Abstract
Increasing soil salinity is threatening agricultural productivity which implies the development of new sustainable strategies to deal with this challenge. The main objective here is to assess the potential for improving the tolerance of alfalfa to salinity by combining inoculations with rhizobia and AMF. However, the distinguishing feature of this study is the comparison of two alfalfa varieties’ microbial response to salinity. The greenhouse trial was conducted on an Australian variety Siriver and an indigenous Demnate population, which were inoculated with Rhizoglomus irregulare and/or native AMF, and/or a RhOL1 rhizobial strain. The RhOL1 strain was selected from nine rhizobia tested for their plant growth promoting rhizobacteria (PGPR) activities. In addition to its ability to tolerate high salinity levels (769 mM) and solubilize insoluble phosphate as well as potassium, it can also synthesize auxins such as IAA. The application of these biofertilizers was carried out in the absence and the presence of the saline stress (0 and 120 mM NaCl). The double inoculations of native AMF and RhOL1 significantly improve the shoot and root dry biomass, plant elongation, number of formed leaves, and mineral nutrition, as well as the number of nodules and the rate of mycorrhizal root colonization. The synergistic effects between the native AMF and RhOL1 strain have been demonstrated in this study. However, the behavior of alfalfa genotypes towards microbial inoculation was significantly different. The ability to react to the double indigenous RhOL1 + AMF inoculation is more important in the Siriver than in the Demnate population. Thus, the possibility of formulating biofertilizers is based on the AMF–rhizobia–hote tripartite combination for alfalfa production in saline areas.
Keywords:
alfalfa; arbuscular mycorrhizal fungi; rhizobium; salinity; mineral nutrition; infectivity 1. Introduction
Soil salinity, characterized by an excessive accumulation of soluble salts, results from a variety of natural and man-made causes [1]. Naturally, the weathering of parent rocks releases salts into the soil and watercourses, while in arid regions, high evaporation combined with low rainfall favors the concentration of these salts at the ground surface [2]. Human activities amplify this phenomenon, in particular, by irrigating with salt-rich water without adequate drainage, leading to an accumulation of salts in the soil, while inadequate irrigation management can cause dissolved salts to rise to the soil surface [3]. The capillary rise of saline water tables, often due to poor drainage, also contributes to salinization [4]. Finally, the intrusion of seawater into coastal areas, particularly during flooding or sea spray, can introduce salt into the soil [5]. These factors, whether natural or linked to human activities, contribute to soil salinization, affecting its fertility and plant production.
The excessive accumulation of salts in soils leads to osmotic and ionic stress that disrupts the absorption of water and nutrients, threatening crop productivity worldwide. According to the FAO, more than 20% of the world’s irrigated land is now being degraded by salinization, reducing productivity and directly threatening global food security [6]. This situation is particularly worrying in arid and semi-arid zones, where crops already have to cope with limited water resources. Soil salinity, often exacerbated by intensive farming practices and climate change, creates a hostile environment for the majority of crops [7]. By inhibiting the uptake of water and nutrients, it induces osmotic and oxidative stress, reducing both crop growth and yield. Given this urgency, it is becoming imperative to find sustainable alternatives capable of restoring crop resilience while respecting ecosystems [7,8].
Alfalfa (Medicago sativa), often referred to as the ‘queen of fodder plants’, plays a central role in modern agriculture. Thanks to its high protein content and beneficial role for soils, it is a valuable resource for animal feed and for improving the fertility of agricultural land [9]. Its ability to fix atmospheric nitrogen via symbiosis with soil bacteria, such as rhizobia, makes it an economically and ecologically advantageous plant, particularly in arid regions [10]. However, this emblematic plant remains vulnerable to salt stress. The accumulation of salts in the soil disrupts its metabolism by causing a reduction in water uptake, an accumulation of toxic sodium in the cells, and an ionic imbalance [11]. These physiological stresses result in reduced growth, lower biomass, and deterioration in its nutritional quality. The need to develop effective strategies to enhance alfalfa’s salt tolerance is therefore paramount. Given its importance in agricultural systems and its key role in regions threatened by salinization, the search for innovative alternatives to protect and enhance this crop productivity is essential.
Microbial biotechnologies, such as the use of plant growth-promoting rhizobacteria (PGPR) and arbuscular mycorrhizal fungi (AMF), offer promising solutions for mitigating the effects of salt stress on plants. These beneficial microorganisms play a crucial role by promoting nutrient uptake, improving osmotic adjustment, and stimulating plant antioxidant defense mechanisms [12,13,14,15,16]. In addition, plant–microbe symbioses can enhance crop resilience to abiotic stresses, while contributing to more sustainable agriculture [17,18]. However, despite significant advances in this field, few studies have explored the differential responses of different varieties of the same species to these microbial inoculations, particularly under conditions of salt stress.
In the case of alfalfa, which is widely cultivated worldwide, there is significant varietal diversity between local and imported cultivars. These varieties exhibit distinct responses to environmental conditions, but the specific mechanisms underlying these differences remain poorly understood, particularly in interaction with beneficial microbial agents [19]. A better understanding of these interactions can not only improve salt stress tolerance but also optimize the choice of varieties for local use, taking into account specific edaphoclimatic conditions.
The distinguishing feature of this study is its comparative approach, aimed at assessing the differentiated responses of two alfalfa varieties (local and imported) to microbial inoculation under salt stress conditions. Agro-physiological parameters such as growth, biomass, and ionic balance will be analyzed. These analyses will make it possible to characterize the specific tolerance mechanisms associated with each variety and to identify the advantages linked to plant–microbe interaction in constraining environments. The ultimate aim of this research is to provide practical recommendations for the selection and use of alfalfa varieties best adapted to saline soils, while incorporating sustainable biotechnological approaches based on microbial inoculation, especially double inoculation between rhizobia and AMF. This study will thus help to fill a major gap in the scientific literature and strengthen abiotic stress management strategies in modern agricultural systems. Therefore, we hypothesized (1) that salinity-induced alfalfa reduction will be mitigated by microbial biotechnology and (2) that the interactive effects of native AMF and rhizobia could induce greater growth and salt stress tolerance of alfalfa through improved agro-nutritional parameters under stress conditions, and that this response will not be the same for the two studied alfalfa varieties.
2. Materials and Methods
Two independent experiments were carried out. In the first (Experiment I), we tested the rhizobia strains for their ability to grow in an axenic culture medium under conditions of increasing salt stress (by application of NaCl), and to solubilize complex mineral phosphorus and potassium, as well as for their production of indole acetic acid. A second experiment (Experiment II) was developed to analyze the effectiveness of a selected rhizobia singly or doubly inoculated with the two AMF (Rhizophagus intraradices and Aoufous mycorrhizal complex) in improving the growth and nutrition of these varieties (Figure 1).
Figure 1.
Methodology flow chart. AIA: indole acetic acid; AMF: arbuscular mycorrhizal fungi; K: potassium; P: phosphate; RhOL1: rhizobial strain.
2.1. Experiment I
A total of nine rhizobial strains were studied (RhOL1, RhOL2, RhOL3, RhOL4, RhOL6, RhOL7, RhOL9, RhOL10, and RhOL12), and were supplied by the Laboratory of Microbial Biotechnology, Agrosciences, and Environment (BioMAgE), Labeled Research Unit-CNRST N°4, Faculty of Science Semlalia, Cadi Ayyad University, Marrakech, Morocco. The bacterial strains were isolated from nodules of M. sativa grown in saline soils in the south-eastern region of Morocco and identified as Ensifer meliloti [20].
In the in vitro experiment, the PGPR traits of the bacterial strains were tested with three independent experimental replicates for each microbial strain under identical conditions as mentioned below.
To assess the effect of salt stress on rhizobia multiplication and survival, we prepared solid yeast extract mannitol (YEM) media with increasing concentrations of NaCl (0; 341; 427; 512; 598; 683; 769; and 854 mM NaCl). Before inoculating them into Petri dishes divided into equal parts using a handle, we picked and streaked colonies of rhizobia strains onto the agar medium. Three replicates were performed for each strain. After 48 h incubation at 28 °C, the strains’ growth was assessed in the Petri dishes.
The phosphate solubilization test was carried out on solid and liquid National Botanical Research Institute’s phosphate growth medium devoid of yeast extract (NBRIY) using tricalcium phosphate. The strains were first multiplied in tubes containing 10 mL of YEM liquid medium and shaken for 48 h at 28 °C. The cultures were washed three times to remove residual phosphate attached to the bacterial cells and suspended in a volume of sterile physiological water to achieve a final optical density (OD600) of 0.1 at 600 nm. Erlenmeyer flasks containing 100 mL of liquid NBRIY medium were then inoculated with 200 µL of bacterial inoculum and incubated at 28 °C on a rotary shaker at 180 rpm for 7 days. The results on liquid medium were read by measuring the soluble phosphate content released by the strains using the colorimetric method of Olsen and Dean [21]. The pH of the medium was determined by a pH meter. Using the drop plate method [22], 7 µL of each strain was inoculated into three biological replicates and incubated at 28 °C. Halo diameter (HD) and colony diameter (CD) were measured after 3, 10, and 15 days of incubation. Results were expressed as the HD/CD ratio.
The potassium solubilization test was performed on Aleksandrov medium. After multiplication, the strains were rinsed, and the OD was adjusted to 0.8 at 600 nm. Petri dishes containing solid Aleksandrov medium were inoculated with 7 µL of bacterial inoculum and incubated at 28 °C for 6 days. The results were read by measuring the HD/CD ratio [23].
