Next Article in Journal
Blast Wave Assessment in a Compound Survival Container: Small-Scale Testing
Previous Article in Journal
Experimental Modal Analysis of Violins Made from Composites
 
 
Font Type:
Arial Georgia Verdana
Font Size:
Aa Aa Aa
Line Spacing:
Column Width:
Background:
Proceeding Paper

Synthesis and Structural Assessment of Methyl 2-(4-Phenyl-5-(Pyridin-2-yl)-4H-1,2,4-Triazol-3-yl)Thioacetate (phpy2NS) and Its Complex with HgCl2 †

by
Alfonso Castiñeiras
,
Isabel García-Santos
* and
Manuel Saa
Department of Inorganic Chemistry, Faculty of Pharmacy, University of Santiago de Compostela, 15782 Santiago de Compostela, Spain
*
Author to whom correspondence should be addressed.
Presented at the 1st International Electronic Conference on Crystals, 21–31 May 2018. Available online: https://sciforum.net/conference/IECC_2018.
Proceedings 2018, 2(14), 1115; https://doi.org/10.3390/IECC_2018-05249
Published: 7 September 2018
(This article belongs to the Proceedings of The 1st International Electronic Conference on Crystals)

Abstract

:
Reaction of 2-cyanopyridine with N-phenylthiosemicarbazide afforded the 4-phenyl-5-(pyridin-2-yl)-2,4-dihydro-3H-1,2,4-triazole-3-thione. Methyl 2-((4-phenyl-5-(pyridin-2-yl)-4H-1,2,4-triazol-3-yl)thio)acetate (phpy2NS, 1), derived from this 1,2,4-triazole-3-thione, was obtained by reaction with chloroacetic acid followed by an acid-catalyzed esterification of the carboxylic acid with methyl alcohol. Synthesis of a Hg(II) complex, [Hg(phpy2NS)Cl2] (2), has been performed using the ligand (1) and HgCl2. The molecular and supramolecular structures of the ligand and the complex were studied by X-ray diffractometry.

1. Introduction

Thiosemicarbazones continue to draw attention not only as multifunctional ligands [1], but also because they can undergo ring closure processes through the action of bases, acids, or oxidants. Reactions may follow different routes depending on the open chain substrate (thiosemicarbazone) structure as well as the nature of the cyclizing agent. Metal cations represent an interesting class of oxidizing agents [2]. The oxidative cyclization of thiosemicarbazones is influenced by the hardness/softness of the metal cation as well as by its oxidizing strength, and can lead to the formation of 1,2,4-triazoline-5-thione, its tautomeric form 1,2,4-triazole-5-thiol, 1,3,4-thiadiazole-2-amine, or 1,3,4-thiadiazoline-2-imine derivatives. In particular, formamide thiosemicarbazones, as well as 1,2,4-triazole-5-thiones and 1,3,4-thiadiazoles, can also form 1,2,4-triazole-5-amine derivatives [3]. Although these cyclizations are well described in the literature, especially those involving Fe(III) or Cu(II) cations, their mechanism is still not clearly resolved. Recently, the field has been enriched by a number of papers reporting on metal-induced cyclizations of thiosemicarbazones involving cations such as Ag(I), Zn(II), Cd(II), etc., [4].
In recent years, the 1,2,4-triazole-5-thiones functionalized with aromatic heterocycles and their derivatives have received considerable attention due to their medical importance; several drugs contain 1,2,4-triazole, in addition to other compounds with diverse biological activity. Moreover, 1,2,4-triazole and its derivatives are very interesting ligands because they combine the coordination geometry of both pyrazole and imidazole with regard to the arrangement of their three heteroatoms. The ligand 1,2,4-triazole and its derivatives can form a remarkable variety of transition metal complexes differing in coordination number and geometry as well as in the number of metal ions per coordination unit, affording polynuclear compounds with unique properties. In previous works, we have studied and structurally analyzed the compounds resulting from the reactions of several pyrazine formamide thiosemicarbazones with chloroacetic or bromoacetic acids, using a conventional synthetic methodology and microwave-assisted organic reaction enhancement [3]. We also analyzed new 1,2,4-triazole-5-thione-Hg(II) complexes obtained in the same oxidative cyclization of thiosemicarbazones, in the presence of Hg(II) halides [5]. Keeping in mind the above and in continuation of our search for 1,2,4-triazole derivatives and its behavior toward different metal ions, we herein report the synthesis and structural characterization of a new 1,2,4-triazole and its complex with HgCl2.

