Quaternion-Based Non-Singular Terminal Sliding Mode Control of Quadrotor with a Two-Degree-of-Freedom Deformable Arm for Narrow Environments
Abstract
1. Introduction
- The arm positions of rotor-tilting multi-rotors are fixed, making it impossible to reduce the physical size of the fuselage during flight.
- The fixed arm positions of rotor-tilting multi-rotors can lead to redundant thrust when changing attitude during flight, significantly affecting movement efficiency.
- Arm-rotation deformable multi-rotors lack thrust vector control, which means they cannot independently manipulate spatial position and attitude. As a result, they can only achieve deformation in the horizontal plane, not in the vertical plane, limiting their adaptability to narrow spaces.
- A novel vehicle with the capability of traversing narrow environments in space named QTDA is proposed and its overall scheme is modeled and analyzed for traversing horizontally and vertically narrow environments.
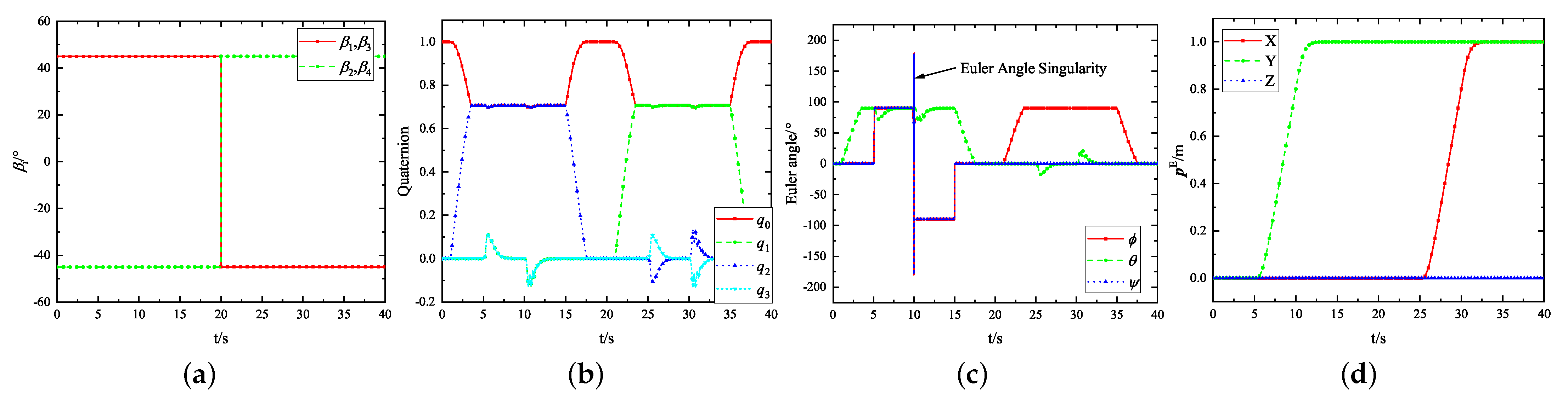
- Aiming at the potential Euler angle singularity of QTDA in vertical attitude, this paper investigates the kinematic and dynamic modeling based on quaternions.
- Aiming at the problem of QTDA multiple actuators, a pseudo-inverse control assignment method based on the pseudo-inverse is investigated, and for the possible existence of control allocation singularities, the control allocation method is investigated under the singularity of the XY-axis direction.
- Due to the interference of internal parameter perturbations, channel coupling, and external perturbations during the deformation process of QTDA, the position control method based on non-singular terminal sliding modes and the attitude control method based on quaternionic non-singular terminal sliding modes are investigated.
- Simulation experiments are conducted to verify the position and attitude control effects of NTSM through comparison experiments. The immunity and robustness of NTSM are verified through perturbation experiments. By traversing horizontal and narrow environments, it is verified that QTDA has the ability to traverse narrow environments in space.
