Abstract
This review examines the fire-retardant properties of compositions that incorporate various classes of phosphorus–nitrogen compounds. Specifically, it focuses on nitrogen-containing derivatives of 9,10-dihydro-9-oxa-10-phosphaphenanthrene-10-oxide, phosphinates, phosphorus–nitrogen salts, and aryloxycyclophosphazenes. The findings indicate that these classes of fire retardants enhance the limiting oxygen index, decrease heat and smoke emission indices in epoxy compositions, and facilitate the creation of self-extinguishing materials. Notably, aryloxycyclophosphazenes with reactive functional groups emerge as the most effective fire retardants, particularly in terms of their impact on the mechanical properties of epoxy compositions and compatibility with epoxy resin. This review would be a valuable resource for engineers, chemical engineers, materials scientists, and researchers engaged in the development of non-combustible polymer composites and organoelement compounds.
1. Introduction
Epoxy resins are among the most widely utilized thermoset polymers, renowned for their exceptional mechanical properties, chemical resistance, and resilience to corrosion [1]. Additionally, they exhibit low shrinkage and effective electrical insulating capabilities. Composites and nanocomposites reinforced with natural fibers, adhesives, coatings, and binders based on epoxy resins find extensive applications in daily life, electronics, and the automotive industry [2,3,4,5,6]. Adhesive formulations incorporating epoxy resins contribute to the longevity of steel bridge surfaces. At the same time, their incorporation into concrete and asphalt enhances frost resistance, mitigates chloride penetration through cracks, and improves both compressive and tensile strength, making them promising materials in construction [7,8,9,10]. However, conventional industrial epoxy resins typically possess a low limiting oxygen index (LOI) value (for instance, DGEBA/DDM has an LOI of 21.8%) and do not meet the UL-94 vertical combustion test criteria, thus presenting flammability concerns. To address this flammability issue, modifications are made to the resins using various inorganic and organo-inorganic compounds, which effectively increase the LOI value of epoxy resins [11].
Among the inorganic and organo-inorganic compounds that enhance the fire resistance of epoxy resins, halogen-containing and halogen-free flame retardants—such as those incorporating phosphorus, nitrogen, silicon, or multi-element formulations—are particularly noteworthy. These flame retardants include salts containing nitrogen and phosphorus, such as ammonium polyphosphate [12], zirconium phosphate, and various phosphorus compounds. In contrast to halogen-containing flame retardants, these alternatives do not produce toxic smoke during combustion [13,14]. Phosphorus–nitrogen compounds offer a cooperative fire-retardant effect by generating a robust coke residue in the condensed phase (Figure 1) on the surface of the polymer during combustion while simultaneously forming non-combustible gases (CO2, N2, NH3) in the gas phase. This process reduces oxygen concentration and slows down combustion [15].
Figure 1.
SEM image of a dense coke layer after combustion of an epoxy composition with the addition of a phosphorus–nitrogen fire retardant (adopted from ref. [15]).
Organo-inorganic compounds that contain silicon atoms, including silanes, siloxanes, polysiloxanes, and silsesquioxanes, exhibit notable thermal stability. However, because silicon compounds are combustible, they are often used as synergistic additives in combination with phosphorus–nitrogen compounds [16]. For example, a dual epoxy-functionalized polysiloxane paired with DOPO demonstrated remarkable synergistic flame retardancy when applied to DGEBA, achieving an LOI value of 37% [17].
Inorganic salts serve as additive supplements, while hybrid phosphorus–nitrogen compounds are generally reactive, enabling their incorporation into the polymer matrix during the curing process of the resin. Notable drawbacks of additive supplements are the need for large amounts and poor compatibility with epoxy resins. This incompatibility can lead to the aggregation of flame-retardant particles within the polymer matrix, resulting in stress concentration and a deterioration of the mechanical properties of the epoxy composition, such as tensile strength and flexural strength [18]. Organic modifications are employed to enhance interfacial compatibility with the epoxy matrix. For example, zirconium aminotrimethylenephosphonate is utilized instead of zirconium phosphate [18]. To improve the dispersion of hydrophilic inorganic salts within hydrophobic epoxy resins, treatments with silanes (for example, γ-aminopropyltriethoxysilane) are applied, and nanosized crystals are preferred over microsized ones [19].
In comparison to inorganic flame retardants such as ammonium polyphosphate, magnesium hydroxide, and aluminum hydroxide, the organophosphorus flame retardants are often reactive. This reactivity is attributed to their functional groups, which can react with the epoxy groups present in the resin, allowing them to function as additives and hardeners. However, organophosphorus compounds also have certain drawbacks. For instance, derivatives of 9,0-dihydro-9-oxa-10-phosphophenanthrene-10-oxide (DOPO) that contain aromatic rings exhibit poor compatibility with epoxy resins, resulting in deterioration of mechanical properties. Conversely, incorporating amine groups significantly enhances the solubility of DOPO derivatives in epoxy resins [20,21]. To address compatibility issues, nitrogen is introduced into the molecular structure of these compounds. An example of this is synthesizing a product containing tertiary nitrogen atoms through the reaction of diphenylphosphinic chloride with 2,4,6-tris(dimethylaminomethyl)phenol (DMP-30) [22,23,24,25].
Aryloxycyclophosphazenes are highly promising flame retardants for modifying epoxy resins and their compositions, primarily due to their non-toxicity to humans [26], ease of functionalization, structural and thermal stability, and ability to maintain or enhance the mechanical properties of epoxy compositions [27,28]. While reviews have been published on DOPO derivatives and functionalized ammonium polyphosphate as flame retardants for epoxy compositions [29,30], there currently exists no critical review that analyzes the literature on the synthesis of organocyclophosphazenes as modifiers and flame retardants for epoxy compositions and comparison of their properties to other phosphorus–nitrogen compounds.
This study aimed to critically review of the literature in which various methods for obtaining phosphorus–nitrogen compounds and fire retardants were analyzed. This study evaluated key parameters such as the limiting oxygen index, vertical combustion test results, heat release, and smoke generation indicators. The thermal properties (such as glass transition and onset temperature) and mechanical properties of epoxy compositions modified with these compounds were also assessed. Based on the findings, the study also evaluated the profitability and potential for industrial production of the materials discussed.
2. Nitrogen-Containing DOPO Derivatives
A suitable alternative to halogen-based flame retardant is phosphorus-based flame retardant. Incorporating phosphorus into epoxy resins significantly improves their flame-retardant properties by promoting char formation during combustion. The coke residue acts as a barrier, limiting heat transfer to the base materials and allowing control of flammable gas evolution [30].
Several phosphorus-based flame retardants have been studied to enhance the flame retardancy of epoxy resins. Among these, DOPO has gained popularity across various industries due to its effectiveness and thermal stability [30]. Research indicates that incorporating nitrogen into flame retardants can promote the foaming of the burning polymer, thereby contributing to the material’s additional flame retardancy. In this context, Deng et al. developed a new flame retardant with a synergistic effect, combining phosphorus and nitrogen (BOPOA), synthesized from diallylamine (DAA) and DOPO (Figure 2). This flame retardant was utilized to create a fire-retardant epoxy resin based on DGEBA and the hardener 4,4′-diaminodiphenylmethane (DDM) [31].
Figure 2.
Synthesis scheme of synergistic flame retardants (BOPOA) (reaction conditions—solvent ethanol, 80 °C, 15 h).
The experimental results showed that with a phosphorus content of about 1.5% by weight in the composite epoxy resin (BOPOA-1.5), the limiting oxygen index (LOI) was significantly increased by 38% compared to the epoxy resin without BOPOA, achieving the V0 classification of UL 94 [31]. In addition, the time to flameout was reduced by 45%, while the peak, average, and total heat release rates were reduced by 25%, 24%, and 24%, respectively (Table 1).
Table 1.
Flame-retardant properties of cured epoxy resins (adopted from ref. [31,32,33,34,35,36,37,38,39,40,41,42,43,44,45,46,47]).
The authors also examined the gases released during combustion to gain a deeper understanding of the mechanisms. Their findings indicated that incorporating BOPOA significantly alters the combustion mechanism of epoxy resin, leading to a decrease in the generation of flammable gases. This reduction is attributed to the dilution of BOPOA with non-flammable gases such as nitrogen and ammonia while simultaneously generating phosphorus-containing free radicals that interfere with combustion chain reactions in the gas phase. Moreover, BOPOA facilitated the formation of graphitized carbon residues in the condensed phase.
The epoxy resins modified with BOPOA exhibited remarkable mechanical properties [31]. Specifically, the tensile strength was enhanced by 61%, and the flexural strength increased by 31% compared to epoxy resins lacking BOPOA. This enhancement can be attributed, in part, to the high compatibility of BOPOA with the epoxy resin, as evidenced by SEM data and its excellent dispersibility. Additionally, BOPOA’s significant rigid structure restricts the movement of the epoxy chain segments, thus contributing to the increased mechanical strength.
In addition, the tensile and bending surface morphology was studied, and it was found that the impact fracture surface morphology of BOPOA-1.5 was quite smooth and showed typical brittle fracture characteristics.
The investigation of smoke generation indices, such as the total smoke production index (TSP), was not addressed in reference [31]. This represents a significant limitation [31] of the study, as smoke generation indices are crucial for safely applying composite materials in construction. Toxic smoke inhalation can lead to fatalities during a fire, highlighting the need for a thorough understanding of smoke suppression indicators. Specifically, evaluating TSP using a cone calorimeter is essential for enhancing the fire safety of epoxy formulations and mitigating the risks associated with fire smoke.
In contrast, Liu et al. investigated the smoke generation properties of an epoxy composition that incorporates a phosphorus–nitrogen reactive flame retardant (BSEA), which was synthesized from the cost-effective and non-toxic N,N′-bis(salicylidene)ethylenediamine (NEA) and DOPO [32] (Figure 3).
Figure 3.
Scheme of BSEA production (reaction conditions—ethanol solvent, rt, 12 h, yield 97%).
The authors developed several epoxy compositions using DGEBA, biscitraconimide, and DDM, varying the content of BSEA. Experimental results demonstrated that the limiting oxygen index of these epoxy formulations increased to 32%, achieving a V0 rating according to the UL 94 standard, with a phosphorus content of 0.35 wt.% (EP/BCI/BSEA-4, Table 1).
The modified composites exhibited a higher elastic modulus compared to the neat composite (4.82 × 109 Pa) and good tensile properties; however, there was a significant decrease in the glass transition temperature by 39.8%. The increase in elastic modulus suggests that the presence of rigid groups in the BSEA structure acts as a reinforcing agent, enhancing the modulus of the epoxy resin. The tensile strength saw improvements of 50.62% and 28.65%, respectively. Additionally, the elongation at break reached 8.25% and 2.13% (at 77 K), marking enhancements of 63.37% and 50.0% compared to the neat epoxy. This can be attributed to the fact that BCI and BSEA were covalently bonded to the cross-linking networks of the epoxy resin rather than merely being physically mixed. This resulted in a decrease in the cross-linking density of the modified epoxy system and an increase in free volume [32].
The authors noted an improvement in mechanical properties alongside a decrease in peak heat release rate, total heat release rate, and flame speed index. However, it is important to highlight that overall smoke formation increased by 10%. This smoke formation poses a significant drawback for EP/BCI/BSEA-4 and may restrict its applicability in industrial settings.
A more promising flame retardant for epoxy compositions is the one synthesized by Xiao et al. [33] through the reaction of 3-cyclohexene-1-formaldehyde and DDM with DOPO (Figure 4). Utilizing DOPO-CC, DGEBA, and DDM, compositions with phosphorus contents of 0.25% and 0.5% by weight were produced. Notably, the composition containing DOPO-CC exhibited a 78% reduction in TSP value compared to DGEBA, highlighting an advantage of the DOPO-CC flame retardant over the BSEA flame retardant.
Figure 4.
DOPO-CC synthesis scheme (reaction conditions –tetrahydrofuran solvent, nitrogen atmosphere, 80 °C, 6 h).
In addition, the incorporation of these hardeners decreased the activation energy of the curing process, with values of 47.13 kJ/mol (Ozawa) and 42.40 kJ/mol (Kissinger) for EP/5.0 DOPO-CC, and 50.24 kJ/mol (Ozawa) and 45.90 kJ/mol (Kissinger) for DGEBA/DDM, in comparison to pure epoxy composites. Notably, curing with DOPO-CC exhibited the highest curing rate [33]. The authors attribute this observation to an increased likelihood of collision between the epoxy groups in the epoxy molecules and the amino groups of the hardener. However, it remains unclear why this collision probability is enhanced compared to commercial amines.
The limiting oxygen index of the epoxy resin increased from 25.5% to 33.5% for the DOPO-CC-based composition (EP/5.0 DOPO-CC; phosphorus content—0.5% by weight), as shown in Table 1. Analysis of the coke residue after the pyrolysis of the compositions confirmed that DOPO-CC facilitates the decomposition process by creating a non-porous coke layer, which significantly decreases both the peak heat release rate and the total heat release. However, the lack of porosity in the coke layer requires further explanation, as nitrogen typically foams the composition, suggesting that the coke residue should exhibit porosity. Additionally, the referenced work [33] does not provide mechanical properties for the composites.
Yang et al. developed a phosphorus–nitrogen containing flame retardant (PPCANT) (Figure 5) and applied it to create epoxy composites to evaluate the flame-retardant performance and improve the mechanical properties, which were insufficient in DOPO-based composites [34].
Figure 5.
Synthesis of PPCANT.
PPCANT was synthesized from DOPO, 4-nitroaniline, and cinnamaldehyde. Epoxy composites were obtained by curing DGEBA and DDM with different PPCANT contents. Experimental data showed that the limiting oxygen index of the epoxy composition with 5% PPCANT (EP/PPCANT-5) increased to 32.6% compared to 24.9% for neat epoxy resin, which corresponds to the V0 rating of UL94. In addition to a significant increase in fire resistance, the addition of DOPO–BAPh increases the glass transition temperature from 182.3 °C to 204 °C. This increase can be attributed to the steric hindrance and π-π interactions of the aromatic groups in DOPO, along with the formation of hydrogen bonds with hydroxyl groups generated during the curing process.
Wang et al. investigated phthalonitrile, hypothesizing that the nitrile groups within phthalonitrile could contribute to the formation of a complex aromatic heterocyclic cross-linked structure. To explore this hypothesis, the authors designed and synthesized bisphenol A bis(phthalonitrile) containing benzoxazine (BAPh) and then reacted it with DOPO to create a phosphorus- and nitrogen-containing compound, DOPO-BAPh. This compound was subsequently utilized as an additive in the curing process of DGEBA with 4,4′-diaminodiphenylsulfone (DDS) (Figure 6) [35].
Figure 6.
Synthesis scheme of DOPO-BAPh (reaction conditions—tetrahydrofuran, 60 °C, 12 h).
