Abstract
The effects of gamma radiation on the AC electrical properties of highly cross-linked epoxy resin/bisphenol A-based polycarbonate samples have been investigated as a function of concentrations of bisphenol A-based polycarbonate, frequency, and temperature. The composite samples contained different bisphenol A-based polycarbonate concentrations of 0, 4, 8, 10, and 15 by wt%. The gamma irradiation process was performed at different gamma doses of 0, 100, 300, and 500 Gy. The AC electrical properties of the tested samples were studied before and after gamma irradiation within a frequency range of 200 kHz to 1 MHz. The results show that after irradiation, a consistent decrease in complex impedance values () was observed, indicating an increase in conductivity due to radiation-induced scission of the composite structure. Dielectric properties, including the dielectric constant () and dielectric loss (), exhibited an increase with higher doses and higher polycarbonate concentrations, signifying the formation of defect sites and charge carrier trapping. AC electrical conductivity () displayed a notable rise post irradiation, with temperatures ranging from 30 °C to 110 °C, and higher radiation doses and higher temperatures led to increased conductivity. The activation energy () decreased as the radiation dose increased, reflecting structural modifications induced by radiation.
1. Introduction
In recent years, the exposure of polymeric composites to gamma radiation has gained considerable attention from numerous researchers due to their significance in industrial and technical applications to enhance and improve various physical properties, including optical and electrical properties [1,2,3,4].
The gamma irradiation technique has been employed by researchers since it is well-known to be one of the most highly effective ways to enhance the physical and chemical properties of polymeric composites [5,6].
The published scientific research in the literature indicates that gamma radiation has a profound impact on the physical and chemical properties of polymer composites. These effects include structural modifications, scission or cross-linking, alterations in the degree of filler particle aggregation, the formation of holes, changes in the band gap value, and the generation of more radicals and electric dipoles, as has been extensively documented in studies [7,8,9,10,11,12,13,14,15].
In a related study [16], the focus was directed towards evaluating the influence of varying gamma irradiation doses on a composite material composed of polycarbonate and polybutylene terephthalate. Their investigation yielded noteworthy findings, notably a reduction in the band gap energy, which consequently led to an increase in electrical conductivity. This enhancement in electrical conductivity was attributed to structural and optical modifications induced by the gamma irradiation process. Expanding on this theme, the research in [17] delved into the impact of gamma irradiation on nanocomposite films consisting of polycaprolactone and zinc oxide. Intriguingly, their findings suggested that the structural properties of the irradiated samples remained largely unaltered even when exposed to a substantial gamma dose of 25 kGy. In a parallel line of inquiry presented in [18], the effects of gamma irradiation on film samples crafted from polycarbonate, specifically Makrofol-E, were explored across a wide spectrum of gamma doses, ranging from 10 kGy to 200 kGy. Their results uncovered a remarkable enhancement in the radiation resistance of Makrofol-E, rendering it exceptionally suitable for applications within the medical product industry. Notably, prior investigations, as in [19], have primarily focused on examining the impact of temperature variations between 25 °C and 100 °C, as well as exploring a frequency range spanning from 10 Hz to 106 Hz. The study referenced in work [20] demonstrated that gamma irradiation causes notable modifications to the electrical properties of epoxy resin, impacting both its thermally stimulated discharge behavior and DC conductivity, and these alterations are associated with degradation and cross-linking processes. In the study referenced in [21], gamma irradiation of epoxy–lead oxide composites led to changes in chemical structure, surface morphology, and mechanical properties, along with reduced thermal stability at higher gamma doses, while the gamma attenuation properties and XRD spectrum remained unaffected even under significant irradiation. The study [22] explored how gamma radiation impacts thin epoxy resin films. XRD analysis revealed structural changes with varying film thickness and gamma doses ranging from 0 to 120 kGy. It showed a shift from amorphous to crystalline phases at lower thicknesses and higher radiation doses, enhanced by the hardened material. SEM confirmed this improved crystal morphology and uniform microstructure.
In our previous work [23], we studied epoxy–alumina (Al2O3) composites, particularly their AC electrical and optical properties. It was found that their AC electrical conductivity and dielectric behavior are influenced by both the applied frequency and alumina concentration. Additionally, optical properties, including the absorption coefficient and localized state width, varied with alumina concentration.
