detailed information on NISP and MNI is available is Poggio Rosso (Upper Valdarno), where suid remains account for a mere 4% of the total [49]. Despite this percentage being quite modest, the abundance of suid remains in the rest of the Early Pleistocene is even lower (Figure 7)—and, for completeness, it is worth mentioning that the situation does not change substantially in the early Middle Pleistocene, when S. scrofa is present [13,92].
Considering the frequency of occurrences of artiodactyl species at ~2.0–1.8 Ma and ~1.1–1.0 Ma, suids appear moderately common to moderately rare, being recorded in 57.1% and 37.5% of the localities, respectively (Figure 8). The general pattern indicates the presence of a few common species and a larger number of rare taxa, a skewed distribution that is frequently observed in ecology [93]. However, exploring commonness and rarity in the fossil record is biased by several factors that make some species seemingly rarer than they actually were. First, the sampled interval often intercepts only a portion of the temporal distribution of a taxon. For instance, Bison schoetensacki and Megaloceros savini are widely represented in the European fossil record [24,94], but since the chosen time span of ~1.1–1.0 Ma includes their earliest occurrences, they were obviously not recorded in all localities. The same applies to Gazellospira torticornis or Hippopotamus in the time span of ~2.0–1.8 Ma, which, respectively, intercepts only late (for G. torticornis) or early (for Hippopotamus) occurrences of the species [12,95].
Second, divergent taxonomic opinions might inflate the number of recognized species—and hence their perceived rarity—and here I necessarily followed a splitter approach, being a revision of taxa other than suids outside the scope of this work. For instance, this might be relevant for Caprini [96].
Of course, the geographical distribution of a species also affects its perceived rarity. For example, this case applies here to Cervalces sp. and Cervalces carnutorum, both of which are present in only one of the considered faunas, but merely because they had a mainly northern distribution [97].
As this study treated suids altogether and focused on time spans and a geographical area where they were deemed to be abundant, the aforementioned factors play a role in making suids apparently more common than they were. Critically evaluating the results of this investigation, it could be stressed that suids were certainly more common only than Caprini, but even this consideration should be taken with caution, considering that the apparent high diversity and rarity of Caprini might also be partly a result of their debated taxonomy [96].
In general, there is no clear relationship between reproductive strategy and commonness of a species in the fossil record, as exemplified by the frequency of occurrences and abundance of hippopotamuses remains (which are far from being fast-reproducing mammals).
In sum, suids are generally rare in the Pleistocene record of Europe, being only moderately common during the ~2.0–1.8 Ma time span, and only in terms of number of occurrences.
The reason why suids are rare is probably linked to multiple factors that act at different scales, although the paucity of sites with suid remains precludes to adequately test for causal relationships. Since suids are intelligent, robust, and more aggressive than many other artiodactyls [84], it is likely that predators usually preferred preys other than suids. This is supported by the low percentage of suid remains in sites whose faunal remains were mainly or partly collected by carnivores (Figure 7). For instance, the bone accumulation of Poggio Rosso has been interpreted as primarily resulting from the activity of the giant hyena Pachycrocuta brevirostris [49,98], a species which was also directly involved at Vallparadís [52], and generally regarded as a major taphonomic agent during the Early Pleistocene of Europe [45]. The extent of the influence of the first hominins dispersing into Europe on the environment and on specific sites is debated, and arguably it was less relevant than in later chronologies, although growing with the spread of the Acheulean since the very late Early Pleistocene and during the Middle Pleistocene [99,100]. In any case, hominins also probably preferred preys other than suids, as, for instance, testified by the several Middle Pleistocene archaeological sites in which suid remains are scanty or absent [92].
The social organization of suids is another aspect of their biology that likely contribute to their rarity in the fossil record. Indeed, although suids are social animals, they did not form large herds [84]. In several suid species, the most common social unit consists of a female and her litter, while adult males are often solitary [84,101]. Larger groups are of sporadic nature, only occasionally documented, and mainly observed in S. scrofa in relation to exceptional concentrations of resources that hardly have analogues in the Pleistocene of Europe (e.g., agricultural crops) [101]. The number of individuals that might die and potentially be preserved in the fossil record due to sporadic events like, e.g., a flood, is therefore usually rather limited.
Suids also do not display specific adaptations that would increase the chances of naturally died animals to be preserved as fossils, as it is likely the case for the semi-aquatic habits of hippopotamuses in open-air sites related to fluvio-lacustrine deposits.
In brief, suid remains in the Pleistocene of Europe are rare seemingly irrespective of type of site (e.g, open-air, karstic cavity) and type of accumulation (e.g., carnivore den, natural trap). In this situation, suids might easily be apparently absent in a time span during which few fossil sites and/or suboptimal environmental conditions occurred (see Section 7.4).
7.3. Fossil Localities and the “Suid Gap”
When discussing the potential suid occurrences falling in the time span of their supposed absence from Europe, Martínez-Navarro et al. [18] only listed and doubted, on biochronological grounds, the record from the Ellera Basin (Italy), placed by Pazzaglia et al. [102] at ~1.6–1.5 Ma. There are, however, several other localities that might fill the “suid gap” (Figure 2). Those listed by Van der Made et al. [24] included, in assumed chronological order from older to younger, Mugello, Selvella, Peyrolles, ‘Ubeidiya, Pirro Nord, and Ceyssaguet. More recently, Kostopoulos et al. [56] reported the presence of suids from the sites of Krimni-1 and Krimni-3, both referred to as ~1.5 Ma. In the following, all these localities are briefly discussed.
The inferred age of Mugello and Selvella localities is based on their classical placement in Italian biochronological schemes (i.e., Farneta FU, e.g., [27]). Abbazzi et al. [103] provided a more detailed overview of the Mugello Basin faunas, referring them to the Tasso or Farneta FUs and reporting the occurrence of S. strozzii only from Pulicciano, together with Hippopotamus sp. and Mammuthus meridionalis. The latter species are both documented before, during, and after the “suid gap” [3,12,104], hence not providing robust biochronological constraints. On the other hand, the reference of the Selvella fauna to the Farneta FU has been accepted in several works (e.g., [61,105]). However, the material assigned by De Giuli [106] to a suid is limited to an isolated and fragmentary humerus, whose attribution seems doubtful [106] (p. 15).
The presence of suids at ‘Ubeidiya is undeniable [107]; although, pending a revision of the sample, they should be referred to as Sus sp. [17]. The fauna contains several European elements, but, on the other hand, the site is not in Europe, hence offering arguments in favor or against the “suid gap” hypothesis. For instance, envisioning the Levant as a regium area or as an intermediate step in a new wave of dispersal of suids from Asia [25,56]. Moreover, the available chronological estimates for the site do not rule out an age younger than the “suid gap” end [53,54,108].