The results showed that the limiting oxygen index of the DOPO-BAPh-based epoxy composite (5DOPO-BAPh/EP) increased to 35.8%, achieving a V0 rating in the UL94 standard with a phosphorus content of 0.26 wt%. For the DOPO-BAPh-based epoxy composite with a phosphorus content of 0.91% (20DOPO-BAPh/EP), the peak heat release rate decreased significantly from 1064 kW/m2 to 266 kW/m2, and the total heat release was reduced from 97.1 MJ/m2 to 69.1 MJ/m2. The authors attributed these improvements to the self-curing of the nitrile group in DOPO-BAPh during the epoxy resin (ER) process, which resulted in cross-linked networks containing aromatic heterocycles. This development enhanced the stability of the carbon layer formed after combustion. Additionally, the results demonstrated that DOPO-BAPh primarily facilitated the quenching of released free radicals, the dilution of non-combustible gases in the gas phase, and the barrier effect of phosphorus-rich carbon in the condensed phase. Unfortunately, the authors did not provide a scheme for the indicated reactions with the formation of a cross-linked structure, which makes it challenging to understand the processes that occur during the combustion of compositions based on them.
In the above studies [31,32,33,34,35], the nitrogen content was low, and the main emphasis was on the content of phosphorus atoms in the composition. In search of more effective phosphorus/nitrogen-containing flame retardants and to study the role of synergism, researchers focused on developing molecules with high nitrogen content. One such molecule is the pentavalent N-heterocyclic triazole structure (Figure 7), which has significant potential due to its high nitrogen content, which was expected to provide flame-retardant properties and noticeable thermal stability. Zhang et al. synthesized phosphorus–nitrogen type flame retardants based on triazole (N-DOPO) using 3,5-diamino-1,2,4-triazole and DOPO. 4,4′-diaminodiphenylmethane (DDM) was used as a curing agent to obtain epoxy composites, and the flame-retardant properties of the composites were investigated at different flame-retardant loadings [36].
Figure 7.
N-DOPO synthesis scheme.
The epoxy composite with 7.5% N-DOPO (EP/N-DOPO 7.5) demonstrated a significant increase in the limiting oxygen index, reaching 33.5%, and achieved a V0 rating in accordance with the UL94 standard (Table 1). Studies conducted using a cone calorimeter revealed that the peak heat release rate and total smoke generation were notably reduced in the N-DOPO composites. However, the impact of N-DOPO on the mechanical properties of the epoxy composite was not addressed in the reference [36].
Since insoluble powder flame retardants can impede the cross-linking of epoxy polymer chains and curing agents, adversely affecting both mechanical and optical properties, developing highly effective flame retardants that do not compromise these properties in composites is crucial. Ionic liquids, known for their excellent thermal stability and low volatility, show great promise as they can create a miscible layer with resins and curing agents, thereby enhancing mechanical and optical characteristics. In this context, Wei et al. introduced a novel phosphorus/nitrogen-containing ionic liquid flame retardant, DOPA-MZ, which was synthesized from DOPO and 1-methylimidazole through an acid–base neutralization process [37].
Several epoxy composites were prepared by curing DGEBA and DDM with varying loadings of DOPO-MZ, and all exhibited high transparency. Interestingly, the epoxy composite with 3% DOPO-MZ (EP/3% DOPO-MZ), which contained 0.13% phosphorus, achieved a V0 rating according to UL94 standards. The active hydrogen in DOPO-MZ participated in the curing reaction with DGEBA and DDM, resulting in an increase in the glass transition temperature of the composites. In addition, the authors of [37] showed that adding 5% DOPA-MZ significantly increases tensile strength and flexural strength by 28.8% and 23.6%, respectively, for the EP/5% DOPA-MZ composite. The establishment of this fact is an advantage of [37] compared to earlier studies.
In addition to the phosphorus- and nitrogen-based flame retardants discussed in references [31,32,33,34,35,36,37], researchers are actively working on developing new flame retardants by combining phosphorus with various elements such as boron, sulfur, and silicon. This approach aims to create effective flame retardants and investigate potential synergistic effects. Jiang and his colleagues synthesized a novel macromolecular flame retardant known as DOPONH2-S, which contains phosphorus, nitrogen, and sulfur. This was achieved by reacting aniline and DOPO with p-aminoacetophenone, followed by a reaction with methylphosphonothione dichloride (Figure 8) [38].
Figure 8.
DOPONH2-S synthesis scheme (reaction conditions—first stage: p-toluenesulfonic acid (catalyst), 130 °C, 24 h, yield 95%; second stage—triethylamine, chloroform, rt, 24 h, 50 °C, 36 h).
The epoxy composite with 10.0% DOPONH2-S (EP-4) showed a significant reduction in peak heat release rate and total heat release by 59.1% and 58.5%, respectively, compared to neat epoxy resin (Table 1). DOPONH2-S-based composites promoted the formation of a dense carbon layer, indicating the condensed phase mechanism. The formation of phosphorus-containing and sulfur-containing free radicals in the gas phase contributed to the quenching of H⋅ and OH⋅ free radicals, which effectively controlled the flame propagation. In addition, sulfur dioxide can also dilute combustible gases.
The glass transition temperature of epoxy composites is often modified by adding flame retardants to the curing system, which can reduce mechanical properties. However, despite the involvement of amino groups in DOPONH2-S during the curing process with epoxy resin, both the glass transition temperature and cross-link density remained unaffected due to the presence of aromatic groups. DOPONH2-S-based epoxy composites exhibited remarkable impact strength, attributed to the flexible chains within the macromolecule, allowing for the creation of robust composites without compromising the glass transition temperature. Furthermore, the inclusion of sulfur in the flame-retardant formulation significantly enhanced its overall effectiveness while maintaining mechanical properties such as flexural strength and impact strength. The disadvantage of sulfur-containing compounds is the formation of toxic sulfur dioxide during combustion, which makes the composition environmentally unsafe. Instead of sulfur, silicon or boron atoms can be included in the composition of the fire retardant.
For example, Rao et al. introduced a phenylsiloxane moiety into a phosphorus/nitrogen-containing macromolecular flame retardant. The novel phosphorus/nitrogen-containing phenylsiloxane macromolecule (DP-PPD) was prepared by the reaction of diphenyldichlorosilane and p-hydroxybenzaldehyde, followed by a reaction with p-phenylenediamine and DOPO (Figure 9) [39]. The epoxy composite with 3 wt.% DP-PPD based on DGEBA/DDM (3% DP-PPD/EP) achieved a V0 rating according to UL94. The composite with 9 wt.% DP-PPD (9% DP-PPD/EP) reduced total heat release and smoke emission by 35.4% and 20.0%, respectively (Table 1). Epoxy composites containing 2% DP-PPD demonstrated a substantial enhancement in impact strength, flexural strength, and flexural modulus, with increases of 100%, 12.9%, and 38.7%, respectively. This improvement is attributed to incorporating flexible phenylsiloxane units and establishing covalent bonds with the epoxy resin. Consequently, the study underscores the significant potential of multi-element flame retardants to achieve high levels of flame resistance while maintaining the mechanical integrity of the composites.
Figure 9.
Synthesis scheme of DP-PPD, a phosphorus/nitrogen/silicon-containing flame retardant (conditions—first stage: tetrahydrofuran, triethylamine, 40 °C, 4 h; second stage: ethanol, 70 °C, 20 h, yield 80%).
However, the flame retardants synthesized in [38,39] are high-molecular compounds, which makes it challenging to obtain a homogeneous system with epoxy resin and requires high temperatures to obtain a homogeneous composition (120 °C and above). The use of low-molecular organoelement compounds is more relevant from the point of view of their compatibility with epoxy oligomers. In line with the strategy of polyelement compositions, Chen et al. developed a boron-containing low-molecular-weight flame retardant and investigated the fire-protective and mechanical properties of the epoxy composition. They synthesized a novel carboxylic acid containing phosphorus, nitrogen, and boron (TMDB) through the esterification and reaction of 1,3,5-tris(2-hydroxyethyl)isocyanurate (THEIC), maleic anhydride (MAH), 9,10-dihydro-9-oxa-10-phosphaphenanthrene-10-oxide (DOPO), and boric acid (BA) (Figure 10) [40].
Figure 10.
Synthesis scheme of TMDB (conditions—first stage: dioxane, 95 °C, 2 h, N2; second stage: 110 °C, 8 h, dioxane, third stage: dioxane 3 h, reflux, yield 89%).
The epoxy composites were prepared by curing DGEBA with methyl tetrahydrophthalic anhydride (MeTHPA) as a curing agent and TMDB in the presence of 2,4,6-tris(dimethylaminomethyl)phenol (DMP-30) as a curing accelerator. The epoxy composites containing 15.1 wt% TMDB (EP-1.0) showed a significant reduction in peak heat release rate (PHRR), total heat release (THR), and total smoke production (TSP) by 58.5%, 41.7%, and 47.2%, respectively (Table 1). Moreover, the authors examined the impact of TMDB on the mechanical properties of the epoxy composition and observed an increase in both flexural strength and tensile strength when compared to pure DGEBA epoxy resin. They attributed this enhancement to the formation of hydrogen bonds between the free hydroxyl groups of the epoxy resin and the -B(OH)2 groups. The synthesized flame retardant demonstrated a high curing temperature for the epoxy resin, reaching 155 °C, compared to 141 °C for epoxy resin cured with MeTHPA. The authors attribute this difference to the low reactivity of the carboxyl groups.
Zhang et al. developed a ternary hybrid flame retardant based on phosphorus, silicon, and boron, referred to as BSiP (Figure 11). This flame retardant was utilized to formulate flame-retardant epoxy composites cured with DGEBA and DDM. The synthesis of BSiP involved the reaction of p-phthalaldehyde and (3-aminopropyl)triethoxysilane, which was followed by a reaction with DOPO and boric acid. Remarkably, epoxy composites containing 3 wt% BSiP achieved a UL94 V0 rating (EP/3BSiP). Previously, the same authors reported a binary flame retardant based on phosphorus and boron BP (Figure 12) [42], which was also investigated for use as a flame retardant in epoxy composites.
Figure 11.
Structure of BSiP.
Figure 12.
Structure of BP.
To achieve the UL94 V0 rating for the epoxy composite with BP, 6% by weight was required. In addition, the synergistic effect of fire retardancy and mechanical properties was investigated by combining the binary system (BP) and ternary system (BSiP) in different proportions in epoxy composites. The epoxy composite with 2% weight loading of BSiP and 2% BP (EP/2BSiP/2BP) also passed the UL94 V0 rating, and the limiting oxygen index (LOI) increased to 33% compared to 26% for the pure epoxy composite.
Cone colorimeter analysis confirmed that peak heat release rate, total heat release, and total smoke emission were significantly reduced for the blended samples (EP/2BSiP/2BP and EP/3BSiP/3BP) compared to epoxy composites containing BSiP or BP only (Table 1). These results highlight the need for further studies on the synergistic effect to better understand its impact on the fire performance and mechanical properties of the composites.
Thus, from the point of view of imparting fire resistance to epoxy compositions, the most promising DOPO derivative is DOPO-CC (Table 1). This is due to several factors: (1) both heat and smoke emission indices were measured for the epoxy composition based on it; (2) an increase in the LOI value of the epoxy composition is observed compared to the pure epoxy composition up to 33.5 vol.% with a flame retardant content of 5 wt.%; (3) a significant decrease in the heat emission indices PHRR and THR by 66 and 65%, respectively, and a decrease, rather than an increase, in the smoke emission index TSP is observed. In terms of thermal stability, the most promising DOPO derivative was 10% DOPONH2-S since there was not a decrease but an increase in T5%. The most promising mechanical properties (tensile strength and flexural strength) were imparted by the DOPA-MZ derivative (Table 2).
Table 2.
Thermostability and mechanical properties of DOPO derivatives (adopted from [31,32,33,34,35,36,37,38,39,40,41,42]).
DOPO is safe for both humans and the environment. However, it and its derivatives present several drawbacks, including a high melting point (119 °C for DOPO and even higher for its derivatives), solubility in organic solvents—particularly ethanol and tetrahydrofuran—only at elevated temperatures, and lengthy synthesis times (up to 15 h or more for BOPOA, and 12 h for BSEA and DOPO-BAPh). Additionally, some DOPO derivatives, like DOPO-CC and PPCANT, exhibit an acidic nature, with pKa values lower than that of water. The crystalline structure of DOPO and its derivatives complicates their incorporation into epoxy resins in solution. As a result, current research in the realm of phosphorus-containing flame retardants focuses on replacing DOPO with either liquid flame retardants or solid flame retardants with lower melting points.
3. Nitrogen-Containing Phosphinates
Phosphinate-based flame retardants are the preferred choice for high-temperature engineering polymer processing additives due to their high thermal stability. Like DOPO, phosphinate-based flame retardants work effectively by interrupting the combustion chain reactions in the gas phase and promoting the formation of carbon residue in the condensed phase, increasing the fire resistance of materials. Introducing nitrogen into phosphinate structures further enhances their flame-retardant efficiency due to a synergistic effect [43,44].
Shi et al. proposed a new flame retardant based on dimethylglyoxime-bridged phosphinate (DMG-DC) synthesized by the phosphonylation reaction of dimethylglyoxime (DMG) and diphenylphosphinic chloride (DPPC) (Figure 13) [43]. Epoxy composites were obtained by curing DGEBA and DDS with different ratios of DMG-DC, and the composites with 15% by weight DMG-DC (EP/DMG-DC-15) passed the UL 94 V0 test.
Figure 13.
Scheme synthesis of DMG-DC (conditions—triethylamine, methylene chloride, 24 h, rt, product yield 95%).
However, for the epoxy composition EP/DMG-DC-15, an increase in the smoke generation TSP was observed rather than a decrease (Table 1), which is a disadvantage of the flame retardant.
In response, Yang et al. proposed a phosphinate-based tertiary amine (DCM) as a curing agent for DGEBA-based epoxy resin [44]. DCM was synthesized through the reaction of diphenylphosphinic chloride and 2,4,6-tris(dimethylaminomethyl)phenol (DMP-30) (Figure 14).
Figure 14.
Synthesis scheme of DCM (reaction conditions—triethylamine, tetrahydrofuran, 60 °C, 5 h, yield 93%).
Epoxy composites made with DGEBA and DCM as curing agents showed significant reduction in smoke emission, improved fire resistance and mechanical properties compared to composites prepared using DMP. Specifically, EP/DCM composite (EP/DCM-1.5) showed significant reduction in peak heat release rate and total heat release by 36.2% and 37%, respectively, compared to EP/DMP sample (Table 1).
Unlike DOPO and its derivatives, phosphinates, in particular DMG-DC, are synthesized at room temperature. In addition, some phosphinates, for example, DCM [44], are liquids that are highly soluble in DGEBA, which facilitates their compatibility with epoxy resins. In particular, DCM was compatible with DGEBA epoxy resin at room temperature. However, further experiments are required to confirm the good compatibility of nitrogen-containing phosphinates with epoxy resins, for example, phase separation tests, SEM images, or dynamic mechanical analysis.
However, a disadvantage of the synthesis of these compounds is the need for thorough washing from triethylamine hydrochloride to convert them to the main form. In addition, to achieve the desired fire safety properties, a higher content of phosphinates in the composition is required compared to DOPO derivatives (in particular, 15 wt.% for DMG-DC, 23 wt.% for DCM).
In addition, despite excellent mechanical properties (tensile strength, flexural strength, impact strength) from the point of view of thermal stability, nitrogen-containing phosphinates are not promising compounds, since the T5% value decreases compared to a pure epoxy composition (Table 3). This is due to the fact that phosphorus-containing decomposition products of nitrogen-containing phosphinate, in particular, DMP and DCM, catalyze the decomposition of the epoxy matrix.
