Review of Experimental Testing and Fire Performance of Mass Timber Structures
Abstract
1. Introduction
1.1. Background



1.2. Motivation of the Research and the Research Gap
2. Review of Experimental Fire Testing
2.1. Compartment
| S. No. | Author | Title | Year |
|---|---|---|---|
| 1 | Zelinka et al. [28] | Compartment fire testing of a two-story mass timber building | 2018 |
| 2 | Zhang et al. [29] | Experimental study of compartment fire development and ejected flame thermal behavior for a large-scale light timber frame construction | 2021 |
| 3 | Emberley et al. [30] | Description of small and large-scale cross laminated timber fire tests | 2017 |
| 4 | Just et al. [31] | CLT compartment fire | 2018 |
| 5 | Hopkin et al. [32] | Full-scale natural fire tests on gypsum lined structural insulated panel (SIP) and engineered floor joist assemblies | 2011 |
| 6 | Hadden et al. [33] | Effects of exposed cross laminated timber on compartment fire dynamics | 2017 |
| 7 | Brandon et al. [34] | Fire Safe implementation of visible mass timber in tall buildings—compartment fire testing | 2021 |
| 8 | Gorska et al. [26] | Fire dynamics in mass timber compartments | 2021 |
2.2. Mass Timber Beam
| S. No. | Author | Title | Year |
|---|---|---|---|
| 1 | Darmon & Lalu [39] | The fire performance of cross laminated timber beams | 2019 |
| 2 | Fahrni et al. [40] | Fire tests on glued-laminated timber beams with specific local material properties | 2019 |
| 3 | Verma & Salem [41] | Comparative study on the flexural behaviour of glulam built-up beams based on ambient and standard fire tests | 2021 |
| 4 | Lineham et al. [42] | Structural response of fire exposed cross laminated timber beams under sustained loads | 2016 |
2.3. Mass Timber Column/Wall
| S. No. | Author | Title | Year |
|---|---|---|---|
| 1 | Zhang et al. [45] | Experimental and numerical study on the validity of the energy-based time equivalent method for evaluating the fire resistance of timber components exposed to travelling fires | 2023 |
| 2 | Bai et al. [46] | Residual compressive load-carrying capacity of cross-laminated timber walls after exposed to one-side fire | 2021 |
| 3 | Wiesner et al. [47] | Structural response of cross-laminated timber compression elements exposed to fire | 2017 |
| 4 | Kippel et al. [48] | Fire tests on loaded cross-laminated timber wall and floor elements | 2014 |
2.4. Summary of the Literature Review
3. Analysis
3.1. Analysis of Compartment Fire Testing Data
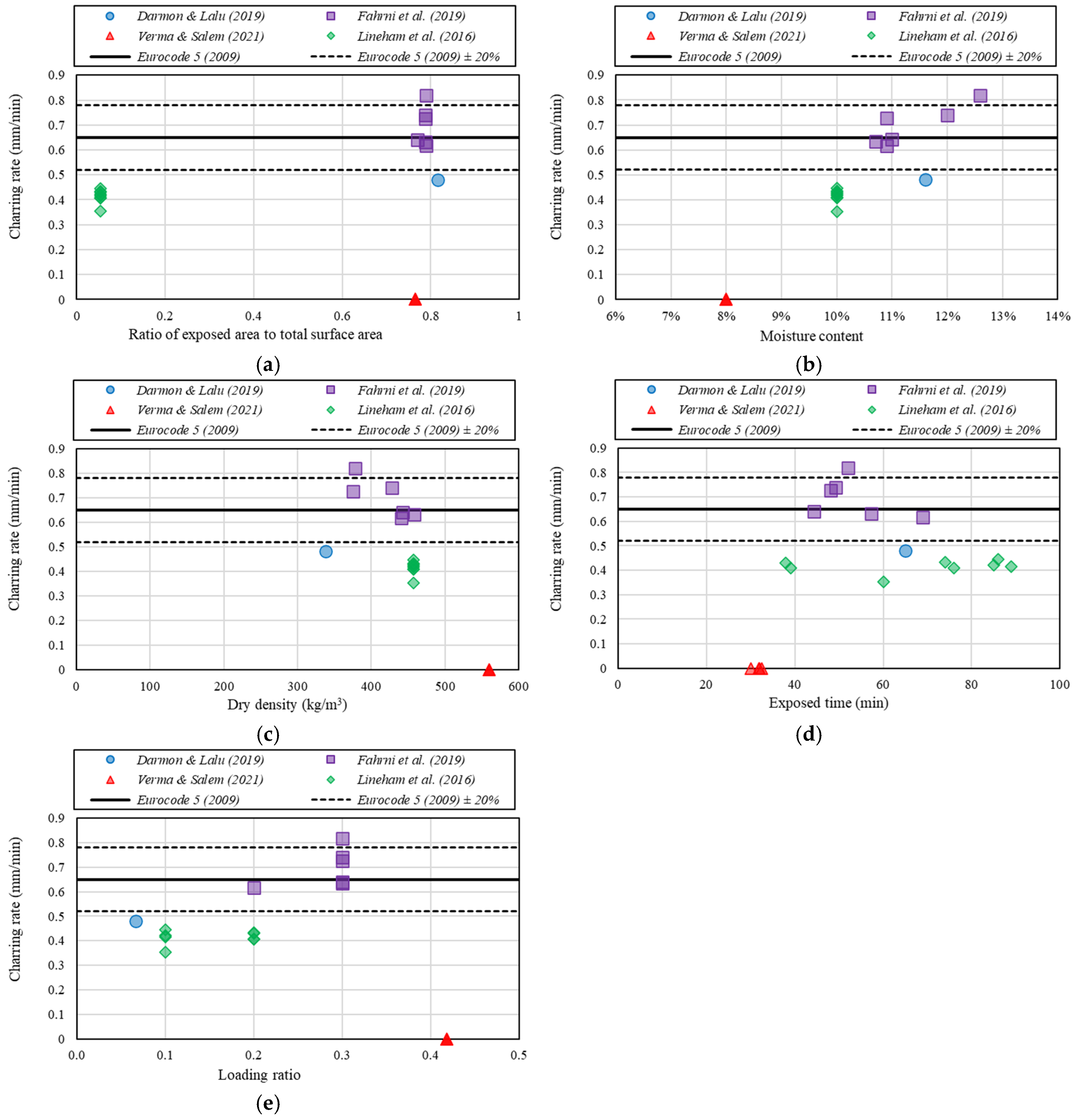
3.2. Analysis of Mass Timber Beam Fire Testing Data
3.3. Analysis of Mass Timber Column/Wall Fire Testing Data
