The Use of Agricultural Waste in the Modification of Poly(lactic acid)-Based Composites Intended for 3D Printing Applications. The Use of Toughened Blend Systems to Improve Mechanical Properties
Abstract
:1. Introduction
2. Experimental Section
2.1. Materials
2.2. Sample Preparation
2.3. Properties Examination
2.3.1. Rotational Rheometer Measurements
2.3.2. Thermal Properties Analysis
2.3.3. Thermomechanical Measurements
2.3.4. Mechanical Properties Measurements
2.3.5. Microscopic Observations
3. Results and Discussion
3.1. Rheological Characteristic—Rotational Rheometer Test
3.2. Thermal Properties—DSC Measurements
3.3. Thermomechanical Properties—DMTA Analysis
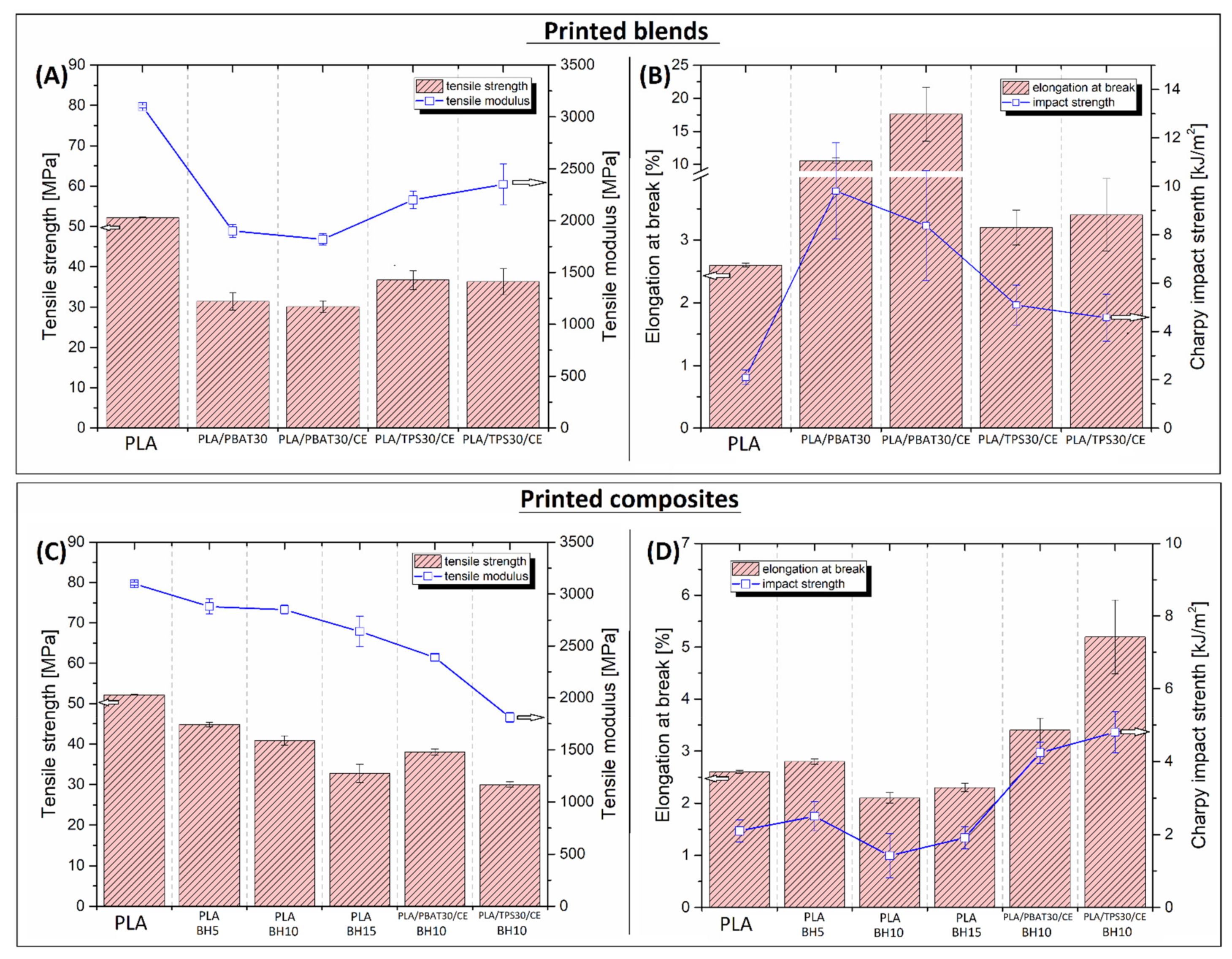
3.4. Mechanical Properties—Static Tensile Test, Charpy Impact Resistance
3.5. Structure Appearance—SEM Observations
4. Conclusions
Supplementary Materials
Author Contributions
Funding
Institutional Review Board Statement
Informed Consent Statement
Acknowledgments
Conflicts of Interest
References
- Farah, S.; Anderson, D.G.; Langer, R. Physical and mechanical properties of PLA, and their functions in widespread applications—A comprehensive review. Adv. Drug Deliv. Rev. 2016, 107, 367–392. [Google Scholar] [CrossRef] [Green Version]
- Muthuraj, R.; Misra, M.; Mohanty, A.K. Biodegradable compatibilized polymer blends for packaging applications: A literature review. J. Appl. Polym. Sci. 2018, 135, 45726. [Google Scholar] [CrossRef] [Green Version]
- Auras, R.; Harte, B.; Selke, S. An Overview of Polylactides as Packaging Materials. Macromol. Biosci. 2004, 4, 835–864. [Google Scholar] [CrossRef]
- Jiang, L.; Wolcott, M.P.; Zhang, J. Study of biodegradable polylactide/poly(butylene adipate-co-terephthalate) blends. Biomacromolecules 2006, 7, 199–207. [Google Scholar] [CrossRef]
- Al-Ansari, T.; Govindan, R.; Korre, A.; Nie, Z.; Shah, N. An Energy, Water and Food Nexus Approach Aiming to Enhance Food Production Systems Through CO2 Fertilization; Elsevier Masson SAS: Amsterdam, The Netherlands, 2018; Volume 43, ISBN 9780444642356. [Google Scholar]
- Ghazaryan, G.; Schaller, R.; Feldman, K.; Tervoort, T.A. Rejuvenation of PLLA: Effect of plastic deformation and orientation on physical ageing in poly(l-lactic acid) films. J. Polym. Sci. Part B Polym. Phys. 2016, 54, 2233–2244. [Google Scholar] [CrossRef]
- Van Melick, H.G.H.; Govaert, L.E.; Meijer, H.E.H. Localisation phenomena in glassy polymers: Influence of thermal and mechanical history. Polymer 2003, 44, 3579–3591. [Google Scholar] [CrossRef]
- Xie, L.; Xu, H.; Niu, B.; Ji, X.; Chen, J.; Li, Z.M.; Hsiao, B.S.; Zhong, G.J. Unprecedented access to strong and ductile poly(lactic acid) by introducing in situ nanofibrillar poly(butylene succinate) for green packaging. Biomacromolecules 2014, 15, 4054–4064. [Google Scholar] [CrossRef]
