Magnetic Behavior of an Iron Gluconate/Polyaniline Composite
Abstract
:1. Introduction
2. Synthesis and Characterization Method
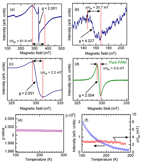
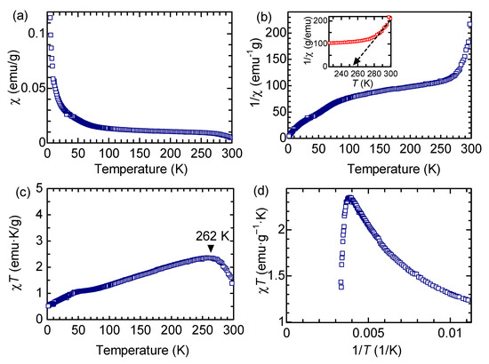
3. Results and Discussion
Author Contributions
Funding
Institutional Review Board Statement
Informed Consent Statement
Acknowledgments
Conflicts of Interest
References
- Iwamura, H.; Murata, S. Magnetic Coupling of Two Triplet Phenylnitrene Units Joined Through an Acetylenic or a Di-Acetylenic Linkage. Mol. Cryst. Liq. Cryst. Incorp. Nonlinear Opt. 1989, 176, 33–47. [Google Scholar] [CrossRef]
- Iwamura, H. Design and Demonstration of Ferromagnetic Exchange Interactions in Organic Molecules. Mol. Cryst. Liq. Cryst. Sci. Technol. A Mol. Cryst. Liq. Cryst. 1993, 232, 233–250. [Google Scholar] [CrossRef]
- Nishide, H.; Ozawa, T.; Miyasaka, M.; Tsuchida, E. A Nanometer-Sized High-Spin Polyradical: Poly(4-phenoxyl-1,2-phenylenevinylene) Planarily Extended in a Non-Kekulé Fashion and Its Magnetic Force Microscopic Images. J. Am. Chem. Soc. 2001, 123, 5942–5946. [Google Scholar] [CrossRef]
- Hong, K.; Choe, M.; Kim, S.; Lee, H.-M.; Kim, B.-J.; Park, S. An Ultrastretchable Electrical Switch Fiber with a Magnetic Liquid Metal Core for Remote Magnetic Actuation. Polymers 2021, 13, 2407. [Google Scholar] [CrossRef] [PubMed]
- Park, S.; Oh, Y.; Jung, D.; Lee, S.H. Effect of Cellulose Solvents on the Characteristics of Cellulose/Fe2O3 Hydrogel Microspheres as Enzyme Supports. Polymers 2020, 12, 1869. [Google Scholar] [CrossRef] [PubMed]
- Wei, D.-H.; Chang, J.-H.; Hsu, C.-C.; Yang, C.-J.; Liang, Y.-C.; Dong, C.-L.; Yao, Y.-D. Controlled Magnetic Isolation and Decoupling of Perpendicular FePt Films by Capping Ultrathin Cu(002) Nano-Islands. J. Compos. Sci. 2021, 5, 140. [Google Scholar] [CrossRef]
- Nacy, S.; Youssef, G. Demagnetization Effect on the Magnetoelectric Response of Composite Multiferroic Cylinders. J. Compos. Sci. 2021, 5, 139. [Google Scholar] [CrossRef]
- Jouyandeh, M.; Ganjali, M.R.; Karami, Z.; Rezapour, M.; Bagheri, B.; Zarrintaj, P.; Mouradzadegun, A.; Habibzadeh, S.; Saeb, M.R. Thermal Analysis of Crosslinking Reactions in Epoxy Nanocomposites Containing Polyvinyl Chloride (PVC)-Functionalized Nickel-Doped Nano-Fe3O4. J. Compos. Sci. 2020, 4, 107. [Google Scholar] [CrossRef]
- Ramos, P.; Amorin, H.; Ricote, J.; Castro, A.; Alguero, M. Insights into the Performance of Magnetoelectric Ceramic Layered Composites. J. Compos. Sci. 2017, 1, 14. [Google Scholar] [CrossRef] [Green Version]
- Correa, A.A.; Pereira, E.C.; de Oliveira, A.J.A. Magnetic Properties of Conducting Polymers. In Emerging Research in Science and Engineering Based on Advanced Experimental and Computational Strategies. Engineering Materials; La Porta, F., Taft, C., Eds.; Springer: Cham, Germany, 2020. [Google Scholar] [CrossRef]
- Long, Y.; Chen, Z.; Shen, J.; Zhang, Z.; Zhang, L.; Xiao, H.; Wan, M.; Duvail, J.L. Magnetic Properties of Conducting Polymer Nanostructures. J. Phys. Chem. B. 2006, 110, 23228–23233. [Google Scholar] [CrossRef]
- Majidi, M.R.; Kane-Maguire, L.A.P.; Wallace, G.G. Facile synthesis of optically active polyaniline and polytoluidine. Polymer 1996, 37, 359–362. [Google Scholar] [CrossRef]
- Jia, L.; Wang, C.; Zhang, Y.; Yang, L.; Yan, Y. Efficient Spin Selectivity in Self-Assembled Superhelical Conducting Polymer Microfibers. ACS Nano 2020, 14, 6607–6615. [Google Scholar] [CrossRef] [PubMed]