3.4. Comparison of Results from Compartment, Mass Timber Beam and Mass Timber Column/Wall Fire Testing
4. Conclusions
- All compartment tests were conducted under non-standard and natural fire conditions, whereas mass timber beams and columns/walls were tested under standard fire conditions.
- The compartment peak temperature was found to correlate with the key parameters “exposed timber area” and “exposed time”. The compartment peak temperature increases linearly with the exposed timber area and exposed time.
- The compartment charring rate was found to correlate with the key parameters “inverse modified opening factor”, “exposed timber area as a percentage of compartment surface area” and “ratio of exposed timber area and opening area”.
- The compartment reached its first peak temperature at approximately 2.4 times the initial growth phase time, and the compartment temperature decayed at approximately 4 times the initial growth phase time. However, the compartment first and second heat peak release rates occurred prior to reaching the compartment first and second peak temperatures, respectively.
- There were some fluctuations in the mass timber beam and column/wall charring rate plotted against several key parameters. However, the fluctuation was found to be within 20% of the charring rate specified in Eurocode 5.
- The mass timber beam zero-strength layer thickness was found to correlate with the key parameters “exposed time” and “loading ratio”. The zero-strength layer thickness was found to be linearly increasing with the exposed time, unlike the constant zero-strength layer thickness of 7 mm specified in Eurocode 5.
- The mass timber column/wall residual axial compression strength was found to correlate with the key parameters “exposed time” and “ratio of residual depth to total depth”. The residual axial strength decreases rapidly with fire exposed time, while an exponential increase in residual axial strength is observed with an increased ratio of residual depth to total depth.
- The compartment average peak temperature was significantly higher compared to the mass timber beam and column/wall specimen.
- The average charring rate of compartment test specimens was significantly higher (1.22 mm/min) compared to mass timber beam (0.60 mm/min) and mass timber column/wall (0.70 mm/min) test specimens. Furthermore, the charring rate of the compartment specimen was scattered (with a standard deviation of 0.69 mm/min) compared to less scatteredness in the mass timber beam (standard deviation of 0.12 mm/min) and mass timber column/wall (standard deviation of 0.15 mm/min) test specimens.