- Voznyak, Y.; Morawiec, J.; Galeski, A. Ductility of polylactide composites reinforced with poly(butylene succinate) nanofibers. Compos. Part A Appl. Sci. Manuf. 2016, 90, 218–224. [Google Scholar] [CrossRef]
- Benwood, C.; Anstey, A.; Andrzejewski, J.; Misra, M.; Mohanty, A.K. Improving the Impact Strength and Heat Resistance of 3D Printed Models: Structure, Property, and Processing Correlationships during Fused Deposition Modeling (FDM) of Poly(Lactic Acid). ACS Omega 2018, 3, 4400–4411. [Google Scholar] [CrossRef]
- Murariu, M.; Dechief, A.L.; Paint, Y.; Peeterbroeck, S.; Bonnaud, L.; Dubois, P. Polylactide (PLA)-Halloysite Nanocomposites: Production, Morphology and Key-Properties. J. Polym. Environ. 2012, 20, 932–943. [Google Scholar] [CrossRef]
- Salehiyan, R.; Nofar, M.; Malkappa, K.; Ray, S.S. Effect of nanofillers characteristics and their selective localization on morphology development and rheological properties of melt-processed polylactide/poly(butylene adipate-co-terephthalate) blend composites. Polym. Eng. Sci. 2020, 60, 2749–2760. [Google Scholar] [CrossRef]
- He, H.; Liu, B.; Xue, B.; Zhang, H. Study on structure and properties of biodegradable PLA/PBAT/organic-modified MMT nanocomposites. J. Thermoplast. Compos. Mater. 2019, 0892705719890907. [Google Scholar] [CrossRef]
- Zaaba, N.F.; Ismail, H. A review on tensile and morphological properties of poly (lactic acid) (PLA)/thermoplastic starch (TPS) blends. Polym. Technol. Mater. 2019, 58, 1945–1964. [Google Scholar] [CrossRef]
- Saeidlou, S.; Huneault, M.A.; Li, H.; Park, C.B. Poly(lactic acid) crystallization. Prog. Polym. Sci. 2012, 37, 1657–1677. [Google Scholar] [CrossRef]
- Liu, H.; Zhang, J. Research progress in toughening modification of poly(lactic acid). J. Polym. Sci. Part B Polym. Phys. 2011, 49, 1051–1083. [Google Scholar] [CrossRef]
- Nagarajan, V.; Mohanty, A.K.; Misra, M. Perspective on Polylactic Acid (PLA) based Sustainable Materials for Durable Applications: Focus on Toughness and Heat Resistance. ACS Sustain. Chem. Eng. 2016, 4, 2899–2916. [Google Scholar] [CrossRef]
- Koning, C.; Van Duin, M.; Pagnoulle, C.; Jerome, R. Strategies for compatibilization of polymer blends. Prog. Polym. Sci. 1998, 23, 707–757. [Google Scholar] [CrossRef]
- Grignard, B.; Gennen, S.; Jérôme, C.; Kleij, A.W.; Detrembleur, C. Advances in the use of CO2 as a renewable feedstock for the synthesis of polymers. Chem. Soc. Rev. 2019, 48, 4466–4514. [Google Scholar] [CrossRef] [PubMed]
- Zhang, K.; Nagarajan, V.; Misra, M.; Mohanty, A.K. Supertoughened Renewable PLA Reactive Multiphase Blends System: Phase Morphology and Performance. ASC Appl. Mater. Interfaces 2014, 6, 12436–12448. [Google Scholar] [CrossRef] [PubMed]
- Zolali, A.M.; Favis, B.D. Toughening of Cocontinuous Polylactide/Polyethylene Blends via an Interfacially Percolated Intermediate Phase. Macromolecules 2018, 51, 3572–3581. [Google Scholar] [CrossRef]