2. Results and Discussion

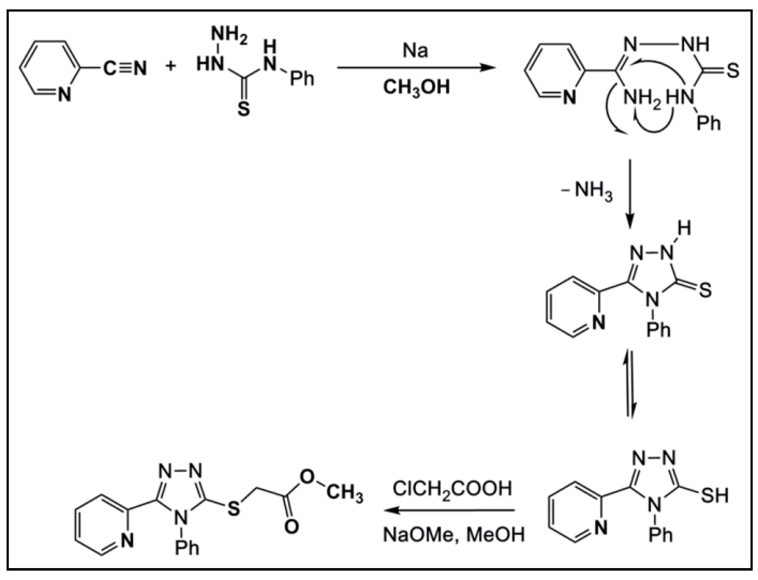
The proposed cyclization mechanism to form 1,2,4-triazole-5-thione suggests a nucleophilic attack of the N4 thioamide of the formamide thiosemicarbazone on the azomethine carbon, with the elimination of a molecule of NH3. Subsequent treatment with chloroacetic acid in methanol yields the methyl acetate of the 1,2,4-triazole-3-thiol, as shown in Scheme 1. This cyclization was also observed in 2-pyridinethiosemicarbazone derivatives in the presence of Ag(I) [3,4]. The Hg (II) complex obtained with the 2-((4-phenyl-5-(pyridin-2-yl)-4H-1,2,4-triazole-3-yl)thio) acetate was synthesized by direct reaction of ligand with mercury(II) chloride dissolved in methanol, with moderate yields. Crude products were crystallized from methanol. The compounds were characterized by elementary analysis data, and their crystal structures were confirmed by X-ray diffraction. The crystals are stable enough to be stored under ambient conditions for several months. The compounds displayed high solubility in common organic solvents.
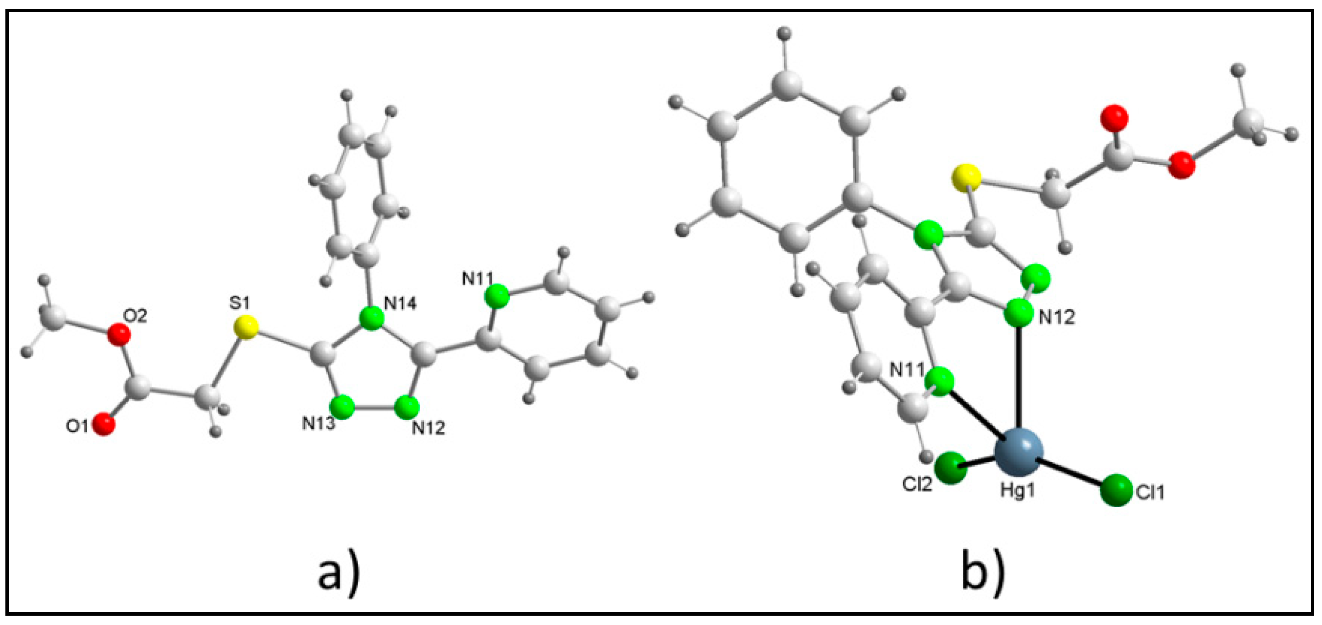
  • Molecular structure of methyl 2-((4-phenyl-5-(pyridin-2-yl)-4H-1,2,4-triazol-3-yl)thio)acetate
Compound 1 crystallizes in the P21/c monoclinic space group. The molecular structure is represented in Figure 1a. The dihedral angle between the carboxylic group (C1/C2/O1/O2) and the triazole ring is 1.9(1), which indicates that these two groups are almost coplanar. The triazoline and pyridine rings are essentially planar, but they are skewed by 22.7(1) with respect to each other, limiting the possible conjugation of the two aromatic systems.
Similarly, the plane of the phenyl ring is twisted by 70.56(5)° out of the mean plane of the triazoline ring. The N(11) pyridine and N(12) triazoline nitrogen atoms are trans with a torsion angle N11/C15/C16/N12 of 154.9(1)°. The C15–C16 bond length [1.470(3) Å] is shorter than expected due to some degree of electronic delocalization. The C17–S1 bond length of 1.743(2) Å differs only slightly from the corresponding bond length in 1,2,4-triazole-3-thiol derivatives (1.773 Å). The C17–S1 bond is appreciably shorter than the S1–C2 bond with the carboxylic fragment [1.813(2) Å] and is closer to a standard single C s p 3 –S bond (1.817 Å). The C–C and C–O bond lengths are close to the typical values for carboxylic groups [6].
In the crystal packing of 1, each molecule is connected to two others through non-classical intermolecular hydrogen bonds: C11-H11···S1 and C11-H11···O2 (x + 1,−y + 1/2,z + 1/2), with typical hydrogen bond motifs such as R 1 2 (5) giving rise to bands in a plane parallel to “ab”, see Figure 2. These bands are stacked and held together in the direction of the “a” axis by two other non-classical hydrogen bonds, C19-H19···N11 (x − 1,y,z) and C113-H113···S1 (x + 1,y,z), supporting a stable 2D supramolecular network structure, as shown in Figure 2.
