Effects of Poly(Vinylidene Fluoride-co-Hexafluoropropylene) Nanocomposite Membrane on Reduction in Microbial Load and Heavy Metals in Surface Water Samples
Abstract
1. Introduction
2. Materials and Methods
2.1. Materials
2.2. Methods
2.2.1. Preparation of AgCNT/PVDF-HFP Nanocomposite Membranes
2.2.2. Preparation of AgPCNT/PVDF-HFP Nanocomposite Membranes
2.3. Characterisation of Nanocomposite Membranes
2.4. Permeation Tests of Nanocomposite Membranes
2.5. Surface Water Analysis
2.5.1. Water Sampling
2.5.2. Physicochemical Properties
2.5.3. Microbiological and Elemental Analysis of Treated Water Using Synthesised Membranes
3. Results
3.1. Characterisation of Nanocomposites and Nanocomposite Membranes
3.1.1. TEM Analysis of AgCNT and AgP-CNT Nanocomposites
3.1.2. SEM Analysis of AgCNT/PVDF-HFP and AgP-CNT/PVDF-HFP Nanocomposite Membranes
3.1.3. BET Surface Analysis of PVDF-HFP, AgCNT/PVDF-HFP and AgP-CNT/PVDF-HFP Nanocomposite Membranes
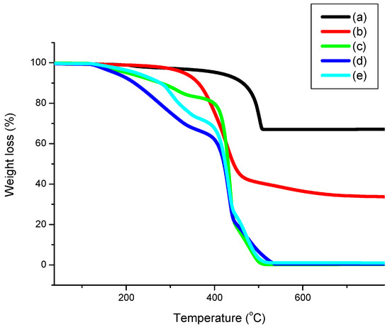
3.1.4. TGA Results of PVDF-HFP, AgCNT/PVDF-HFP and AgP-CNT/PVDF-HFP Nanocomposite Membranes
3.1.5. Permeation Tests of PVDF-HFP Nanocomposite Membranes
3.2. Analysis of Surface Water Samples
3.3. Microbial Analysis of the Collected Surface Water Samples
3.3.1. Microbial Analysis
3.3.2. Surface Water Heavy Metal Analysis
4. Conclusions
Author Contributions
Funding
Data Availability Statement
Acknowledgments
Conflicts of Interest
References
- Edokpayi, J.N.; Rogawski, E.T.; Kahler, D.M.; Hill, C.L.; Reynolds, C.; Nyathi, E.; Smith, J.A.; Odiyo, J.O.; Samie, A.; Bessong, P.; et al. Challenges to Sustainable Safe Drinking Water: A Case Study Ofwater Quality and Use across Seasons in Rural Communities in Limpopo Province, South Africa. Water 2018, 10, 159. [Google Scholar] [CrossRef] [PubMed]
- Varkey, A.J. Purification of River Water Using Moringa Oleifera Seed and Copper for Point-of-Use Household Application. Sci. Afr. 2020, 8, e00364. [Google Scholar] [CrossRef]
- Genthe, R.; Kfir, R. Studies on Microbiological Drinking; WRC Project No. 469/1/95; Water Research Commission: Pretoria, South Africa, 1992. [Google Scholar]
- Halkman, H.B.D.; Halkman, A.K. Indicator Organisms, 2nd ed.; Elsevier: Amsterdam, The Netherlands, 2014; Volume 2, ISBN 9780123847331. [Google Scholar]
- Li, D.; Liu, S. Water Quality Monitoring in Aquaculture. Water Qual. Monit. Manag. 2019, 1, 303–328. [Google Scholar] [CrossRef]
- Herschy, R.W. Water Quality for Drinking: WHO Guidelines. In Encyclopedia of Lakes and Reservoirs; Springer: Dordrecht, The Netherlands, 2012; pp. 876–883. [Google Scholar] [CrossRef]
- American Public Health Association. APHA Method 9221: Standard Methods for the Examination of Water and Wastewater. Am. Phys. Educ. Rev. 1998, 24, 481–486. [Google Scholar]
- SANS 241-1; 2011 South African National Standard,Drinking Water Part 1: Microbiological, Physical, Aesthetic. Alabbott: Pretoria, South Africa, 2011. Available online: https://alabbott.co.za/wp-content/uploads/2020/02/abbott_sans_241_test_requirements.pdf (accessed on 20 February 2019).