After multiplication, strain rinsing, and OD adjustment, 200 µL of the bacterial inoculum was cultured in 30 mL of Luria–Bertani (LB) broth containing L-tryptophan (1.02 g/L) as an indole acetic acid (IAA) precursor. After incubation for 4 days at 28 °C, the bacterial cells were removed by centrifugation (4226×g for 5 min) and 1 mL of the supernatant was mixed with 2 mL of Salkowski reagent (3 mL iron (III) chloride (10 mM), 60 mL sulfuric acid, 100 mL distilled water) and two drops of orthophosphoric acid. The mixture was incubated in the dark at room temperature for 30 min. To quantify the IAA produced by the bacteria (red color), absorbance was measured at 530 nm using a non-inoculated LB medium handled under the same conditions, which is considered to be the blank [24]. The amount of IAA was calculated using a standard curve for synthetic auxin (indole 3-acetamide (C10H10N2O)).
2.2. Experiment II
2.2.1. Plant and Biofertilizer Materials
The plant material used in this study consisted of two alfalfa genotypes: a Moroccan population, Demnate, and a Siriver variety of Australian origin, widely marketed in Morocco. Demnate is a local population originating from the Atlas mountains of Morocco, widely cultivated in arid and semi-arid agrosystems. It is highly adaptable to different environments.
Based on the results of the PGPR activities of the tested strains, the best performing strain was selected to assess its effect in combination with AMF on the alfalfa response to salt stress. The selected bacterial suspension was prepared by multiplying the best-performing strain in YEM liquid medium at 28 °C for 48 h to obtain a concentration of 109 colony-forming units/mL with an OD of 1.
The fungal material consisted of two AMF: (i) a pure exogenous strain (Rhizoglomus irregulare, DAOM 197198) supplied by the Institut de Biotechnologie des Plantes de Montréal (Canada) and (ii) an indigenous Aoufous mycorrhizal complex isolated from the rhizospheric soil of Phoenix dactylifera in the Tafilalt palm grove, located 500 km east of Marrakech, Morocco. It is a moderately salty soil with a sandy-loam texture, with the following characteristics: electrical conductivity (4.6 dS·m−1); a pH of (7.92); assimilable phosphorus (5.92 mg·Kg−1); total organic carbon content (8.82 g·Kg−1); organic matter content (15.21 g·Kg−1); total nitrogen content (0.48 g·Kg−1); C/N ratio (17.92); CaCO3 content (363.98 g·Kg−1) [25]. The consortium contains 15 species: Glomus aggregatum, G. clarum, G. claroides, G. deserticola, G. heterosporum, G. macrocarpum, G. microcarpum, G. versiforme, Glomus sp., Acaulospora delicata, A. leavis, Acaulospora sp., Claroideoglomus claroideum, Rhizophagus intraradices, and Pacispora boliviana [26,27]. The AMF consortium was propagated for 3 months in pots. It was tested for the most probable number of infectious propagules and showed 1149 mycorrhizal propagules per 100 g of rhizospheric soil and a spore count of 1044 spores/100 g of dry soil [25]. Zea mays L. were used as host plants to trap and multiply AMF as described by Meddich et al. [28]. After 3 months of cultivation in the greenhouse, soil and 1–2 cm long cut fragments of the mycorrhized maize roots were used to inoculate the alfalfa seedlings.
2.2.2. Plant Growth Conditions
The seeds of the two M. sativa L. cultivars were disinfected with sodium hypochlorite (10%) for 10 min. After rinsing several times with distilled water, the seeds were germinated at 28 °C for 1–2 days in Petri dishes containing two layers of filter paper moistened with sterile distilled water. The homogeneous seedlings were then transplanted into plastic bags (five per bag) containing 2 Kg of sand combined with 5% compost, which had been sterilized beforehand. The sand was sterilized in an oven at 180 °C for 3 h. The compost was autoclaved at 200 °C for 1 h on three successive occasions, with 24 h between each sterilization. The compost was mature and stable, with the following physicochemical and microbiological characteristics: organic carbon (306.5 g·Kg−1), organic matter (527.2 g·Kg−1), a pH of (7.86), total nitrogen (21.9 g·Kg−1), C/N ratio (14.0), ashes (490 g·Kg−1), NH4+ (0.03 10−3 mg·g−1), NO3, (0.07 10−3 mg·g−1), available phosphorus (0.25 mg·g−1), NH4+/NO3 ratio (0.44).
After germination, the seedlings were inoculated with the selected rhizobia strain by soaking the germinated seedlings in the prepared inoculum for 30 min in the dark. Then, 2 mL of this suspension was applied to each plant directly at root level. Ten days later, the plant was re-inoculated with 2 mL of bacterial culture (109 colony-forming units/mL), around the plant in the soil.
AMF inoculation was carried out by supplying a mixture of maize rhizosphere soil (5 g/plant), containing spores (approximately 11 spores/g), hyphae, and fragments of mycorrhized roots (mycorrhizal intensity = 79%), close to the root system of the corresponding host plant, when the alfalfa seedlings were transplanted. Uninoculated pots received the same amount of autoclaved mycorrhizal inoculum.
2.2.3. Experimental Design and Treatments
The experiment was carried out in a greenhouse at the Faculty of Science Semlalia, Cadi Ayyad University, Marrakech, Morocco, with a 16/8 h day/night cycle, a mean temperature of 25.5 °C, a mean relative humidity of 68.5%, and an illuminance of 410 μmol m−2 s−1. For each cultivar, a randomized block design with 6 treatments and 4 replicates per treatment was performed, in the presence and absence of 120 mM NaCl. Each bag (5 seedlings) was considered to be a single replicate. Thus, for each cultivar, 48 experimental units (6 × 4 × 2) were studied. The six treatments were distributed as follows: control (C): not inoculated, Aoufous mycorrhizal complex (AM1), Rhizoglomus irregulare (AM2), rhizobium (RhOL1 strain selected on the basis of the PGPR activities described above), Aoufous mycorrhizal complex + rhizobium (AM1 + RhOL1), Rhizoglomus irregulare + rhizobium (AM2 + RhOL1).
After 10 days of seedling transplantation, half of the bags were watered with distilled water (0 mM NaCl), while the other half were watered with a saline solution of 120 mM NaCl chosen on the basis of germination tests previously carried out [29]. In order to avoid osmotic shock, the soil was salinized gradually at a rate of 30 mM NaCl every 2 days of watering until the desired concentration (120 mM NaCl) was reached [18]. The plants were then watered with the same concentration every two days. Each bag was watered as needed with distilled water or with different saline solutions to maintain the desired salinity levels (0.013 ds/m for 0 mM and 11.65 ds/m for 120 mM). The concentration of the leaching water was regularly monitored by measuring its salinity level. After two months of cultivation, agro-physiological parameters were measured.
2.2.4. Plant Growth Parameters, Mycorrhizal Assessment, and Nodule Biomass
Plant height, root length, leaf number, and shoot (SDWs) and root (RDWs) dry weights (dried at 80 °C until the weight remained constant) were recorded at the final harvest (90 days after planting). The number of leaves was determined by manually counting all the leaves visible on each plant. Nodules of alfalfa were assessed by measuring total nodule dry weight (NDW) per root. Root colonization by AMF was determined by the method of Phillips and Hayman [30]. Roots from the lateral root system were cut into 1 cm fragments, washed, and cleaned in 10% KOH at 90 °C for 10 min. They were then acidified with 5% lactic acid for 20 min, stained with 0.05% (w/v) Trypan blue for 30 min at 90 °C, and then microscopically (Zeiss Axioskop 40 microscope) assessed for mycorrhizal root colonization. A minimum of 30 segments were observed for each sample repeated three times. The frequency (Fa%) and intensity (Ma%) of AMF infection were estimated according to the following formulas:
where n is the number of fragments assigned with the index 0, 1, 2, 3, 4, or 5, with the following infection rates: 100 > n5 > 90; 90 > n4 > 50; 50 > n3 > 10; 10 > n2 > 1; 1 > n1 > 0.
Fa (%) = 100 × (infected root segments/total root segments)
Ma (%) = ((95 × n5) + (70 × n4) + (30 × n3) + (5 × n2) + n1)/total root segments,
2.2.5. Determination of Nutrient Concentrations in Plants
Plant contents of sodium (Na+), potassium (K+), and calcium (Ca2+) were determined according to the method of Wolf [31], using a Jenway-type flame spectrophotometer (JENWAY, PFP7). Phosphorus (P) content in aerial and root parts was determined using the method of Olsen and Dean [21]. Nitrogen (N) content was determined using the Kjeldahl technique.
2.2.6. Statistical Analysis
Statistical analysis was performed using COSTAT version 6.4 for Windows. Data were subjected to analysis of variance (ANOVA III) to determine the effect of each treatment, followed by comparison of means by Duncan’s test calculated at p ≤ 0.05. Data are presented as mean ± SE (standard error) of four replicates.
3. Results
3.1. Physiological Characterization of Rhizobia Strains
3.1.1. Assessment of Strain Tolerance to Salinity
As shown in Table 1, all strains showed normal growth up to the 427 mM NaCl threshold. At 512 mM NaCl in the culture medium, RhOL1 and RhOL6 strains grew readily. However, all other strains showed poor growth. Below 598 mM, all strains showed weak growth. Above 598 mM, no strains grew, with the exception of RhOL1, which showed average growth up to the 769 mM threshold. However, at the 854 mM threshold, none of the strains studied grew.
