Mannosylerythritol Lipid B Enhances the Skin Permeability of the Water-Soluble Compound Calcein via OH Stretching Vibration Changes
Abstract
1. Introduction
2. Materials and Methods
2.1. Materials
2.2. Animals
2.3. Preparation of MEL-B Liposomes
2.4. Characterization of MEL-B Liposomes
Particle diameter and zeta potential of MEL-B liposomes
2.5. Phase Transition Temperature of MEL-B Liposomes
2.6. Preparation and Characterization of Stratum Corneum Lipid Liposomes (SCLLs)
2.7. Fusion Activity of SCLLs
2.8. Skin Permeation Study in Vitro
2.9. Measurement of Calcein Concentration in Skin
2.10. Preparation of Frozen Sections
2.11. Measurement of the Skin Permeation of Calcein
2.12. Collection of Stratum Corneum Sheet for Attenuation of Total Reflectance Fourier Transform Infrared (ATR-FTIR) Measurement
2.13. ATR-FTIR Spectrophotometry
2.14. Transepidermal Water Loss (TEWL) Measurement
2.15. Data Analysis
3. Results
3.1. MEL-B Liposome Preparation and Characterization
3.2. Fusion Rates of Different Liposomes Using Intercellular Lipid Liposomes
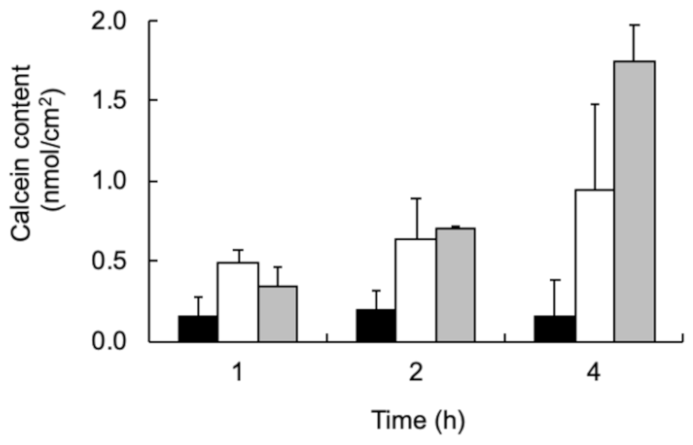
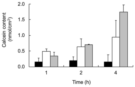
3.3. Concentration of Calcein in the Skin after the Skin Permeation Experiment
3.4. Observation of Skin Section Images
3.5. Skin Permeation of Calcein
3.6. Effects of MEL-B Liposomes on the Stratum Corneum
3.7. Effects of MEL-B Liposomes on Skin Barrier Function
4. Discussion
5. Conclusions
Author Contributions
Funding
Conflicts of Interest
References
- Kitamoto, D.; Isoda, H.; Nakahara, T. Functions and potential applications of glycolipid biosurfactants--from energy-saving materials to gene delivery carriers. J. Biosci. Bioeng. 2002, 94, 187–201. [Google Scholar] [CrossRef]
- Yu, M.; Liu, Z.; Zeng, G.; Zhong, H.; Liu, Y.; Jiang, Y.; Li, M.; He, X.; He, Y. Characteristics of mannosylerythritol lipids and their environmental potential. Carbohydr. Res. 2015, 407, 63–72. [Google Scholar] [CrossRef]
- Ito, S.; Imura, T.; Fukuoka, T.; Morita, T.; Sakai, H.; Abe, M.; Kitamoto, D. Kinetic studies on the interactions between glycolipid biosurfactant assembled monolayers and various classes of immunoglobulins using surface plasmon resonance. Colloids Surf. B 2007, 58, 165–171. [Google Scholar] [CrossRef]
- Morita, T.; Fukuoka, T.; Imura, T.; Kitamoto, D. Production of mannosylerythritol lipids and their application in cosmetics. Appl. Microbiol. Biotechnol. 2013, 97, 4691–4700. [Google Scholar] [CrossRef]
- Imura, T.; Hikosaka, Y.; Worakitkanchanakul, W.; Sakai, H.; Abe, M.; Konishi, M.; Minamikawa, H.; Kitamoto, D. Aqueous-Phase Behavior of Natural Glycolipid Biosurfactant Mannosylerythritol Lipid A: Sponge, Cubic, and Lamellar Phases. Langmuir 2017, 23, 1–5. [Google Scholar] [CrossRef]
- Worakitkanchanakul, W.; Imura, T.; Fukuoka, T.; Morita, T.; Sakai, H.; Abe, M.; Rujiravanit, R.; Chavadej, S.; Minamikawa, H.; Kitamoto, D. Aqueous-phase behavior and vesicle formation of natural glycolipid biosurfactant, mannosylerythritol lipid-B. Colloids Surf. B 2008, 65, 106–112. [Google Scholar] [CrossRef]
- Morita, T.; Fukuoka, T.; Imura, T.; Kitamoto, D. Mannosylerythritol Lipids: Production and Applications. J. Oleo Sci. 2015, 64, 133–141. [Google Scholar] [CrossRef]