Author Contributions
Funding
Data Availability Statement
Conflicts of Interest
Appendix A
| Author | Compartment Floor Area (m2) | Exposed Timber Area (m2) | Opening Area (m2) | Inverse Modified Opening Factor (m−0.5) | Fire Load Density (MJm−2) | Average Charring Rate (mm/min) | Peak Temperature (°C) |
|---|---|---|---|---|---|---|---|
| Zelinka et al. [28] | 83.54 | 0.00 | 17.86 | 5.94 | 570 | N/A | 1100 |
| 83.54 | 8.36 | 17.86 | 5.65 | 570 | 0.74 | 1180 | |
| 83.54 | 50.09 | 17.86 | 4.15 | 570 | 0.33 | 1170 | |
| 83.54 | 133.63 | 17.86 | 1.16 | 570 | N/A | N/A | |
| 83.54 | 133.63 | 17.86 | 0.63 | 570 | 0.51 | 600 | |
| Zhang et al. [29] | 8.64 | 0.00 | 1.00 | 36.44 | 3015 | N/A | 1000 |
| 8.64 | 0.00 | 1.60 | 15.84 | 3015 | N/A | 900 | |
| Emberley et al. [30] | 12.25 | 21.70 | 1.68 | 10.95 | 100 | 0.71 | 1125 |
| Just et al. [31] | 15.75 | 22.50 | 6.20 | 3.01 | 600 | 0.50 | 1270 |
| Hopkin et al. [32] | 12.00 | 0.00 | 1.50 | 29.40 | 450 | N/A | 1100 |
| 12.00 | 0.00 | 1.50 | 38.73 | 450 | N/A | 1100 | |
| 12.00 | 0.00 | 1.50 | 48.07 | 450 | N/A | 1080 | |
| 12.00 | 0.00 | 1.50 | 57.40 | 450 | N/A | 1100 | |
| Hadden et al. [33] | 7.40 | 15.00 | 1.40 | 10.91 | 132 | 0.81 | 1236 |
| 7.40 | 15.00 | 1.40 | 10.91 | 132 | 0.72 | 1150 | |
| 7.40 | 14.00 | 1.40 | 11.44 | 132 | 0.53 | 1180 | |
| 7.40 | 14.00 | 1.40 | 11.44 | 132 | 0.73 | 1114 | |
| 7.40 | 22.00 | 1.40 | 7.22 | 132 | 0.75 | 1190 | |
| Brandon et al. [34] | 47.95 | 53.80 | 8.00 | 11.08 | 560 | 1.55 | 1200 |
| 47.95 | 91.20 | 8.00 | 7.57 | 560 | 2.04 | 1250 | |
| 47.95 | 96.20 | 8.00 | 7.11 | 560 | 1.69 | 1200 | |
| 47.95 | 77.90 | 31.20 | 2.28 | 560 | 3.22 | 1150 | |
| 47.95 | 97.20 | 8.00 | 7.01 | 560 | 2.12 | 1210 | |
| Gorska et al. [26] | 0.25 | 0.00 | 0.08 | 18.43 | N/A | N/A | 970 |
| 0.25 | 0.21 | 0.08 | 13.45 | N/A | 1.02 | 1030 | |
| 0.25 | 0.16 | 0.08 | 14.56 | N/A | 1.49 | 1030 | |
| 0.25 | 0.38 | 0.08 | 9.58 | N/A | 1.79 | 1010 | |
| 0.25 | 0.33 | 0.08 | 10.69 | N/A | 1.42 | 960 | |
| 0.25 | 0.54 | 0.08 | 5.71 | N/A | 1.49 | 880 | |
| 0.25 | 0.49 | 0.08 | 7.00 | N/A | 1.34 | 940 | |
| 0.25 | 0.70 | 0.08 | 2.03 | N/A | 1.32 | 870 |
| Author | Fire Development (min) | |||||
|---|---|---|---|---|---|---|
| Initial Growth | First Peak HRR | Second Peak HRR | First Peak Temperature | Second Peak Temperature | Decay * | |
| Zelinka et al. [28] | 13.0 | 14.5 | 18.9 | 13.5 | N/A | N/A |
| 11.0 | 13.0 | 19.1 | 11.7 | 23.8 | 31.2 | |
| 12.0 | N/A | 20.6 | 12.6 | 27.2 | 36.0 | |
| N/A | Negligible | N/A | N/A | N/A | N/A | |
