First Chronological Constraints for the High Terraces of the Upper Ebro Catchment
Abstract
:1. Introduction
2. Regional Setting
3. Material and Methods
3.1. Sampling
3.2. ESR Method
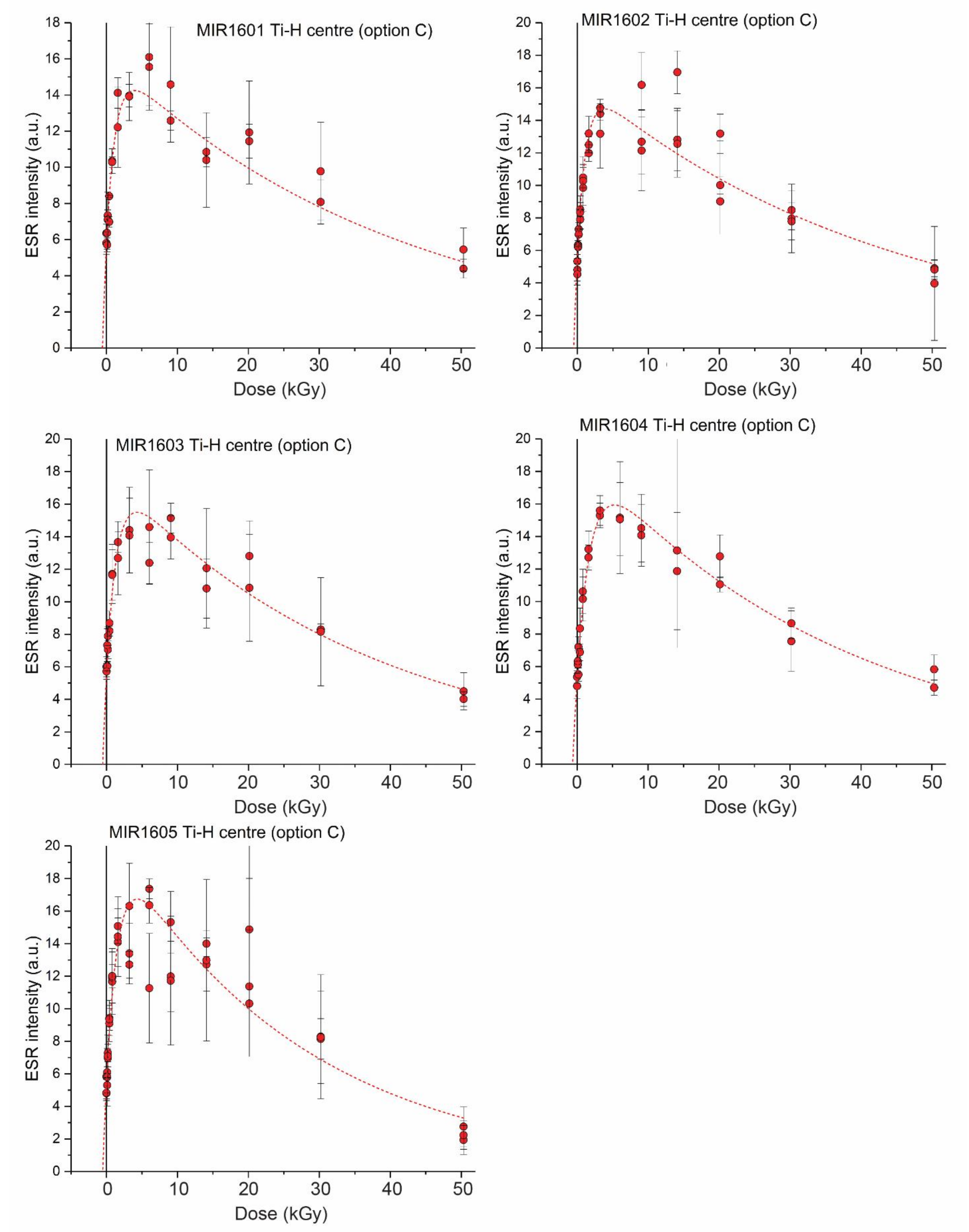
3.2.1. ESR Dosimetry
3.2.2. Dose Rate Evaluation
3.2.3. ESR Age Calculation
3.3. Paleomagnetism
4. Results
4.1. Geomorphological and Sedimentological Characteristics
4.2. ESR Data
4.3. Dose Rate Considerations
4.4. Paleomagnetism
5. Discussion: ESR–Paleomagnetism Age Combined Results
5.1. Age Determination
5.2. Lower Pleistocene Terraces
6. Final Remarks and Conclusions
Supplementary Materials
Author Contributions
Funding
Institutional Review Board Statement
Acknowledgments
Conflicts of Interest
References
- Antón, L.; De Vicente, G.; Muñoz-Martín, A.; Stokes, M. Using river long profiles and geomorphic indices to evaluate the geomorphological signature of continental scale drainage capture, Duero basin (NW Iberia). Geomorphology 2014, 206, 250–261. [Google Scholar] [CrossRef]
- Cunha, P.; Martins, A.A.; Gomes, A.; Stokes, M.; Cabral, J.; Lopes, F.C.; Pereira, D.; de Vicente, G.; Builaert, J.P.; Murray, A.S.; et al. Mechanism and age estimates of continental-scale endorheic to exorheic drainage transition: Douro River, Western Iberia. Glob. Planet. Chang. 2019, 181. [Google Scholar] [CrossRef]
- Friend, P.F.; Dabrio, C.J. (Eds.) Tertiary Basins of Spain; Cambridge University Press: Cambridge, UK, 1996; 400p. [Google Scholar]
- Gutiérrez Elorza, M.; García-Ruiz, J.M.; Goy, J.L.; Gracia, F.J.; Gutierrez-Santolalla, F.; Martí, C.; Martín Serrano, A.; Pérez-Gonzalez, A.; Zazo, C.; Aguirre, E. Quaternary. In The Geology of Spain; Gibbons, W., Moreno, T., Eds.; Geological Society: Bath, UK, 2002; pp. 335–366. [Google Scholar]
- Martín-Serrano, A. La definicion y el encajamiento de la red fluvial actual sobre el macizo hesperico en el marco de su geodinámica alpina. Rev. Soc. Geol. España 1991, 4, 337–351. [Google Scholar]
- Rodríguez-Rodríguez, L.; Antón, L.; Rodés, A.; Pallàs, R.; García-Castellanos, D.; Jiménez-Munt, I.; Struth, L.; Leanni, L.; Aumaître, G.; Bourlès, D.; et al. Dates and rates of endo-exorheic drainage development: Insights from fluvial terraces (Duero River, Iberian Peninsula). Glob. Planet. Chang. 2020, 193, 103271. [Google Scholar] [CrossRef]
- Santisteban, J.I.; Schulte, L. Fluvial networks of the Iberian Peninsula: A chronological framework. Quat. Sci. Rev. 2007, 26, 2738–2757. [Google Scholar] [CrossRef]
- Gouveia, M.P.; Cunha, P.P.; Falguères, C.; Voinchet, P.; Martins, A.A.; Bahain, J.-J.; Pereira, A. Electron spin resonance dating of the culminant allostratigraphic unit of the Mondego and Lower Tejo Cenozoic basins (W Iberia), which predates fluvial incision into the basin-fill sediments. Glob. Planet. Chang. 2020, 184, 103081. [Google Scholar] [CrossRef]
- Bridgland, D.R. River terrace systems in north-west Europe: An archive of environmental change, uplift and early human occupation. Quat. Sci. Rev. 2000, 19, 1293–1303. [Google Scholar] [CrossRef]
- Cunha, P.P.; Martins, A.; Buylaert, J.-P.; Murray, A.S.; Raposo, L.; Mozzi, P.; Stokes, M. New data on the chronology of the Vale do Forno sedimentary sequence (Lower Tejo River terrace staircase) and its relevance as a fluvial archive of the Middle Pleistocene in western Iberia. Quat. Sci. Rev. 2017, 166, 204–226. [Google Scholar] [CrossRef] [Green Version]
- Houtgast, R.F.; van Balen, R.T. Neotectonics of the Roer Valley Rift System, the Netherlands. Glob. Planet. Chang. 2000, 27, 131–146. [Google Scholar] [CrossRef]
- Vandenberghe, J. The relation between climate and river processes, landforms and deposits during the Quaternary. Quat. Int. 2002, 91, 17–23. [Google Scholar] [CrossRef]