Table 1.
Salt tolerance test for rhizobia strains nodulating M. sativa to different concentrations of NaCl.
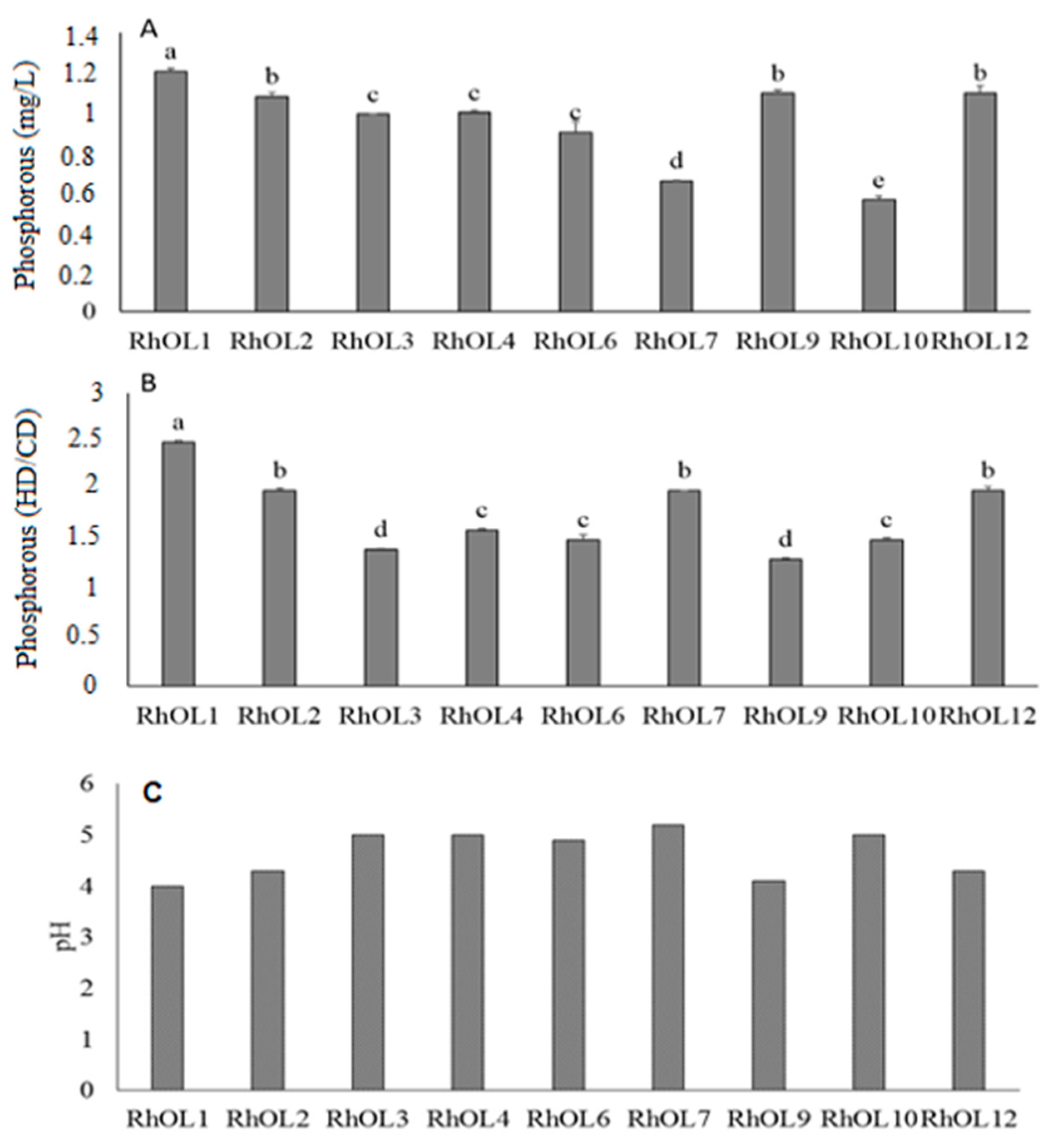
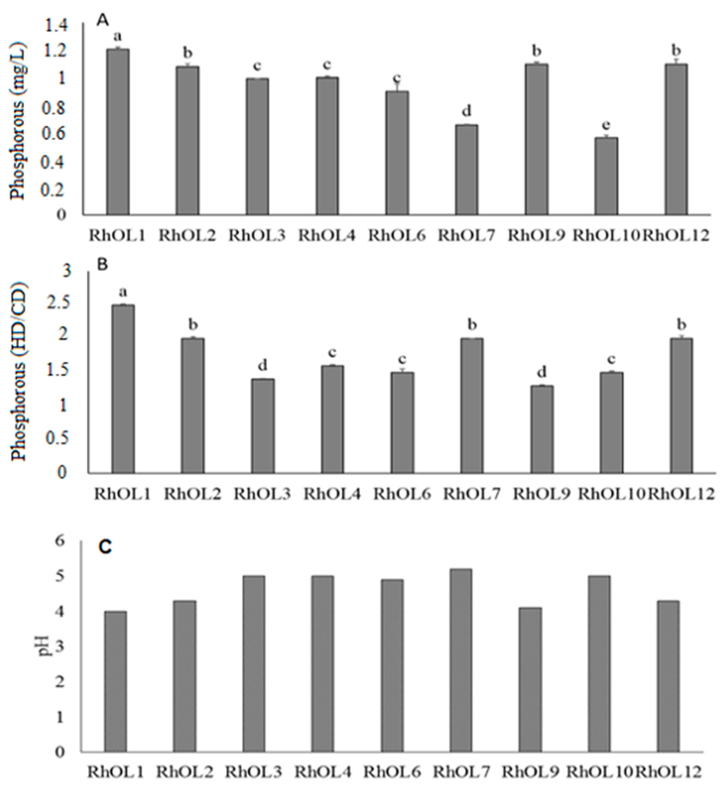
3.1.2. Evaluation of Solubilization Capacity of Insoluble Tricalcium Phosphate
As shown in Figure 2, differences in tricalcium phosphate solubilization were observed between strains. The highest value was recorded for the RhOL1 strain compared with all the strains tested (1.20 mg/L and 2.5 HD/CD). The pH values of the supernatant measured after 7 days of culture ranged from 4 to 5 (Figure 2C).
Figure 2.
Soluble phosphorus concentration by rhizobia strains grown in NBRIY solid (A) and liquid (B) media containing tricalcium phosphate. pH values after 7-day incubation of rhizobia strains studied in liquid NBRIY medium containing tricalcium phosphate (C). Bars with different letters are significantly different (p ≤ 0.05) (Duncan’s test).
3.1.3. Evaluation of Potassium Solubilization Capacity
As shown in Figure 3, all the strains studied were able to solubilize potassium, with the exception of the RhOL6 strain, as indicated by the ratio of halo diameter to bacterial colony diameter. A comparison of the potassium solubilizing power of the strains studied showed that RhOL1, RhOL3, RhOL4, and RhOL10 were highly solubilizing strains, with solubilization indices of 1.90, 1.96, 1.98, and 2.19, respectively. In contrast, strains RhLO2, RhOL7, RhOL9, and RhOL12 showed a solubility index of less than 1.60.
Figure 3.
Soluble potassium by strains grown in Aleksandrov solid medium. Bars with different letters are significantly different (p ≤ 0.05) (Duncan’s test).
3.1.4. Assessment of IAA Production
The results in Figure 4 show variability in IAA production. Indeed, the RhOL1 strain showed the highest AIA production rate of around 33.37 µg/mL, followed by the RhOL6 strain (24.44 µg/mL).
Figure 4.
AIA production by the strains studied, after a 4-day incubation. Bars with different letters are significantly different (p ≤ 0.05) (Duncan’s test).
3.2. Effect of Salinity and Biofertilizers on Symbiotic Development
The present study showed that the AMF and rhizobium strain successfully colonized the plant roots of both alfalfa cultivars, in the presence and absence of salt stress. However, root mycorrhization rates varied according to the type of mycorrhizal treatment and cultivar (Table 2). Indeed, the best mycorrhization rate was obtained in Siriver compared with Demnate. In addition, AM1 colonized the roots of both alfalfa cultivars better than R. irregulare strain (AM2), even in the presence of NaCl.
Table 2.
Effect of salt stress on mycorrhization rate and nodule number in alfalfa plants of the Siriver variety and the Demnate population under different treatments.
It is interesting to note that the highest rates of mycorrhization (frequency and intensity) and nodulation in Siriver were observed in the roots of plants doubly inoculated with the indigenous Aoufous consortium and the RhOL1 rhizobium strain. The values for the number of nodules, frequency, and intensity of mycorrhization were 108, 98, and 63% in the absence of salt stress and 31, 53, and 21% in the presence of salt stress, respectively. On the other hand, double inoculation had no significant effect on the rate of mycorrhization and nodulation of plants in the Demnate population. However, it did reduce the mycorrhization rate in plants inoculated simultaneously with R. irregulare and RhOL1 (in the absence of NaCl).
3.3. Effect of Salinity and Biofertilizers on Growth Parameters
According to the results shown in Figure 5 and Figure 6 and Table 3, the application of salt stress caused a depressive effect on growth (shoot and root dry biomass, height and number of leaves) in both alfalfa genotypes. Nevertheless, single or mixed microbial inoculations improved plant growth compared with non-inoculated control plants both in the absence and presence of salt. The overall shape of the root system (Figure 6) showed that Siriver roots infected with AMF, particularly the autochthonous Aoufous complex, had a more extensive root system than Demnate.