- Chen, Q.; Shan, P.; Tong, C.; Yan, D.; Zhang, Y.; Liu, H.; Hao, C. Influence of reactive blending temperature on impact toughness and phase morphologies of PLA ternary blend system containing magnesium ionomer. J. Appl. Polym. Sci. 2019, 136, 47682. [Google Scholar] [CrossRef]
- Yuryev, Y.; Mohanty, A.K.; Misra, M. A New Approach to Supertough Poly(lactic acid): A High Temperature Reactive Blending. Macromol. Mater. Eng. 2016, 301, 1443–1453. [Google Scholar] [CrossRef]
- Jin, F.L.; Hu, R.R.; Park, S.J. Improvement of thermal behaviors of biodegradable poly(lactic acid) polymer: A review. Compos. Part B Eng. 2019, 164, 287–296. [Google Scholar] [CrossRef]
- Formela, K.; Zedler, L.; Hejna, A.; Tercjak, A. Reactive extrusion of bio-based polymer blends and composites–current trends and future developments. Express Polym. Lett. 2018, 12, 24–57. [Google Scholar] [CrossRef]
- Przybysz-Romatowska, M.; Haponiuk, J.; Formela, K. Poly(ε-caprolactone)/poly(lactic acid) blends compatibilized by peroxide initiators: Comparison of two strategies. Polymers 2020, 12, 228. [Google Scholar] [CrossRef] [Green Version]
- Pan, H.; Li, Z.; Yang, J.; Li, X.; Ai, X.; Hao, Y.; Zhang, H.; Dong, L. The effect of MDI on the structure and mechanical properties of poly(lactic acid) and poly(butylene adipate- co -butylene terephthalate) blends. RSC Adv. 2018, 8, 4610–4623. [Google Scholar] [CrossRef] [Green Version]
- Wu, F.; Misra, M.; Mohanty, A.K. Studies on why the heat deflection temperature of polylactide bioplastic cannot be improved by overcrosslinking. Polym. Cryst. 2019, 2, e10088. [Google Scholar] [CrossRef]
- Imre, B.; Pukánszky, B. Compatibilization in bio-based and biodegradable polymer blends. Eur. Polym. J. 2013, 49, 1215–1233. [Google Scholar] [CrossRef] [Green Version]
- Andrzejewski, J.; Cheng, J.; Anstey, A.; Mohanty, A.K.; Misra, M. Development of Toughened Blends of Poly(lactic acid) (PLA) and Poly(butylene adipate-co-terephthalate) (PBAT) for 3D Printing Applications: Compatibilization Methods and Material Performance Evaluation. ASC Sustain. Chem. Eng. 2020, 8, 6576–6589. [Google Scholar] [CrossRef]
- Andrzejewski, J.; Skórczewska, K.; Klozinski, A. Improving the toughness and thermal resistance of polyoxymethylene/poly(lactic acid) blends: Evaluation of structure-properties correlation for reactive processing. Polymers 2020, 12, 307. [Google Scholar] [CrossRef] [Green Version]
- Qahtani, M.; Wu, F.; Misra, M.; Gregori, S.; Mielewski, D.F.; Mohanty, A.K. Experimental Design of Sustainable 3D Printed Poly(Lactic Acid) (PLA)/Biobased Poly(Butylene Succinate) (BioPBS) Blends via Fused Deposition Modelling. ACS Sustain. Chem. Eng. 2019, 7, 14460–14470. [Google Scholar] [CrossRef] [Green Version]
- Li, Y.; Luo, Z.; Yang, L.; Li, X.; Xiang, K. Study on surface properties of aramid fiber modified in supercritical carbon dioxide by glycidyl-POSS. Polymers 2019, 11, 700. [Google Scholar] [CrossRef] [Green Version]
