Precise Drought Threshold Monitoring in Winter Wheat Different Growth Periods Using a Multispectral Unmanned Aerial Vehicle
Abstract
1. Introduction
2. Materials and Methods
2.1. Study Area
2.2. Methods
2.2.1. Experimental Design and Field Data Collection Method
2.2.2. UAV Method
2.2.3. Drought Monitoring Indices
2.2.4. Canopy Image Extraction Method
2.2.5. Vegetation Indices
2.2.6. Yield Calculation Method
2.2.7. Statistical Method
2.2.8. Threshold Accuracy Verification Method
3. Results
3.1. Ground Truth Measured Data
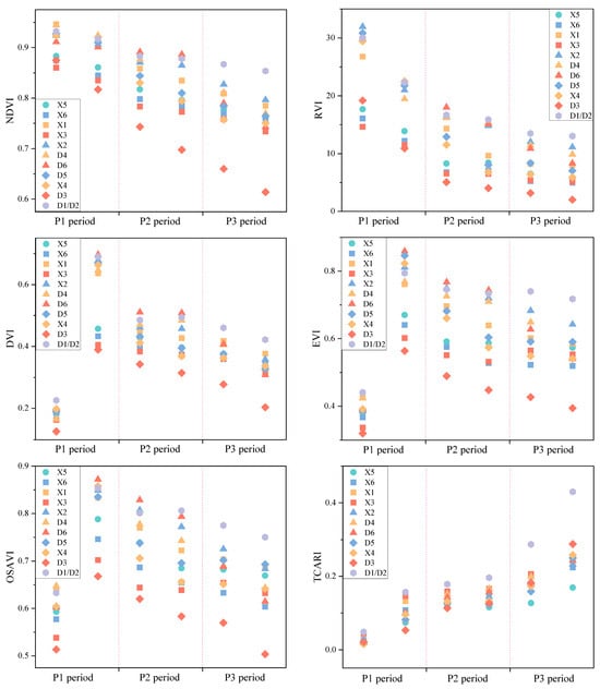
3.2. Vegetation Indices Monitoring Results
3.3. LAI and SAPD Inversion Model
3.4. Threshold of Drought Monitoring Indices
4. Discussion
4.1. LAI and SAPD Inversion Using UAV Multispectral Images
4.2. Drought Threshold Monitoring
4.3. Drought Disaster Monitoring
5. Conclusions
Author Contributions
Funding
Data Availability Statement
Acknowledgments
Conflicts of Interest
Abbreviations
| UAV | Unmanned Aerial Vehicle |
| LAI | Leaf Area Index |
| SPAD | Soil and Plant Analyzer Develotrnent |
| NDVI | Normalized Difference Vegetation Index |
| P1 period | Jointing–heading Period |
| P2 period | Heading–filling Period |
| P3 period | Filling–maturity Period |
| Dro1 | Light Drought |
| Dro2 | Moderate Drought |
| Dro3 | Severe Drought |
| Nor | No Drought |
| EDro | Extreme Drought |
| SRH | Soil Relative Humidity |
| DVI | Difference Vegetation Index |
| RVI | Ratio Vegetation Index |
| EVI | Enhanced Vegetation Index |
| OSAVI | Optimized Soil-Adjusted Vegetation Index |
| TCARI | Transformed Chlorophyll Absorption Reflectance Index |
References
- Livneh, B.; Badger, A.M. Drought less predictable under declining future snowpack. Nat. Clim. Change 2020, 10, 452–458. [Google Scholar] [CrossRef]
- Markova, G.; Baas, S.; Conforti, P.; Ahmed, S. 2017: The Impact of Disasters and Crises on Agriculture and Food Security; Food and Agriculture Organization of the United Nations (FAO): Rome, Italy, 2018. [Google Scholar]
- Pan, Y.; Zhu, Y.; Lü, H.; Yagci, A.L.; Fu, X.; Liu, E.; Xu, H.; Ding, Z.; Liu, R. Accuracy of agricultural drought indices and analysis of agricultural drought characteristics in China between 2000 and 2019. Agric. Water Manag. 2023, 283, 108305. [Google Scholar] [CrossRef]
- Wang, F.; Lai, H.; Li, Y.; Feng, K.; Zhang, Z.; Tian, Q.; Zhu, X.; Yang, H. Dynamic variation of meteorological drought and its relationships with agricultural drought across China. Agric. Water Manag. 2022, 261, 107301. [Google Scholar] [CrossRef]
- Bloom, D.E.; Canning, D.; Lubet, A.J.D. Global population aging: Facts, challenges, solutions & perspectives. Daedalus 2015, 144, 80–92. [Google Scholar]
- Chakraborty, S.; Newton, A.C. Climate change, plant diseases and food security: An overview. Plant Pathol. 2011, 60, 2–14. [Google Scholar] [CrossRef]
- Karthikeyan, L.; Chawla, I.; Mishra, A.K. A review of remote sensing applications in agriculture for food security: Crop growth and yield, irrigation, and crop losses. J. Hydrol. 2020, 586, 124905. [Google Scholar] [CrossRef]
