Next Article in Journal
High-Hardness, Water-Stable, and UV-Resistant Conductive Coatings Based on Waterborne PEDOT:PSS/Epoxy/(KH560/SiO2) Composite
Next Article in Special Issue
Investigation of the Characteristics of MAO Coatings Formed on Ti6Al4V Titanium Alloy in Electrolytes with Graphene Oxide Additives
Previous Article in Journal
Mechanical Properties of Post-Cured Eggshell-Filled Glass-Fibre-Reinforced Polymer Composites
Previous Article in Special Issue
Improved Wear and Corrosion Resistance in TiC-Reinforced SUS304 Stainless Steel
 
 
Font Type:
Arial Georgia Verdana
Font Size:
Aa Aa Aa
Line Spacing:
Column Width:
Background:
Article

Influence of Alternating Current Density on the Mechanical Behavior and Microstructure of PEO-Coated 7075 Aluminum Alloy

School of Materials Science and Engineering, Hongik University, 2639, Sejong-ro, Jochiwon-eup, Sejong City 30016, Republic of Korea
*
Author to whom correspondence should be addressed.
J. Compos. Sci. 2023, 7(2), 50; https://doi.org/10.3390/jcs7020050
Submission received: 8 November 2022 / Revised: 9 January 2023 / Accepted: 20 January 2023 / Published: 1 February 2023
(This article belongs to the Special Issue Metal Composites)

Abstract

:
The objective of the study was to investigate the characteristics of coatings formed on 7075 Al alloy using a plasma electrolytic oxidation (PEO) method in silicate electrolytes under alternating current conditions. The properties of the coatings were evaluated based on the current density applied during the experimental process. To analyze the samples, the surface and cross-sectional images of the coatings were observed using scanning electron microscopy. The results showed that the PEO coatings were between 25–102 µm in thickness, and the thickness was found to be dependent on the applied current density. The hardness values of the PEO coatings were found to be significantly, approximately three times, higher than the uncoated alloy. Wear analysis revealed that the PEO coatings formed under current densities of 8.8 A/dm2 and 17.8 A/dm2 exhibited the best wear resistance among all the coatings. In addition, the PEO coatings also displayed good corrosion resistance, with the resistance of the coatings formed under the current densities of 13.5 A/dm2 and 17.8 A/dm2 being significantly improved compared to that of the bare Al alloy. The most effective anticorrosion PEO coating was found to be the one formed under a current density of 17.8 A/dm2. The wear depths of the PEO coatings formed under current densities of 8.8 A/dm2 and 17.8 A/dm2 were low, resulting in high wear resistance. Among all the PEO coatings, the coating formed under a current density of 17.8 A/dm2 showed the best overall anticorrosion and mechanical properties. Overall, the study highlights the potential of PEO coatings in significantly improving the corrosion and wear resistance of 7075 Al alloy. The results of the study provide useful information for the selection of current density for the PEO coating process on 7075 Al alloy to achieve desired properties.

1. Introduction

Aluminum (Al) and its alloys are commonly used in a wide range of industries, including aerospace, transportation, construction, and packaging. They are also used to manufacture automotive parts, appliances, electronics, and many other products. Additionally, Al alloys are used in many industrial processes, such as heat exchangers, pressure vessels, and piping systems, due to their high formability, low density, and high strength [1,2,3]. Al alloys have a naturally occurring thin oxide layer on their surface that provides good corrosion resistance in most natural environments [4,5]. However, this thin oxide layer can weaken in harsh environments, leading to rapid corrosion of the alloy’s surface [6,7]. Additionally, the atmospheric corrosion resistance of 7075 Al alloy can be reduced due to the presence of zinc (Zn) as a main alloying element, which limits its use in certain applications [8,9]. The engineering applications of Al and its alloys are further limited by their low hardness, which results in these materials exhibiting high wear rates [10,11]. To address these limitations, various surface treatment methods, such as anodizing, plating, plasma electrolytic oxidation (PEO), vapor deposition, and polymer coating techniques, have been developed to improve the corrosion resistance and mechanical properties of Al alloys [12,13]. Among them, PEO, also known as micro-arc oxidation, is an electrochemical surface treatment that can be used to create compact, thick, and well-adhered coatings [14,15,16,17]. PEO is an electrochemical process that forms a ceramic coating on the surface of the metal, providing enhanced corrosion resistance, wear resistance, and mechanical properties. PEO has been widely used on Al and its alloys to enhance their surface characteristics [18,19,20]. PEO coatings can be formed at high voltages in various electrolytes with microdischarge over the alloy surface, with the resulting coatings typically comprising three layers: thin barrier inner, dense intermediate, and porous outer layers [21,22]. The compact barrier layer shows anticorrosion properties, whereas the dense intermediate layer provides high hardness and wear resistance [23]. The wear resistance of PEO coatings has been shown to increase after the porous outer layer is worn away, with the coatings exhibiting excellent wear resistance with only the dense intermediate layer exposed [24,25]. The properties of PEO coatings are dependent on various factors, such as electrolyte and electrical parameters. The effects of electrolyte composition and current–voltage regimes are important for designing coatings with a higher proportion of the compact barrier layer. Coatings can be grown under the regimes of either direct current (DC) (pulsed unipolar current) or alternating current (AC) (pulsed bipolar current). However, overheating can occur under DC regimes, resulting in the destruction of the coating material [26,27]. Therefore, the growth of a barrier layer is promoted by AC regimes, which allows control of the microdischarge characteristics of the coating and prevents it from overheating [28].
PEO coatings are usually formed in weak alkaline silicate, phosphate, and aluminate electrolytes [29,30]. In this investigation, we looked at coating 7075 Al alloy with PEO using an electrolyte based on sodium silicate. To achieve a quicker development rate and thicker ceramic coating, this electrolyte was selected over alternatives, including phosphate and aluminate. Coatings made using silicate-based electrolytes have been demonstrated to have enhanced corrosion and wear resistance. Coatings with the appropriate characteristics might be formed on the surface of the 7075 Al alloy thanks to the use of this electrolyte [30].
The present study aimed to investigate the effect of current density on the properties of coatings formed on 7075 Al alloy using a plasma electrolytic oxidation (PEO) method in a sodium-silicate-based electrolyte under alternating current conditions. The primary objective was to analyze the correlation between the current density applied and the properties of the PEO coatings formed on the Al alloy surface. The properties of the coatings were evaluated in terms of their corrosion resistance, wear resistance, and mechanical behavior. The study aimed to identify the most suitable current density for the PEO coating process on 7075 Al alloy to achieve enhanced corrosion resistance, wear resistance, and mechanical properties. To accomplish this, the surface and cross-sectional images of the coatings were observed using scanning electron microscopy, and various testing methods were used to evaluate the corrosion and wear resistance. The results showed that the PEO coatings produced at current densities of 13.5 A/dm2 and 17.8 A/dm2 exhibited improved corrosion and wear resistance compared to the bare Al alloy. The coating produced at a current density of 17.8 A/dm2 was the most effective, with the greatest anti-corrosion and mechanical capabilities. The study provides valuable insights for selecting the optimal current density for the PEO coating process on 7075 Al alloy to achieve desired properties.