- Li, X.; Yu, L.; Yu, L.; Dong, Y.; Gao, Q.; Yang, Q.; Yang, W.; Zhu, Y.; Fu, Y. Chiral Polyaniline with Superhelical Structures for Enhancement in Microwave Absorption. Chem. Eng. J. 2018, 352, 745–755. [Google Scholar] [CrossRef]
- Mishra, S.; Kumar, A.; Venkatesan, M.; Pigani, L.; Pasquali, L.; Fontanesi, C. Exchange Interactions Drive Supramolecular Chiral Induction in Polyaniline Suryakant. Small Methods 2020, 4, 2000617. [Google Scholar] [CrossRef]
- MacDiarmid, A.G.; Chiang, J.C.; Richter, A.F.; Somasiri, N.L.D.; Epstein, A.J. Polyaniline: Synthesis and Characterization of the Emeraldine Oxidation State by Elemental Analysis. In Conducting Polymers; Alcácer, L., Ed.; Springer: Berlin/Heidelberg, Germany, 1987; pp. 105–120. [Google Scholar] [CrossRef]
- Nekrasov, A.A.; Ivanov, V.F.; Vannikov, A.V. Analysis of the Structure of Polyaniline Absorption Spectra Based on Spectroelectrochemical Data. J. Electroanal. Chem. 2000, 482, 11–17. [Google Scholar] [CrossRef]
- Sindhimeshram, D.C.; Gupta, M.C. Transport properties of substituted derivatives of polyaniline. Indian J. Chem. 1995, 34, 260–277. [Google Scholar]
- Nikolić, V.D.; Ilić, D.P.; Nikolić, L.B.; Stanojević, L.P.; Cakić, M.D.; Tačić, A.D.; Ilić-Stojanović, S.S. The synthesis and characterization of iron(II) gluconate. Savrem. Tehnol. 2014, 3, 16–24. [Google Scholar] [CrossRef] [Green Version]
- Tang, J.; Jing, X.; Wang, B.; Wang, F. Infrared spectra of soluble polyaniline Synth. Met. 1988, 24, 231–238. [Google Scholar]
- Yang, E.-C.; Chang, Y.-Y.; Huang, S.-Y.; Hong, L.-X.; Lee, G.-H.; Sheu, H.-S.; Chang, C.-K. Novel Structures and Magnetic Properties of Two [Mn2] Complexes with 2,4-di-2-pyridyl-2,4-pentanediol as the Ligand. Magnetochemistry 2019, 5, 43. [Google Scholar] [CrossRef] [Green Version]
- Yang, X.; Xu, Q. Bimetallic Metal–Organic Frameworks for Gas Storage and Separation. Cryst. Growth Des. 2017, 17, 1450–1455. [Google Scholar] [CrossRef]
- Kahol, P.K.; Ho, J.C.; Chen, Y.Y.; Wang, C.R.; Neeleshwar, S.; Tsai, C.B.; Wessling, B. On Metallic Characteristics in Some Conducting Polymers. Synth. Met. 2005, 151, 65–72. [Google Scholar] [CrossRef]
- Djurado, D.; Pron, A.; Travers, J.-P.; Duque, J.G.S.; Pagliuso, P.G.; Rettori, C.; Chinaglia, D.L.; Walmsley, L. Magnetic Field Dependent Magnetization of a Conducting Plasticized Poly(aniline) film. J. Phys. Condens. Matter 2008, 20, 285228. [Google Scholar] [CrossRef]





Publisher’s Note: MDPI stays neutral with regard to jurisdictional claims in published maps and institutional affiliations. |
© 2021 by the authors. Licensee MDPI, Basel, Switzerland. This article is an open access article distributed under the terms and conditions of the Creative Commons Attribution (CC BY) license (https://creativecommons.org/licenses/by/4.0/).
Share and Cite
Koshikawa, Y.; Goto, H. Magnetic Behavior of an Iron Gluconate/Polyaniline Composite. J. Compos. Sci. 2021, 5, 252. https://doi.org/10.3390/jcs5090252
Koshikawa Y, Goto H. Magnetic Behavior of an Iron Gluconate/Polyaniline Composite. Journal of Composites Science. 2021; 5(9):252. https://doi.org/10.3390/jcs5090252
Chicago/Turabian StyleKoshikawa, Yusuke, and Hiromasa Goto. 2021. "Magnetic Behavior of an Iron Gluconate/Polyaniline Composite" Journal of Composites Science 5, no. 9: 252. https://doi.org/10.3390/jcs5090252
APA StyleKoshikawa, Y., & Goto, H. (2021). Magnetic Behavior of an Iron Gluconate/Polyaniline Composite. Journal of Composites Science, 5(9), 252. https://doi.org/10.3390/jcs5090252

