Radiation-Induced Defect Formation Kinetics in Inconel–Cu Multimetallic Layered Composites
Abstract
1. Introduction
2. Materials and Methods
3. Results and Discussion
3.1. Defect Clustering
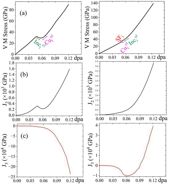
3.2. von Mises and Deviatoric Stresses
4. Conclusions
Supplementary Materials
Author Contributions
Funding
Data Availability Statement
Acknowledgments
Conflicts of Interest
References
- Murty, K.L.; Charit, I. Structural Materials for Gen-IV Nuclear Reactors: Challenges and Opportunities. J. Nucl. Mater. 2008, 383, 189–195. [Google Scholar] [CrossRef]
- Naebe, M.; Shirvanimoghaddam, K. Functionally Graded Materials: A Review of Fabrication and Properties. Appl. Mater. Today 2016, 5, 223–245. [Google Scholar] [CrossRef]
- Langevoort, J.C.; Sutherland, I.; Hanekamp, L.J.; Gellings, P.J. On the Oxide Formation on Stainless Steels AISI 304 and Incoloy 800H Investigated with XPS. Appl. Surf. Sci. 1987, 28, 167–179. [Google Scholar] [CrossRef]
- Thomas, A.; El-Wahabi, M.; Cabrera, J.M.; Prado, J.M. High Temperature Deformation of Inconel 718. J. Mater. Process. Technol. 2006, 177, 469–472. [Google Scholar] [CrossRef]
- Eiselstein, H.L.; Tillack, D.J. The Invention and Definition of Alloy 625. Superalloys 1991, 718, 1–14. [Google Scholar]
- Kumar, S.A.; Sathiya, P. Experimental Investigation of the A-TIG Welding Process of Incoloy 800H. Mater. Manuf. Process. 2015, 30, 1154–1159. [Google Scholar] [CrossRef]
- Ren, W.; Swindeman, R. Status of Alloy 800h in Considerations for the Gen IV Nuclear Energy Systems. J. Press. Vessel Technol. Trans. ASME 2014, 136, 054001. [Google Scholar] [CrossRef]
- Locatelli, G.; Mancini, M.; Todeschini, N. Generation IV Nuclear Reactors: Current Status and Future Prospects. Energy Policy 2013, 61, 1503–1520. [Google Scholar] [CrossRef]
- Hayner, G.O.; Corwin, W.R.; Bratton, R.L.; Burchell, T.D.; Wright, R.N.; Klett, J.W.; Windes, W.E.; Nanstad, R.K.; Totemeier, T.C.; Snead, L.L.; et al. Next Generation Nuclear Plant Materials Research and Development Program Plan; Idaho National Lab. (INL): Idaho Falls, ID, USA, 2005.
- Gan, J.; Cole, J.I.; Allen, T.R.; Shutthanandan, S.; Thevuthasan, S. Irradiated Microstructure of Alloy 800H. J. Nucl. Mater. 2006, 351, 223–227. [Google Scholar] [CrossRef]
- De Damborenea, J.; Lopez, V.; Vázquez, A.J. Improving High-Temperature Oxidation of Incoloy 800H by Laser Cladding. Surf. Coat. Technol. 1994, 70, 107–113. [Google Scholar] [CrossRef]
- Qi, H.; Azer, M.; Ritter, A. Studies of Standard Heat Treatment Effects on Microstructure and Mechanical Properties of Laser Net Shape Manufactured INCONEL 718. Metall. Mater. Trans. A Phys. Metall. Mater. Sci. 2009, 40, 2410–2422. [Google Scholar] [CrossRef]
- Kumar Krovvidi, S.C.S.P.; Padmakumar, G.; Bhaduri, A.K. Experience of Various Materials for Design and Manufacture of Bellows for Nuclear Industry. Adv. Mater. Proc. 2021, 2, 156–161. [Google Scholar] [CrossRef]