The main goal of this work is to study the effects of gamma irradiation on the AC electrical properties and parameters of highly cross-linked epoxy resin as a filled matrix with different concentrations of bisphenol A-based polycarbonate by exposing them to different gamma radiation doses, in order to enhance their electrical conductivity.
2. Materials and Methods
2.1. Samples Preparation
The samples in this study were prepared at the C.N.R. laboratories in Naples, Italy, following the procedure outlined in reference [19]; 20 g of polycarbonate with a number-average molecular weight of 12 × 103 and a weight-average molecular weight of 31 × 103 was carefully dissolved in 39.6 g of epoxy resin, specifically Novolac DEN 438. This dissolution process extended over a 5 h period and was carried out at a controlled temperature of 220 °C. Subsequently, the mixture’s temperature was gradually reduced to 80 °C, at which point, 40.4 g of nadic methyl anhydride (MNA) and 0.4 g of the accelerator benzyl dimethylamine were added. The curing process was then executed, maintaining a precise temperature of 120 °C for 20 h. These procedures culminated in the production of a visually transparent sheet of material.
2.2. Gamma Irradiation
The composite samples, consisting of highly cross-linked epoxy resin as the matrix and filled with bisphenol A-based polycarbonate at varying concentrations of 0%, 4%, 8%, 10%, and 15% by weight, were subjected to gamma radiation exposure at absorbed doses of 0 Gy, 100 Gy, 300 Gy, and 500 Gy. The irradiation experiments were carried out under ambient conditions, utilizing a 60 Co gamma source with an average energy of 1.25 MeV and a dose rate of 4163.511 Gy/hr, at the gamma irradiation facility of the Jordan Atomic Energy Commission.
2.3. Electrical Parameters Calculations
To measure the impedance magnitude () and the phase angle (), the Low-Frequency Impedance Analyzer (HP model 4192) was used, while the complex impedance with the real and imaginary components were calculated using the following famous formula:
where .
The dielectric constant is given by:
and dielectric loss is given by:
where is the capacitance of the sample two plates, given by the following formula:
where is the disk area, and is the distance between the two plates of the sample.
The AC electrical conductivity ( of the sample was calculated via:
where is the applied frequency and is the permittivity of free space.
The activation energy for any thermally activated transport process is calculated using the Arrhenius equation:
where:
is the conductivity and is the pre-exponential factor of conductivity, which measures the units of conductivity;
is the Boltzmann constant;
is the temperature in Kelvin;
is the activation energy for the migration of free charges.
3. Results and Discussion
This study’s Figure 1 presents an analysis of the behavior of as a function of the frequency ranging from 200 kHz to 1 MHz, both pre- and post gamma irradiation, for our highly cross-linked epoxy resin/bisphenol A-based polycarbonate samples. Figure 1a illustrates the pre-irradiation values, in the range of 0.907 × 105 to 0.183 × 105 ohms.


Figure 1.
Variations in the value across different frequencies for highly cross-linked epoxy resin/bisphenol A-based polycarbonate samples at T = 30 °C. (a): Pre-irradiation; (b): at 100 Gy; (c): at 300 Gy; (d): at 500 Gy.
Figure 1b illustrates the post-irradiation case, where the samples were subjected to a dose of 100 Gy, with a composition of 85 wt% epoxy and 15 wt% polycarbonate. Notably, the values following irradiation are lower when compared to their pre-irradiation counterparts. Specifically, they decreased from the initial range of 0.907 × 105–0.183 × 105 ohms to a range of 0.886 × 105–0.180 × 105 ohms, while Figure 1c shows that the values further decreased to 0.819 × 105–0.164 × 105 ohms after exposure to a dose of 300 Gy. Finally, Figure 1d illustrates the behavior post irradiation with a more substantial dose of 500 Gy. Here, the values decreased to 0.781 × 105–0.158 × 105 ohms, and the results of the analysis for all samples are shown in Table 1.
Table 1.
The values of with frequencies ranging from 200 kHz to 1 MHz for highly cross-linked epoxy resin/bisphenol A-based polycarbonate samples at T = 30 °C.
From the above results, it can be concluded that the consistent decrease in values post irradiation indicates that the charge carriers within the samples are influenced by radiation-induced scission of the composite structure. This scission process generates additional free charges that become trapped in localized sites within the polymeric composites [24].
The lower values are likely attributed to the energy released from gamma radiation, which releases more free charges into the system. Additionally, it is plausible that the radiation creates holes within the material, potentially facilitating the movement of these free charges and enhancing the conductivity of the composite samples [8].