2. Scheme of This Paper
2.1. Structure Scheme
2.2. Control Scheme
3. System Description and Modeling
3.1. Coordinate System of QTDA
3.2. Quaternion Algorithm
3.3. Dynamic Model of QTDA
3.4. Kinematic Model of QTDA
4. Control Allocation and Non-Singular Terminal Sliding Mode Controller
4.1. Control Allocation for Non-Singular Deformation Flight
4.1.1. Control Allocation for X-Axis Singularity Deformation Flight
4.1.2. Control Allocation for Y-Axis Singularity Deformation Flight
4.2. Non-Singular Terminal Sliding Mode Attitude Controller
4.3. Non-Singular Terminal Sliding Mode Position Controller
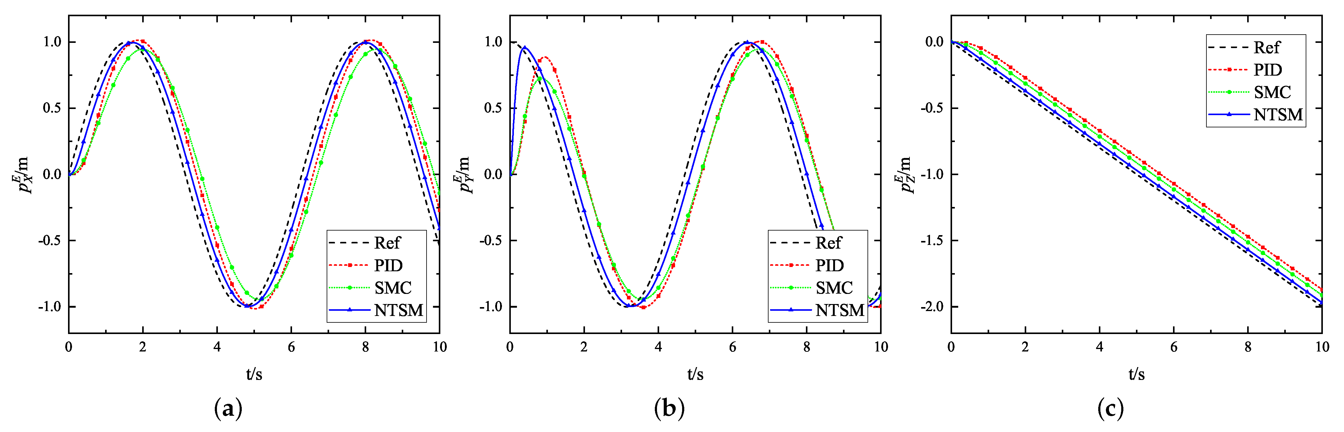
5. Experiment
