Preliminary Investigations and Support for the Mechanical and Dynamic Characteristics of a Natural Rubber Reinforcement in E-Glass/CNT/Epoxy Composite
Abstract
1. Introduction
2. Materials and Methods
2.1. Fabrication of E-Glass/CNTs/Epoxy/NR Composite
2.2. Method of Research
3. Results and Discussion
3.1. FTIR Analysis
3.2. XRD Analysis
3.3. Mechanical Properties of ECEN Composite
3.4. Dynamic Mechanical Analysis (DMA) of ECEN Composite
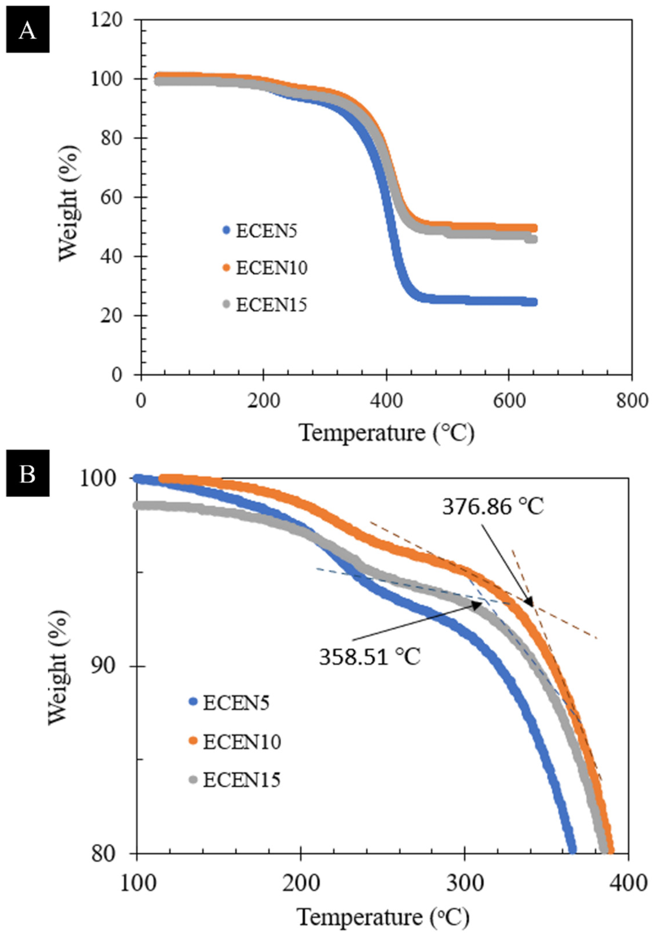
3.5. Thermogravimetric Analysis
4. Conclusions
Author Contributions
Funding
Data Availability Statement
Conflicts of Interest
References
- Balakrishnan, T.S.; Sultan, M.T.H.; Shahar, F.S.; Basri, A.A.; Shah, A.U.M.; Sebaey, T.A.; Łukaszewicz, A.; Józwik, J.; Grzejda, R. Fatigue and Impact Properties of Kenaf/Glass-Reinforced Hybrid Pultruded Composites for Structural Applications. Materials 2024, 17, 302. [Google Scholar] [CrossRef] [PubMed]
- Lazar, P.; Sengottuvelu, R.; Natarajan, E. Assessments of Secondary Reinforcement of Epoxy Matrix-Glass Fibre Composite Laminates through Nanosilica (SiO2). Materials 2018, 11, 2186. [Google Scholar] [CrossRef] [PubMed]
- Suresh, G.; Jayakumari, L.S. Evaluating the Mechanical Properties of E-Glass Fiber/Carbon Fiber Reinforced Interpenetrating Polymer Networks. Polímeros 2015, 25, 49–57. [Google Scholar] [CrossRef]
- Prashanth, S.; Subbaya, K.M.; Nithin, K.; Sachhidananda, S. Fiber Reinforced Composites—A Review. J. Mater. Sci. Eng. 2017, 6, 3. [Google Scholar] [CrossRef]
- Natarajan, E.; Hassan, C.S.; Chun Kit, A.; Santhosh, M.S.; Ramesh, S.; Sasikumar, R. Modeling of Multiwall Carbon Nanotubes Reinforced Natural Rubber for Soft Robotic Applications—A Comprehensive Presentation. Mater. Today Proc. 2021, 46, 3251–3258. [Google Scholar] [CrossRef]
- Natarajan, E.; Markandan, K.; Sekar, S.M.; Varadaraju, K.; Nesappan, S.; Albert Selvaraj, A.D.; Lim, W.H.; Franz, G. Drilling-Induced Damages in Hybrid Carbon and Glass Fiber-Reinforced Composite Laminate and Optimized Drilling Parameters. J. Compos. Sci. 2022, 6, 310. [Google Scholar] [CrossRef]
- Singh, S.; Kumar, S.K.; Jain, P. An Experimental and Numerical Investigation of Mechanical Properties of Glass Fiber Reinforced Epoxy Composites. Adv. Mater. Lett. 2013, 4, 567–572. [Google Scholar] [CrossRef]
- Chopra, R.; Gupta, R.K.; Kumar, M.; Akhtar, N. Experimental Study on Mechanical Properties of E-Glass Fiber Reinforced with Epoxy Resin Composite and Compare Its Properties with Hybrid Composite. Mater. Today Proc. 2022, 63, 417–421. [Google Scholar] [CrossRef]
- Arash, B.; Wang, Q.; Varadan, V.K. Mechanical Properties of Carbon Nanotube/Polymer Composites. Sci. Rep. 2014, 4, 6479. [Google Scholar] [CrossRef]
- Zare, Y.; Rhee, K.Y. Tensile Strength Prediction of Carbon Nanotube Reinforced Composites by Expansion of Cross-Orthogonal Skeleton Structure. Compos. Part B Eng. 2019, 161, 601–607. [Google Scholar] [CrossRef]