The presence of suids at Pirro Nord is mentioned in the reports of two independent collections, namely by Freudenthal [109] and De Giuli et al. [110], though unfortunately only in the form of a mere appearance in faunal lists. In any case, although the site of Pirro Nord has been extensively investigated over the years and especially after the discovery of lithic tools documenting one the earliest hominin evidence in Europe (e.g., [111,112,113,114,115,116]), the artiodactyl fauna gathered in the aforementioned collections has not been the object of a systematic revision, which would be necessary to confirm or debunk the presence of suids. In this regard, it is worth mentioning that the material collected by Freudenthal [109] was returned to the University of Bari, but it has been only recently “rediscovered”, and it is currently under revision [117]. On the other hand, it is worth mentioning that, according to Falguères [9], unpublished radiometric estimates would point to an age close to 1 Ma for Pirro Nord, hence substantially younger than assumed so far.
The deposit of Ceyssaguet is placed above a lava flow dated at ~1.3 Ma [118] and hence it might fall within or be younger than the “suid gap” end, with prevailing opinions pointing to an age of ~1.2 Ma [119]. According to Van der Made et al. [24], Ceyssaguet would be the youngest locality with S. strozzii, although the sample is still unpublished.
The two sites with suid remains recently reported by Kostopoulos et al. [56] from the area of Krimni (Krimni-1 and Krimni-3) are, according to the authors, different spots likely belonging to the same fossiliferous level. The deposits are placed in the upper part of the Gerakarou Formation and the fauna has been biochronologically placed between those of Tsiotra Vryssi (~1.8–1.5 Ma) and Apollonia 1 (~1.2–1.0 Ma) [120,121].
In general, until now, accepting or not the absence of suids from Europe in the 1.8–1.2 Ma time span rested on the biochronological placement of some localities (e.g., Ceyssaguet, Ellera, Mugello), which is prone to subjectivity and biased by the paucity of late Villafranchian deposits in several areas (see next section), and on discounting or not occurrences merely based on faunal lists (especially Peyrolles and Pirro Nord).
Here, the presence of suids from the 1.47 Ma site of Peyrolles is confirmed, perfectly filling the purported “suid gap”. The age of the site does not contrast with the traditional biochronological placement of the fauna [11,96] and, unlike other localities, is further supported by radiometric dating [39].
7.4. Implications for Late Villafranchian Biochronology and Faunal Dynamics
Alongside the different traits of suid biology discussed in Section 7.2, the environmental conditions also represent a factor affecting suid abundance, and hence potentially influencing their presence in the fossil record. Sus strozzii is traditionally considered a species adapted to humid and forested environments [16], especially after the considerations of comparative anatomy pointed out by Azzaroli [70]. Iannucci et al. [17] suggested a link between the ecological requirements of S. strozzii and its decrease in abundance from the late Villafranchian to the Epivillafranchian. Subsequently, Cherin et al. [25] pointed out the need to evaluate the ecology of S. strozzii with methods independent of morphology. Kostopoulos et al. [56] considered the “wet” ecological profile of S. strozzii an explanation for its absence from well-sampled but unsuitable localities such as Apollonia-1 and report preliminary microwear analysis that would indicate S. strozzii had indeed narrow trophic requirements ([122] not seen, fide [56]). Although further studies are needed to clarify the ecology of S. strozzii, Epivillafranchian suid remains are very scanty and a reduction in the frequency of occurrences with respect to late Villafranchian faunas dated at ~2.0–1.8 Ma is also detectable (Section 7.2). This indicates that a decrease in suid populations (or at least of their representation in the fossil record) took place, and a climatic or environmental drive would be the most reasonable explanation.
In Figure 9, the most important large mammal sites dated to or correlated between less than 1.8 and more than 1.2 Ma (placed within the Farneta and Pirro FUs; MNQ 19), that is, within the time span of the purported absence of suids from Europe [3,18,25], are plotted against a background representing the current Köppen-Geiger climate classification [123]. Of course, there is no one-to-one equivalence between current and past climate, but it is conceivable that similar relative differences existed between regions [3]. In any case, whatever the extent of the differences between regions truly was, the disproportion in the geographical distribution of the sites is striking. Peyrolles is the only locality in western Europe outside the Iberian and Italian Peninsulas reliably dated within this time span, and perhaps it is not a coincidence that the only site of this period where the presence of suids is verified is also the northernmost site.
Figure 9.
Large mammal paleontological sites in western Europe correlated with the Farneta and Pirro FUs or MNQ 19 (estimated to correspond to ~1.6–1.2 Ma) plotted on a map showing the current Köppen-Geiger climate classification. BSk: arid, steppe, cold; Csa: temperate, dry summer, hot summer (Mediterranean); Cfa: temperate, no dry season, hot summer; Cfb: temperate, no dry season, warm summer. Based on Beck et al. [123], where complete color scheme to climate information is available.
The Spanish localities of Orce (Venta Micena, Barranco Leon, and Fuente Nueva), whose climate is classified as temperate with dry and hot summers, and Pirro Nord in Italy (temperate with no dry season and hot summer) are also surrounded by a large belt of areas characterized by harsher conditions than those projected for the sites themselves. Considering the rarity of suids in the Pleistocene of Europe, only these localities have yielded the thousands of remains needed to be reasonably sure that their absence is not due to a taphonomic artefact (and they might be present at Pirro Nord; see Section 7.3). In this regard, the case of Dmanisi is emblematic. Indeed, although Vekua [124] described an isolated incisor of Sus sp. from the site, suids have long been considered absent [18]. Recently, Tappen et al. [7] clarified that 2 specimens of suids are recorded from B1, out of 2764 identified remains. This means that suids at Dmanisi are present, but account for less than 0.01% of the total of the findings.
The case of suids is representative of how this “geographical bias” seriously affects our comprehension of the faunal dynamics and correlations of the key time span comprised between the occurrence of hominins in the Caucasus and their spread into western Europe, but it is only an expression of a broader problem. For instance, even the giant hyena Pachycrocuta brevirostris, which is generally considered a ubiquitous predator in the Early Pleistocene of Europe since ~2.0–1.8 Ma of often-stressed importance for biochronology, taphonomy, etc., is not documented in France before its occurrence in some localities referred to as Epivillafranchian [45,119]. For P. brevirostris, it is evident that this absence is merely due to the lack of known deposits of the appropriate age, and it might easily pass unnoticed in the first place, being greatly counterbalanced by the abundant samples from the surrounding areas [45]. However, if P. brevirostris was evidently capable to maintain viable populations in most of Europe, the same was hardly the case of other species with more selective ecological requirements, which might have retreated to areas not yielding many fossiliferous deposits (or were simply better represented there than elsewhere). In this regard, the extreme paucity of localities in northern and central Europe, reasonably experiencing different environmental conditions than in the south, should be recognized as a substantial limitation in inferring the tempo and mode of the late Early Pleistocene faunal renewal—including the dispersal of hominins.
Another aspect of the thorny “suid gap” question offers room for discussing an additional general problem. As previously noted, while some authors recognized the existence of the “suid gap” [18,25], others did not [24]. Part of the reason rests on the divergent opinions on the biochronological placement of some localities (see previous section). In turn, this controversy is fueled by the low number of paleontological sites and exacerbated by their unbalanced geographical distribution, but also by the paucity of independent constraints. Indeed, in the post-Olduvai to pre-Jaramillo Early Pleistocene, there are few magnetic excursions of short duration [125] and few sites that are associated with robust radiometric ages [9]. Remarkably, the 40Ar/39Ar method, which can be considered the gold standard for dating Early (but also Middle) Pleistocene sites, has been successfully applied only on a fraction of them [9,39].
