Thermoelectric Performance of Polypropylene/Carbon Nanotube/Ionic Liquid Composites and Its Dependence on Electron Beam Irradiation
Abstract
:1. Introduction
2. Materials and Methods
3. Results
3.1. Electrical Properties
3.1.1. Electrical Percolation after Addition of Ils in Different Ratios
3.1.2. Electrical Resistivity after Electron Beam Irradiation
3.2. Morphological Characterisation
3.2.1. Light Microscopy
3.2.2. Scanning Electron Microscopy
3.3. Thermal Characterization
3.4. Melt Rheological Properties
3.5. Mechanical Properties
3.6. Thermoelectric Properties
3.6.1. Different Kinds of Ionic Liquids as Additive in PP/2 wt.% SWCNT Composites
3.6.2. Influence of Pressing Time during Compression Molding on the Thermoelectric Properties (PP/1 wt.% SWCNT)
3.6.3. Influence of Electron Beam Irradiation Dose on the Thermoelectric Properties (PP/1 wt.% SWCNT)
3.6.4. Influence of Electron Beam Irradiation on the Thermoelectric Properties (PP/1 wt.% SWCNT with and without IL)
4. Discussion
Author Contributions
Funding
Data Availability Statement
Acknowledgments
Conflicts of Interest
References
- Rowe, D.M. CRC Handbook of Thermoelectrics; CRC Press: Boca Raton, FL, USA, 1995. [Google Scholar]
- Gayner, C.; Kar, K.K. Recent advances in thermoelectric materials. Prog. Mater. Sci. 2016, 83, 330–382. [Google Scholar] [CrossRef]
- Antar, Z.; Feller, J.F.; Noël, H.; Glouannec, P.; Elleuch, K. Thermoelectric behaviour of melt processed carbon nanotube/graphite/poly(lactic acid) conductive biopolymer nanocomposites (CPC). Mater. Lett. 2012, 67, 210–214. [Google Scholar] [CrossRef]
- Shim, M.; Javey, A.; Shi Kam, N.W.; Dai, H. Polymer Functionalization for Air-Stable n-Type Carbon Nanotube Field-Effect Transistors. J. Am. Chem. Soc. 2001, 123, 11512–11513. [Google Scholar] [CrossRef] [PubMed]
- Sun, Y.-C.; Terakita, D.; Tseng, A.C.; Naguib, H.E. Study on the thermoelectric properties of PVDF/MWCNT and PVDF/GNP composite foam. Smart Mater. Struct. 2015, 24, 085034. [Google Scholar] [CrossRef] [Green Version]
- Luo, J.; Cerretti, G.; Krause, B.; Zhang, L.; Otto, T.; Jenschke, W.; Ullrich, M.; Tremel, W.; Voit, B.; Pötschke, P. Polypropylene-based melt mixed composites with singlewalled carbon nanotubes for thermoelectric applications: Switching from p-type to n-type by the addition of polyethylene glycol. Polymer 2017, 108, 513–520. [Google Scholar] [CrossRef]
- Luo, J.; Krause, B.; Pötschke, P. Polymer—Carbon nanotube composites for thermoelectric applications. AIP Conf. Proc. 2017, 1914, 030001. [Google Scholar] [CrossRef] [Green Version]
- Pötschke, P.; Krause, B.; Luo, J. Melt mixed composites of polypropylene with single walled carbon nanotubes for thermoelectric applications: Switching from p- to n-type behavior by additive addition. AIP Conf. Proc. 2019, 2055, 090004. [Google Scholar] [CrossRef]
- Luo, J.; Krause, B.; Pötschke, P. Melt-mixed thermoplastic composites containing carbon nanotubes for thermoelectric applications. AIMS Mater. Sci. 2016, 3, 1107–1116. [Google Scholar] [CrossRef]