In Figure 2, one result of the behavior is presented as a function of the frequency both pre- and post exposure to gamma irradiation doses of 100 Gy, 300 Gy, and 500 Gy, maintaining a sample composition of 85 wt% epoxy and 15 wt% polycarbonate, within a frequency range of 200 kHz to 1 MHz. The pre-irradiation values are shown in Figure 2a, and they fall within a range of 4.372 to 4.315; and for the post-irradiation of 100 Gy gamma dose, the values are shown in Figure 2b. Remarkably, the values for the irradiated samples are relatively higher compared to their non-irradiated counterparts. Specifically, they increased from an initial range of 4.372–4.315 to a new range of 4.474–4.399. In Figure 2c, at a dose of 300 Gy, the values show an increase, within the range of 4.841–4.767. Figure 2d extends this analysis to a gamma irradiation dose of 500 Gy. In this case, the values continued to rise and spanned a range of 5.081–5.001, and the results of the analysis for all samples are shown in Table 2.

Figure 2.
Variations in the value across different frequencies for highly cross-linked epoxy resin/bisphenol A-based polycarbonate composites at T = 30 °C. (a): Pre-irradiation; (b): at 100 Gy; (c): at 300 Gy; (d): at 500 Gy.
Table 2.
The values with frequencies ranging from 200 kHz to 1 MHz for highly cross-linked epoxy resin/bisphenol A-based polycarbonate samples at T = 30 °C.
Therefore, the value increases with the rising dose of ionizing gamma radiation due to polymer chain scission and the formation of a few numbers of defect sites within the composites’ band gaps as the radiation passes through them. These defects trap the charge carriers found within the band gaps of the samples. Furthermore, gamma radiation enhances the samples’ capability to store charges.
It is also predicted that an increase in radiation dose will result in greater charge carrier delocalization, ultimately leading to a higher . Additionally, the increases with higher concentrations of polycarbonate because the incorporation of this material into the composite samples results in a greater number of dipoles, which, in turn, raises the [25,26].
Figure 3 illustrates the variations in as a function of the frequency, within the range of 200 kHz to 1 MHz, both pre- and post exposure to gamma irradiation at different doses (100, 300, and 500 Gy) for our highly cross-linked epoxy resin/bisphenol A-based samples with an 85 wt% epoxy and 15 wt% polycarbonate. Pre-irradiation, the values for the samples fell within the range of 0.134 to 0.116, as seen in Figure 3a. Notably, an intriguing trend emerged, revealing that the values decreced with escalations in the frequency. This is because as the frequency is raised, the generated charges rapidly lose their ability to follow the reverse field, which reduces their electronic oscillations [27]. Post irradiation at a dose of 100 Gy, Figure 3b shows a notable enhancement in the values when compared to the non-irradiated samples. This enhancement led to a shift in the range, from 0.134–0.116 to 0.137–0.119. Subsequently, when subjected to a higher irradiation dose of 300 Gy, as seen in Figure 3c, the values further increased, spanning a range of 0.149 to 0.130 over the same frequency range of 200 kHz to 1 MHz. The most striking effect was observed at the highest irradiation dose of 500 Gy (see Figure 3d), where the values exhibited a significant increase, extending their range from 0.157 to 0.138, and the results of the analysis for all samples are shown in Table 3.


Figure 3.
Variations in the value across different frequencies for highly cross-linked epoxy resin/bisphenol A-based polycarbonate composites at T = 30 °C. (a): Pre-irradiation; (b): at 100 Gy; (c): at 300 Gy; (d): at 500 Gy.
Table 3.
The values with frequencies ranging from 200 kHz to 1 MHz for highly cross-linked epoxy resin/bisphenol A-based polycarbonate samples at T = 30 °C.
It is also predicted that an increase in radiation dose will result in greater charge carrier delocalization, ultimately leading to a higher .