- Water, U.N. World Water Development Report 2020; United Nations: New York, NY, USA, 2020. [Google Scholar]
- Ault, T. On the essentials of drought in a changing climate. Science 2020, 368, 256–260. [Google Scholar] [CrossRef] [PubMed]
- FAO. Proactive Approaches to Drought Preparedness—Where Are We Now and Where Do We Go From Here? Food and Agriculture Organization of the United Nations: Rome, Italy, 2019. [Google Scholar]
- Pokhrel, Y.; Felfelani, F.; Satoh, Y.; Boulange, J.; Burek, P.; Gädeke, A.; Gerten, D.; Gosling, S.N.; Grillakis, M.; Gudmundsson, L.; et al. Global terrestrial water storage and drought severity under climate change. Nat. Clim. Change 2021, 11, 226–233. [Google Scholar] [CrossRef]
- Adel, S.; Carels, N. Plant tolerance to drought stress with emphasis on wheat. Plants 2023, 12, 2170. [Google Scholar] [CrossRef] [PubMed]
- Gupta, A.; Rico-Medina, A.; Caño-Delgado, A.I. The physiology of plant responses to drought. Science 2020, 368, 266–269. [Google Scholar] [CrossRef] [PubMed]
- Hura, T.; Hura, K.; Ostrowska, A. Drought-stress induced physiological and molecular changes in plants 2.0. Int. J. Mol. Sci. 2023, 24, 1773. [Google Scholar] [CrossRef]
- Seleiman, M.F.; Al-Suhaibani, N.; Ali, N.; Akmal, M.; Alotaibi, M.; Refay, Y.; Dindaroglu, T.; Abdul-Wajid, H.H.; Battaglia, M.L. Drought stress impacts on plants and different approaches to alleviate its adverse effects. Plants 2021, 10, 259. [Google Scholar] [CrossRef]
- Bhusal, N.; Lee, M.; Han, A.R.; Han, A.; Kim, H.S. Management, Responses to drought stress in Prunus sargentii and Larix kaempferi seedlings using morphological and physiological parameters. For. Ecol. Manag. 2020, 465, 118099. [Google Scholar] [CrossRef]
- Hosseini, F.; Mosaddeghi, M.R.; Dexter, A.R. Biochemistry, Effect of the fungus Piriformospora indica on physiological characteristics and root morphology of wheat under combined drought and mechanical stresses. Plant Physiol. Biochem. 2017, 118, 107–120. [Google Scholar] [CrossRef] [PubMed]
- Werner, C.; Correia, O.; Beyschlag, W. Two different strategies of Mediterranean macchia plants to avoid photoinhibitory damage by excessive radiation levels during summer drought. Acta Oecol. 1999, 20, 15–23. [Google Scholar] [CrossRef]
- Helm, L.T.; Shi, H.; Lerdau, M.T.; Yang, X. Solar-induced chlorophyll fluorescence and short-term photosynthetic response to drought. Ecol. Appl. 2020, 30, e02101. [Google Scholar] [CrossRef] [PubMed]
- Mafakheri, A.; Siosemardeh, A.; Bahramnejad, B.; Struik, P.; Sohrabi, Y. Effect of drought stress on yield, proline and chlorophyll contents in three chickpea cultivars. Aust. J. Crop Sci. 2010, 4, 580–585. [Google Scholar]
- Yang, X.; Lu, M.; Wang, Y.; Wang, Y.; Liu, Z.; Chen, S. Response mechanism of plants to drought stress. Horticulturae 2021, 7, 50. [Google Scholar] [CrossRef]
- Zhang, Z.; Xu, W.; Shi, Z.; Qin, Q. Establishment of a comprehensive drought monitoring index based on multisource remote sensing data and agricultural drought monitoring. IEEE J. Sel. Top. Appl. Earth Obs. Remote Sens. 2021, 14, 2113–2126. [Google Scholar] [CrossRef]