- Hu, C.; Ruan, R.; Wang, W.; Gao, A.; Xu, L. Electrochemical grafting of poly(glycidyl methacrylate) on a carbon-fibre surface. RSC Adv. 2020, 10, 10599–10605. [Google Scholar] [CrossRef]
- Wu, H.; Hao, M. Strengthening and toughening of polylactide/sisal fiber biocomposites via in-situ reaction with epoxy-functionalized oligomer and poly (butylene-adipate-terephthalate). Polymers 2019, 11, 1747. [Google Scholar] [CrossRef] [PubMed] [Green Version]
- Hao, M.; Wu, H.; Zhu, Z. In situ reactive interfacial compatibilization of polylactide/sisal fiber biocomposites via melt-blending with an epoxy-functionalized terpolymer elastomer. RSC Adv. 2017, 7, 32399–32412. [Google Scholar] [CrossRef] [Green Version]
- Andrzejewski, J.; Nowakowski, M. Development of Toughened Flax Fiber Reinforced Composites. Modification of Poly(lactic acid)/Poly(butylene adipate-co-terephthalate) Blends by Reactive Extrusion Process. Materials 2021, 14, 1523. [Google Scholar] [CrossRef] [PubMed]
- Lee, P.-C.; Kuo, W.-F.; Chang, F.-C. In situ compatibilization of PBT/ABS blends through reactive copolymers. Polymer 1994, 35, 5641–5650. [Google Scholar] [CrossRef]
- Li, Y.; Shimizu, H. Improvement in toughness of poly(l-lactide) (PLLA) through reactive blending with acrylonitrile-butadiene-styrene copolymer (ABS): Morphology and properties. Eur. Polym. J. 2009, 45, 738–746. [Google Scholar] [CrossRef]
- Le Duigou, A.; Castro, M.; Bevan, R.; Martin, N. 3D printing of wood fibre biocomposites: From mechanical to actuation functionality. Mater. Des. 2016, 96, 106–114. [Google Scholar] [CrossRef]
- Bourmaud, A.; Baley, C. Effects of thermo mechanical processing on the mechanical properties of biocomposite flax fibers evaluated by nanoindentation. Polym. Degrad. Stab. 2010, 95, 1488–1494. [Google Scholar] [CrossRef]
- Carruthers, J.; Quarshie, R. Technology Overview Biocomposites, Executive Summary; Knowledge Transfer Network: Edinburgh, UK, 2014; Volume 70. [Google Scholar]
- Wendel, B.; Rietzel, D.; Kühnlein, F.; Feulner, R.; Hülder, G.; Schmachtenberg, E. Additive processing of polymers. Macromol. Mater. Eng. 2008, 293, 799–809. [Google Scholar] [CrossRef]
- Seppala, J.E.; Hoon Han, S.; Hillgartner, K.E.; Davis, C.S.; Migler, K.B. Weld formation during material extrusion additive manufacturing. Soft Matter 2017, 13, 6761–6769. [Google Scholar] [CrossRef]
- Bell, C. 3D Printing with Delta Printers; Apress: New York, NY, USA, 2015; pp. 1–333. [Google Scholar] [CrossRef]
- Shah, J.; Snider, B.; Clarke, T.; Kozutsky, S.; Lacki, M.; Hosseini, A. Large-scale 3D printers for additive manufacturing: Design considerations and challenges. Int. J. Adv. Manuf. Technol. 2019, 104, 3679–3693. [Google Scholar] [CrossRef]
- Lim, C.W.J.; Le, K.Q.; Lu, Q.; Wong, C.H. An Overview of 3D Printing in Manufacturing, Aerospace, and Automotive Industries. IEEE Potentials 2016, 35, 18–22. [Google Scholar] [CrossRef]