8. Conclusions
Suids have often been regarded as absent from Europe in the period bracketed between less than 1.8 and more than 1.2 Ma based on their great reproductive potential and the assumption than this would translate into an abundant fossil record [18]. Whilst the exceptionality of the fast reproductive strategy of suids is confirmed herein, the putative link between it and the commonness of pig remains in the fossil record is not. Suids are generally rare in the Early Pleistocene of Europe and adjoining areas, an emblematic case being Dmanisi, where they are present but account for less than 0.01% of the total of the remains [7].
Here, suid material is described from the French site of Peyrolles, radiometrically dated at 1.47 Ma, presenting direct evidence for the presence of suids within the alleged “suid gap”. Peyrolles (reference for MNQ 19; correlative of Farneta or Pirro FUs) is the only large mammal late Villafranchian locality in western Europe located outside the Iberian and Italian Peninsulas that is reliably dated within this time span.
The case of the purported absence of suids from Europe is the most striking example of our still rather vague comprehension of the faunal dynamics of the ~1.8–1.2 Ma time span. This is the period between the spread of hominins in the Caucasus and the generally accepted age for their arrival in Europe. However, few sites of these age are known in Europe, even fewer are associated with robust radiometric constraints, their geographical distribution is disproportionally biased toward southern Europe, and the paleomagnetic signal of this period is rather monotonous (few excursions and seldom recorded). Collectively, these factors generate a high dependence on biochronological correlations while at the same time making these correlations less reliable—because these are based on a few sites not covering the entire spectrum of environments present in Europe and the sites are not dated independently with methods that outperform biochronology—than those available for other periods. The bias is evident, and it is predictable that several localities correlated within this time span will be reconsidered close to or even younger than the upper limits based on current biochronological estimates, when new independent dating or new findings will become available. In this regard, the possibility that, like suids, other groups survived or could be better documented in the late Villafranchian of scarcely sampled areas (e.g., France) is especially promising.
Supplementary Materials
The following supporting information can be downloaded at: https://www.mdpi.com/article/10.3390/quat7010011/s1, Table S1: data used in Figure 8.
Funding
This research received support from the SYNTHESYS+ Project http://www.synthesys.info/ which is financed by the European Community Research Infrastructure Action under the H2020 Integrating Activities Programme, Project number 823827 (grants GB-TAF-TA4-011 at the Natural History Museum London and HU-TAF-Call4-Iannucci at the Hungarian Natural History Museum). I am currently supported by the Alexander von Humboldt Foundation.
Data Availability Statement
The considered material is curated and available for study in public institutions and all the data analyzed in this work are either directly available within this article or from the cited references.
Acknowledgments
For access and support during the study of the material from Peyrolles and comparative samples, I am thankful to S. Pappa and N. Adams (Natural History Museum London) and to M. Gasparik (Hungarian Natural History Museum, Budapest). The organization of the session “Mammals Biochronology and Paleoecology of the Euro-Mediterranean Quaternary” during the XXI INQUA conference (Rome, Italy, 14–20 July 2023), where a preliminary version of this work has been presented, was a stimulating occasion of discussion. Two anonymous reviewers provided valuable comments and suggestions, for which I am grateful.
Conflicts of Interest
The author declares no conflicts of interest. The funders had no role in the design of the study; in the collection, analyses, or interpretation of data; in the writing of the manuscript; or in the decision to publish the results.
References
- Shackleton, N.J. New data on the evolution of Pliocene climatic variability. In Paleoclimate and Evolution, with Emphasis on Human Evolution; Vrba, E.S., Denton, G.H., Patridge, T.C., Burckle, L.H., Eds.; Yale University Press: London, UK, 1995; pp. 242–248. [Google Scholar]
- Kahlke, R.-D.; García, N.; Kostopoulos, D.S.; Lacombat, F.; Lister, A.M.; Mazza, P.P.A.; Spassov, N.; Titov, V.V. Western Palaearctic palaeoenvironmental conditions during the Early and early Middle Pleistocene inferred from large mammal communities, and implications for hominin dispersal in Europe. Quat. Sci. Rev. 2011, 30, 1368–1395. [Google Scholar] [CrossRef]
- Palombo, M.R. Deconstructing mammal dispersals and faunal dynamics in SW Europe during the Quaternary. Quat. Sci. Rev. 2014, 96, 50–71. [Google Scholar] [CrossRef]
- Gibbard, P.L.; Head, M.J. The Quaternary Period. In Geologic Time Scale 2020; Gradstein, F.M., Ogg, J.G., Schmitz, M.D., Ogg, G.M., Eds.; Elsevier: Amsterdam, The Netherlands, 2020; pp. 1217–1255. [Google Scholar]
- Iannucci, A.; Sardella, R. What does the “Elephant-Equus” event mean today? Reflections on mammal dispersal events around the Pliocene-Pleistocene boundary and the flexible ambiguity of biochronology. Quaternary 2023, 6, 16. [Google Scholar] [CrossRef]
- Rightmire, G.P.; Margvelashvili, A.; Lordkipanidze, D. Variation among the Dmanisi hominins: Multiple taxa or one species? Am. J. Phy. Anthrop. 2019, 168, 481–495. [Google Scholar] [CrossRef] [PubMed]