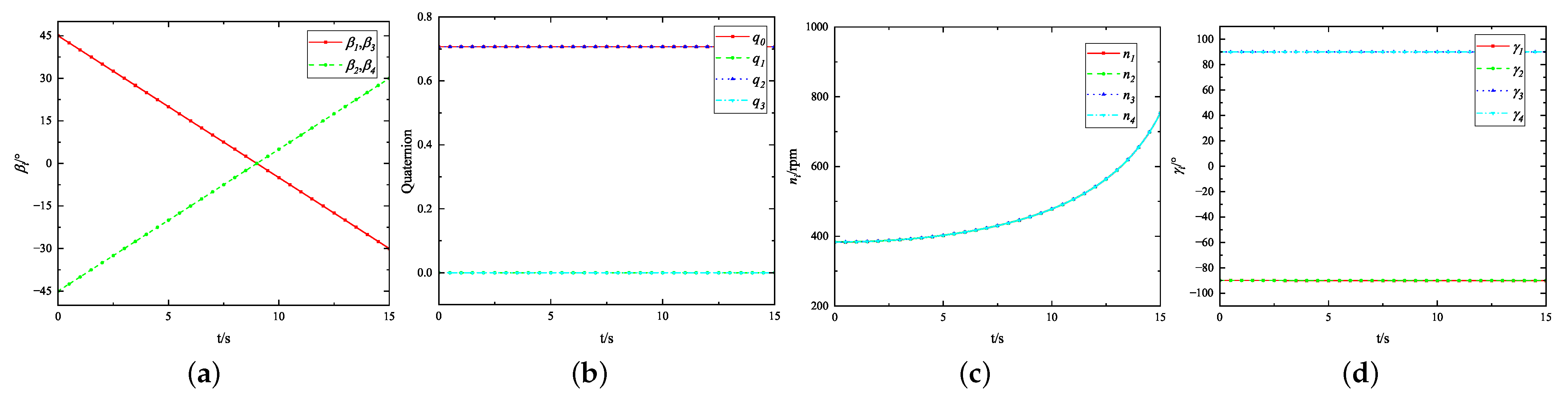
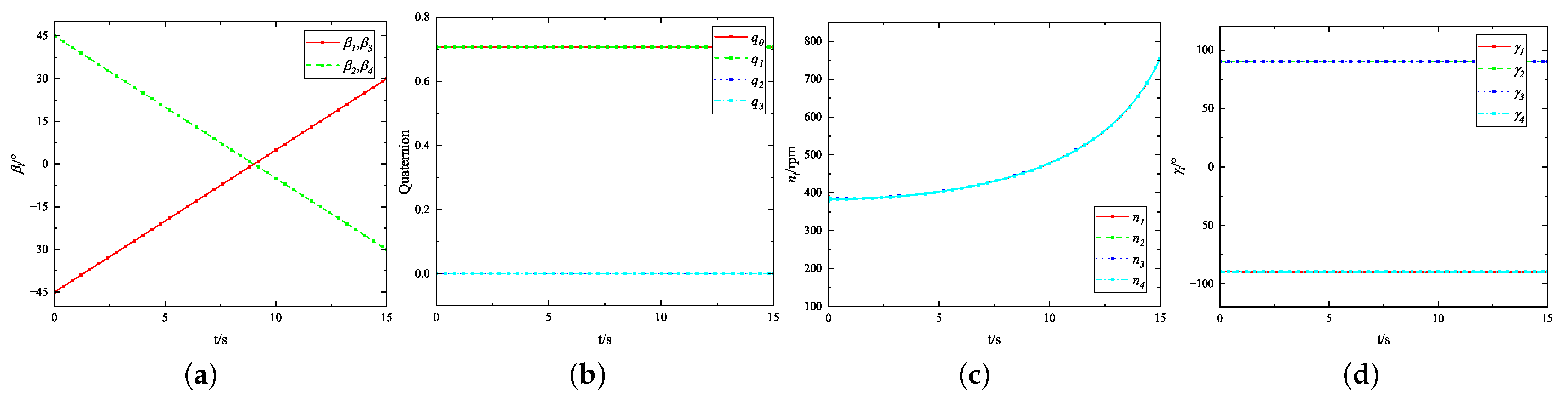
5.1. Omnidirectional Attitude Simulation
5.2. Position Simulation
5.3. Disturbance Simulation
5.4. Actuator Efficiency at Different Deformations Simulation
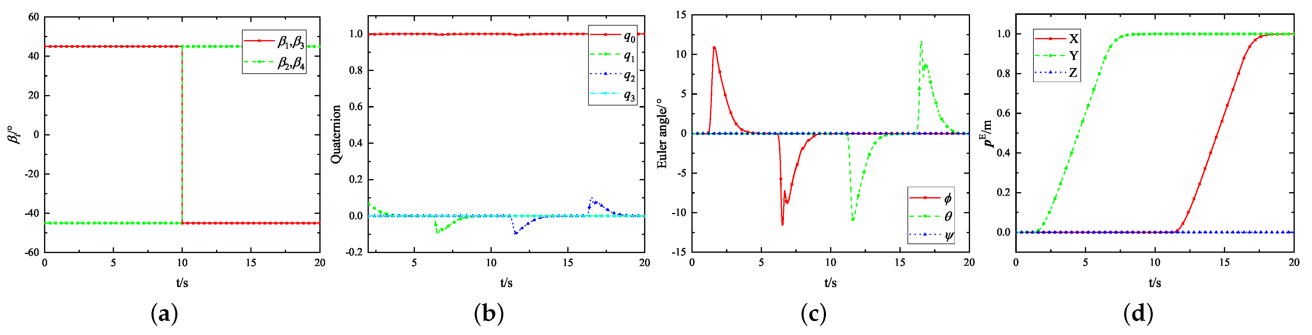
5.5. Deformation Simulation in Horizontal Narrow Environment
5.6. Deformation Simulation in Vertical Narrow Environment
6. Conclusions
- The QTDA in this study features multiple actuators, and there is a possibility that one or more of these actuators may fail. Consequently, fault diagnosis and fault-tolerant control mechanisms for actuator failures need to be investigated.
