Optical and Electrical Characterizations of Uncooled Bolometers Based on LSMO Thin Films †
Abstract
:1. Introduction
2. Bolometer Operation
3. Experimental Details
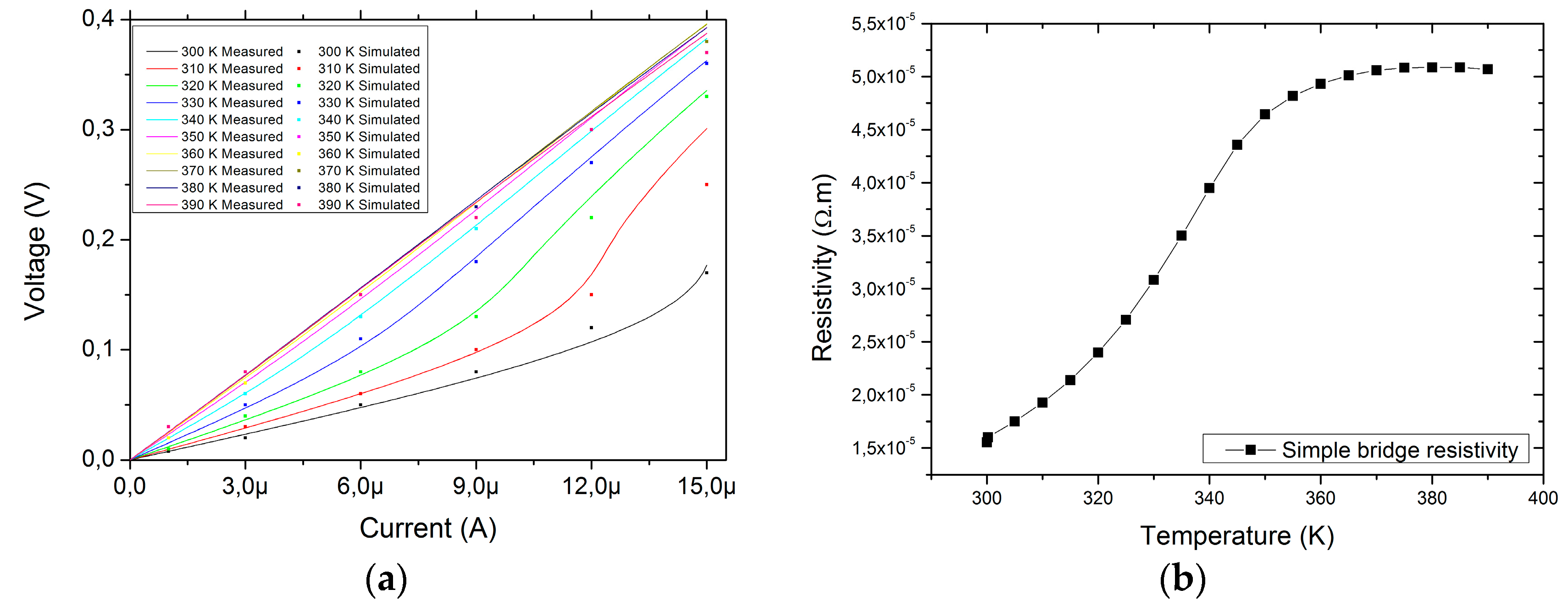
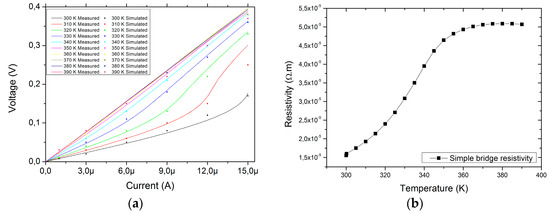
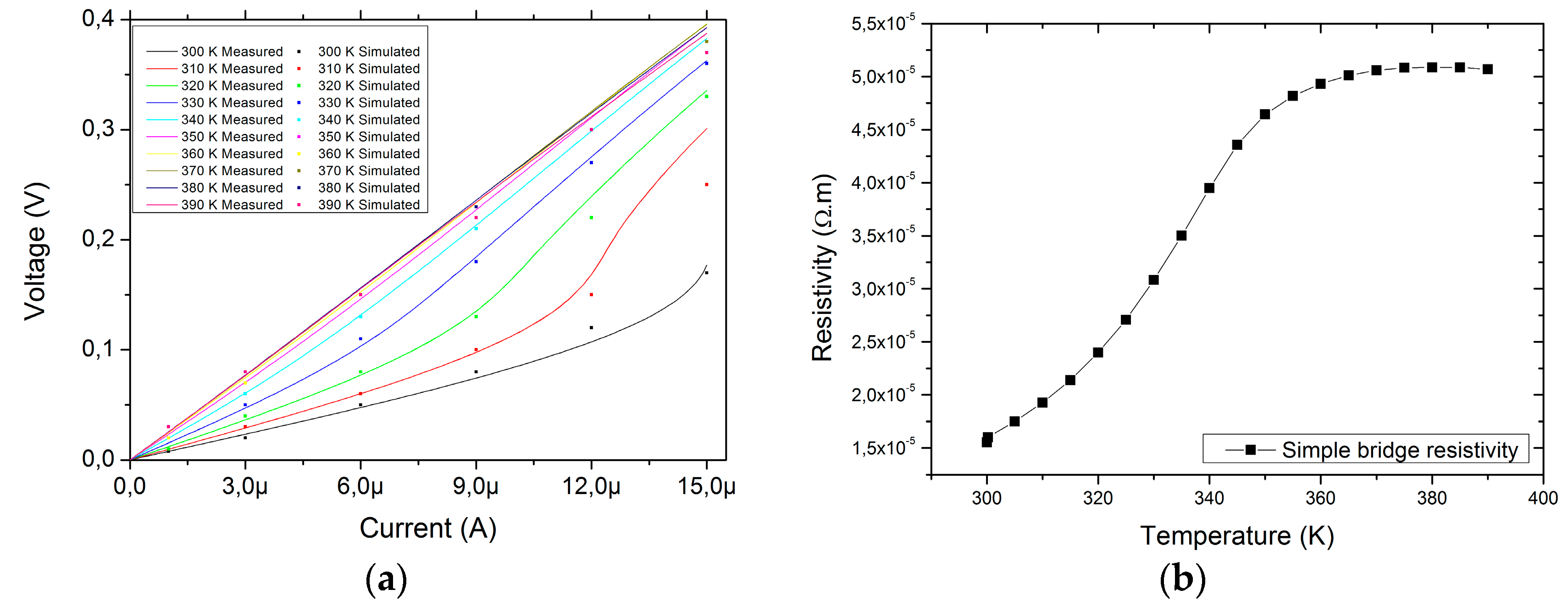
4. Results and Discussion
5. Conclusions
Acknowledgments
Conflicts of Interest
References
- Richards, P.L. Bolometers for infrared and millimeter waves. J. Appl. Phys. 1994, 76, 1. [Google Scholar] [CrossRef]
- Goyal, A.; Rajeswari, M.; Shreekala, R.; Lofland, S.E.; Bhagat, S.M.; Boettcher, T.; Kwon, C.; Ramesh, R.; Venkatesan, T. Material characteristics of perovskite manganese oxide thin films for bolometric applications. Appl. Phys. Lett. 1997, 71, 2535. [Google Scholar] [CrossRef]
- Rajeswari, M.; Chen, C.H.; Goyal, A.; Kwon, C.; Robson, M.C.; Ramesh, R.; Venkatesan, T.; Lakeou, S. Low-frequency optical response in epitaxial thin films of La0.97Ca0.33MnO3 exhibiting colossal magnetoresistance. Appl. Phys. Lett. 1996, 68, 3555. [Google Scholar] [CrossRef]
- Méchin, L.; Routoure, J.M.; Guillet, B.; Yang, F.; Flament, S.; Robbes, D.; Chakalov, R.A. Uncooled bolometer response of a low noise La2/3Sr1/3MnO3 thin film. Appl. Phys. Lett. 2005, 87, 204103. [Google Scholar] [CrossRef]
- Yang, F.; Méchin, L.; Routoure, J.M.; Guillet, B.; Chakalov, R.A. Low noise La0.7Sr0.3MnO3 thermometers for uncooled bolometric applications. J. Appl. Phys. 2006, 99, 024903. [Google Scholar] [CrossRef]
- Méchin, L.; Routoure, J.-M.; Mercone, S.; Yang, F.; Flament, S.; Chakalov, R.A. 1/f noise in patterned La2/3Sr1/3MnO3 thin films in the 300–400 K range. J. Appl. Phys. 2008, 103, 083709. [Google Scholar] [CrossRef]