- Calvo, J.P.; Daams, R.; Morales, J.; Lopez Martinez, N. Up-to-date Spanish continental Neogene synthesis and paleoclimatic interpretation. Revista de la Sociedad Geológica de España 1993, 6, 29–40. [Google Scholar]
- Babault, J.; Loget, N.; Driessche, J.V.D.; Castelltort, S.; Bonnet, S.; Davy, P. Did the Ebro basin connect to the Mediterranean before the Messinian salinity crisis? Geomorphology 2006, 81, 155–165. [Google Scholar] [CrossRef] [Green Version]
- Coney, P.J.; Muñoz, J.A.; McClay, K.R.; Evenchick, C.A. Syntectonic burial and post-tectonic exhumation of the southern Pyrenees foreland fold–thrust belt. J. Geol. Soc. 1996, 153, 9–16. [Google Scholar] [CrossRef]
- Evans, G.; Arche, A. The flux of siliciclastic sediment from the Iberian Peninsula, with particular reference to the Ebro. In Sediment Flux to Basins: Causes, Controls and Consequences; Jones, S.J., Frostick, L.E., Eds.; Geological Society, Special Publications: London, UK, 2002; pp. 199–208. [Google Scholar]
- Garcia-Castellanos, D.; Vergés, J.; Gaspar-Escribano, J.M.; Cloetingh, S. Interplay between tectonics, climate, and fluvial transport during the Cenozoic evolution of the Ebro Basin (NE Iberia). J. Geophys. Res. Space Phys. 2003, 108, 2347. [Google Scholar] [CrossRef]
- Garcia-Castellanos, D.; Larrasoaña, J.C. Quantifying the post-tectonic topographic evolution of closed basins: The Ebro basin (northeast Iberia). Geology 2015, 43, 663–666. [Google Scholar] [CrossRef] [Green Version]
- Krijgsman, W.; Langereis, C.; Zachariasse, W.; Boccaletti, M.; Moratti, G.; Gelati, R.; Iaccarino, S.; Papani, G.; Villa, G. Late Neogene evolution of the Taza–Guercif Basin (Rifian Corridor, Morocco) and implications for the Messinian salinity crisis. Mar. Geol. 1999, 153, 147–160. [Google Scholar] [CrossRef] [Green Version]
- Nelson, C.; Maldonado, A. Factors controlling late Cenozoic continental margin growth from the Ebro Delta to the western Mediterranean deep sea. Mar. Geol. 1990, 95, 419–440. [Google Scholar] [CrossRef]
- Larrasoaña, J.C.; Murelaga, X.; Garcés, M. Magnetobiochronology of Lower Miocene (Ramblian) continental sediments from the Tuleda Formation (western Ebro basin, Spain). Earth Planet. Soc. Lett. 2006, 243, 409–423. [Google Scholar] [CrossRef]
- Pérez-Rivarés, F.J.; Garcés, M.; Arenas, C.; Pardo, G. Magnetocronologia de la sucesion Miocena de la Sierra de Alcubierre (sector central de la cuenca del Ebro). Rev. Soc. Geol. España 2002, 15, 217–231. [Google Scholar]
- Pérez-Rivarés, F.J.; Garcés, M.; Arenas, C.; Pardo, G. Magnetostratigraphy of the Miocene continental deposits of the Montes de Castejon (central Ebro basin, Spain): Geochronological and paleoenvironmental implications. Geol. Acta 2004, 2, 221–234. [Google Scholar]
- Vazquez-Urbez, M.; Arenas, C.; Pardo, G.; Perez-Rivares, J.; Abad, C.A. The Effect of Drainage Reorganization and Climate On the Sedimentologic Evolution of Intermontane Lake Systems: The Final Fill Stage of the Tertiary Ebro Basin (Spain). J. Sediment. Res. 2013, 83, 562–590. [Google Scholar] [CrossRef]
- Gracia-Prieto, J.; Gutiérrez-Elorza, M.; Sancho-Marcén, C. Las etapas terminales del Neógeno-Cuaternario de la Depresión del Ebro en La Plana Negra (provs. De Zaragoza y Navarra). Consideraciones morfogenéticas. Actas L. Reun. Quat. Iber. Lisb. 1985, 367–379. Available online: https://www.researchgate.net/profile/F-Gracia/publication/324475757_Las_etapas_terminales_del_Neogeno_-_Cuaternario_de_la_Depresion_del_Ebro_en_la_Plana_Negra_provs_de_Zaragoza_y_Navarra/links/5acf08aa0f7e9b18965a8aa5/Las-etapas-terminales-del-Neogeno-Cuaternario-de-la-Depresion-del-Ebro-en-la-Plana-Negra-provs-de-Zaragoza-y-Navarra.pdf (accessed on 1 July 2021).