- Clifton, W.; Nottmeier, E.; Damon, A.; Dove, C.; Pichelmann, M. The Future of Biomechanical Spine Research: Conception and Design of a Dynamic 3D Printed Cervical Myelography Phantom. Cureus 2019, 11, e4591. [Google Scholar] [CrossRef] [Green Version]
- Gaget, L. How Does the Film Industry Use 3D Printing? Available online: https://www.sculpteo.com/blog/2018/05/25/how-does-the-film-industry-use-3d-printing/ (accessed on 8 March 2021).
- Berman, B. 3D printing: The new industrial revolution. Bus. Horiz. 2012, 55, 155–162. [Google Scholar] [CrossRef]
- Tao, Y.; Wang, H.; Li, Z.; Li, P.; Shi, S.Q. Development and application ofwood flour-filled polylactic acid composite filament for 3D printing. Materials 2017, 10, 339. [Google Scholar] [CrossRef] [PubMed] [Green Version]
- Bi, H.; Ren, Z.; Guo, R.; Xu, M.; Song, Y. Fabrication of flexible wood flour/thermoplastic polyurethane elastomer composites using fused deposition molding. Ind. Crop. Prod. 2018, 122, 76–84. [Google Scholar] [CrossRef]
- Xu, W.; Pranovich, A.; Uppstu, P.; Wang, X.; Kronlund, D.; Hemming, J.; Öblom, H.; Moritz, N.; Preis, M.; Sandler, N.; et al. Novel biorenewable composite of wood polysaccharide and polylactic acid for three dimensional printing. Carbohydr. Polym. 2018, 187, 51–58. [Google Scholar] [CrossRef] [PubMed]
- Vaidya, A.A.; Collet, C.; Gaugler, M.; Lloyd-Jones, G. Integrating softwood biorefinery lignin into polyhydroxybutyrate composites and application in 3D printing. Mater. Today Commun. 2019, 19, 286–296. [Google Scholar] [CrossRef]
- Mathur, R. 3D printing in architecture. Int. J. Innov. Sci. Eng. Technol. 2016, 3, 583–591. [Google Scholar]
- Wang, F.Y.; Dai, L.; Ge, T.T.; Yue, C.B.; Song, Y.M. A-Methylstyrene-Assisted Maleic Anhydride Grafted Poly(Lactic Acid) As an Effective Compatibilizer Affecting Properties of Microcrystalline Cellulose/Poly(Lactic Acid) Composites. Express Polym. Lett. 2020, 14, 530–541. [Google Scholar] [CrossRef]
- Dan-Mallam, Y.; Abdullah, M.Z.; Yusoff, P.S.M.M. The effect of hybridization on mechanical properties of woven kenaf fiber reinforced polyoxymethylene composite. Polym. Compos. 2014, 35, 1900–1910. [Google Scholar] [CrossRef]
- Suchaiya, V.; Aht-Ong, D. Effect of microcrystalline cellulose from banana stem fiber on mechanical properties and cystallinity of PLA composite films. Mater. Sci. Forum 2011, 695, 170–173. [Google Scholar] [CrossRef]
- Anese, M.; Nicoli, M.C.; Massini, R.; Lerici, C.R. Effects of drying processing on the Maillard reaction in pasta. Food Res. Int. 1999, 32, 193–199. [Google Scholar] [CrossRef]
- Latos-Brozio, M.; Masek, A. The application of natural food colorants as indicator substances in intelligent biodegradable packaging materials. Food Chem. Toxicol. 2020, 135, 110975. [Google Scholar] [CrossRef]
