Apoptotic Effect of Boron Derivatives on HL-60 Acute Promyelocytic Leukemia Cell Line †
Abstract
:1. Introduction
2. Materials and Methods
2.1. Cell Culture
2.2. Cell Viability
2.3. Western Blotting
2.4. Flow Cytometry
2.5. Statistical Analysis
3. Results
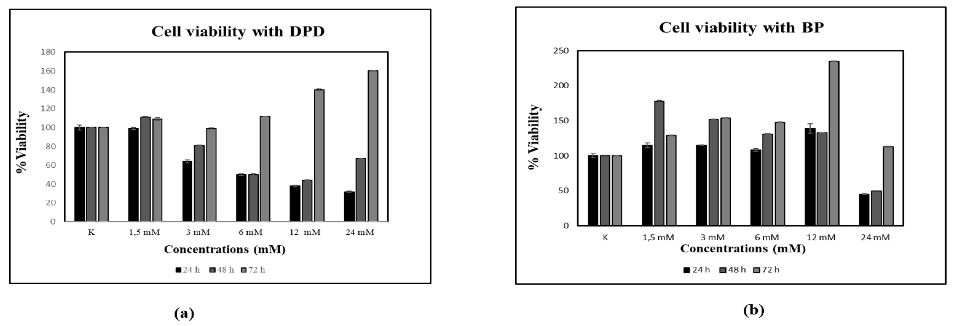
3.1. MTT (Cell Viability)
3.2. Flow Cytometry
3.3. Western Blot Analysis
4. Discussion
5. Conclusions
Author Contributions
Acknowledgments
Conflicts of Interest
References
- Siegel, R.L.; Miller, K.D.; Jemal, A. Cancer statistics, 2015. CA Cancer J. Clin. 2015, 65, 5–29. [Google Scholar] [CrossRef] [PubMed]
- Siveen, K.S.; Uddin, S.; Mohammad, R.M. Targeting acute myeloid leukemia stem cell signaling by natural products. Mol. Cancer 2017, 16, 13. [Google Scholar] [CrossRef] [PubMed]
- Testa, U.; Riccioni, R. Deregulation of apoptosis in acute myeloid leukemia. Haematologica 2007, 92, 81–94. [Google Scholar] [CrossRef] [PubMed]
- Barranco, W.T.; Eckhert, C.D. Boric acid inhibits human prostate cancer cell proliferation. Cancer Lett. 2004, 216, 21–29. [Google Scholar] [CrossRef] [PubMed]
- Korkmaz, M.; Avcı, C.B.; Gunduz, C.; Aygunes, D.; Erbaykent-Tepedelen, B. Disodium pentaborate decahydrate (DPD) induced apoptosis by decreasing hTERT enzyme activity and disrupting F-actin organization of prostate cancer cells. Tumor Biol. 2014, 35, 1531–1538. [Google Scholar] [CrossRef] [PubMed]
- Canturk, Z.; Tunali, Y.; Korkmaz, S.; Gulbaş, Z. Cytotoxic and apoptotic effects of boron compounds on leukemia cell line. Cytotechnology 2016, 68, 87–93. [Google Scholar] [CrossRef] [PubMed]
- Dibas, A.; Howard, J.; Anwar, S.; Stewart, D.; Khan, A. Borato-1, 2-diaminocyclohexane platinum (II), a novel anti-tumor drug. Biochem. Biophys. Res. Commun. 2000, 270, 383–386. [Google Scholar] [CrossRef] [PubMed]



Publisher’s Note: MDPI stays neutral with regard to jurisdictional claims in published maps and institutional affiliations. |
© 2018 by the authors. Licensee MDPI, Basel, Switzerland. This article is an open access article distributed under the terms and conditions of the Creative Commons Attribution (CC BY) license (https://creativecommons.org/licenses/by/4.0/).
Share and Cite
Erkmen, T.; Serdar, B.S.; Ateş, H.; Korkmaz, M.; Koçtürk, S. Apoptotic Effect of Boron Derivatives on HL-60 Acute Promyelocytic Leukemia Cell Line. Proceedings 2018, 2, 1533. https://doi.org/10.3390/proceedings2251533
Erkmen T, Serdar BS, Ateş H, Korkmaz M, Koçtürk S. Apoptotic Effect of Boron Derivatives on HL-60 Acute Promyelocytic Leukemia Cell Line. Proceedings. 2018; 2(25):1533. https://doi.org/10.3390/proceedings2251533
Chicago/Turabian StyleErkmen, Tuğba, Belgin Sert Serdar, Halil Ateş, Mehmet Korkmaz, and Semra Koçtürk. 2018. "Apoptotic Effect of Boron Derivatives on HL-60 Acute Promyelocytic Leukemia Cell Line" Proceedings 2, no. 25: 1533. https://doi.org/10.3390/proceedings2251533
APA StyleErkmen, T., Serdar, B. S., Ateş, H., Korkmaz, M., & Koçtürk, S. (2018). Apoptotic Effect of Boron Derivatives on HL-60 Acute Promyelocytic Leukemia Cell Line. Proceedings, 2(25), 1533. https://doi.org/10.3390/proceedings2251533