Figure 4 depicts the variations in as a function of the frequency, across a frequency range of 200 kHz to 1 MHz, both pre- and post gamma irradiation for our highly cross-linked epoxy resin/bisphenol A-based samples with an 85 wt% of epoxy and 15 wt% of polycarbonate. Before gamma irradiation, Figure 4a reveals that the values for the samples were within a range of 1.223 × 10−6–6.789 × 10−6 (ohms·m)−1. Upon irradiation at a dose of 100 Gy (see Figure 4b), a noticeable increase in the values was observed in comparison to the pre-irradiation samples. The conductivity range shifted from 1.223 × 10−6–6.789 × 10−6 (ohms·m)−1 to 1.260 × 10−6–6.964 × 10−6 (ohms·m)−1 over the same frequency range. Subsequently, at an irradiation dose of 300 Gy, Figure 4c showcases a further increase in the values, which spanned a range of 1.373 × 10−6–7.592 × 10−6 (ohms·m)−1. The most pronounced effect was observed at the highest irradiation dose of 500 Gy, as seen in Figure 4d, where the values exhibited a significant increase, expanding their range from 1.451 × 10−6 to 8.014 × 10−6 (ohms·m)−1; the results of the analysis for all samples are shown in Table 4.

Figure 4.
Variations in the value across different frequencies for highly cross-linked epoxy resin/bisphenol A-based polycarbonate samples at T = 30 °C. (a): Pre-irradiation; (b): at 100 Gy; (c): at 300 Gy; (d): at 500 Gy.
Table 4.
The values with frequencies ranging from 200 kHz to 1 MHz for highly cross-linked epoxy resin/bisphenol A-based polycarbonate samples at T = 30 °C.
Ions and free radicals are created and partly trapped in the bulk of the material after the samples were exposed to gamma radiation. As a result, the conductivity of the irradiated samples was greater than that of the non-irradiatedsamples [26].
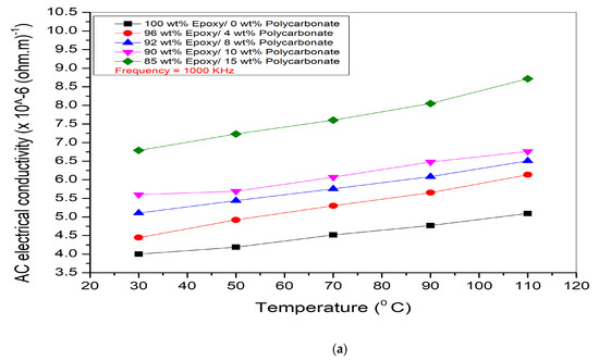
Figure 5 provides insights into the behavior of the for the tested samples as a function of the temperature, at temperatures ranging from 30 °C to 110 °C and at a fixed frequency of 1 MHz, both pre- and post gamma irradiation. In Figure 5a, the results depict the values pre-gamma irradiation, revealing a direct correlation between the temperature and . Additionally, it is noteworthy that increases in the weight percentages of the polycarbonate particles, ranging between 0%, 4%, 8%, 10%, and 15%, led to an increase in the values. Figure 5b showcases the impact of the 100 Gy gamma irradiation dose on the values. Here, a notable increase in can be observed compared to the pre-irradiation samples. The values escalated from a range of 6.789 × 10−6 to 8.717 × 10−6 (ohms·m)−1 to a range of 6.964 × 10−6 to 8.962 × 10−6 (ohms·m)−1. Continuing with the irradiation dose of 300 Gy, as seen in Figure 5c, the further increased from 7.592 × 10−6 to 9.733 × 10−6 (ohms·m)−1, showcasing the pronounced impact of gamma irradiation on . At the highest irradiation dose of 500 Gy, depicted in Figure 5d, the values experienced a substantial boost, extending their range from 8.014 × 10−6 to 10.080 × 10−6 (ohms·m)−1 within the same temperature range. The results presenting the as a function of the temperature, within a range of 30 to 110 °C, for all samples are shown in Table 5.


Figure 5.
Variations in the AC electrical conductivity across different temperatures for highly cross-linked epoxy resin/bisphenol A-based polycarbonate composites at a frequency of 1 MHz. (a): Pre-irradiation; (b): at 100 Gy; (c): at 300 Gy; (d): at 500 Gy.
Table 5.
The values with temperatures ranging from 30 °C to 110 °C for highly cross-linked epoxy resin/bisphenol A-based polycarbonate samples at a frequency of 1 MHz.
Gamma radiation induces chain scission within the samples, resulting in the emergence of defects, free radicals, and increased electron densities throughout the composite material. Consequently, the irradiated samples exhibit a higher compared to their non-irradiated counterparts. It is clear that the degradation of polymer chains within the samples plays a pivotal role in the observed increase in values as the irradiation dose escalates [24,26].