- Chun, K.S.; Husseinsyah, S.; Osman, H. Mechanical and thermal properties of coconut shell powder filled polylactic acid biocomposites: Effects of the filler content and silane coupling agent. J. Polym. Res. 2012, 19, 9859. [Google Scholar] [CrossRef]
- Ibitoye, E.B.; Lokman, I.H.; Hezmee, M.N.M.; Goh, Y.M.; Zuki, A.B.Z.; Jimoh, A.A. Extraction and physicochemical characterization of chitin and chitosan isolated from house cricket. Biomed. Mater. 2018, 13, 025009. [Google Scholar] [CrossRef] [Green Version]
- Singh, S.; Singh, G.; Prakash, C.; Ramakrishna, S.; Lamberti, L.; Pruncu, C.I. 3D printed biodegradable composites: An insight into mechanical properties of PLA/chitosan scaffold. Polym. Test. 2020, 89, 106722. [Google Scholar] [CrossRef]
- Garlotta, D. A Literature Review of Poly(Lactic Acid). J. Polym. Environ. 2001, 9, 63–84. [Google Scholar] [CrossRef]
- Fischer, E.W.; Sterzel, H.J.; Wegner, G. Investigation of the structure of solution grown crystals of lactide copolymers by means of chemical reactions. Kolloid-Z. Und Z. Für Polym. 1973, 251, 980–990. [Google Scholar] [CrossRef]
- Zhou, S.Y.; Huang, H.D.; Ji, X.; Yan, D.X.; Zhong, G.J.; Hsiao, B.S.; Li, Z.M. Super-Robust Polylactide Barrier Films by Building Densely Oriented Lamellae Incorporated with Ductile in Situ Nanofibrils of Poly(butylene adipate- co -terephthalate). ACS Appl. Mater. Interfaces 2016, 8, 8096–8109. [Google Scholar] [CrossRef]
- Sangeetha, V.H.; Valapa, R.B.; Nayak, S.K.; Varghese, T.O. Investigation on the Influence of EVA Content on the Mechanical and Thermal Characteristics of Poly(lactic acid) Blends. J. Polym. Environ. 2018, 26, 1–14. [Google Scholar] [CrossRef]
- Jia, S.; Yu, D.; Zhu, Y.; Wang, Z.; Chen, L.; Fu, L. Morphology, crystallization and thermal behaviors of PLA-based composites: Wonderful effects of hybrid GO/PEG via dynamic impregnating. Polymers 2017, 9, 528. [Google Scholar] [CrossRef] [Green Version]
- Nakayama, D.; Wu, F.; Mohanty, A.K.; Hirai, S.; Misra, M. Biodegradable Composites Developed from PBAT/PLA Binary Blends and Silk Powder: Compatibilization and Performance Evaluation. ACS Omega 2018, 3, 12412–12421. [Google Scholar] [CrossRef] [Green Version]
- Nunes, E.d.C.D.; de Souza, A.G.; Rosa, D.d.S. Effect of the Joncryl® ADR Compatibilizing Agent in Blends of Poly(butylene adipate-co-terephthalate)/Poly(lactic acid). Macromol. Symp. 2019, 383, 1800035. [Google Scholar] [CrossRef] [Green Version]
- Abdelwahab, M.A.; Taylor, S.; Misra, M.; Mohanty, A.K. Thermo-mechanical characterization of bioblends from polylactide and poly(butylene adipate-co-terephthalate) and lignin. Macromol. Mater. Eng. 2015, 300, 299–311. [Google Scholar] [CrossRef]
- Wang, X.; Peng, S.; Chen, H.; Yu, X.; Zhao, X. Mechanical properties, rheological behaviors, and phase morphologies of high-toughness PLA/PBAT blends by in-situ reactive compatibilization. Compos. Part B Eng. 2019, 173, 107028. [Google Scholar] [CrossRef]