- Park, S.; Im, J.; Jang, E.; Rhee, J. Drought assessment and monitoring through blending of multi-sensor indices using machine learning approaches for different climate regions. Agric. For. Meteorol. 2016, 216, 157–169. [Google Scholar] [CrossRef]
- Park, S.; Im, J.; Park, S.; Rhee, J. Drought monitoring using high resolution soil moisture through multi-sensor satellite data fusion over the Korean peninsula. Agric. For. Meteorol. 2017, 237, 257–269. [Google Scholar] [CrossRef]
- Crocetti, L.; Forkel, M.; Fischer, M.; Jurečka, F.; Grlj, A.; Salentinig, A.; Trnka, M.; Anderson, M.; Ng, W.-T.; Kokalj, Ž.; et al. Earth Observation for agricultural drought monitoring in the Pannonian Basin (southeastern Europe): Current state and future directions. Reg. Environ. Change 2020, 20, 123. [Google Scholar] [CrossRef]
- Wang, Z.; Li, J.; Lai, C.; Huang, Z.; Zhong, R.; Zeng, Z.; Chen, X. Increasing drought has been observed by SPEI_pm in Southwest China during 1962–2012. Theor. Appl. Climatol. 2018, 133, 23–38. [Google Scholar] [CrossRef]
- Berger, K.; Machwitz, M.; Kycko, M.; Kefauver, S.C.; Van Wittenberghe, S.; Gerhards, M.; Verrelst, J.; Atzberger, C.; Van der Tol, C.; Damm, A.; et al. Multi-sensor spectral synergies for crop stress detection and monitoring in the optical domain: A review. Remote Sens. Environ. 2022, 280, 113198. [Google Scholar] [CrossRef]
- Bian, Z.; Roujean, J.; Fan, T.; Dong, Y.; Hu, T.; Cao, B.; Li, H.; Du, Y.; Xiao, Q.; Liu, Q. An angular normalization method for temperature vegetation dryness index (TVDI) in monitoring agricultural drought. Remote Sens. Environ. 2023, 284, 113330. [Google Scholar] [CrossRef]
- Matese, A.; Baraldi, R.; Berton, A.; Cesaraccio, C.; Di Gennaro, S.F.; Duce, P.; Facini, O.; Mameli, M.G.; Piga, A.; Zaldei, A. Estimation of water stress in grapevines using proximal and remote sensing methods. Remote Sens. 2018, 10, 114. [Google Scholar] [CrossRef]
- Asner, G.P.; Brodrick, P.G.; Anderson, C.B.; Vaughn, N.; Knapp, D.E.; Martin, R.E. Progressive forest canopy water loss during the 2012–2015 California drought. Proc. Natl. Acad. Sci. 2016, 113, E249–E255. [Google Scholar] [CrossRef] [PubMed]
- Ghazaryan, G.; Dubovyk, O.; Graw, V.; Kussul, N.; Schellberg, J. Local-scale agricultural drought monitoring with satellite-based multi-sensor time-series. GISci. Remote Sens. 2020, 57, 704–718. [Google Scholar] [CrossRef]
- Javed, T.; Li, Y.; Rashid, S.; Li, F.; Hu, Q.; Feng, H.; Chen, X.; Ahmad, S.; Liu, F.; Pulatov, B. Performance and relationship of four different agricultural drought indices for drought monitoring in China’s mainland using remote sensing data. Sci. Total Environ. 2021, 759, 143530. [Google Scholar] [CrossRef] [PubMed]
- Liu, Y.; Shan, F.; Yue, H.; Wang, X.; Fan, Y. Global analysis of the correlation and propagation among meteorological, agricultural, surface water, and groundwater droughts. J. Environ. Manag. 2023, 333, 117460. [Google Scholar] [CrossRef]