- Piao, M.; Alam, M.R.; Kim, G.; Dettlaff-Weglikowska, U.; Roth, S. Effect of chemical treatment on the thermoelectric properties of single walled carbon nanotube networks. Phys. Status Solidi (b) 2012, 249, 2353–2356. [Google Scholar] [CrossRef]
- Dörling, B.; Sandoval, S.; Kankla, P.; Fuertes, A.; Tobias, G.; Campoy-Quiles, M. Exploring different doping mechanisms in thermoelectric polymer/carbon nanotube composites. Synth. Met. 2017, 225, 70–75. [Google Scholar] [CrossRef] [Green Version]
- Yeontack Ryu, D.F.; Yu, C. High electrical conductivity and n-type thermopower from double-/single-wall carbon nanotubes by manipulating charge interactions between nanotubes and organic/inorganic nanomaterials. Carbon 2011, 49, 4745–4751. [Google Scholar] [CrossRef]
- Brownlie, L.; Shapter, J. Advances in carbon nanotube n-type doping: Methods, analysis and applications. Carbon 2018, 126, 257–270. [Google Scholar] [CrossRef] [Green Version]
- Krause, B.; Barbier, C.; Levente, J.; Klaus, M.; Pötschke, P. Screening of different carbon nanotubes in melt-mixed polymer composites with different polymer matrices for their thermoelectric properties. J. Compos. Sci. 2019, 3, 106. [Google Scholar] [CrossRef] [Green Version]
- Paleo, A.J.; Vieira, E.M.F.; Wan, K.; Bondarchuk, O.; Cerqueira, M.F.; Goncalves, L.M.; Bilotti, E.; Alpuim, P.; Rocha, A.M. Negative thermoelectric power of melt mixed vapor grown carbon nanofiber polypropylene composites. Carbon 2019, 150, 408–416. [Google Scholar] [CrossRef]
- Paleo, A.J.; Krause, B.; Cerqueira, M.F.; Melle-Franco, M.; Pötschke, P.; Rocha, A.M. Thermoelectric properties of polypropylene carbon nanofiber melt-mixed composites: Exploring the role of polymer on their Seebeck coefficient. Polym. J. 2021, 53, 1145–1152. [Google Scholar] [CrossRef]
- Waldmann, T.; Huang, H.; Hoster, H.; Höfft, O.; Endres, F.; Behm, R. Imaging an Ionic Liquid Adlayer by Scanning Tunneling Microscopy at the Solid|Vacuum Interface. Chemphyschem 2011, 12, 2565–2567. [Google Scholar] [CrossRef]
- Hapiot, P.; Lagrost, C. Electrochemical Reactivity in Room-Temperature Ionic Liquids. Chem. Rev. 2008, 108, 2238–2264. [Google Scholar] [CrossRef]
- Wheatley, P.S.; Allan, P.K.; Teat, S.J.; Ashbrook, S.E.; Morris, R.E. Task specific ionic liquids for the ionothermal synthesis of siliceous zeolites. Chem. Sci. 2010, 1, 483–487. [Google Scholar] [CrossRef]
- Han, Y.; Qiao, D.; Zhang, L.; Feng, D. Study of tribological performance and mechanism of phosphonate ionic liquids for steel/aluminum contact. Tribol. Int. 2015, 84, 71–80. [Google Scholar] [CrossRef]
- Torimoto, T.; Tsuda, T.; Okazaki, K.-I.; Kuwabata, S. New Frontiers in Materials Science Opened by Ionic Liquids. Adv. Mater. 2010, 22, 1196–1221. [Google Scholar] [CrossRef]
- Walden, P. Ueber die Molekulargrösse und elektrische Leitfähigkeit einiger geschmolzener Salze (Molecular weights and elec-trical conductivity of several fused salts). Bull. l’Acad. Impériale Sci. St.-Pétersbourg 1914, 8, 405–422. [Google Scholar]
- Socher, R. PA12-MWCNT-Nanokomposite: Wege zur Effektiven MWCNT-Dispergierung und zu Niedrigen Elektrischen Perkolationsschwellen. Ph.D Thesis, Technische Universität Dresden, München, Germany, 2013. [Google Scholar]