Figure 5.
Effect of salt stress on shoot (A) and root (B) dry biomass of alfalfa plants, Siriver variety and Demnate population under different treatments: C: control; AM1: Aoufous mycorrhizal complex; AM2: Rhizoglomus irregulare; RhOL1: rhizobium strain. Values with different letters are significantly different at p ≤ 0.05 (Duncan’s test).
Figure 6.
Root system of the Siriver variety (A) and the Demnate population (B) inoculated with the indigenous Aoufous complex or the pure R. irregulare strain.
Table 3.
Effect of salt stress on plant growth of the Siriver variety and the Demnate population of alfalfa under different treatments:
Analysis of the obtained results shows that the positive effect of microbial inoculation on plant growth varies according to the inoculum used, the method of inoculation (single or double), and the genotype in question (Siriver or Demnate). In Siriver, the highest shoot dry weight was recorded in plants inoculated simultaneously with RhOL1 and the Aoufous mycorrhizal consortium (AM1), whatever the salinity level. The increase in shoot dry weight compared with uninoculated control plants was 347 and 283% in the presence and absence of salt, respectively. The same results were obtained for root dry weight. Nevertheless, it appears that RhOL1 in a single inoculation was as effective as in double inoculation with AM1 in increasing plant root dry mass independently of salinity level. These results indicate that Siriver appears to be more dependent on the double symbiosis between AMF and rhizobium to achieve the highest growth rate in both saline and non-saline conditions. However, double inoculation with R. irregulare (AM2) and RhOL1 was not as effective as double inoculation with the Aoufous consortium and RhOL1. Thus, for the shoot dry biomass, there was no significant difference between AM2 + RhOL1, AM2, AM1, and RhOL1 treatments. For root dry biomass, AM2 + RhOL1 double inoculation was more effective than AM1 and AM2 treatments, but less effective than RhOL1 and AM1 + RhOL1, particularly in the absence of stress. Similar results were obtained in the Demnate population for double inoculation. The AM1 + RhOL1 treatment was more effective in improving shoot dry weight than AM2 + RhOL1 treatment, regardless of the level of stress applied. However, there were no significant differences between these two treatments in terms of root dry biomass.
Unlike Siriver, it appears that Demnate does not appear to be exclusively dependent on the dual symbiosis between AMF and rhizobium to achieve the highest growth rate in both the presence and absence of stress. Double inoculation with AM1 and RhOL1 showed the same efficiency in increasing shoot and root dry weight as single inoculation with AM1 or AM2 (in the absence or presence of stress). As for double inoculation with AM2 and RhOL1, it appears to be the least effective treatment for improving shoot dry weight compared with RhOL1 alone, particularly under stress conditions.
A comparison between the growth values obtained for the two alfalfa genotypes shows a clear fluctuation in biomass production. Total dry biomass production (Table 3) was higher in Siriver than in Demnate. The highest values were in the order of 2.32 and 3.73 g/plant for Siriver inoculated with AM1 + RhOL1, in the presence and absence of salt stress, respectively, while they ranged from 1.61 to 1.92 g/plant for the Demnate population inoculated with AM1, in the presence and absence of stress, respectively.
As regards the height and number of leaves (Table 3), in general, plant treatments with AMF and the bacterial strain (single or double inoculation) had a significant effect. In Siriver, the values obtained with AM1 + RhOL1 were the highest for both parameters in the presence and absence of stress. However, the differences were not significant between single and double inoculation in Demnate.
3.4. Effect of Salinity and Biofertilizers on Plant Ion Composition
Root and shoot nutrient levels were differently affected by salinity and the inocula applied (Table 4 and Table 5). These effects also varied between cultivars. Salt stress caused a drop in K+, N, and P elements and an accumulation of Na+ ions in the shoot and root parts of both cultivars. In comparison with root nutrient levels, Na+ accumulation was higher in the shoot part than in the root part of both cultivars. The same applies to K+, P, and N content. Ca2+ levels varied between cultivars, increasing in the shoot part of the Siriver variety under salt stress. On the other hand, in Demnate, Ca2+ levels decreased in the shoot part and increased in the root part.
Table 4.
Effect of salt stress on mineral element content (mg/g dry matter) in the shoot (A) and root (B) parts of Siriver alfalfa plants.
Table 5.
Effect of salt stress on mineral element content (mg/g dry matter) in the shoot (A) and root (B) parts of Demnate alfalfa plants.
In general, the decrease in Ca2+, K+, P, and N levels and the increase in Na+ levels were less pronounced in inoculated plants for both cultivars despite the application of salt stress. It seems that inoculation helped the plants to regulate the ionic imbalance caused by excess Na+ by adjusting K+ and Ca2+ levels. In Siriver, the highest Ca2+/Na+ ratio was noted in the aerial part of plants inoculated simultaneously with RhOL1 and AM1, while the lowest ratio was recorded in the non-inoculated control plants (root part). Similar results were noted for the K+/Na+ ratio. As for the Demnate population, the highest Ca2+/Na+ and K+/Na+ ratios were recorded in the roots of plants inoculated with AM1 and in the aerial part of plants inoculated with AM2, respectively. The lowest Ca2+/Na+ and K+/Na+ ratios were recorded in the root and above-ground parts of uninoculated control plants, respectively.
Compared with the other treatments, double inoculation with AM1 and RhOL1 appears to be the most effective in improving P and N content in the aerial part of Siriver plants, especially under saline stress conditions. The improvements, compared with the control, were in the order of 540% for P and 210% for N. As for the Demnate population, the same treatment (AM1 + RhOL1) under the same conditions was more effective in increasing the P content of the aerial part, with an improvement of 675%, whereas the N content was improved more by the RhOL1 treatment alone (126%).
4. Discussion
Our results confirm that rhizobia strains, especially Ensifer meliloti, are capable of growing in high concentrations of NaCl and that the salinity tolerance of species in the same genus differs [32]. A molecular phylogenetic analysis of genes linked to salt tolerance in Sinorhizobium meliloti revealed variations in genes associated with the response to salt stress, suggesting diversity in salinity tolerance within this species [33]. It is becoming increasingly clear that the use of beneficial, adapted microbes could increase plant tolerance to environmental stresses. In fact, an effective rhizobia–legume symbiosis under salt stress requires the selection of rhizobia strains that are tolerant to NaCl [34,35]. In this context, Wekesa et al. [36] have shown that salt-tolerant rhizobia can help host plants cope with salt stress by mobilizing minerals such as potassium, calcium, and nitrate to stressed plants [36]. Among the strains tested in this study, RhOL1 was the best performing, showing tolerance up to a threshold of 769 mM NaCl. The ability of rhizobia to survive in the presence of high NaCl concentrations is due to a number of mechanisms, including the accumulation of K+ ions, the accumulation of organic osmolytes such as proline, glycine betaine, glutamate, amino acids, and carbohydrates such as sucrose and trehalose [37,38,39,40].
Phosphate is an essential element for plant growth. It is very abundant in the soil but in insoluble form (organic and inorganic). Phosphate-solubilizing microorganisms and rhizobia bacteria make P available to plants [41,42,43]. In this study, we demonstrated the ability of bacterial isolates to solubilize inorganic phosphorus of the tricalcium phosphate (Ca3(PO4)2) type. The differences observed in the P values measured by the Olsen method indicate a variability in the solubilization capacity of this element between these isolates. Phosphate solubilization can be attributed to the acidification of the medium by the release of low molecular weight organic acids. 2-ketogluconic acid and 2-hydroxyglutaric acid have been identified in Ensifer meliloti as the main factor in the solubilization of inorganic phosphates [44,45]. In addition, a genomic analysis of Sinorhizobium meliloti LPU63 revealed the presence of the pqqBCDE gene cluster, necessary for the biosynthesis of the pyrroloquinoline quinone (PQQ) cofactor, involved in the production of gluconic acid. This acid plays a significant role in the solubilization of inorganic phosphates by acidifying the medium [46]. The release of acids facilitates the lowering of the pH in microbial cells and their environment and consequently the decomposition of various metal complexes (Ca, Fe, and Al) and the release of phosphate in ionic form [47]. The low pH values of the medium observed in our study would confirm our suggestions regarding phosphate solubilization through the production of organic acids. Thus, the inoculation of these microorganisms into the soil could improve the solubilization of insoluble phosphates, which could enhance crop performance. The ability of rhizobia strains to solubilize insoluble P could make it possible to optimize biological nitrogen fixation, an energy-intensive process that consumes an average of 20 ATP per nitrogenase reaction for the reduction in one molecule of N2 [48,49].