- Different angles of the QTDA’s actuators can lead to varying flight efficiencies, whereas environmental conditions might only be suitable for a specific actuator angle. Thus, optimal control strategies for actuator efficiency under given constraints should be investigated.
- Currently, only numerical simulation experiments have been conducted to assess the feasibility of the QTDA. Future work will involve physical experiments to further validate the feasibility and effectiveness of the QTDA.
Author Contributions
Funding
Data Availability Statement
Conflicts of Interest
References
- Bouabdallah, S.; Siegwart, R. Full control of a quadrotor. In Proceedings of the 2007 IEEE/RSJ International Conference on Intelligent Robots and Systems, San Diego, CA, USA, 29 October–2 November 2007; pp. 153–158. [Google Scholar]
- Joubert, N.; Roberts, M.; Truong, A.; Berthouzoz, F.; Hanrahan, P. An interactive tool for designing quadrotor camera shots. ACM Trans. Graph. (TOG) 2015, 34, 1–11. [Google Scholar] [CrossRef]
- Lim, H.; Park, J.; Lee, D.; Kim, H.J. Build your own quadrotor: Open-source projects on unmanned aerial vehicles. IEEE Robot. Autom. Mag. 2012, 19, 33–45. [Google Scholar] [CrossRef]
- Falanga, D.; Kleber, K.; Mintchev, S.; Floreano, D.; Scaramuzza, D. The Foldable Drone: A Morphing Quadrotor That Can Squeeze and Fly. IEEE Robot. Autom. Lett. 2019, 4, 209–216. [Google Scholar] [CrossRef]
- Riviere, V.; Manecy, A.; Viollet, S. Agile robotic fliers: A morphing-based approach. Soft Robot. 2018, 5, 541–553. [Google Scholar] [CrossRef] [PubMed]
- Zhao, N.; Luo, Y.; Deng, H.; Shen, Y. The deformable quad-rotor: Design, kinematics and dynamics characterization, and flight performance validation. In Proceedings of the 2017 IEEE/RSJ International Conference on Intelligent Robots and Systems (IROS), Vancouver, BC, Canada, 24–28 September 2017; pp. 2391–2396. [Google Scholar]
- Zhang, Z.; Yang, Z.; Duan, Y.; Liao, L.; Lu, K.; Zhang, Q. Active disturbance rejection control method for actively deformable quadrotor. Control Theory Appl. 2021, 38, 444–456. [Google Scholar]
- Kamel, M.; Verling, S.; Elkhatib, O.; Sprecher, C.; Wulkop, P.; Taylor, Z.; Siegwart, R.; Gilitschenski, I. The voliro omniorientational hexacopter: An agile and maneuverable tiltable-rotor aerial vehicle. IEEE Robot. Autom. Mag. 2018, 25, 34–44. [Google Scholar] [CrossRef]
- Brescianini, D.; D’Andrea, R. Design, modeling and control of an omni-directional aerial vehicle. In Proceedings of the 2016 IEEE International Conference on Robotics and Automation (ICRA), Stockholm, Sweden, 16–21 May 2016; pp. 3261–3266. [Google Scholar]
- Li, H.; Zheng, X.; He, H.; Liao, L. Design and longitudinal dynamics decoupling control of a tilt-rotor aerial vehicle with high maneuverability and efficiency. IEEE Robot. Autom. Lett. 2022, 8, 1191–1198. [Google Scholar] [CrossRef]