2. Materials and Methods

2.1. Sample Preparation

The 7075 Al alloy samples used in the PEO treatment process were 15 mm in diameter and 8 mm in thickness. The samples were analyzed and found to have a specific chemical composition including 4.30 wt.% Zn, 2.66 wt.% Mg, 1.13 wt.% Cu, 1.13 wt.% Cr, 0.26 wt.% Mn, 0.06 wt.% Si, and 0.01 wt.% Fe. Before the PEO coating process could begin, the samples were subject to a thorough preparation procedure to ensure a consistent surface for the coating to adhere to. This involved several steps including grinding the samples with abrasive papers, polishing with fine alumina powder, and ultrasonically cleaning in ethanol. The samples were then rinsed in distilled water and dried in an air stream. These preparation steps were crucial in ensuring the proper adhesion of the PEO coating to the surface of the 7075 Al alloy. By following these steps, the samples were thoroughly cleaned and presented with a smooth surface, which would facilitate the PEO coating process.

2.2. Experimental Procedure

The PEO coating treatment was performed using a sinusoidal AC power supply which provided a varying electrical current. The initial current densities for this process were set at four different levels: 8.80 A/dm2, 13.5 A/dm2, 17.8 A/dm2, and 22.3 A/dm2. These current densities were chosen to investigate their effects on the PEO coating process. The sinusoidal AC power supply was used to apply the current densities to the 7075 Al alloy samples for a set amount of time, up to 1960 s. This allowed for a controlled and consistent application of the electrical current, which was essential for achieving consistent results in the PEO coating process.
By varying the initial current densities and applying them for a set amount of time, researchers aimed to study the effects of these factors on the PEO coating process and the resulting microstructure and properties of the coated samples. This information would help to optimize the PEO coating process and produce samples with improved characteristics.
During the coating process, the variations in voltage were recorded as a function of time. The PEO process was executed under varying current densities, and great care was taken to ensure consistent conditions throughout the experiment. To maintain a stable temperature, a cooling jacket was added to the 3-L container that held the 2-L electrolyte solution composed of 10 g/L Na2SiO3 and 5 g/L KOH. The temperature was kept at 25 °C ± 2 °C during the experiments, and the electrolyte solution was stirred to ensure even distribution.
The 7075 Al alloy served as the anode in the PEO process, while a stainless steel net with dimensions of 8 × 13 cm was utilized as the cathode. This configuration was carefully selected to provide a controlled setup for the PEO process, allowing for accurate measurement and control of the voltage changes during the coating process.
The voltage variations during the PEO process were continuously recorded as a function of time, providing valuable information about the underlying electrochemical reactions. By carefully controlling the temperature, stirring the electrolyte solution, and using the 7075 Al alloy and stainless steel net as the anode and cathode, respectively, the researchers aimed to ensure that the PEO process was carried out under consistent and controlled conditions.