  • Molecular structure of methyl 2-((4-phenyl-5-(pyridin-2-yl)-4H-1,2,4-triazol-3-yl)thio)acetate dichloridomercury(II)
Compound 2 crystallizes in the P 1 ¯ triclinic space group. The asymmetric unit contains a four-coordinate structure composed of an N,N chelating “phpy2NS” ligand through the N11 and N12 nitrogen atoms and two chlorido ligands. Their arrangement is considerably distorted from the ideal tetrahedral geometry. The molecular structure is represented in Figure 1b. The Cl-Hg-Cl angle [148.93(5)°] is much wider than other bond angles around the metal center [67.54(14)–114.52(10)°]. The molecular structure of 2 can be best described as a distorted seesaw-shaped geometry where the Cl-Hg-Cl moiety corresponds to the long board of the seesaw. The τ4 value, developed by Houser et al. for evaluating the geometry of four-coordinate complexes, was calculated for 2 as 0.64, which is close to the reported values (~0.70 ± 0.02) for complexes adopting a seesaw-shaped geometry [7]. The triazole and pyridine rings are nearly coplanar [dihedral angle 26.6(2)°] and the torsion angle N11/C15/C16/N12 is 25.5(7)°, as a consequence of the N,N coordination. The dihedral angle between the carboxylic group (C1/C2/O1/O2) and the triazole ring is 75.7(2)°, conformation that “phpy2NS” has changed remarkably due to its coordination.
The bonds between Hg and the two nitrogen donors [2.423(4) for Hg-Npy and 2.578(4) Å for Hg-Ntrz] are slightly longer in 2 than in mercury(II) chloride complexes with 4-methyl-N-((quinolin-2-yl)ethylidene)aniline [8]. The Hg atom is bonded to two terminal chlorido ligands at 2.348(1) and 2.358(1) Å. These bond lengths are within the expected range for mercury(II) chlorido complexes containing N,N chelating heterocycles as ligands [9]. The S1–C1 and S1–C17 bond lengths [1.799(5) and 1.738(5) Å, respectively] are comparable to those found in the free ligands S1–C1, 1.813(2) Å and S1–C17, 1.743(2) Å, respectively. This is as expected because the thioether group is not involved in coordinate bonding.
In 2, the supramolecular arrangement shows that the crystal packing is achieved by non-classical H-bonding [10]. These interactions were calculated with C3, C19, and C113 atoms in the asymmetric unit as the H donors, and Cl2 or O1 atoms in neighboring molecules as the H acceptors; H3C···Cl2a, H19···O1b, and H113···Cl2c distances were 2.79(2), 2.59(2), and 2.84(2) Å, respectively. When a dimer occurs, these intermolecular interactions can be generated by symmetry along both the “a” as well as the “c” crystallographic axes, as shown in Figure 3. [Symmetry codes: (a) x − 1, y, z; (b) x + 1, y, z; (c) x − 1, y − 1, z]. Thus, the dimer will present a total of six interactions, all of them with the same structural parameters.