- Krause, B.; Predtechenskiy, M.; Ilin, E.; Pötschke, P. PP/SWCNT composites modified with ionic liquid. AIP Conf. Proc. 2017, 1914, 030008. [Google Scholar] [CrossRef] [Green Version]
- Zhao, L.; Li, Y.; Cao, X.; You, J.; Dong, W. Multifunctional role of an ionic liquid in melt-blended poly(methyl methacrylate)/multi-walled carbon nanotube nanocomposites. Nanotechnology 2012, 23, 255702. [Google Scholar] [CrossRef] [PubMed]
- Socher, R.; Krause, B.; Pötschke, P. Effect of additives on MWCNT dispersion and electrical percolation in polyamide 12 composites. AIP Conf. Proc. 2017, 1914, 030016. [Google Scholar] [CrossRef] [Green Version]
- Ke, K.; Pötschke, P.; Gao, S.; Voit, B. An Ionic Liquid as Interface Linker for Tuning Piezoresistive Sensitivity and Toughness in Poly(vinylidene fluoride)/Carbon Nanotube Composites. ACS Appl. Mater. Interfaces 2017, 9, 5437–5446. [Google Scholar] [CrossRef]
- Heger, A.; Dorschner, H.; Dunsch, L.; Ihme, B.; Lunkwitz, K. Technologie der Strahlenchemie von Polymeren; Lang, H., Ed.; Akademie: Berlin, Germany, 1991; Volume 42, p. 613. [Google Scholar]
- Pospiech, D.; Korwitz, A.; Komber, H.; Jehnichen, D.; Arnhold, K.; Brünig, H.; Scheibner, H.; Müller, M.T.; Voit, B. Polyesters with bio-based ferulic acid units: Crosslinking paves the way to property consolidation. Polym. Chem. 2021, 12, 5139–5148. [Google Scholar] [CrossRef]
- Müller, M.T.; Zschech, C.; Gohs, U. Electron beam generated polymer-backbone-hydroperoxides trigger the crosslinking of glass fibre polypropylene interphase. AIP Conf. Proc. 2019, 2065, 030026. [Google Scholar] [CrossRef]
- Khatiwada, S.P.; Gohs, U.; Lach, R.; Heinrich, G.; Adhikari, R. A New Way of Toughening of Thermoset by Dual-Cured Thermoplastic/Thermosetting Blend. Materials 2019, 12, 548. [Google Scholar] [CrossRef] [Green Version]
- Huang, Y.; Müller, M.T.; Boldt, R.; Zschech, C.; Gohs, U.; Wießner, S. Improved Rheology, Crystallization, and Mechanical Performance of PLA/mPCL Blends Prepared by Electron-Induced Reactive Processing. ACS Sustain. Chem. Eng. 2021, 9, 3478–3489. [Google Scholar] [CrossRef]
- Huang, Y.; Gohs, U.; Müller, M.T.; Zschech, C.; Wiessner, S. Evaluation of electron beam-induced crosslinking of poly(ε-caprolactone)—Effect of elevated temperatures. J. Appl. Polym. Sci. 2019, 136, 47866. [Google Scholar] [CrossRef]
- Gohs, U.; Mueller, M.T.; Zschech, C.; Zhandarov, S. Enhanced Interfacial Shear Strength and Critical Energy Release Rate in Single Glass Fiber-Crosslinked Polypropylene Model Microcomposites. Materials 2018, 11, 2552. [Google Scholar] [CrossRef] [PubMed] [Green Version]
- Müller, M.T.; Zschech, C.; Gedan-Smolka, M.; Pech, M.; Streicher, R.; Gohs, U. Surface modification and edge layer post curing of 3D sheet moulding compounds (SMC). Radiat. Phys. Chem. 2020, 173, 108872. [Google Scholar] [CrossRef]
- Zaharescu, T.; Setnescu, R.; Jipa, S.; Setnescu, T. Radiation processing of polyolefin blends. I. Crosslinking of EPDM–PP blends. J. Appl. Polym. Sci. 2000, 77, 982–987. [Google Scholar] [CrossRef]