- Benito, G.; Pérez-González, A.; Gutiérrez, F.; Machado, M.J. River response to Quaternary large-scale subsidence due to evaporite solution (Gállego River, Ebro Basin, Spain). Geomorphology 1998, 22, 243–263. [Google Scholar] [CrossRef]
- Benito, G.; Sancho, C.; Peña, J.; Machado, M.J.; Rhodes, E. Large-scale karst subsidence and accelerated fluvial aggradation during MIS6 in NE Spain: Climatic and paleohydrological implications. Quat. Sci. Rev. 2010, 29, 2694–2704. [Google Scholar] [CrossRef]
- Fuller, I.C.; Macklin, M.G.; Lewin, J.; Passmore, D.G.; Wintle, A.G. River response to high-frequency climate oscillations in southern Europe over the past 200 k.y. Geology 1998, 26, 275–278. [Google Scholar] [CrossRef]
- Lewis, C.J.; McDonald, E.V.; Sancho, C.; Peña, J.L.; Rhodes, E.J. Climatic implications of correlated Upper Pleistocene glacial and fluvial deposits on the Cinca and Gállego Rivers (NE Spain) based on OSL dating and soil stratigraphy. Glob. Planet. Chang. 2009, 67, 141–152. [Google Scholar] [CrossRef]
- Macklin, M.G.; Passmore, D.G. Pleistocene environmental change in the Guadalope basin, northeast Spain: Fluvial and archaeological records. In Mediterranean Quaternary River Environments; Lewin, J., Mackin, M.G., Woodward, J.C., Eds.; Balkema: Rotterdam, The Netherlands, 1995; pp. 103–113. [Google Scholar]
- Macklin, M.G.; Passmore, D.G.; Stevenson, A.C.; Davis, B.A.; Benavente, J.A. Response of rivers and lakes to Holocene environmental changes in the Alcañz region, Teruel, North-East Spain. In Environmental Change in Drylands: Biogeographic and Geomorphological Perspectives; Millington, A.C., Pye, K., Eds.; Wiley: New York, NY, USA, 1994; pp. 113–130. [Google Scholar]
- Peña, J.L.; Sancho, C.; Lewis, C.; McDonald, E.; Rhodes, E. Datos cronológicos de las morrenas terminales del glaciar del Gállego y su relación con las terrazas fluvioglaciares (Pirineo de Huesca). In Geografía Física de Aragón: Aspectos generales y temáticos; Peña, J.L., Longares, L.A., Sánchez, M., Eds.; Universidad de Zaragoza-Instituto Fernando el Católico: Zaragoza, Spain, 2004; pp. 71–84. [Google Scholar]
- Peña, J.L.; Lewis, C.; McDonald, E.; Rhodes, E.; Sancho, C. Ensayo cronológico del Pleistoceno Medio-Superior en la Cuenca del río Cinca (Pirineos y Depresión del Ebro). In Contribuciones Recientes Sobre Geomorfología; Benito, G., Díez Herrero, A., Eds.; Sociedad Española de Geomorfología-Consejo Superior de Investigaciones Científicas: Madrid, Spain, 2004; pp. 165–170. [Google Scholar]
- Peña, J.L.; Julián, A.; Chueca, J.; Echeverría, M.T.; Angeles, G.R. Etapas de evolución Holocena en el valle del Río Huerva: Geomorfología y geoarqueología. In Geografía Física de Aragón. Aspectos generales y temáticos; Peña, J.L., Longares, L.A., Sánchez, M., Eds.; Universidad de Zaragoza-Instituto Fernando el Católico: Zaragoza, Spain, 2004; pp. 289–302. [Google Scholar]
- Sancho, C.; Peña, J.L.; Lewis, C.; McDonald, E.; Rhodes, E. Preliminary dating of glacial and fluvial deposits in the Cinca River valley (NE Spain): Chronological evidences for the Glacial Maximum in the Pyrenees? In Quaternary Climatic Changes and Environmental Crises in the Mediterranean Region; Ruiz-Zapata, M.B., Dorado, M., Valdeolmillos, A., Gil García, M.J., Bardají, T., de Bustamante, I., Martínez Mendizábal, I., Eds.; Univ. Alcalá/INQUA: Madrid, Spain, 2003; pp. 169–173. [Google Scholar]
- Stange, K.M.; Van Balen, R.; Garcia-Castellanos, D.; Cloetingh, S. Numerical modelling of Quaternary terrace staircase formation in the Ebro foreland basin, southern Pyrenees, NE Iberia. Basin Res. 2014, 28, 124–146. [Google Scholar] [CrossRef]
- Whitfield, R.G.; Macklin, M.G.; Brewer, P.; Lang, A.; Mauz, B.; Maher), E.W. (Née The nature, timing and controls of the Quaternary development of the Rio Bergantes, Ebro basin, northeast Spain. Geomorphology 2013, 196, 106–121. [Google Scholar] [CrossRef]
- Gil, H.; Luzón, A.; Soriano, M.; Casado, I.; Pérez, A.; Yuste, A.; Pueyo, E.L.; Pocoví, A. Stratigraphic architecture of alluvial–aeolian systems developed on active karst terrains: An Early Pleistocene example from the Ebro Basin (NE Spain). Sediment. Geol. 2013, 296, 122–141. [Google Scholar] [CrossRef]
- Luzón, A.; Pérez, A.; Soriano, M.; Pocoví, A. Sedimentary record of Pleistocene paleodoline evolution in the Ebro basin (NE Spain). Sediment. Geol. 2008, 205, 1–13. [Google Scholar] [CrossRef]