3. Materials and Methods

All reagents and solvents were commercial products that were used as received, without further purification. Compound 1 was prepared as follows: Picolinonitrile was dissolved in a solution of sodium in dry MeOH. Then, N-phenylhydrazinecarbothioamide was added slowly to the resulting solution with stirring. The mixture was heated under reflux for some time, and the resulting yellow solid was filtered off and washed with methanol. A portion of this solid with a small amount of silver nitrate in methanol/water was warmed and stirred for 1 h, and a solution of chloroacetic acid in methanol was added slowly. The mixture was heated under reflux for approximately 5 h, and the white precipitate was filtered off, washed with dry MeOH, and recrystallized from methanol to give pure 1 as colorless crystals. Another portion of the yellow solid containing HgCl2 in methanol was warmed and stirred for some time, and then a solution of chloroacetic acid in methanol was added slowly. The final mixture was heated under reflux for about 5 h and the precipitate was filtered off, washed with dry MeOH, and recrystallized from methanol to give colorless crystals of compound 2. Both compounds were well characterized and their structures were resolved by X-ray diffractometry. For X-ray analysis, intensity data were collected at 100 K on a Bruker X8 KappaAPEXII diffractometer. Structures were solved by direct methods followed by difference Fourier calculations, and were refined by a full-matrix least-squares procedure using SHELXLTL. The structures of 1 and 2 were deposited at the Cambridge Crystallographic Data Centre with CCDC Nos. 1837083 and 1837084, respectively.

Acknowledgments

Financial support from the Network of Excellence “Metallic Ions in Biological Systems” CTQ2017-90802-REDT [Ministerio de Economía y Competitividad (Spain) and European Regional Development Fund (EU)], and the Xunta de Galicia (Spain) [Rede de Excelencia MetalBIO ED431D 2017/01].

Conflicts of Interest

The authors declare no conflict of interest.

References

  1. Casas, J.S.; García-Tasende, M.S.; Sordo, J. Main group metal complexes of semicarbazones and thiosemicarbazones. A structural review. Coord. Chem. Rev. 2000, 209, 197–261. [Google Scholar] [CrossRef]
  2. Lo Meo, P.; Gruttadauria, M.; Noto, R. Oxidative cyclization of aldehyde thiosemicarbazones induced by potassium ferricyanide and by tris(p-bromophenyl)amino hexachloroantimoniate. A joint experimental and computational study. Arkivoc 2005, 1, 114–129. [Google Scholar] [CrossRef]
  3. Castiñeiras, A.; García-Santos, I.; Nogueiras, S.; Rodríguez-González, I.; Rodríguez-Riobó, R. Supramolecular interactions in biologically relevant compounds. 2-Pyrazineformamide thiosemicarbazones and some products of their cyclization. J. Mol. Struct. 2014, 1074, 1–18. [Google Scholar] [CrossRef]