- Lu, K.; Yang, Z.; Liao, L.; Jiang, Y.; Xu, C.; Xu, H.; Zhang, Q. Extended state observer-based robust control of an omnidirectional quadrotor with tiltable rotors. Trans. Inst. Meas. Control 2021, 43, 1143–1155. [Google Scholar] [CrossRef]
- Ji, R.; Ma, J.; Ge, S.S. Modeling and control of a tilting quadcopter. IEEE Trans. Aerosp. Electron. Syst. 2019, 56, 2823–2834. [Google Scholar] [CrossRef]
- Yih, C.C. Flight control of a tilt-rotor quadcopter via sliding mode. In Proceedings of the 2016 International Automatic Control Conference (CACS), Taichung, Taiwan, 9–11 November 2016; pp. 65–70. [Google Scholar]
- Bauersfeld, L.; Spannagl, L.; Ducard, G.J.; Onder, C.H. MPC flight control for a tilt-rotor VTOL aircraft. IEEE Trans. Aerosp. Electron. Syst. 2021, 57, 2395–2409. [Google Scholar] [CrossRef]
- He, G.; Yu, L.; Huang, H.; Wang, X. A nonlinear robust sliding mode controller with auxiliary dynamic system for the hovering flight of a tilt tri-rotor UAV. Appl. Sci. 2020, 10, 6551. [Google Scholar] [CrossRef]
- Yu, L.; He, G.; Zhao, S.; Wang, X.; Shen, L. Immersion and invariance-based sliding mode attitude control of tilt tri-rotor UAV in helicopter mode. Int. J. Control Autom. Syst. 2021, 19, 722–735. [Google Scholar] [CrossRef]
- Yoo, C.S.; Ryu, S.D.; Park, B.J.; Kang, Y.S.; Jung, S.B. Actuator controller based on fuzzy sliding mode control of tilt rotor unmanned aerial vehicle. Int. J. Control Autom. Syst. 2014, 12, 1257–1265. [Google Scholar] [CrossRef]
- Sridhar, S.; Gupta, G.; Kumar, R.; Kumar, M.; Cohen, K. Tilt-rotor quadcopter xplored: Hardware based dynamics, smart sliding mode controller, attitude hold & wind disturbance scenarios. In Proceedings of the 2019 American Control Conference (ACC), Philadelphia, PA, USA, 10–12 July 2019; pp. 2005–2010. [Google Scholar]
- Thakur, D.; Srikant, S.; Akella, M.R. Adaptive attitude-tracking control of spacecraft with uncertain time-varying inertia parameters. J. Guid. Control Dyn. 2015, 38, 41–52. [Google Scholar] [CrossRef]
- Bai, Y.; Biggs, J.D.; Zazzera, F.B.; Cui, N. Adaptive attitude tracking with active uncertainty rejection. J. Guid. Control Dyn. 2018, 41, 550–558. [Google Scholar] [CrossRef]
- Hu, Q.; Shao, X.; Guo, L. Adaptive fault-tolerant attitude tracking control of spacecraft with prescribed performance. IEEE/ASME Trans. Mechatron. 2017, 23, 331–341. [Google Scholar] [CrossRef]
- Safa, A.; Baradarannia, M.; Kharrati, H.; Khanmohammadi, S. Robust attitude tracking control for a rigid spacecraft under input delays and actuator errors. Int. J. Control 2019, 92, 1183–1195. [Google Scholar] [CrossRef]
- Cao, L.; Li, X.; Chen, X.; Zhao, Y. Minimum sliding mode error feedback control for fault tolerant small satellite attitude control. Adv. Space Res. 2014, 53, 309–324. [Google Scholar] [CrossRef]
- Sofyalı, A.; Jafarov, E.M. Integral sliding mode control of small satellite attitude motion by purely magnetic actuation. IFAC Proc. Vol. 2014, 47, 7947–7953. [Google Scholar] [CrossRef]