- Rätzsch, M.; Arnold, M.; Borsig, E.; Bucka, H.; Reichelt, N. Radical reactions on polypropylene in the solid state. Prog. Polym. Sci. 2002, 27, 1195–1282. [Google Scholar] [CrossRef]
- Lazár, M.; Hrčková, L.U.; Borsig, E.; Marcinčin, A.; Reichelt, N.; Rätzsch, M. Course of degradation and build-up reactions in isotactic polypropylene during peroxide decomposition. J. Appl. Polym. Sci. 2000, 78, 886–893. [Google Scholar] [CrossRef]
- Lugão, A.B.; Hutzler, B.; Ojeda, T.; Tokumoto, S.; Siemens, R.; Makuuchi, K.; Villavicencio, A.L.C.H. Reaction mechanism and rheological properties of polypropylene irradiated under various atmospheres. Radiat. Phys. Chem. 2000, 57, 389–392. [Google Scholar] [CrossRef]
- Krause, B.; Voigt, D.; Lederer, A.; Auhl, D.; Münstedt, H. Determination of low amounts of long-chain branches in polypropylene using a combination of chromatographic and rheological methods. J. Chromatogr. A 2004, 1056, 217–222. [Google Scholar] [CrossRef]
- Auhl, D.; Stange, J.; Münstedt, H.; Krause, B.; Voigt, D.; Lederer, A.; Lappan, U.; Lunkwitz, K. Long-chain branched polypropylenes by electron beam irradiation and their rheological properties. Macromolecules 2004, 37, 9465–9472. [Google Scholar] [CrossRef]
- Krause, B.; Stephan, M.; Volkland, S.; Voigt, D.; Häussler, L.; Dorschner, H. Long-chain branching of polypropylene by electron-beam irradiation in the molten state. J. Appl. Polym. Sci. 2006, 99, 260–265. [Google Scholar] [CrossRef]
- Krause, B.; Häussler, L.; Voigt, D. Comparison of the molecular properties and morphology of polypropylenes irradiated under different atmospheres and after annealing. J. Appl. Polym. Sci. 2006, 100, 634–639. [Google Scholar] [CrossRef]
- Krause, B.; Voigt, D.; Haussler, L.; Auhl, D.; Munstedt, H. Characterization of electron beam irradiated polypropylene: Influence of irradiation temperature on molecular and rheological properties. J. Appl. Polym. Sci. 2006, 100, 2770–2780. [Google Scholar] [CrossRef]
- Zschech, C.; Miersch, F.; Gohs, U.; Heinrich, G. Elektroneninduzierte reaktive Aufbereitung von Polypropylen/Ethylen-Octen Copolymer Blends—Eine neue Methode zur Herstellung zähmodifizierten Polypropylens. Kunststofftechnik 2016, 12, 112–134. [Google Scholar] [CrossRef] [Green Version]
- Razavi Aghjeh, M.; Khonakdar, H.A.; Jafari, S.H.; Zschech, C.; Gohs, U.; Heinrich, G. Rheological, morphological and mechanical investigations on ethylene octene copolymer toughened polypropylene prepared by continuous electron induced reactive processing. RSC Adv. 2016, 6, 24651–24660. [Google Scholar] [CrossRef]
- Rola, K.P.; Zając, A.; Szpecht, A.; Kowal, D.; Cybińska, J.; Śmiglak, M.; Komorowska, K. Interaction of electron beam with ionic liquids and its application for micropatterning. Eur. Polym. J. 2021, 156, 110615. [Google Scholar] [CrossRef]
- Shkrob, I.A.; Marin, T.W.; Chemerisov, S.D.; Wishart, J.F. Radiation Induced Redox Reactions and Fragmentation of Constituent Ions in Ionic Liquids. 1. Anions. J. Phys. Chem. B 2011, 115, 3872–3888. [Google Scholar] [CrossRef]