- Spitalsky, Z.; Tasis, D.; Papagelis, K.; Galiotis, C. Carbon Nanotube–Polymer Composites: Chemistry, Processing, Mechanical and Electrical Properties. Prog. Polym. Sci. 2010, 35, 357–401. [Google Scholar] [CrossRef]
- Yu, M.-F.; Lourie, O.; Dyer, M.J.; Moloni, K.; Kelly, T.F.; Ruoff, R.S. Strength and Breaking Mechanism of Multiwalled Carbon Nanotubes Under Tensile Load. Science (1979) 2000, 287, 637–640. [Google Scholar] [CrossRef] [PubMed]
- Guo, P.; Chen, X.; Gao, X.; Song, H.; Shen, H. Fabrication and Mechanical Properties of Well-Dispersed Multiwalled Carbon Nanotubes/Epoxy Composites. Compos. Sci. Technol. 2007, 67, 3331–3337. [Google Scholar] [CrossRef]
- Wang, X.; Zhu, T.; Deng, Z.; Zhao, X. Ultimate Tensile Behavior of Short Single-wall Carbon Nanotube/Epoxy Composites and the Reinforced Mechanism. Polym. Compos. 2023, 44, 2545–2556. [Google Scholar] [CrossRef]
- Elango, N.; Gupta, N.S.; Lih Jiun, Y.; Golshahr, A. The Effect of High Loaded Multiwall Carbon Nanotubes in Natural Rubber and Their Nonlinear Material Constants. J. Nanomater. 2017, 2017, 1–15. [Google Scholar] [CrossRef]
- Kurian, T.; Mathew, N.M. Natural Rubber: Production, Properties and Applications. In Biopolymers; Wiley: Hoboken, NJ, USA, 2011; pp. 403–436. [Google Scholar] [CrossRef]
- Sethulekshmi, A.S.; Saritha, A.; Joseph, K. A Comprehensive Review on the Recent Advancements in Natural Rubber Nanocomposites. Int. J. Biol. Macromol. 2022, 194, 819–842. [Google Scholar] [CrossRef] [PubMed]
- Qu, M.; Cai, J.; Li, X.; Wu, J.; Chen, H.; Zheng, Z.; Nilsson, F.; Liu, S.; Gao, Q. Mechanical and Electrical Properties of Carbon Nanotube/Epoxy/Glass-fiber Composites Intended for nondestructive Testing. Polym. Adv. Technol. 2023, 34, 2554–2563. [Google Scholar] [CrossRef]
- Gamze Karsli, N.; Yesil, S.; Aytac, A. Effect of Hybrid Carbon Nanotube/Short Glass Fiber Reinforcement on the Properties of Polypropylene Composites. Compos. Part B Eng. 2014, 63, 154–160. [Google Scholar] [CrossRef]
- Fulmali, A.O.; Sen, B.; Ray, B.C.; Prusty, R.K. Effects of Carbon Nanotube/Polymer Interfacial Bonding on the Long-term Creep Performance of Nanophased Glass Fiber/Epoxy Composites. Polym. Compos. 2020, 41, 478–493. [Google Scholar] [CrossRef]
- Naghizadeh, Z.; Faezipour, M.; Pol, M.H.; Liaghat, G.H.; Abdolkhani, A. Improvement in Impact Resistance Performance of Glass/Epoxy Composite through Carbon Nanotubes and Silica Nanoparticles. Proc. Inst. Mech. Eng. Part L J. Mater. Des. Appl. 2018, 232, 785–799. [Google Scholar] [CrossRef]
- Muhammad, Y.H.; Ahmad, S.; Abu Bakar, M.A.; Mamun, A.A.; Heim, H.P. Mechanical Properties of Hybrid Glass/Kenaf Fibre-Reinforced Epoxy Composite with Matrix Modification Using Liquid Epoxidised Natural Rubber. J. Reinf. Plast. Compos. 2015, 34, 896–906. [Google Scholar] [CrossRef]