- Adiaconitei, A.; Vintila, I.S.; Mihalache, R.; Paraschiv, A.; Frigioescu, T.; Vladut, M.; Pambaguian, L. A Study on Using the Additive Manufacturing Process for the Development of a Closed Pump Impeller for Mechanically Pumped Fluid Loop Systems. Materials 2021, 14, 967. [Google Scholar] [CrossRef]
- Sotoodeh, K. Optimized Material Selection for Subsea Valves to Prevent Failure and Improve Reliability. Life Cycle Reliab. Saf. Eng. 2021, 10, 173–182. [Google Scholar] [CrossRef]
- Mathew, M.D.; Parameswaran, P.; Bhanu Sankara Rao, K. Microstructural Changes in Alloy 625 during High Temperature Creep. Mater. Charact. 2008, 59, 508–513. [Google Scholar] [CrossRef]
- Pearl, W.L.; Brush, E.G.; Gaul, G.G.; Leistikow, S. General Corrosion of Inconel Alloy 625® in Simulated Superheat Reactor Environment. Nucl. Appl. 2017, 3, 418–432. [Google Scholar] [CrossRef]
- Stevens, C.E.; Ross, R.W. Production, Fabrication, and Performance of Alloy 625 Clad Steel for Aggressive Corrosive Environments. J. Mater. Energy Syst. 1986, 8, 7–16. [Google Scholar] [CrossRef]
- Flanagan, C.A.; Brown, T.G.; Hamilton, W.R.; Lee, V.D.; Peng, Y.-K.M.; Shannon, T.E.; Spampinato, P.T.; Yugo, J.J.; Montgomery, D.B.; Bromberg, L.; et al. Overview of the Compact Ignition Tokamak. Fusion Technol. 1986, 10, 491–497. [Google Scholar] [CrossRef][Green Version]
- Miya, N.; Nagami, M.; Nakajima, S.; Nakamura, H.; Ushigusa, K.; Oikawa, A.; Nishitani, T.; Toyoshima, N.; Kinoshita, S.; Nakagawa, S.; et al. Conceptual Design Study of Nuclear Shielding for the Steady State Tokamak Device JT-60SU. Fusion Eng. Des. 1994, 23, 351–358. [Google Scholar] [CrossRef]
- Segantin, S.; Testoni, R.; Hartwig, Z.; Whyte, D.; Zucchetti, M. Exploration of a Fast Pathway to Nuclear Fusion: Thermal Analysis and Cooling Design Considerations for the ARC Reactor. Fusion Sci. Technol. 2020, 76, 45–52. [Google Scholar] [CrossRef]
- Moan, G.D.; Rudling, P. Zirconium in the Nuclear Industry: Thirteenth International Symposium; ASTM International: West Conshohocken, PA, USA, 2002; Volume 1423, ISBN 0803128959. [Google Scholar]
- Donaghy, R.E.; Sherman, A.H. Surface Coating Zr or Zr Alloy Nuclear Fuel Elements. GB Patent Document 2024262/A/, 1980. Available online: http://inis.iaea.org/search/search.aspx?orig_q=RN:11527424 (accessed on 2 April 2024).
- Bandriyana, B.; Prajitno, D.H.; Dimyati, A. Effect of Copper Addition on High Temperature Oxidation of Zirconium Alloy ZrNbMoGe for Advanced Reactor Fuel Cladding Material. Adv. Mater. Res. 2014, 896, 617–620. [Google Scholar] [CrossRef]
- Xu, L.; Xiao, Y.; van Sandwijk, A.; Xu, Q.; Yang, Y. Production of Nuclear Grade Zirconium: A Review. J. Nucl. Mater. 2015, 466, 21–28. [Google Scholar] [CrossRef]
- Smith, H.D. The Influence of Copper on Zircaloy Spent Fuel Cladding Degradation under a Potential Tuff Repository Condition; No. UCRL-15993; HEDL-SA-3583; CONF-870306-71; Nevada Nuclear Waste Storage Investigations Projects Dept.; Sandia National Labs.: Albuquerque, NM, USA, 1987.