- Liu, Y.; Shan, F.; Yue, H.; Wang, X. Characteristics of drought propagation and effects of water resources on vegetation in the karst area of Southwest China. Sci. Total Environ. 2023, 891, 164663. [Google Scholar] [CrossRef] [PubMed]
- Liu, Y.; Yu, X.; Dang, C.; Yue, H.; Wang, X.; Niu, H.; Zu, P.; Cao, M. A dryness index TSWDI based on land surface temperature, sun-induced chlorophyll fluorescence, and water balance. ISPRS J. Photogramm. Remote Sens. 2023, 202, 581–598. [Google Scholar] [CrossRef]
- Veysi, S.; Naseri, A.A.; Hamzeh, S.; Bartholomeus, H. A satellite based crop water stress index for irrigation scheduling in sugarcane fields. Agric. Water Manag. 2017, 189, 70–86. [Google Scholar] [CrossRef]
- Yang, Y.; Anderson, M.C.; Gao, F.; Wood, J.D.; Gu, L.; Hain, C. Studying drought-induced forest mortality using high spatiotemporal resolution evapotranspiration data from thermal satellite imaging. Remote Sens. Environ. 2021, 265, 112640. [Google Scholar] [CrossRef]
- Mafi-Gholami, D.; Zenner, E.K.; Jaafari, A.; Ward, R.D. Modeling multi-decadal mangrove leaf area index in response to drought along the semi-arid southern coasts of Iran. Sci. Total Environ. 2019, 656, 1326–1336. [Google Scholar] [CrossRef]
- Nie, W.; Kumar, S.V.; Arsenault, K.R.; Peters-Lidard, C.D.; Mladenova, I.E.; Bergaoui, K.; Hazra, A.; Zaitchik, B.F.; Mahanama, S.P.; McDonnell, R.; et al. Towards effective drought monitoring in the Middle East and North Africa (MENA) region: Implications from assimilating leaf area index and soil moisture into the Noah-MP land surface model for Morocco. Hydrol. Earth Syst. Sci. Discuss. 2022, 26, 2365–2386. [Google Scholar] [CrossRef]
- Sagan, V.; Maimaitijiang, M.; Sidike, P.; Eblimit, K.; Peterson, K.T.; Hartling, S.; Esposito, F.; Khanal, K.; Newcomb, M.; Pauli, D.; et al. UAV-based high resolution thermal imaging for vegetation monitoring, and plant phenotyping using ICI 8640 P, FLIR Vue Pro R 640, and thermomap cameras. Remote Sens. 2019, 11, 330. [Google Scholar] [CrossRef]
- Sishodia, R.P.; Ray, R.L.; Singh, S.K. Applications of remote sensing in precision agriculture: A review. Remote Sens. 2020, 12, 3136. [Google Scholar] [CrossRef]
- Zaman-Allah, M.; Vergara, O.; Araus, J.; Tarekegne, A.; Magorokosho, C.; Zarco-Tejada, P.; Hornero, A.; Albà, A.H.; Das, B.; Craufurd, P.; et al. Unmanned aerial platform-based multi-spectral imaging for field phenotyping of maize. Plant Methods 2015, 11, 1–10. [Google Scholar] [CrossRef]
- Das, S.; Christopher, J.; Choudhury, M.R.; Apan, A.; Chapman, S.; Menzies, N.W.; Dang, Y.P. Evaluation of drought tolerance of wheat genotypes in rain-fed sodic soil environments using high-resolution UAV remote sensing techniques. Biosyst. Eng. 2022, 217, 68–82. [Google Scholar] [CrossRef]
- Cheng, M.; Sun, C.; Nie, C.; Liu, S.; Yu, X.; Bai, Y.; Liu, Y.; Meng, L.; Jia, X.; Liu, Y.; et al. Evaluation of UAV-based drought indices for crop water conditions monitoring: A case study of summer maize. Agric. Water Manag. 2023, 287, 108442. [Google Scholar] [CrossRef]