- Jayabalakrishnan, D.; Saravanan, K.; Ravi, S.; Prabhu, P.; Maridurai, T.; Prakash, V.R.A. Fabrication and Characterization of Acrylonitrile Butadiene Rubber and Stitched E-Glass Fibre Tailored Nano-Silica Epoxy Resin Composite. Silicon 2021, 13, 2509–2517. [Google Scholar] [CrossRef]
- Athith, D.; Sanjay, M.; Yashas Gowda, T.; Madhu, P.; Arpitha, G.; Yogesha, B.; Omri, M.A. Effect of Tungsten Carbide on Mechanical and Tribological Properties of Jute/Sisal/E-Glass Fabrics Reinforced Natural Rubber/Epoxy Composites. J. Ind. Text. 2018, 48, 713–737. [Google Scholar] [CrossRef]
- Vu, C.M.; Nguyen, L.T.; Nguyen, T.V.; Choi, H.J. Effect of Additive-Added Epoxy on Mechanical and Dielectric Characteristics of Glass Fiber Reinforced Epoxy Composites. Polym. Korea 2014, 38, 726–734. [Google Scholar] [CrossRef][Green Version]
- Anuar, H.; Ahmad, S.H.; Rasid, R.; Daud, N.S.N. Tensile and Impact Properties of Thermoplastic Natural Rubber Reinforced Short Glass Fiber and Empty Fruit Bunch Hybrid Composites. Polym. Plast. Technol. Eng. 2006, 45, 1059–1063. [Google Scholar] [CrossRef]
- Prabhudass, J.M.; Palanikumar, K.; Natarajan, E.; Markandan, K. Enhanced Thermal Stability, Mechanical Properties and Structural Integrity of MWCNT Filled Bamboo/Kenaf Hybrid Polymer Nanocomposites. Materials 2022, 15, 506. [Google Scholar] [CrossRef] [PubMed]
- Maccaferri, E.; Mazzocchetti, L.; Benelli, T.; Ortolani, J.; Brugo, T.M.; Zucchelli, A.; Giorgini, L. Is Graphene Always Effective in Reinforcing Composites? The Case of Highly Graphene-Modified Thermoplastic Nanofibers and Their Unfortunate Application in CFRP Laminates. Polymers 2022, 14, 5565. [Google Scholar] [CrossRef] [PubMed]
- Kuclourya, T.; Mudliar, S.; Jain, M.K.; Thamba, N.B. A review on Graphene Reinforced Composites for Ballistic applications. IOP Conf. Ser. Mater. Sci. Eng. 2021, 1123, 012051. [Google Scholar] [CrossRef]
- Li, X.; Chen, P.; Sun, X. Electrophoretically deposited rigid-flexible hybrid graphene oxide-polyethyleneimine on carbon fibers for synergistically reinforced epoxy nanocomposites. Adv. Compos. Hybrid Mater. 2023, 6, 152. [Google Scholar] [CrossRef]
- Liu, M.; Wu, H.; Wu, Y. The weakly negative permittivity with low-frequency-dispersion behavior in percolative carbon nanotubes/epoxy nanocomposites at radio-frequency range. Adv. Compos. Hybrid Mater. 2022, 5, 2021–2030. [Google Scholar] [CrossRef]
- Shirvanimoghaddam, K.; Balaji, K.V.; Yadav, R.; Zabihi, O.; Ahmadi, M.; Adetunji, P.; Naebe, M. Balancing the Toughness and Strength in Polypropylene Composites. Compos. Part B Eng. 2021, 223, 109121. [Google Scholar] [CrossRef]
- Markandan, K.; Tan, M.T.; Chin, J.; Lim, S.S. A novel synthesis route and mechanical properties of Si–O–C cured Yytria stabilised zirconia (YSZ)–graphene composite Stabilised Zirconia (YSZ)–Graphene Composite. Ceram. Int. 2015, 41, 3518–3525. [Google Scholar] [CrossRef]
- Sekar, V.; Namasivayam, S.N. Carbon Nanotubes: A Reliable Additive for the Natural Fiber-Reinforced Composites. J. Eng. Sci. Technol. 2020, 15, 1934–1951. [Google Scholar]