Figure 6 provides the behavior of the for the tested samples as a function of their filler concentration at a fixed frequency of 1 MHz and a fixed temperature of 30°, both pre- and post gamma irradiation. In Figure 6, it is noteworthy that increases in the weight percentages of the polycarbonate particles ranging between 0%, 4%, 8%, 10%, and 15% led to an increase in values, and it can be observed that the AC electrical conductivity () displayed a notable rise following irradiation with different gamma doses of 100, 300, and 500 Gy. The results presenting the as a function of the filler concentration, at a fixed frequency of 1 MHz and fixed temperature of 30°, for all samples are shown in Table 6.
Figure 6.
Variations in the AC electrical conductivity across different filler concentrations (0, 4, 8, 10, and 15 wt%) of bisphenol A-based polycarbonate samples at a frequency of 1 MHz and temperature of 30°, at different gamma doses of 0, 100, 300, and 500 Gy.
Table 6.
The values across different filler concentrations (0, 4, 8, 10 and 15 wt%) of bisphenol A-based polycarbonate, at a frequency of 1 MHz and temperature of 30°.
The calculated values are presented in Table 7. It is noteworthy that as the dose of gamma radiation increases, the energy gap within the material decreases. This phenomenon arises because gamma radiation exerts a pronounced influence on the arrangement of the molecules within the samples, disrupting their structure and leading to the formation of imperfections within the material’s molecular framework. These changes serve as a clear indication that the electrical properties of the material are undergoing significant alterations due to structural modifications induced by radiation [28].
Table 7.
The Ea values of the (with a frequency of 1 MHz) for all tested samples pre- and post gamma irradiation.
4. Conclusions
This study investigated the electrical properties of highly cross-linked epoxy resin and bisphenol A-based polycarbonate composite materials before and after exposure to gamma radiation. Our findings reveal a significant influence of gamma radiation on the electrical behavior of these composite materials. Post irradiation, there was a consistent decrease in the complex impedance values (), suggesting that radiation-induced scission of the composite structure led to the release of additional free charges, enhancing conductivity. The dielectric constant () and dielectric loss () increased with higher doses of radiation, as well as with higher concentrations of polycarbonate in the samples, indicating the formation of defect sites and the trapping of charge carriers. The AC electrical conductivity () exhibited a pronounced increase post irradiation, which was more prominent with higher doses of radiation. Temperature also played a crucial role in influencing the electrical conductivity, with higher temperatures resulting in higher values. Moreover, the activation energy () decreased with increasing doses of gamma radiation, reflecting structural modifications within the material induced by the radiation. These findings underscore the profound impact of gamma radiation on the electrical properties of composite materials. The creation of defects, free radicals, and increased electron densities within these materials contribute to the observed changes in their electrical behavior. These findings hold immense significance for applications across various domains, including the science of materials, radiation technology, and advanced composite material design. Moreover, they open avenues for further investigations into tailoring the electrical properties of materials via controlled irradiation, presenting promising opportunities for innovation and technological advancement.
Author Contributions
Conceptualization, Z.A., H.K.J. and Z.E.; methodology, Z.A., H.K.J. and Z.E.; software, Z.A.; validation, H.K.J. and Z.E.; formal analysis, Z.A. and Z.E.; investigation, Z.E.; resources, H.K.J.; data curation, Z.A. and Z.E.; writing—original draft preparation, Z.A.; writing—review and editing, Z.A. and Z.E.; supervision, Z.A., H.K.J. and Z.E.; project administration, Z.A., H.K.J. and Z.E.; funding acquisition, H.K.J. All authors have read and agreed to the published version of the manuscript.
Funding
This research received no external funding.
Data Availability Statement
The data that support the findings of this study are available on request from the corresponding author.
Acknowledgments
We wish to extend our profound gratitude to Eng Mohammad Alutoom and Anas kloub from the gamma irradiation facility at the Jordan Atomic Energy Commission for their invaluable expertise and diligent support in facilitating the irradiation of the composite samples.
Conflicts of Interest
The authors declare no conflict of interest.