- Li, J.; Schachtman, D.P.; Creech, C.F.; Wang, L.; Ge, Y.; Shi, Y. Evaluation of UAV-derived multimodal remote sensing data for biomass prediction and drought tolerance assessment in bioenergy sorghum. Crop J. 2022, 10, 1363–1375. [Google Scholar] [CrossRef]
- Liu, C.; Li, H.; Su, A.; Chen, S.; Li, W. Identification and grading of maize drought on rgb images of UAV based on improved u-net. IEEE Geosci. Remote Sens. Lett. 2020, 18, 198–202. [Google Scholar] [CrossRef]
- Tucci, G.; Parisi, E.I.; Castelli, G.; Errico, A.; Corongiu, M.; Sona, G.; Viviani, E.; Bresci, E.; Preti, F. Multi-sensor UAV application for thermal analysis on a dry-stone terraced vineyard in rural Tuscany landscape. ISPRS Int. J. Geo-Inf. 2019, 8, 87. [Google Scholar] [CrossRef]
- Su, J.; Coombes, M.; Liu, C.; Zhu, Y.; Song, X.; Fang, S.; Guo, L.; Chen, W.-H. Machine learning-based crop drought mapping system by UAV remote sensing RGB imagery. Unmanned Syst. 2020, 8, 71–83. [Google Scholar] [CrossRef]
- Liu, H.; Song, W.; Lv, J.; Gui, R.; Shi, Y.; Lu, Y.; Li, M.; Chen, L.; Chen, X. Precise Drought Threshold Monitoring in Winter Wheat Using the Unmanned Aerial Vehicle Thermal Method. Remote Sens. 2024, 16, 710. [Google Scholar] [CrossRef]
- Wu, Y.; Ma, J.; Zhang, W.; Sun, L.; Liu, Y.; Liu, B.; Wang, B.; Chen, Z. Rapid evaluation of drought tolerance of winter wheat cultivars under water-deficit conditions using multi-criteria comprehensive evaluation based on UAV multispectral and thermal images and automatic noise removal. Comput. Electron. Agric. 2024, 218, 108679. [Google Scholar] [CrossRef]
- Yang, X.; Gao, F.; Yuan, H.; Cao, X. Integrated UAV and Satellite Multi-Spectral for Agricultural Drought Monitoring of Winter Wheat in the Seedling Stage. Sensors 2024, 24, 5715. [Google Scholar] [CrossRef] [PubMed]
- Giamerti, Y.; Darmadi, D.; Junaedi, A.; Lubis, I.; Sopandie, D.; Meishanti, O.P.Y.; Sari, K.; Hongo, C.; Homma, K.J.a. Evaluation Trial of Drought Damage of Rice Based on RGB Aerial Image by UAV. agriTECH 2024, 44, 354–361. [Google Scholar] [CrossRef]
- Wittstruck, L.; Jarmer, T.; Trautz, D.; Waske, B. Estimating LAI from winter wheat using UAV data and CNNs. IEEE Geosci. Remote Sens. Lett. 2022, 19, 1–5. [Google Scholar] [CrossRef]
- Zhang, L.; Han, W.; Niu, Y.; Chavez, J.L.; Shao, G.; Zhang, H. Evaluating the sensitivity of water stressed maize chlorophyll and structure based on UAV derived vegetation indices. Comput. Electron. Agric. 2021, 185, 106174. [Google Scholar] [CrossRef]
- Gano, B.; Dembele, J.S.B.; Ndour, A.; Luquet, D.; Beurier, G.; Diouf, D.; Audebert, A. Using UAV Borne, Multi-Spectral Imaging for the Field Phenotyping of Shoot Biomass, Leaf Area Index and Height of West African Sorghum Varieties under Two Contrasted Water Conditions. Agronomy 2021, 11, 850. [Google Scholar] [CrossRef]
- NY/T 2283; Technical Specifications for Field Investigation and Leveling of Winter Wheat Disasters. Ministry of Agriculture of the People’s Republic of China: Beijing, China, 2012.
