Investigation of the Formability of Cryogenic Rolled AA6061 and Its Improvement Using Artificial Aging Treatment
Abstract
1. Introduction
2. Materials and Methods
2.1. Material
2.2. CR Procedure
2.3. Heat Treatment
2.4. Tensile Test
2.5. FLD Test
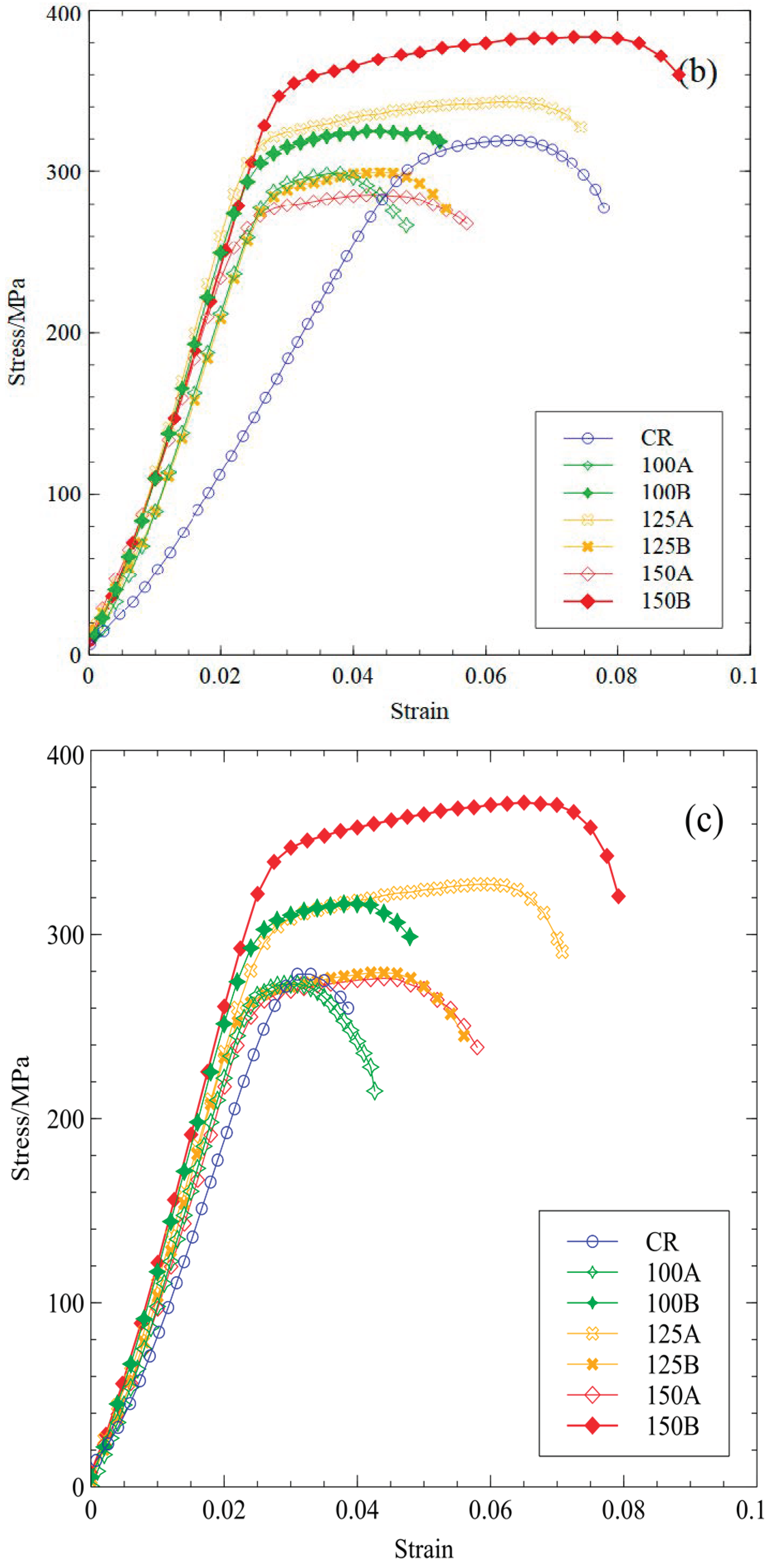
3. Results
4. Discussion
5. Conclusions
- The density of dislocations decreases during artificial aging due to static recovery. The second phase can also precipitate more easily due to enhanced diffusion. The formability of the material is improved by increasing the aging temperature or aging time. The strain-hardening coefficient shows that the reason for better formability can be the recovery, i.e., the reduction and rearrangement of dislocations.