- Hong, H.S.; Kim, H.S.; Kim, S.J.; Lee, K.S. Effects of Copper Addition on the Tensile Properties and Microstructures of Modified Zircaloy-4. J. Nucl. Mater. 2000, 280, 230–234. [Google Scholar] [CrossRef]
- Wan, Y.; Wang, X.; Sun, H.; Li, Y.; Zhang, K.; Wu, Y. Corrosion Behavior of Copper at Elevated Temperature. Int. J. Electrochem. Sci. 2012, 7, 7902–7914. [Google Scholar] [CrossRef]
- Kong, D.C.; Dong, C.F.; Xiao, K.; Li, X.G. Effect of Temperature on Copper Corrosion in High-Level Nuclear Waste Environment. Trans. Nonferrous Met. Soc. China (Engl. Ed.) 2017, 27, 1431–1438. [Google Scholar] [CrossRef]
- Chung, D.D.L. Materials for Thermal Conduction. Appl. Therm. Eng. 2001, 21, 1593–1605. [Google Scholar] [CrossRef]
- Bahgat, A.; El-Meniawi, M.A.H.; Khafagy, S.M.; Sallam, H.E.-D.M.; Atta, M. Effect of Mold Casting Parameters in Interface Properties of Iron/Copper Bimetallic Composites Based upon an Ancient Quranic Metal Matrix Composite (QMMC). Int. J. Met. 2024, 18, 821–834. [Google Scholar] [CrossRef]
- Pan, T.; Zhang, X.; Yamazaki, T.; Sutton, A.; Cui, W.; Li, L.; Liou, F. Characteristics of Inconel 625—Copper Bimetallic Structure Fabricated by Directed Energy Deposition. Int. J. Adv. Manuf. Technol. 2020, 109, 1261–1274. [Google Scholar] [CrossRef]
- Onuike, B.; Heer, B.; Bandyopadhyay, A. Additive Manufacturing of Inconel 718—Copper Alloy Bimetallic Structure Using Laser Engineered Net Shaping (LENSTM). Addit. Manuf. 2018, 21, 133–140. [Google Scholar]
- Allen, T.; Busby, J.; Meyer, M.; Petti, D. Materials Challenges for Nuclear Systems. Mater. Today 2010, 13, 14–23. [Google Scholar] [CrossRef]
- Holt, R.A. Mechanisms of Irradiation Growth of Alpha-Zirconium Alloys. J. Nucl. Mater. 1988, 159, 310–338. [Google Scholar] [CrossRef]
- Winter, I.S.; Rudd, R.E.; Oppelstrup, T.; Frolov, T. Nucleation of Grain Boundary Phases. Phys. Rev. Lett. 2022, 128, 035701. [Google Scholar] [CrossRef]
- Chen, P.; Chesetti, A.; Demkowicz, M.J. Healing of Nanocracks by Collision Cascades in Nickel. J. Nucl. Mater. 2021, 555, 153124. [Google Scholar] [CrossRef]
- Seitz, F. On the Theory of Diffusion in Metals. Acta Crystallogr. 1950, 3, 355–363. [Google Scholar] [CrossRef]
- Jin, M.; Cao, P.; Short, M.P. Mechanisms of Grain Boundary Migration and Growth in Nanocrystalline Metals under Irradiation. Scr. Mater. 2019, 163, 66–70. [Google Scholar] [CrossRef]
- Plimpton, S. Fast Parallel Algorithms for Short-Range Molecular Dynamics. J. Comput. Phys. 1995, 117, 1–19. [Google Scholar] [CrossRef]
- Jiang, D.; Zhang, D.; Li, X.; Wang, S.; Wang, C.; Qin, H.; Guo, Y.; Tian, W.; Su, G.H.; Qiu, S. Fluoride-Salt-Cooled High-Temperature Reactors: Review of Historical Milestones, Research Status, Challenges, and Outlook. Renew. Sustain. Energy Rev. 2022, 161, 112345. [Google Scholar] [CrossRef]
- Zou, P.F.; Bader, R.F.W. A Topological Definition of a Wigner–Seitz Cell and the Atomic Scattering Factor. Acta Crystallogr. A 1994, 50, 714–725. [Google Scholar] [CrossRef]
- Stukowski, A. Visualization and Analysis of Atomistic Simulation Data with OVITO—The Open Visualization Tool. Model. Simul. Mater. Sci. Eng. 2009, 18, 015012. [Google Scholar] [CrossRef]