- Luzón, A.; Rodríguez-López, J.P.; Pérez, A.; Soriano, M.A.; Gil, H.; Pocoví, A. Karst subsidence as a control on the accumulation and preservation of aeolian deposits: A Pleistocene example from a proglacial outwash setting, Ebro Basin, Spain. Sedimentology 2012, 59, 2199–2225. [Google Scholar] [CrossRef]
- Soria-Jáuregui, Á.; Amuchastegui, M.J.G.; Mauz, B.; Lang, A. Dynamics of Mediterranean late Quaternary fluvial activity: An example from the River Ebro (north Iberian Peninsula). Geomorphology 2016, 268, 110–122. [Google Scholar] [CrossRef]
- Leránoz, B. Terrazas y glacis del río Ebro en Navarra. Cuatern. España Port. 1993, 1, 119–128. [Google Scholar]
- Soria-Jáuregui, Á.; Jiménez-Cantizano, F.; Antón, L. Geomorphic and tectonic implications of the endorheic to exorheic transition of the Ebro River system in northeast Iberia. Quat. Res. 2018, 91, 472–492. [Google Scholar] [CrossRef] [Green Version]
- Guerrero, J.; Gutiérrez, F.; Lucha, P. Impact of halite dissolution subsidence on Quaternary fluvial terrace development: Case study of the Huerva River, Ebro Basin, NE Spain. Geomophology 2008, 100, 164–179. [Google Scholar] [CrossRef]
- Duval, M.; Sancho, C.; Calle, M.; Guilarte, V.; Peña-Monné, J.L. On the interest of using the multiple center approach in ESR dating of optically bleached quartz grains: Some examples from the Early Pleistocene terraces of the Alcanadre River (Ebro basin, Spain). Quat. Geochronol. 2015, 29, 58–69. [Google Scholar] [CrossRef] [Green Version]
- Duval, M.; Guilarte, V. ESR dosimetry of optically bleached quartz grains extracted from Plio-Quaternary sediment: Evaluating some key aspects of the ESR signals associated to the Ti-centers. Radiat. Meas. 2015, 78, 28–41. [Google Scholar] [CrossRef] [Green Version]
- Beroiz, C.; Solé, J. Mapa Geológico de España a E. 1:50.000, 2nd Serie, 1st ed.; Instituto Geológico y Minero de España: Madrid, Spain, 1772; p. 244. [Google Scholar]
- Olivé Davó, A.; Ramírez del Pozo, J. Memoria del Mapa Geológico de España a Escala 1:50.000, Hoja de Miranda de Ebro; IGME: Madrid, Spain, 1979. [Google Scholar]
- Barnolas, A.; Pujalte, V. La Cordillera Pirenaica; Vera, J.A., Ed.; Instituto Geológico y Minero de España—Sociedad Geológica de España: Madrid, Spain, 2004; Available online: http://info.igme.es/cartografiadigital/geologica/Magna50.aspx (accessed on 1 July 2021).
- Alonso-Zarza, A.M.; Armenteros, I.; Braga, J.C.; Muñoz, A.; Pujalte, V.; Ramos, E.; Aguirre, J.; Alonso-Gavilán, G.; Arenas, C.; Baceta, J.I.; et al. Ebro basin (northeastern Spain). In The Geology of Spain; Gibbons, W., Moreno, T., Eds.; Geological Society: Bath, UK, 2002; pp. 301–309. [Google Scholar]
- Aranegui, P. Las terrazas cuaternarias de la Cuenca del Ebro entre Sobrón y Haro. Bol. Real. Soc. Hist. Nat. 1927, 27, 429–434. [Google Scholar]
- Gonzalo Moreno, A.N. La Rioja. Análisis de Geomorfología Estructural; Instituto de Estudios Riojanos: Logroño, Spain, 1979. [Google Scholar]
- Toyoda, S.; Voinchet, P.; Falgueres, C.; Dolo, J.M.; Laurent, M. Bleaching of ESR signals by the sunlight: A laboratory experiment for establishing the ESR dating of sediments. Appl. Radiat. Isot. 2000, 52, 1357–1362. [Google Scholar] [CrossRef]
- Toyoda, S.; Falguères, C. The method to represent the ESR signal intensity of the aluminium hole center in quartz for the purpose of dating. Adv. ESR Appl. 2003, 20, 7–10. [Google Scholar]
- Duval, M.; Arnold, L.J. “Field gamma dose-rate assessment in natural sedimentary contexts using LaBr3(Ce) and NaI(Tl) probes: A comparison between the “threshold” and “windows” techniques. Appl. Radiat. Isot. 2013, 74, 36–45. [Google Scholar] [CrossRef] [PubMed]
- Guérin, G.; Mercier, N.; Adamiec, G. Dose-rate conversion factors: Update. Ancient TL 2011, 29, 5–8. [Google Scholar]
- Vandenberghe, D.; De Corte, F.; Buylaert, J.-P.; Kučera, J.; Haute, P.V.D. On the internal radioactivity in quartz. Radiat. Meas. 2008, 43, 771–775. [Google Scholar] [CrossRef]
- Bartz, M.; Arnold, L.J.; Spooner, N.A.; Demuro, M.; Campaña, I.; Rixhon, G.; Brückner, H.; Duval, M. First experimental evaluation of the alpha efficiency in coarse-grained quartz for ESR dating purposes: Implications for dose rate evaluation. Sci. Rep. 2019, 9, 1–10. [Google Scholar] [CrossRef] [PubMed]
- Brennan, B.J.; Lyons, R.; Phillips, S. Attenuation of alpha particle track dose for spherical grains. Int. J. Radiat. Appl. Instrum. Part D. Nucl. Tracks Radiat. Meas. 1991, 18, 249–253. [Google Scholar] [CrossRef]