- Aging at 150 °C for 50 h provides the best formability for different loading conditions, especially for tension-tension loading. The minor strain range is increased from 0.05 to 0.1, providing higher flexibility for multi-axial forming processes.
- The strength of the material is improved by 40%. The original value of 250 MPa for the cryogenic rolled sample increases to 350 MPa after 50 h of aging at 150 °C.
Author Contributions
Funding
Data Availability Statement
Acknowledgments
Conflicts of Interest
References
- Smith, W.F. Structure and Properties of Engineering Alloys; McGraw-Hill, Inc.: New York, NY, USA, 1993; ISBN 0070585601. [Google Scholar]
- Tenorio, J.A.S.; Espinosa, D.C.R. Recycling of Aluminum. In Handbook of Aluminum; Marcel Dekker, Inc.: New York, NY, USA, 2003; pp. 115–154. ISBN 0-07-059172-5. [Google Scholar]
- Nageswara Rao, P.; Singh, D.; Jayaganthan, R. Effect of Annealing on Microstructure and Mechanical Properties of Al 6061 Alloy Processed by Cryorolling. Mater. Sci. Technol. 2013, 29, 76–82. [Google Scholar] [CrossRef]
- Jandaghi, M.R.; Pouraliakbar, H.; Khalaj, G.; Khalaj, M.J.; Heidarzadeh, A. Study on the Post-Rolling Direction of Severely Plastic Deformed Aluminum-Manganese-Silicon Alloy. Arch. Civ. Mech. Eng. 2016, 16, 876–887. [Google Scholar] [CrossRef]
- Vendra, S.S.L.; Goel, S.; Kumar, N.; Jayaganthan, R. A Study on Fracture Toughness and Strain Rate Sensitivity of Severely Deformed Al 6063 Alloys Processed by Multiaxial Forging and Rolling at Cryogenic Temperature. Mater. Sci. Eng. A 2017, 686, 82–92. [Google Scholar] [CrossRef]
- Fritsch, S.; Scholze, M.; Wagner, M.F.X. Influence of Thermally Activated Processes on the Deformation Behavior during Low Temperature ECAP. IOP Conf. Ser. Mater. Sci. Eng. 2016, 118, 012030. [Google Scholar] [CrossRef]
- Korznikov, A.V.; Mulyukov, R.R.; Valiev, R.Z. Structure and Properties of Ultrafine-Grained Materials Produced by Severe Plastic Deformation. Mater. Sci. Eng. A 1993, 168, 141–148. [Google Scholar]
- Yuan, S.; Cheng, W.; Liu, W. Cryogenic Formability of a Solution-Treated Aluminum Alloy Sheet at Low Temperatures. J. Mater. Process. Technol. 2021, 298, 117295. [Google Scholar] [CrossRef]
- Yuan, S.; Cheng, W.; Liu, W.; Xu, Y. A Novel Deep Drawing Process for Aluminum Alloy Sheets at Cryogenic Temperatures. J. Mater. Process. Technol. 2020, 284, 116743. [Google Scholar] [CrossRef]
- Dong, F.; Huang, S.; Yi, Y.; Wang, B.; He, H. Flow Behaviors and Deformation Mechanism of WQ-Tempered Al–Li Alloy at Cryogenic Temperatures. Mater. Sci. Eng. A 2021, 809, 140971. [Google Scholar] [CrossRef]
- Magalhães, D.C.C.; Kliauga, A.M.; Sordi, V.L. Flow Behavior and Fracture of Al−Mg−Si Alloy at Cryogenic Temperatures. Trans. Nonferrous Met. Soc. China 2021, 31, 595–608. [Google Scholar] [CrossRef]
- Liu, Y.; Zhao, X.; Li, J.; Bhatta, L.; Luo, K.; Kong, C.; Yu, H. Mechanical Properties of Rolled and Aged AA6061 Sheets at Room-Temperature and Cryogenic Environments. J. Alloys Compd. 2021, 860, 158449. [Google Scholar] [CrossRef]
- Singh, D.; Nageswara Rao, P.; Jayaganthan, R. Microstructures and Impact Toughness Behavior of Al 5083 Alloy Processed by Cryorolling and Afterwards Annealing. Int. J. Miner. Metall. Mater. 2013, 20, 759–769. [Google Scholar] [CrossRef]
- Huang, Y.C.; Yan, X.Y.; Qiu, T. Microstructure and Mechanical Properties of Cryo-Rolled AA6061 Al Alloy. Trans. Nonferrous Met. Soc. China 2016, 26, 12–18. [Google Scholar] [CrossRef]