- Méchin, L.; Wu, S.; Guillet, B.; Perna, P.; Fur, C.; Lebargy, S.; Adamo, C.; Schlom, D.G.; Routoure, J.M. Experimental evidence of correlation between 1/f noise level and metal-to-insulator transition temperature in epitaxial La0.7Sr0.3MnO3 thin films. J. Phys. D Appl. Phys. Fast Track Commun. 2013, 46, 202001. [Google Scholar] [CrossRef]
- Zerov, V.Y.; Malyarov, V.G. Heat-sensitive materials for uncooled microbolometer arrays. J. Opt. Technol. 2001, 68, 939. [Google Scholar] [CrossRef]
- Guillet, S.L.B.; Aryan, A.; Adamo, C.; Fur, C.; Routoure, J.-M.; Lemarié, F.; Schlom, D.G.; Méchin, L. La0.7Sr0.3MnO3 suspended microbridges for uncooled bolometers made using reactive ion etching of the silicon substrates. Microelectron. Eng. 2013, 111, 101–104. [Google Scholar]
- Méchin, L.; Adamo, C.; Wu, S.; Guillet, B.; Lebargy, S.; Fur, C.; Routoure, J.-M.; Mercone, S.; Belmeguenai, M.; Schlom, D.G. Epitaxial La0.7Sr 0.3MnO3 thin films grown on SrTiO3 buffered silicon substrates by reactive molecular-beam-epitaxy. Phys. Status Solidi A 2012, 209, 1090. [Google Scholar] [CrossRef]
- Guillet, B.; Robbes, D.; Méchin, L. YBCO transition edge sensors used for very low noise thermal control. IEEE Trans. Appl. Supercond. 2003, 13, 657–660. [Google Scholar] [CrossRef]
- Guillet, B.; Robbes, D.; Méchin, L. Low noise temperature control: Application to an active cavity radiometer. Rev. Sci. Instrum. 2003, 74, 243–249. [Google Scholar] [CrossRef]
- Routoure, J.-M.; Fadil, D.; Flament, S.; Méchin, L. A low noise high output impedance DC current source. AIP Conf. Proc. 2007, 922, 419–424. [Google Scholar]