- Bakare, B.F.; Adeyinka, G.C. Evaluating the Potential Health Risks of Selected Heavy Metals across Four Wastewater Treatment Water Works in Durban, South Africa. Toxics 2022, 10, 340. [Google Scholar] [CrossRef]
- Atangana, E.; Oberholster, P.J. Using Heavy Metal Pollution Indices to Assess Water Quality of Surface and Groundwater on Catchment Levels in South Africa. J. Afr. Earth Sci. 2021, 182, 104254. [Google Scholar] [CrossRef]
- Jaishankar, M.; Tseten, T.; Anbalagan, N.; Mathew, B.B.; Beeregowda, K.N. Toxicity, Mechanism and Health Effects of Some Heavy Metals. Interdiscip. Toxicol. 2014, 7, 60–72. [Google Scholar] [CrossRef]
- Addo-Bediako, A. Assessment of Heavy Metal Pollution in the Blyde and Steelpoort Rivers of the Olifants River System, South Africa. Polish J. Environ. Stud. 2020, 29, 3023–3029. [Google Scholar] [CrossRef]
- Edokpayi, J.N.; Odiyo, J.O.; Olasoji, S.O. Assessment of Heavy Metal Contamination of Dzindi River, in Limpopo Province, South Africa. Int. J. Nat. Sci. Res. 2014, 2, 185–194. [Google Scholar]
- Eid, A.M.; Fouda, A.; Hassan, S.E.D.; Hamza, M.F.; Alharbi, N.K.; Elkelish, A.; Alharthi, A.; Salem, W.M. Plant-Based Copper Oxide Nanoparticles; Biosynthesis, Characterization, Antibacterial Activity, Tanning Wastewater Treatment, and Heavy Metals Sorption. Catalysts 2023, 13, 348. [Google Scholar] [CrossRef]
- Mustapha, S.; Tijani, J.O.; Ndamitso, M.M.; Abdulkareem, S.A.; Shuaib, D.T.; Mohammed, A.K.; Sumaila, A. The Role of Kaolin and Kaolin/ZnO Nanoadsorbents in Adsorption Studies for Tannery Wastewater Treatment. Sci. Rep. 2020, 10, 13068. [Google Scholar] [CrossRef] [PubMed]
- Fanta, F.T.; Dubale, A.A.; Bebizuh, D.F.; Atlabachew, M. Copper Doped Zeolite Composite for Antimicrobial Activity and Heavy Metal Removal from Waste Water. BMC Chem. 2019, 13, 44. [Google Scholar] [CrossRef] [PubMed]
- Shannon, M.A.; Bohn, P.W.; Elimelech, M.; Georgiadis, J.G.; Mariñas, B.J.; Mayes, A.M. Science and Technology for Water Purification in the Coming Decades. Nature 2008, 452, 301–310. [Google Scholar] [CrossRef] [PubMed]
- Zhang, C.; Wei, K.; Zhang, W.; Bai, Y.; Sun, Y.; Gu, J. Graphene Oxide Quantum Dots Incorporated into a Thin Film Nanocomposite Membrane with High Flux and Antifouling Properties for Low-Pressure Nanofiltration. ACS Appl. Mater. Interfaces 2017, 9, 11082–11094. [Google Scholar] [CrossRef]
- Wei, X.; Shi, Y.; Fei, Y.; Chen, J.; Lv, B.; Chen, Y.; Zheng, H.; Shen, J.; Zhu, L. Removal of Trace Phthalate Esters from Water by Thin-Film Composite Nanofiltration Hollow Fiber Membranes. Chem. Eng. J. 2016, 292, 382–388. [Google Scholar] [CrossRef]
- Somma, S.; Reverchon, E.; Baldino, L. Water Purification of Classical and Emerging Organic Pollutants: An Extensive Review. ChemEngineering 2021, 5, 47. [Google Scholar] [CrossRef]
- Macevele, L.E.; Moganedi, K.L.M.; Magadzu, T. Investigation of Antibacterial and Fouling Resistance of Silver and Multi-Walled Carbon Nanotubes Doped Poly(Vinylidene Fluoride-Co-Hexafluoropropylene) Composite Membrane. Membranes 2017, 7, 35. [Google Scholar] [CrossRef]