- Brennan, B.J. Beta doses to spherical grains. Radiat. Meas. 2003, 37, 299–303. [Google Scholar] [CrossRef]
- Grün, R. A cautionary note: Use of ‘water content’ and ‘depth for cosmic ray dose rate’ in AGE and DATA programs. Ancient TL 1994, 12, 50–51. [Google Scholar]
- Prescott, J.R.; Hutton, J.T. Cosmic ray contributions to dose rates for luminescence and ESR dating: Large depths and long-term time variations. Radiat. Meas. 1994, 23, 497–500. [Google Scholar] [CrossRef]
- Prescott, J.R.; Hutton, J.T. Cosmic ray and gamma ray dosimetry for TL and ESR. Int. J. Radiat. Appl. Instrum. Part D. Nucl. Tracks Radiat. Meas. 1988, 14, 223–227. [Google Scholar] [CrossRef]
- Kreutzer, S.; Duval, M.; Bartz, M.; Bertran, P.; Bosq, M.; Eynaud, F.; Verdin, F.; Mercier, N. Deciphering long-term coastal dynamics using IR-RF and ESR dating: A case study from Médoc, south-west France. Quat. Geochronol. 2018, 48, 108–120. [Google Scholar] [CrossRef]
- Durcan, J.A.; King, G.; Duller, G. DRAC: Dose Rate and Age Calculator for trapped charge dating. Quat. Geochronol. 2015, 28, 54–61. [Google Scholar] [CrossRef] [Green Version]
- Bartz, M.; Rixhon, G.; Duval, M.; King, G.E.; Álvarez-Posada, C.; Parés, J.M.; Brückner, H. Successful combination of electron spin resonance, luminescence and palaeomagnetic dating methods allows reconstruction of the Pleistocene evolution of the lower Moulouya river (NE Morocco). Quat. Sci. Rev. 2018, 185, 153–171. [Google Scholar] [CrossRef] [Green Version]
- Bartz, M.; Arnold, L.; DeMuro, M.; Duval, M.; King, G.; Rixhon, G.; Posada, C. Álvarez; Parés, J.; Brückner, H. Single-grain TT-OSL dating results confirm an Early Pleistocene age for the lower Moulouya River deposits (NE Morocco). Quat. Geochronol. 2019, 49, 138–145. [Google Scholar] [CrossRef] [Green Version]
- Duval, M.; Voinchet, P.; Arnold, L.J.; Parés, J.M.; Minnella, W.; Guilarte, V.; Demuro, M.; Falguères, C.; Bahain, J.-J.; Despriée, J. A multi-technique dating study of two Lower Palaeolithic sites from the Cher Valley (Middle Loire Catchment, France): Lunery-la Terre-des-Sablons and Brinay-la Noira. Quat. Int. 2020, 556, 79–95. [Google Scholar] [CrossRef]
- Méndez-Quintas, E.; Santonja, M.; Pérez-González, A.; Duval, M.; Demuro, M.; Arnold, L. First evidence of an extensive Acheulean large cutting tool accumulation in Europe from Porto Maior (Galicia, Spain). Sci. Rep. 2018, 8, 1–13. [Google Scholar] [CrossRef]
- Sahnouni, M.; Parés, J.M.; Duval, M.; Cáceres, I.; Harichane, Z.; Van Der Made, J.; Pérez-González, A.; Abdessadok, S.; Kandi, N.; Derradji, A.; et al. 1.9-million- and 2.4-million-year-old artifacts and stone tool–cutmarked bones from Ain Boucherit, Algeria. Science 2018, 362, 1297–1301. [Google Scholar] [CrossRef] [Green Version]
- Voinchet, P.; Pereira, A.; Nomade, S.; Falguères, C.; Biddittu, I.; Piperno, M.; Moncel, M.-H.; Bahain, J.-J. ESR dating applied to optically bleached quartz—A comparison with 40Ar/39Ar chronologies on Italian Middle Pleistocene sequences. Quat. Int. 2020, 556, 113–123. [Google Scholar] [CrossRef]
- Bahain, J.-J.; Duval, M.; Voinchet, P.; Tissoux, H.; Falguères, C.; Grün, R.; Moreno, D.; Shao, Q.; Tombret, O.; Jamet, G.; et al. ESR and ESR/U-series chronology of the Middle Pleistocene site of Tourville-la-Rivière (Normandy, France)—A multi-laboratory approach. Quat. Int. 2020, 556, 66–78. [Google Scholar] [CrossRef]
- Duval, M.; Arnold, L.J.; Rixhon, G. Electron spin resonance (ESR) dating in Quaternary studies: Evolution, recent advances and applications. Quat. Int. 2020, 556, 1–10. [Google Scholar] [CrossRef]
- Miall, A.D. The geology of fluvial deposits. In Sedimentary Facies, Basin Analysis, and Petroleum Geology; Springer: Berlin/Heidelberg, Germany, 1996; p. 582. [Google Scholar]
- Nemec, W.; Postma, G. Quaternary Alluvial Fans in Southwestern Crete: Sedimentation Processes and Geomorphic Evolution. Alluv. Sediment. 2009, 17, 235–276. [Google Scholar] [CrossRef]
- Demuro, M.; Duval, M.; Arnold, L.J.; Spooner, N.A.; Creighton, D.F.; Méndez-Quintas, E.; Santonja, M.; Pérez-González, A. Insights into the relationship between luminescence and ESR dating signals from Spanish sedimentary quartz samples of different geologic origins. Quat. Int. 2020, 556, 165–179. [Google Scholar] [CrossRef]
- Moreno, D.; Falgueres, C.; Pérez-González, A.; Duval, M.; Voinchet, P.; Benito-Calvo, A.; Ortega, A.I.; Bahain, J.-J.; Sala, R.; Carbonell, E.; et al. ESR chronology of alluvial deposits in the Arlanzón valley (Atapuerca, Spain): Contemporaneity with Atapuerca Gran Dolina site. Quat. Geochronol. 2012, 10, 418–423. [Google Scholar] [CrossRef]