Potassium is the third main essential macronutrient required for plant growth. Concentrations of soluble potassium in the soil are unavailable to the plant and are generally very low, with over 90% of potassium in the soil existing as insoluble rocks and silicate minerals [50]. The majority of the strains tested in this study were able to grow in a culture medium with mica as a potassium source. Thus, they might have the ability to solubilize this form of potassium, a feature that could be useful for plant nutrition and growth. Rhizobium spp. was studied as potassium solubilizing microorganisms (KSM) and for its impact on the growth of wheat and maize. A better uptake of K+ was observed in these plants with an increase in biomass, protein, and chlorophyll content. Similarly, the integration of KSM as biofertilizers represents a promising approach to improving agricultural productivity while mitigating the negative impacts associated with the excessive use of chemical fertilizers [51,52]. Many mechanisms may be involved in K solubilization, including organic acid production, acidolysis, complexolysis, chelation, and exchange reactions. Ketogluconic acid is among the most important organic acids released by microbial strains and involved in the solubilization of insoluble K [50,53]. The solubilization of K and P could have the same mechanisms; a previous study isolated bacterial strains of the genus Pseudomonas from Moroccan phosphate mines, demonstrating their ability to solubilize insoluble forms of P and K, as well as to produce gluconic and oxalic acid, contributing to the solubilization of these minerals [54].
Tryptophan is considered to be the main precursor for the synthesis of IAA and its active analogues in most plants. Thus, the RhOL1 strain was more efficient at converting tryptophan to IAA. Similar studies have shown a dependence of rhizobia strains on tryptophan for the production of IAA [55,56,57]. IAA plays very important roles in plant growth and development, including improving root and shoot growth and seedling vigor. The positive impact of auxin on root architecture can stimulate bacterial colonization and thus amplify the effect of inoculation [58]. In addition, the production of this phytohormone can mitigate the adverse effects of salt stress on crops [59,60]. Our results confirm those of other researchers who have shown that the Ensifer meliloti strains belong to known producers of IAA [56,58,61].
Characterization tests on the studied strains showed that they have PGPR activities and that they could improve plant growth and development by supplying essential nutrients such as nitrogen, phosphorus, and potassium and by producing IAA, which could enhance the plants’ potential to live under stressful conditions.
In the context of adopting sustainable land management strategies to solve the problem of salinity, this work contributes to the study of the influence of symbiotic bacteria and native or commercialized AMF on the behavior of alfalfa genotypes with respect to salinity. A comparative analysis of the effect of these microorganisms on the salinity tolerance of two alfalfa genotypes was carried out. Salt stress has a negative impact on agronomic parameters. Aerial and root dry weights, plant height, and number of leaves were all reduced. However, we noted a variation in biomass production between the studied genotypes. Total dry matter production was higher in Siriver than in Demnate, both in the absence and presence of salt stress.
In this study, the negative effects of NaCl on alfalfa plant growth may be linked to nutritional imbalances caused by excess sodium. The accumulation of Na+ and the reduction in macroelements such as N, P, K+, or Ca2+ may explain the reduction in above-ground and root biomass in the presence of stress. Na+ accumulation is greater in the aerial part than in the root part, indicating that these species are ion accumulators. Previous studies have shown that salinity can inhibit the uptake of K+ and Ca2+ due to the loss of selectivity towards these elements in the face of high NaCl concentrations [62,63]. The reduction in plant growth by salinity in this work may also be related to disruptions caused by excess salt on the ability to establish symbiotic relationships with telluric microorganisms such as AMF and rhizobia. Indeed, negative effects of salt stress have been detected on mycorrhization and nodulation in plants. The frequency and intensity of mycorrhization and the number of nodules were reduced following the application of 120 mM NaCl. The reduction in mycorrhization under conditions of salt stress could be linked to the following: (i) the inhibition of spore germination and hyphal growth, (ii) the reduced propagation of the mycorrhizal hyphal network, and (iii) the degradation of arbuscules following the accumulation of free radicals such as H2O2 in the roots of mycorrhized plants [64]. In addition, salinity has detrimental effects on rhizobia and symbiotic processes by affecting bacterial survival, the activity of nitrogenase, the key enzyme in nitrogen fixation, and generally the different phases of nodule formation and function [36,65]. However, the successful colonization of alfalfa roots by AMF and rhizobium in this work showed that these microbial symbionts have the ability to survive under salt stress conditions and establish symbiotic relationships with M. sativa.
Several authors have reported that the inoculation of plants with AMF and rhizobia can frequently increase host tolerance to salt stress [19,63,66,67,68]. In this study, it appears that the AMF and RhOL1 strain improved the salinity tolerance of M. sativa as indicated by the increase in dry biomass production compared to non-inoculated plants. Inoculation of the two alfalfa genotypes (Siriver and Demnate) with the RhOL1 rhizobium strain and AMF significantly improved various plant growth and nutritional parameters under salt stress. Improvements in above-ground and root dry biomass, aerial elongation, and the number of leaves could explain the direct effect of these root symbionts on the tolerance of M. sativa to salt stress. In contrast to the Demnate population, Siriver plants inoculated with RhOL1 showed greater growth (root dry biomass) in the presence of salt stress than plants inoculated with either native or exogenous AMF. It is therefore necessary to select the right symbionts for each M. sativa variety.
The improved tolerance and growth of M. sativa plants in saline soils by the RhOL1 strain could be due to its ability to fix atmospheric nitrogen, solubilize P and K, and produce IAA. Auxin has a direct and essential effect in regulating plant growth and development [69]. It is possible that RhOL1 plays a role in improving root growth and architecture by secreting IAA. Thus, a well-developed root system, in addition to its ability to solubilize P and K, could increase the efficiency of acquisition of essential mineral elements such as P, K+, and Ca2+. In addition, improved P uptake could play an important role in the functioning of nitrogenase and nodulation, thereby increasing biological nitrogen fixation.
Inoculation of M. sativa plants with AMF under saline or normal conditions has a positive influence on plant growth parameters and mineral nutrition. This effect could be attributed to the improvement in water uptake and mineral nutrition thanks to the increase in the exchange surface between the roots and the external environment. Indeed, AMF, thanks to their extra-root mycelium, can occupy a larger volume of soil, which improves plant mineral nutrition [19,70]. The present study showed a better uptake of nutrients, N, P, K+, and Ca2+, with a decrease in Na+ uptake in the organs of the inoculated plants compared to non-inoculated plants, which may be responsible for their improved growth and mitigation of the adverse effects of salt stress. Furthermore, the increase in K+/Na+ and Ca2+/Na+ ratios following AMF inoculation supports the results previously reported by [63,71,72]. This could be due to the regulation or enhancement of the affinity of K+ transporters and H+ pumps, which generate the force required to transport these elements under saline conditions. This modulation is associated with the differential regulation of ion transporter genes, such as ZmSOS1, ZmHKT1, and ZmNHX [73]. The maintenance of these ratios at favorable levels could also be attributed to the ability of mycorrhizal plants to sequester Na+ in vacuoles or exclude it from the cytosol. In addition, the fungal organelles, such as vesicles, can significantly improve fungal performance under stress by absorbing high levels of Na+ into these vacuoles [74,75]. An important benefit of high Ca2+/Na+ and K+/Na+ ratios is the protection of photosynthetic tissues by inhibiting Na+ entry and consequently increasing plant growth and development under saline conditions [68,76,77].
Although the measured parameters were improved by microbial inoculation, the most significant values were recorded in the case of double inoculation, particularly with the autochthonous AMF. These results could therefore explain the functional complementarity between these root microbiotas. A recent meta-analysis revealed that inoculation with AMF and/or rhizobia significantly increased plant nitrogen and phosphorus content, shoot biomass, yield, AMF colonization rate, and nodule number and weight, compared with non-inoculated controls. In addition, a notable synergy between the AMF and rhizobia was observed, although abiotic factors such as soil salinity, drought, and pH may hinder these positive effects [66]. In this study, the synergistic effect of RhOL1 and AMF generally resulted in the stimulation of M. sativa growth, the rate of infectivity, and an improvement in mineral nutrition, either in the presence or absence of salt.
Rhizobial inoculum stimulated fungal infection independently of the presence or absence of salt stress, compared with non-inoculated plants. These beneficial effects suggest a possible activity of the RhOL1 bacterium as a Mycorrhization Helper Bacteria (MHB) [78,79]. This bacterial strain could affect the growth rate of AMF by improving the germination of spores, mycelial fragments, and sclerotia in a dormant state, via the secretion of organic substances. By releasing auxins such as IAA, the RhOL1 strain influences root growth by contributing to the initiation of lateral and adventitious roots and stimulating their elongation and cell division. This could stimulate plant mycorrhization by increasing mushroom–root contact [19,80,81]. RhOL1 could also modify alfalfa physiology and favorably influence its interaction with AMF [18]. In addition, MHB could release malic and citric acids that can be used by AMF for their metabolism. MHB could also contribute to the mobilization of nutrients and minerals from the soil for the benefit of AMF [19,78,82,83].
On the other hand, mycorrhization has a favorable effect on the nodulation of alfalfa plants, both under normal conditions and under conditions of salt stress. In fact, the increase in the number of nodules could be explained by the favorable effect of AMF on plant phosphate nutrition. AMF are known for their ability to improve the phosphate nutrition of host plants, thereby providing the P required for nodule formation and N fixation by rhizobia bacteria [84,85]. AMF interacting with RhOL1 could improve not only phosphate nutrition but also the uptake of all other nutrients. Increasing the levels of mineral nutrients in plants would not only benefit rhizobia directly, but also indirectly by increasing photosynthesis and making a greater proportion of photosynthates available to rhizobia nodules [19,84]. These results suggest a synergistic effect between the rhizobial strain RhOL1 and the mycorrhizal complex Aoufous to stimulate the establishment of symbiotic relationships between alfalfa and these microorganisms. This could explain the increased growth of inoculated plants compared with non-inoculated plants, both in the absence and presence of salt.