- Andrzejewski, J.; Krawczak, A.; Wesoły, K.; Szostak, M. Rotational molding of biocomposites with addition of buckwheat husk filler. Structure-property correlation assessment for materials based on polyethylene (PE) and poly(lactic acid) PLA. Compos. Part B Eng. 2020, 202, 108410. [Google Scholar] [CrossRef]
- Andrzejewski, J.; Barczewski, M.; Szostak, M. Injection Molding of Highly Filled Polypropylene-based Biocomposites. Buckwheat Husk and Wood Flour Filler: A Comparison of Agricultural and Wood Industry Waste Utilization. Polymers 2019, 11, 1881. [Google Scholar] [CrossRef] [Green Version]
- Yang, T.-C.; Yeh, C.-H. Morphology and Mechanical Properties of 3D Printed Wood Fiber/Polylactic Acid Composite Parts Using. Polymers 2020, 12, 1334. [Google Scholar] [CrossRef]
- Liu, Z.; Lei, Q.; Xing, S. Mechanical characteristics of wood, ceramic, metal and carbon fiber-based PLA composites fabricated by FDM. J. Mater. Res. Technol. 2019, 8, 3743–3753. [Google Scholar] [CrossRef]
- Stoof, D.; Pickering, K.; Zhang, Y. Fused Deposition Modelling of Natural Fibre/Polylactic Acid Composites. J. Compos. Sci. 2017, 1, 8. [Google Scholar] [CrossRef] [Green Version]
















| Sample | PLA | PBAT | TPS Blend | Chain Extender | BH Particles |
|---|---|---|---|---|---|
| % | % | % | pph | % | |
| Injection-molded samples | |||||
| PLA pure | 100 | - | - | - | - |
| PLA/PBAT10 | 90 | 10 | - | - | - |
| PLA/PBAT20 | 80 | 20 | - | - | - |
| PLA/PBAT30 | 70 | 30 | - | - | - |
| PLA/PBAT30/CE | 70 | 30 | - | 0.5 | - |
| PLA/TPS0 | 90 | - | 10 | - | - |
| PLA/TPS20 | 80 | - | 20 | - | - |
| PLA/TPS30 | 70 | - | 30 | - | - |
| PLA/TPS30/CE | 70 | - | 30 | 0.5 | - |
| FDM-printed samples | |||||
| PLA pure | 100 | - | - | - | - |
| PLA/PBAT30 | 70 | 30 | - | - | - |
| PLA/PBAT30/CE | 70 | 30 | - | 0.5 | - |
| PLA/TPS30 | 70 | - | 30 | - | - |
| PLA/TPS30/CE | 70 | - | 30 | 0.5 | - |
| PLA-BH5 | 95 | - | - | - | 5 |
| PLA-BH10 | 90 | - | - | - | 10 |
| PLA-BH15 | 85 | - | - | - | 15 |
| PLA/PBAT30/CE-BH10 | 0.56 | 0.24 | - | 0.5 | 10 |
| PLA/TPS30/CE-BH10 | 0.56 | - | 0.24 | 0.5 | 10 |
| Sample | ΔHcc [J/g] | ΔHm [J/g] | χc [%] |
|---|---|---|---|
| Injection molding | |||
| PLA pure | 37.5 | 44.1 | 7.1 |
| PLA/PBAT10 | 21.2 | 42.9 | 25.7 |
| PLA/PBAT20 | 19.4 | 39.0 | 26.2 |
| PLA/PBAT30 | 17.0 | 32.4 | 23.5 |
| PLA/PBAT30/CE | 16.6 | 33.3 | 19.8 |
| PLA/TPS10 | 24.2 | 43.3 | 22.7 |
| PLA/TPS20 | 18.8 | 37.7 | 25.3 |
| PLA/TPS30 | 13.1 | 33.2 | 30.7 |
| PLA/TPS30/CE | 16.0 | 32.0 | 18.9 |
| FDM printing | |||
| PLA pure | 41.3 | 48.4 | 7.5 |
| PLA/BH5 | 37.3 | 47.2 | 11.1 |
| PLA/BH10 | 32.5 | 46.6 | 16.8 |
| PLA/BH15 | 30.4 | 44.8 | 18.1 |
| PLA/PBAT30 | 19.9 | 36.7 | 25.7 |
| PLA/PBAT30/CE | 20.3 | 34.7 | 21.9 |
| PLA/PBAT30/CE-BH10 | 18.3 | 32.3 | 24.8 |
| PLA/TPS30 | 17.6 | 35.7 | 27.6 |