- Tokudome, Y.; Oku, N.; Doi, K.; Namba, Y.; Okada, S. Antitumor activity of vincristine encapsulated in glucuronide-modified long-circulating liposomes in mice bearing Meth A sarcoma. Biochim. Biophys. Acta 1996, 1279, 70–74. [Google Scholar] [CrossRef]
- Hafez, I.M.; Cullis, P.R. Roles of lipid polymorphism in intracellular delivery. Adv. Drug Deliv. Rev. 2001, 47, 139–148. [Google Scholar] [CrossRef]
- Wertz, P.W.; Abraham, W.; Landmann, L.; Downing, D.T. Preparation of liposomes from stratum corneum lipids. J. Invest. Dermatol. 1986, 87, 582–584. [Google Scholar] [CrossRef]
- Hoekstra, D. Role of lipid phase separations and membrane hydration in phospholipid vesicle fusion. Biochemistry 1982, 21, 2833–2840. [Google Scholar] [CrossRef] [PubMed]
- Tokudome, Y.; Saito, Y.; Sato, F.; Kikuchi, M.; Hinokitani, T.; Goto, K. Preparation and characterization of ceramide-based liposomes with high fusion activity and high membrane fluidity. Colloids Surf. B 2009, 73, 92–96. [Google Scholar] [CrossRef] [PubMed]
- Oku, N.; Tokudome, Y.; Namba, Y.; Saito, N.; Endo, M.; Hasegawa, Y.; Kawai, M.; Tsukada, H.; Okada, S. Effect of serum protein binding on real-time trafficking of liposomes with different charges analyzed by positron emission tomography. Biochim. Biophys. Acta 1996, 1280, 149–154. [Google Scholar] [CrossRef]
- Imura, T.; Yanagishita, H.; Kitamoto, D. Coacervate formation from natural glycolipid: One acetyl group on the headgroup triggers coacervate-to-vesicle transition. J. Am. Chem. Soc. 2004, 126, 10804–10805. [Google Scholar] [CrossRef]
- Goh, C.F.; Craig, D.Q.M.; Hadgraft, J.; Lane, M.E. The application of ATR-FTIR spectroscopy and multivariate data analysis to study drug crystallisation in the stratum corneum. Eur. J. Pharm. Biopharm. 2017, 111, 16–25. [Google Scholar] [CrossRef]
- Brancaleon, L.; Bamberg, M.P.; Sakamaki, T.; Kollias, N. Attenuated total reflection-fourier transform infrared spectroscopy as a possible method to investigate biophysical parameters of stratum corneum in vivo. J. Invest Dermatol. 2001, 116, 380–386. [Google Scholar] [CrossRef]
- Olsztyńska-Janus, S.; Pietruszka, A.; Kiełbowicz, Z.; Czarnecki, M.A. ATR-IR study of skin components: Lipids, proteins and water. Part I: Temperature effect. Spectrochim. Acta A Mol. Biomol. Spectrosc. 2018, 188, 37–49. [Google Scholar] [CrossRef]
- Xi, H.; Wang, Z.; Chen, Y.; Li, W.; Sun, L.; Fang, L. The relationship between hydrogen-bonded ion-pair stability and transdermal penetration of lornoxicam with organic amines. Eur. J. Pharm. Sci. 2012, 47, 325–330. [Google Scholar]
- Behl, C.R.; Flynn, G.L.; Kurihara, T.; Harper, U.R.; Smith, W.; Higuchi, W.I.; Ho, N.F.H.; Pierson, C.L. Hydration and percutaneous absorption: I. Influence of hydration on alkanol permeation through hairless mouse skin. J. Invest. Dermatol. 1980, 75, 346–352. [Google Scholar] [CrossRef]
- Behl, C.R.; Barrett, M. Hydration and percutaneous absorption II: Influence of hydration on water and alkanol permeation through swiss mouse skin; Comparison with hairless mouse. J. Pharm. Sci. 1981, 70, 1212–1215. [Google Scholar] [CrossRef]
- Behl, C.R.; Barrett, X.M.; Flynn, G.L.; Kurihara, T.; Walters, K.A.; Gatmaitan, O.G.; Harper, N.; Higuchi, W.I.; Ho, N.F.H.; Pierson, C.L. Hydration and percutaneous 1bsorption III: Influences of stripping and scalding on hydration alteration of the permeability of hairless mouse skin to water and n-alkanols. J. Pharm. Sci. 1982, 71, 229–234. [Google Scholar] [CrossRef] [PubMed]