- Donchak, V.; Stetsyshyn, Y.; Bratychak, M.; Broza, G.; Harhay, K.; Stepina, N.; Kostenko, M.; Voronov, S. Nanoarchitectonics at surfaces using multifunctional initiators of surface-initiated radical polymerization for fabrication of the nanocomposites. Appl. Surf. Sci. Adv. 2021, 5, 100104. [Google Scholar] [CrossRef]
- Prabhu, P.; Karthikeyan, B.; Ravi Raja Malar Vannan, R.; Balaji, A. Dynamic Mechanical Analysis of Silk and Glass (S/G/S)/Pineapple and Glass (P/G/P)/Flax and Glass (F/G/F) Reinforced Lannea Coromandelica Blender Hybrid Nano Composites. J. Mater. Res. Technol. 2021, 15, 2484–2496. [Google Scholar] [CrossRef]







| Authors | Polymer Matrix | Reinforcement | Fabrication Method | Parameters Investigated and Outcome of the Research |
|---|---|---|---|---|
| Muchao Qu et al. [18] | Epoxy | E-Glass/carbon nanotube | Hot-pressing processing technique | Mechanical and electrical properties were investigated. Addition of 0.1–0.2 wt.% CNTs decreased the dissipated energy of the specimen by 50%, but it increased the elastic modulus by more than 100%. |
| N. Gamze Karsli et al. [19] | PolyPropylene (PP) | E-Glass/carbon nanotube | Injection molding technique | Mechanical and electrical properties were investigated. Chemically (Silane) modified carbon nanotubes are more compact and possess better dispersion into the matrix. Also, electrical resistivity decreases when nanotube reinforcement percentage increases from 1 wt.% to 4 wt.%. |
| Abhinav O et al. [20] | Epoxy | E-Glass/carbon nanotube | Compression molding | Effect of environmental temperature on the flexural properties was investigated. It is reported that higher temperature (110 °C) limits the flexural strength. |
| Zahra Naghizadeh et al. [21] | Epoxy | E-Glass/carbon nanotube, silica nanoparticles | Vacuum bag molding | High-velocity impact behavior was investigated. Energy absorption increases up to 1 wt.% silica nanoparticle inclusion and starts shrinking when it increases to more than 1 wt.%. |
| Yusri H Muhammad et al. [22] | Epoxy | E-Glass, kenaf fiber, natural rubber | Hot-pressing technique | Mechanical properties were investigated. Addition of liquid epoxidized NR contributed to the increment of the impact strength by 40% whilst the flexural strength increased by 13% and flexural modulus increased by 15%. |
| D. Jayabalakrishnan et al. [23] | Epoxy | Acrylonitrile Butadiene rubber, E-Glass, nanosilica | Hand layup technique | Mechanical, drop load impact and fracture toughness properties were investigated. Penetration strength improved up to 40%. |
| D. Athith et al. [24] | Epoxy | Jute, sisal, E-glass, natural rubber | Hand layup technique | Mechanical and tribological properties were investigated. Energy absorption and flexural strength improved by 75% and 60% with 10 wt.% filler reinforcements, respectively. |