Table 3.
Thermostability and mechanical properties of nitrogen-containing phosphinates.
To reduce production costs by reducing the stages of flame retardant synthesis, additives based on phosphorus–nitrogen salts are used instead of reactive flame retardants.
4. Flame Retardants Based on Salts Containing Phosphorus and Nitrogen Atoms
In recent years, flame retardants based on inorganic fillers such as aluminum trihydroxide (ATH), ammonium polyphosphate (APP), montmorillonite (MMT), and layered double hydroxides (LDH) have been widely used in in various polymeric industries and structural engineering industries to enhance the flame retardancy [45,46,47,48]. However, these fillers are required to be used at high loading in order to achieve the expected flame retardancy. Usage of high loading led to deterioration in mechanical properties of the composites and also may cause precipitation during the curing process [49,50,51].
To overcome this issue, researchers explored nanocomposite fillers and surface-modified inorganic fillers such as carbon nanotubes, graphene, silica, and other metal oxides, which are expected to reduce the precipitation, promote uniform distribution throughout the matrix, and increase the interfacial interaction [45,52,53]. Apart from the organophosphorus compounds, phosphorus-based inorganic fillers like APP have demonstrated outstanding flame retardancy properties to various polymer matrixes, including epoxy resins. However, when APP loading exceeds 30 wt.%, significant deterioration in the mechanical properties of composites is observed [48].
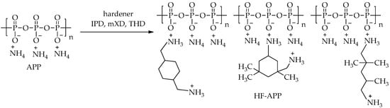
In this regard, researchers involved in the functionalization of APP in order to improve mechanical properties without compromising flame retardancy. For example, in [54], a functionalized APP was developed using a mixture of amine curing agents, including isophorone diamine (IPD), m-xylylenediamine (mXD), and 2,2,4-trimethylhexane-1,6-diamine (THD) (Figure 15).
Figure 15.
Synthesis scheme of functionalized APP curing agent (HF-APP) (reaction conditions—rt, 12 h, 24 h, vigorous stirring).
APP and curing agent-functionalized APP (HF-APP) were used to prepare epoxy composites cured with DGEBA and a blend of amine curing agents. The results showed that the composite with 30 wt.% loading of HF-APP demonstrated a reduction in peak heat release rate and total heat release by 87% and 83%, respectively, while 92% of the mechanical properties were preserved compared to pure epoxy composite. These results highlight the potential of functionalized inorganic fillers to create high-performance flame retardant polymer composites with retained mechanical properties.
In one study [54], ammonium polyphosphate (APP) was modified using N-[3-(trimethoxysilyl)propyl]ethylenediamine to incorporate it into the polymerization of methyl methacrylate and capric acid, resulting in spherical microcapsules (a-MPCM). These microcapsules were investigated for their thermal performance and flame retardancy. When 5 wt.% a-MPCM was added to DGEBA and DDM cured epoxy composites (a-MPCM/EP), a significant decrease in peak heat release rate by 30% was observed compared to the virgin epoxy composite (Table 1). The EP/a-MPCM composite also exhibited high thermal conductivity and fast heat transfer rate, indicating its improved thermal performance. However, this work did not examine the influence of such fillers on the mechanical properties of the resulting compositions.
In contrast, Ding et al. investigated the mechanical properties of an epoxy composite based on epoxy resin containing aluminum diethyl phosphonate (ADF) and piperazine pyrophosphate (PAFP) [55]. Epoxy composites with 3% ADF and 1% PAFP successfully passed the UL 94 combustion test with a V0 rating, while a decrease in peak heat release rate by 18.9% was noted compared to neat epoxy resin.
However, the addition of this flame retardant reduced the tensile strength and impact toughness by 10.2% and 32.4%, respectively. The optimal amount of ADP/PAPP to achieve optimal mechanical and fire-resistant properties is 3:1, respectively. The content of nitrogen and phosphorus in the composition is also not provided in the work.
The authors of [18] used zirconium amino trimethylene phosphonate (ZrATMP) nanorods as a flame retardant for epoxy resin. ZrATMP was synthesized by reacting zirconium (IV) oxychloride with amino tris(methylene phosphonic acid). ZrATMP/Epoxy composites were obtained by curing DGEBA and DDM with the addition of ZrATMP in different concentrations.
Unlike the ADP/PAPP flame retardant, the ZrATMP flame retardant did not reduce, but increased, the tensile strength and impact toughness of the epoxy composition by 111% and 76%, respectively, which is its advantage. Furthermore, compared with neat epoxy composite, the peak heat release rate, total heat release rate, and total smoke release rate for the composite with 3% ZrATMP were reduced by 30.4%, 39.2%, and 47.3%, respectively. These results highlight the potential of using nanocomposite fillers to create high-performance flame retardant polymer composites with improved thermal properties (Table 1).
Thus, the disadvantages of phosphorus–nitrogen salts are the difficulty of their compatibility with epoxy resins and deterioration of mechanical properties. In addition, phosphorus–nitrogen salts are prone to the formation of aggregates and sedimentation, since their density is higher than the density of the resin. Therefore, it is necessary to use a high-speed mixer and ultrasound before curing to ensure their uniform dispersion in the resin.
Compared with phosphorus–nitrogen salts, cyclophosphazenes have proven themselves to be more promising compounds for imparting non-flammability to epoxy compositions. This is due to the fact that cyclophosphazenes are usually well compatible with epoxy resins, do not deteriorate the mechanical properties of epoxy compositions, and make them self-extinguishing with a phosphorus content of less than 1 wt.%.
5. Cyclophosphazenes
Functional aryloxycyclophosphazenes, due to the fact that they are resistant to hydrolysis, non-toxic to the human body, highly thermally stable, and chemically resistant, make them promising compounds for use in various fields of science and technology (Figure 16)—electronics and photonics, catalysis, coordination chemistry, pharmacology and biomedicine, aviation, etc. [56].
Figure 16.
Areas of application of aryloxycyclophosphazenes.
Thus, aryloxycyclophosphazenes have found application in the field of medicine as antimicrobial agents (Figure 17) [57] and drug delivery systems [58], and for bone tissue regeneration [59,60]; in the field of dentistry to improve adhesion [61,62,63,64]; and in pharmaceuticals as antifungal and cytotoxic drugs [65,66,67], as well as for the production of metal complexes, coordination polymers [68,69,70,71], and extraction of heavy and noble metals [72]. Ligands based on cyclophosphazenes can be used for the manufacture of electronic devices [73,74,75], catalysts [76,77], and anti-corrosion materials [78].
Figure 17.
Antimicrobial action silver-containing gel based on polyvinyl alcohol and cyclophosphazenes [57].
However, aryloxycyclophosphazenes are of the greatest importance for the creation of heat-resistant and non-flammable polymers [79,80,81] or materials based on them [82,83,84,85,86]. For example, an addition of 10 wt.% hexaphenoxycyclotriphosphazene increased the LOI value of a composition based on diglycidyl ether bisphenol F (DGEBF) and epoxy phenolic novolac resin cured with diethyltoluene diamine from 23.9% to 36.2% [87].
It is especially important that functional aryloxycyclophosphazenes are of interest as modifiers of epoxy resins for the production of nonflammable composite materials and modifiers of industrial compositions. Phosphazenes are non-toxic compared to halogen-containing flame retardants, do not deteriorate dielectric properties, and often increase heat resistance, flexural strength, and tensile strength [88]. ACP-modified epoxy resins do not form burning droplets, do not support combustion [89,90,91], and form a porous, compact, and durable coke residue, and have a low total heat release (THR), peak heat release rate (pHRR), total smoke production (TSP), and smoke production rate (SPR) [92], which expands the range of their application and reduces the risk of fire of products based on them.
5.1. Epoxy Resins Based on Cyclophosphazenes
Today, many epoxy resins based on aryloxycyclophosphazenes are known, but derivatives of cyclophosphazenes with alkoxy groups containing epoxy groups have also been obtained. For example, by replacing the chlorine atoms in hexachlorocyclotriphosphazene (HCP) with glycidol in the presence of triethylamine, hexaglycidylcyclotriphosphazene was synthesized (Figure 18) [93,94,95].
Figure 18.
Scheme for the synthesis of hexaglycidylcyclotriphosphazene (HGCP) (reaction conditions—triethylamine, toluene, 45 h, rt, yield 73%).
This method allows the preparation of epoxyphosphazene at room temperature, but upon isolation of the product, repeated washing with water is required to remove excess glycidol, which leads to low yields of the product (70–80%).
Epoxy compositions based on DGEBA epoxy resin cured with 4,4′-methylenedianiline (MDA) with the addition of 5 to 20 wt.% HGCP are non-flammable according to the UL-94 test [96], but have a lower initial decomposition temperature than DGEBA-based compositions without phosphazene [94]. The authors explained this fact by the low stability of the O–CH2 bond at the phosphazene ring. The introduction of a diphenylolpropane bridge between cyclophosphazenes containing glycidyl radicals (Figure 19) also did not improve the thermal stability of the material based on the resulting compound [97].
Figure 19.
Chemical structure of 2,2′-bis(4-oxo-penta-glycidol-cyclotriphosphazene phenyl)propane.
Unfortunately, the works [93,94,95,96,97] do not provide MALDI-TOF mass spectrometry data, which would make it possible to verify the absence of by-products involving the phosphazene or epoxy rings, and the glass transition temperature of compositions, which is of great importance for their operation, and it would also be useful to conduct fire safety studies of the compositions using a cone calorimeter. In our opinion, the introduction of these compositions into industry is unlikely, since the modifier is sensitive to hydrolysis, solvolysis, and heating, which can lead to early destruction of the material under the influence of atmospheric factors or due to phosphazene–phosphazane rearrangement (Figure 20). Therefore, further research is needed on the chemical stability of the compositions and their water resistance, water absorption, etc.
Figure 20.
Mechanism of phosphazane formation when HGCP is heated.
The use of aryloxyphosphazenes instead of alkoxyphosphazenes makes it possible to exclude the occurrence of the phosphazene–phosphazane rearrangement, which is due to the partial localization of oxygen lone pairs in the aromatic ring and not in the phosphazene ring. Therefore, the use of epoxy resins based on aryloxycyclophosphazenes seems more promising. Such phosphazenes can be prepared from bisphenols A and F, resorcinol, 4-allyl-2-methoxyphenol, cardanol, and other phenols, as well as 4-hydroxybenzaldehyde. All of them have different compositions, viscosities, epoxy numbers, and molecular weights, which determine the technological characteristics of epoxy compositions based on them. Low-viscosity epoxide containing aryloxycyclophosphazenes can be used as individual epoxy resins, while high-viscosity phosphazenes are diluted with commercial epoxy resins. However, dilution reduces the phosphazene content of the final product, which usually negatively affects the fire resistance of the material.
Another way to obtain epoxide-containing aryloxycyclophosphazenes using epichlorohydrin is its interaction with cyclophosphazenes containing carboxyl groups in an alkaline environment. In particular, in 2014, a group of researchers synthesized hexa-[4-(glycidyloxycarbonyl)phenoxy]cyclotriphosphazene from carboxyphosphazene, in the presence of catalytic amounts of benzyltriethylammonium chloride (Figure 21) [98].
Figure 21.
Scheme for the synthesis of hexa-[4-(glycidyloxycarbonyl)phenoxy]cyclotriphosphazene (reaction conditions—first stage: potassium permanganate, sodium hydroxide, water, tetrahydrofuran, 30 h, reflux, yield 97%; second stage: benzyltriethylammonium chloride, sodium hydroxide (50%), 50 °C, 5 h, yield 86%).
The authors investigated the fire resistance of epoxy compositions based on the resulting epoxyphosphazene cured with diaminodiphenylsulfone, and found that the limiting oxygen index (LOI) values increased from 21.7% to 34.3% when the phosphorus content in the composition was 5.6%. In addition, the authors conducted cone calorimeter tests and showed a decrease in pHRR, THR, and TSP values compared to the DGEBA-based composition. However, the heat resistance of the developed material turned out to be almost 80 °C lower compared to the composition based on DGEBA. In addition, the use of this modifier is limited by the multi-stage synthesis and the complexity of isolating and purifying intermediate compounds and target products.
There is also a known approach to obtaining epoxyphosphazenes, based on the interaction of epichlorohydrin with hydroxyaryloxycyclophosphazenes (HAP). The essence of the method is the interaction of HCP or a mixture of chlorocyclophosphazenes with diphenylolpropane (DPP) and subsequent treatment of the resulting product with epichlorohydrin in an alkaline environment (Figure 22). Initially, the synthesis of HAP was carried out in chlorobenzene at a temperature of 110 °C or in a DPP melt at a temperature of 170 °C in the presence of potassium carbonate [99].
Figure 22.
Scheme for the synthesis of epoxyphosphazene with intermediate formation of HAP, n = 3, 4, x = 1–5 (conditions—first stage: chlorobenzene, pyridine, 110 °C, 12 h, yield 95%).
To remove excess DPP, the authors used two methods: fractional crystallization and sublimation in high vacuum. However, according to the authors, it is more expedient to use a mixture of hydroxyaryloxyphosphazenes and diphenylolpropane for epoxidation, without separating them. The authors also analyzed the resulting mixture, HAP, in the synthesis method shown in Figure 6 using chromatography–mass spectrometry and found that the mixture also contained low-molecular-weight products of the thermal decomposition of DPP—phenol (15%) and p-isopropenylphenol (3%), as well as bisphenol indan (3%) and 2,4-bis[2-(4′-hydroxyphenyl-)-2-propyl]phenol (12%).
To avoid the formation of thermal degradation products, the authors switched to low-temperature synthesis at 60–65 °C, in which the formation of hydroxyphosphazenes and their subsequent treatment with epichlorohydrin proceed sequentially without isolating intermediate products. Epichlorohydrin, in this case, acted both as a reagent and as a solvent [100,101,102,103]. The method also requires the use of excess DPP (theoretical HCP/DPP molar ratio ≤ 15), since cross-linked products will form at stoichiometric reactant ratios. This conclusion can be drawn based on Flory’s principle, since HCP has functionality six, and DPP is bifunctional. However, the use of excess DPP leads to the fact that during the synthesis, in addition to the target epoxyphosphazene, about 50% of the mass of conventional epoxy resin is formed, which reduces the total content of the phosphazene component in the resulting product. This, in turn, can negatively affect the fire resistance of compositions based on it.
It is also worth noting that chlorine is not completely replaced during the synthesis of epoxyphosphazene (1.3–2.7%, Figure 23). When exposed to moisture, hydrolysis of the P-Cl bond and destruction of the phosphazene ring can occur, and the released hydrogen chloride can lead to corrosion of the finished product or reduce the epoxy number of the resin itself.
Figure 23.
Structure of epoxyphosphazenes based on bisphenol A.
Unfortunately, the fire-retardant properties (limited oxygen index, horizontal and vertical combustion tests) of epoxy compositions based on the resins obtained in [100,101,102,103,104] have not been studied.
Also, the resulting epoxyphosphazenes had a high viscosity (220 Pa·s at 40 °C, HCP/DPP molar ratio 1:8 [103]), which may also limit the scope of application of the developed material.