- Santos, A.; Veiga, F.; Figueiras, A. Dendrimers as Pharmaceutical Excipients: Synthesis, Properties, Toxicity and Biomedical Applications. Materials 2020, 13, 65. [Google Scholar] [CrossRef]
- Kahu, S.S.; Shekhawat, A.; Saravanan, D.; Jugade, R.M. Two Fold Modified Chitosan for Enhanced Adsorption of Hexavalent Chromium from Simulated Wastewater and Industrial Effluents. Carbohydr. Polym. 2016, 146, 264–273. [Google Scholar] [CrossRef]
- Li, G.; Shen, L.; Luo, Y.; Zhang, S. The Effect of Silver-PAMAM Dendrimer Nanocomposites on the Performance of PVDF Membranes. Desalination 2014, 338, 115–120. [Google Scholar] [CrossRef]
- Yuan, W.; Jiang, G.; Che, J.; Qi, X.; Xu, R.; Chang, M.W.; Chen, Y.; Lim, S.Y.; Dai, J.; Chan-Park, M.B. Deposition of Silver Nanoparticles on Multiwalled Carbon Nanotubes Grafted with Hyperbranched Poly(Amidoamine) and Their Antimicrobial Effects. J. Phys. Chem. C 2008, 112, 18754–18759. [Google Scholar] [CrossRef]
- Rajesh, R.; Venkatesan, R. Encapsulation of Silver Nanoparticles into Graphite Grafted with Hyperbranched Poly(Amidoamine) Dendrimer and Their Catalytic Activity towards Reduction of Nitro Aromatics. J. Mol. Catal. A Chem. 2012, 359, 88–96. [Google Scholar] [CrossRef]
- Mpala, T.J.; Richards, H.; Etale, A.; Mahlangu, O.T.; Nthunya, L.N. Carbon Nanotubes and Silver Nanoparticles Modification of PVDF Membranes for Improved Seawater Desalination in Direct Contact Membrane Distillation. Front. Membr. Sci. Technol. 2023, 2, 1–11. [Google Scholar] [CrossRef]
- Makhuvele, R.; Moganedi, K.L.M. Efficiency and Applicability of Low Cost Home-Based Water Treatment Strategies in a Rural Context. J. Biol. Sci. 2019, 19, 339–346. [Google Scholar] [CrossRef]
- Zhao, W.; Wang, H.; Qin, X.; Wang, X.; Zhao, Z.; Miao, Z.; Chen, L.; Shan, M.; Fang, Y.; Chen, Q. A Novel Nonenzymatic Hydrogen Peroxide Sensor Based on Multi-Wall Carbon Nanotube/Silver Nanoparticle Nanohybrids Modified Gold Electrode. Talanta 2009, 80, 1029–1033. [Google Scholar] [CrossRef]
- Larrude, D.G.; Maia Da Costa, M.E.H.; Freire, F.L. Synthesis and Characterization of Silver Nanoparticle-Multiwalled Carbon Nanotube Composites. J. Nanomater. 2014, 2014, 654068. [Google Scholar] [CrossRef]
- Wang, X.; Xiao, C.; Liu, H.; Huang, Q.; Hao, J.; Fu, H. Poly(Vinylidene Fluoride-Hexafluoropropylene) Porous Membrane with Controllable Structure and Applications in Efficient Oil/Water Separation. Materials 2018, 11, 443. [Google Scholar] [CrossRef] [PubMed]
- Shi, L.; Wang, R.; Cao, Y.; Feng, C.; Liang, D.T.; Tay, J.H. Fabrication of Poly(Vinylidene Fluoride-Co-Hexafluropropylene) (PVDF-HFP) Asymmetric Microporous Hollow Fiber Membranes. J. Memb. Sci. 2007, 305, 215–225. [Google Scholar] [CrossRef]
- Rajesh, S.; Maheswari, P.; Senthilkumar, S.; Jayalakshmi, A.; Mohan, D. Preparation and Characterisation of Poly (Amide-Imide) Incorporated Cellulose Acetate Membranes for Polymer Enhanced Ultrafiltration of Metal Ions. Chem. Eng. J. 2011, 171, 33–44. [Google Scholar] [CrossRef]
- Mkhondo, N.B.; Magadzu, T. Effects of Different Acid-Treatment on the Nanostructure and Performance of Carbon Nanotubes in Electrochemical Hydrogen Storage. Dig. J. Nanomater. Biostruct. 2014, 9, 1331–1338. [Google Scholar]
