Sustainable Building Materials: Optimization and Performance Analysis of Plaster/Wood Shavings Composites for Thermal Insulation
Abstract
1. Introduction
2. Materials and Methods
2.1. Materials Used
2.1.1. Plaster
2.1.2. Wood Shavings
2.2. Sample Preparation
2.3. Characterization
2.3.1. Thermal Properties Measurement
2.3.2. Sample Preparation for Measurement
2.3.3. Mechanical Properties
2.4. Numerical Investigation
2.4.1. Initial and Boundary Conditions
Steady-State Regime
- 2D Modeling:
- 3D Modeling:
Dynamic Regime
- 2D Modeling:
- 3D Modeling
3. Results and Discussion
3.1. Thermal Properties of the Elaborated Samples
3.2. Mechanical Properties of the Elaborated Samples
3.3. Numerical Results
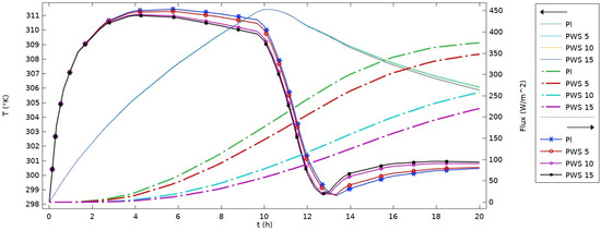
3.3.1. Effect of the Composite Composition Plaster/Wood Shavings on Thermal Properties
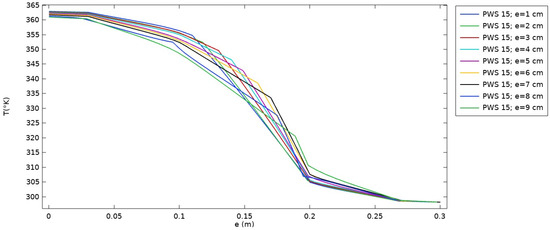
3.3.2. Effect of Insulation Composite Layer Thickness
4. Conclusions
- -
- Improved thermal insulation: thermal conductivity drops from 0.370 W/m-K (pure gypsum) to 0.099 W/m-K for 15% wood chips, a reduction of more than 70%, due to the increased porosity and low intrinsic conductivity of wood;
- -
- Increased mechanical flexibility: the modulus of elasticity drops from 3965 MPa to 1808 MPa, giving the composite greater flexibility and impact resistance, making it suitable for structures subject to load variations;
- -
- Numerical validation: simulations in stationary and transient regimes confirm experimental observations, with a temperature drop of 12 K in the PWS15 composite compared, with 6 K for plaster alone;
- -
- Thickness optimization: the numerical study shows that a PWS15 composite thickness of 6 to 7 cm achieves good energy efficiency while remaining economically viable.
- Valorization of lignocellulosic waste: using wood chips from local carpentry activities offers a concrete recycling solution for waste that is often burnt or landfilled;
- Alternative to synthetic insulation: although slightly less thermally efficient, these composites offer a more environmentally friendly, biobased alternative to conventional insulation materials such as polystyrene or glass wool;
- Reproducible methodology: the preparation protocol (drying, dosing, molding, curing) is accessible and can be transposed to a craft or semi-industrial context, particularly in countries with warm climates;
- Combined approach: the complementary nature of experimental characterization and numerical simulation provides an in-depth understanding of the thermal behavior of materials, paving the way for future optimization.
Author Contributions
Funding
Data Availability Statement
Conflicts of Interest
References
- Santamouris, M.; Vasilakopoulou, K. Present and Future Energy Consumption of Buildings: Challenges and Opportunities towards Decarbonisation. e-Prime—Adv. Electr. Eng. Electron. Energy 2021, 1, 100002. [Google Scholar] [CrossRef]
- Pérez-Lombard, L.; Ortiz, J.; Pout, C. A Review on Buildings Energy Consumption Information. Energy Build. 2008, 40, 394–398. [Google Scholar] [CrossRef]
- Colmenar-Santos, A.; Terán de Lober, L.N.; Borge-Diez, D.; Castro-Gil, M. Solutions to Reduce Energy Consumption in the Management of Large Buildings. Energy Build. 2013, 56, 66–77. [Google Scholar] [CrossRef]
- Belussi, L.; Barozzi, B.; Bellazzi, A.; Danza, L.; Devitofrancesco, A.; Fanciulli, C.; Ghellere, M.; Guazzi, G.; Meroni, I.; Salamone, F.; et al. A Review of Performance of Zero Energy Buildings and Energy Efficiency Solutions. J. Build. Eng. 2019, 25, 100772. [Google Scholar] [CrossRef]
- Cozza, S.; Chambers, J.; Brambilla, A.; Patel, M.K. In Search of Optimal Consumption: A Review of Causes and Solutions to the Energy Performance Gap in Residential Buildings. Energy Build. 2021, 249, 111253. [Google Scholar] [CrossRef]