- Tappen, M.; Bukhsianidze, M.; Ferring, R.; Coil, R.; Lordkipanidze, D. Life and death at Dmanisi, Georgia: Taphonomic signals from the fossil mammals. J. Hum. Evol. 2022, 171, 103249. [Google Scholar] [CrossRef]
- Muttoni, G.; Scardia, G.; Kent, D.V. Early hominins in Europe: The Galerian migration hypothesis. Quat. Sci. Rev. 2018, 180, 1–29. [Google Scholar] [CrossRef]
- Falguères, C. The first human settlements out africa into Europe: A chronological perspective. Quat. Sci. Rev. 2020, 247, 106551. [Google Scholar] [CrossRef]
- Azzaroli, A. Quaternary mammals and the “end-Villafranchian” dispersal event—A turning point in the history of Eurasia. Palaeogeogr. Palaeoclimatol. Palaeoecol. 1983, 44, 117–139. [Google Scholar] [CrossRef]
- Azzaroli, A.; De Giuli, C.; Ficcarelli, G.; Torre, D. Late Pliocene to early mid-Pleistocene mammals in Eurasia: Faunal succession and dispersal events. Palaeogeogr. Palaeoclimatol. Palaeoecol. 1988, 66, 77–100. [Google Scholar] [CrossRef]
- Iannucci, A.; Mecozzi, B.; Sardella, R. Beware of the “Wolf event”–Remarks on large mammal dispersals in Europe and the late Villafranchian faunal turnover. Alp. Mediterr. Quat. 2023, 36, 75–90. [Google Scholar] [CrossRef]
- Iannucci, A. Sus strozzii (Suidae, Mammalia) from the historical locality of Quercia (Early Pleistocene, Italy). Geobios 2023, 77, 27–36. [Google Scholar] [CrossRef]
- Forsyth Major, C.I. Studi sugli avanzi pleistocenici del genere Sus. Atti Soc. Toscana Sci. Nat. P. V. 1881, 2, 227. [Google Scholar]
- Linnaeus, C. Systema Naturae Per Regna Tria Naturae, Secundum Classes, Ordines, Genera, Species, Cum Characteribus, Differentiis, Synonymis, Locis; Tomus, I., Editio Decima, R., Eds.; Laurentius Salvius: Stockholm, Sweden, 1758. [Google Scholar]
- Faure, M.; Guérin, C. Sus strozzii et Sus scrofa, deux mammiferes artiodactyles, marqueurs des paleoenvironnements. Palaeogeogr. Palaeoclimatol. Palaeoecol. 1984, 48, 215–228. [Google Scholar] [CrossRef]
- Iannucci, A.; Gasparik, M.; Sardella, R. First report of Sus strozzii (Suidae, Mammalia) from the Early Pleistocene of Hungary (Dunaalmás) and species distinction based on deciduous teeth. Sci. Nat. 2020, 107, 5. [Google Scholar] [CrossRef] [PubMed]
- Martínez-Navarro, B.; Madurell-Malapeira, J.; Ros-Montoya, S.; Espigares, M.P.; Medin, T.; Hortola, P.; Palmqvist, P. The Epivillafranchian and the arrival of pigs into Europe. Quat. Int. 2015, 389, 131–138. [Google Scholar] [CrossRef]
- Kahlke, R.-D. Untermassfeld. A Late Early Pleistocene (Epivillafranchian) Fossil Site near Meiningen (Thuringia, Germany) and Its Position in the Development of the European Mammal Fauna; British Archaeological Reports, International Series 1578; BAR Publishing: Oxford, UK, 2006. [Google Scholar]
- Kahlke, R.-D. Late Early Pleistocene European large mammals and the concept of an Epivillafranchian biochron. Cour. Forsch.-Inst. Senckenberg 2007, 259, 265–278. [Google Scholar]
- Kahlke, R.-D. Les communautés de grands mammifères du Pléistocène inférieur terminal et le concept d’un biochrone Épivillafranchien. Quaternaire 2009, 20, 415–427. [Google Scholar] [CrossRef]
- Bellucci, L.; Sardella, R.; Rook, L. Large mammal biochronology framework in Europe at Jaramillo: The Epivillafranchian as a formal biochron. Quat. Int. 2015, 389, 84–89. [Google Scholar] [CrossRef]
- Bona, F.; Sala, B. Villafranchian-Galerian mammal faunas transition in South-Western Europe. The case of the late Early Pleistocene mammal fauna of the Frantoio locality, Arda River (Castell’Arquato, Piacenza, northern Italy). Geobios 2016, 49, 329–347. [Google Scholar] [CrossRef]
- Van der Made, J.; Rosell, J.; Blasco, R. Faunas from Atapuerca at the Early-Middle Pleistocene limit: The ungulates from level TD8 in the context of climatic change. Quat. Int. 2017, 433, 296–346. [Google Scholar] [CrossRef]
- Cherin, M.; Alba, D.M.; Crotti, M.; Menconero, S.; Moullé, P.-É.; Sorbelli, L.; Madurell-Malapeira, J. The post-Jaramillo persistence of Sus strozzii (Suidae, Mammalia) in Europe: New evidence from the Vallparadís Section (NE Iberian Peninsula) and other coeval sites. Quat. Sci. Rev. 2020, 233, 106234. [Google Scholar] [CrossRef]
- Van der Made, J.; Moyà-Solà, S. European Suinae (Artiodactyla) from the Late Miocene onwards. Boll. Soc. Paleontol. Ital. 1989, 28, 329–339. [Google Scholar]
- Gliozzi, E.; Abbazzi, L.; Argenti, P.; Azzaroli, A.; Caloi, L.; Capasso Barbato, L.; Di Stefano, G.; Esu, D.; Ficcarelli, G.; Girotti, O.; et al. Biochronology of selected mammals, molluscs and ostracods from the middle Pliocene to the late Pleistocene in Italy. The state of the art. Riv. Ital. Paleontol. Stratigr. 1997, 103, 369–388. [Google Scholar] [CrossRef]
- Guérin, C.; Faure, M. The Wild Boar (Sus scrofa priscus) from the Post-Villafranchian Lower Pleistocene of Untermaßfeld. In Das Pleistozän von Untermaßfeld bei Meiningen (Thüringen). Teil 1.; Kahlke, R.-D., Ed.; Monographien des Römisch-Germanisches Zentralmuseum: Mainz, Germany, 1997; pp. 375–383. [Google Scholar]
- Lister, A.M.; Parfitt, S.A.; Owen, F.J.; Collinge, S.E.; Breda, M. Metric analysis of ungulate mammals in the early Middle Pleistocene of Britain, in relation to taxonomy and biostratigraphy: II: Cervidae, Equidae and Suidae. Quat. Int. 2010, 228, 157–179. [Google Scholar] [CrossRef]
- Antoine, P.; Moncel, M.H.; Limondin-Lozouet, N.; Locht, J.L.; Bahain, J.J.; Moreno, D.; Voinchet, P.; Auguste, P.; Stoetzel, E.; Dabkowski, J.; et al. Palaeoenvironment and dating of the Early Acheulean localities from the Somme River basin (Northern France): New discoveries from the high terrace at Abbeville-Carrière Carpentier. Quat. Sci. Rev. 2016, 149, 338–371. [Google Scholar] [CrossRef]