- Paul, S.; Schwen, D.; Short, M.P.; Momeni, K. Effect of Irradiation on Ni-Inconel/Incoloy Heterostructures in Multimetallic Layered Composites. J. Nucl. Mater. 2021, 547, 152778. [Google Scholar] [CrossRef]
- Paul, S.; Schwen, D.; Short, M.P.; Erickson, A.; Momeni, K. Effect of Differently Oriented Interlayer Phases on the Radiation Damage of Inconel-Ni Multimetallic Layered Composite. J. Alloys Compd. 2022, 915, 165432. [Google Scholar] [CrossRef]
- Paul, S.; Schwen, D.; Short, M.P.; Momeni, K. A Modified Embedded-Atom Method Potential for a Quaternary Fe-Cr-Si-Mo Solid Solution Alloy. Materials 2023, 16, 2825. [Google Scholar] [CrossRef]
- Paul, S.; Muralles, M.; Schwen, D.; Short, M.; Momeni, K. A Modified Embedded-Atom Potential for Fe-Cr-Si Alloys. J. Phys. Chem. C 2021, 125, 22863–22871. [Google Scholar] [CrossRef]
- Paul, S.; Momeni, K.; Schwen, D.; Short, M.P. Radiation Damage Study of T91/Fe-Cr-Si Multimetallic Layered Composite for Generation IV Reactor Deployment. In Proceedings of the Energy Proceedings, Cambridge, CA, USA; Scanditale AB: Stockholm, Sweden, 2021; pp. 11–13. [Google Scholar]
- Nordlund, K.; Ghaly, M.; Averback, R.S.; Caturla, M.; de La Rubia, T.D.; Tarus, J. Defect Production in Collision Cascades in Elemental Semiconductors and Fcc Metals. Phys. Rev. B 1998, 57, 7556. [Google Scholar] [CrossRef]
- Was, G.S. Fundamentals of Radiation Materials Science: Metals and Alloys; Springer: Berlin/Heidelberg, Germany, 2016; ISBN 1493934384. [Google Scholar]
- Farkas, D.; Caro, A. Model Interatomic Potentials and Lattice Strain in a High-Entropy Alloy. J. Mater. Res. 2018, 33, 3218–3225. [Google Scholar] [CrossRef]
- Ziegler, J.F.; Ziegler, M.D.; Biersack, J.P. SRIM—The Stopping and Range of Ions in Matter (2010). Nucl. Instrum. Methods Phys. Res. B 2010, 268, 1818–1823. [Google Scholar] [CrossRef]
- Ziegler, J.F.; Biersack, J.P. The Stopping and Range of Ions in Matter. In Treatise on Heavy-Ion Science; Springer: Boston, MA, USA, 1985; pp. 93–129. [Google Scholar] [CrossRef]
- Norgett, M.J.; Robinson, M.T.; Torrens, I.M. A Proposed Method of Calculating Displacement Dose Rates. Nucl. Eng. Des. 1975, 33, 50–54. [Google Scholar] [CrossRef]
- Stoller, R.E.; Toloczko, M.B.; Was, G.S.; Certain, A.G.; Dwaraknath, S.; Garner, F.A. On the Use of SRIM for Computing Radiation Damage Exposure. Nucl. Instrum. Methods Phys. Res. B 2013, 310, 75–80. [Google Scholar] [CrossRef]
- Zarkadoula, E.; Duffy, D.M.; Nordlund, K.; Seaton, M.A.; Todorov, I.T.; Weber, W.J.; Trachenko, K. Electronic Effects in High-Energy Radiation Damage in Tungsten. J. Phys. Condens. Matter 2015, 27, 135401. [Google Scholar] [CrossRef] [PubMed]
- Zarkadoula, E.; Daraszewicz, S.L.; Duffy, D.M.; Seaton, M.A.; Todorov, I.T.; Nordlund, K.; Dove, M.T.; Trachenko, K. Electronic Effects in High-Energy Radiation Damage in Iron. J. Phys. Condens. Matter 2014, 26, 085401. [Google Scholar] [CrossRef] [PubMed]
- Zarkadoula, E.; Samolyuk, G.; Xue, H.; Bei, H.; Weber, W.J. Effects of Two-Temperature Model on Cascade Evolution in Ni and NiFe. Scr. Mater. 2016, 124, 6–10. [Google Scholar] [CrossRef]
- Zarkadoula, E.; Samolyuk, G.; Zhang, Y.; Weber, W.J. Electronic Stopping in Molecular Dynamics Simulations of Cascades in 3C–SiC. J. Nucl. Mater. 2020, 540, 152371. [Google Scholar] [CrossRef]