- Dylewski, R.; Adamczyk, J. Economic and Environmental Benefits of Thermal Insulation of Building External Walls. Build. Environ. 2011, 46, 2615–2623. [Google Scholar] [CrossRef]
- Al-Homoud, M.S. The Effectiveness of Thermal Insulation in Different Types of Buildings in Hot Climates. J. Therm. Envel. Build. Sci. 2004, 27, 235–247. [Google Scholar] [CrossRef]
- Al-Sanea, S.A.; Zedan, M.F.; Al-Hussain, S.N. Effect of Thermal Mass on Performance of Insulated Building Walls and the Concept of Energy Savings Potential. Appl. Energy 2012, 89, 430–442. [Google Scholar] [CrossRef]
- Dong, Y.; Kong, J.; Mousavi, S.; Rismanchi, B.; Yap, P.-S. Wall Insulation Materials in Different Climate Zones: A Review on Challenges and Opportunities of Available Alternatives. Thermo 2023, 3, 38–65. [Google Scholar] [CrossRef]
- Kumar, D.; Alam, M.; Zou, P.X.W.; Sanjayan, J.G.; Memon, R.A. Comparative Analysis of Building Insulation Material Properties and Performance. Renew. Sustain. Energy Rev. 2020, 131, 110038. [Google Scholar] [CrossRef]
- Al-Sanea, S.A.; Zedan, M.F. Improving Thermal Performance of Building Walls by Optimizing Insulation Layer Distribution and Thickness for Same Thermal Mass. Appl. Energy 2011, 88, 3113–3124. [Google Scholar] [CrossRef]
- Hung Anh, L.D.; Pásztory, Z. An Overview of Factors Influencing Thermal Conductivity of Building Insulation Materials. J. Build. Eng. 2021, 44, 102604. [Google Scholar] [CrossRef]
- Al-Sanea, S.A. Evaluation of Heat Transfer Characteristics of Building Wall Elements. J. King Saud Univ.-Eng. Sci. 2000, 12, 285–312. [Google Scholar] [CrossRef]
- Stazi, F.; Vegliò, A.; Di Perna, C.; Munafò, P. Experimental Comparison between 3 Different Traditional Wall Constructions and Dynamic Simulations to Identify Optimal Thermal Insulation Strategies. Energy Build. 2013, 60, 429–441. [Google Scholar] [CrossRef]
- Asdrubali, F.; D’Alessandro, F.; Schiavoni, S. A Review of Unconventional Sustainable Building Insulation Materials. Sustain. Mater. Technol. 2015, 4, 1–17. [Google Scholar] [CrossRef]
- Abu-Jdayil, B.; Mourad, A.-H.; Hittini, W.; Hassan, M.; Hameedi, S. Traditional, State-of-the-Art and Renewable Thermal Building Insulation Materials: An Overview. Constr. Build. Mater. 2019, 214, 709–735. [Google Scholar] [CrossRef]
- Building Insulating Materials from Agricultural By-Products: A Review | SpringerLink. Available online: https://link.springer.com/chapter/10.1007/978-981-32-9868-2_26 (accessed on 29 July 2024).
- Pargana, N.; Pinheiro, M.D.; Silvestre, J.D.; De Brito, J. Comparative Environmental Life Cycle Assessment of Thermal Insulation Materials of Buildings. Energy Build. 2014, 82, 466–481. [Google Scholar] [CrossRef]
- Rabhi, A.; Ennawaoui, A.; Radoine, H.; Hammoumi, I.; Assif, S.; Chhiti, Y.; Laasri, S.; Ennawaoui, C. Thermal and Mechanical Performances Optimization of Plaster–Polystyrene Bio-Composites for Building Applications. CivilEng 2024, 5, 1172–1184. [Google Scholar] [CrossRef]
- Ennawaoui, A.; Lalam, K.; Harmen, Y.; El Morabit, A.; Chhiti, Y.; Chebak, A.; Benssitel, M. Cactus Cladode Juice as Bioflocculant in the Flocculation-Thickening Process for Phosphate Washing Plant: A Comparative Study with Anionic Polyacrylamide. Sustainability 2022, 14, 8054. [Google Scholar] [CrossRef]
- Pedreño-Rojas, M.A.; Morales-Conde, M.J.; Pérez-Gálvez, F.; Rodríguez-Liñán, C. Eco-Efficient Acoustic and Thermal Conditioning Using False Ceiling Plates Made from Plaster and Wood Waste. J. Clean. Prod. 2017, 166, 690–705. [Google Scholar] [CrossRef]
- Mehrez, I.; Hachem, H.; Jemni, A. Thermal Insulation Potential of Wood-Cereal Straws/Plaster Composite. Case Stud. Constr. Mater. 2022, 17, e01353. [Google Scholar] [CrossRef]