  4. Castiñeiras, A.; García-Santos, I.; Dehnen, S.; Sevillano, P. Synthesis, characterization and DFT calculations of a novel hexanuclear silver(I) cluster-complex containing 4-ethyl-5-pyridin-2-yl-2,4-dihydro-[1,2,4]triazol-3-thione as a result from the cyclization of 2-pyridinformamide N-4-ethylthiosemicarbazone. Polyhedron 2006, 25, 3653–3660. [Google Scholar] [CrossRef]
  5. Bermejo, E.; Castiñeiras, A.; García-Santos, I.; Rodríguez-Riobó, R. In situ generation of functionalized 1,2,4-triazole-5-thiones containing pyridine or pyrazine moieties and their coordination to HgII. CrystEngComm 2016, 18, 3428–3446. [Google Scholar] [CrossRef]
  6. Orpen, A.G.; Brammer, L.; Allen, F.H.; Kennard, O.; Watson, D.G.; Taylor, R. Typical Interatomic Distances in Organic Compounds and Organometallic Compounds and Coordination Complexes of the d- and f-block metals. In Structure Correlation; Bürgi, H.-B., Dunitz, J.D., Eds.; VCH: Weinheim, Germany, 1994; Volume 2, pp. 751–857. [Google Scholar]
  7. Yang, L.; Powell, D.R.; Houser, R.P. Structural variation in copper(I) complexes with pyridylmethylamide ligands: Structural analysis with a new four-coordinate geometry index, τ4. Dalton Trans. 2007, 955–964. [Google Scholar] [CrossRef] [PubMed]
  8. Wang, A.; Fan, R.; Dong, Y.; Chen, W.; Song, Y.; Wang, P.; Hao, S.; Liu, Z.; Yang, Y. (E)-4-Methyl-N-((quinolin-2-yl)ethylidene)aniline as ligand for IIB supramolecular complexes: Synthesis, structure, aggregation-induced emission enhancement and application in PMMA-doped hybrid material. Dalton Trans. 2017, 46, 71–85. [Google Scholar] [CrossRef] [PubMed]
  9. Bakir, M.; Conry, R.R.; Green, O. X-ray crystallographic, spectroscopic, and electrochemical properties of [HgCl22-N,N′-dpktch)] (κ2-N,N′-dpktch = di-2-pyridyl ketone thiophene-2-carboxylic acid hydrazone). J. Mol. Struct. 2009, 921, 51–57. [Google Scholar] [CrossRef]
  10. Jeffrey, G.A. An Introduction to Hydrogen Bonding; OUP: New York, NY, USA, 1997. [Google Scholar]
Scheme 1. Mechanism for the formation of 1,2,4-triazole-3-thiol and thioacetic acid derivatives from 2-cyanopyridine and N-phenylthiosemicarbazide.
Scheme 1. Mechanism for the formation of 1,2,4-triazole-3-thiol and thioacetic acid derivatives from 2-cyanopyridine and N-phenylthiosemicarbazide.
Proceedings 02 01115 sch001
Figure 1. A perspective view showing the atom-numbering scheme of: (a) phpy2NS, 1; (b) [Hg(phpy2NS)Cl2], 2.
Figure 1. A perspective view showing the atom-numbering scheme of: (a) phpy2NS, 1; (b) [Hg(phpy2NS)Cl2], 2.
Proceedings 02 01115 g001
Figure 2. Crystal packing diagram for compound 1 showing the intermolecular interactions.
Figure 2. Crystal packing diagram for compound 1 showing the intermolecular interactions.
Proceedings 02 01115 g002
Figure 3. Crystal packing diagram for compound 2 showing the intermolecular interactions.
Figure 3. Crystal packing diagram for compound 2 showing the intermolecular interactions.
Proceedings 02 01115 g003
Publisher’s Note: MDPI stays neutral with regard to jurisdictional claims in published maps and institutional affiliations.