- Zarkadoula, E.; Samolyuk, G.; Weber, W.J. Two-Temperature Model in Molecular Dynamics Simulations of Cascades in Ni-Based Alloys. J. Alloys Compd. 2017, 700, 106–112. [Google Scholar] [CrossRef]
- Kenik, E.A.; Mitchell, T.E. Orientation Dependence of the Threshold Displacement Energy in Copper and Vanadium. Philos. Mag. J. Theor. Exp. Appl. Phys. 1975, 32, 815–831. [Google Scholar] [CrossRef]
- Kohn, S.C. CrystalMaker: Interactive Crystallography. Terra Nova 1995, 7, 554–556. [Google Scholar] [CrossRef]
- Schäublin, R.; Yao, Z.; Baluc, N.; Victoria, M. Irradiation-Induced Stacking Fault Tetrahedra in Fcc Metals. Philos. Mag. 2005, 85, 769–777. [Google Scholar] [CrossRef]
- Li, B.; Yan, P.F.; Sui, M.L.; Ma, E. Transmission Electron Microscopy Study of Stacking Faults and Their Interaction with Pyramidal Dislocations in Deformed Mg. Acta Mater. 2010, 58, 173–179. [Google Scholar] [CrossRef]
- Yan, Z.; Lin, Y. Lomer-Cottrell Locks with Multiple Stair-Rod Dislocations in a Nanostructured Al Alloy Processed by Severe Plastic Deformation. Mater. Sci. Eng. A 2019, 747, 177–184. [Google Scholar] [CrossRef]





| Model | Case No. | Cu Clustering Plane | Inc Clustering Plane | Stacking Fault (SF) Plane | Lomer–Cottrell (LC) Lock Plane |
|---|---|---|---|---|---|
| Inc 800H-Cu (Ni32Cr21Fe47-Cu) | 1 | (−1 2 0) | (−1 2 0) | (−1 −2 2) | (−1 2 2), (−1 −2 2) |
| 2 | (−1 0 2) | (−1 2 0) | (−1 −2 2) | - | |
| 3 | (−1 0 2) | - | - | (−1 2 2), (−1 −2 2) | |
| Inc 718-Cu (Ni55Cr21Fe24-Cu) | 1 | (1 2 0) | - | (−1 −2 2) | - |
| 2 | (1 2 0) | (1 −2 0) | - | - | |
| 3 | (−1 0 2) | (1 −2 0) | - | - | |
| 4 | (−1 0 2) | (1 0 −2) | - | - | |
| Inc 625-Cu (Ni72Cr23Fe5-Cu) | 1 | (1 0 2) | (1 0 2) | - | - |
| 2 | (−1 0 2) | (−1 0 2) | - | - | |
| 3 | (−1 2 0) | (1 0 2) | - | - |
Disclaimer/Publisher’s Note: The statements, opinions and data contained in all publications are solely those of the individual author(s) and contributor(s) and not of MDPI and/or the editor(s). MDPI and/or the editor(s) disclaim responsibility for any injury to people or property resulting from any ideas, methods, instructions or products referred to in the content. |
© 2024 by the authors. Licensee MDPI, Basel, Switzerland. This article is an open access article distributed under the terms and conditions of the Creative Commons Attribution (CC BY) license (https://creativecommons.org/licenses/by/4.0/).
Share and Cite
Ramesh, R.; Momeni, K. Radiation-Induced Defect Formation Kinetics in Inconel–Cu Multimetallic Layered Composites. J. Compos. Sci. 2024, 8, 139. https://doi.org/10.3390/jcs8040139
Ramesh R, Momeni K. Radiation-Induced Defect Formation Kinetics in Inconel–Cu Multimetallic Layered Composites. Journal of Composites Science. 2024; 8(4):139. https://doi.org/10.3390/jcs8040139
Chicago/Turabian StyleRamesh, Rajesh, and Kasra Momeni. 2024. "Radiation-Induced Defect Formation Kinetics in Inconel–Cu Multimetallic Layered Composites" Journal of Composites Science 8, no. 4: 139. https://doi.org/10.3390/jcs8040139
APA StyleRamesh, R., & Momeni, K. (2024). Radiation-Induced Defect Formation Kinetics in Inconel–Cu Multimetallic Layered Composites. Journal of Composites Science, 8(4), 139. https://doi.org/10.3390/jcs8040139