References
- Qwasmeh, A.A.; Saleh, B.A.A.; Al-Tweissi, M.; Tarawneh, M.A.; Elimat, Z.M.; Alzubi, R.I.; Juwhari, H.K. Effects of Gamma Irradiation on Optical Properties of Poly (ethylene oxide) Thin Films Doped with Potassium Iodide. J. Compos. Sci. 2023, 7, 194. [Google Scholar] [CrossRef]
- Saleh, B.A.A.; Elimat, Z.M.; Alzubi, R.I.; Juwhari, H.K. Ultrafine iron particles/polystyrene composites: Effects of gamma radiation and manufacture aging on the AC electrical characterization. Radiat. Eff. Defects Solids 2022, 177, 1065–1074. [Google Scholar] [CrossRef]
- Tarawneh, M.A.; Saraireh, S.A.; Chen, R.S.; Ahmad, S.H.; Al-Tarawni, M.A.; Yu, L.J. Gamma irradiation influence on mechanical, thermal, and conductivity properties of hybrid carbon nanotubes/montmorillonite nanocomposites. Radiat. Phys. Chem. 2021, 179, 109168. [Google Scholar] [CrossRef]
- Tommalieh, M.J. Gamma radiation assisted modification on electrical properties of Polyvinyl Pyrrolidone/Polyethylene Oxide blend doped by copper oxide nanoparticles. Radiat. Phys. Chem. 2021, 179, 109236. [Google Scholar] [CrossRef]
- Dyuryagina, N.S.; Yalovets, A.P. Radiation-Induced Electrical Conductivity of Nanocomposite Materials. Tech. Phys. 2018, 63, 838–847. [Google Scholar] [CrossRef]
- Zailan, F.D.; Chen, R.S.; Shahdan, D.; Ahmad, S.H. Effect of conductive polyaniline in thermoplastic natural rubber blends on the mechanical, thermal stability, and electrical conductivity properties. J. Appl. Polym. Sci. 2019, 136, 47527. [Google Scholar] [CrossRef]
- Harun, M.H.; Othman, N.; Mohamed, M.; Alias, M.S.; Umar, K.N.; Rahman, M.F. Influence of Gamma Irradiation on The Electrical Conductivity and Dielectric Properties of Polypyrrole Conducting Polymer Composite Films. Int. J. Nanoelectron. Mater. 2019, 12, 467–476. [Google Scholar]
- Sunitha, V.R.; Radhakrishnan, S. Gamma irradiation effects on conductivity and dielectric behavior of PEO-based nano-composite polymer electrolyte systems. Polym. Bull. 2020, 77, 655–670. [Google Scholar] [CrossRef]
- Al Naim, A.; Alnaim, N.; Ibrahim, S.S.; Metwally, S.M. Effect of gamma irradiation on the mechanical properties of PVC/ZnO polymer nanocomposite. J. Radiat. Res. Appl. Sci. 2017, 10, 165–171. [Google Scholar] [CrossRef]
- Al-Hada, N.M.; Al-Ghaili, A.M.; Kasim, H.; Saleh, M.A.; Saion, E.; Liu, J.; Wang, J. Synthesis and Characterization of Conducting Polyaniline Based on ANI-PVA-MgCl2 Composites Using Gamma Radiation Technique. IEEE Access 2020, 8, 139479–139488. [Google Scholar] [CrossRef]
- Amini, M.; Vejdani Noghreiyan, A.; Dehghani, Z.; Majles Ara, M.H. Effect of gamma irradiation on the structure properties and mass attenuation coefficient of MgO nanoparticles. Radiochim. Acta, 2018; Advance online publication. [Google Scholar]
- Raghu, S.; Archana, K.; Sharanappa, C.; Ganesh, S.; Devendrappa, H. Electron beam and gamma ray irradiated polymer electrolyte films: Dielectric properties. J. Radiat. Res. Appl. Sci. 2016, 9, 117–124. [Google Scholar] [CrossRef]
- Babu, M.S.; Sarathi, R.; Vasa, N.J.; Imai, T. Investigation on space charge and charge trap properties of gamma-irradiated epoxy micro-nano composites. High Volt. 2020, 5, 191–201. [Google Scholar] [CrossRef]
- Singh, D.; Singh, N.L.; Qureshi, A.; Kulriya, P.; Tripathi, A.; Avasthi, D.K.; Gulluoglu, A.N. Radiation induced modification of dielectric and structural properties of Cu/PMMA polymer composites. J. Non-Cryst. Solids 2010, 356, 856–863. [Google Scholar] [CrossRef]
- Sinha, D.; Sahoo, K.L.; Sinha, U.B.; Swu, T.; Chemseddine, A.; Fink, D. Gamma-induced modifications of polycarbonate polymer. Radiat. Eff. Defects Solids 2004, 159, 587–595. [Google Scholar] [CrossRef]