2.3. Coating Characterization

Various analytical techniques were used to examine the coatings in more detail. The surface morphologies and cross-sectional images of the PEO coatings were analyzed using field-emission scanning electron microscopy (SU8230, Hitachi, Japan). This technique allowed us to observe the physical characteristics of the coatings, such as thickness and porosity. Additionally, X-ray diffractometry (XRD, SU8230, Hitachi, Japan) was used to examine the phase compositions of the coatings. This technique uses X-ray beams to analyze the crystal structure of the coatings, providing information about the types of minerals present in the coatings and how they are arranged. Energy-dispersive X-ray spectroscopy (EDS) measurements based on SEM were also used to identify the constituent elements of the coatings. EDS (Energy Dispersive Spectroscopy) is a widely used analytical technique that allows researchers to determine the elemental composition of a sample. This information provides valuable insight into the chemical makeup of the material, including the relative proportions of different elements present in the sample. Together, these analytical techniques provided a comprehensive understanding of the properties and characteristics of the PEO coatings formed on 7075 Al alloy under various current densities.

2.4. Corrosion Performance

The corrosion behavior of the PEO coatings was characterized by measuring the potentiodynamic polarization (PDP) curves in a 3.5 wt.% NaCl aqueous solution at room temperature. A three-electrode cell was used for the electrochemical corrosion tests, which consisted of a silver/silver chloride (saturated Ag/AgCl) electrode as the reference electrode, a platinum mesh as the counter electrode, and a PEO sample with an exposed area of 1 cm2 as the working electrode. The polarization curves were recorded over a range of potentials from −2 V vs. Ag/AgCl to 0.5 V vs. Ag/AgCl, with respect to the open circuit potential, at a scan rate of 1 Mv/s. To ensure data reproducibility, each PDP curve was measured at least three times. The Tafel extrapolation method was used to fit the corrosion current density (icorr), corrosion potential (Ecorr), and Tafel slopes from the recorded data.

2.5. Mechanical Properties

Wear tests were conducted on coated and uncoated Al alloy samples under dry sliding conditions using pin-on-disk tribometer equipment in accordance with ASTM G99 guidelines [31]. The sliding tests were performed on a track with a radius of 6 mm and linear sliding velocity of 25 mm s−1 under a normal load of 5 N. The stopping condition of the dry wear tests was a sliding distance of 10,000 laps or ~377 m. The wear properties of the PEO-coated samples were measured with a steel ball of 6 mm in diameter under ambient conditions (25 ± 2 °C) and relative humidity of 58–64%. The friction coefficient and wear depth, which were continuously measured, were monitored as a function of sliding distance during the wear tests.
The nanoindentation instrument (Fischerscope, H100 V) was able to detect the hardness of the PEO coatings at a microscale level by analyzing the indentations left by a diamond tip. To ensure consistency in the measurements, the cross sections of the PEO-coated samples were polished and cleaned before testing. A total of 3–4 indentations were made at each coating thickness level to determine the hardness value. These results provided a detailed understanding of the mechanical properties of the PEO coatings and how they compare to the uncoated alloy.

3. Results

3.1. Voltage

In the PEO treatment of the Al samples, the variations in voltage that arose at a fixed current of the power supply were measured, with the results shown in Figure 1. During the evolution of the coatings, the fixed currents of 1 A, 1.5 A, 2 A, and 2.5 A were transformed into mean alternative current densities of 8.80 A/dm2, 13.5 A/dm2, 17.8 A/dm2, and 22.3 A/dm2, respectively. At the initial stage of PEO coating, when the potential was rapidly increased, the voltage versus time curves was identical at different current densities. Once dielectric breakdown started, microdischarge was initiated over the substrate surface [32,33]. The breakdown points for the samples coated under current densities of 8.80 A/dm2, 13.5 A/dm2, 17.8 A/dm2, and 22.3 A/dm2 were between 162 V and 170 V. After the breakdown, the rate of voltage change slowed and changed according to the current density. A greater amount of microdischarge was observed. Under different current conditions, the final potentials were measured to be 215 V, 227 V, 232 V, and 248 V at 1960 s. These values resulted in different electrochemical reactions that were dependent on the fixed current values.

3.2. Characterization of the Coatings

Figure 2 shows the surface morphologies of the PEO-coated 7075 Al alloy samples coated under four current densities. A pancake-like structure with pores is visible on the surface of the PEO-coated samples, as reported in the literature [33]. The microstructure of the surface of the sample PEO-coated under a current density of 8.80 A/dm2 features pores of 5 µm in diameter and has a shrunken appearance. Figure 2a,b show that the distribution of the pancake structure significantly increased. The pores on the surfaces of the coating formed under current densities of 13.5 and 17.8 A/dm2 were filled under high current and shrunk to form a flatter microstructure. The coating surface of the layers grown under high current density (22.3 A/dm2) changed the microstructure of the coating (Figure 2b,e). As a result of the filling of the pores, the pancake microstructure could no longer be observed. Therefore, with an increase in the applied current density, the coating became compact due to the decrease in the pancake structure and the growth of a flat structure on the sample surface. Additionally, X-ray diffractometry was used to examine the phase compositions of the coatings; the XRD pattern of the PEO-coated 7075 Al alloy samples is presented in Figure 1 and shows the XRD images of the PEO coatings. There is no evidence of crystalline on the different current densities of coated substrates. This has evolved into an amorphous structure on the PEO-coated surface.
Furthermore, the thickness of the coatings was measured by observing the cross-section of the samples using scanning electron microscopy. The thicknesses of the PEO-coated samples prepared under different current densities are shown in Figure 3. The results showed that the coatings formed under a high current density were significantly thicker than the coatings formed under a low current density. This can be attributed to the increased microdischarge activity at the surface of the alloy when the current density is higher, which results in a faster growth rate of the coating. Additionally, it can be observed that all the coatings featured almost the same micropores as a result of oxygen growth at their interface, which is a common characteristic of PEO coatings. This information is important to take into account when choosing the current density for the PEO coating process on 7075 Al alloy to achieve the desired thickness of the coating and its properties.