- Nibu, Y.; Inoue, T. Phase behavior of aqueous mixtures of some polyethylene glycol decyl ethers revealed by DSC and FT-IR measurements. J. Colloid Iinterface Sci. 1998, 205, 305–315. [Google Scholar] [CrossRef] [PubMed]
- Golden, G.M.; McKie, J.E.; Potts, R.O. Role of stratum corneum lipid fluidity in transdermal drug flux. J. Pharm. Sci. 1987, 76, 25–28. [Google Scholar] [CrossRef] [PubMed]
- Higo, N.; Naik, A.; Bommannan, D.B.; Potts, R.O.; Guy, R.H. Validation of reflectance infrared spectroscopy as a quantitative method to measure percutaneous absorption in vivo. Pharm. Res. 1993, 10, 1500–1506. [Google Scholar] [CrossRef] [PubMed]
- Yokomizo, Y.; Sagitani, H. Effects of phospholipids on the in vitro percutaneous penetration of prednisolone and analysis of mechanism by using attenuated total reflectance-Fourier transform infrared spectroscopy. J. Pharm. Sci. 1996, 85, 1220–1226. [Google Scholar] [CrossRef]
- Cilurzo, F.; Vistoli, G.; Selmin, F.; Gennari, C.G.M.; Musazzi, U.M.; Franzé, S.; Monte, L.M.; Minghetti, P. An insight into the skin penetration enhancement mechanism of N-methylpyrrolidone. Mol. Pharmaceutics 2014, 11, 1014–1021. [Google Scholar] [CrossRef]
- Tokudome, Y.; Sugibayashi, K. Mechanism of the synergic effects of calcium chloride and electroporation on the in vitro enhanced skin permeation of drugs. J. Control. Release 2004, 95, 267–274. [Google Scholar] [CrossRef]
- Barry, B.W. Mode of action of penetration enhancers in human skin. J. Control. Release 1987, 6, 85–97. [Google Scholar] [CrossRef]






| Pore Size | Particle Diameter (nm) | Phase Transition Temperature (˚C) | Zeta Potential (mV) |
|---|---|---|---|
| 100 nm | 160.1 ± 0.12 | 74.7 | –18.9 ± 0.17 |
| 200 nm | 153.5 ± 2.26 | N.T. | N.T. |
| 400 nm | 185.0 ± 2.84 | N.T. | N.T. |
| Group | Wavenumber (cm−1) | ||
|---|---|---|---|
| 0 h | 1 h | 4 h | |
| Control | 3274.1 ± 1.1 | - | - |
| 0.5% MEL-B | 3274.1 ± 1.1 | 3278.3 ± 1.7 * | 3277.5 ± 3.2 |
| 1.0% MEL-B | 3274.1 ± 1.1 | 3277.2 ± 2.2 | 3279.6 ± 1.8 ** |
© 2020 by the authors. Licensee MDPI, Basel, Switzerland. This article is an open access article distributed under the terms and conditions of the Creative Commons Attribution (CC BY) license (http://creativecommons.org/licenses/by/4.0/).
Share and Cite
Tokudome, Y.; Tsukiji, H. Mannosylerythritol Lipid B Enhances the Skin Permeability of the Water-Soluble Compound Calcein via OH Stretching Vibration Changes. Colloids Interfaces 2020, 4, 10. https://doi.org/10.3390/colloids4010010
Tokudome Y, Tsukiji H. Mannosylerythritol Lipid B Enhances the Skin Permeability of the Water-Soluble Compound Calcein via OH Stretching Vibration Changes. Colloids and Interfaces. 2020; 4(1):10. https://doi.org/10.3390/colloids4010010
Chicago/Turabian StyleTokudome, Yoshihiro, and Haruna Tsukiji. 2020. "Mannosylerythritol Lipid B Enhances the Skin Permeability of the Water-Soluble Compound Calcein via OH Stretching Vibration Changes" Colloids and Interfaces 4, no. 1: 10. https://doi.org/10.3390/colloids4010010
APA StyleTokudome, Y., & Tsukiji, H. (2020). Mannosylerythritol Lipid B Enhances the Skin Permeability of the Water-Soluble Compound Calcein via OH Stretching Vibration Changes. Colloids and Interfaces, 4(1), 10. https://doi.org/10.3390/colloids4010010