| PLA/TPS30/CE | 18.9 | 34.0 | 23.1 |
| PLA/TPS30/CE-BH | 19.5 | 33.9 | 25.6 |
| Tensile Test | Flexural Test | Charpy Test | ||||
|---|---|---|---|---|---|---|
| Modulus | Strength | Elongation at Break | Modulus | Strength | Impact Strength | |
| [MPa] | [MPa] | [%] | [MPa] | [MPa] | [kJ/m2] | |
| Unfilled samples | ||||||
| PLA | 3100 (±14) | 52.2 (±0.1) | 2.6 (±0.1) | 2920 (±37) | 77.2 (±1.7) | 2.1 (±0.3) |
| PLA (Com) * | 2750 (±30) | 39.4 (±0.8) | 1.9 (±0.1) | 2730 (±115) | 77.0 (±3.9) | 2.3 (±0.3) |
| PLA/PHA (Com) | 3140 (±49) | 54.6 (±0.9) | 4.4. (±0.4) | 2940 (±160) | 84.7 (±0.6) | 2.6 (±0.2) |
| PLA/PBAT30/CE | 2190 (±11) | 41.3 (±0.1) | 51.3 (±18.4) | 2160 (±63) | 67.1 (±2.0) | 11.2 (±0.9) |
| PLA/TPS30/CE | 2510 (±28) | 45.7 (±0.4) | 53.0 (±21.0) | 2580 (±59) | 76.7 (±1.0) | 5.1 (±0.6) |
| Composite samples | ||||||
| PLA/PHA/wood (Com) | 2980 (±51) | 29.7 (±1.3) | 2.6 (±0.1) | 2650 (±56) | 72.1 (±3.2) | 2.2 (±0.5) |
| PLA/PBAT30/CE-BH10 | 2390 (±33) | 38.0 (±0.7) | 3.4 (±0.2) | 2250 (±449) | 65.3 (±7.5) | 4.2 (±0.3) |
| PLA/TPS30/CE-BH10 | 1810 (±49) | 30.0 (±0.7) | 5.2 (±0.7) | 2170 (±39) | 60.8 (±0.6) | 4.8 (±0.6) |
Publisher’s Note: MDPI stays neutral with regard to jurisdictional claims in published maps and institutional affiliations. |
© 2021 by the authors. Licensee MDPI, Basel, Switzerland. This article is an open access article distributed under the terms and conditions of the Creative Commons Attribution (CC BY) license (https://creativecommons.org/licenses/by/4.0/).
Share and Cite
Andrzejewski, J.; Grad, K.; Wiśniewski, W.; Szulc, J. The Use of Agricultural Waste in the Modification of Poly(lactic acid)-Based Composites Intended for 3D Printing Applications. The Use of Toughened Blend Systems to Improve Mechanical Properties. J. Compos. Sci. 2021, 5, 253. https://doi.org/10.3390/jcs5100253
Andrzejewski J, Grad K, Wiśniewski W, Szulc J. The Use of Agricultural Waste in the Modification of Poly(lactic acid)-Based Composites Intended for 3D Printing Applications. The Use of Toughened Blend Systems to Improve Mechanical Properties. Journal of Composites Science. 2021; 5(10):253. https://doi.org/10.3390/jcs5100253
Chicago/Turabian StyleAndrzejewski, Jacek, Karolina Grad, Wojciech Wiśniewski, and Joanna Szulc. 2021. "The Use of Agricultural Waste in the Modification of Poly(lactic acid)-Based Composites Intended for 3D Printing Applications. The Use of Toughened Blend Systems to Improve Mechanical Properties" Journal of Composites Science 5, no. 10: 253. https://doi.org/10.3390/jcs5100253
APA StyleAndrzejewski, J., Grad, K., Wiśniewski, W., & Szulc, J. (2021). The Use of Agricultural Waste in the Modification of Poly(lactic acid)-Based Composites Intended for 3D Printing Applications. The Use of Toughened Blend Systems to Improve Mechanical Properties. Journal of Composites Science, 5(10), 253. https://doi.org/10.3390/jcs5100253