- Satish, D.R.; Feyissa, F.; Kumar, D.R. Cryorolling and Warm Forming of AA6061 Aluminum Alloy Sheets. Mater. Manuf. Process. 2017, 32, 1345–1352. [Google Scholar] [CrossRef]
- Rao, P.N.; Panigrahi, S.K.; Jayaganthan, R. Effect of Annealing and Aging Treatment on Mechanical Properties of Ultrafine Grained Al 6061 Alloy. Mater. Sci. Technol. 2010, 26, 371–374. [Google Scholar] [CrossRef]
- Panigrahi, S.K.; Devanand, D.; Jayaganthan, R. Effect of Ageing on Strength and Ductility of Ultrafine Grained Al 6061 Alloy. Mater. Sci. Forum 2010, 633–634, 303–309. [Google Scholar] [CrossRef]
- Rangaraju, N.; Raghuram, T.; Krishna, B.V.; Rao, K.P.; Venugopal, P. Effect of Cryo-Rolling and Annealing on Microstructure and Properties of Commercially Pure Aluminium. Mater. Sci. Eng. A 2005, 398, 246–251. [Google Scholar] [CrossRef]
- Izumi, M.T.; Quintero, J.J.H.; Crivoi, M.R.; Maeda, M.Y.; Namur, R.S.; de Aguiar, D.J.M.; Cintho, O.M. In Situ X-Ray Diffraction Analysis of Face-Centered Cubic Metals Deformed at Room and Cryogenic Temperatures. J. Mater. Eng. Perform. 2019, 28, 4658–4666. [Google Scholar] [CrossRef]
- Sarma, V.S.; Wang, J.; Jian, W.W.; Kauffmann, A.; Conrad, H.; Freudenberger, J.; Zhu, Y.T. Role of Stacking Fault Energy in Strengthening Due to Cryo-Deformation of FCC Metals. Mater. Sci. Eng. A 2010, 527, 7624–7630. [Google Scholar] [CrossRef]
- Lee, W.S.; Huang, Y.C. Mechanical Properties and Dislocation Substructure of 6061-T6 Aluminum Alloy Impacted at Cryogenic Temperatures. Mater. Trans. 2016, 57, 344–350. [Google Scholar] [CrossRef]
- Changela, K.; Krishnaswamy, H.; Digavalli, R.K. Development of Combined Groove Pressing and Rolling to Produce Ultra-Fine Grained Al Alloys and Comparison with Cryorolling. Mater. Sci. Eng. A 2019, 760, 7–18. [Google Scholar] [CrossRef]
- Wang, X.; Fan, X.; Chen, X.; Yuan, S. Cryogenic Deformation Behavior of 6061 Aluminum Alloy Tube under Biaxial Tension Condition. J. Mater. Process. Technol. 2022, 303, 117532. [Google Scholar] [CrossRef]
- Rao, P.N.; Kaurwar, A.; Singh, D.; Jayaganthan, R. Enhancement in Strength and Ductility of Al-Mg-Si Alloy by Cryorolling Followed by Warm Rolling. Procedia Eng. 2014, 75, 123–128. [Google Scholar] [CrossRef]
- Taye, F.; Das, P.; Kumar, D.R.; Sankar, B.R. Characterization of Mechanical Properties and Formability of Cryorolled Aluminium Alloy Sheets. In Proceedings of the 5th International and 26th All India Manufacturing Technology, Design and Research Conference (AIMTDR 2014), Guwahati, India, 12–14 December 2014; Volume 511, pp. 1–5. [Google Scholar]
- Cavusoglu, O.; Leacock, A.G.; Gürün, H. Forming-Limit Diagrams and Strain-Rate-Dependent Mechanical Properties of AA6019-T4 and AA6061-T4 Aluminium Sheet Materials. Mater. Tehnol. 2016, 50, 1005–1010. [Google Scholar] [CrossRef]
- Kumar, M.; Sotirov, N.; Grabner, F.; Schneider, R.; Mozdzen, G. Cryogenic Forming Behaviour of AW-6016-T4 Sheet. Trans. Nonferrous Met. Soc. China 2017, 27, 1257–1263. [Google Scholar] [CrossRef]
- Barfeh, A.; Hashemi, R.; Safdarian, R.; Rahmatabadi, D.; Aminzadeh, A.; Sattarpanah Karganroudi, S. Predicting the Forming Limit Diagram of the Fine-Grained AA 1050 Sheet Using GTN Damage Model with Experimental Verifications. Proc. Inst. Mech. Eng. B J. Eng. Manuf. 2022, 095440542211389. [Google Scholar] [CrossRef]