- Aryan, A.; Guillet, B.; Routoure, J.M.; Fur, C.; Langlois, P.; Méchin, L. Measurement of thermal conductance of La0.7Sr0.3MnO3 thin films deposited on SrTiO3 and MgO substrates. Appl. Surf. Sci. 2015, 326, 204–210. [Google Scholar] [CrossRef]


Publisher’s Note: MDPI stays neutral with regard to jurisdictional claims in published maps and institutional affiliations. |
© 2017 by the authors. Licensee MDPI, Basel, Switzerland. This article is an open access article distributed under the terms and conditions of the Creative Commons Attribution (CC BY) license (https://creativecommons.org/licenses/by/4.0/).
Share and Cite
Nascimento, V.M.; Silva, M.E.B.G.N.; Liu, S.; Manera, L.; Méchin, L.; Guillet, B. Optical and Electrical Characterizations of Uncooled Bolometers Based on LSMO Thin Films. Proceedings 2017, 1, 634. https://doi.org/10.3390/proceedings1040634
Nascimento VM, Silva MEBGN, Liu S, Manera L, Méchin L, Guillet B. Optical and Electrical Characterizations of Uncooled Bolometers Based on LSMO Thin Films. Proceedings. 2017; 1(4):634. https://doi.org/10.3390/proceedings1040634
Chicago/Turabian StyleNascimento, Vanuza M., Mario E. B. G. N. Silva, Shuang Liu, Leandro Manera, Laurence Méchin, and Bruno Guillet. 2017. "Optical and Electrical Characterizations of Uncooled Bolometers Based on LSMO Thin Films" Proceedings 1, no. 4: 634. https://doi.org/10.3390/proceedings1040634
APA StyleNascimento, V. M., Silva, M. E. B. G. N., Liu, S., Manera, L., Méchin, L., & Guillet, B. (2017). Optical and Electrical Characterizations of Uncooled Bolometers Based on LSMO Thin Films. Proceedings, 1(4), 634. https://doi.org/10.3390/proceedings1040634