3.3. Corrosion Behavior

The PDP behavior of the uncoated and PEO-coated samples is shown in Figure 4, and the electrochemical parameters are presented in Table S1 (Supplementary Materials). In the polarization curves, the positive Ecorr and negative icorr values indicate high anticorrosion behavior [12]. Compared to the uncoated aluminum alloy 7075, the corrosion potentials of the PEO-coated samples were significantly shifted toward more positive values. The icorr values decreased for the PEO-coated samples due to the formation of an oxide coating on their surface. In particular, for the PEO coatings formed under current densities of 13.5 A/dm2 and 17.8 A/dm2, the icorr values decreased by order of magnitude compared with those of the other samples. However, for the PEO coating formed under the highest current density of 22.3 A/dm2, its icorr value increased considerably, which can be attributed to the microstructure of the formed PEO coating. It is worth mentioning that the PEO-coated sample prepared under a current density of 17.8 A/dm2 showed the best anticorrosion behavior, with an icorr value of 1.73 × 10−6 A/cm2 and corrosion potential of −0.34 V vs. Ag/AgCl. the detailed corrosion data of the Al substrate and PEO coated samples were also collected and analyzed. The data includes information, such as the corrosion current density, corrosion potential, and Tafel slopes, which gives a comprehensive understanding of the corrosion behavior of the samples shown in Table S1 (Supplementary Materials).

3.4. Tribological Performance

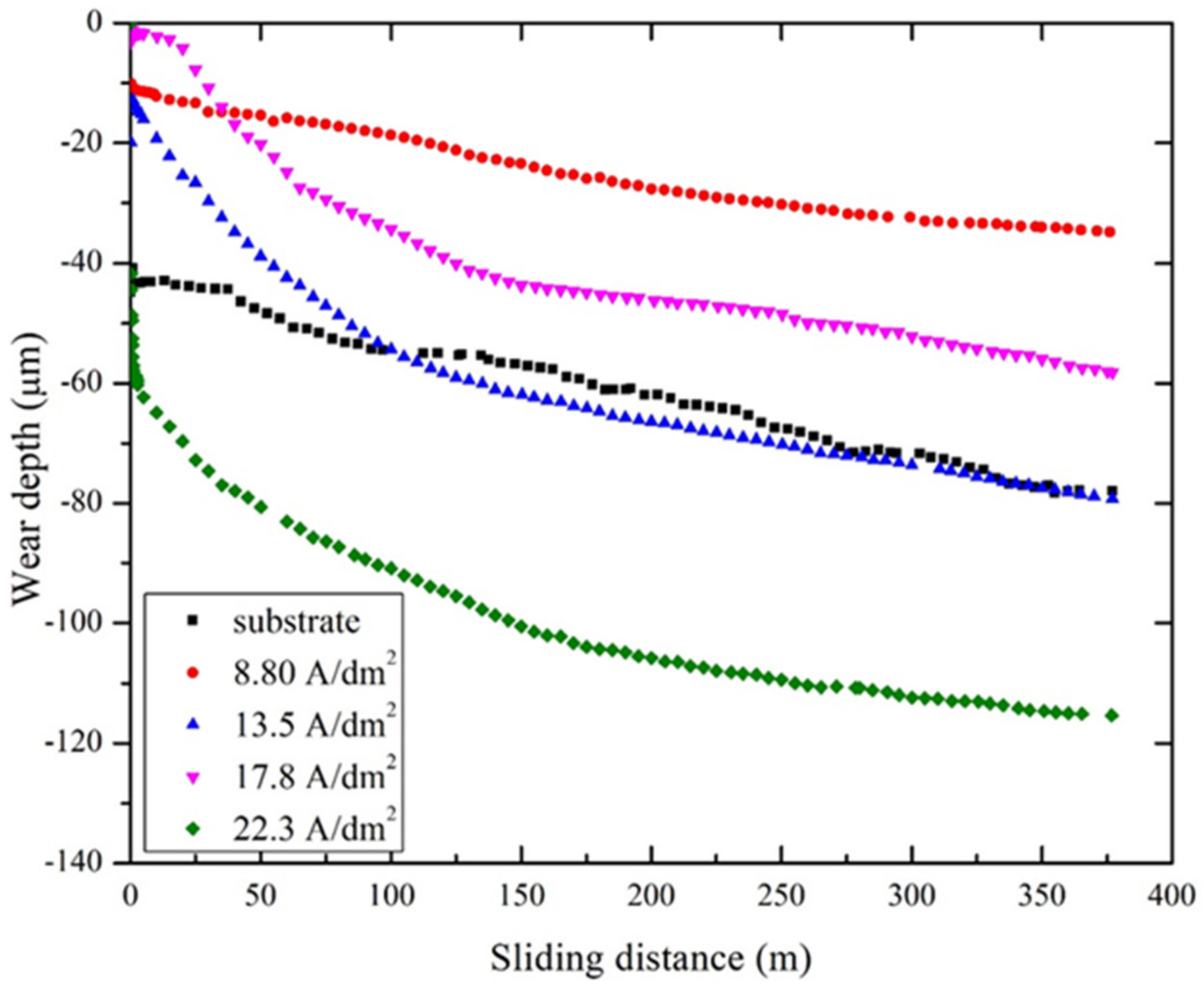
Wear depth measurements provide valuable insights into the wear resistance of a material, with low wear depths indicating high wear resistance. In order to evaluate the wear resistance of the PEO-coated and uncoated samples, wear depths were measured against a steel ball at room temperature, as shown in the results presented in Figure 5. After 377 m of wear testing under loads of less than 5 N, the wear depths of the PEO-coated samples prepared under current densities of 8.80 and 17.8 A/dm2 were found to be around 25 and 45 µm, respectively. The wear depth of the PEO-coated sample prepared under a current density of 13.5 A/dm2 was around 65 µm, which was almost the same as that of the uncoated sample. However, the PEO-coated sample prepared under a current density of 22.3 A/dm2 showed the highest wear depth, attributed to its highly amorphous porous structure. As previously discussed, the outer porous layer of PEO coatings typically exhibits relatively low wear resistance, with increased wear resistance observed in the dense intermediate layer. As a result of the wear testing, it was found that the PEO-coated sample prepared under a current density of 8.80 A/dm2 had the lowest wear depth, indicating that it exhibited the highest wear resistance among all the samples.
The hardness values of the PEO coatings were measured using a nanoindentation instrument on polished cross-sections of the samples. The results showed in Figure 6, that the hardness values of all the PEO coatings were greater than 450 HV, which is approximately three-fold higher than the hardness value of the uncoated 7075 Al alloy. This significant increase in hardness can be attributed to the hard aluminum oxide layer present in the PEO coatings. This increase in hardness can contribute to improved wear resistance and mechanical properties of the coated samples. It is worth noting that this hardness value can vary depending on the current density applied; thus, it is important to evaluate the hardness values of the coating based on the current density used.