- Karawi, R.J.A.; Borhan, T.M.; Karawi, M.Q.A.; Al-Hassnawi, N.; Karawi, R.J.A.; Borhan, T.M.; Karawi, M.Q.A.; Al-Hassnawi, N. Study the Effect of Sawdust Content and Temperature on Fundamental Properties of Plaster Mortars. J. Southwest. Jiaotong Univ. 2019, 54, 1–8. [Google Scholar] [CrossRef]
- Saad Azzem, L.; Bellel, N. Thermal and Physico-Chemical Characteristics of Plaster Reinforced with Wheat Straw for Use as Insulating Materials in Building. Buildings 2022, 12, 1119. [Google Scholar] [CrossRef]
- Lakrafli, H.; Sennoune, M.; Lakrafli, L. Measuring Thermal Conductivity of Certain Solid Industrial Waste by Box Method. J. Anal. Sci. Appl. Biotechnol. 2019, 1. [Google Scholar]
- Robert, U.W.; Etuk, S.E.; Agbasi, O.E.; Ekong, S.A.; Abdulrazzaq, Z.T.; Anonaba, A.U. Investigation of Thermal and Strength Properties of Composite Panels Fabricated with Plaster of Paris for Insulation in Buildings. Int. J. Thermophys. 2021, 42, 25. [Google Scholar] [CrossRef]













| Sample Reference | Plaster [g] | Water [g] | W/P Ratio | Wood Shavings [g] |
|---|---|---|---|---|
| Pl | 100 | 50 | 0.5 | 0 |
| PWS5 | 95 | 47.5 | 0.5 | 5 |
| PWS10 | 90 | 45 | 0.5 | 10 |
| PWS15 | 85 | 42.5 | 0.5 | 15 |
| Sample | e (m) | T3 (°C) | T1 (°C) | T2 (°C) | T4 (°C) | P/A (W/m2) | λ (W/mK) | K (m2K/W) |
|---|---|---|---|---|---|---|---|---|
| Pl | 0.04 | 61.7330 | 42.8540 | 26.3280 | 21.7540 | 152.9199 | 0.37013167 | 0.108070 |
| PWS5 | 0.04 | 61.7330 | 44.9630 | 23.4050 | 21.6080 | 135.837 | 0.25204007 | 0.158705 |
| PWS10 | 0.04 | 61.7330 | 50.5550 | 26.2000 | 21.7540 | 90.5418 | 0.12574813 | 0.318096 |
| PWS15 | 0.04 | 61.7330 | 53.2660 | 25.6640 | 21.6080 | 68.5827 | 0.0993880 | 0.402463 |
| Sample | Young’s Modulus (MPa) |
|---|---|
| Pl | 3965.01 |
| PWS5 | 3521.96 |
| PWS10 | 2037.42 |
| PWS15 | 1807.81 |
Disclaimer/Publisher’s Note: The statements, opinions and data contained in all publications are solely those of the individual author(s) and contributor(s) and not of MDPI and/or the editor(s). MDPI and/or the editor(s) disclaim responsibility for any injury to people or property resulting from any ideas, methods, instructions or products referred to in the content. |
© 2025 by the authors. Licensee MDPI, Basel, Switzerland. This article is an open access article distributed under the terms and conditions of the Creative Commons Attribution (CC BY) license (https://creativecommons.org/licenses/by/4.0/).
Share and Cite
Mohammed Badr, R.; Amine, E.; Fatima, B.; Mohammed, R.; Meryiem, D.; Hicham, M.; Mouad, E.K.; Younes, C.; Chouaib, E. Sustainable Building Materials: Optimization and Performance Analysis of Plaster/Wood Shavings Composites for Thermal Insulation. J. Compos. Sci. 2025, 9, 289. https://doi.org/10.3390/jcs9060289
Mohammed Badr R, Amine E, Fatima B, Mohammed R, Meryiem D, Hicham M, Mouad EK, Younes C, Chouaib E. Sustainable Building Materials: Optimization and Performance Analysis of Plaster/Wood Shavings Composites for Thermal Insulation. Journal of Composites Science. 2025; 9(6):289. https://doi.org/10.3390/jcs9060289
Chicago/Turabian StyleMohammed Badr, Rachidi, Ennawaoui Amine, Bouyahia Fatima, Remaidi Mohammed, Derraz Meryiem, Mastouri Hicham, El Khoudri Mouad, Chhiti Younes, and Ennawaoui Chouaib. 2025. "Sustainable Building Materials: Optimization and Performance Analysis of Plaster/Wood Shavings Composites for Thermal Insulation" Journal of Composites Science 9, no. 6: 289. https://doi.org/10.3390/jcs9060289
APA StyleMohammed Badr, R., Amine, E., Fatima, B., Mohammed, R., Meryiem, D., Hicham, M., Mouad, E. K., Younes, C., & Chouaib, E. (2025). Sustainable Building Materials: Optimization and Performance Analysis of Plaster/Wood Shavings Composites for Thermal Insulation. Journal of Composites Science, 9(6), 289. https://doi.org/10.3390/jcs9060289