- Levant, A. Sliding order and sliding accuracy in sliding mode control. Int. J. Control 1993, 58, 1247–1263. [Google Scholar] [CrossRef]
- Furuta, K. Sliding mode control of a discrete system. Syst. Control Lett. 1990, 14, 145–152. [Google Scholar] [CrossRef]
- Yu, X.; Feng, Y.; Man, Z. Terminal sliding mode control—An overview. IEEE Open J. Ind. Electron. Soc. 2020, 2, 36–52. [Google Scholar] [CrossRef]
- Yang, L.; Yang, J. Nonsingular fast terminal sliding-mode control for nonlinear dynamical systems. Int. J. Robust Nonlinear Control 2011, 21, 1865–1879. [Google Scholar] [CrossRef]
- Yao, X.; Park, J.H.; Dong, H.; Guo, L.; Lin, X. Robust adaptive nonsingular terminal sliding mode control for automatic train operation. IEEE Trans. Syst. Man Cybern. Syst. 2018, 49, 2406–2415. [Google Scholar] [CrossRef]
- Hou, Z.; Lu, P.; Tu, Z. Nonsingular terminal sliding mode control for a quadrotor UAV with a total rotor failure. Aerosp. Sci. Technol. 2020, 98, 105716. [Google Scholar] [CrossRef]
- Ji, R.; Li, D.; Ma, J. Adaptive Second-Order Fast Nonsingular Terminal Sliding Mode Control for a Tilting Quadcopter. In Proceedings of the 2022 13th Asian Control Conference (ASCC), Jeju, Republic of Korea, 4–7 May 2022; pp. 403–408. [Google Scholar]
- Chen, T.; Shan, J. Rotation-matrix-based attitude tracking for multiple flexible spacecraft with actuator faults. J. Guid. Control Dyn. 2019, 42, 181–188. [Google Scholar] [CrossRef]
- Zhu, C.; Huang, B.; Su, Y.; Zheng, Y.; Zheng, S. Finite-time rotation-matrix-based tracking control for autonomous underwater vehicle with input saturation and actuator faults. Int. J. Robust Nonlinear Control 2022, 32, 2925–2949. [Google Scholar] [CrossRef]
- Costic, B.T.; Dawson, D.M.; de Queiroz, M.S.; Kapila, V. Quaternion-based adaptive attitude tracking controller without velocity measurements. J. Guid. Control Dyn. 2001, 24, 1214–1222. [Google Scholar] [CrossRef]
- Yang, J.; Stoll, E. Adaptive sliding mode control for spacecraft proximity operations based on dual quaternions. J. Guid. Control Dyn. 2019, 42, 2356–2368. [Google Scholar] [CrossRef]
- Carino, J.; Abaunza, H.; Castillo, P. Quadrotor quaternion control. In Proceedings of the 2015 International Conference on Unmanned Aircraft Systems (ICUAS), Denver, CO, USA, 9–12 June 2015; pp. 825–831. [Google Scholar]
- Goldstein, H. Classical Mechanics; Pearson Education India: Hoboken, NJ, USA, 2011. [Google Scholar]
- Beltran-Carbajal, F.; Yañez-Badillo, H.; Tapia-Olvera, R.; Favela-Contreras, A.; Valderrabano-Gonzalez, A.; Lopez-Garcia, I. On Active Vibration Absorption in Motion Control of a Quadrotor UAV. Mathematics 2022, 10, 235. [Google Scholar] [CrossRef]