| 3.9 | 17.9 | 23.2 | 9.9 | 21.7 | 23.5 | |
| Zhang et al. [29] | 21.8 | N/A | N/A | 23.7 | 29.7 | 31.2 |
| 20.8 | N/A | N/A | 22.0 | 31.2 | 35.5 | |
| Emberley et al. [30] | 11.8 | N/A | N/A | 18.4 | N/A | 21.8 |
| Just et al. [31] | 23.0 | N/A | N/A | 59.5 | 121.0 | 136.0 |
| Hopkin et al. [32] | 14.0 | N/A | N/A | 52.0 | N/A | 64.0 |
| 12.0 | N/A | N/A | 37.0 | N/A | 50.0 | |
| 17.0 | N/A | N/A | 50.0 | N/A | 69.0 | |
| 9.0 | N/A | N/A | 49.0 | N/A | 52.0 | |
| Hadden et al. [33] | 4.6 | 6.3 | N/A | 11.0 | N/A | 21.0 |
| 5.1 | 12.5 | N/A | 20.0 | 58.0 | N/A | |
| 8.6 | 10.5 | N/A | 17.5 | N/A | 19.0 | |
| 4.2 | 7.5 | N/A | 15.0 | 22.0 | N/A | |
| 5.4 | 7.0 | N/A | 18.0 | N/A | N/A | |
| Brandon et al. [34] | 14.0 | 12.0 | N/A | 24.0 | N/A | 37.0 |
| 8.0 | 17.0 | N/A | 28.0 | N/A | 42.0 | |
| 12.0 | 14.0 | N/A | 29.0 | N/A | 47.0 | |
| 17.0 | 14.0 | N/A | 21.0 | N/A | 28.0 | |
| 4.0 | 15.0 | N/A | 17.0 | N/A | 46.0 | |
| Gorska et al. [26] | 10.0 | N/A | N/A | 20.0 | N/A | 35.0 |
| 10.0 | N/A | N/A | 20.0 | N/A | 35.0 | |
| 10.0 | N/A | N/A | 20.0 | N/A | 35.0 | |
| 10.0 | N/A | N/A | 20.0 | N/A | 35.0 | |
| 10.0 | N/A | N/A | 20.0 | N/A | 35.0 | |
| 10.0 | N/A | N/A | 20.0 | N/A | 35.0 | |
| 10.0 | N/A | N/A | 20.0 | N/A | 35.0 | |
| 10.0 | N/A | N/A | 20.0 | N/A | 35.0 | |
| Author | Total Surface Area (m2) | Exposed Area (m2) | Moisture Content (%) | Dry Density (kg/m3) | Exposed Time (min) | Loading Ratio (%) | Peak Temperature (°C) | Charring Rate (mm/min) | Zero-Strength Layer Thickness (mm) |
| Darmon & Lalu [39] | 3.56 | 2.90 | 11.6% | 338 | 65.0 | 6.7% | 963 | 0.57 | N/A |
| Fahrni et al. [40] | 3.28 | 2.59 | 12.6% | 378 | 52.0 | 30.0% | 930 | 0.78 | N/A |
| 3.19 | 2.51 | 12.0% | 428 | 49.3 | 30.0% | 922 | 0.74 | N/A | |
| 3.30 | 2.60 | 10.9% | 441 | 68.9 | 20.0% | 972 | 0.68 | 7.2 | |
| 3.28 | 2.58 | 10.9% | 375 | 48.1 | 30.0% | 919 | 0.80 | 5.1 | |
| 3.26 | 2.57 | 10.7% | 458 | 57.3 | 30.0% | 945 | 0.71 | 1.5 | |
| 2.78 | 2.14 | 11.0% | 443 | 44.4 | 30.0% | 907 | 0.70 | 11.8 | |
| Verma & Salem [41] | 3.55 | 2.72 | 8.0% | 560 | 32.5 | 41.8% | 850 | N/A | 0.0 |
| 3.55 | 2.72 | 8.0% | 560 | 30.0 | 41.8% | 840 | N/A | 0.0 | |
| 3.55 | 2.72 | 8.0% | 560 | 31.8 | 41.8% | 845 | N/A | 0.0 | |
| 3.55 | 2.72 | 8.0% | 560 | 32.0 | 41.8% | 846 | N/A | 0.0 | |
| Lineham et al. [42] | 1.66 | 0.09 | 10.0% | 457 | 74.0 | 20.0% | 982 | 0.52 | 17.8 |
| 1.66 | 0.09 | 10.0% | 457 | 76.0 | 20.0% | 986 | 0.49 | 19.1 | |
| 1.66 | 0.09 | 10.0% | 457 | 86.0 | 10.0% | 1005 | 0.53 | 14.0 | |
