Neural Network and Extended State Observer-Based Model Predictive Control for Smooth Braking at Preset Points in Autonomous Vehicles
Abstract
1. Introduction
- (1)
- A novel extended kinematic model of AVs is established using a proposed NN such that the relationship between the AVs’ speed and throttle (and brake) opening is more clearly described;
- (2)
- A novel composite MPC strategy based on the RHESO is put forward, which is optimized over the receding horizon while eliminating the effects of the model’s inaccuracy and disturbance;
- (3)
- Easily verifiable sufficient conditions are established to ensure the recursive feasibility of the MPC scheme and the stability of the closed-loop system.
2. Problem Formulations and Preliminaries
2.1. System Model
2.2. Estimation of the Unknown NN Parameter
2.3. Linearization Model and Constraints of the AV
| Algorithm 1 Algorithm for approximating AVs’ dynamics using a NN |
Brake data collection: 1. Divide into n equal parts for AVs with the maximum speed of . Denote , where is the step size for each increase in velocity. Divide the maximum brake opening, 9, equally into n parts, and the size of each brake opening is . Denote , where denotes the step size for each increase in the brake opening value. Set and . Go to step 2. 2. Set the AV to travel at velocity . Then, apply the AV brake with the brake opening of . Go to step 3. 3. Collect the data of the velocity and acceleration from the start of braking until the AV comes to a complete stop. Go to step 4. 4. If , . Go to step 2. Otherwise, go to step 5. 5. If , set and . Go to step 2. Otherwise, go to step 6. Throttle data collection: 6. Divide into p equal parts for AVs with the maximum speed of . Denote , as the step size for each increase in velocity. Divide the maximum throttle opening 1 equally into q parts, and the size of each brake opening is . Denote , as the step size for each increase in the brake opening value. Set and . Go to step 7. 7. Set the AV to travel at a fixed velocity and accelerate at a throttle opening of . Go to step 8. 8. Collect the data of the velocity and acceleration from the beginning of acceleration until the AV reaches . Go to 9. 9. If , . Go to step 7. Otherwise, go to step 10. 10. If , set and . Go to step 7. Otherwise, go to 11. Training and testing the NN: 11. Set the input of the NN as and , with the output being . Alternatively, the input of NN can be set as and , with the output being . Go to step 12. 12. Extract of these data as training data, and the remaining data as test data for backup. Go to step 13. 13. Define the NN structure, loss function, and activation function . Using the training data obtained in step 12, the NN is trained until the network parameters converge. Go to step 13. 14. Using the NN obtained in step 12. If the loss meets the requirements, it indicates successful training. Terminate the algorithm and export the NN parameters . If the loss does not meet the requirements, reset the training parameters and retrain. Go to step 13. |
2.4. The Design of RHESO
2.5. Control Input and System Reconstruction
2.6. The MPC Scheme
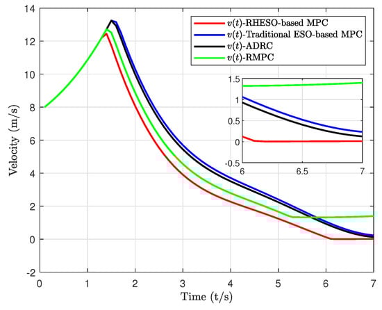
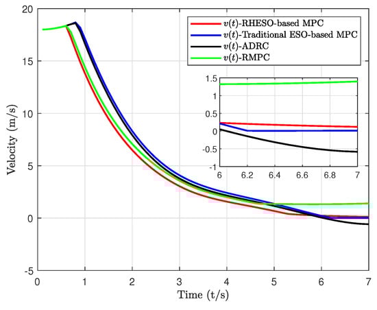
3. Results
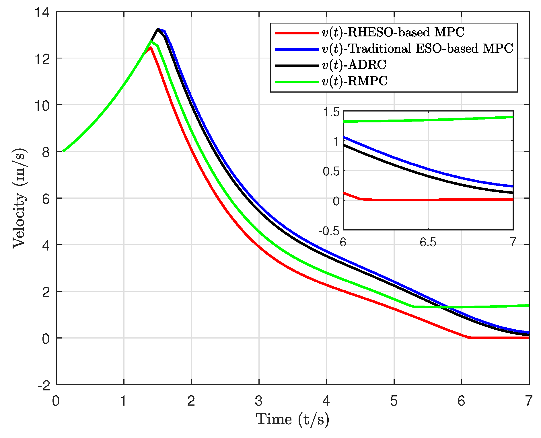
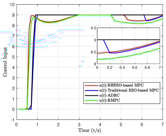
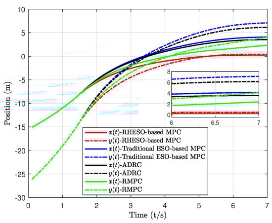
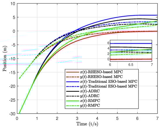
4. Numerical Example
5. Conclusions
Author Contributions
Funding
Data Availability Statement
Conflicts of Interest
Abbreviations
| AV | autonomous vehicle |
| MPC | model predictive control |
| NN | neural network |
| RHESO | receding horizon extended state observer |