- Duval, M.; Arnold, L.; Guilarte, V.; Demuro, M.; Santonja, M.; Pérez-González, A. Electron spin resonance dating of optically bleached quartz grains from the Middle Palaeolithic site of Cuesta de la Bajada (Spain) using the multiple centres approach. Quat. Geochronol. 2017, 37, 82–96. [Google Scholar] [CrossRef] [Green Version]
- Moreno, D.; Duval, M.; Rubio-Jara, S.; Panera, J.; Bahain, J.J.; Shao, Q.; Pérez-González, A.; Falguères, C. ESR dating of Middle Pleistocene archaeo-paleontological sites from the Manzanares and Jarama river valleys (Madrid basin, Spain). Quat. Int. 2019, 520, 23–38. [Google Scholar] [CrossRef]
- Del Val, M.; Duval, M.; Medialdea, A.; Bateman, M.; Moreno, D.; Arriolabengoa, M.; Aranburu, A.; Iriarte, E. First chronostratigraphic framework of fluvial valleys in the eastern Cantabrian margin of the Iberian Peninsula (Bay of Biscay, Spain). Quat. Geochronol. 2019, 49, 108–114. [Google Scholar] [CrossRef]
- Beerten, K.; Verbeeck, E.L.; Veerle, V.; Dimitri, V.; Marcus, C.; De Grave, J.; Laurent, W. Electron spin resonance (ESR), optically stimulated luminescence (OSL) and cosmogenic radionuclide (CRN) dating of quartz from a Plio-Pleistocene sandy formation in the Campine area, NE Belgium. Quat. Int. 2020, 556, 144–158. [Google Scholar] [CrossRef]
- Sancho, C.; Calle, M.; Peña-Monné, J.L.; Duval, M.; Oliva-Urcia, B.; Pueyo, E.L.; Benito, G.; Moreno, A. Dating the Earliest Pleistocene alluvial terrace of the Alcanadre River (Ebro Basin, NE Spain): Insights into the landscape evolution and involved processes. Quatern. Int. 2020, 407, 86–95. [Google Scholar] [CrossRef] [Green Version]
- Boulton, S.; Stokes, M.; Mather, A.; Boulton, S.; Stokes, M.; Mather, A. Transient fluvial incision as an indicator of active faulting and Plio-Quaternary uplift of the Moroccan High Atlas. Tectonophysics 2014, 633, 16–33. [Google Scholar] [CrossRef] [Green Version]
- Whittaker, A.C.; Boulton, S. Tectonic and climatic controls on knickpoint retreat rates and landscape response times. J. Geophys. Res. Space Phys. 2012, 117. [Google Scholar] [CrossRef] [Green Version]
- Bowman, D.; Shachnovich-Firtel, Y.; Devora, S. Stream channel convexity induced by continuous base level lowering, the Dead Sea, Israel. Geomorphology 2007, 92, 60–75. [Google Scholar] [CrossRef]
- Prince, P.S.; Spotila, J.A.; Henika, W.S. Stream capture as driver of transient landscape evolution in a tectonically quiescent setting. Geol. 2011, 39, 823–826. [Google Scholar] [CrossRef]
- Struth, L.; Garcia-Castellanos, D.; Viaplana-Muzas, M.; Vergés, J. Drainage network dynamics and knickpoint evolution in the Ebro and Duero basins: From endorheism to exorheism. Geomorphology 2019, 327, 554–571. [Google Scholar] [CrossRef]
- Bridgland, D.R.; Westaway, R. Climatically controlled river terrace staircases: A worldwide Quaternary phenomenon. Geomorphology 2008, 98, 285–315. [Google Scholar] [CrossRef] [Green Version]
- Casas-Sainz, A.M.; de Vicente, G. On the tectonic origin of Iberian topography. Tectonophysics 2009, 474, 214–235. [Google Scholar] [CrossRef] [Green Version]
- De Vicente, G.; Vegas, R. Large-scale distributed deformation controlled topography along the western Africa–Eurasia limit: Tectonic constraints. Tectonophysics 2009, 474, 124–143. [Google Scholar] [CrossRef] [Green Version]
- De Vicente, G.; Cloetingh, S.; Van Wees, J.; Cunha, P. Tectonic classification of Cenozoic Iberian foreland basins. Tectonophysics 2011, 502, 38–61. [Google Scholar] [CrossRef]
- De Vicente, G.; Cunha, P.; Martín, A.M.; Cloetingh, S.A.P.L.; Olaiz, A.; Vegas, R. The Spanish-Portuguese Central System: An Example of Intense Intraplate Deformation and Strain Partitioning. Tectonics 2018, 37, 4444–4469. [Google Scholar] [CrossRef] [Green Version]
- Gallastegui, J.; Pulgar, J.A.; Gallart, J. Initiation of an active margin at the North Iberian continent-ocean transition. Tectonics 2002, 21, 1033. [Google Scholar] [CrossRef] [Green Version]
- Pazzaglia, F.J.; Fluvial, T. Fluvial Geomorphology. In Treatise on Geomorphology; Shroder, J., Wohl, E., Eds.; Academic Press: San Diego, CA, USA, 2013; Volume 9, pp. 379–412. [Google Scholar]
- González-Amuchástegui, M.J.; Serrano Cañadas, E. Cartografía geomorfológica delvalle de Tobalina (Burgos). Cuadernos do Lab. Xeol. de Laxe. 1996, 21, 737–748. [Google Scholar]