- Chen, J.M.; Black, T. Environment, Defining leaf area index for non-flat leaves. Plant Cell Environ. 1992, 15, 421–429. [Google Scholar] [CrossRef]
- Fang, H.; Baret, F.; Plummer, S.; Schaepman-Strub, G. An overview of global leaf area index (LAI): Methods, products, validation, and applications. Rev. Geophys. 2019, 57, 739–799. [Google Scholar] [CrossRef]
- Bréda, N.J. Ground-based measurements of leaf area index: A review of methods, instruments and current controversies. J. Exp. Bot. 2003, 54, 2403–2417. [Google Scholar] [CrossRef] [PubMed]
- Liu, Y.; An, L.; Wang, N.; Tang, W.; Liu, M.; Liu, G.; Sun, H.; Li, M.; Ma, Y. Leaf area index estimation under wheat powdery mildew stress by integrating UAV-based spectral, textural and structural features. Comput. Electron. Agric. 2023, 213, 108169. [Google Scholar] [CrossRef]
- Jiang, C.; Johkan, M.; Hohjo, M.; Tsukagoshi, S.; Maruo, T. A correlation analysis on chlorophyll content and SPAD value in tomato leaves. HortResearch 2017, 71, 37–42. [Google Scholar]
- Uddling, J.; Gelang-Alfredsson, J.; Piikki, K.; Pleijel, H. Evaluating the relationship between leaf chlorophyll concentration and SPAD-502 chlorophyll meter readings. Photosynth. Res. 2007, 91, 37–46. [Google Scholar] [CrossRef] [PubMed]
- Rouse, J.W., Jr.; Haas, R.H.; Deering, D.; Schell, J.; Harlan, J.C. Monitoring the Vernal Advancement and Retrogradation (Green Wave Effect) of Natural Vegetation; NASA/GSFCT Type III Final Report; NASA: College Station, TX, USA, 1974. [Google Scholar]
- Li, S.; Xu, L.; Jing, Y.; Yin, H.; Li, X.; Guan, X. Geoinformation, High-quality vegetation index product generation: A review of NDVI time series reconstruction techniques. Int. J. Appl. Earth Obs. Geoinf. 2021, 105, 102640. [Google Scholar]
- Otsu, N. A threshold selection method from gray-level histograms. Automatica 1975, 11, 23–27. [Google Scholar] [CrossRef]
- Goh, T.Y.; Basah, S.N.; Yazid, H.; Safar, M.J.A.; Saad, F.S.A. Performance analysis of image thresholding: Otsu technique. Measurement 2018, 114, 298–307. [Google Scholar] [CrossRef]
- Jordan, C.F. Derivation of leaf-area index from quality of light on the forest floor. Ecology 1969, 50, 663–666. [Google Scholar] [CrossRef]
- Priebe, S.; Huxley, P.; Knight, S.; Evans, S. Application and results of the Manchester Short Assessment of Quality of Life (MANSA). Int. J. Soc. Psychiatry 1999, 45, 7–12. [Google Scholar] [CrossRef] [PubMed]
- Huete, A.; Didan, K.; Miura, T.; Rodriguez, E.P.; Gao, X.; Ferreira, L.G. Overview of the radiometric and biophysical performance of the MODIS vegetation indices. Remote Sens. Environ. 2002, 83, 195–213. [Google Scholar] [CrossRef]
- Rondeaux, G.; Steven, M.; Baret, F. Optimization of soil-adjusted vegetation indices. Remote Sens. Environ. 1996, 55, 95–107. [Google Scholar] [CrossRef]
- Haboudane, D.; Miller, J.R.; Tremblay, N.; Zarco-Tejada, P.J.; Dextraze, L. Integrated narrow-band vegetation indices for prediction of crop chlorophyll content for application to precision agriculture. Remote Sens. Environ. 2002, 81, 416–426. [Google Scholar] [CrossRef]
- Xing, J.; Tian, L.Z. Summary of yield measurement methods of Ganoderma lucidum wheat. Anhui Agric. Sci. Bull. 2011, 17, 94–95. [Google Scholar]