- Shkrob, I.A.; Marin, T.W.; Chemerisov, S.D.; Hatcher, J.L.; Wishart, J.F. Radiation Induced Redox Reactions and Fragmentation of Constituent Ions in Ionic Liquids. 2. Imidazolium Cations. J. Phys. Chem. B 2011, 115, 3889–3902. [Google Scholar] [CrossRef]
- Xing, C.; Zhao, M.; Zhao, L.; You, J.; Cao, X.; Li, Y. Ionic liquid modified poly(vinylidene fluoride): Crystalline structures, miscibility, and physical properties. Polym. Chem. 2013, 4, 5726–5734. [Google Scholar] [CrossRef]
- Xing, C.; Wang, Y.; Zhang, C.; Li, L.; Li, Y.; Li, J. Immobilization of Ionic Liquids onto the Poly(vinylidene fluoride) by Electron Beam Irradiation. Ind. Eng. Chem. Res. 2015, 54, 9351–9359. [Google Scholar] [CrossRef]
- Xing, C.; Wang, Y.; Huang, X.; Li, Y.; Li, J. Poly(vinylidene fluoride) Nanocomposites with Simultaneous Organic Nanodomains and Inorganic Nanoparticles. Macromolecules 2016, 49, 1026–1035. [Google Scholar] [CrossRef]
- Krause, B.; Pötschke, P.; Ilin, E.; Predtechenskiy, M. Melt mixed SWCNT-polypropylene composites with very low electrical percolation. Polymer 2016, 98, 45–50. [Google Scholar] [CrossRef]
- Kunz, K.; Krause, B.; Kretzschmar, B.; Juhasz, L.; Kobsch, O.; Jenschke, W.; Ullrich, M.; Pötschke, P. Direction Dependent Electrical Conductivity of Polymer/Carbon Filler Composites. Polymers 2019, 11, 591. [Google Scholar] [CrossRef] [PubMed] [Green Version]
- Dorschner, H.; Jenschke, W.; Lunkwitz, K. Radiation field distributions of an industrial electron beam accelerator. Nucl. Instrum. Methods Phys. Res. Sect. B 2000, 161–163, 1154–1158. [Google Scholar] [CrossRef]
- Körber, H.; Lappan, U.; Geißler, U.; Lunkwitz, K.; Hanke, R. Physical and Chemical Modification Apparatus for Material Samples Comprises a Housing with a Radiation Beam Window, Sample Table on a Support and a Sample Pressure Applicator. Patent No. DE19930742, 15 February 2001. [Google Scholar]
- Jenschke, W.; Ullrich, M.; Krause, B.; Pötschke, P. Messanlage zur Untersuchung des Seebeck-Effektes in Polymermaterialien—Measuring apparatus for study of Seebeck-effect in polymer materials. Tech. Messen 2020, 87, 495–503. [Google Scholar] [CrossRef]
- Gnanaseelan, M.; Chen, Y.; Luo, J.; Krause, B.; Pionteck, J.; Pötschke, P.; Qi, H. Cellulose-carbon nanotube composite aerogels as novel thermoelectric materials. Compos. Sci. Technol. 2018, 163, 133–140. [Google Scholar] [CrossRef]
- Krause, B.; Barbier, C.; Kunz, K.; Pötschke, P. Comparative study of singlewalled, multiwalled, and branched carbon nanotubes melt mixed in different thermoplastic matrices. Polymer 2018, 159, 75–85. [Google Scholar] [CrossRef]
- Krause, B.; Rzeczkowski, P.; Pötschke, P. Thermal Conductivity and Electrical Resistivity of Melt-Mixed Polypropylene Composites Containing Mixtures of Carbon-Based Fillers. Polymers 2019, 11, 1073. [Google Scholar] [CrossRef] [Green Version]
- Krause, B.; Pötschke, P. Electrical and thermal conductivity of polypropylene filled with combinations of carbon fillers. AIP Conf. Proc. 2016, 1779, 040003. [Google Scholar]