| PS | position and speed |
| PID | proportional–integral–derivative |
| ESO | extended state observer |
References
- Fu, Y.; Li, C.; Yu, F.R.; Luan, T.H.; Zhang, Y. A Decision-making strategy for vehicle autonomous braking in emergency via deep reinforcement learning. IEEE Trans. Veh. Technol. 2020, 69, 5879–5888. [Google Scholar] [CrossRef]
- Guo, J.; Hu, P.; Wang, R. Nonlinear coordinated steering and braking control of vision-based autonomous vehicles in emergency obstacle avoidance. IEEE Trans. Intell. Transp. Syst. 2016, 17, 3230–3240. [Google Scholar] [CrossRef]
- Wahid, S.M.S. Automotive brake wear: A review. Environ. Sci. Pollut. Res. 2018, 25, 174–180. [Google Scholar] [CrossRef] [PubMed]
- Rasouli, A.; Tsotsos, J.K. Autonomous vehicles that interact with pedestrians: A survey of theory and practice. IEEE Trans. Intell. Transp. Syst. 2020, 21, 900–918. [Google Scholar] [CrossRef]
- Kong, X.; Li, M.; Tang, T.; Tian, K.; Matias, L.M.; Xia, F. Shared subway shuttle bus route planning based on transport data analytics. IEEE Trans. Autom. Sci. Eng. 2018, 15, 1507–1520. [Google Scholar] [CrossRef]
- Serrano, C.; Delorme, X.; Dolgui, A. Scheduling of truck arrivals, truck departures and shop-floor operation in a cross-dock platform, based on trucks loading plans. Int. J. Prod. Econ. 2017, 194, 102–112. [Google Scholar] [CrossRef]
- Zhang, Z.; Ding, M.; Ding, Y.; Ma, G. Research on special vehicle detection and passenger elevator docking behavior recognition in intelligent monitoring. In Proceedings of the 6th International Conference on Information Science, Computer Technology and Transportation, Xishuangbanna, China, 26–28 November 2021. [Google Scholar]
- Gerdes, J.C.; Hedrick, J.K. Vehicle speed and spacing control via coordinated throttle and brake actuation. Control Eng. 1997, 5, 1607–1614. [Google Scholar] [CrossRef]
- Attia, R.; Orjuela, R.; Basset, M. Combined longitudinal and lateral control for automated vehicle guidance. Vehicle Syst. Dyn. 2014, 52, 261–279. [Google Scholar] [CrossRef]
- Santis, R.M.D. A novel PID configuration for speed and position control. J. Dyn. Syst. Meas. Control 1994, 116, 542–549. [Google Scholar] [CrossRef]
- Ioannou, P.; Xu, Z.; Eckert, S.; Clemons, D.; Sieja, T. Intelligent cruise control: Theory and experiment. In Proceedings of the IEEE Conference on Decision and Control, San Antonio, TX, USA, 15–17 December 1993; pp. 1885–1890. [Google Scholar]
- Chen, Y.; Wang, J. Adaptive vehicle speed control with input injections for longitudinal motion independent road frictional condition estimation. IEEE Trans. Veh. Technol. 2011, 60, 839–848. [Google Scholar] [CrossRef]
- Cao, Y.; Shi, T.; Niu, X.; Li, X.; Xia, C. A smooth torque control strategy for brushless DC motor in braking operation. IEEE Trans. Energy Convers. 2018, 33, 1443–1452. [Google Scholar] [CrossRef]
- Xu, S.; Peng, H.; Song, Z.; Chen, K.; Tang, Y. Accurate and smooth speed control for an autonomous vehicle. In Proceedings of the 2018 IEEE Intelligent Vehicles Symposium, Suzhou, China, 26–30 June 2018; pp. 26–30. [Google Scholar]
- Liu, Y.; Xu, B.; Ding, Y. Convergence analysis of cooperative braking control for interconnected vehicle systems. IEEE Trans. Intell. Transp. Syst. 2017, 18, 1894–1906. [Google Scholar] [CrossRef]
- Wu, X.; Wei, C.; Tian, H.; Wang, W.; Jiang, C. Fault-tolerant control for path-following of independently actuated autonomous vehicles using tube-based model predictive control. IEEE Trans. Intell. Transp. Syst. 2022, 23, 20282–20297. [Google Scholar] [CrossRef]