- González-Amuchastegui, M.J.; Serrano Cañadas, E. Quaternary tufa buildup stages in Mediterranean-Cantabric transitional environment (High Ebro Basin, Nothern Spain). In Proceedings of the Sixth International Conference on Geomorphology, Zaragoza, Spain, 7–11 September 2005; p. 225. [Google Scholar]
- González-Amuchastegui, M.J.; Serrano, E. Acumulaciones tobáceas y evolución del paisaje: Cronología y fases morfogenéticas en el Alto Ebro (Burgos). Cuatern. Geomorfol. 2013, 27, 9–32. [Google Scholar]
- González-Amuchástegui, M.J.; Serrano Cañadas, E. Tufa buildups, landscape evolution and human impact during the Holocene in the Upper Ebro Basin. Quat. Int. 2015, 364, 54–64. [Google Scholar] [CrossRef]
- Lisiecki, L.E.; Raymo, M.E. Plio–Pleistocene climate evolution: Trends and transitions in glacial cycle dynamics. Quat. Sci. Rev. 2007, 26, 56–69. [Google Scholar] [CrossRef] [Green Version]
- Head, M.J.; Gibbard, P.L. Formal subdivision of the Quaternary System/Period: Past, present, and future. Quat. Int. 2015, 383, 4–35. [Google Scholar] [CrossRef] [Green Version]
- Westaway, R.; Bridgland, D.R.; Sinha, R.; Demir, T. Fluvial sequences as evidence for landscape and climatic evolution in the Late Cenozoic: A synthesis of data from IGCP 518. Glob. Planet. Chang. 2009, 68, 237–253. [Google Scholar] [CrossRef]
- Riba, O.; Reguant, S.Y.; Villena, J. Ensayo de síntesis estratigráfica y evolutiva de la Cuenca Terciaria del Ebro. In Libro Jubilar J.M. Ríos; Comba, J.A., Ed.; Instituto Geológico y Minero de España: Madrid, Spain, 1983; Volume 2, pp. 131–159. [Google Scholar]
- Martínez del Olmo, W. Depositional sequences in the Gulf of Valencia. In Tertiary Basins of Spain: The Stratigraphic Record of Crustal Kinematics; Friend, P.F., Dabrio, Y.C.J., Eds.; World and regional series XVI; Cambridge University Press: Cambridge, UK, 1996; pp. 55–67. [Google Scholar]
- Bartrina, M.T.; Cabrera, L.; Jurado, M.J.; Guimerà, J.; Roca, E. Evolution of the central Catalan margin of the Valencia trough (western Mediterranean). Tectonophysics 1992, 203, 219–247. [Google Scholar] [CrossRef]
- Cunha, P.P.; Martins, A.A.; Huot, S.; Murray, A.; Raposo, L. Dating the Tejo river lower terraces in the Ródão area (Portugal) to assess the role of tectonics and uplift. Geomorphology 2008, 102, 43–54. [Google Scholar] [CrossRef]
- Cunha, P.P.; Almeida, N.A.; Aubry, T.; Martins, A.A.; Murray, A.S.; Buylaert, J.-P.; Sohbati, R.; Raposo, L.; Rocha, L. Records of human occupation from Pleistocene river terrace and aeolian sediments in the Arneiro depression (Lower Tejo River, central eastern Portugal). Geomorphology 2012, 165–166, 78–90. [Google Scholar] [CrossRef]
- Cunha, P.P. Cenozoic Basins of Western Iberia: Mondego, Lower Tejo and Alvalade basins. In The Geology of Iberia: A Geodynamic Approach; Quesada, C., Oliveira, J.T., Eds.; Regional Geology Reviews; Springer International Publishing: Berlin, Germany, 2019; Volume 4, pp. 105–130, Chapter 4. [Google Scholar] [CrossRef]
- Silva, P.G.; Roquero, E.; López-Recio, M.; Huerta, P.; Martínez-Graña, A.M. Chronology of fluvial terrace sequences for large Atlantic rivers in the Iberian Peninsula (Upper Tagus and Duero drainage basins, Central Spain). Quat. Sci. Rev. 2017, 166, 188–203. [Google Scholar] [CrossRef]








| Terrace | Reference | XUTM_ETRS89 | YUTM_ETRS89 | Locality Name |
|---|---|---|---|---|
| +140 | MIR1601 (ESR) | 503314.576 | 4723923.001 | Monte Miranda–Yarritu |
| +140 | MI01 (PALEOM) | 503316.091 | 4723925.376 | Monte Miranda–Yarritu |
| +140 | MIR1602 (ESR) | 503298.688 | 4723952.658 | Monte Miranda–Yarritu |
| +90 | MIR1603 (ESR) | 504231.436 | 4723688.093 | Monte Miranda–Arinorsa |
| +90 | MI03 (PALEOM) | 504174.357 | 4723586.316 | Monte Miranda–Arinorsa |
| +90 | MIR1604 (ESR) | 504015.477 | 4723457.004 | Monte Miranda–Arinorsa |
| +85 | MIR1605 (ESR) | 506873.260 | 4722368.272 | Aeródromo Miranda |
| +85 | MI05 (PALEOM) | 506875.053 | 4722368.512 | Aeródromo Miranda |
| Sample | Repeated Measurements | Bleaching Coefficient (%) | Repeatability of ESR Intensities (%) | Repeatability of DE Estimates (%) | Adjusted r2 | DE Value (Gy) |
|---|---|---|---|---|---|---|
| MIR1601 | 2 | 49.1 ± 1.3 | 1.8% | 5.8% | 0.992 | 1844 ± 191 |
| MIR1602 | 2 | 50.9 ± 1.1 | 1.9% | 2.6% | 0.989 | 1620 ± 189 |
| MIR1603 | 2 | 50.6 ± 1.4 | 2.2% | 1.0% | 0.988 | 1727 ± 247 |
| MIR1604 | 2 | 49.4 ± 1.9 | 2.3% | 3.4% | 0.994 | 1385 ± 126 |
| MIR1605 | 2 | 50.0 ± 2.1 | 0.7% | 15.4% | 0.990 | 1127 ± 133 |