Maintaining Ca2+/Na+ and K+/Na+ ratios at favorable and balanced levels in the cytosol is very important for the survival of plants subjected to salinity. In this study, the highest ratios were obtained in plants under double inoculation (Siriver). The activity of Ca2+/Na+ and K+/Na+ transport proteins is essential for the exclusion, sequestration, and export of toxic Na+ ions. Studies have shown that overexpression of the rhizobium salt tolerance B (rstB) gene suppressed Na+ ion accumulation in M. sativa leaves, while stimulating Ca2+ ion import, thereby improving the plant’s tolerance to salinity [86].
It is important to note, however, that the effect of double inoculation varies according to plant genotypes and the involved AMF (indigenous or exogenous). Thus, in the Siriver population, the highest values for the measured parameters were obtained following double inoculation (RhOL1 + AMF), especially with the indigenous Aoufous mycorrhizal complex (AMF), whereas in the Demnate population, this double inoculation had no significant effect compared with cases where these microorganisms were applied separately. In addition, double inoculation with exogenous RhOL1 and AMF (R. irregulare) led to a drop in growth in this population (Demnate). Thus, compared with Siriver, Demnate does not respond well to RhOL1 + AMF, particularly that with exogenous AMF. This response is identical under both normal and stress conditions. It has been reported that the beneficial effect of double inoculation depends on the microbial combination and the genotype of the host legumes [86,87]. The adverse effect of double inoculation with exogenous AMF+ RhOL1 in Demnate was clearly noticeable in terms of mineral nutrition, especially N and P, and above-ground and root dry biomass. This could be due to the inability of this exogenous strain to adapt to local edaphic conditions. The antagonistic effect of double inoculation has already been reported before in legume plants by Franzini et al. [88,89] and Van der Veken et al. [90] in Phaseolus vulgaris and Glycine max inoculated with rhizobium and AMF. They attributed this antagonistic effect to an inhibition of nodule development, N2 fixation, and root colonization, leading to a decrease in plant growth. This inhibitory effect could be linked to trophic competition between symbionts for the supply of carbon skeletons. However, the mechanisms responsible for this inhibition are not well documented in the literature. Further research is therefore needed to elucidate them. Consequently, the double symbiosis between rhizobium interacting with AMF can be detrimental to the growth of the host plant depending on the genotype or the bacterial and fungal strains involved. This confirms the need to select appropriate symbionts for each host plant genotype. The indigenous AMF used in this study are compatible with the RhOL1 rhizobium strain and the Siriver genotype of M. sativa. In order to prove its potential for agricultural applications, this combination is already being tested in the field and the same beneficial result was identified [91].
5. Conclusions
The results of the PGPR activity tests enabled us to select the RhOL1 strain as the one with the highest level of salinity tolerance. In addition to its ability of solubilizing insoluble phosphate and potassium, it is also capable of synthesizing auxins such as IAA. The application of 120 mM NaCl had depressive effects on alfalfa growth, mineral nutrition, and root microbial colonization. However, microbial inoculation, more specifically double inoculation with RhOL1 interacting with native AMF, significantly improved the tolerance of the host plants to salt stress. This tolerance is reflected in an improvement in shoot and root dry biomass, plant elongation, the number of leaves formed, and mineral nutrition. Similarly, this double inoculation increased the number of nodules and the rate of mycorrhizal colonization of roots. Furthermore, the behavior of the alfalfa plants with respect to inoculation differed according to the genotypes and the microbial combinations applied. The ability to respond to double inoculation with native RhOL1 + AMF was greater in Siriver than in Demnate under both salt stress and normal conditions. On the other hand, double inoculation with exogenous AMF led to a drop in plant growth in the Demnate population. This negative effect suggests the inability of exogenous AMF to adapt to local edaphic conditions. Consequently, based on the parameters measured, the Aoufous mycorrhizal complex interacting with the RhOL1 rhizobium strain performed better in mitigating the effects of salt stress in the Siriver variety. These indigenous micro-organisms could therefore represent a promising biological technology for improving the performance and development of alfalfa plants and mitigating the damage caused by salt stress.
Author Contributions
Conceptualization: R.B.-L., M.A., and S.W.; methodology: R.B.-L., M.A., S.W., and K.O.; validation: M.A., S.W., and K.O.; formal analysis: R.B.-L., M.A.-E.-M., A.M., and A.B.; writing—original draft preparation: R.B.-L.; supervision: M.A. and S.W.; project administration: M.A. and S.W. All authors have read and agreed to the published version of the manuscript.
Funding
This work was supported by the Moroccan Ministry of Higher Education, Scientific Research and Executive Training.
Data Availability Statement
The original contributions presented in this study are included in the article. Further inquiries can be directed to the corresponding author(s).
Conflicts of Interest
The authors declare no conflicts of interest.
Abbreviations
The following abbreviations are used in this manuscript:
| Fa | AMF infection frequency |
| IAA | Indole acetic acid |
| AMF | Arbuscular Mycorrhizal Fungi |
| Fv/Fm | chlorophyll fluorescence |
References
- Stavi, I.; Thevs, N.; Priori, S. Soil Salinity and Sodicity in Drylands: A Review of Causes, Effects, Monitoring, and Restoration Measures. Front. Environ. Sci. 2021, 9, 712831. [Google Scholar] [CrossRef]
- Liang, C.; Yang, B.; Cao, Y.; Liu, K.; Wu, J.; Hao, F.; Han, Y.; Han, W. Salinization mechanism of lakes and controls on organic matter enrichment: From present to deep-time records. Earth-Sci. Rev. 2024, 251, 104720. [Google Scholar] [CrossRef]
- Cunillera-Montcusí, D.; Beklioğlu, M.; Cañedo-Argüelles, M.; Jeppesen, E.; Ptacnik, R.; Amorim, C.A.; Arnott, S.E.; Berger, S.A.; Brucet, S.; Dugan, H.A.; et al. Freshwater salinisation: A research agenda for a saltier world. Trends Ecol. Evol. 2022, 37, 440–453. [Google Scholar] [CrossRef]
- Liu, M.; Paredes, P.; Shi, H.; Ramos, T.B.; Dou, X.; Dai, L.; Pereira, L.S. Impacts of a shallow saline water table on maize evapotranspiration and groundwater contribution using static water table lysimeters and the dual Kc water balance model SIMDualKc. Agric. Water Manag. 2022, 273, 107887. [Google Scholar] [CrossRef]
- Prusty, P.; Farooq, S.H. Seawater intrusion in the coastal aquifers of India—A review. HydroResearch 2020, 3, 61–74. [Google Scholar] [CrossRef]
- Sp, C.; Latine, R. Perspectives Agricoles de l’OCDE et de la FAO 2019–2028; FAO and OECD: Rome, Italy, 2020; ISBN 9789264312715. [Google Scholar]
- Balasubramaniam, T.; Shen, G.; Esmaeili, N.; Zhang, H. Plants’ Response Mechanisms to Salinity Stress. Plants 2023, 12, 2253. [Google Scholar] [CrossRef]
- Shrivastava, P.; Kumar, R. Soil salinity: A serious environmental issue and plant growth promoting bacteria as one of the tools for its alleviation. Saudi J. Biol. Sci. 2015, 22, 123–131. [Google Scholar] [CrossRef]
- Annicchiarico, P.; Pecetti, L.; Franguelli, N. Agronomic value of alfalfa semi-hybrids across contrasting Italian environments. Crop Sci. 2025, 65, e21425. [Google Scholar] [CrossRef]
- Raza, A.; Zahra, N.; Hafeez, M.B.; Ahmad, M.; Iqbal, S.; Shaukat, K.; Ahmad, G. Nitrogen Fixation of Legumes: Biology and Physiology. In The Plant Family Fabaceae; Springer: Singapore, 2020; pp. 43–74. [Google Scholar]