- Colmenares-Vazquez, J.; Marchand, N.; Castillo, P.; Gomez-Balderas, J.E. An intermediary quaternion-based control for trajectory following using a quadrotor. In Proceedings of the 2017 IEEE/RSJ International Conference on Intelligent Robots and Systems (IROS), Vancouver, BC, Canada, 24–28 September 2017; pp. 5965–5970. [Google Scholar]
- Dulf, E.H.; Saila, M.; Muresan, C.I.; Miclea, L.C. An efficient design and implementation of a quadrotor unmanned aerial vehicle using quaternion-based estimator. Mathematics 2020, 8, 1829. [Google Scholar] [CrossRef]





















| Parameters | Value | Unit |
|---|---|---|
| Quality of QTDA, m | 3.2 | kg |
| Inertia tensor of QTDA in x-axis, | 0.3 | |
| Inertia tensor of QTDA in y-axis, | 0.4 | |
| Inertia tensor of QTDA in z-axis, | 0.25 | |
| Lift coefficient, | ||
| Antitorque coefficient, | ||
| Distance between airframe and first joints, | 1.0 | m |
| Distance between first and second joints, | 1.0 | m |
| Maximum angle of the second joint of the i-th arm, | rad | |
| Maximum angle of the first joint of the i-th arm, | rad |
| Controller | Parameter | Value |
|---|---|---|
| Attitude NTSM | 1 | |
| 1 | ||
| 1 | ||
| 7 | ||
| 3 | ||
| 2 | ||
| 1 | ||
| Position NTSM | 1.5 | |
| 1.5 | ||
| 2 | ||
| 7 | ||
| 3 | ||
| 0.5 | ||
| 0.2 |
Disclaimer/Publisher’s Note: The statements, opinions and data contained in all publications are solely those of the individual author(s) and contributor(s) and not of MDPI and/or the editor(s). MDPI and/or the editor(s) disclaim responsibility for any injury to people or property resulting from any ideas, methods, instructions or products referred to in the content. |
© 2024 by the authors. Licensee MDPI, Basel, Switzerland. This article is an open access article distributed under the terms and conditions of the Creative Commons Attribution (CC BY) license (https://creativecommons.org/licenses/by/4.0/).
Share and Cite
Liao, L.; Yang, Z.; Chen, X.; Zhuo, H.; Xu, H.; Xu, N.; Cheng, D. Quaternion-Based Non-Singular Terminal Sliding Mode Control of Quadrotor with a Two-Degree-of-Freedom Deformable Arm for Narrow Environments. Drones 2024, 8, 629. https://doi.org/10.3390/drones8110629
Liao L, Yang Z, Chen X, Zhuo H, Xu H, Xu N, Cheng D. Quaternion-Based Non-Singular Terminal Sliding Mode Control of Quadrotor with a Two-Degree-of-Freedom Deformable Arm for Narrow Environments. Drones. 2024; 8(11):629. https://doi.org/10.3390/drones8110629
Chicago/Turabian StyleLiao, Luwei, Zhong Yang, Xu Chen, Haoze Zhuo, Hongyu Xu, Nuo Xu, and Danguo Cheng. 2024. "Quaternion-Based Non-Singular Terminal Sliding Mode Control of Quadrotor with a Two-Degree-of-Freedom Deformable Arm for Narrow Environments" Drones 8, no. 11: 629. https://doi.org/10.3390/drones8110629
APA StyleLiao, L., Yang, Z., Chen, X., Zhuo, H., Xu, H., Xu, N., & Cheng, D. (2024). Quaternion-Based Non-Singular Terminal Sliding Mode Control of Quadrotor with a Two-Degree-of-Freedom Deformable Arm for Narrow Environments. Drones, 8(11), 629. https://doi.org/10.3390/drones8110629