- Cherin, M.; Sorbelli, L.; Crotti, M.; Iurino, D.A.; Sardella, R.; Souron, A. New material of Sus strozzii (Suidae, Mammalia) from the Early Pleistocene of Italy and a phylogenetic analysis of suines. Quat. Sci. Rev. 2018, 194, 94–115. [Google Scholar] [CrossRef]
- Iannucci, A.; Sardella, R.; Strani, F.; Mecozzi, B. Size shifts in late Middle Pleistocene to Early Holocene Sus scrofa (Suidae, Mammalia) from Apulia (southern Italy): Ecomorphological adaptations? Hystrix 2020, 31, 10–20. [Google Scholar] [CrossRef]
- Luzón, C.; Yravedra, J.; Courtenay, L.A.; Saarinen, J.; Blain, H.A.; DeMiguel, D.; Viranta, S.; Azanza, B.; Rodrigez-Alba, J.J.; Herranz-Rodrigo, D.; et al. Taphonomic and spatial analyses from the early Pleistocene site of Venta Micena 4 (Orce, Guadix-Baza Basin, southern Spain). Sci. Rep. 2021, 11, 13977. [Google Scholar] [CrossRef]
- Valli, A.M.F.; Caron, J.-B.; Debard, E.; Guérin, C.; Pastre, J.-F.; Argant, J. Le gisement paléontologique villafranchien terminal de Peyrolles (Issoire, Puy-de-Dôme, France): Résultats de nouvelles prospections. Geodiversitas 2006, 28, 297–317. [Google Scholar]
- Bout, P.; Azzaroli, A. Stratigraphie et faune du Creux de Peyrolles près Perrier (Puy-de-Dôme). Annal. Paloentol. 1952, 38, 37–56. [Google Scholar]
- Bout, P. Le Villafranchien du Velay et du Basin Hydrographique Moyen et Supérieur de L’allier; Imprimerie Jeanne d’Arc: Le Puy-en-Velay, France, 1960. [Google Scholar]
- Couthures, J.; Pastre, J.F. Chronostratigraphie du Plio-PIéistocène d’Auvergne et du Velay: Nouveaux apports des datations radiométriques et du paléomagnétisme. Quaternaire 1983, 20, 9–18. [Google Scholar] [CrossRef]
- Poidevin, J.L.; Cantagrel, J.M.; GUERPA. Un site unique du Plio-Pleistocene en Europe: Le pluteau de Perrier (Puy-de-Dôme)—Confrontation des donneés volcanologiques, stratigraphiques et paléontologiques. Rev. Sc. Nat. d’Auvergne 1984, 50, 87–95. [Google Scholar]
- Nomade, S.; Pastre, J.-F.; Guillou, H.; Faure, M.; Guérin, C.; Delson, E.; Debard, E.; Voinchet, P.; Msessager, E. 40Ar/39Ar constraints on some French landmark Late Pliocene to Early Pleistocene large mammalian paleofaunas: Paleoenvironmental and paleoecological implications. Quat. Geochronol. 2014, 21, 2–15. [Google Scholar] [CrossRef]
- Lo Bello, P. Géochronologie par la Méthode 39Ar-40Ar de Ponces Quaternaires Contaminées: Exemple des Ponces du Mont-Dore (Massif Central, France). Utilisation d’un Laser Continu Pour la Datation des Min´Eraux Individuels. Unpublished Ph.D. Thesis, Université de Nice, Nice, France, 1988. [Google Scholar]
- Palombo, M.R.; Valli, A.M.F. Remarks on the biochronology of mammalian faunal complexes from the Pliocene to the Middle Pleistocene in France. Geol. Romana 2004, 37, 145–163. [Google Scholar]
- Thouveny, N.; Taieb, M.; Bonnet, A. Etude magnétostratigraphique du remplissage du Pléistocene inférieur de la grotte de La Sartanette (Remoulins, Gard). Bull. Soc. Geol. Fr. 1984, 26, 1385–1388. [Google Scholar] [CrossRef]
- Paquette, J.L.; Médard, E.; Poidevin, J.L.; Barbet, P. Precise dating of middle to late Villafranchian mammalian paleofaunae from the Upper Allier River valley (French Massif Central) using U-Pb geochronology on volcanic zircons. Quat. Geochronol. 2021, 65, 101198. [Google Scholar] [CrossRef]
- Heintz, E.; Guérin, C.; Martin, P.; Prat, F. Principaux gisements Villafranchiens de France: Listes fauniques et biostratigraphie. Mem. BRGM 1974, 78, 411–417. [Google Scholar]
- Iannucci, A.; Mecozzi, B.; Sardella, R.; Iurino, D.A. The extinction of the giant hyena Pachycrocuta brevirostris and a reappraisal of the Epivillafranchian and Galerian Hyaenidae in Europe: Faunal turnover during the Early–Middle Pleistocene Transition. Quat. Sci. Rev. 2021, 272, 107240. [Google Scholar] [CrossRef]
- Cherin, M.; Breda, M.; Esattore, B.; Hart, V.; Turek, J.; Porciello, F.; Angeli, G.; Holpin, S.; Iurino, D.A. A Pleistocene Fight Club revealed by the palaeobiological study of the Dama-like deer record from Pantalla (Italy). Sci. Rep. 2022, 12, 13898. [Google Scholar] [CrossRef]
- Soria, C.D.; Pacifici, M.; Di Marco, M.; Stephen, S.M.; Rondinini, C. COMBINE: A coalesced mammal database of intrinsic and extrinsic traits. Ecology 2021, 102, e03344. [Google Scholar] [CrossRef]
- Hammer, Ø.; Harper, D.A.T.; Ryan, P.D. PAST: Paleontological statistics software package for education and data analysis. Palaeontol. Electron. 2001, 4, 4. [Google Scholar]
- Mazza, P.P.A.; Bertini, A.; Magi, M. The late Pliocene site of Poggio Rosso (central Italy): Taphonomy and paleoenvironment. Palaios 2004, 19, 227–248. [Google Scholar] [CrossRef]
- Barash, A.; Belmaker, M.; Bastir, M.; Soudack, M.; O’Brien, H.D.; Woodward, H.; Prendergast, A.; Barzilai, O.; Been, E. The earliest Pleistocene record of a large-bodied hominin from the Levant supports two out-of-Africa dispersal events. Sci. Rep. 2022, 12, 1721. [Google Scholar] [CrossRef] [PubMed]
- Kahlke, R.-D. (Ed.) The Pleistocene of Untermassfeld—A synopsis of site origin, palaeobiodiversity, taphonomic characteristics, palaeoenvironment, chronostratigraphy, and significance in western Palaearctic faunal history. In The Pleistocene of Untermassfeld near Meiningen (Thüringen, Germany); Part 5; Monographien des Römisch-Germanisches Zentralmuseum: Mainz, Germany, 2022; pp. 1635–1734. [Google Scholar]
- Madurell-Malapeira, J.; Alba, D.M.; Espigares, M.-P.; Vinuesa, V.; Palmqvist, P.; Martínez-Navarro, B.; Moyà-Solà, S. Were large carnivorans and great climatic shifts limiting factors for hominin dispersals? Evidence of the activity of Pachycrocuta brevirostris during the Mid-Pleistocene Revolution in the Vallparadís Section (Vallès-Penedès Basin, Iberian Peninsula). Quat. Int. 2017, 431, 42–52. [Google Scholar] [CrossRef]
- Tchernov, E. The age of the ‘Ubeidiya Formation, an Early Pleistocene hominid site in the Jordan Valley, Israel. Isr. J. Earth Sci. 1987, 36, 3–30. [Google Scholar]