- Wunderlich, B. Thermal Analysis; Academic Press: New York, NY, USA, 1990; p. 464. [Google Scholar]
- Pötschke, P.; Krause, B.; Luo, J. Melt-mixed thermoplastic polymer/carbon nanotube composites for thermoelectric applications. TechConnect Briefs 2018, 1, 196–199. [Google Scholar]
- Jam, J.E.; Ahangari, M. Study of the Mechanical, Thermal Properties and Morphology of Polypropylene Nanocomposites in the Presence of Compatibilizer. Polym.-Plast. Technol. Eng. 2012, 51, 1186–1192. [Google Scholar] [CrossRef]
- Biswas, S.; Muzata, T.S.; Krause, B.; Rzeczkowski, P.; Pötschke, P.; Bose, S. Does the Type of Polymer and Carbon Nanotube Structure Control the Electromagnetic Shielding in Melt-Mixed Polymer Nanocomposites? J. Compos. Sci. 2020, 4, 9. [Google Scholar] [CrossRef] [Green Version]
- Ganß, M.; Satapathy, B.K.; Thunga, M.; Weidisch, R.; Pötschke, P.; Jehnichen, D. Structural interpretations of deformation and fracture behavior of polypropylene/multi-walled carbon nanotube composites. Acta Mater. 2008, 56, 2247–2261. [Google Scholar] [CrossRef]
- Alig, I.; Pötschke, P.; Lellinger, D.; Skipa, T.; Pegel, S.; Kasaliwal, G.R.; Villmow, T. Establishment, morphology and properties of carbon nanotube networks in polymer melts. Polymer 2012, 53, 4–28. [Google Scholar] [CrossRef]
- Kasaliwal, G.; Göldel, A.; Pötschke, P. Influence of processing conditions in small-scale melt mixing and compression molding on the resistivity and morphology of polycarbonate–MWNT composites. J. Appl. Polym. Sci. 2009, 112, 3494–3509. [Google Scholar] [CrossRef]
- Mori, T.; Hara, T. Hybrid effect to possibly overcome the trade-off between Seebeck coefficient and electrical conductivity. Scr. Mater. 2016, 111, 44–48. [Google Scholar] [CrossRef]
- Kang, S.-W.; Kim, S.; Cho, C.; Choi, K. Experimental investigation of the dependence of the thermoelectric performance of carbon nanotubes/polymer nanocomposites on the synthesis protocol. Funct. Compos. Struct. 2020, 2, 035001. [Google Scholar] [CrossRef]
- Ahangari, M.G.; Fereidoon, A.; Jahanshahi, M.; Ganjic, M.D. Electronic and mechanical properties of single-walled carbon nanotubes interacting with epoxy: A DFT study. Physica E 2013, 48, 148–156. [Google Scholar] [CrossRef]
- Foa Torres, L.E.F.; Roche, S.; Charlier, J.-C. Introduction to Graphene-Based Nanomaterials: From Electronic Structure to Quantum Transport; Cambridge University Press: Cambridge, UK, 2014. [Google Scholar] [CrossRef]
- Noori, M.; Sadeghi, H.; Lambert, C.J. Stable-radicals increase the conductance and Seebeck coefficient of graphene nanoconstrictions. Nanoscale 2018, 10, 19220–19223. [Google Scholar] [CrossRef] [Green Version]











| Sample | Volume Resistivity before Irradiation [Ohm cm] | Volume Resistivity after Irradiation [Ohm cm] |
|---|---|---|
| PP-processed | 3.07 × 1017 | 1.11 × 1017 |
| PP/0.1 wt.% SWCNT | 7.72 × 104 | 6.48 × 105 |
| PP/1 wt.% SWCNT | 4.49 × 101 | 3.37 × 101 |
| PP/0.2 wt.% AMIM Cl | 1.03 × 1017 | 1.32 × 1017 |
| PP/1 wt.% AMIM Cl | 1.41 × 1017 | 3.23 × 1016 |
| PP/2 wt.% AMIM Cl | 1.25 × 1017 | 5.09 × 1011 |
| PP/0.1 wt.% SWCNT 0.2 wt.% AMIM Cl | 1.40 × 104 | 1.29 × 104 |