- Munns, R.; Gilliham, M.; Munns, R.; Gilliham, M. Tansley insight Salinity tolerance of crops—What is the cost? New Phytol. 2015, 208, 668–673. [Google Scholar] [CrossRef] [PubMed]
- Olanrewaju, O.S.; Babalola, O.O. The rhizosphere microbial complex in plant health: A review of interaction dynamics. J. Integr. Agric. 2022, 21, 2168–2182. [Google Scholar] [CrossRef]
- Han, S.; Yoshikuni, Y. Microbiome engineering for sustainable agriculture: Using synthetic biology to enhance nitrogen metabolism in plant-associated microbes. Curr. Opin. Microbiol. 2022, 68, 102172. [Google Scholar] [CrossRef]
- Khan, A.L.; Waqas, M.; Asaf, S.; Kamran, M.; Shahzad, R.; Bilal, S.; Khan, M.A.; Kang, S.M.; Kim, Y.H.; Yun, B.W.; et al. Plant growth-promoting endophyte Sphingomonas sp. LK11 alleviates salinity stress in Solanum pimpinellifolium. Environ. Exp. Bot. 2017, 133, 58–69. [Google Scholar] [CrossRef]
- Msimbira, L.A.; Smith, D.L. The Roles of Plant Growth Promoting Microbes in Enhancing Plant Tolerance to Acidity and Alkalinity Stresses. Front. Sustain. Food Syst. 2020, 4, 106. [Google Scholar] [CrossRef]
- Acharya, B.R.; Gill, S.P.; Kaundal, A.; Sandhu, D. Strategies for combating plant salinity stress: The potential of plant growth-promoting microorganisms. Front. Plant Sci. 2024, 15, 1406913. [Google Scholar] [CrossRef]
- Ouhaddou, R.; Ech-chatir, L.; Anli, M.; Ben-Laouane, R.; Boutasknit, A.; Meddich, A. Secondary Metabolites, Osmolytes and Antioxidant Activity as the Main Attributes Enhanced by Biostimulants for Growth and Resilience of Lettuce to Drought Stress. Gesunde Pflanz. 2023, 75, 1737–1753. [Google Scholar] [CrossRef]
- Ben-Laouane, R.; Baslam, M.; Ait-El-mokhtar, M.; Anli, M.; Boutasknit, A.; Ait-Rahou, Y.; Toubali, S.; Mitsui, T.; Oufdou, K.; Wahbi, S.; et al. Potential of native arbuscular mycorrhizal fungi, rhizobia, and/or green compost as alfalfa (Medicago sativa) enhancers under salinity. Microorganisms 2020, 8, 1695. [Google Scholar] [CrossRef]
- Gorgia, P.; Tsikou, D. Tripartite Symbiosis Between Legumes, Arbuscular Mycorrhizal Fungi and Nitrogen Fixing Rhizobia: Interactions and Regulation. Plant. Cell Environ. 2025. [Google Scholar] [CrossRef]
- El-Khalloufi, F. Hytotoxicité Induite par les Cyanotoxines: Effets des Microcystines sur la Croissance de Solanum Lycopersicum et sur Medicago sativa et sa Microflore Rhizosphérique. Ph.D. Thesis, Cadi Ayyad University, Marrakesh, Morocco, 2012. [Google Scholar]
- Olsen, S.R.; Dean, L.A. Phosphorus: Methods of soil analysis. Am. Soc. Agron. 1965, 9, 920–926. [Google Scholar]
- Alikhani, H.A.; Saleh-Rastin, N.; Antoun, H. Phosphate solubilization activity of rhizobia native to Iranian soils. Plant Soil 2006, 287, 35–41. [Google Scholar] [CrossRef]
- Parmar, P.; Sindhu, S. Potassium solubilization by rhizosphere bacteria: Influence of nutritional and environmental conditions. J. Microbiol. Res. 2013, 3, 25–31. [Google Scholar]
- Bano, N.; Musarrat, J. Characterization of a new Pseudomonas aeruginosa strain NJ-15 as a potential biocontrol agent. Curr. Microbiol. 2003, 46, 324–328. [Google Scholar] [CrossRef]
- Ait-El-Mokhtar, M.; Baslam, M.; Ben-Laouane, R.; Anli, M.; Boutasknit, A.; Mitsui, T.; Wahbi, S.; Meddich, A. Alleviation of detrimental effects of salt stress on date palm (Phoenix dactylifera L.) by the application of arbuscular mycorrhizal fungi and/or compost. Front. Sustain. Food Syst. 2020, 4, 131. [Google Scholar] [CrossRef]
- Ouhaddou, R.; Ben-Laouane, R.; Lahlali, R.; Anli, M.; Ikan, C.; Boutasknit, A.; Slimani, A.; Oufdou, K.; Baslam, M.; Ait Barka, E.; et al. Application of Indigenous Rhizospheric Microorganisms and Local Compost as Enhancers of Lettuce Growth, Development, and Salt Stress Tolerance. Microorganisms 2022, 10, 1625. [Google Scholar] [CrossRef]
- Benaffari, W.; Boutasknit, A.; Anli, M.; Ait-El-Mokhtar, M.; Ait-Rahou, Y.; Ben-Laouane, R.; Ben Ahmed, H.; Mitsui, T.; Baslam, M.; Meddich, A. The native arbuscular mycorrhizal fungi and vermicompost-based organic amendments enhance soil fertility, growth performance, and the drought stress tolerance of quinoa. Plants 2022, 11, 393. [Google Scholar] [CrossRef]
- Meddich, A.; Jaiti, F.; Bourzik, W.; Asli, A.E.; Hafidi, M. Use of mycorrhizal fungi as a strategy for improving the drought tolerance in date palm (Phoenix dactylifera). Sci. Hortic. 2015, 192, 468–474. [Google Scholar] [CrossRef]
- Farissi, M.; Bouizgaren, A.; Faghire, M.; Bargaz, A.; Ghoulam, C. Agro-physiological responses of Moroccan alfalfa (Medicago sativa L.) populations to salt stress during germination and early seedling stages. Seed Sci. Technol. 2011, 39, 389–401. [Google Scholar] [CrossRef]
- Phillips, J.M.; Hayman, D.S. Improved procedures for clearing roots and staining parasitic and vesicular-arbuscular mycorrhizal fungi for rapid assessment of infection. Trans. Br. Mycol. Soc. 1970, 55, 158–161. [Google Scholar] [CrossRef]
- Wolf, B. A comprehensive system of leaf analyses and its use for diagnosing crop nutrient status. Commun. Soil Sci. Plant Anal. 1982, 13, 1035–1059. [Google Scholar] [CrossRef]
- Ventorino, V.; Caputo, R.; De Pascale, S.; Fagnano, M.; Pepe, O.; Moschetti, G. Response to salinity stress of Rhizobium leguminosarum bv. viciae strains in the presence of different legume host plants. Ann. Microbiol. 2012, 62, 811–823. [Google Scholar] [CrossRef]
- Muntyan, V.S.; Roumiantseva, M.L. Molecular Phylogenetic Analysis of Salt-Tolerance-Related Genes in Root-Nodule Bacteria Species Sinorhizobium meliloti. Agronomy 2022, 12, 1968. [Google Scholar] [CrossRef]
- Pagare, K.A.; Navale, A.M.; Naik, R.M.; Durgude, A.G. Effect of inoculation of salt tolerant rhizobium on nodulation and leghaemoglobin content of soybean. Biosci. Biotechnol. Res. Commun. 2019, 12, 377–383. [Google Scholar] [CrossRef]
- Kearl, J.; McNary, C.; Lowman, J.S.; Mei, C.; Aanderud, Z.T.; Smith, S.T.; West, J.; Colton, E.; Hamson, M.; Nielsen, B.L. Salt-Tolerant Halophyte Rhizosphere Bacteria Stimulate Growth of Alfalfa in Salty Soil. Front. Microbiol. 2019, 10, 1849. [Google Scholar] [CrossRef]
- Wekesa, C.; Asudi, G.O.; Okoth, P.; Reichelt, M.; Muoma, J.O.; Furch, A.C.U.; Oelmüller, R. Rhizobia Contribute to Salinity Tolerance in Common Beans (Phaseolus vulgaris L.). Cells 2022, 11, 3628. [Google Scholar] [CrossRef]
- Domínguez-Ferreras, A.; Pérez-Arnedo, R.; Becker, A.; Olivares, J.; Soto, M.J.; Sanjuán, J. Transcriptome profiling reveals the importance of plasmid pSymB for osmoadaptation of Sinorhizobium meliloti. J. Bacteriol. 2006, 188, 7617–7625. [Google Scholar] [CrossRef]
- Pérez-Montaño, F.; del Cerro, P.; Jiménez-Guerrero, I.; López-Baena, F.J.; Cubo, M.T.; Hungria, M.; Megías, M.; Ollero, F.J. RNA-seq analysis of the Rhizobium tropici CIAT 899 transcriptome shows similarities in the activation patterns of symbiotic genes in the presence of apigenin and salt. BMC Genom. 2016, 17, 198. [Google Scholar] [CrossRef]
- Moussaid, S.; Domínguez-Ferreras, A.; Muñoz, S.; Aurag, J.; Berraho, E.B.; Sanjuán, J. Increased trehalose biosynthesis improves Mesorhizobium ciceri growth and symbiosis establishment in saline conditions. Symbiosis 2015, 67, 103–111. [Google Scholar] [CrossRef]
- Ghosh, U.K.; Islam, M.N.; Siddiqui, M.N.; Khan, M.A.R. Understanding the roles of osmolytes for acclimatizing plants to changing environment: A review of potential mechanism. Plant Signal. Behav. 2021, 16, 46–49. [Google Scholar] [CrossRef]
- Bechtaoui, N.; Raklami, A.; Tahiri, A.; Benidire, L.; El Alaoui, A.; Meddich, A.; Göttfert, M.; Oufdou, K. Characterization of plant growth promoting rhizobacteria and their benefits on growth and phosphate nutrition of faba bean and wheat. Biol. Open 2019, 53, bio043968. [Google Scholar] [CrossRef]