- Martínez-Navarro, B.; Belmaker, M.; Bar-Yosef, O. The large carnivores from ‘Ubeidiya (early Pleistocene, Israel): Biochronological and biogeographical implications. J. Hum. Evol. 2009, 56, 514–524. [Google Scholar] [CrossRef]
- Belmaker, M. Insights from carnivore community composition on the paleoecology of early Pleistocene Eurasian sites: Implications for the dispersal of hominins out of Africa. Quat. Int. 2018, 464, 3–17. [Google Scholar] [CrossRef]
- Kostopoulos, D.S.; Konidaris, G.E.; Amanatidou, M.; Chitoglou, K.; Fragkioudakis, E.; Gerakakis, N.; Giannakou, V.; Gkeme, A.; Kalaitzi, C.; Tsakalidis, C.; et al. The new fossil site Krimni-3 in Mygdonia Basin and the first evidence of a giant ostrich in the Early Pleistocene of Greece. PalZ 2023, 97, 147–161. [Google Scholar] [CrossRef]
- De Giuli, C.; Masini, F. Late Villafranchian faunas in Italy: The Casa Frata local fauna (Upper Valdarno, Tuscany). Palaeontogr. Ital. 1986, 74, 1–9. [Google Scholar]
- Napoleone, G.; Albanielli, A.; Azzaroli, A.; Bertini, A.; Magi, M.; Mazzini, M. Calibration of the Upper Valdarno Basin to the Plio-Pleistocene for correlating the Apennine continental sequences. Ital. J. Quat. Sci. 2003, 16, 131–166. [Google Scholar]
- Iannucci, A.; Conti, J.; Curcio, F.; Iurino, D.A.; Mancini, M.; Mecozzi, B.; Strani, F.; Sardella, R. Middle Pleistocene mammal faunas of the area of Rome: Recent results and ongoing work on the MUST collection. J. Mediterr. Earth Sci. 2023, 15, 19–37. [Google Scholar] [CrossRef]
- Duval, M.; Arnold, L.J.; Demuro, M.; Parés, J.M.; Campaña, I.; Carbonell, E.; de Castro, J.M.B. New chronological constraints for the lowermost stratigraphic unit of Atapuerca Gran Dolina (Burgos, N Spain). Quat. Geochron. 2022, 71, 101292. [Google Scholar] [CrossRef]
- Iannucci, A.; Cherin, M.; Sardella, R. The lost hyena from Paciano (Umbria, Italy) reconsidered. Alp. Mediterr. Quat. 2022, 35, 105–117. [Google Scholar]
- Masini, F.; Palombo, M.R.; Rozzi, R. A reappraisal of the early to middle Pleistocene Italian Bovidae. Quat. Int. 2013, 288, 45–62. [Google Scholar] [CrossRef]
- Sorbelli, L.; Cherin, M.; Kostopoulos, D.S.; Sardella, R.; Mecozzi, B.; Plotnikov, V.; Prat-Vericat, M.; Azzarà, B.; Bartolini-Lucenti, S.; Madurell-Malapeira, J. Earliest bison dispersal in Western Palearctic: Insights from the Eobison record from Pietrafitta (Early Pleistocene, central Italy). Quat. Sci. Rev. 2023, 301, 107923. [Google Scholar] [CrossRef]
- Siori, M.S.; Sala, B. The mammal fauna from the late Early Biharian site of Castagnone (Northern Monferrato, Piedmont, NW Italy). Geobios 2007, 40, 207–217. [Google Scholar] [CrossRef]
- Guérin, C.; Dewolf, Y.; Lautridou, J.P. Révision d’un site paléontologique célèbre: Saint-Prest (Chartres, France). Geobios 2003, 36, 55–82. [Google Scholar] [CrossRef]
- Owen, R. Description of teeth and portions of jaws of two extinct anthracotherioid quadrupeds (Hyopotamus vectianus and Hyop. bovinus) discovered by the Marchioness of Hastings in the Eocene deposits on the N. W. coast of the Isle of Wight: With an attempt to develop Cuvier’s idea of the classification of pachyderms by the number of their toes. Q. J. Geol. Soc. Lond. 1848, 4, 103–141. [Google Scholar]
- Gray, J.E. On the natural arrangement of vertebrose animals. London Medical Reposit. Monthly J. Rev. 1821, 15, 296–310. [Google Scholar]
- Iannucci, A. New results on suids from the Early Pleistocense site of Untermassfeld. In The Pleistocene of Untermassfeld near Meiningen (Thüringen, Germany); Part 5; Kahlke, R.-D., Ed.; Monographien des Römisch-Germanisches Zentralmuseum: Mainz, Germany, 2022; pp. 1339–1354. [Google Scholar]
- Schaub, S. Die oberpliocaene Säugetierfauna von Senèze (Haute-Loire) und ihre verbreitungsgeschichtliche Stellung. Eclogae Geol. Helv. 1943, 36, 270–289. [Google Scholar]
- Azzaroli, A. Revisione dei terreni fluvio-lacustri del Valdarno Superiore. V. Filogenesi e biologia di Sus strozzii e Sus minor. Palaeontogr. Ital. 1954, 48, 41–76. [Google Scholar]
- Dubost, G.; Charron, F.; Courcoul, A.; Rodier, A. The Chinese water deer, Hydropotes inermis—A fast-growing and productive ruminant. Mammal. Biol. 2011, 76, 190–195. [Google Scholar] [CrossRef]
- Frauendorf, M.; Gethöffer, F.; Siebert, U.; Keuling, O. The influence of environmental and physiological factors on the litter size of wild boar (Sus scrofa) in an agriculture dominated area in Germany. Sci. Total Environ. 2016, 541, 877–882. [Google Scholar] [CrossRef]
- Pianka, E.R. On r- and K-Selection. Am. Nat. 1970, 104, 592–597. [Google Scholar] [CrossRef]
- Tuomi, J. Mammalian reproductive strategies: A generalized relation of litter size to body size. Oecologia 1980, 45, 39–44. [Google Scholar] [CrossRef] [PubMed]
- Stearns, S.C. Life history tactics: A review of the ideas. Quart. Rev. Biol. 1976, 51, 3–47. [Google Scholar] [CrossRef] [PubMed]
- Reznick, D.; Bryant, M.J.; Bashey, F. r-and K-selection revisited: The role of population regulation in life-history evolution. Ecology 2002, 83, 1509–1520. [Google Scholar] [CrossRef]
- MacArthur, R.H.; Wilson, E.O. An equilibrium theory of insular zoogeography. Evolution 1963, 17, 373–387. [Google Scholar] [CrossRef]
- MacArthur, R.H.; Wilson, E.O. The Theory of Island Biogeography; Princeton University Press: Princeton, NJ, USA, 1967. [Google Scholar]
- Bieber, C.; Ruf, T. Population dynamics in wild boar Sus scrofa: Ecology, elasticity of growth rate and implications for the management of pulsed resource consumers. J. Appl. Ecol. 2005, 42, 1203–1213. [Google Scholar] [CrossRef]
- Geisser, H.; Reyer, H.-U. The influence of food and temperature on population density of wild boar Sus scrofa in the Thurgau (Switzerland). J. Zool. 2005, 267, 89–96. [Google Scholar] [CrossRef]