To obtain epoxyphosphazenes with reduced viscosity using the technology described above, Sarychev I. et al. used resorcinol used instead of bisphenol A [104], and Tarasov I. et al. used bisphenol F [105]. As a result, it was possible to achieve resin viscosities of 1.94 Pa·s and 2.16 Pa·s (at 40 °C), respectively. The authors of [106] explain the decrease in viscosity and increase in resin viability by a decrease in the average functionality of the mixture due to the formation of phosphazenes containing spirocyclic fragments (Figure 24). However, the use of resorcinol requires the epoxidation process to be carried out in boiling epichlorohydrin (118 °C) at an HCP/resorcinol ratio of 1:16, since at lower temperatures, the yield of the product decreases, and its viscosity, on the contrary, increases [106].
Figure 24.
Aryloxycyclophosphazenes with spirocyclic fragments.
The content of residual chlorine in a mixture of epoxyphosphazenes based on bisphenol F and resorcinol is 1.3–4.2 wt.% and 1.9–4.4 wt.%, respectively, depending on the ratios of HCP/bisphenol F and HCP/resorcinol, which are higher than for bisphenol A-based epoxyphosphazenes.
Other approaches have been taken to prepare epoxyphosphazenes from bisphenols. For example, the phenolate method is known based on the interaction of HCP with a mixture of mono- and diphenolate DPP. The resulting hydroxyphosphazenes were treated sequentially with sodium ethoxide and epichlorohydrin (Figure 25) [105]. However, complete replacement of chlorine phenolates in HCP was achieved only in a high-boiling solvent—diglyme, which is difficult to separate from the product. This requires the use of a large excess of phenolates, which is due to the presence of a diphenolate that can interact with two HCP molecules, which leads to the formation of oligomeric products and a significant increase in the viscosity of the final resin.
Figure 25.
Scheme for the synthesis of EP using DPP mono- and diphenolates (reaction conditions—first stage: tetrahydrofuran, 70 °C, 9 h, yield 85%; second stage: ethanol, sodium hydroxide, rt, 15 min, third stage: 40 °C, 2 h, yield 60%).
Therefore, an attempt was made to reduce the functionality of phosphazene HCP by partially replacing its chlorine atoms with phenol radicals or halogenated phenol containing chlorine or bromine atoms. Then the remaining chlorine atoms at the phosphazene ring were replaced by DPP phenolates, followed by treatment of the resulting hydroxyaryloxyphosphazenes with epichlorohydrin under alkaline catalysis conditions (Figure 26) [107].
Figure 26.
Scheme for the synthesis of EP using phenols and halophenols, where R = Cl, Br, or H and x is in a range of 2–4 (conditions—first and second stages: tetrahydrofuran, reflux, 12 h, yield 85–87%; third stage: tetrahydrofuran, sodium hydroxide, ethanol, 50 °C, 6 h, yield 83%).
The presence of halogen atoms (chlorine and bromine) in epoxyphosphazene should contribute to a better fire-retardant effect of epoxy compositions compared to compositions based on halogen-free epoxyphosphazene, but it makes such resins less environmentally friendly. In addition, despite the decrease in the functionality of HCP, it was shown that bicyclophosphazene compounds are still formed during the synthesis of hydroxyaryloxyphosphazene due to the presence of DPP diphenolate.
Terekhov et al. investigated the fire-retardant characteristics of epoxyphosphazenes with reduced functionality cured with isomethyltetrahydrophthalic anhydride (IMTHPA) and the morphology of their coke residue, which is an advantage of the works published by the authors [107,108,109]. Using scanning electron microscopy, the authors showed that the coke residue had a porous structure with closed pores, which prevented the spread of flame. According to the authors, the porous structure of the coke residue is due to the formation of non-flammable gases (nitrogen, ammonia, hydrogen chloride, hydrogen bromide) due to the presence of nitrogen, chlorine, and bromine atoms in cyclophosphazene.
Also, Terekhov et al. found that compositions based on epoxyphosphazenes (Figure 26, oligomer II with R=Cl, Br), cured with ethylenediamine or isomethyltetahydrophthalic anhydride, are non-flammable and satisfy category V-0 of the UL-94 vertical combustion test, and the modifier content in the composition is not more than 15 wt.%. Additional tests carried out by the authors also showed that epoxyphosphazenes do not deteriorate the dielectric properties of the modified compositions [108,109].
The disadvantage of the above epoxyphosphazenes is that they are not liquid, since they are oligomers. In addition, the resins have a low content of epoxy groups (less than 11% for oligomer II with R=Cl, Br in Figure 10), which requires the use of a small amount of liquid hardener. This makes transferring the compositions into a viscous-fluid state and, consequently, their processing, difficult.
Therefore, Chistyakov et al. proposed an alternative method for the preparation of DPP-based epoxyphosphazenes with lower molecular weight in the form of individual compounds [105,110]. The method consists of obtaining a mono(meth)allyl derivative of HCP followed by epoxidation with m-chloroperbenzoic acid (Figure 27).
Figure 27.
Scheme for the synthesis of individual epoxyphosphazenes in [105,110] (conditions—i, ii: diglyme, 120 °C, 11 h, iii: m-chloroperbenzoic acid, methylene chloride, rt, without stirring, yield 80–84%).
This approach avoids the formation of bisphenol bridges between phosphazene rings by reducing the functionality of DPP.
It was found that the degree of epoxidation of allylic groups when using DPP allylic ether did not exceed 60%, and the content of epoxy groups was 6%, which was less than theoretically calculated (14%). According to the authors of [105], this is due to the negative inductive effect of the oxygen atom, which reduces the electron density of the double bond. Complete epoxidation was observed when the allylic group was replaced by a β-metallyl group [110]. The authors explained this fact by the positive inductive effect of the methyl group, which increases the electron density of the double bond. The resulting isophoronediamine-cured epoxyphosphazene (Figure 28) had higher glass transition and decomposition temperatures compared to the isophoronediamine-cured DGEBA resin.
Figure 28.
Epoxyphosphazene, synthesized in the work [110].
Unfortunately, the approach used by the authors is synthetically complex and multi-step, which limits the industrial use of the resulting epoxyphosphazenes.
A common drawback of the reviewed works is that to study fire resistance, the authors used only the horizontal and vertical burning test (UL-94 test) and the LOI value (Table 4), but did not consider such important and more stringent fire safety parameters of the compositions as PHRR, TSP, SPR, THR, necessary for their use in aircraft manufacturing, construction, and everyday life.
Table 4.
Fire-retardant properties of cured epoxy resins (adopted from ref. [107,109,110]).
As noted previously, a significant challenge in preparing epoxidized bisphenol-based ACPs is the difficulty of completely replacing the chlorine atoms in HCP. Therefore, experiments were carried out to obtain epoxyaryloxyphosphazenes based on other phenols.
An alternative to bisphenol derivatives is epoxyphosphazenes based on 4-allyl-2-methoxyphenol (eugenol); cardanol and other phenols of plant origin, and cured compositions based on them are also non-flammable and demonstrate improved mechanical properties, for example, tensile and flexural strength [111] and impact strength [112]. Compositions of cardanol-based epoxyphosphazene (Figure 29) and 4,4′-diaminodiphenylmethane (DDM) have higher elongation at break and lower brittleness compared to DGEBA/DDM compositions [113]. However, the resulting phosphazene-containing compositions have a significant drawback. Due to the long aliphatic carbon chain in cardanol, the material exhibits low thermal stability, so eugenol-based epoxyphosphazenes seem more promising.
Figure 29.
Structure of HECarCP.
To date, works have been published on the synthesis of epoxidized tri(4-allyl-2-methoxyphenoxy/phenoxy)cyclotriphosphazene (Figure 30, CP-EP) [111] and hexa[(4-(2,3-epoxypropyl)-2-methoxy)phenoxy]cyclotriphosphazene (EHEP) [112,114,115], and the properties of cured compositions based on them.
Figure 30.
Tri(4-allyl-2-methoxyphenoxy/phenoxy)cyclotriphosphazene.
To obtain epoxyphosphazene EHEP, hexakis(4-allyl-2-methoxyphenoxy)cyclotriphosphazene is first synthesized by the reaction of HCP with a three-fold molar excess of the sodium salt of 4-allyl-2-methoxyphenol in tetrahydrofuran. The resulting product is then epoxidized with m-chloroperbenzoic or peracetic acid (Figure 31) [116].
Figure 31.
EHEP synthesis scheme (conditions—1: tetrahydrofuran, 50 °C, 11 h, 2: methylene chloride, 70 h, rt).
Compositions based on EHEP cured with D230 amine hardener showed higher glass transition temperature (56%), tensile strength, and LOI value (31%), and lower pHRR (66%), THR (65%), and TSP (by 78%) compared to a composition based on epoxy resin E51 (EEW = 200 g/eq). This indicates higher thermal stability and mechanical properties of the composition with EHEP due to higher cross-linking density, as well as fire-retardant properties [114]. However, the disadvantage of epoxyphosphazene, containing six 4-allyl-2-methoxyphenoxy groups, is the occurrence of side reactions during its synthesis—the formation of dimers (Figure 32) due to the tendency of epoxy groups to enolization [116,117], hydrolysis of the epoxy ring, and esterification m-chlorobenzoic acid [118].
Figure 32.
A dimer formed during the synthesis of EHEP.
The authors of [111] additionally used phenol to reduce side reactions during the synthesis of epoxyphosphazene based on eugenol. Compositions based on the resulting CP-EP and various hardeners have a 15–40 °C higher glass transition temperature compared to DGEBA resin cured with similar hardeners. The authors of [112] explain this by a higher content of epoxy groups and a higher cross-linking density of the polymer based on CP-EP. The glass transition temperature of the polymers increased depending on the hardeners used: DDM + diethyltoluenediamine (DETDA) > methylhexahydrophthalic anhydride > succinic anhydride. The authors associate this fact with a higher content of reactive amino groups in the mixture of hardeners, which also leads to a higher cross-linking density of the composition. In addition, the high cross-linking density explains the increase in the tensile and bending modulus of the material.
A significant advantage of the works [111,112,115] is that they provide the values of LOI, PHRR, TSP, and THR for epoxy compositions (Table 5).
Table 5.
Fire resistance characteristics of epoxy compositions (adopted from ref. [112,113,116]).
Specifically, the PHRR, TSP, and THR values for the DDM+DETDA-cured epoxyphosphazene CP-EP epoxy composition decreased by 34%, 56%, and 50%, respectively, compared to the BPA-based thermoset E44 [111]. The authors of [111,112,114,115] explain the decrease in these indicators by a decrease in the amount of pyrolysis products and heat of combustion due to phosphorus atoms of the phosphazene cycle, and the formation of a protective porous coke layer that prevents the access of heat and oxygen.
Also in [111,112], the composition of coke residues was studied using photoelectron spectroscopy. The presence of pyrophosphates and polyphosphates and oxidized nitrogen compounds in the coke residue was confirmed. Unfortunately, in [111,112], there is no study of the composition of the gas phase, but in [115], the products of gas-phase decomposition of an epoxy resin based on EHEP cured with polyetheramine D230 were studied using TGA-FT-IR spectroscopy.
The authors of [115] established the formation of ammonia and water vapor in the gas phase. No phosphorus-containing pyrolysis products were found in the pyrolysis gases; they were found in the condensed phase. The presence of eugenol moieties in EHEP contributed to higher coke yield and lower mass of gaseous products compared to the epoxy resin-based material. At the first stage, ammonia was formed from the D230 hardener, and at the second stage, from phosphazene rings. In turn, methane was formed from the methoxy group of eugenol, and not from alkane structures (Figure 33).
Figure 33.
The mechanism of decomposition of cured EHEP in the gas phase, proposed in [115].
In the condensed phase, polyphosphoric acids containing O=P(Ar)3 and O=P(Ar)(OAr)2 groups, aromatic heterocyclic structures with pyrrole and pyridine fragments, and a graphite layer were found. The authors of [115] showed the absence of a cyclophosphazene structure in the condensed phase. However, this conflicts with earlier studies [119,120], in which the phosphazene ring was present in the condensed phase. Unfortunately, the authors did not explain the difference in their study.
Also in [115], a probable mechanism of combustion of cured EHEP is presented (Figure 34). Under the influence of heat, the polymer matrix degraded with the formation of oligomers, which, with further heating, decomposed into low-molecular-weight products with the release of inert gases that foamed the material.
Figure 34.
Probable mechanism for the formation of coke residue during combustion of EHEP/D230 (adopted from ref. [115]). Yellow circle—“P” aggregation, white circle—bubble.
Phosphorus of the phosphazene cycle, at the same time, formed polar phosphorus-containing acid-like fragments, which were incompatible with the organic component of the material, and were displaced from it and aggregated due to O···H-O hydrogen bonds. During the pyrolysis process, the bubbles in the material increased in size and destroyed the hydrogen bonds in the phosphorus-containing acid-like fragments. As a result, the resin completely decomposed with the formation of coke residue, the structure of which is presented in Figure 35.
Figure 35.
Conventional chemical structure of coke residue [115].
Although eugenol-based epoxyphosphazenes are individual compounds and have a higher content of epoxy groups (for EHEP 21.3%) than bisphenol-based epoxyphosphazenes, which are a mixture of products, eugenol resins also have the disadvantages of requiring the use of expensive and hygroscopic peracids in the process of their synthesis, the presence of impurities of carboxylic acids and water in peracids, the possible occurrence of side reactions of opening of the oxirane ring, enolization, and esterification. As a consequence, these reactions lead to a decrease in the content of epoxy groups in the product [103].
Thus, the labor-intensity and multi-stage nature of the synthesis and purification of intermediate compounds and epoxyphosphazenes, the need to use expensive reagents, and the high viscosity of most of them make the technological process of their preparation and practical use unprofitable. Therefore, an alternative to epoxyphosphazenes are flame retardants that can be used as hardeners for epoxy resins, for example, aminophosphazenes.
5.2. Hardeners for Epoxy Resins Based on Cyclophosphazenes
As hardeners for epoxy resins based on cyclophosphazenes, derivatives containing amino groups and amide groups are of the greatest interest. At the same time, amino groups can be located both at the phosphorus atoms of the phosphazene ring and in organic radicals also attached to the phosphazene ring.
Thus, in [121], the preparation of aminophosphazenes with amino groups at phosphorus atoms from HCP and various toluidines was described (Figure 36). When carrying out the synthesis in various solvents, the authors found that the key factor influencing the reaction rate is temperature, so the authors used diglyme, in which the complete replacement of chlorine in HCP with toluidines occurred in just 5 h.
Figure 36.
Scheme for the synthesis of arylaminocyclotriphosphazenes based on o-, m- and p-methylanilines (AAP) (conditions—triethylamine, diglyme, 5 h, reflux, yield 83% o-APP, 88% m-APP, 89% p-APP, adopted from ref. [121]).
The authors used the resulting aminophosphazenes to cure epoxy resin DER-331 (170.63 g/equiv.) at a temperature of 200 °C for 4 h. It was found that aminophosphazenes based on m- and p-toluidine are capable of curing epoxy resin, in contrast to the derivative based on the o-isomer. This was confirmed by the content of the gel fraction in the resin samples after the curing procedure using phosphazenes based on m-, p-, and o-toluidines; it was 97%, 98%, and 3%, respectively. The authors explained this fact by steric hindrance created by the methyl group in aminophosphazene based on o-toluidine. Epoxy resin cured with aminophosphazenes based on m- and p-toluidines is non-flammable, as evidenced by the HB criterion in the horizontal burning test. According to the authors, their development can be used as press powders and hot-curing adhesives. However, the aminophosphazenes obtained by the authors are crystalline substances with high melting points that cure the resin only at elevated temperatures, so from a technological point of view, it is problematic to use such compositions.