- Nhamo, L.; Magidi, J.; Nyamugama, A.; Clulow, A.D.; Sibanda, M.; Chimonyo, V.G.; Mabhaudhi, T. Prospects of improving agricultural and water productivity through unmanned aerial vehicles. Agriculture 2020, 10, 256. [Google Scholar] [CrossRef]
- Rakesh, D.; Kumar, N.A.; Sivaguru, M.; Keerthivaasan, K.; Janaki, B.R.; Raffik, R. Role of UAVs in innovating agriculture with future applications: A review. In Proceedings of the 2021 International Conference on Advancements in Electrical, Electronics, Communication, Computing and Automation (ICAECA), Coimbatore, India, 8–9 October 2021; IEEE: Piscataway, NY, USA, 2021; pp. 1–6. [Google Scholar]
- Wang, W.; Gao, X.; Cheng, Y.; Ren, Y.; Zhang, Z.; Wang, R.; Cao, J.; Geng, H. QTL mapping of leaf area index and chlorophyll content based on UAV remote sensing in wheat. Agriculture 2022, 12, 595. [Google Scholar] [CrossRef]
- Song, Y.; Wang, J.; Shan, B. Estimation of winter wheat yield from UAV-based multi-temporal imagery using crop allometric relationship and SAFY model. Drones 2021, 5, 78. [Google Scholar] [CrossRef]
- Han, X.; Wei, Z.; Chen, H.; Zhang, B.; Li, Y.; Du, T. Inversion of winter wheat growth parameters and yield under different water treatments based on UAV multispectral remote sensing. Front. Plant Sci. 2021, 12, 609876. [Google Scholar] [CrossRef]
- Qin, W.; Wang, J.; Ma, L.; Wang, F.; Hu, N.; Yang, X.; Xiao, Y.; Zhang, Y.; Sun, Z.; Wang, Z. UAV-based multi-temporal thermal imaging to evaluate wheat drought resistance in different deficit irrigation regimes. Remote Sens. 2022, 14, 5608. [Google Scholar] [CrossRef]
- Redmond, K.T. The depiction of drought: A commentary. Bull. Am. Meteorol. Soc. 2002, 83, 1143–1147. [Google Scholar] [CrossRef]
- Lv, J.; Qu, Y.; Su, Z. Drought Disaster Risk Assessment Methods and Empirical Research; Changjiang Press: Wuhan, China, 2019; ISBN 978-7-5492-2998-7. [Google Scholar]
- SL/T 663; Standard of Classification for Drought Disaster. Ministry of Water Resources of the People’s Republic of China: Beijing, China, 2014.
- Ziliani, M.G.; Altaf, M.U.; Aragon, B.; Houborg, R.; Franz, T.E.; Lu, Y.; Sheffield, J.; Hoteit, I.; McCabe, M.F. Early season prediction of within-field crop yield variability by assimilating CubeSat data into a crop model. Agric. For. Meteorol. 2022, 313, 108736. [Google Scholar] [CrossRef]
- Széles, A.; Horváth, É.; Simon, K.; Zagyi, P.; Huzsvai, L. Maize production under drought stress: Nutrient supply, yield prediction. Plants 2023, 12, 3301. [Google Scholar] [CrossRef] [PubMed]

















| Drought Level | Soil Relative Humidity/% | ||
|---|---|---|---|
| P1 Period | P2 Period | P3 Period | |
| Dro1 | 19.2–20.7 | 19.2–20.7 | 17.7–19.2 |
| Dro2 | 17.7–19.2 | 17.7–19.2 | 16.2–17.7 |
| Dro3 | 16.2–17.7 | 14.8–17.7 | 11.8–16.2 |
| Edro | <16.2 | <16.2 | <11.8 |
| Nor | >20.7 | >20.7 | >19.2 |
| Plot | Irrigation Volumes/mm | ||||||||
|---|---|---|---|---|---|---|---|---|---|
| 9 November 2019 | 24 January 2020 | 29 March 2020 | 13 April 2020 | 24 April 2020 | 29 April 2020 | 7 May 2020 | 19 May 2020 | 23 May 2020 | |
| X6 | 45 | 45 | 45 | - | 30 | 60 | 60 | - | 60 |