- Salam, M.A.; Burk, R. Synthesis and Characterization of Multi-Walled Carbon Nanotubes Modified with Octadecylamine and Polyethylene Glycol. Arab. J. Chem. 2017, 10, S921–S927. [Google Scholar] [CrossRef]
- Gsaiz, P.; Lopes, A.C.; Eizagirre, S.; De Luis, R.F.; Isabel, M. Ionic Liquids for the Control of the Morphology in Poly (Vinylidene Fluoride-Co-Hexafluoropropylene) Membranes. Mater. Des. 2018, 155, 325–333. [Google Scholar] [CrossRef]
- Macevele, L.E.; Lydia, K.; Moganedi, M.; Magadzu, T. Adsorption of Cadmium (II) Ions from Aqueous Solutions Using Poly (Amidoamine)/Multi-Walled Carbon Nanotubes Doped Poly (Vinylidene Fluoride-Co-Hexafluoropropene) Composite Membrane. J. Membr. Sci. Res. 2021, 7, 152–165. [Google Scholar] [CrossRef]
- Ahmed, T.; Noman, M.; Shahid, M.; Niazi, M.B.K.; Hussain, S.; Manzoor, N.; Wang, X.; Li, B. Green Synthesis of Silver Nanoparticles Transformed Synthetic Textile Dye into Less Toxic Intermediate Molecules through LC-MS Analysis and Treated the Actual Wastewater. Environ. Res. 2020, 191, 110142. [Google Scholar] [CrossRef]
- Sharma, S.; Bhattacharya, A. Drinking Water Contamination and Treatment Techniques. Appl. Water Sci. 2017, 7, 1043–1067. [Google Scholar] [CrossRef]
- Rice, E.W.; Bridgewater, L.; American Public Health Association (Eds.) Standard Methods for the Examination of Water and Wastewater; American Public Health Association: Washington, DC, USA, 2012; p. 1496. [Google Scholar]





| Sample Name | BET Surface Area (m2g−1) | Total Pore Volume (cm3g−1) |
|---|---|---|
| PVDF-HFP | 3.61 | 0.0094 |
| AgCNT/PVDF-HFP | 3.71 | 0.0098 |
| AgPCNT/PVDF-HFP | 3.82 | 0.0148 |
| Type of Membrane | Porosity (%) | Swellability (%) | Water Content (%) | Contact Angle |
|---|---|---|---|---|
| PVDF-HFP | 70 | 12 | 61 | 78 ± 1.5° |
| AgCNT/PVDF-HFP | 87 | 17 | 88 | 67 ± 2.2° |
| AgP-CNT/PVDF-HFP | 90 | 18 | 89 | 64 ± 1.6° |
| Parameter | Raw Water | * Membrane 1 (Fold Decrease) | ** Membrane 2 (Fold Decrease) | SANS 241 Guidelines [8] | WHO [6] | |
|---|---|---|---|---|---|---|
| Conductivity (mS/m) | 63.5 | 24.1 (2.6) | 15.1 (4.2) | ≤170 | ≤250 | |
| Colour mg/L Pt-Co | Apparent colour | 3.0 | 0.6 (5) | 0.3 (10) | ≤15 | ≤15 |
| True colour | 0.3 | 0.6 (0.5) | 0.2 (1.5) | ≤15 | ≤6 | |
| Turbidity (NTU) | 21 | 1 (21) | 4 (5.3) | ≤5 | ≤5 | |
| TSS (mg/L) | 28 | 8 (3.5) | 7 (4) | ≤5 | ≤5 | |
| pH | 8.15 | 7.5 (1) | 7.26 (1.1) | ≥5 to ≤9.7 | ≥6.5 to ≤8.5 | |
| TDS (mg/L) | 320 | 121 (2.6) | 7.69 (42) | ≤1200 | ≤1000 | |
| Carbonate hardness (mg/L) | 10.4 | 2.3 (4.5) | 5.9 (1.8) | ≤150 | ≤100 | |
| BOD (mg/L) | 27.8 | 3.8 (7.3) | 3.0 (9.3) | - | - | |
| Parameter | Raw Water | * Membrane 1 | ** Membrane 2 | SANS 241 Guidelines [8] | WHO [6] |
|---|---|---|---|---|---|
| Enterobacteriaceae (CFU/mL) | 89 | 21 | 0 | not specified | not specified |
| E. coli count (CFU/100 mL) | 10 | 0 | 0 | undetectable | undetectable |
| Total coliform count (CFU/100 mL) | 105 | 21 | 0 | ≤10 | ≤200 |
| Aerobic count (CFU/mL) | >4.9 × 105 | >4.9 × 105 | 0 | ≤1000 | ≤1000 |