- Keuling, O.; Baubet, E.; Duscher, A.; Ebert, C.; Fischer, C.; Monaco, A.; Podgórski, T.; Prevot, C.; Ronnenberg, K.; Sodeikat, G.; et al. Mortality rates of wild boar Sus scrofa L. in central Europe. Eur. J. Wildl. Res. 2013, 59, 805–814. [Google Scholar] [CrossRef]
- Massei, G.; Kindberg, J.; Licoppe, A.; Gačić, D.; Šprem, N.; Kamler, J.; Baubet, E.; Hohmann, U.; Monaco, A.; Ozoliņš, J.; et al. Wild boar populations up, numbers of hunters down? A review of trends and implications for Europe. Pest Manag. Sci. 2015, 71, 492–500. [Google Scholar] [CrossRef]
- Vetter, S.G.; Ruf, T.; Bieber, C.; Arnold, W. What is a mild winter? Regional differences in within-species responses to climate change. PLoS ONE 2015, 10, e0132178. [Google Scholar] [CrossRef] [PubMed]
- Melletti, M.; Meijaard, E. Ecology, Conservation and Management of Wild Pigs and Peccaries; Cambridge University Press: Cambridge, UK, 2017. [Google Scholar]
- White, T.D.; Harris, J.M. Suid evolution and correlation of African hominid localities. Science 1977, 198, 13–21. [Google Scholar] [CrossRef] [PubMed]
- Cooke, H.B.S.; Wilkinson, A.F. Suidae and Tayassuidae. In Evolution of African Mammals; Maglio, V.J., Cooke, H.B.S., Eds.; Harvard University Press: Cambridge, UK, 1978; pp. 435–482. [Google Scholar]
- Harris, J.M.; Cerling, T.E. Dietary adaptations of extant and Neogene African suids. J. Zool. 2002, 256, 45–54. [Google Scholar] [CrossRef]
- Harris, J.M.; White, T.D. Evolution of the Plio-Pleistocene African Suidae. Trans. Am. Philos. Soc. 1979, 69, 1–128. [Google Scholar] [CrossRef]
- Souron, A. Diet and ecology of extant and fossil wild pigs. In Ecology, Conservation and Management of Wild Pigs and Peccaries; Melletti, M., Meijaard, E., Eds.; Cambridge University Press: Cambridge, UK, 2017; pp. 29–38. [Google Scholar]
- Yang, D.; Pisano, A.; Kolasa, J.; Jashashvili, T.; Kibii, J.; Cano, A.R.G.; Viriot, N.; Grine, F.E.; Souron, A. Why the long teeth? Morphometric analysis suggests different selectivse pressures on functional occlusal traits in Plio-Pleistocene African suids. Paleobiology 2022, 48, 655–676. [Google Scholar] [CrossRef]
- Cherin, M.; Basilici, G.; Duval, M.; Shao, Q.; Sier, M.J.; Parés, J.M.; Gliozzi, E.; Mazzini, I.; Magri, D.; Di Rita, F.; et al. The dawn of the Late Villafranchian: Paleoenvironment and age of the Pantalla paleontological site (Italy; Early Pleistocene). Quat. Sci. Rev. 2023, 316, 108279. [Google Scholar] [CrossRef]
- Strani, F.; Bellucci, L.; Iannucci, A.; Iurino, D.A.; Mecozzi, B.; Sardella, R. Palaeoenvironments of the MIS 15 site of Cava di Breccia—Casal Selce 2 (central Italian Peninsula) and niche occupation of fossil ungulates during Middle Pleistocene interglacials. Hist. Biol. 2022, 34, 555–565. [Google Scholar] [CrossRef]
- Magurran, A.E.; Henderson, P.A. Explaining the excess of rare species in natural species abundance distributions. Nature 2003, 422, 714–716. [Google Scholar] [CrossRef]
- Sorbelli, L.; Alba, D.M.; Cherin, M.; Moullé, P.É.; Brugal, J.P.; Madurell-Malapeira, J. A review on Bison schoetensacki and its closest relatives through the early-Middle Pleistocene transition: Insights from the Vallparadís Section (NE Iberian Peninsula) and other European localities. Quat. Sci. Rev. 2021, 261, 106933. [Google Scholar] [CrossRef]
- Hermier, R.; Merceron, G.; Kostopoulos, D.S. The emblematic Eurasian Villafranchian antelope Gazellospira (Mammalia: Bovidae): New insights from the Lower Pleistocene Dafnero fossil sites (Northern Greece). Geobios 2020, 61, 11–29. [Google Scholar] [CrossRef]
- Palombo, M.R. Discrete dispersal bioevents of large mammals in Southern Europe in the post-Olduvai Early Pleistocene: A critical overview. Quat. Int. 2017, 431, 3–19. [Google Scholar] [CrossRef]
- Breda, M.; Marchetti, M. Systematical and biochronological review of Plio-Pleistocene Alceini (Cervidae; Mammalia) from Eurasia. Quat. Sci. Rev. 2005, 24, 775–805. [Google Scholar] [CrossRef]
- Mazza, P.P.A. Poggio Rosso (Upper Valdarno, central Italy), a window on latest Pliocene wildlife. Palaios 2006, 21, 493–498. [Google Scholar] [CrossRef]
- Moncel, M.-H.; Lemorini, C.; Eramo, G.; Fioretti, G.; Daujeard, C.; Curci, A.; Berto, C.; Hardy, B.; Pineda, A.; Rineau, V.; et al. A taphonomic and spatial distribution study of the new levels of the middle Pleistocene site of Notarchirico (670–695 ka, Venosa, Basilicata, Italy). Archaeol. Anthropol. Sci. 2023, 15, 106. [Google Scholar] [CrossRef]
- Ollé, A.; Lombao, D.; Asryan, L.; Gárcia-Medano, P.; Arroyo, A.; Fernández-Marchena, J.L.; Yesilova, G.C.; Cáceres, I.; Huguet, R.; López-Polín, L.; et al. The earliest European Acheulean: New insights into the large shaped tools from the late Early Pleistocene site of Barranc de la Boella (Tarragona, Spain). Front. Earth Sci. 2023, 11, 1188663. [Google Scholar] [CrossRef]
- Mayer, J.J.; Brisbin, I.E. Wild Pigs: Biology, Damage, Control Techniques and Management; Savannah River National Laboratory: Aiken, SC, USA, 2009. [Google Scholar]
- Pazzaglia, F.; Barchi, M.R.; Buratti, N.; Cherin, M.; Pandolfi, L.; Ricci, M. Pleistocene calcareous tufa from the Ellera basin (Umbria, central Italy) as a key for an integrated paleoenvironmental and tectonic reconstruction. Quat. Int. 2013, 292, 59–70. [Google Scholar] [CrossRef]
- Abbazzi, L.; Benvenuti, M.; Rook, L.; Masini, F. Biochronology of the Mugello intermontane basin (northern Apennines, Italy). Il Quat. 1995, 8, 5–10. [Google Scholar]
- Fidalgo, D.; Rosas, A.; Madurell-Malapeira, J.; Pineda, A.; Huguet, R.; García-Tabernero, A.; Cáceres, I.; Olle, A.; Vallverdú, J.; Saladie, P. A review on the Pleistocene occurrences and palaeobiology of Hippopotamus antiquus based on the record from the Barranc de la Boella Section (Francolí Basin, NE Iberia). Quat. Sci. Rev. 2023, 307, 108034. [Google Scholar] [CrossRef]