4. Conclusions

PEO treatment of an Al alloy substrate, Al 7075, was conducted under four current densities in the same electrolyte. The following conclusions were drawn from the evaluation of the process and coatings.
  • The cell voltage during the PEO coating process slightly increased upon increasing the fixed current in the same silicate electrolyte. Furthermore, the obtained microstructures of the coatings showed increased thickness and roughness, resulting in the formation of a pancake structure on the surface, similar to that of the uncoated substrate. These findings demonstrate that plasma sparks on the substrate. According to SEM images, the thickness of the coating increased as the current density increased. Observation of cross-sectional SEM images of the structures indicated that the inner layers of the coatings became more compact with relatively fine porosity.
  • The corrosion resistance of the PEO coatings formed under current densities of 13.5 A/dm2 and 17.8 A/dm2 were significantly improved compared to the bare Al alloy. The most effective anticorrosion PEO coating was that formed under a current density of 17.8 A/dm2.
  • The wear depths of the PEO coatings formed under current densities of 8.80 A/dm2 and 17.8 A/dm2 were low, which resulted in them exhibiting high wear resistance. However, the wear depth was at a maximum in the coating formed under a current density of 22.3 A/dm2, which was attributed to the highly amorphous nature of the top layer of the coating. These findings indicate that the PEO coatings can effectively protect the Al alloy surface from wear and tear, making them suitable for applications that require high wear resistance.
  • The results of the PEO coating process showed that all of the coatings had good hardness values compared to the Al alloy substrate. This indicates that the PEO coating process was successful in enhancing the hardness properties of the 7075 Al alloy, making it more durable and resistant to wear and tear.
    The high hardness values of the PEO coatings can be attributed to the unique microstructure of the coating, which is composed of fine, homogenous, and well-distributed ceramic particles. These ceramic particles improve the hardness of the coating by increasing its resistance to indentation and wear.
  • Among all the PEO coatings, the coating formed under a current density of 17.8 A/dm2 showed the best anti-corrosion and mechanical properties. Overall, this coating is a promising candidate for various industrial applications that require high wear resistance, corrosion resistance, and mechanical properties.

Supplementary Materials

The following supporting information can be downloaded at: https://www.mdpi.com/article/10.3390/jcs7020050/s1.