| Vu, Cuong Manh et al. [25] | Epoxy | E-Glass, natural rubber | Hot-pressing technique | Mechanical and dielectric properties were investigated. Addition of NR into the epoxy resin increased the fracture toughness up to 80% compared to the unmodified resin. |
| H. Anuar et al. [26] | Polypropylene (PP), natural rubber | Short glass fiber (GF) and empty fruit bunch (EFB) | Melt blending method | Tensile and impact properties were investigated. Improvement in mechanical properties was observed with the addition of up to 10 wt.% of EFB, while they started to worsen beyond 10 wt.%. |
| J. M. Prabhudass et al. [27] | Epoxy | MWCNT, bamboo, kenaf | Compression molding | Thermal stability, mechanical properties were investigated. It was reported that storage modulus was increased by 41%. |
| Designation | Epoxy Matrix | CNT | E-Glass Fiber | Natural Rubber |
|---|---|---|---|---|
| ECEN15 | 48 | 2 | 35 | 15 |
| ECEN10 | 53 | 2 | 35 | 10 |
| ECEN5 | 58 | 2 | 35 | 5 |
Disclaimer/Publisher’s Note: The statements, opinions and data contained in all publications are solely those of the individual author(s) and contributor(s) and not of MDPI and/or the editor(s). MDPI and/or the editor(s) disclaim responsibility for any injury to people or property resulting from any ideas, methods, instructions or products referred to in the content. |
© 2024 by the authors. Licensee MDPI, Basel, Switzerland. This article is an open access article distributed under the terms and conditions of the Creative Commons Attribution (CC BY) license (https://creativecommons.org/licenses/by/4.0/).
Share and Cite
Anidha, S.; Mozhuguan Sekar, S.; Natarajan, E.; Muthukkumar, M.; Markandan, K.; Ang, C.K.; Franz, G. Preliminary Investigations and Support for the Mechanical and Dynamic Characteristics of a Natural Rubber Reinforcement in E-Glass/CNT/Epoxy Composite. J. Compos. Sci. 2024, 8, 140. https://doi.org/10.3390/jcs8040140
Anidha S, Mozhuguan Sekar S, Natarajan E, Muthukkumar M, Markandan K, Ang CK, Franz G. Preliminary Investigations and Support for the Mechanical and Dynamic Characteristics of a Natural Rubber Reinforcement in E-Glass/CNT/Epoxy Composite. Journal of Composites Science. 2024; 8(4):140. https://doi.org/10.3390/jcs8040140
Chicago/Turabian StyleAnidha, Selvaraj, Santhosh Mozhuguan Sekar, Elango Natarajan, Manickam Muthukkumar, Kalaimani Markandan, Chun Kit Ang, and Gérald Franz. 2024. "Preliminary Investigations and Support for the Mechanical and Dynamic Characteristics of a Natural Rubber Reinforcement in E-Glass/CNT/Epoxy Composite" Journal of Composites Science 8, no. 4: 140. https://doi.org/10.3390/jcs8040140
APA StyleAnidha, S., Mozhuguan Sekar, S., Natarajan, E., Muthukkumar, M., Markandan, K., Ang, C. K., & Franz, G. (2024). Preliminary Investigations and Support for the Mechanical and Dynamic Characteristics of a Natural Rubber Reinforcement in E-Glass/CNT/Epoxy Composite. Journal of Composites Science, 8(4), 140. https://doi.org/10.3390/jcs8040140