- Zaki, M.F.; Radwan, R.M.; Rashad, A.M. Amendment the physicochemical properties of polycarbonate/polybutylene terephthalate blend by gamma-ray irradiation doses. Polym. Bull. 2020, 78, 7167–7182. [Google Scholar] [CrossRef]
- Paula, M.; Diego, I.; Dionisio, R.; Vinhas, G.; Alves, S. Gamma irradiation effects on polycaprolactone/zinc oxide nanocomposite films. Polímeros 2019, 29, e2019014. [Google Scholar] [CrossRef]
- Fares, S. Frequency dependence of the electrical conductivity and dielectric constants of polycarbonate (Makrofol-E) film under the effects of γ-radiation. Nat. Sci. 2011, 3, 1034–1039. [Google Scholar] [CrossRef][Green Version]
- Al-Ramadin, Y.; Ahmad, M.; Zihlif, A.; Alnajjar, A.; Jawad, S.A.; Musto, P.; Ragosta, G.; Martuscelli, E. Impedance spectroscopy of highly cross-linked epoxy resin/bisphenol A-based polycarbonate. Polymer 1999, 40, 3877–3879. [Google Scholar] [CrossRef]
- Fouracre, R.A.; Al-Attabi, A.; Banford, H.M.; Given, M.J.; Tedford, D.J. Radiation Effects in Epoxy Resin System: Gamma Rays, Neutrons, and High Energy Electrons. In Proceedings of the Annual Conference on Electrical Insulation and Dielectric Phenomena, Pocono Manor, PA, USA, 28–31 October 1990; pp. 114–119. [Google Scholar] [CrossRef]
- Joshi, S.; Snehalatha, V.; Sivasubramanian, K.; Ponraju, D.; Jayaraman, V. Radiation Stability of Epoxy-Based Gamma Shielding Material. J. Mater. Eng. Perform. 2019, 28, 7332–7341. [Google Scholar] [CrossRef]
- El-Rahman, M.A.; Mohamed, L.L.; Said, N.M. Effect of High Gamma Irradiation Doses on Structure and Morphology Properties for Epoxy Resins. Optik 2021, 226, 165674. [Google Scholar] [CrossRef]
- Al-Bayer, R.; Zihlif, A.; Lahlouh, B.; Elimat, Z. AC Electrical and Optical Characterization of Epoxy–Al2O3 Composites. J. Mater. Sci. Mater. Electron. 2013, 24, 2866–2872. [Google Scholar] [CrossRef]
- Susilawati, S.; Doyan, A. Effects of Gamma Radiation on Electrical Conductivity of PVA-CH Composites. Mater. Sci. Forum 2015, 827, 180–185. [Google Scholar] [CrossRef]
- Raju, G.G. Dielectrics in Electric Fields; Marcel Dekker Inc.: New York, NY, USA, 2003. [Google Scholar]
- Prabha, K.; Jayanna, H.S. Study the Frequency Dependence of Dielectric Properties of Gamma Irradiated PVA(1−x)PSx Polymer Blends. Open J. Polym. Chem. 2015, 5, 47–54. [Google Scholar] [CrossRef][Green Version]
- Singh, D.; Singh, N.L.; Kulriya, P.; Tripathi, A.; Phase, D.M. AC Electrical and Structural Properties of Polymethylmethacrylate/Aluminum Composites. J. Compos. Mater. 2010, 44, 3165–3178. [Google Scholar] [CrossRef]
- Siljegovic, M.; Kacarevic-Popovic, Z.M.; Bibic, N.; Jovanovic, Z.M.; Maletic, S.; Stchakovsky, M.; Krkljes, A.N. Optical and Dielectric Properties of Fluorinated Ethylene Propylene Tetrafluoro Ethylene—Perfluoro(alkoxy vinyl ether) Copolymer Films Modified by Low Energy N4+ and C4+ Ion Beams. Radiat. Phys. Chem. 2011, 80, 1378–1385. [Google Scholar] [CrossRef]
Disclaimer/Publisher’s Note: The statements, opinions and data contained in all publications are solely those of the individual author(s) and contributor(s) and not of MDPI and/or the editor(s). MDPI and/or the editor(s) disclaim responsibility for any injury to people or property resulting from any ideas, methods, instructions or products referred to in the content. |
© 2023 by the authors. Licensee MDPI, Basel, Switzerland. This article is an open access article distributed under the terms and conditions of the Creative Commons Attribution (CC BY) license (https://creativecommons.org/licenses/by/4.0/).