Author Contributions

Conceptualization, T.O.E. and D.C.; methodology, L.T.; software, D.Y. validation, M.S., formal analysis, A.G.R.; Corrections, T.O.E. and D.C.; writing—original draft preparation, T.O.E. and D.C.; Writing—Revision, D.C.; supervision, D.C.; project administration, D.C.; funding acquisition, D.C. All authors have read and agreed to the published version of the manuscript.

Funding

This research was supported by Hongik University’s ‘Project for the Establishment of Regionally Specialized Smart City Graduate School’. The authors also extend their acknowledgment to the international cooperation program managed by the National Research Foundation of Korea (2021K2A9A1AA01102245), the Technology development program 2022 (S3091857) funded by the Ministry of SMEs and Startups (MSS, Korea). This work was also supported by the 2022 Hongik University Innovation Support Program Fund.

Data Availability Statement

Not applicable.

Conflicts of Interest

The authors declare no conflict of interest.

References

  1. Dey, S.; Gunjan, M.K.; Chattoraj, I. Effect of temper on the distribution of pits in AA7075 alloys. Corros. Sci. 2008, 50, 2895–2901. [Google Scholar] [CrossRef]
  2. Bouchama, L.; Azzouz, N.; Boukmouche, N. Enhancing aluminum corrosion resistance by two-step anodizing process. Surf. Coat. Technol. 2013, 235, 676–684. [Google Scholar] [CrossRef]
  3. Yang, D.; Od, D.G.; Ramu, A.; Choi, D. Fabrication of enhanced corrosion protection of PEO/PFOTES nanocomposite film coatings on aluminum alloy deposited by plasma electrolytic oxidation. Mater. Lett. 2022, 315, 131898. [Google Scholar] [CrossRef]
  4. Groot, C.; Peekema, R.M. The corrosion of aluminum and its alloys. In Hanford Atomic Products Operation; US Atomic Energy Commission: Washington, DC, USA, 1955; Volume 36692. [Google Scholar]
  5. Barati, N.; Yerokhin, A.; Golestanifard, F.; Rastegari, S.; Meletis, E.I. Alumina-zirconia coatings produced by Plasma Electrolytic Oxidation on Al alloy for corrosion resistance improvement. J. Alloys Compd. 2017, 724, 435–442. [Google Scholar] [CrossRef]
  6. Abreu, C.M.; Cristóbal, M.J.; Figueroa, R.; Pena, G. Wear and corrosion performance of two different tempers (T6 and T73) of AA7075 aluminium alloy after nitrogen implantation. Appl. Surf. Sci. 2015, 327, 51–61. [Google Scholar] [CrossRef]
  7. Wei, R.P.; Liao, C.; Gao, M. A transmission electron microscopy study of constituent-particle-induced corrosion in 7075-T6 and 2024-T3 aluminum alloys. Metall. Mater. Trans. A 1998, 29, 1153–1160. [Google Scholar] [CrossRef]
  8. Gencer, Y.; Gulec, A. The effect of Zn on the microarc oxidation coating behavior of synthetic Al–Zn binary alloys. J. Alloys Compd. 2012, 525, 159–165. [Google Scholar] [CrossRef]
  9. Ghazali, M.J.; Rainforth, W.M.; Jones, H. The wear of wrought aluminium alloys under dry sliding conditions. Tribol. Int. 2007, 40, 160–169. [Google Scholar] [CrossRef]
  10. Telmenbayar, L.; Ramu, A.G.; Yang, D.; Song, M.; Erdenebat, T.; Choi, D. Corrosion resistance of the anodization/glycidoxypropyltrimethoxysilane composite coating on 6061 aluminum alloy. Surf. Coat. Technol. 2020, 403, 126433. [Google Scholar] [CrossRef]
  11. Tang, J.; Han, Z.; Zuo, Y.; Tang, Y. A corrosion resistant cerium oxide based coating on aluminum alloy 2024 prepared by brush plating. Appl. Surf. Sci. 2011, 257.7, 2806–2812. [Google Scholar] [CrossRef]
  12. Rehman, Z.U.; Choi, D. Investigation of ZrO2 nanoparticles concentration and processing time effect on the localized PEO coatings formed on AZ91 alloy. J. Magnes. Alloy. 2019, 7, 555–565. [Google Scholar] [CrossRef]
  13. Ur Rehman, Z.; Heun Koo, B.; Choi, D. Influence of complex SiF62- Ions on the PEO coatings formed on Mg-Al6-Zn1 alloy for enhanced wear and corrosion protection. Coatings 2020, 10, 94. [Google Scholar] [CrossRef]
  14. Lu, X.; Blawert, C.; Huang, Y.; Ovri, H.; Zheludkevich, M.L.; Kainer, K.U. Plasma electrolytic oxidation coatings on Mg alloy with addition of SiO2 particles. Electrochim. Acta 2016, 187, 20–33. [Google Scholar] [CrossRef]
  15. Venugopal, A.; Srinath, J.; Krishna, L.R.; Narayanan, P.R.; Sharma, S.C.; Venkitakrishnan, P.V. Corrosion and nanomechanical behaviors of plasma electrolytic oxidation coated AA7020-T6 aluminum alloy. Mater. Sci. Eng. 2016, 13, 39–46. [Google Scholar] [CrossRef]
  16. Barati, N.; Meletis, E.I.; Fard, F.G.; Yerokhin, A.; Rastegari, S.; Faghihi-Sani, M.A. Al2O3-ZrO2 nanostructured coatings using DC plasma electrolytic oxidation to improve tribological properties of Al substrates. Appl. Surf. Sci. 2015, 30, 927–934. [Google Scholar] [CrossRef]
  17. Fattah-alhosseini, A.; Gashti, S.O.; Molaie, M. Effects of Disodium Phosphate Concentration (Na 2 HPO 4- 2H 2 O) on Microstructure and Corrosion Resistance of Plasma Electrolytic Oxidation (PEO) Coatings on 2024 Al Alloy. J. Mater. Eng. Perform. 2018, 27, 825–834. [Google Scholar] [CrossRef]
  18. Aliramezani, R.; Raeissi, K.; Santamaria, M.; Hakimizad, A. Characterization and properties of PEO coatings on 7075 Al alloy grown in alkaline silicate electrolyte containing KMnO4 additive. Surf. Coat. Technol. 2017, 329, 250–261. [Google Scholar] [CrossRef]
  19. Arrabal, R.; Mohedano, M.; Matykina, E.; Pardo, A.; Mingo, B.; Merino, M.C. Characterization and wear behaviour of PEO coatings on 6082-T6 aluminium alloy with incorporated α-Al2O3 particles. Surf. Coat. Technol. 2015, 269, 64–73. [Google Scholar] [CrossRef]
  20. Nie, X.; Meletis, E.I.; Jiang, J.C.; Leyland, A.; Yerokhin, A.L.; Matthews, A. Abrasive wear/corrosion properties and TEM analysis of Al2O3 coatings fabricated using plasma electrolysis. Surf. Coat. Technol. 2002, 149, 245–251. [Google Scholar] [CrossRef]