| PP/1 wt.% SWCNT+2 wt.% AMIM Cl | 1.12 × 101 | 1.63 × 101 |
| Sample | Tg [°C] | Tm [°C] | Tc,o [°C] | Tc,m [°C] | ∆Hm [J/g] | Xc [%] |
|---|---|---|---|---|---|---|
| PP-processed | −7.0 | 158.6 | 121.9 | 119.7 | 112.2 | 54.2 |
| PP-processed-EB | −7.0 | 156.9 | 121.9 | 119.8 | 113.3 | 54.7 |
| PP/2 wt.% AMIM Cl | −7.0 | 158.0 | 120.5 | 117.6 | 108.4 | 53.4 |
| PP/2 wt.% AMIM Cl-EB | −9.4 | 156.8 | 120.1 | 117.4 | 109.0 | 53.7 |
| PP/1 wt.% SWCNT | −8.1 | 161.6 | 137.6 | 134.2 | 116.0 | 56.6 |
| PP/1 wt.% SWCNT-EB | −10.3 | 160.8 | 137.5 | 134.1 | 115.6 | 56.4 |
| PP/1 wt.% SWCNT + 2 wt.% AMIM Cl | −7.1 | 161.4 | 137.6 | 134.2 | 113.9 | 56.7 |
| PP/1 wt.% SWCNT + 2 wt.% AMIM Cl-EB | −8.0 | 160.6 | 137.4 | 134.1 | 109.4 | 54.5 |
| Sample | Et [MPa] | σM [MPa] | εM [%] | σB [MPa] | εB [%] |
|---|---|---|---|---|---|
| PP-processed | 1823 ± 99 | 36.7 ± 0.5 | 8.2 ± 0.2 | 35.6 ± 0.4 | 11.1 ± 1.7 |
| PP-processed-EB | 1841 ± 121 | 36.7 ± 0.3 | 8.3 ± 0.1 | 32.8 ± 1.1 | 12.5 ± 1.7 |
| PP/0.2 wt.% AMIM Cl | 1718 ± 76 | 35.4 ± 0.5 | 8.4 ± 0.3 | 33.3 ± 1.0 | 12.3 ± 2.4 |
| PP/0.2 wt.% AMIM Cl-EB | 1711 ± 67 | 36.0 ± 0.6 | 8.0 ± 0.6 | 32.6 ± 3.3 | 10.6 ± 2.4 |
| PP/1 wt.% AMIM Cl | 1696 ± 82 | 34.9 ± 0.4 | 7.5 ± 0.3 | 30.8 ± 0.7 | 12.1 ± 3.6 |
| PP/1 wt.% AMIM Cl-EB | 1805 ± 91 | 35.4 ± 0.4 | 7.6 ± 0.3 | 30.3 ± 0.6 | 11.4 ± 2.9 |
| PP/2 wt.% AMIM Cl | 1726 ± 57 | 33.0 ± 0.6 | 6.5 ± 0.8 | 30.6 ± 2.0 | 10.0 ± 3.8 |
| PP/2 wt.% AMIM Cl-EB | 1727 ± 107 | 34.7 ± 0.4 | 6.9 ± 0.5 | 33.2 ± 1.4 | 9.6 ± 2.9 |
| PP/0.1 wt.% SWCNT | 1947 ± 63 | 35.8 ± 0.7 | 9.5 ± 0.8 | =σM | =εM |
| PP/0.1 wt.% SWCNT-EB | 2019 ± 55 | 36.9 ± 0.6 | 8.6 ± 0.9 | =σM | =εM |
| PP/0.5 wt.% SWCNT | 2186 ± 59 | 38.4 ± 0.7 | 6.0 ± 0.9 | =σM | =εM |
| PP/0.5 wt.% SWCNT-EB | 2033 ± 76 | 37.1 ±1.6 | 5.4 ± 1.0 | =σM | =εM |
| PP/1 wt.% SWCNT | 2276 ± 54 | 39.0 ± 1.2 | 5.4 ± 0.7 | =σM | =εM |
| PP/1 wt.% SWCNT-EB | 2218 ± 82 | 41.1 ± 0.8 | 6.0 ± 0.6 | =σM | =εM |
| PP/0.1 wt.% SWCNT + 0.2 wt.% AMIM Cl | 2050 ± 42 | 37.3 ± 0.5 | 8.3 ± 0.6 | =σM | =εM |
| PP/0.1 wt.% SWCNT + 0.2 wt.% AMIM Cl-EB | 1980 ±92 | 36.8 ± 0.5 | 8.3 ± 1.3 | =σM | =εM |
| PP/0.5 wt.% SWCNT + 1 wt.% AMIM Cl | 2059 ± 68 | 37.2 ± 0.5 | 6.7 ± 1.0 | =σM | =εM |
| PP/0.5 wt.% SWCNT + 1 wt.% AMIM Cl-EB | 2254 ± 65 | 38.2 ± 0.8 | 6.0 ± 0.7 | =σM | =εM |
| PP/1 wt.% SWCNT + 2 wt.% AMIM Cl | 2155 ± 126 | 37.7 ± 1.1 | 5.4 ± 0.6 | =σM | =εM |
| PP/1 wt.% SWCNT + 2 wt.% AMIM Cl-EB | 2087 ± 116 | 35.4 ± 2.5 | 4.4 ± 0.9 | =σM | =εM |
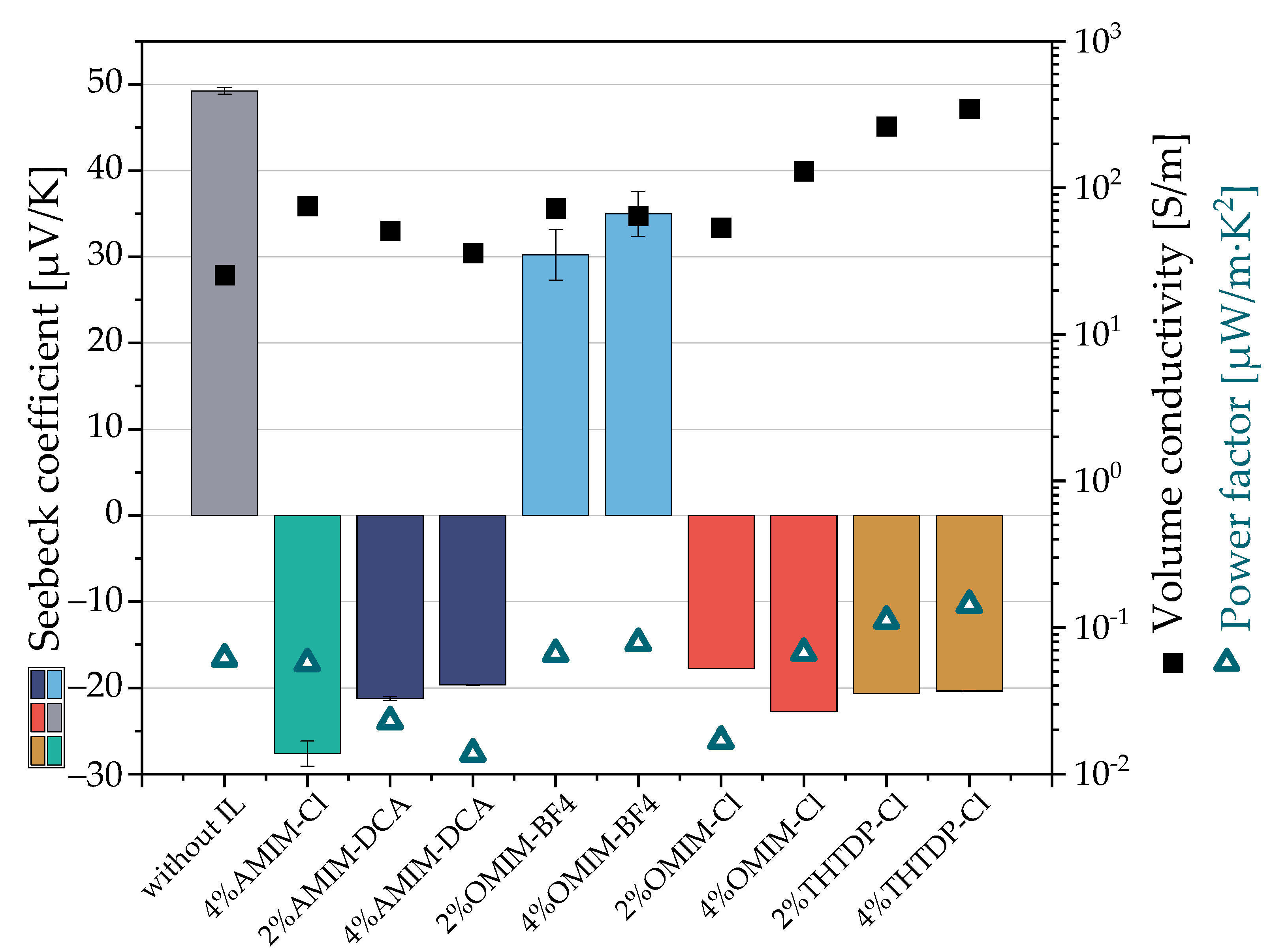
| Sample | Seebeck Coefficient S [µV/K] | Volume Conductivity [S/m] | Power Factor PF [µW/m·K2] | Figure of Merit ZT [-] |
|---|---|---|---|---|
| PP/2 wt.% SWCNT | +49.3 | 3.39 × 101 | 0.082 | 1.17 × 10−4 |
| PP/2 wt.% SWCNT + 4 wt.% AMIM Cl | −27.6 | 7.50 × 101 | 0.057 | 8.15 × 10−5 |
| PP/2 wt.% SWCNT + 2 wt.% AMIM DCA | −21.2 | 5.10 × 101 | 0.023 | 3.27 × 10−5 |
| PP/2 wt.% SWCNT + 4 wt.% AMIM DCA | −19.7 | 3.57 × 101 | 0.014 | 1.97 × 10−5 |
| PP/2 wt.% SWCNT + 2 wt.% OMIM BF4 | +30.2 | 7.27 × 101 | 0.066 | 9.43 × 10−5 |