Unfortunately, in [121], there are no data on the mechanism of the fire-retardant action of aminophosphazenes, as well as the results of LOI and physical and mechanical characteristics of epoxy polymers based on the obtained compounds.
In [122], the fire resistance and mechanism of fire-retardant action of a composition based on epoxy-diane resin E-44 cured with tri-(o-phenylenediamino)cyclotriphosphazene (Figure 37) and 4,4′-diaminodiphenylsulfone were studied. The authors found that when adding only 5 wt.% phosphazene, the composition successfully passed the UL-94 vertical combustion test, and the LOI value increased from 21 to 28.1%. Investigation of the coke residue using XPS photoelectron spectroscopy showed that during the combustion process of the cured epoxy resin, polyphosphoramides are formed, which catalyze the formation of coke. Analysis of gaseous products using TGA-IR spectroscopy showed the formation of aromatic compounds, hydrocarbons, amides, ammonia, which prevent the release of flammable gases and increase the fire resistance of the epoxy composition.
Figure 37.
Structure of tri-(o-phenylenediamino)cyclotriphosphazene.
However, just as in [122], phosphazene is a crystalline substance, and curing required high temperatures (180–200 °C), at which processing of the compositions is difficult.
To reduce the curing temperature, the authors of [123] proposed the use of phosphazene diaminotetracyclohexylaminocyclotriphosphazene (DTCTP, Figure 38), containing not only secondary, but primary amino groups on the phosphazene ring, since it is known that primary amines are more reactive. Despite the fact that DTCTP is a crystalline substance with a melting point of 162.5 °C, the authors of [123] cured the DGEBA epoxy resin at a temperature of 70 °C, followed by post-curing at 120 °C. Unfortunately, the authors did not determine the gel fraction of the cured resin, which raises doubts about the completeness of curing and good compatibility of the resin with the resulting phosphazene.
Figure 38.
Structure of diaminotetracyclohexylaminocyclotriphosphazene.
The DTCTP-cured DGEBA-based epoxy composition exhibited higher decomposition temperature and LOI value compared to the ethylenediamine-cured composition, indicating its heat resistance and flame retardancy. However, the glass transition temperature of the resulting composition was lower (87.6 °C) than that of the ethylenediamine-cured composition (110 °C).
Quite extreme conditions (220–260 °C) were required to cure DER-331 epoxy resin by hexakis(4-acetamidophenoxy)cyclotriphosphazene (Figure 39) [124].
Figure 39.
Chemical structure of hexakis(4-acetamidophenoxy)cyclotriphosphazene [124].
Such a high curing temperature for hexakis(4-acetamidophenoxy)cyclotriphosphazene is required primarily due to the crystalline state of phosphazene, since it must be melted to combine with the resin. The composition obtained as a result of curing is non-flammable and does not form burning drops during vertical combustion. However, the complex process of combining components makes it difficult to manufacture complex-profile and large-sized products, so the authors propose using the resulting composition as a hot-curing adhesive [124].
Most likely, such high curing temperatures for phosphazene with amide groups are due to the low nucleophilicity of the nitrogen atoms of the amide group due to amide tautomerism. In the case of phosphazenes with amino groups located at the phosphorus atoms, their low reactivity is associated with the conjugation of the amino group with the phosphazene ring. Consequently, less extreme curing conditions for epoxy resins can be expected from aminophosphazenes, in which the amino group is not located at the phosphorus atom, but in an organic radical.
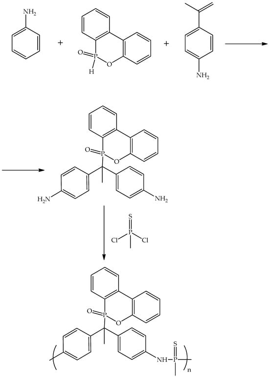
In [125], a method was proposed for the synthesis of hexa-p-aminophenoxycyclotriphosphazene from HCP and azomethine with subsequent removal of the azomethine protecting group (Figure 40).
Figure 40.
Scheme for the synthesis of hexa-p-aminophenoxycyclotriphosphazene (reaction conditions—1: ethanol, reflux, 2 h, yield 94%, 2: ethanol, 20 min, yield 100%, 3: tetrahydrofuran, reflux, 10 h, yield 82%, 4: tetrahydrofuran, 10% aqueous solution of HCl, 2 h, rt, yield 72%).
The resulting aminophosphazene was compatible relatively well with epoxy resin ED-20 only at 80 °C, but cured it at a temperature much lower than in [121,122,123,124], namely at 130 °C (curing time 2 h, gel fraction 95%). Testing the resulting composition for vertical combustion showed that the sample does not form burning drops with a hardener content of only 5 wt.%. Unfortunately, in [125], there are no data on the effect of phosphazene on the glass transition temperature of cured epoxy resin and its physical and mechanical properties. It should also be noted that hexa-p-aminophenoxycyclotriphosphazene is also a crystalline substance, which somewhat complicates the process of combining it with resins and limits its scope of application.
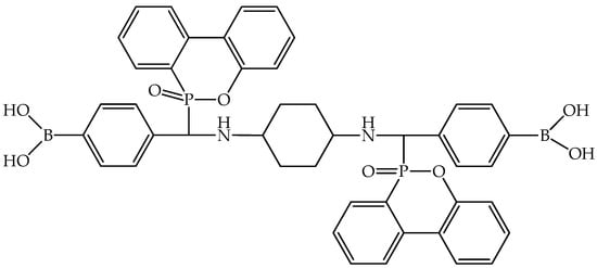
Unlike aromatic amines, aliphatic amines are more reactive due to their greater nucleophilicity. It was found in [126,127] that aryloxyphosphazene based on hexakis-[(4-formyl)phenoxy]cyclotriphosphazene and isophoronediamine with aliphatic amino groups, obtained in excess of the latter (Figure 41), are capable of curing epoxy resin based on bisphenol F DER-354 (170.63 g/equiv.) and epoxy-resorcinol resin UP-637 (260.63 g/equiv.) at room temperature 25 °C, followed by post-curing at 120–130 °C. The authors of [126] established self-extinction at a phosphorus content of less than 1 wt.% and a 29.5% increase in the tensile strength of phosphazene-cured DER-354 resin, compared to isophoronediamine-cured resin, as well as an increase in adhesion to steel without a statistically significant effect on the water solubility and water absorption of the cured resin. In [127], it was shown that an epoxy composition cured with phosphazene and filled with thermally expanded graphite has a low burning rate, water solubility, and water absorption, low electrical resistivity (about 101 Ohm·m), and high abrasion resistance, which will allow its use in as an antistatic floor covering in fire hazardous areas. The advantages of the works [126,127] include studies not only of the fire-retardant properties of cured epoxy compositions, but also of the influence of the phosphazene hardener on their physical and mechanical properties.
Figure 41.
Scheme for the synthesis of aminophosphazene based on hexakis-[(4-formyl)phenoxy]cyclotriphosphazene and isophoronediamine (reaction conditions—t = 100 °C, 24 h).
The authors of [128], in addition to mechanical properties, also studied the effect of the phosphazene hardener they obtained on the thermal conductivity of an epoxy composite containing boron nitride with a furan fragment as a filler (50 wt.%). The hardener was a reaction product of HCP, vanillin, and bis(3-aminopropyl)amine (Figure 42). The fire and heat resistance study showed that a sample of epoxy composition based on DGEBA resin, phosphazene hardener, and modified boron nitride successfully passed the UL-94 vertical burning test, and the LOI value increased from 23.5% to 30.6%, and the decomposition temperature (T5%) from 286.4 °C to 322.4 °C. The tensile stress value of the resulting composition was 43% higher than that of the composite based on pure DGEBA. This indicates the excellent fire-retardant, thermal and mechanical properties of the resulting composition.
Figure 42.
Chemical structure of phosphazene hardener PPNV-NH2.
The authors of [128] also found that the hardener increases the thermal conductivity of the composite by 121%, since it dissipates heat better and has better compatibility with the composite compared to the D230 hardener. According to the authors, this is due to the formation of hydrogen bonds between the secondary nitrogen atom of the NH group and the oxygen atom of the furan group on the surface of boron nitride (Figure 43). However, the authors’ assumption about the formation of hydrogen bonds is not confirmed by spectral data.
Figure 43.
Formation of hydrogen bonds between the modified boron nitride and the phosphazene nitrogen atom in the cured composition.
Unfortunately, in the works [126,127,128], there are no data on the rate of heat release during the combustion of an epoxy composite and the rate of smoke formation, which is of great importance for the practical application of epoxy composites.
In addition to cyclophosphazenes containing amine groups at the phosphorus atoms of the phosphazene ring and in the side chains, the phosphazene hardener HCCP-SA with a multi-ring structure is known [129] (Figure 44), in which the nitrogen atom of the ring amide group is involved in the curing reaction. HCCP-SA is a white crystalline powder that is poorly compatible with epoxy resin. To dissolve it in the resin, it is necessary to additionally use commercial amine hardeners.
Figure 44.
Structure of HCCP-SA.
However, compositions based on E-51 epoxy resin (200 g/equiv.), cured with diethylenetriamine with the addition of 20 wt.% HCCP-SA, showed higher LOI and lower pHRR, THR, and TSP values compared to pure diethylenetriamine-cured epoxy resin (Table 6). The authors of the work explain the fire-retardant effect of HCCP-SA by the formation of phosphides, phosphates, and polyphosphates in the coke residue, leading to self-extinguishing of the composition.
Table 6.
Characteristics of the fire-retardant action of epoxy compositions (adopted from ref. [129]).
Unfortunately, to pass the UL-94 vertical combustion test for cured resin samples, a phosphazene content of the hardener of 20 wt.% is required. With such a hardener content, the composition has a high viscosity, which makes it difficult to process.
5.3. Prospects for the Use of Other Cyclophosphazenes as Hardeners for Epoxy Resins
Cyclophosphazenes containing carboxyl groups can potentially also be used as hardeners for epoxy resins or additives to industrial anhydride hardeners (tetrahydrophthalic, isomethyltetrahydrophthalic, etc.). Thanks to the carboxyl groups in their composition, epoxy adhesive systems based on them can have higher adhesive strength to steel and an adhesive rather than cohesive type of adhesive joint [130].
However, most cyclophosphazenes with carboxyl groups are crystalline substances with high melting points and form intermolecular or intramolecular hydrogen bonds [91,92], which makes them difficult to combine with epoxy resins. Reducing their functionality by adding phenoxy, p-bromophenoxy, p-formylphenoxy, or 4-allyl-2-methoxyphenoxy radicals to p-(β-carboxyethenylphenoxy) radicals at the phosphorus atom of the phosphazene ring will reduce the content of carboxyl groups and hydrogen bonds, and, thereby, improve their mutual compatibility with epoxy resins.
For example, in work [130], cyclophosphazene derivatives were obtained, which, in addition to carboxyl groups, also contained ordinary phenolic radicals (Figure 45).
Figure 45.
Structure of carboxycyclophosphazenes with phenolic radicals.
Compositions based on DER-331 epoxy resin cured with the specified carboxyphosphazenes are non-flammable, have a glass transition temperature of 230 °C, and have high adhesion to steel and aluminum. Unfortunately, work [130] did not conduct studies of the various mechanical characteristics of the compositions, and also did not conduct experiments on the introduction of fillers into the compositions. Probably, the lack of such studies is due to the complexity of combining the components, namely, the processes of mutual diffusion of the resin and hardener, as well as the high viscosity of the system. As a result, obtaining products from such compositions and testing them is difficult. Nevertheless, such compositions have great prospects for use as non-flammable heat-resistant adhesives.
Therefore, the development of new epoxy resin modifiers with mixed functional groups at the phosphorus atom of the phosphazene ring and the study of their compatibility with epoxy resins (for example, using optical interferometry) is a promising direction for future research.
6. Conclusions
Compared to halogen-containing compounds, phosphorus–nitrogen compounds—especially phosphorus–nitrogen derivatives of DOPO and aryloxycyclophosphazenes—are environmentally safe for human health. Moreover, their combustion does not emit toxic gases, making them a preferable choice. Their incorporation into epoxy formulations derived from biological sources, such as green tea tannins, lignin from wood biomass, tung oil fatty acids, eugenol, and rosin, represents a promising avenue for promoting sustainable development and environmental conservation. Nevertheless, these results highlight the necessity for further investigation into various phosphorus-containing curing agents. The goal is to develop epoxy composites that maintain their mechanical properties and exhibit enhanced flame retardancy.
Despite the straightforward and cost-effective synthesis of nitrogen-containing derivatives of DOPO and several unique properties, such as flame retardancy, these compounds often exhibit poor miscibility with epoxy resins. Additionally, they can negatively affect the mechanical properties of epoxy compositions, including flexural strength, tensile strength, and impact strength. This situation has led to an increased interest in aryloxycyclophosphazenes, which offer similar or even superior benefits compared to other flame retardants. The high cost of diphenylphosphinic chloride (USD 800/100 g) makes its industrial application in epoxy formulations impractical. Figure 46 and Table 7 provide a comparative analysis of various classes of phosphorus–nitrogen fire retardants.
Figure 46.
Advantages and disadvantages of phosphorus-nitrogen compounds.
Table 7.
Advantages and disadvantages of flame retardant synthesis from the point of view of production organization.
Aryloxycyclophosphazene flame retardants have potential applications in epoxy formulations for everyday use and in various industrial sectors, including construction, electronics, and aerospace. However, further investigations into the mechanical properties of epoxy compositions modified with these flame retardants, as well as the antistatic and dielectric characteristics of the resulting coatings, are necessary in these fields. For applications in high-tech environments, it is essential to conduct more rigorous tests on the fire-protective properties using a cone calorimeter and to assess the material’s resistance to extreme temperatures and mechanical stresses.
A promising application for epoxy compounds cured with aryloxycyclophosphazenes is the development of fire-resistant lithium batteries for vehicles. Additionally, coatings made from epoxy resins that incorporate aryloxycyclophosphazenes along with antistatic carbon fillers will safeguard electronic components and lithium batteries from the dangers posed by static electricity and fire.
Despite the advantages of aryloxycyclophosphazenes as fire retardants, they also have disadvantages. These include the high cost of the initial hexachlorocyclotriphosphazene (USD 190 per 100 g), the complexity of the technological design, the multi-stage synthesis for some derivatives, and the limited number of studies of the effect of aryloxycyclophosphazenes with epoxy groups on the mechanical properties of epoxy compositions. Therefore, researchers are faced with the need to develop simpler methods for the synthesis of aryloxycyclophosphazenes in terms of preparation.
Author Contributions
Conceptualization, P.Y., H.V.B. and K.M.; methodology, P.Y.; software, P.Y.; validation, P.Y.; writing—original draft preparation, P.Y., A.K., B.T., H.V.B. and K.M.; writing—review and editing, P.Y., A.K., B.T., H.V.B. and K.M.; visualization, B.T.; supervision, P.Y.; project administration, P.Y. All authors have read and agreed to the published version of the manuscript.