- Alberdi, M.T.; Palombo, M.R. The late Early to early Middle Pleistocene stenonoid horses from Italy. Quat. Int. 2013, 288, 25–44. [Google Scholar] [CrossRef]
- De Giuli, C. Late Villafranchian faunas of Italy: The Selvella local fauna in the southern Chiana Valley-Umbria. Palaeontogr. Ital. 1986, 74, 11–50. [Google Scholar]
- Geraads, D.; Guérin, C.; Faure, M. Les suidés du Pléistocène ancien d’Oubeidiyeh (Israël). Mem. Travaux Cent. Rech. Fr. Jerus. 1986, 5, 93–105. [Google Scholar]
- Rink, W.J.; Bartoll, J.; Schwarcz, H.P.; Shane, P.; Bar-Yosef, O. Testing the reliability of ESR dating of optically exposed buried quartz sediments. Radiat. Meas. 2007, 42, 1618–1626. [Google Scholar] [CrossRef]
- Freudenthal, M. Neogene vertebrates from the Gargano Peninsula, Italy. Scripta Geol. 1971, 3, 1–10. [Google Scholar]
- De Giuli, C.; Masini, F.; Torre, D. The latest Villafranchian faunas in Italy: The Pirro Nord fauna (Apricena, Gargano). Palaeontogr. Ital. 1986, 74, 51–62. [Google Scholar]
- Arzarello, M.; Marcolini, F.; Pavia, G.; Pavia, M.; Petronio, C.; Petrucci, M.; Rook, L.; Sardella, R. Evidence of earliest human occurrence in Europe: The site of Pirro Nord (southern Italy). Naturwissenschaften 2007, 94, 107–112. [Google Scholar] [CrossRef]
- Arzarello, M.; Pavia, G.; Peretto, C.; Petronio, C.; Sardella, R. Evidence of an early Pleistocene hominin presence at Pirro Nord (Apricena, Foggia, southern Italy): P13 site. Quat. Int. 2012, 267, 56–61. [Google Scholar] [CrossRef]
- Arzarello, M.; De Weyer, L.; Peretto, C. The first European peopling and the Italian case: Peculiarities and “opportunism”. Quat. Int. 2016, 393, 41–50. [Google Scholar] [CrossRef]
- Pavia, M.; Zunino, M.; Coltorti, M.; Angelone, C.; Arzarello, M.; Bagnus, C.; Bellucci, L.; Colombero, S.; Marcolini, F.; Peretto, C.; et al. Stratigraphical and palaeontological data from the Early Pleistocene Pirro 10 site of Pirro Nord (Puglia, south eastern Italy). Quat. Int. 2012, 267, 40–55. [Google Scholar] [CrossRef]
- Petrucci, M.; Cipullo, A.; Martínez-Navarro, B.; Rook, L.; Sardella, R. The Late Villafranchian (Early Pleistocene) carnivores (Carnivora, Mammalia) from Pirro Nord (Italy). Palaeontogr. Abt. A 2013, 298, 113–145. [Google Scholar] [CrossRef]
- Carpentieri, M.; Arzarello, M. For our world without sound: The opportunistic debitage in the Italian context—A methodological evaluation of the lithic assemblages of Pirro Nord, Cà Belvedere di Montepoggiolo, Ciota Ciara Cave and Riparo Tagliente. J. Paleolithic Archaeol. 2022, 5, 12. [Google Scholar] [CrossRef]
- Stefanelli, D.; Mecozzi, B.; Breda, M.; Girone, A.; La Perna, R.; Maiorano, P.; Marino, M.; Sardella, R. Paleodays 2023—XXIII Edizione Delle Giornate di Paleontologia Lecce, 7–9 Giugno 2023, Abstract Book; Cherin, M., Collareta, A., Eds.; Rediscovering the Fossil Collection from the Late Early Pleistocene Site of Pirro Nord (Foggia, Southern Italy) at the Bari University; University of Salento: Lecce, Italy, 2023; p. 76. [Google Scholar]
- Tsoukala, E.; Bonifay, M.-F. The Early Pleistocene Carnivores (Mammalia) from Ceyssaguet (Haute-Loire). Paléo 2004, 16, 193–242. [Google Scholar]
- Brugal, J.P.; Argant, A.; Boudadi-Maligne, M.; Crégut-Bonnoure, E.; Croitor, R.; Fernandez, P.; Fourvel, J.-P.; Fosse, P.; Gaudelli, J.-L.; Labe, B.; et al. Pleistocene herbivores and carnivores from France: An updated overview of the literature, sites and taxonomy. Ann. Paleontol. 2020, 106, 102384. [Google Scholar] [CrossRef]
- Koufos, G.D.; Kostopoulos, D.S. The Plio-Pleistocene large mammal record of Greece: Implications for early human dispersals into Europe In Paleoanthropology of the Balkans and Anatolia; Harvati, K., Roksandic, M., Eds.; Springer: Dordrecht, The Netherlands, 2016; pp. 269–280. [Google Scholar]
- Konidaris, G.E.; Kostopoulos, D.S.; Maron, M.; Schaller, M.; Ehlers, T.A.; Aidona, E.; Marini, M.; Tourloukis, V.; Muttoni, G.; Koufos, G.D.; et al. Dating of the Lower Pleistocene vertebrate site of Tsiotra Vryssi (Mygdonia Basin, Greece): Biochronology, magnetostratigraphy, and cosmogenic radionuclides. Quaternary 2021, 4, 1. [Google Scholar] [CrossRef]
- Alifieri, E. Dietary Adaptations of the Early Pleistocene Gerakarou Mammal Community (Mygdonia Basin, Greece). Unpublished Master’s Thesis, Interinstitutional Program of Postgraduate Studies in Palaeontology-Geobiology, Aristotle University of Thessaloniki, Thessaloniki, Greece, 2021. [Google Scholar]
- Beck, H.E.; Zimmermann, N.E.; McVicar, T.R.; Vergopolan, N.; Berg, A.; Wood, E.F. Present and future Köppen-Geiger climate classification maps at 1-km resolution. Sci. Data 2018, 5, 180214. [Google Scholar] [CrossRef]
- Vekua, A. Die Wirbeltierfauna des Villafranchium von Dmanisi und ihre biostratigraphische Bedeutung. Jahrb. RGZM 1995, 42, 77–180. [Google Scholar]
- Channell, J.E.T.; Singer, B.S.; Jicha, B.R. Timing of Quaternary geomagnetic reversals and excursions in volcanic and sedimentary archives. Quat. Sci. Rev. 2020, 228, 106114. [Google Scholar] [CrossRef]
Disclaimer/Publisher’s Note: The statements, opinions and data contained in all publications are solely those of the individual author(s) and contributor(s) and not of MDPI and/or the editor(s). MDPI and/or the editor(s) disclaim responsibility for any injury to people or property resulting from any ideas, methods, instructions or products referred to in the content. |
© 2024 by the author. Licensee MDPI, Basel, Switzerland. This article is an open access article distributed under the terms and conditions of the Creative Commons Attribution (CC BY) license (https://creativecommons.org/licenses/by/4.0/).