| PP/2 wt.% SWCNT + 4 wt.% OMIM BF4 | +35.0 | 6.43 × 101 | 0.079 | 1.12 × 10−4 |
| PP/2 wt.% SWCNT + 2 wt.% OMIM Cl | −17.8 | 5.37 × 101 | 0.017 | 2.41 × 10−5 |
| PP/2 wt.% SWCNT + 4 wt.% OMIM Cl | −22.8 | 1.40 × 102 | 0.067 | 9.58 × 10−5 |
| PP/2 wt.% SWCNT + 2 wt.% THTDP Cl | −20.7 | 2.62 × 102 | 0.112 | 1.59 × 10−4 |
| PP/2 wt.% SWCNT + 4 wt.% THTDP Cl | −20.4 | 3.46 × 102 | 0.143 | 2.04 × 10−4 |
| Sample PP/1 wt.% SWCNT Pressing Time | Seebeck Coefficient S [µV/K] | Volume Conductivity [S/m] | Power Factor PF [µW/mK2] | Figure of Merit ZT [-] |
|---|---|---|---|---|
| 2 min | 46.6 | 0.29 | 6.25 × 10−4 | 6.99 × 10−7 |
| 5 min | 39.9 | 2.72 | 4.33 × 10−3 | 4.84 × 10−6 |
| 10 min | 40.0 | 2.46 | 3.94 × 10−3 | 4.41 × 10−6 |
| 20 min | 35.4 | 3.87 | 4.83 × 10−3 | 5.41 × 10−6 |
| 30 min | 30.1 | 4.72 | 4.26 × 10−3 | 4.77 × 10−6 |
| Sample PP/1 wt.% SWCNT Irradiation Dose | Seebeck Coefficient S [µV/K] | Volume Conductivity [S/m] | Power Factor PF [µW/mK2] | Figure of Merit ZT [-] |
|---|---|---|---|---|
| 0 kGy | 33.5 | 4.28 | 4.78 × 10−3 | 5.35 × 10−6 |
| 18 kGy | 38.5 | 1.89 | 2.80 × 10−3 | 3.13 × 10−6 |
| 36 kGy | 40.6 | 3.87 | 6.35 × 10−3 | 7.11 × 10−6 |
| 54 kGy | 41.9 | 3.45 | 6.05 × 10−3 | 6.76 × 10−6 |
| 72 kGy | 41.4 | 4.88 | 8.35 × 10−3 | 9.34 × 10−6 |
| Sample | Seebeck Coefficient S [µV/K] | Volume Conductivity [S/m] | Power Factor PF [µW/mK2] | Figure of Merit ZT [-] |
|---|---|---|---|---|
| PP/1 wt.% SWCNT + 2 wt.% AMIM Cl | −16.3 | 2.38 × 10−1 | 0.006 | 6.84 × 10−6 |
| PP/1 wt.% SWCNT + 2 wt.% AMIM Cl-EB | −10.1 | 2.21 × 10−1 | 0.002 | 2.35 × 10−6 |
Publisher’s Note: MDPI stays neutral with regard to jurisdictional claims in published maps and institutional affiliations. |
© 2022 by the authors. Licensee MDPI, Basel, Switzerland. This article is an open access article distributed under the terms and conditions of the Creative Commons Attribution (CC BY) license (https://creativecommons.org/licenses/by/4.0/).
Share and Cite
Voigt, O.; Krause, B.; Pötschke, P.; Müller, M.T.; Wießner, S. Thermoelectric Performance of Polypropylene/Carbon Nanotube/Ionic Liquid Composites and Its Dependence on Electron Beam Irradiation. J. Compos. Sci. 2022, 6, 25. https://doi.org/10.3390/jcs6010025
Voigt O, Krause B, Pötschke P, Müller MT, Wießner S. Thermoelectric Performance of Polypropylene/Carbon Nanotube/Ionic Liquid Composites and Its Dependence on Electron Beam Irradiation. Journal of Composites Science. 2022; 6(1):25. https://doi.org/10.3390/jcs6010025
Chicago/Turabian StyleVoigt, Oliver, Beate Krause, Petra Pötschke, Michael T. Müller, and Sven Wießner. 2022. "Thermoelectric Performance of Polypropylene/Carbon Nanotube/Ionic Liquid Composites and Its Dependence on Electron Beam Irradiation" Journal of Composites Science 6, no. 1: 25. https://doi.org/10.3390/jcs6010025
APA StyleVoigt, O., Krause, B., Pötschke, P., Müller, M. T., & Wießner, S. (2022). Thermoelectric Performance of Polypropylene/Carbon Nanotube/Ionic Liquid Composites and Its Dependence on Electron Beam Irradiation. Journal of Composites Science, 6(1), 25. https://doi.org/10.3390/jcs6010025