Funding
This research received no external funding.
Data Availability Statement
The data presented in this study are available on request from the corresponding author.
Acknowledgments
The authors would like to acknowledge the Ministry of Science and Higher Education of the Russian Federation (Contract No. 075-00276-25-00) and the Center for Molecular Composition Studies of INEOS RAS. H.V.B. and K.M acknowledge the Department of Science and Technology, India [Project No. DST/INT/RUS/P-38/2021(G)] for funding.
Conflicts of Interest
The authors declare no conflicts of interest.
Abbreviations
The following abbreviations are used in this manuscript:
| AAP | – | arylaminocyclotriphosphazene |
| BAPh | – | bisphenol A bis(phthalonitrile) containing benzoxazine |
| BOPOA | – | epoxy resin composite |
| BP | – | binary system |
| CP-EP | – | tri(4-allyl-2-methoxyphenoxy/phenoxy) cyclotriphosphazene |
| DDM | – | 4,4′-diaminodiphenylmethane |
| DER-354 | – | bisphenol F based epoxy resin |
| DETDA | – | diethyltoluenediamine |
| DGEBA | – | bisphenol A diglycidyl ether |
| DGEBF | – | bisphenol F diglycidyl ether |
| DMP-30 | – | reaction product of diphenylphosphinic chloride and 2,4,6-tris(dimethylaminomethyl)phenol |
| DOPO | – | 9,10-dihydro-9-oxa-10-phosphaphenanthrene-10-oxide |
| DPO | – | diphenylphosphine oxide |
| DPP | – | diphenylolpropane |
| DTCATP | – | diaminotetracyclohexylaminocyclotriphosphazene |
| D230 | – | polyetheramine |
| EHEP | – | hexa[(4-(2,3-epoxypropyl)-2-methoxy)phenoxy] cyclotriphosphazene |
| HAP | – | hydroxyaryloxyphosphazene |
| HCP | – | hexachlorocyclotriphosphazene |
| HECarCP | – | hexacardanyl cyclophosphazene |
| HGCP | – | hexaglycidylcyclotriphosphazene |
| LOI | – | limiting oxygen index |
| MDA | – | 4,4′-methylene dianiline |
| NEA | – | n, n′-bis(salicylidene)ethylenediamine |
| PC-3 and LNCaP | – | human prostate cancer cell lines |
| PPCANT | – | phosphorus–nitrogen containing flame retardant |
| PPDAT | – | polymeric phosphorus/nitrogen-containing flame retardant |
| pHRR | – | peak heat release rate |
| rt | – | room temperature |
| SPR | – | smoke production rate |
| THR | – | total heat release |
| TSP | – | total smoke production |
| UP-637 | – | epoxy resorcinol resin |
| VaRTM | – | vacuum-assisted resin transfer molding |
References
- Zhang, K.; Huang, J.; Wang, Y.; Li, W.; Nie, X. Eco-Friendly Epoxy-Terminated Polyurethane-Modified Epoxy Resin with Efficient Enhancement in Toughness. Polymers 2023, 15, 2803. [Google Scholar] [CrossRef] [PubMed]
- Siahtiri, S.; Sahraei, A.A.; Mokarizadeh, A.H.; Baghani, M.; Bodaghi, M.; Baniassadi, M. Influence of Curing Agents Molecular Structures on Interfacial Characteristics of Graphene/Epoxy Nanocomposites: A Molecular Dynamics Framework. Macromol. Mater. Eng. 2023, 308, 2300030. [Google Scholar] [CrossRef]
- Zhang, L.; Liu, J.; Dai, J.; Zhang, X.; Liu, X.; Liu, X.; Yi, X. Preparation and Application of a Multifunctional Interfacial Modifier for Ramie Fiber/Epoxy Resin Composites. Polymers 2023, 15, 3800. [Google Scholar] [CrossRef] [PubMed]
- Terekhov, I.V.; Chistyakov, E.M. Binders Used for the Manufacturing of Composite Materials by Liquid Composite Molding. Polymers 2022, 14, 87. [Google Scholar] [CrossRef]
- Khan, F.; Hossain, N.; Mim, J.J.; Rahman, S.M.; Iqbal, M.J.; Billah, M.; Chowdhury, M.A. Advances of Composite Materials in Automobile Applications–A Review. J. Eng. Res. 2024; in press. [Google Scholar] [CrossRef]
- Li, X.; Wang, Q.; Cui, X.; Feng, X.; Teng, F.; Xu, M.; Su, W.; He, J. Study on the Mechanical and Toughness Behavior of Epoxy Nano-Composites with Zero-Dimensional and Two-Dimensional Nano-Fillers. Polymers 2022, 14, 3618. [Google Scholar] [CrossRef]
- Fan, C.; Chen, H.; Lin, F.; Li, W.; Xiong, X.; Chen, B.; Yu, H. Impact of Curing Time and Temperature on Bond Performance of Epoxy Resin Adhesives for Steel Bridge Decks. Polymers 2025, 17, 1018. [Google Scholar] [CrossRef]
- Shan, W.; Zhang, S. Study on the Road Performance of Terminal Carboxylated Nitrile Rubber-Modified Epoxy Asphalt Permeable Concrete. Materials 2025, 18, 1691. [Google Scholar] [CrossRef]
- Wang, F.; Zhang, Y.; Song, X.; Liu, L.; Sun, X.; Sun, P. Influence of Self-Emulsifying Waterborne Epoxy Resin with Novel Hardeners on Pore Structure and Permeability of Cement-Based Materials. Buildings 2025, 15, 997. [Google Scholar] [CrossRef]
- Cong, L.; Wang, Y.; Gao, X. Enhancing the Salt Frost Durability of Concrete with Modified Epoxy Composite Coating. Materials 2025, 18, 737. [Google Scholar] [CrossRef]
- Liu, Y.; Tang, Z.; Zhu, J. Synergistic flame retardant effect of aluminum hydroxide and ammonium polyphosphate on epoxy resin. J. Appl. Polym. Sci. 2022, 139, e53168. [Google Scholar] [CrossRef]
- Rajaei, M.; Wang, D.Y.; Bhattacharyya, D. Combined effects of ammonium polyphosphate and talc on the fire and mechanical properties of epoxy/glass fabric composites. Compos. Part B Eng. 2017, 113, 381–390. [Google Scholar] [CrossRef]
- Huang, W.; Tu, C.; Tian, Q.; Wang, K.; Yang, C.; Ma, C.; Xu, X.; Yan, W. Synergistic Effects of 9,10-Dihydro-9-oxa-10-phosphaphenanthrene-10-oxide-Based Derivative and Modified Sepiolite on Flame-Retarded Poly (Ethylene Oxide)–Poly (Butylene Adipate-Co-Terephthalate) Composites. Polymers 2024, 16, 45. [Google Scholar] [CrossRef] [PubMed]
- Yang, Y.; Lu, Y.; Zhan, W.; Kong, Q. Design of a Novel Chitosan Derivatives and DOPO Flame Retardant and Its Application in Epoxy Resin. Macromol. 2025, 5, 9. [Google Scholar] [CrossRef]
- Wang, S.; Huang, J.; Wei, A.; Chen, Y.; Lu, X.; Zou, Y.; Xu, F.; Sun, L.; Lu, Y.; Xiang, C. Synthesis of a Bimetallic-Doped Phytate-Melamine Composite as an Efficient Additive for Epoxy Resins with High Fire Safety. Polymers 2024, 16, 3586. [Google Scholar] [CrossRef]
- Lu, S.Y.; Hamerton, I. Recent developments in the chemistry of halogen-free flame retardant polymers. Prog. Polym. Sci. 2002, 27, 1661–1712. [Google Scholar] [CrossRef]
- Zhang, Y.; Wu, X.; Shi, Y.; Liao, D.; Qian, J.; Wu, C.; Song, Y. Epoxy-Functionalized Polysiloxane and DOPO Synergistically Enhance Flame Retardancy of Epoxy Resin Composites. ACS Appl. Polym. Mater. 2025, 7, 5198–5211. [Google Scholar] [CrossRef]
- Wang, X.; Zhang, J.; Fu, X.L.; Chu, F.K.; Hu, Y. Synthesis of zirconium aminotrimethylene phosphonate nanorods and their application in toughened and flame retarded epoxy composites. Compos. Part A Appl. Sci. Manuf. 2024, 179, 108059. [Google Scholar] [CrossRef]
- Branda, F.; Passaro, J.; Pauer, R.; Gaan, S.; Bifulco, A. Solvent-free one-pot synthesis of epoxy nanocomposites containing Mg (OH) 2 nanocrystal–nanoparticle formation mechanism. Langmuir 2022, 38, 5795–5802. [Google Scholar] [CrossRef]
- Artner, J.; Ciesielski, M.; Walter, O.; Döring, M.; Perez, R.M.; Sandler, J.K.W.; Schartel, B. A Novel DOPO-Based Diamine as Hardener and Flame Retardant for Epoxy Resin Systems. Macromol. Mater. Eng. 2008, 293, 503–514. [Google Scholar] [CrossRef]
- Yang, Y.; Chen, W.; Li, Z.; Huang, G.; Wu, G. Efficient flame retardancy, good thermal stability, mechanical enhancement, and transparency of DOPO-conjugated structure compound on epoxy resin. Chem. Eng. J. 2022, 450, 138424. [Google Scholar] [CrossRef]
- Yang, Q.; Wang, J.; Yang, S.; Huo, S.; Song, P.; Fang, Z.; Wang, H. A phosphorus-containing aliphatic amine curing agent towards intrinsic flame-retardant and smoke-suppressive epoxy resins. J. Polym. Res. 2023, 30, 51. [Google Scholar] [CrossRef]
- Zhao, W.; An, L.; Wang, S. Recyclable high-performance epoxy-anhydride resins with DMP-30 as the catalyst of transesterification reactions. Polymers 2021, 13, 296. [Google Scholar] [CrossRef] [PubMed]
- Li, J.; Guo, P.; Wang, Y.; Wang, Q.; Du, B. Improved high-temperature dielectric properties of DGEBA/MHHPA/DMP-30 system with optimizing postcuring process. IEEE Transact. Dielec. Elect. Insul. 2023, 30, 2150–2157. [Google Scholar] [CrossRef]
- Guo, S.; Wu, K.; Pan, Z.; Zhou, H.; Zhou, C. Flame retardant, high mechanical strength, transparent and water-resistant epoxy composites modified with chitosan derivatives. Int. J. Biol. Macromol. 2024, 260, 129580. [Google Scholar] [CrossRef]
- Yudaev, P.; Tupikov, A.; Chistyakov, E. Organocyclophosphazenes and Materials Based on Them for Pharmaceuticals and Biomedicine. Biomolecules 2025, 15, 262. [Google Scholar] [CrossRef]
- Dagdag, O.; El Bachiri, A.; Hamed, O.A.; Haldhar, R.; Verma, C.; Ebenso, E.E.; Gouri, M.E. Dendrimeric epoxy resins based on hexachlorocyclotriphosphazene as a reactive flame retardant polymeric materials: A review. J. Inorg. Organomet. Polym. Mater. 2021, 31, 3240–3261. [Google Scholar] [CrossRef]
- Kireev, V.V.; Bilichenko, Y.V.; Sirotin, I.S.; Filatov, S.N. Advances in the Synthesis of Oligomer Epoxyphosphazenes with Reduced Inflammability. Polym. Sci. Ser. B 2022, 64, 89–108. [Google Scholar] [CrossRef]
- Bifulco, A.; Varganici, C.D.; Rosu, L.; Mustata, F.; Rosu, D.; Gaan, S. Recent advances in flame retardant epoxy systems containing non-reactive DOPO based phosphorus additives. Polym. Degrad. Stabil. 2022, 200, 109962. [Google Scholar] [CrossRef]
- Malkappa, K.; Prasad, C.; Kang, C.S.; Jeong, S.G.; Sangaraju, S.; Shin, E.J.; Choi, H.Y. Recent developments of phosphorous–nitrogen-based effective intumescent flame-retardant for polymers and textiles. Polym. Bull. 2025, 1–61. [Google Scholar] [CrossRef]
- Deng, Z.; Shi, M.; Liang, Y.; Yang, X.; Huang, Z. Phosphorus-nitrogen synergistic flame retardant (PNFR) towards epoxy resin with excellent flame retardancy and satisfactory mechanical strength: An insight into pyrolysis and flame retardant mechanism. Polym. Test. 2024, 131, 108352. [Google Scholar] [CrossRef]
- Liu, N.; Wang, H.; Xu, B.; Qu, L.; Fang, D. Cross-linkable phosphorus/nitrogen-containing aromatic ethylenediamine endowing epoxy resin with excellent flame retardancy and mechanical properties. Compos. Part A App. Sci. Manuf. 2022, 162, 107145. [Google Scholar] [CrossRef]
- Xiao, Z.; Niu, H.; Wang, W.; Zhou, K.; Hu, Y.; Wang, X. Novel rich aromatic and phosphorus-containing compound cured epoxy resins toward outstanding comprehensive performances. Colloid Surf. A Physicochem. Eng. Asp. 2024, 683, 133008. [Google Scholar] [CrossRef]
- Yang, B.; Song, N.; Chen, Z.; Yu, Y.; Chen, Z.; Rong, F.; Chen, T.; Guo, Y.; Wang, K.; Feng, C.; et al. Fabrication of a cinnamaldehyde-based bi-DOPO flame retardant with excellent glass transition temperature, fire safety and mechanical properties for epoxy resins. Colloid Surf. A Physicochem. Eng. Asp. 2024, 681, 132815. [Google Scholar] [CrossRef]
- Wang, D.; Liu, Q.; Peng, X.; Liu, C.; Li, Z.; Li, Z.; Wang, R.; Zheng, P.; Zhang, H. High-efficiency phosphorus/nitrogen-containing flame retardant on epoxy resin. Polym. Degrad. Stabil. 2021, 187, 109544. [Google Scholar] [CrossRef]
- Weijie, Z.; Mutian, Z.; Yongchun, K.; Jie, C.; Yuan, H.; Weiyi, X. Synthesis and flame retardant efficiency study of two phosphorus-nitrogen type flame retardants containing triazole units. Polym. Degrad. Stabil. 2023, 208, 110236. [Google Scholar]
- Wei, L.; Zhang, X.; Min, F.; Yan, G.; Sun, X.; Xie, B.; Lu, H.; Liu, Y.; Zhao, N.; Li, Q. A flame-retardant and transparent epoxy resin based on phosphorus-containing ionic liquid and its mechanical, thermal and flame-retardant properties. React. Funct. Polym. 2024, 197, 105854. [Google Scholar] [CrossRef]
- Jiang, G.; Xiao, Y.; Qian, Z.; Yang, Y.; Jia, P.; Song, L.; Hu, Y.; Ma, C.; Gui, Z. A novel phosphorus-, nitrogen- and sulfur-containing macromolecule flame retardant for constructing high-performance epoxy resin composites. Chem. Eng. J. 2023, 451, 137823. [Google Scholar] [CrossRef]