| 1.66 | 0.09 | 10.0% | 457 | 85.0 | 10.0% | 1003 | 0.51 | 16.9 | |
| 1.66 | 0.09 | 10.0% | 457 | 38.0 | 20.0% | 884 | 0.52 | 12.8 | |
| 1.66 | 0.09 | 10.0% | 457 | 39.0 | 20.0% | 888 | 0.49 | 13.2 | |
| 1.66 | 0.09 | 10.0% | 457 | 60.0 | 10.0% | 952 | 0.43 | 43.7 | |
| 1.66 | 0.09 | 10.0% | 457 | 89.0 | 10.0% | 1010 | 0.50 | 24.8 |
| Author | Total Surface Area (m2) | Exposed Area (m2) | Moisture Content (%) | Exposed Time (min) | Loading Ratio (%) | Peak Temperature (°C) | Charring Rate (mm/min) | Residual Axial Strength (%) | Ratio of Residual Depth to Total Depth (%) |
|---|---|---|---|---|---|---|---|---|---|
| Zhang et al. [45] | 1.28 | 1.04 | 12.0% | 30.0 | 0.0% | 850 | 0.55 | 44% | 83% |
| 1.28 | 1.04 | 12.0% | 34.0 | 0.0% | 868 | 0.48 | 42% | 84% | |
| 1.28 | 1.04 | 12.0% | 41.0 | 0.0% | 896 | 0.52 | 38% | 80% | |
| 1.28 | 1.04 | 12.0% | 44.0 | 0.0% | 906 | 0.55 | 37% | 75% | |
| 1.28 | 1.04 | 12.0% | 51.0 | 0.0% | 928 | 0.54 | 32% | 74% | |
| 1.28 | 1.04 | 12.0% | 53.0 | 0.0% | 933 | 0.54 | 33% | 71% | |
| Bai et al. [46] | 3.24 | 1.01 | 12.2% | 20.0 | 0.0% | 792 | 0.77 | 26% | 85% |
| 3.24 | 1.01 | 12.2% | 40.0 | 0.0% | 892 | 0.66 | 5% | 75% | |
| 3.24 | 1.01 | 12.2% | 20.0 | 0.0% | 792 | 0.79 | 23% | 85% | |
| 3.24 | 1.01 | 12.2% | 40.0 | 0.0% | 892 | 0.63 | 21% | 76% | |
| Wiesner et al. [47] | 1.42 | 0.09 | 10.3% | 29.3 | 17.3% | N/A | 1.00 | 17% | 74% |
| 1.42 | 0.09 | 10.3% | 41.3 | 8.6% | N/A | 0.98 | 9% | 73% | |
| 1.42 | 0.09 | 10.3% | 14.1 | 16.6% | N/A | 0.88 | 17% | 86% | |
| 1.36 | 0.09 | 10.3% | 28.4 | 8.3% | N/A | 0.82 | 8% | 78% | |
| Kippel et al. [48] | 3.59 | 1.44 | 12.0% | 100.0 | 12.0% | 985 | 0.64 | 0% | 38% |
| 3.59 | 1.44 | 12.0% | 88.0 | 12.0% | 967 | 0.72 | 0% | 38% | |
| 4.98 | 1.98 | 12.0% | 100.0 | 12.0% | 985 | 0.74 | 0% | 47% | |
| 4.98 | 1.98 | 12.0% | 89.0 | 12.0% | 968 | 0.74 | 0% | 53% | |
| 4.98 | 1.98 | 12.0% | 97.0 | 12.0% | 980 | 0.74 | 0% | 47% | |
| 4.98 | 1.98 | 12.0% | 100 | 12.0% | 985 | 0.73 | 0% | 48% |
References
- Harte, A.M. Mass timber–the emergence of a modern construction material. J. Struct. Integr. Maint. 2017, 2, 121–132. [Google Scholar] [CrossRef]
- Evison, D.C.; Kremer, P.D.; Guiver, J. Mass timber construction in Australia and New Zealand-status, and economic and environmental influences on adoption. Wood Fiber Sci. 2018, 50, 128–138. [Google Scholar] [CrossRef]
- Waugh Thistleton Architects and Weiss Insights. Available online: https://issuu.com/waughthistleton (accessed on 11 January 2025).