Share and Cite

MDPI and ACS Style

Castiñeiras, A.; García-Santos, I.; Saa, M. Synthesis and Structural Assessment of Methyl 2-(4-Phenyl-5-(Pyridin-2-yl)-4H-1,2,4-Triazol-3-yl)Thioacetate (phpy2NS) and Its Complex with HgCl2. Proceedings 2018, 2, 1115. https://doi.org/10.3390/IECC_2018-05249

AMA Style

Castiñeiras A, García-Santos I, Saa M. Synthesis and Structural Assessment of Methyl 2-(4-Phenyl-5-(Pyridin-2-yl)-4H-1,2,4-Triazol-3-yl)Thioacetate (phpy2NS) and Its Complex with HgCl2. Proceedings. 2018; 2(14):1115. https://doi.org/10.3390/IECC_2018-05249

Chicago/Turabian Style

Castiñeiras, Alfonso, Isabel García-Santos, and Manuel Saa. 2018. "Synthesis and Structural Assessment of Methyl 2-(4-Phenyl-5-(Pyridin-2-yl)-4H-1,2,4-Triazol-3-yl)Thioacetate (phpy2NS) and Its Complex with HgCl2" Proceedings 2, no. 14: 1115. https://doi.org/10.3390/IECC_2018-05249

APA Style

Castiñeiras, A., García-Santos, I., & Saa, M. (2018). Synthesis and Structural Assessment of Methyl 2-(4-Phenyl-5-(Pyridin-2-yl)-4H-1,2,4-Triazol-3-yl)Thioacetate (phpy2NS) and Its Complex with HgCl2. Proceedings, 2(14), 1115. https://doi.org/10.3390/IECC_2018-05249

Article Metrics

Back to TopTop