- Rao, W.; Zhao, P.; Yu, C.; Zhao, H.-B.; Wang, Y.-Z. High strength, low flammability, and smoke suppression for epoxy thermoset enabled by a low-loading phosphorus-nitrogen-silicon compound. Compos. Part B Eng. 2021, 211, 108640. [Google Scholar] [CrossRef]
- Chen, Y.; Duan, H.; Ji, S.; Ma, H. Novel phosphorus/nitrogen/boron-containing carboxylic acid as co-curing agent for fire safety of epoxy resin with enhanced mechanical properties. J. Hazard. Mater. 2021, 402, 123769. [Google Scholar] [CrossRef]
- Zhang, L.; Xia, Y.; Sun, J.; Guo, Z.; Fang, Z.; Chen, P.; Li, J. Multi-element hybrid flame retardants balance flame retardancy and mechanical performance of epoxy coatings. Prog. Organ. Coat. 2024, 188, 108219. [Google Scholar] [CrossRef]
- Sun, J.; Wang, B.; Xia, Y.; Zhang, Y.; Guo, Z.; Fang, Z.; Chen, P. Roles of organic chain structure in flame retardancy and mechanical properties of epoxy coating. Prog. Organ. Coat. 2023, 184, 107863. [Google Scholar] [CrossRef]
- Shi, J.-C.; Bai, W.-B.; Lin, Y.-C.; Ding, F.-C.; Jian, R.-K. Synthesis of a novel dimethylglyoxime-bridged phosphinate and its application in flame-retardant epoxy resins. Polym. Degrad. Stabil. 2024, 220, 110662. [Google Scholar] [CrossRef]
- Yang, Q.; Wang, J.; Chen, X.; Yang, S.; Huo, S.; Chen, Q.; Guo, P.; Wang, X.; Liu, F.; Chen, W.; et al. Phosphorus-containing tertiary amine hardener enabled flame retardant, heat resistant and mechanically strong yet tough epoxy resins. Chem. Eng. J. 2023, 468, 143811. [Google Scholar] [CrossRef]
- Singh, M.K.; Rangappa, S.M.; Misra, M.; Mohanty, A.K.; Siengchin, S. Recent advancements in nanostructured flame-retardants: Types, mechanisms, and applications in polymer composites. Nano-Struct. Nano-Objects 2025, 42, 101468. [Google Scholar] [CrossRef]
- Yang, W.; Chang, W.; Zhang, J.; Yeoh, G.H.; Boyer, C.; Wang, C.H. Recent advances in constructing new type of epoxy resin flame retardant system using ammonium polyphosphate. J. Saf. Sci. Resil. 2024, 5, 179–193. [Google Scholar] [CrossRef]
- Wang, M.; Xiao, G.; Chen, C.; Wang, F.; Zhong, F.; Chen, C.; Yang, Z.; Zou, R. Synergistic enhancement of flame retardancy of epoxy resin by layered zirconium phenylphosphate modified layered double hydroxides. Prog. Org. Coat. 2023, 177, 107437. [Google Scholar] [CrossRef]
- Wenmu, Y.; Wenkai, C.; Jin, Z.; Guan, H.Y.; Cyrille, B.; Chun, H.W. A novel strategy for high flame retardancy and structural strength of epoxy composites by functionalizing ammonium polyphosphate (APP) using an amine-based hardener. Compos. Struct. 2024, 327, 117710. [Google Scholar] [CrossRef]
- Wang, X.; Guo, W.W.; Song, L.; Hu, Y. Intrinsically flame retardant bio-based epoxy thermosets: A review. Compos. Part B Eng. 2019, 179, 107487. [Google Scholar] [CrossRef]
- Bi, X.; Di, H.; Liu, J.; Meng, Y.F.; Song, Y.Y.; Meng, W.H.; Qu, H.; Fang, L.; Song, P.; Xu, J. A core-shell-structured APP@ COFs hybrid for enhanced flame retardancy and mechanical property of epoxy resin (EP). Adv. Compos. Hybrid Mater. 2022, 5, 1743–1755. [Google Scholar] [CrossRef]
- Yang, W.; Wu, S.; Yang, W.; Yuen, A.C.Y.; Zhou, Y.; Yeoh, G.; Boyer, C.; Wang, C.H. Nanoparticles of polydopamine for improving mechanical and flame-retardant properties of an epoxy resin. Compos. Part B Eng. 2020, 186, 107828. [Google Scholar] [CrossRef]
- Fang, F.; Ran, S.; Fang, Z.; Song, P.; Wang, H. Improved flame resistance and thermo-mechanical properties of epoxy resin nanocomposites from functionalized graphene oxide via self-assembly in water. Compos. Part B Eng. 2019, 165, 406–416. [Google Scholar] [CrossRef]
- Mathews, L.D.; Capricho, J.C.; Peerzada, M.; Salim, N.V.; Parameswaranpillai, J.; Hameed, N. Recent progress and multifunctional applications of fire-retardant epoxy resins. Mater. Today Commun. 2022, 33, 104702. [Google Scholar] [CrossRef]
- Kang, M.; Lin, W.; Liang, C.; Zeng, J.; Wang, Y.; Guan, Y.; Cheng, J. Construction of ammonium polyphosphate-modified halloysite nanotubes on phase change material microcapsules for the enhancement of thermophysical performance and flame retardant properties. Appl. Therm. Eng. 2024, 239, 122160. [Google Scholar] [CrossRef]
- Ding, Z.; Wang, S.; Ge, J.; Okoye, P.U.; Wu, W.; Chen, Q.; Meng, L.; Zhang, A.; Li, S. Flame-retardant epoxy resin: Synergistic effect between aluminum diethylphosphinate and piperazine pyrophosphate. Iran Polym. J. 2024, 33, 119–129. [Google Scholar] [CrossRef]
- Wang, D.; Xu, X.; Qiu, Y.; Wang, J.; Meng, L. Cyclotriphosphazene based materials: Structure, functionalization and applications. Prog. Mater. Sci. 2024, 142, 101232. [Google Scholar] [CrossRef]
- Yudaev, P.; Butorova, I.; Chuev, V.; Posokhova, V.; Klyukin, B.; Chistyakov, E. Wound Gel with Antimicrobial Effects Based on Polyvinyl Alcohol and Functional Aryloxycyclotriphosphazene. Polymers 2023, 15, 2831. [Google Scholar] [CrossRef]
- Ahmad, M.; Nawaz, T.; Hussain, I.; Chen, X.; Imran, M.; Hussain, R.; Wu, Z. Phosphazene Cyclomatrix Network-Based Polymer: Chemistry, Synthesis, and Applications. ACS Omega 2022, 7, 28694–28707. [Google Scholar] [CrossRef]
- Chen, F.; Teniola, O.R.; Laurencin, C.T. Biodegradable polyphosphazenes for regenerative engineering. J. Mater. Res. 2022, 37, 1417–1428. [Google Scholar] [CrossRef]
- Jin, G.W.; Rejinold, N.S.; Choy, J.H. Polyphosphazene-Based Biomaterials for Biomedical Applications. Int. J. Mol. Sci. 2022, 23, 15993. [Google Scholar] [CrossRef]
- Chistyakov, E.M.; Kolpinskaya, N.; Posokhova, V.; Chuev, V. Dental composition modified with aryloxyphosphazene containing carboxyl groups. Polymers 2020, 12, 1176. [Google Scholar] [CrossRef] [PubMed]
- Chistyakov, E.M.; Panfilova, D.V.; Kireev, V.V.; Volkov, V.V.; Bobrov, M.F. Synthesis and properties of hexakis-(β-carboxyethenylphenoxy) cyclotriphosphazene. J. Mol. Struct. 2017, 1148, 1–6. [Google Scholar] [CrossRef]
- Chistyakov, E.M.; Filatov, S.N.; Kireev, V.V.; Prudskov, B.M.; Chetverikova, A.I.; Chuev, V.P.; Borisov, R.S. Methacrylate composites containing maleic derivatives of cyclotriphosphazene. Polym. Sci. Ser. B 2013, 55, 355–359. [Google Scholar] [CrossRef]
- Chistyakov, E.M.; Panfilova, D.V.; Kireev, V.V. Carboxyl derivatives of phosphazenes. Russ. J. Gen. Chem. 2017, 87, 997–1006. [Google Scholar] [CrossRef]
- Casella, G.; Carlotto, S.; Lanero, F.; Mozzon, M.; Sgarbossa, P.; Bertani, R. Cyclo-and Polyphosphazenes for Biomedical Applications. Molecules 2022, 27, 8117. [Google Scholar] [CrossRef]
- Doğan, H.; Bahar, M.R.; Çalışkan, E.; Tekin, S.; Uslu, H.; Akman, F.; Koran, K.; Sandai, S.; Görgülü, A.O. Synthesis and spectroscopic characterizations of hexakis [(1-(4′-oxyphenyl)-3-(substituted-phenyl) prop-2-en-1-one)] cyclotriphosphazenes: Their in vitro cytotoxic activity, theoretical analysis and molecular docking studies. J. Biomol. Struct. Dyn. 2022, 40, 3258–3272. [Google Scholar] [CrossRef]
- Ture, S.; Darcan, C.; Türkyılmaz, O.; Kaygusuz, Ö. Synthesis, structural characterization and antimicrobial activities of cyclochlorotriphosphazene derivatives derived from N-(1-Naphthyl) ethylenediamine. Phosphorus Sulfur Silicon Relat. Elem. 2020, 195, 507–515. [Google Scholar] [CrossRef]
- Maslennikova, V.V.; Filatov, S.N.; Orlov, A.V.; Surin, N.M.; Svidchenko, E.A.; Chistyakov, E.M. Luminescent Coatings Based on (3-Aminopropyl) triethoxysilane and Europium Complex β-Diketophosphazene. Polymers 2022, 14, 728. [Google Scholar] [CrossRef]
- Chistyakov, E.M.; Tupikov, A.S.; Buzin, M.I.; Borisov, R.S.; Kireev, V.V. Preparation of films based on β-diketophosphazene and different amines and study their properties. Mater. Chem. Phys. 2019, 223, 353–359. [Google Scholar] [CrossRef]
- Nikovskii, I.A.; Chistyakov, E.M.; Tupikov, A.S. Phosphazene-containing ligands and complexes on their base. Russ. J. Gen. Chem. 2018, 88, 474–494. [Google Scholar] [CrossRef]
- Uslu, A.; Yeşilot, S. Recent advances in the supramolecular assembly of cyclophosphazene derivatives. Dalton Trans. 2021, 50, 2324–2341. [Google Scholar] [CrossRef] [PubMed]
- Yudaev, P.; Butorova, I.; Stepanov, G.; Chistyakov, E. Extraction of Palladium (II) with a Magnetic Sorbent Based on Polyvinyl Alcohol Gel, Metallic Iron, and an Environmentally Friendly Polydentate Phosphazene-Containing Extractant. Gels 2022, 8, 492. [Google Scholar] [CrossRef]
- İbişoğlu, H.; Atilla, D.; Tümay, S.O.; Şenocak, A.; Duygulu, E.; Yuksel, F. New cyclotriphosphazene ligand containing imidazole rings and its one-dimensional copper (II) coordination polymer. J. Mol. Struct. 2020, 1208, 127888. [Google Scholar] [CrossRef]
- Uslu, A.; Tümay, S.O.; Yeşilot, S. Fluorescent materials based on phosphazene derivatives and their applications: Sensors and optoelectronic devices. J. Photochem. Photobiol. C Photochem. Rev. 2022, 53, 100553. [Google Scholar] [CrossRef]
- Davarcı, D.; Doganci, E. Liquid crystal phosphazenes. J. Mol. Struct. 2022, 1269, 133819. [Google Scholar] [CrossRef]
- Erkovan, A.O.; Seifi, A.; Aksoy, B.T.; Khataee, A.; Zorlu, Y.; Çoşut, B. Catalytic activation of persulfate by 3D Cd (II) coordination polymers based on a flexible cyclotriphosphazene-functionalized ligand. Polyhedron 2023, 241, 116472. [Google Scholar] [CrossRef]
- Erkovan, A.O.; Seifi, A.; Aksoy, B.T.; Zorlu, Y.; Khataee, A.; Çoşut, B. Catalytic Activity of Zn(II) Coordination Polymer Based on a Cyclotriphosphazene-Functionalized Ligand for Removal of Organic Dyes. Catalysts 2023, 13, 756. [Google Scholar] [CrossRef]
- Dagdag, O.; Kim, H. Progress in the Field of Cyclophosphazenes: Preparation, Properties, and Applications. Polymers 2024, 16, 122. [Google Scholar] [CrossRef]
- Chistyakov, E.M.; Kireev, V.V.; Filatov, S.N.; Terekhov, I.V.; Buzin, M.I.; Komarova, L.I. Thermal polycondensation of hexa-p-hydroxymethylphenoxycyclotriphosphazene. Polym. Sci. Ser. B 2012, 54, 407–412. [Google Scholar] [CrossRef]
- Terekhov, I.V.; Chistyakov, E.M.; Filatov, S.N.; Borisov, R.S.; Kireev, V.V. Synthesis of hexakis (hydroxyaryloxy) cyclotriphosphazene based on bisphenol A. Mendeleev Commun. 2014, 24, 154–155. [Google Scholar] [CrossRef]
- Chistyakov, E.M.; Buzin, M.I.; Aksenov, S.M.; Tupikov, A.S.; Kireev, V.V. Thermal polycondensation of hexakis (p-acetylphenoxy)-cyclotriphosphazene. Mendeleev Commun. 2019, 29, 99–101. [Google Scholar] [CrossRef]
- Kireev, V.V.; Chistyakov, E.M.; Filatov, S.N.; Tupikov, A.S.; Panfilova, D.V.; Chetverikova, A.I. Polymeric dental composites modified with carboxy phosphazene methacrylates. Russ. J. Appl. Chem. 2015, 88, 866–870. [Google Scholar] [CrossRef]
- Panfilova, D.V.; Chistyakov, E.M.; Filatov, S.N.; Typikov, A.S.; Buzin, M.I. Evaluation of thermal properties of carboxyphenoxycyclotriphosphazenes. Int. Multidiscip. Sci. GeoConf. SGEM 2016, 1, 103–109. [Google Scholar]
- Yudaev, P.; Konstantinova, A.; Volkov, V.; Chistyakov, E. Hexakis-2-(β-carboxyethenylphenoxy) cyclotriphosphazene: Synthesis, Properties, Modeling Structure. Molecules 2023, 28, 6571. [Google Scholar] [CrossRef]
- Bobrov, M.F.; Buzin, M.I.; Primakov, P.V.; Chistyakov, E.M. Investigation of hexakis [2-formylphenoxy] cyclotriphosphazene structure by single crystal X-ray diffraction and computer simulation. J. Mol. Struct. 2020, 1208, 127896. [Google Scholar] [CrossRef]
- Chistyakov, E.; Yudaev, P.; Nelyubina, Y. Crystallization of Nano-Sized Macromolecules by the Example of Hexakis-[4-{(N-Allylimino) methyl} phenoxy] cyclotriphosphazene. Nanomaterials 2022, 12, 2268. [Google Scholar] [CrossRef]
- Seraji, S.M.; Gan, H.; Swan, S.R.; Varley, R.J. Phosphazene as an effective flame retardant for rapid curing epoxy resins. React. Funct. Polym. 2021, 164, 104910. [Google Scholar] [CrossRef]