- Karacabeyli, E.; Douglas, B. CLT Handbook: Cross-Laminated Timber; FP Innovations: Pointe-Claire, QC, Canada, 2013. [Google Scholar]
- Kuilen, J.W.G.V.D.; Ceccotti, A.; Xia, Z.; He, M. Very Tall Wooden Buildings with Cross Laminated Timber. Procedia Eng. 2011, 14, 1621–1628. [Google Scholar] [CrossRef]
- Ong, C.B. Glue-laminated timber (Glulam). In Wood Composites; Woodhead Publishing: Sawston, UK, 2015; pp. 123–140. [Google Scholar] [CrossRef]
- Binational Softwood Lumber Council. Nail-Laminated Timber: US Design & Construction Guide; Binational Softwood Lumber Council: Surrey, BC, Canada, 2017. [Google Scholar]
- Sotayo, A.; Bradley, D.; Bather, M.; Sareh, P.; Oudjene, M.; El-Houjeyri, I.; Harte, A.M.; Mehra, S.; O′Ceallaigh, C.; Haller, P. Review of state of the art of dowel laminated timber members and densified wood materials as sustainable engineered wood products for construction and building applications. Dev. Built Environ. 2020, 1, 100004. [Google Scholar] [CrossRef]
- Stark, N.; Cai, Z.; Carll, C. Wood-Based Composite Materials-Panel Products, Glued-Laminated Timber, Structural Composite Lumber, and Wood-Nonwood Composite Materials. In Wood Handbook: Wood as an Engineering Material, FPL-GTR-282; U.S. Department of Agriculture: Washington, DC, USA, 2010. [Google Scholar]
- John, S.; Nebel, B.; Perez, N.; Buchanan, A. Environmental Impacts of Multi-Storey Buildings Using Different Construction Materials; New Zealand Ministry of Agriculture and Forestry: Christchurch, New Zealand, 2009.
- Pettersson, C. Fire Safety in Timber Buildings—A Review of Existing Knowledge, Brandforsk. 2020. Available online: https://www.brandforsk.se/wp-content/uploads/2020/11/Brandforsk_Report_Fire-Safety-in-Timber-Buildings-1.pdf (accessed on 11 January 2025).
- Hopkin, D.J.; Spearpoint, M. A calculation method for flame extension from partially exposed mass timber enclosures. In Proceedings of the Applications of Structural Fire Engineering, Ljubljana, Sloveni, 9–11 June 2021. [Google Scholar]
- Construction News, Notts TV Nottingham University Chemistry Building Destroyed in Fire–Video. Available online: https://www.theguardian.com/uk-news/video/2014/sep/13/nottingham-university-chemistry-building-destroyed-fire-video (accessed on 12 February 2025).
- The Building (Amendment) Regulations. UK Statutory Instruments 2018 No. 1230, Building and Buildings, England. 2018. Available online: https://www.legislation.gov.uk/uksi/2018/1230/contents/made (accessed on 11 January 2025).
- Law, A.; Butterworth, N. Prescription in English fire regulation: Treatment, cure or placebo? Proc. Inst. Civ. Eng. Forensic Eng. 2019, 172, 61–68. [Google Scholar] [CrossRef]
- Abed, J.; Rayburg, S.; Rodwell, J.; Neave, M. A Review of the Performance and Benefits of Mass Timber as an Alternative to Concrete and Steel for Improving the Sustainability of Structures. Sustainability 2022, 14, 5570. [Google Scholar] [CrossRef]
- Chirag Enterprises Laminated Veneer Lumber LVL Board. Available online: https://www.indiamart.com/proddetail/laminated-veneer-lumber-19724343155.html (accessed on 15 March 2025).
- CWC. Laminate Veneer Lumber—The Canadian Wood Council—CWC. Available online: https://cwc.ca/wp-content/uploads/2020/06/105.1_AWC-CWC_EPD_North-American-Laminated-Veneer-Lumber-1.pdf (accessed on 15 March 2025).
- CWC. Laminated Strand Lumber—The Canadian Wood Council—CWC. Available online: https://cwc.ca/articles/laminated-strand-lumber/ (accessed on 15 March 2025).