  21. Wei, T.; Yan, F.; Tian, J. Characterization and wear-and corrosion-resistance of microarc oxidation ceramic coatings on aluminum alloy. J. Alloys Compd. 2005, 389, 169–176. [Google Scholar] [CrossRef]
  22. Krishna, L.R.; Purnima, A.S.; Sundararajan, G. A comparative study of tribological behavior of microarc oxidation and hard-anodized coatings. Wear 2006, 261, 1095–1101. [Google Scholar] [CrossRef]
  23. Lampke, T.; Meyer, D.; Alisch, G.; Nickel, D.; Scharf, I. Alumina coatings obtained by thermal spraying and plasma anodizing–A comparison. Surf. Coat. Technol. 2011, 206, 2012–2016. [Google Scholar] [CrossRef]
  24. Yerokhin, A.L.; Snizhko, L.O.; Gurevina, N.L.; Leyland, A.; Pilkington, A.; Matthews, A. Spatial characteristics of discharge phenomena in plasma electrolytic oxidation of aluminium alloy. Surf. Coat. Technol. 2004, 177, 779–783. [Google Scholar] [CrossRef]
  25. Parfenov, E.V.; Yerokhin, A.L.; Matthews, A. Frequency response studies for the plasma electrolytic oxidation process. Surf. Coat. Technol. 2007, 201, 8661–8670. [Google Scholar] [CrossRef]
  26. Matykina, E.; Arrabal, R.; Skeldon, P.; Thompson, G.E. Investigation of the growth processes of coatings formed by AC plasma electrolytic oxidation of aluminium. Electrochim. Acta 2009, 54, 6767–6778. [Google Scholar] [CrossRef]
  27. Wang, D.D.; Liu, X.T.; Wu, Y.K.; Han, H.P.; Yang, Z.; Su, Y.; Shen, D.J. Evolution process of the plasma electrolytic oxidation (PEO) coating formed on aluminum in an alkaline sodium hexametaphosphate ((NaPO3) 6) electrolyte. J. Alloys Compd. 2019, 798, 129–143. [Google Scholar] [CrossRef]
  28. Guo-Hua, L.; Wei-Chao, G.; Huan, C.; Li, L.; Er-Wu, N.; Si-Ze, Y. Microstructure and corrosion performance of oxide coatings on aluminium by plasma electrolytic oxidation in silicate and phosphate electrolytes. Chin. Phys. Lett. 2006, 23, 3331. [Google Scholar] [CrossRef]
  29. G99-05 (Reapproved); Standard Test Method for Wear Testing with a Pin-on-Disk Apparatus. ASTM International: West Conshohocken, PA, USA, 2010.
  30. Sah, S.P.; Tsuji, E.; Aoki, Y.; Habazaki, H. Cathodic pulse breakdown of anodic films on aluminium in alkaline silicate electrolyte-understanding the role of cathodic half-cycle in AC plasma electrolytic oxidation. Corros. Sci. 2012, 55, 90–96. [Google Scholar] [CrossRef]
  31. Sundararajan, G.; Krishna, L.R. Mechanisms underlying the formation of thick alumina coatings through the MAO coating technology. Surf. Coat. Technol. 2003, 167, 269–277. [Google Scholar] [CrossRef]
  32. Li, Q.B.; Liu, C.C.; Yang, W.B.; Liang, J. Growth mechanism and adhesion of PEO coatings on 2024Al alloy. Surf. Eng. 2017, 33, 760–766. [Google Scholar] [CrossRef]
  33. Hussein, R.O.; Nie, X.; Northwood, D.O.; Yerokhin, A.; Matthews, A. Spectroscopic study of electrolytic plasma and discharging behaviour during the plasma electrolytic oxidation (PEO) process. J. Phys. D Appl. Phys. 2010, 43, 10. [Google Scholar] [CrossRef]
Figure 1. Voltage versus time curves of the PEO coating of Al 7075 samples under different current densities.
Figure 1. Voltage versus time curves of the PEO coating of Al 7075 samples under different current densities.
Jcs 07 00050 g001
Figure 2. SEM images of the surface morphologies of the PEO-coated samples formed under different current densities of (a) 8.8 A/dm2, (b) 13.5 A/dm2, (c) 17.8 A/dm2, and (d) 22.3 A/dm2.
Figure 2. SEM images of the surface morphologies of the PEO-coated samples formed under different current densities of (a) 8.8 A/dm2, (b) 13.5 A/dm2, (c) 17.8 A/dm2, and (d) 22.3 A/dm2.
Jcs 07 00050 g002
Figure 3. Cross-sectional SEM images of the PEO coatings formed under different current densities of (a) 8.8 A/dm2, (b) 13.5 A/dm2, (c) 17.8 A/dm2, and (d) 22.3 A/dm2.
Figure 3. Cross-sectional SEM images of the PEO coatings formed under different current densities of (a) 8.8 A/dm2, (b) 13.5 A/dm2, (c) 17.8 A/dm2, and (d) 22.3 A/dm2.
Jcs 07 00050 g003
Figure 4. Potentiodynamic polarization curves of the uncoated and PEO-coated samples in 3.5 wt. % NaCl solution. PEO-coated samples formed under different current densities of () 8.8 A/dm2, () 13.5 A/dm2, () 17.8 A/dm2, and () 22.3 A/dm2.
Figure 4. Potentiodynamic polarization curves of the uncoated and PEO-coated samples in 3.5 wt. % NaCl solution. PEO-coated samples formed under different current densities of () 8.8 A/dm2, () 13.5 A/dm2, () 17.8 A/dm2, and () 22.3 A/dm2.
Jcs 07 00050 g004
Figure 5. Wear depths measured on both the substrate and PEO-coated Al 7075 samples. PEO-coated samples formed under different current densities of () 8.8 A/dm2, () 13.5 A/dm2, () 17.8 A/dm2, and () 22.3 A/dm2.
Figure 5. Wear depths measured on both the substrate and PEO-coated Al 7075 samples. PEO-coated samples formed under different current densities of () 8.8 A/dm2, () 13.5 A/dm2, () 17.8 A/dm2, and () 22.3 A/dm2.
Jcs 07 00050 g005
Figure 6. Vickers hardness of the substrate and Al 7075 samples PEO-coated under different current densities.
Figure 6. Vickers hardness of the substrate and Al 7075 samples PEO-coated under different current densities.
Jcs 07 00050 g006
Disclaimer/Publisher’s Note: The statements, opinions and data contained in all publications are solely those of the individual author(s) and contributor(s) and not of MDPI and/or the editor(s). MDPI and/or the editor(s) disclaim responsibility for any injury to people or property resulting from any ideas, methods, instructions or products referred to in the content.