| X1 | 45 | 45 | 30 | - | 30 | 60 | 60 | - | 60 |
| X3 | 45 | 45 | - | - | 30 | 60 | 60 | - | 60 |
| X2 | 45 | 45 | 60 | 45 | - | - | 30 | 60 | 60 |
| D4 | 45 | 45 | 60 | 30 | - | - | 30 | 60 | 60 |
| D6 | 45 | 45 | 60 | 15 | - | - | - | 60 | 60 |
| D5 | 45 | 45 | 60 | 60 | 60 | - | 45 | - | 45 |
| X4 | 45 | 45 | 60 | 60 | 60 | - | 30 | - | 30 |
| D3 | 45 | 45 | 60 | 60 | 60 | - | 15 | - | 15 |
| D1/D2 | 45 | 45 | - | 45 | - | - | 45 | - | 45 |
| X5 | 45 | 45 | 60 | 60 | 60 | - | 60 | - | 60 |
| Data | Equipment | Number | Measuring Method |
|---|---|---|---|
| LAI | LAI-2200c | 72 | Calculations were performed based on two above-canopy and twenty below-canopy values per plot |
| SPAD | SPAD-502plus | 648 | Measure 9 sample points evenly per plot and take the average |
| Yield | Scales, ropes, etc. | 12 | Calculated based on monitoring points |
| SRH data | BS-3555 soil temperature and humidity recorder | 3792 | Use a USB cable to export data from a data logger |
| Vegetation Indices | Formula |
|---|---|
| NDVI | |
| DVI | |
| RVI | |
| EVI | |
| OSAVI | |
| TCARI |
| Index | Period | Nor | Dro1 | Dro2 | Dro3 |
|---|---|---|---|---|---|
| LAI | P1 period | >2.8 | 2.3~2.8 | 1.7~2.3 | <1.7 |
| P2 period | >4.2 | 3.6~4.2 | 3.2~3.6 | <3.2 | |
| P3 period | >5.2 | 4.7~5.2 | 4.3~4.7 | <4.3 | |
| SPAD | P1 period | >49.8 | 46.1~49.8 | 44.2~46.1 | <44.2 |
| P2 period | >54.0 | 51.5~54.0 | 49.0~51.5 | <49.0 | |
| P3 period | >49.2 | 40.0~49.2 | 36.5~40.0 | <36.5 |
Disclaimer/Publisher’s Note: The statements, opinions and data contained in all publications are solely those of the individual author(s) and contributor(s) and not of MDPI and/or the editor(s). MDPI and/or the editor(s) disclaim responsibility for any injury to people or property resulting from any ideas, methods, instructions or products referred to in the content. |
© 2025 by the authors. Licensee MDPI, Basel, Switzerland. This article is an open access article distributed under the terms and conditions of the Creative Commons Attribution (CC BY) license (https://creativecommons.org/licenses/by/4.0/).
Share and Cite
Song, W.; Liu, H.; Lu, Y.; Lv, J.; Gui, R.; Chen, L.; Li, M.; Chen, X. Precise Drought Threshold Monitoring in Winter Wheat Different Growth Periods Using a Multispectral Unmanned Aerial Vehicle. Drones 2025, 9, 157. https://doi.org/10.3390/drones9030157
Song W, Liu H, Lu Y, Lv J, Gui R, Chen L, Li M, Chen X. Precise Drought Threshold Monitoring in Winter Wheat Different Growth Periods Using a Multispectral Unmanned Aerial Vehicle. Drones. 2025; 9(3):157. https://doi.org/10.3390/drones9030157
Chicago/Turabian StyleSong, Wenlong, Hongjie Liu, Yizhu Lu, Juan Lv, Rognjie Gui, Long Chen, Mengyi Li, and Xiuhua Chen. 2025. "Precise Drought Threshold Monitoring in Winter Wheat Different Growth Periods Using a Multispectral Unmanned Aerial Vehicle" Drones 9, no. 3: 157. https://doi.org/10.3390/drones9030157
APA StyleSong, W., Liu, H., Lu, Y., Lv, J., Gui, R., Chen, L., Li, M., & Chen, X. (2025). Precise Drought Threshold Monitoring in Winter Wheat Different Growth Periods Using a Multispectral Unmanned Aerial Vehicle. Drones, 9(3), 157. https://doi.org/10.3390/drones9030157