- Naturally Wood. What Is Laminated Strand Lumber (LSL)?—Naturally: Wood. Available online: https://www.naturallywood.com/products/laminated-strand-lumber/ (accessed on 15 March 2025).
- Mitchell, H.; Kotsovinos, P.; Richter, F.; Thomson, D.; Barber, D.; Rein, G. Review of fire experiments in mass timber compartments: Current understanding, limitations, and research gaps. Fire Mater. 2022, 47, 415–432. [Google Scholar] [CrossRef]
- ASTM E119; Standard test Methods for Fire Tests of Building Construction and Materials. American Society for Testing and Materials: West Conshohocken, PA, USA, 2012.
- ISO 834-1; Fire-Resistance Tests—Elements of Building Construction—Part 1: General Requirements. International Organization for Standardization: Geneva, Switzerland, 1999.
- CAN/ULC-S101; Standard Methods of Fire Endurance Tests of Building Construction and Material. Underwriters Laboratories of Canada: Toronto, ON, Cannada, 2014.
- Thomas, P.J.; Heselden, A.J. Fully Developed Fires in Single Compartments; CIB Report; Fire Research Station: Tokyo, Japan, 1972. [Google Scholar]
- Gorska, C.; Hidalgo, J.P.; Torero, J.L. Fire dynamics in mass timber compartments. Fire Saf. J. 2021, 120, 103098. [Google Scholar] [CrossRef]
- VOSviewer, Version 1.6.20; Centre for Science and Technology Studies, Leiden University: Leiden, The Netherlands, 2023.
- Zelinka, S.L.; Hasburgh, L.E.; Bourne, K.J.; Tucholski, D.R.; Ouellette, J.P.; Kochkin, V. Compartment Fire Testing of a Two-Story Mass Timber Building. 2018. Available online: https://awc.org/wp-content/uploads/2022/02/fpl_gtr247.pdf (accessed on 9 September 2023).
- Zhang, Y.; Yang, X.; Luo, Y.; Gao, Y.; Liu, H.; Li, T. Experimental study of compartment fire development and ejected flame thermal behavior for a large-scale light timber frame construction. Case Stud. Therm. Eng. 2021, 27, 101133. [Google Scholar] [CrossRef]
- Emberley, R.; Putynska, C.G.; Bolanos, A.; Lucherini, A.; Solarte, A.; Soriguer, D.; Gonzalez, M.G.; Humphreys, K.; Hidalgo, J.P.; Maluk, C.; et al. Description of small and large-scale cross laminated timber fire tests. Fire Saf. J. 2017, 91, 327–335. [Google Scholar] [CrossRef]
- Just, A.; Brandon, D.; Mager, K.N.; Lange, D.; Pukk, R. CLT compartment fire. In Proceedings of the 2018 World Conference on Timber Engineering, Seoul, Republic of Korea, 20–23 August 2018. [Google Scholar]
- Hopkin, D.J.; Lennon, T.; El-Rimawi, J.; Silberschmidt, V. Full-scale natural fire tests on gypsum lined structural insulated panel (SIP) and engineered floor joist assemblies. Fire Saf. J. 2011, 46, 528–542. [Google Scholar] [CrossRef]
- Hadden, R.M.; Bartlett, A.I.; Hidalgo, J.P.; Santamaria, S.; Wiesner, F.; Bisby, L.A.; Deeny, S.; Lane, B. Effects of exposed cross laminated timber on compartment fire dynamics. Fire Saf. J. 2017, 91, 480–489. [Google Scholar] [CrossRef]
- Brandon, D.; Sjöström, J.; Temple, A.; Hallberg, E.; Kahl, F. Fire Safe Implementation of Visible Mass Timber in Tall Buildings–Compartment Fire Testing; Uppsala University: Uppsala, Sweden, 2021; p. 223. ISBN 978-91-89385-26-9. [Google Scholar]
- Frangi, A.; Fontana, M. Fire Performance of Timber Structures Under Natural Fire Conditions. Fire Saf. Sci. 2005, 8, 279–290. [Google Scholar] [CrossRef]
- Jessop, D.; Abu, A.; Wade, C.; Spearpoint, M.; Gerlich, H. Performance of a light timber-framed compartment in natural fire subjected to lateral load. Fire Mater. 2019, 73, 175–188. [Google Scholar] [CrossRef]
- Babrauskas, V. Ignition of Wood: A Review of the State of the Art. J. Fire Prot. Eng. 2002, 12, 163–189. [Google Scholar] [CrossRef]
- Drysdale, D. An Introduction to Fire Dynamics, 3rd ed.; John Wiley & Sons: Hoboken, NJ, USA, 2011. [Google Scholar]
- Dârmon, R.; Lalu, O. The fire performance of Cross Laminated Timber beams. Procedia Manuf. 2019, 32, 121–128. [Google Scholar] [CrossRef]
- Fahrni, R.; Klippel, M.; Just, A.; Ollino, A.; Frangi, A. Fire tests on glued-laminated timber beams with specific local material properties. Fire Saf. J. 2019, 107, 161–169. [Google Scholar] [CrossRef]
- Verma, N.; Salem, O. Comparitive study on the flexural behaviour of glulam built-up beams based on ambient and standard fire tests. Eng. Struct. 2021, 233, 111759. [Google Scholar] [CrossRef]
- Lineham, S.A.; Thomson, D.; Bartlett, A.I.; Bisby, L.A.; Hadden, R.M. Structural response of fire-exposed cross-laminated timber beams under sustained loads. Fire Saf. J. 2016, 85, 23–34. [Google Scholar] [CrossRef]
- EN 1995-1-2; Eurocode 5 Design of Timber Structures, Part 1–2: General Structural Fire Design. CEN: Brussels, Belgium, 2009.