- Waldin, N.A.; Jamain, Z. The Effect of Alkyl Terminal Chain Length of Schiff-Based Cyclotriphosphazene Derivatives towards Epoxy Resins on Flame Retardancy and Mechanical Properties. Polymers 2023, 15, 1431. [Google Scholar] [CrossRef]
- Wu, X.; Jiang, G.; Zhang, Y.; Wu, L.; Jia, Y.; Tan, Y.; Liu, J.; Zhang, X. Enhancement of Flame Retardancy of Colorless and Transparent Semi-Alicyclic Polyimide Film from Hydrogenated-BPDA and 4,4′-oxydianiline via the Incorporation of Phosphazene Oligomer. Polymers 2020, 12, 90. [Google Scholar] [CrossRef]
- Yang, Y.; Zhang, Q.; Hao, Y.; Lan, X.; Haurie, L.; Zheng, D.; Huang, G. Preparation of a cyclotriphosphazene microsphere bearing a phosphaphenanthrene structure towards fire-safety and mechanical enhancement for epoxy and its aramid fiber composite. Mater. Adv. 2024, 5, 2860–2871. [Google Scholar] [CrossRef]
- Wei, Y.; Zhu, S.; Qian, Q.; Jiang, Q.; Zhang, L.; Jin, K.; Qiu, Y. Hexachlorocyclotriphosphazene functionalized lignin as a sustainable and effective flame retardant for epoxy resins. Ind. Crops Prod. 2022, 187, 115543. [Google Scholar] [CrossRef]
- Nabipour, H.; Wang, X.; Rahman, M.Z.; Song, L.; Hu, Y. Improvement of the flame retardant and thermomechanical properties of epoxy resins by a vanillin-derived cyclotriphosphazene-cored triazole compound. Polym. Degrad. Stabil. 2022, 204, 110088. [Google Scholar] [CrossRef]
- El Gouri, M.; El Bachiri, A.; Hegazi, S.E.; Rafik, M.; El Harfi, A. Thermal degradation of a reactive flame retardant based on cyclotriphosphazene and its blend with DGEBA epoxy resin. Polym. Degrad. Stabil. 2009, 94, 2101–2106. [Google Scholar] [CrossRef]
- El Gouri, M.; El Bachiri, A.; Hegazi, S.E.; Ziraoui, R.; Rafik, M.; El Harfi, A. A phosphazene compound multipurpose application-Composite material precursor and reactive flame retardant for epoxy resin materials. J. Mater. Environ. Sci. 2011, 2, 319–334. [Google Scholar]
- Dagdag, O.; El Harfi, A.; Safi, Z.; Guo, L.; Kaya, S.; Verma, C.; El Gouri, M. Cyclotriphosphazene based dendrimeric epoxy resin as an anti-corrosive material for copper in 3% NaCl: Experimental and computational demonstrations. J. Mol. Liq. 2020, 308, 113020. [Google Scholar] [CrossRef]
- Dagdag, O.; El Gouri, M.; Safi, Z.S.; Wazzan, N.; Safi, S.K.; Jodeh, S.; Ebenso, E.E. Flame retardancy of an intumescent epoxy resin containing cyclotriphosphazene: Experimental, computational and statistical studies. Iran. Polym. J. 2021, 30, 1169–1179. [Google Scholar] [CrossRef]
- Liu, H.; Wang, X.; Wu, D. Novel cyclotriphosphazene-based epoxy compound and its application in halogen-free epoxy thermosetting systems: Synthesis, curing behaviors, and flame retardancy. Polym. Degrad. Stabil. 2014, 103, 96–112. [Google Scholar] [CrossRef]
- Xu, G.R.; Xu, M.J.; Li, B. Synthesis and characterization of a novel epoxy resin based on cyclotriphosphazene and its thermal degradation and flammability performance. Polym. Degrad. Stabil. 2014, 109, 240–248. [Google Scholar] [CrossRef]
- Sirotin, I.S.; Bilichenko, Y.V.; Brigadnov, K.A.; Kireev, V.V.; Suraeva, O.V.; Borisov, R.S. Oligomeric hydroxy-aryloxy phosphazene based on cyclic chlorophosphazenes. Russ. J. Appl. Chem. 2013, 86, 1903–1912. [Google Scholar] [CrossRef]
- Sirotin, I.S.; Bilichenko, Y.V.; Brigadnov, K.A.; Kireev, V.V.; Prudskov, B.M.; Borisov, R.S. Single-stage synthesis of phosphazene-containing epoxy oligomers. Polym. Sci. Ser. B 2014, 56, 471–476. [Google Scholar] [CrossRef]
- Sirotin, I.S.; Son, V.X.; Gorbunova, E.A.; Borisov, R.S.; Bilichenko, Y.V.; Kuznetsova, T.I.; Kireev, V.V. The Composition and Some Properties of Epoxy Oligomers Based on Hexachlorocyclotriphosphazene and Diphenylolpropane. Polym. Sci. Ser. D 2022, 15, 457–463. [Google Scholar] [CrossRef]
- Kireev, V.V.; Bilichenko, Y.V.; Borisov, R.S.; Sirotin, I.S.; Filatov, S.N. Laser Mass Spectrometry Analysis of the Formation of Phosphazene-Containing Epoxy Oligomers. Polym. Sci. Ser. B 2018, 60, 243–262. [Google Scholar] [CrossRef]
- Kireev, V.V.; Bilichenko, Y.V.; Borisov, R.S.; Mu, J.; Kuznetsov, D.A.; Eroshenko, A.V.; Filatov, S.N.; Sirotin, I.S. Synthesis of Bisphenol A Based Phosphazene-Containing Epoxy Resin with Reduced Viscosity. Polymers 2019, 11, 1914. [Google Scholar] [CrossRef] [PubMed]
- Sarychev, I.A.; Sirotin, I.S.; Borisov, R.S.; Mu, J.; Sokolskaya, I.B.; Bilichenko, J.V.; Filatov, S.N.; Kireev, V.V. Synthesis of Resorcinol-Based Phosphazene-Containing Epoxy Oligomers. Polymers 2019, 11, 614. [Google Scholar] [CrossRef]
- Kireev, V.V.; Chistyakov, E.M.; Filatov, S.N.; Borisov, R.S.; Prudskov, B.M. Synthesis and modification of oligo (aryloxycyclotriphosphazenes) based on 4, 4′-dihydroxydiphenyl-2, 2-propane. Polym. Sci. Ser. B 2011, 53, 412–419. [Google Scholar] [CrossRef]
- Tarasov, I.V.; Oboishchikova, A.V.; Borisov, R.S.; Kireev, V.V.; Sirotin, I.S. Phosphazene-Containing Epoxy Resins Based on Bisphenol F with Enhanced Heat Resistance and Mechanical Properties: Synthesis and Properties. Polymers 2022, 14, 4547. [Google Scholar] [CrossRef]
- Terekhov, I.V.; Chistyakov, E.M.; Filatov, S.N.; Deev, I.S.; Kurshev, E.V.; Lonskii, S.L. Factors Influencing the Fire-Resistance of Epoxy Compositions Modified with Epoxy-Containing Phosphazenes. Inorg. Mater. Appl. Res. 2019, 10, 1429–1435. [Google Scholar] [CrossRef]
- Terekhov, I.V.; Filatov, S.N.; Chistyakov, E.M.; Borisov, R.S.; Kireev, V.V. Synthesis of oligomeric epoxycyclotriphosphazenes and their properties as reactive flame-retardants for epoxy resins. Phosphorus Sulfur Silicon Relat. Elem. 2017, 192, 544–554. [Google Scholar] [CrossRef]
- Terekhov, I.V.; Filatov, S.N.; Chistyakov, E.M.; Borisov, R.S.; Kireev, V.V. Halogenated hydroxy-aryloxy phosphazenes and epoxy oligomers based on them. Russ. J. Appl. Chem. 2013, 86, 1600–1604. [Google Scholar] [CrossRef]
- Chistyakov, E.M.; Filatov, S.N.; Yudaev, P.A.; Kireev, V.V. Synthesis, characterization and epoxidation of hexakis-4-(2-(4-((β-methallyl) oxy) phenyl) propan-2-yl) phenoxycyclotriphosphazene. Tetrahedron Lett. 2019, 60, 444–448. [Google Scholar] [CrossRef]
- Wang, J.; Liu, W.; Liu, H.; Wang, X.; Wu, D.; Zhang, S.; Wu, Z. Cyclotriphosphazene-based epoxy resins with excellent mechanical and flame retardant properties. Polymer 2022, 261, 12539. [Google Scholar] [CrossRef]
- Jiang, G.; Xiao, Y.; Ma, C.; Jia, P.; Song, L.; Hu, Y.; Gui, Z. Construstion of a Phosphazene-Based Flame Retardant with Reactive Epoxy Group and its Application Achieves the Toughness Enhancement. Strength Enhanc. Fire Saf. Epoxy Resin 2022, 1–44. [Google Scholar] [CrossRef]
- Huang, J.; Guo, W.; Wang, X.; Song, L.; Hu, Y. Intrinsically flame retardant cardanol-based epoxy monomer for high-performance thermosets. Polym. Degrad. Stabil. 2021, 186, 109519. [Google Scholar] [CrossRef]
- Liu, J.; He, Z.; Wu, G.; Zhang, X.; Zhao, C.; Lei, C. Synthesis of a novel nonflammable eugenol-based phosphazene epoxy resin with unique burned intumescent char. Chem. Eng. J. 2020, 390, 124620. [Google Scholar] [CrossRef]
- Liu, J.; Zhang, X.; Liu, S.; Lei, C. Char structure and charring mechanism of phosphazene-based epoxy resin during combustion. Polym. Degrad. Stabil. 2022, 200, 109927. [Google Scholar] [CrossRef]
- Kireev, V.V.; Bredov, N.S.; Bilichenko, Y.V.; Lysenko, K.A.; Borisov, R.S.; Chuev, V.P. Epoxy oligomers based on eugenol cyclotriphosphazene derivatives. Polym. Sci. Ser. A 2008, 50, 609–615. [Google Scholar] [CrossRef]
- Caillol, S.; Boutevin, B.; Auvergne, R. Eugenol, a developing asset in biobased epoxy resins. Polymer 2021, 223, 123663. [Google Scholar] [CrossRef]
- Sirotin, I.S.; Bilichenko, Y.V.; Solodukhin, A.N.; Kireev, V.V.; Buzin, M.I.; Borisov, R.S. Eugenol derivatives of higher chlorocyclophosphazenes and related epoxy oligomers. Polym. Sci. Ser. B 2013, 55, 241–251. [Google Scholar] [CrossRef]
- Xu, M.J.; Xu, G.R.; Leng, Y.; Li, B. Synthesis of a novel flame retardant based on cyclotriphosphazene and DOPO groups and its application in epoxy resins. Polym. Degrad. Stabil. 2016, 123, 105–114. [Google Scholar] [CrossRef]
- Qian, L.; Ye, L.; Qiu, Y.; Qu, S. Thermal degradation behavior of the compound containing phosphaphenanthrene and phosphazene groups and its flame retardant mechanism on epoxy resin. Polymer 2011, 52, 5486–5493. [Google Scholar] [CrossRef]
- Rybyan, A.A.; Bilichenko, J.V.; Kireev, V.V.; Kolenchenko, A.A.; Chistyakov, E.M. Curing of DER-331 Epoxy Resin with Arylaminocyclotriphosphazenes Based on o-, m-, and p-methylanilines. Polymers 2022, 14, 5334. [Google Scholar] [CrossRef] [PubMed]
- Miao, Z.; Yan, D.; Wang, X.; Zhang, X.; Zhou, W.; Qiu, M.; Wu, Z. New flame retardant epoxy resins based on cyclophosphazene-derived curing agents. Chin. Chem. Let. 2022, 33, 4026–4032. [Google Scholar] [CrossRef]
- Zarybnicka, L.; Machotova, J.; Kopecka, R.; Sevcik, R.; Hudakova, M.; Pokorny, J.; Sal, J. Effect of Cyclotriphosphazene-Based Curing Agents on the Flame Resistance of Epoxy Resins. Polymers 2021, 13, 8. [Google Scholar] [CrossRef] [PubMed]
- Chistyakov, E.M.; Terekhov, I.V.; Shapagin, A.V.; Filatov, S.N.; Chuev, V.P. Curing of Epoxy Resin DER-331 by Hexakis (4-acetamidophenoxy) cyclotriphosphazene and Properties of the Prepared Composition. Polymers 2019, 11, 1191. [Google Scholar] [CrossRef]
- Terekhov, I.V.; Chistyakov, E.M.; Filatov, S.N.; Kireev, V.V.; Buzin, M.I. Hexa-para-aminophenoxycyclo-triphosphazene as a curing agent/modifier for epoxy resins. Int. Polymer Sci. Technol. 2015, 42, 31–34. [Google Scholar] [CrossRef]
- Orlov, A.; Konstantinova, A.; Korotkov, R.; Yudaev, P.; Mezhuev, Y.; Terekhov, I.; Chistyakov, E. Epoxy Compositions with Reduced Flammability Based on DER-354 Resin and a Curing Agent Containing Aminophosphazenes Synthesized in Bulk Isophoronediamine. Polymers 2022, 14, 3592. [Google Scholar] [CrossRef]
- Konstantinova, A.; Yudaev, P.; Orlov, A.; Loban, O.; Lukashov, N.; Chistyakov, E. Aryloxyphosphazene-Modified and Graphite-Filled Epoxy Compositions with Reduced Flammability and Electrically Conductive Properties. J. Compos. Sci. 2023, 7, 417. [Google Scholar] [CrossRef]
- Yang, W.; Kim, J. Enhancing through-plane thermal conductivity of epoxy-based composites via surface treatment of boron nitride cured with a flame retardant phosphazene-based curing agent. Compos. Part A Appl. Sci. Manuf. 2023, 168, 107481. [Google Scholar] [CrossRef]
- Fan, W.; Li, Z.; Liao, Q.; Zhang, L.; Kong, L.; Yang, Z.; Xiang, M. Improving the Heat Resistance and Flame Retardancy of Epoxy Resin Composites by Novel Multifunctional Cyclophosphazene Derivatives. Polymers 2022, 15, 59. [Google Scholar] [CrossRef]
- Konstantinova, A.; Yudaev, P.; Shapagin, A.; Panfilova, D.; Palamarchuk, A.; Chistyakov, E. Non-Flammable Epoxy Composition Based on Epoxy Resin DER-331 and 4-(β-Carboxyethenyl)phenoxy-phenoxycyclotriphosphazenes with Increased Adhesion to Metals. Science 2024, 6, 30. [Google Scholar] [CrossRef]
Disclaimer/Publisher’s Note: The statements, opinions and data contained in all publications are solely those of the individual author(s) and contributor(s) and not of MDPI and/or the editor(s). MDPI and/or the editor(s) disclaim responsibility for any injury to people or property resulting from any ideas, methods, instructions or products referred to in the content. |
© 2025 by the authors. Licensee MDPI, Basel, Switzerland. This article is an open access article distributed under the terms and conditions of the Creative Commons Attribution (CC BY) license (https://creativecommons.org/licenses/by/4.0/).












