Crystal Structure and Structural Features of 8a-Phenylhexahydropyrrolo[1,2-a]pyrimidin-6(2H)-One †
Abstract
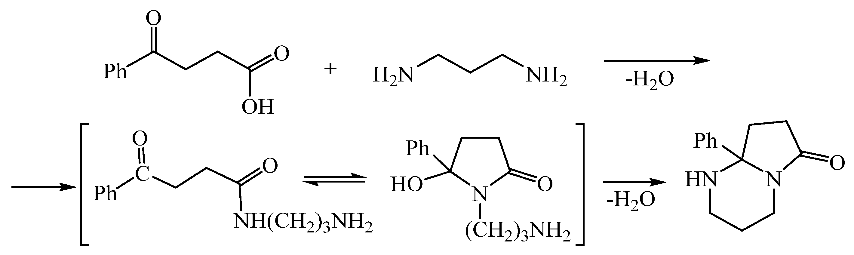
:1. Introduction
2. Results
3. Discussion
4. Materials and Methods
Author Contributions
Acknowledgments
Conflicts of Interest
Abbreviations
| MDPI | Multidisciplinary Digital Publishing Institute |
| DOAJ | Directory of open access journals |
| CCDC | The Cambridge Crystallographic Data Centre |
| RFBR | Russian Foundation for Basic Research |
References
- Kazemi, S.S.; Keivanloo, A.; Nasr-Isfahani, H.; Bamoniri, A. Synthesis of novel 1,5-disubstituted pyrrolo[1,2-a] quinazolines and their evaluation for anti-bacterial and anti-oxidant activities. RSC Adv. 2016, 6, 92663–92669. [Google Scholar] [CrossRef]
- Chimirri, A.; Grasso, S.; Monforte, P.; Romeo, G.; Zappala, M. Synthesis and characterization of isomeric 2,3,3a,4-tetrahydro-1H-pyrrolo[1,2-a]benzimidazol-1-ones from 1,2-phenylenediamines and 3-acylpropionic acids. Heterocycles 1988, 27, 93–100. [Google Scholar] [CrossRef]
- Sedavkina, V.A.; Lizak, I.V.; Sorokin, N.N. Synthesis and 13C NMR spectra of 5-alkyl-1,4-diaza- and 5-alkyl-1-aza-4-oxabicyclo[3.3.0]octan-8-ones. Chem. Heterocycl. Compd. 1987, 23, 1129–1132. [Google Scholar] [CrossRef]
- Garcías-Morales, C.; Martínez-Salas, S.H.; Ariza-Castolo, A. The effect of the nitrogen non-bonding electron pair on the NMR and X-ray in 1,3-diazaheterocycles. Tetrahedron Lett. 2012, 53, 3310–3315. [Google Scholar] [CrossRef]
- Al-Resayes, S. 2-Methyl-2-(2-pyridyl)hexahydropyrimidine. Acta Cryst. Sect. E 2009, 65, o1874. [Google Scholar] [CrossRef] [PubMed]
- Zhou, H.; Chaminda Lakmal, H.H.; Baine, J.; Valle, H.; Xu, X.; Cui, X. Chem. Sci. 2017, 8, 6520–6524. [CrossRef] [PubMed]
- Grinev, V.S.; Egorova, A.Y. 3a-Phenyl-2,3,3a,4-tetrahydro-1H-benzo[d]pyrrolo[1,2-a]imidazole-1-one, a potential plant-growth regulator. Acta Cryst. Sect. C 2013, 69 Pt 7, 880–883. [Google Scholar] [CrossRef] [PubMed]
- Bruker. SAINT v7.23A, Bruker AXS Inc.: Billerica, MA, USA, 2005.
- Sheldrick, G.M. SADABS v2008/1, Bruker/Siemens Area Detector Absorption Correction Program; Bruker AXS Inc.: Billerica, MA, USA, 2008. [Google Scholar]
- Sheldrick, G.M. Crystal structure refinement with SHELXL. Acta Cryst. Sect. C 2015, 71, 3–8. [Google Scholar] [CrossRef] [PubMed]
- Dolomanov, O.V.; Bourhis, L.J.; Gildea, R.J.; Howard, J.A.K.; Puschmann, H. OLEX2: A complete structure solution, refinement and analysis program. J. Appl. Cryst. 2009, 42, 339–341. [Google Scholar] [CrossRef]


| D-H...A | d(D-H) | d(H...A) | d(D...A) | <(DHA) |
|---|---|---|---|---|
| N(2)-H(2N)...O(1) 1 | 0.90 | 2.27 | 3.098(3) | 153 |
Publisher’s Note: MDPI stays neutral with regard to jurisdictional claims in published maps and institutional affiliations. |
© 2018 by the authors. Licensee MDPI, Basel, Switzerland. This article is an open access article distributed under the terms and conditions of the Creative Commons Attribution (CC BY) license (https://creativecommons.org/licenses/by/4.0/).
Share and Cite
Linkova, E.; Grinev, V.; Krivoshchekova, E.; Yegorova, A. Crystal Structure and Structural Features of 8a-Phenylhexahydropyrrolo[1,2-a]pyrimidin-6(2H)-One. Proceedings 2018, 2, 1121. https://doi.org/10.3390/IECC_2018-05256
Linkova E, Grinev V, Krivoshchekova E, Yegorova A. Crystal Structure and Structural Features of 8a-Phenylhexahydropyrrolo[1,2-a]pyrimidin-6(2H)-One. Proceedings. 2018; 2(14):1121. https://doi.org/10.3390/IECC_2018-05256
Chicago/Turabian StyleLinkova, Elena, Vyacheslav Grinev, Elizaveta Krivoshchekova, and Alevtina Yegorova. 2018. "Crystal Structure and Structural Features of 8a-Phenylhexahydropyrrolo[1,2-a]pyrimidin-6(2H)-One" Proceedings 2, no. 14: 1121. https://doi.org/10.3390/IECC_2018-05256
APA StyleLinkova, E., Grinev, V., Krivoshchekova, E., & Yegorova, A. (2018). Crystal Structure and Structural Features of 8a-Phenylhexahydropyrrolo[1,2-a]pyrimidin-6(2H)-One. Proceedings, 2(14), 1121. https://doi.org/10.3390/IECC_2018-05256