- Yang, H.; Wang, Z.; Xia, Y.; Zuo, Z. EMPC with adaptive APF of obstacle avoidance and trajectory tracking for autonomous electric vehicles. ISA Trans. 2023, 135, 438–448. [Google Scholar] [CrossRef] [PubMed]
- Luan, Z.; Zhang, J.; Zhao, W.; Wang, C. Trajectory tracking control of autonomous vehicle with random network delay. IEEE Trans. Veh. Technol. 2020, 69, 8140–8150. [Google Scholar] [CrossRef]
- Nguyen, A.T.; Rath, J.; Guerra, T.M.; Palhares, R.; Zhang, H. Robust set-invariance based fuzzy output tracking control for vehicle autonomous driving under uncertain lateral forces and steering constraints. IEEE Trans. Intell. Transp. Syst. 2021, 22, 5849–5860. [Google Scholar] [CrossRef]
- Wang, X.; Sun, W. Trajectory tracking of autonomous vehicle: A differential flatness approach with disturbance-observer-based control. IEEE Trans. Intell. Veh. 2023, 8, 1368–1379. [Google Scholar] [CrossRef]
- Maghenem, M.; Loría, A.; Panteley, E. A cascades approach to formation-tracking stabilization of force-controlled autonomous vehicles. IEEE Trans. Autom. Control 2018, 63, 2662–2669. [Google Scholar] [CrossRef]
- Xu, S.; Li, S.E.; Peng, H.; Cheng, B.; Zhang, X.; Pan, Z. Fuel-saving cruising strategies for parallel HEVs. IEEE Trans. Veh. Technol. 2016, 65, 4676–4686. [Google Scholar] [CrossRef]
- Xu, S.; Li, S.E.; Cheng, B.; Li, K. Instantaneous feedback control for a fuel-prioritized vehicle cruising system on highways with a varying slope. IEEE Trans. Intell. Transp. Syst. 2017, 18, 1210–1220. [Google Scholar] [CrossRef]
- Wu, J.; Zhou, H.; Liu, Z.; Gu, M. Ride comfort optimization via speed planning and preview semi-active suspension control for autonomous vehicles on uneven roads. IEEE Trans. Veh. Technol. 2020, 69, 8343–8355. [Google Scholar] [CrossRef]
- Patil, O.S.; Le, D.M.; Greene, M.L.; Dixon, W.E. Lyapunov-derived control and adaptive update laws for inner and outer layer weights of a deep neural network. IEEE Control Syst. Lett. 2022, 6, 1855–1860. [Google Scholar] [CrossRef]
- Chai, R.; Tsourdos, A.; Savvaris, A.; Chai, S.; Xia, Y.; Chen, C.L.P. Design and implementation of deep neural network-based control for automatic parking maneuver process. IEEE Trans. Neural Netw. Learn. Syst. 2022, 33, 1400–14143. [Google Scholar] [CrossRef] [PubMed]
- Guo, L.; Chen, W. Disturbance attenuation and rejection for systems with nonlinearity via DOBC approach. Int. J. Robust Nonlinear Control 2005, 15, 109–125. [Google Scholar] [CrossRef]
- Cui, Y.; Qiao, J.; Zhu, Y.; Yu, X.; Guo, L. Velocity-tracking control based on refined disturbance observer for gimbal servo system with multiple disturbances. IEEE Trans. Ind. Electron. 2022, 69, 10311–10321. [Google Scholar] [CrossRef]
- Liu, Y.; Wang, H.; Guo, L. Composite robust H∞ control for uncertain stochastic nonlinear systems with state delay via a disturbance observer. IEEE Trans. Autom. Control 2018, 63, 4345–4352. [Google Scholar] [CrossRef]
- Xie, Y.; Qiao, J.; Yu, X.; Guo, L. Dual-disturbance observers-based control for a class of singularly perturbed systems. IEEE Trans. Syst. Man Cybern. Syst. 2022, 52, 2423–2434. [Google Scholar] [CrossRef]
- Zhao, L.; Zhang, B.; Yang, H.; Wang, Y. Observer-based integral sliding mode tracking control for a pneumatic cylinder with varying loads. IEEE Trans. Syst. Man Cybern. Syst. 2020, 50, 2650–2658. [Google Scholar] [CrossRef]
- Chang, S.; Wang, Y.; Zuo, Z.; Yang, H. Fixed-time formation control for wheeled mobile robots with prescribed performance. IEEE Trans. Control Syst. Technol. 2022, 30, 844–851. [Google Scholar] [CrossRef]
- Xu, H.; Zhang, J.; Yang, H.; Xia, Y. Extended state functional observer-based event-driven disturbance rejection control for discrete-time systems. IEEE Trans. Cybern. 2022, 52, 6949–6958. [Google Scholar] [CrossRef]