| Option D (Mixture of Ti-Li and Ti-H) | Option C (Pure Ti-H) | ||||||||
|---|---|---|---|---|---|---|---|---|---|
| Sample | Repeated Measurements | Repeatability of ESR Intensities (%) | Repeatability of DE Estimates (%) | Adjusted r2 | DE Value (Gy) | Repeatability of ESR Intensities (%) | Repeatability of DE Estimates (%) | Adjusted r2 | DE Value (Gy) |
| MIR1601 | 2 | 4.6 | 7.9 | 0.994 | 936 ± 51 | 0.7 | 14.9 | 0.908 | 553 ± 101 |
| MIR1602 | 3 | 1.1 | 8.3 | 0.987 | 1021 ± 54 | 3.0 | 15.7 | 0.973 | 508 ± 61 |
| MIR1603 | 2 | 0.1 | 0.3 | 0.993 | 1058 ± 54 | 11.1 | 7.1 | 0.947 | 546 ± 76 |
| MIR1604 | 2 | 0.6 | 2.5 | 0.997 | 890 ± 23 | 3.8 | 10.4 | 0.964 | 624 ± 78 |
| MIR1605 | 3 | 1.7 | 15.8 | 0.981 | 737 ± 61 | 4.1 | 38.1 | 0.929 | 523 ± 75 |
| U (ppm) | Th (ppm) | K (%) | Measured Water Content (Wet Weight %) | Laboratory Gamma Dose Rate (µGy/a) | In Situ Gamma Dose Rate (µGy/a) | Laboratory/In Situ GDR Ratio | |
|---|---|---|---|---|---|---|---|
| MIR1601 | 0.75 ± 0.07 | 3.11 ± 0.14 | 0.87 ± 0.02 | 11.4 | 390 ± 43 | 373 ± 22 (NaI) | 1.05 |
| MIR1602 | 0.67 ± 0.07 | 2.26 ± 0.11 | 0.48 ± 0.01 | 7.3 | 276 ± 33 | 215 ± 13 (LaBr) | 1.28 |
| MIR1603 | 0.68 ± 0.07 | 2.40 ± 0.11 | 0.63 ± 0.02 | 4.2 | 329 ± 39 | 308 ± 18 (NaI) | 1.07 |
| MIR1604 | 0.71 ± 0.07 | 2.29 ± 0.11 | 0.45 ± 0.01 | 5.7 | 277 ± 32 | 315 ± 19 (NaI)/305 ± 18 (LaBr) | 0.88 |
| MIR1605 | 0.61 ± 0.07 | 1.67 ± 0.11 | 0.24 ± 0.01 | 2.9 | 197 ± 26 | 190 ± 11 (NaI) | 1.04 |
| Sample | MIR1601 | MIR1602 | MIR1603 | MIR1604 | MIR1605 |
|---|---|---|---|---|---|
| Fluvial terrace (height above current channel) | T1 (+140 m) | T1 (+140 m) | +90 m | +90 m | +85 m |
| Depth (m) | 20 ± 2 | 20 ± 2 | 20 ± 2 | 20 ± 2 | 12 ± 2 |
| Measured water content (% wet weight) | 11.4 | 7.3 | 4.2 | 5.7 | 2.9 |
| Assumed water content (% wet weight) | 15 ± 5 | 15 ± 5 | 15 ± 5 | 15 ± 5 | 15 ± 5 |
| Internal dose rate (µGy/a) | 30 ± 10 | 30 ± 10 | 30 ± 10 | 30 ± 10 | 30 ± 10 |
| Alpha dose rate (µGy/a) | 16 ± 14 | 13 ± 11 | 13 ± 11 | 13 ± 11 | 10 ± 9 |
| Beta dose rate (µGy/a) | 667 ± 53 | 404 ± 32 | 500 ± 40 | 389 ± 31 | 238 ± 20 |
| Gamma dose rate (µGy/a) | 356 ± 31 | 195 ± 17 | 269 ± 24 | 281 ± 25 | 164 ± 14 |
| Cosmic dose rate (µGy/a) | 25 ± 3 | 25 ± 3 | 25 ± 3 | 25 ± 3 | 25 ± 3 |
| Total dose rate (µGy/a) | 1094 ± 86 | 667 ± 57 | 838 ± 58 | 737 ± 61 | 467 ± 44 |
| DE (Gy) Al center | 1844 ± 196 | 1620 ± 193 | 1727 ± 250 | 1385 ± 130 | 1127 ± 136 |
| DE (Gy) Ti center (option D) | 936 ± 55 | 1021 ± 59 | 1058 ± 59 | 890 ± 31 | 737 ± 63 |
| DE (Gy) Ti-H center (option C) | 553 ± 102 | 508 ± 62 | 546 ± 77 | 624 ± 79 | 523 ± 76 |
| Age (ka) Al center | 1686 ± 221 | 2430 ± 353 | 2061 ± 340 | 1878 ± 233 | 2414 ± 364 |
| Age (ka) Ti center (option D) | 856 ± 83 | 1531 ± 155 | 1263 ± 123 | 1207 ± 106 | 1579 ± 198 |
| Age (ka) Ti-H center (option C) | 506 ± 39 | 762 ± 63 | 652 ± 52 | 846 ± 68 | 1120 ± 163 |
| Sampling Site | Declination | Inclination | A95 | Kappa | N |
|---|---|---|---|---|---|
| MI01 | 18.0 | 38.0 | 44.3 | 9 | 3 |
| MI02 | |||||
| MI03 | |||||
| MI04 (HC) | 205.8 | -67.4 | 15.1 | 10 | 11 |
| MI04 (LC) | 5.0 | 54.7 | 18.5 | 7 | 11 |
Publisher’s Note: MDPI stays neutral with regard to jurisdictional claims in published maps and institutional affiliations. |
© 2021 by the authors. Licensee MDPI, Basel, Switzerland. This article is an open access article distributed under the terms and conditions of the Creative Commons Attribution (CC BY) license (https://creativecommons.org/licenses/by/4.0/).
Share and Cite
Parés, J.M.; Duval, M.; Soria-Jáuregui, A.; González-Amuchástegui, M.J. First Chronological Constraints for the High Terraces of the Upper Ebro Catchment. Quaternary 2021, 4, 25. https://doi.org/10.3390/quat4030025
Parés JM, Duval M, Soria-Jáuregui A, González-Amuchástegui MJ. First Chronological Constraints for the High Terraces of the Upper Ebro Catchment. Quaternary. 2021; 4(3):25. https://doi.org/10.3390/quat4030025
Chicago/Turabian StyleParés, Josep M., Mathieu Duval, Angel Soria-Jáuregui, and María José González-Amuchástegui. 2021. "First Chronological Constraints for the High Terraces of the Upper Ebro Catchment" Quaternary 4, no. 3: 25. https://doi.org/10.3390/quat4030025
APA StyleParés, J. M., Duval, M., Soria-Jáuregui, A., & González-Amuchástegui, M. J. (2021). First Chronological Constraints for the High Terraces of the Upper Ebro Catchment. Quaternary, 4(3), 25. https://doi.org/10.3390/quat4030025