| Parameter | Raw Pooled Water (mg/L) | Treated Water (mg/L) | Guidelines (mg/L) | ||||
|---|---|---|---|---|---|---|---|
| * Membrane 1 | % Reduction | ** Membrane 2 | % Reduction | SANS 241 [8] | WHO [6] | ||
| Zinc | BDL | - | - | - | - | ≤5 | ≤3 |
| Copper | 0.018 | 0.0011 | 93% | 0.002 | 89% | ≤2 | ≤2 |
| Iron | 0.512 | 0.003 | 99% | 0.002 | 99% | ≤2 | ≤0.1 |
| Chromium | 0.194 | 0.0160 | 92% | 0.0138 | 93% | ≤0.05 | ≤0.05 |
| Cadmium | 0.057 | 0.0028 | 95% | 0.0012 | 98% | ≤0.003 | ≤0.003 |
| Nickel | 0.099 | 0.027 | 73% | 0.0150 | 85% | ≤0.07 | ≤0.02 |
| Membrane/ Nanoadsorbent | Experimental Conditions | Parameter | Reference | ||
|---|---|---|---|---|---|
| BOD (mg/L) | Microbial | Heavy Metals (mg/L) | |||
| CuO-NPs | - | 87.2% | - | Cr = 91.4% Cd = 64.4% | [39] |
| Ag nanoparticles | pH = 7.87 | 181.53 (56%) | - | [14] | |
| Copper–zeolite composite | - | Total coliforms = 100% | Cr = BDL Cd = 0.005 | [16] | |
| Kaolin/ZnO | - | 94% | - | Cr = 100% Fe = 98% | [15] |
| (AgP-CNT)/PVDF-HFP | pH = 8.15 | 3.0 (89%) | E. coli = 100% Total coliforms = 100% | Cr = 0.0138 (93%) Fe = 0.002 (99%) Cd = 0.0012 (98%) | Present study |
| (Ag-CNT)/PVDF-HFP | pH = 8.15 | 3.8 (86%) | E. coli = 100% Total coliforms = 80% | Cr = 0.0160 (92%) Fe = 0.003 (99%) Cd = 0.0028 (95%) | Present study |
Disclaimer/Publisher’s Note: The statements, opinions and data contained in all publications are solely those of the individual author(s) and contributor(s) and not of MDPI and/or the editor(s). MDPI and/or the editor(s) disclaim responsibility for any injury to people or property resulting from any ideas, methods, instructions or products referred to in the content. |
© 2024 by the authors. Licensee MDPI, Basel, Switzerland. This article is an open access article distributed under the terms and conditions of the Creative Commons Attribution (CC BY) license (https://creativecommons.org/licenses/by/4.0/).
Share and Cite
Macevele, L.E.; Moganedi, K.L.M.; Magadzu, T. Effects of Poly(Vinylidene Fluoride-co-Hexafluoropropylene) Nanocomposite Membrane on Reduction in Microbial Load and Heavy Metals in Surface Water Samples. J. Compos. Sci. 2024, 8, 119. https://doi.org/10.3390/jcs8040119
Macevele LE, Moganedi KLM, Magadzu T. Effects of Poly(Vinylidene Fluoride-co-Hexafluoropropylene) Nanocomposite Membrane on Reduction in Microbial Load and Heavy Metals in Surface Water Samples. Journal of Composites Science. 2024; 8(4):119. https://doi.org/10.3390/jcs8040119
Chicago/Turabian StyleMacevele, Lutendo Evelyn, Kgabo Lydia Maureen Moganedi, and Takalani Magadzu. 2024. "Effects of Poly(Vinylidene Fluoride-co-Hexafluoropropylene) Nanocomposite Membrane on Reduction in Microbial Load and Heavy Metals in Surface Water Samples" Journal of Composites Science 8, no. 4: 119. https://doi.org/10.3390/jcs8040119
APA StyleMacevele, L. E., Moganedi, K. L. M., & Magadzu, T. (2024). Effects of Poly(Vinylidene Fluoride-co-Hexafluoropropylene) Nanocomposite Membrane on Reduction in Microbial Load and Heavy Metals in Surface Water Samples. Journal of Composites Science, 8(4), 119. https://doi.org/10.3390/jcs8040119