- Jagannathan, S. Neural Network Control of Nonlinear Discrete-Time Systems; CRC Press: Boca Raton, FL, USA, 2006. [Google Scholar]
- Hornik, K.; Stinchcombe, M.; White, H. Universal approximation of an unknown mapping and its derivatives using multilayer feedforward networks. Neural Netw. 1990, 3, 551–560. [Google Scholar] [CrossRef]
- Li, M.; Wu, H.; Wang, Y.; Handroos, H.; Carbone, G. Modified Levenberg-Marquardt algorithm for backpropagation neural network training in dynamic model identification of mechanical systems. J. Dyn. Syst. Meas. Control 2017, 139, 031012. [Google Scholar] [CrossRef]
- Tao, G. Adaptive Control Design and Analysis; John Wiley & Sons: Hoboken, NJ, USA, 2003. [Google Scholar]
- Peuteman, J.; Aeyels, D.; Sepulchre, R. Boundedness properties for time-varying nonlinear systems. SIAM J. Control Optim. 2000, 39, 1408–1422. [Google Scholar] [CrossRef]










| Set of Real Numbers | |
|---|---|
| Set of nonnegative integers | |
| Set of positive integers | |
| The positive integer set | |
| The dimensions of A are | |
| A is a positive definite matrix | |
| A is a negative definite matrix | |
| I | The unit matrix with appropriate dimensions |
| The Euclidean norm | |
| The matrix full of 0 with appropriate dimensions | |
| The maximum eigenvalue of A | |
| The minimum eigenvalue of A | |
| The prediction of x at the time instant from the time instant k |
| Parameter | Value |
|---|---|
| Sprung mass | 1270 kg |
| Wheelbase | 2910 mm |
| Vehicle height | 1730 mm |
| Vehicle width | 2082 mm |
| Roll inertia | 536.6 kg· |
| Pitch inertia | 1536.7 kg· |
| Yaw inertia | 1536.7 kg· |
| Brake torque at front wheel | 250 N· |
| Brake torque at rear wheel | 150 N· |
| Parameter | H | |||
| Value | 0.5 | 1.19 | 3.5 | 0 |
| Parameter | ||||
| Value | −0.21 | −1.58 | 1 | 1 |
| Parameter | ||||
| Value | −100 m | 100 m | −100 m | 100 m |
| Parameter | ||||
| Value | 0 m/s | 50 m/s | 0 | 9 |
| Parameter | N | Q | R | T |
| Value | 10 | I | 0.1 s |
Disclaimer/Publisher’s Note: The statements, opinions and data contained in all publications are solely those of the individual author(s) and contributor(s) and not of MDPI and/or the editor(s). MDPI and/or the editor(s) disclaim responsibility for any injury to people or property resulting from any ideas, methods, instructions or products referred to in the content. |
© 2024 by the authors. Licensee MDPI, Basel, Switzerland. This article is an open access article distributed under the terms and conditions of the Creative Commons Attribution (CC BY) license (https://creativecommons.org/licenses/by/4.0/).
Share and Cite
Chen, J.; Xu, Y.; Zheng, Z. Neural Network and Extended State Observer-Based Model Predictive Control for Smooth Braking at Preset Points in Autonomous Vehicles. Drones 2024, 8, 273. https://doi.org/10.3390/drones8060273
Chen J, Xu Y, Zheng Z. Neural Network and Extended State Observer-Based Model Predictive Control for Smooth Braking at Preset Points in Autonomous Vehicles. Drones. 2024; 8(6):273. https://doi.org/10.3390/drones8060273
Chicago/Turabian StyleChen, Jianlin, Yang Xu, and Zixuan Zheng. 2024. "Neural Network and Extended State Observer-Based Model Predictive Control for Smooth Braking at Preset Points in Autonomous Vehicles" Drones 8, no. 6: 273. https://doi.org/10.3390/drones8060273
APA StyleChen, J., Xu, Y., & Zheng, Z. (2024). Neural Network and Extended State Observer-Based Model Predictive Control for Smooth Braking at Preset Points in Autonomous Vehicles. Drones, 8(6), 273. https://doi.org/10.3390/drones8060273