- Wang, C.; Yi, Y.; Huang, S.; Dong, F.; He, H.; Huang, K.; Jia, Y. Experimental and Theoretical Investigation on the Forming Limit of 2024-O Aluminum Alloy Sheet at Cryogenic Temperatures. Met. Mater. Int. 2021, 27, 5199–5211. [Google Scholar] [CrossRef]
- Chandra Sekhar, K.; Narayanasamy, R.; Venkateswarlu, K. Formability, Fracture and Void Coalescence Analysis of a Cryorolled Al-Mg-Si Alloy. Mater. Des. 2014, 57, 351–359. [Google Scholar] [CrossRef]
- Yadollahpour, M.; Hosseini-Toudeshky, H.; Karimzadeh, F. Effect of Cryorolling and Aging on Fatigue Behavior of Ultrafine-Grained Al6061. JOM 2016, 68, 1446–1455. [Google Scholar] [CrossRef]
- Povoden-Karadeniz, E.; Lang, P.; Warczok, P.; Falahati, A.; Jun, W.; Kozeschnik, E. CALPHAD Modeling of Metastable Phases in the Al–Mg–Si System. Calphad 2013, 43, 94–104. [Google Scholar] [CrossRef]
- Harals, F.; Gödecke, T.; Lukas, H.L.; Sommer, F. Investigation of the Al-Mg-Si System by Experiments and Thermodynamic Calculations. J. Alloys Compd. 1997, 247, 31–42. [Google Scholar]








| Element | Mg | Si | Cu | Cr | Fe | Mn | Ti | Al |
|---|---|---|---|---|---|---|---|---|
| wt% | 0.93 | 0.52 | 0.19 | 0.10 | 0.29 | 0.10 | 0.02 | Balance |
| Name | Aging Temperature | Aging Time/Hours |
|---|---|---|
| CR | - | - |
| 100A | 100 °C | 25 |
| 100B | 100 °C | 50 |
| 125A | 125 °C | 25 |
| 125B | 125 °C | 50 |
| 150A | 150 °C | 25 |
| 150B | 150 °C | 50 |
| Direction | CR | 100A | 100B | 125A | 125B | 150A | 150B |
|---|---|---|---|---|---|---|---|
| rolling | 0.147 | 0.136 | 0.119 | 0.118 | 0.103 | 0.096 | 0.126 |
| diagonal | 0.209 | 0.130 | 0.132 | 0.130 | 0.136 | 0.112 | 0.135 |
| transverse | 0.388 | 0.131 | 0.127 | 0.127 | 0.115 | 0.111 | 0.131 |
Disclaimer/Publisher’s Note: The statements, opinions and data contained in all publications are solely those of the individual author(s) and contributor(s) and not of MDPI and/or the editor(s). MDPI and/or the editor(s) disclaim responsibility for any injury to people or property resulting from any ideas, methods, instructions or products referred to in the content. |
© 2023 by the authors. Licensee MDPI, Basel, Switzerland. This article is an open access article distributed under the terms and conditions of the Creative Commons Attribution (CC BY) license (https://creativecommons.org/licenses/by/4.0/).
Share and Cite
Sadeghi, A.; Kozeschnik, E.; Biglari, F.R. Investigation of the Formability of Cryogenic Rolled AA6061 and Its Improvement Using Artificial Aging Treatment. J. Manuf. Mater. Process. 2023, 7, 54. https://doi.org/10.3390/jmmp7020054
Sadeghi A, Kozeschnik E, Biglari FR. Investigation of the Formability of Cryogenic Rolled AA6061 and Its Improvement Using Artificial Aging Treatment. Journal of Manufacturing and Materials Processing. 2023; 7(2):54. https://doi.org/10.3390/jmmp7020054
Chicago/Turabian StyleSadeghi, Abbas, Ernst Kozeschnik, and Farid R. Biglari. 2023. "Investigation of the Formability of Cryogenic Rolled AA6061 and Its Improvement Using Artificial Aging Treatment" Journal of Manufacturing and Materials Processing 7, no. 2: 54. https://doi.org/10.3390/jmmp7020054
APA StyleSadeghi, A., Kozeschnik, E., & Biglari, F. R. (2023). Investigation of the Formability of Cryogenic Rolled AA6061 and Its Improvement Using Artificial Aging Treatment. Journal of Manufacturing and Materials Processing, 7(2), 54. https://doi.org/10.3390/jmmp7020054