- Schaffer, E.; Marx, C.; Bender, D.; Woeste, F. Strength Validation and Fire Endurance of Glued-Laminated Timber Beams; U.S. Department of Agriculture, Forest Service, Forest Products Laboratory: Madison, WI, USA, 1986.
- Zhang, Y.; Zhi, W.; Zhang, X.; Ni, W.; Xu, C.; Xu, Y.; Wang, L. Experimental and numerical study on the validity of the energy-based time equivalent method for evaluating the fire resistance of timber components exposed to travelling fires. J. Build. Eng. 2023, 76, 107169. [Google Scholar] [CrossRef]
- Bai, Y.; Zhang, J.; Shen, H. Residual compressive load-carrying capacity of cross-laminated timber walls after exposed to one-side fire. J. Build. Eng. 2021, 34, 101931. [Google Scholar] [CrossRef]
- Wiesner, F.; Randmael, F.; Wan, W.; Bisby, L.; Hadden, R.M. Structural response of cross-laminated timber compression elements exposed to fire. Fire Saf. J. 2017, 91, 56–67. [Google Scholar] [CrossRef]
- Kippel, M.; Leyder, C.; Frangi, A.; Fontana, M. Fire Tests on Loaded Cross-laminated Timber Wall and Floor Elements. Fire Saf. Sci. 2014, 11, 626–639. [Google Scholar] [CrossRef]
- Blagojevic, M.; Pesic, D. A new curve for temperature-time relationship in compartment fire. Therm. Sci. 2011, 15, 339–352. [Google Scholar] [CrossRef]














Disclaimer/Publisher’s Note: The statements, opinions and data contained in all publications are solely those of the individual author(s) and contributor(s) and not of MDPI and/or the editor(s). MDPI and/or the editor(s) disclaim responsibility for any injury to people or property resulting from any ideas, methods, instructions or products referred to in the content. |
© 2025 by the authors. Licensee MDPI, Basel, Switzerland. This article is an open access article distributed under the terms and conditions of the Creative Commons Attribution (CC BY) license (https://creativecommons.org/licenses/by/4.0/).
Share and Cite
Maharjan, S.; Gunawardena, T.; Mendis, P. Review of Experimental Testing and Fire Performance of Mass Timber Structures. J. Compos. Sci. 2025, 9, 290. https://doi.org/10.3390/jcs9060290
Maharjan S, Gunawardena T, Mendis P. Review of Experimental Testing and Fire Performance of Mass Timber Structures. Journal of Composites Science. 2025; 9(6):290. https://doi.org/10.3390/jcs9060290
Chicago/Turabian StyleMaharjan, Sumita, Tharaka Gunawardena, and Priyan Mendis. 2025. "Review of Experimental Testing and Fire Performance of Mass Timber Structures" Journal of Composites Science 9, no. 6: 290. https://doi.org/10.3390/jcs9060290
APA StyleMaharjan, S., Gunawardena, T., & Mendis, P. (2025). Review of Experimental Testing and Fire Performance of Mass Timber Structures. Journal of Composites Science, 9(6), 290. https://doi.org/10.3390/jcs9060290