Share and Cite

MDPI and ACS Style

Erdenebat, T.O.; Telmenbayar, L.; Yang, D.; Song, M.; Ramu, A.G.; Choi, D. Influence of Alternating Current Density on the Mechanical Behavior and Microstructure of PEO-Coated 7075 Aluminum Alloy. J. Compos. Sci. 2023, 7, 50. https://doi.org/10.3390/jcs7020050

AMA Style

Erdenebat TO, Telmenbayar L, Yang D, Song M, Ramu AG, Choi D. Influence of Alternating Current Density on the Mechanical Behavior and Microstructure of PEO-Coated 7075 Aluminum Alloy. Journal of Composites Science. 2023; 7(2):50. https://doi.org/10.3390/jcs7020050

Chicago/Turabian Style

Erdenebat, Tumur Ochir, Lkhagvaa Telmenbayar, Daejeong Yang, Minjung Song, Adam Gopal Ramu, and Dongjin Choi. 2023. "Influence of Alternating Current Density on the Mechanical Behavior and Microstructure of PEO-Coated 7075 Aluminum Alloy" Journal of Composites Science 7, no. 2: 50. https://doi.org/10.3390/jcs7020050

APA Style

Erdenebat, T. O., Telmenbayar, L., Yang, D., Song, M., Ramu, A. G., & Choi, D. (2023). Influence of Alternating Current Density on the Mechanical Behavior and Microstructure of PEO-Coated 7075 Aluminum Alloy. Journal of Composites Science, 7(2), 50. https://doi.org/10.3390/jcs7020050

Article Metrics

Back to TopTop