- Bechtaoui, N.; El Alaoui, A.; Raklami, A.; Benidire, L.; Tahiri, A.I.; Oufdou, K. Impact of intercropping and co-inoculation with strains of plant growth-promoting rhizobacteria on phosphorus and nitrogen concentrations and yield of durum wheat (Triticum durum) and faba bean (Vicia faba). Crop Pasture Sci. 2019, 70, 649–658. [Google Scholar] [CrossRef]
- Tian, J.; Ge, F.; Zhang, D.; Deng, S.; Liu, X. Roles of Phosphate Solubilizing Microorganisms from. Biology 2021, 10, 158. [Google Scholar] [CrossRef] [PubMed]
- Goswami, D.; Thakker, J.N.; Dhandhukia, P.C. Portraying mechanics of plant growth promoting rhizobacteria (PGPR): A review. Cogent Food Agric. 2016, 2, 1127500. [Google Scholar] [CrossRef]
- Bianco, C.; Defez, R. Improvement of phosphate solubilization and Medicago plant yield by an indole-3-acetic acid-overproducing strain of Sinorhizobium meliloti. Appl. Environ. Microbiol. 2010, 76, 4626–4632. [Google Scholar] [CrossRef]
- Cafiero, J.H.; Salvetti Casasco, M.; Lozano, M.J.; Vacca, C.; López García, S.L.; Draghi, W.O.; Lagares, A.; Del Papa, M.F. Genomic analysis of Sinorhizobium meliloti LPU63, an acid-tolerant and symbiotically efficient alfalfa-nodulating rhizobia. Front. Agron. 2023, 5, 1175524. [Google Scholar] [CrossRef]
- Satyaprakash, M.; Nikitha, T.; Reddi, E.U.B.; Sadhana, B.; Vani, S.S. Phosphorous and phosphate solubilising bacteria and their role in plant nutrition. Int. J. Curr. Microbiol. Appl. Sci. 2017, 6, 2133–2144. [Google Scholar] [CrossRef]
- Shome, S.; Barman, A.; Solaiman, Z.M. Rhizobium and Phosphate Solubilizing Bacteria Influence the Soil Nutrient Availability, Growth, Yield, and Quality of Soybean. Agriculture 2022, 12, 1136. [Google Scholar] [CrossRef]
- Franche, C.; Lindström, K.; Elmerich, C. Nitrogen-fixing bacteria associated with leguminous and non-leguminous plants. Plant Soil 2009, 321, 35–59. [Google Scholar] [CrossRef]
- Meena, V.S.; Maurya, B.R.; Verma, J.P. Does a rhizospheric microorganism enhance K+ availability in agricultural soils? Microbiol. Res. 2014, 169, 337–347. [Google Scholar] [CrossRef]
- Singh, G.; Biswas, D.R.; Marwaha, T.S. Mobilization of potassium from waste mica by plant growth promoting rhizobacteria and its assimilation by maize (Zea mays) and wheat (Triticum aestivum L.): A hydroponics study under phytotron growth chamber. J. Plant Nutr. 2010, 33, 1236–1251. [Google Scholar] [CrossRef]
- Olaniyan, F.T.; Alori, E.T.; Adekiya, A.O.; Ayorinde, B.B.; Daramola, F.Y.; Osemwegie, O.O.; Babalola, O.O. The use of soil microbial potassium solubilizers in potassium nutrient availability in soil and its dynamics. Ann. Microbiol. 2022, 72, 45. [Google Scholar] [CrossRef]
- Etesami, H.; Emami, S.; Alikhani, H.A. Potassium solubilizing bacteria (KSB): Mechanisms, promotion of plant growth, and future prospects—A review. J. Soil Sci. Plant Nutr. 2017, 17, 897–911. [Google Scholar] [CrossRef]
- Bouizgarne, B.; Bakki, M.; Boutasknit, A.; Banane, B.; El Ouarrat, H.; Ait El Maalem, S.; Amenzou, A.; Ghousmi, A.; Meddich, A. Phosphate and potash solubilizing bacteria from Moroccan phosphate mine showing antagonism to bacterial canker agent and inducing effective tomato growth promotion. Front. Plant Sci. 2023, 14, 970382. [Google Scholar] [CrossRef] [PubMed]
- Yanni, Y.G.; Rizk, R.Y.; El-Fattah, F.K.A.; Squartini, A.; Corich, V.; Giacomini, A.; de Bruijn, F.; Rademaker, J.; Maya-Flores, J.; Ostrom, P.; et al. The beneficial plant growth-promoting association of Rhizobium leguminosarum bv. trifolii with rice roots. Aust. J. Plant Physiol. 2001, 28, 845–870. [Google Scholar] [CrossRef]
- Biswas, J.C.; Ladha, J.K.; Dazzo, F.B. Rhizobia inoculation improves nutrient uptake and growth of lowland rice. Soil Sci. Soc. Am. J. 2000, 64, 1644–1650. [Google Scholar] [CrossRef]
- Noor, A.; Ziaf, K.; Naveed, M.; Khan, K.S.; Ghani, M.A.; Ahmad, I.; Anwar, R.; Siddiqui, M.H.; Shakeel, A.; Khan, A.I. L-Tryptophan-Dependent Auxin-Producing Plant-Growth-Promoting Bacteria Improve Seed Yield and Quality of Carrot by Altering the Umbel Order. Horticulturae 2023, 9, 954. [Google Scholar] [CrossRef]
- Iyer, B.; Rajkumar, S. Rhizobia. Reference Module in Life Sciences; Elsevier: Amsterdam, The Netherlands, 2018; ISBN 9780128096338. [Google Scholar]
- Egamberdieva, D. Alleviation of salt stress by plant growth regulators and IAA producing bacteria in wheat. Acta Physiol. Plant. 2009, 31, 861–864. [Google Scholar] [CrossRef]
- Mal, S.; Panchal, S. Drought and salt stress mitigation in crop plants using stress-tolerant auxin-producing endophytic bacteria: A futuristic approach towards sustainable agriculture. Front. Plant Sci. 2024, 15, 1422504. [Google Scholar] [CrossRef] [PubMed]
- Lebrazi, S.; Fadil, M.; Chraibi, M.; Fikri-Benbrahim, K. Screening and optimization of indole-3-acetic acid production by Rhizobium sp. strain using response surface methodology. J. Genet. Eng. Biotechnol. 2020, 18, 21. [Google Scholar] [CrossRef]
- Seifikalhor, M.; Aliniaeifard, S.; Shomali, A.; Azad, N.; Hassani, B.; Lastochkina, O.; Li, T. Calcium signaling and salt tolerance are diversely entwined in plants. Plant Signal. Behav. 2019, 14, 1665455. [Google Scholar] [CrossRef]
- Evelin, H.; Devi, T.S.; Gupta, S.; Kapoor, R. Mitigation of Salinity Stress in Plants by Arbuscular Mycorrhizal Symbiosis: Current Understanding and New Challenges. Front. Plant Sci. 2019, 10, 470. [Google Scholar] [CrossRef]
- Evelin, H.; Kapoor, R.; Giri, B. Arbuscular mycorrhizal fungi in alleviation of salt stress: A review. Ann. Bot. 2009, 104, 1263–1280. [Google Scholar] [CrossRef]
- Bruning, B.; Rozema, J. Symbiotic nitrogen fixation in legumes: Perspectives for saline agriculture. Environ. Exp. Bot. 2013, 92, 134–143. [Google Scholar] [CrossRef]
- Duan, H.X.; Luo, C.L.; Wang, X.; Cheng, Y.S.; Abrar, M.; Batool, A. Responses of Legumes to Rhizobia and Arbuscular Mycorrhizal Fungi Under Abiotic Stresses: A Global Meta-Analysis. Agronomy 2024, 14, 2597. [Google Scholar] [CrossRef]
- Ben-Laouane, R.; Meddich, A.; Bechtaoui, N.; Oufdou, K.; Wahbi, S. Effects of Arbuscular Mycorrhizal Fungi and Rhizobia Symbiosis on the Tolerance of Medicago Sativa to Salt Stress. Gesunde Pflanz. 2019, 71, 135–146. [Google Scholar] [CrossRef]
- Namdari, A.; Baghbani Arani, A.; Moradi, A. Arbuscular mycorrhizal (Funneliformis mosseae) improves alfalfa (Medicago sativa L.) re-growth ability in saline soil through enhanced nitrogen remobilization and improved nutritional balance. J. Cent. Eur. Agric. 2018, 19, 166–183. [Google Scholar] [CrossRef]
- Liu, L.; Yahaya, B.S.; Li, J.; Wu, F. Enigmatic role of auxin response factors in plant growth and stress tolerance. Front. Plant Sci. 2024, 15, 1398818. [Google Scholar] [CrossRef]
- Haque, S.I.; Matsubara, Y.-I. Salinity tolerance and sodium localization in mycorrhizal strawberry plants. Commun. Soil Sci. Plant Anal. 2018, 49, 2782–2792. [Google Scholar] [CrossRef]
- Parvin, S.; Van Geel, M.; Yeasmin, T.; Verbruggen, E.; Honnay, O. Effects of single and multiple species inocula of arbuscular mycorrhizal fungi on the salinity tolerance of a Bangladeshi rice (Oryza sativa L.) cultivar. Mycorrhiza 2020, 30, 431–444. [Google Scholar] [CrossRef]
- Lan, Y.; Zhang, H.; He, Y.; Jiang, C.; Yang, M.; Ye, S. Legume-bacteria-soil interaction networks linked to improved plant productivity and soil fertility in intercropping systems. Ind. Crops Prod. 2023, 196, 116504. [Google Scholar] [CrossRef]
- Wang, H.; An, T.; Huang, D.; Liu, R.; Xu, B.; Zhang, S.; Deng, X.; Siddique, K.H.M.; Chen, Y. Arbuscular mycorrhizal symbioses alleviating salt stress in maize is associated with a decline in root-to-leaf gradient of Na+/K+ ratio. BMC Plant Biol. 2021, 21, 457. [Google Scholar] [CrossRef] [PubMed]
- Flowers, T.J.; Glenn, E.P.; Volkov, V. Could vesicular transport of Na+ and Cl− Be a feature of salt tolerance in halophytes? Ann. Bot. 2019, 123, 1–18. [Google Scholar] [CrossRef] [PubMed]
- Miransari, M. Contribution of arbuscular mycorrhizal symbiosis to plant growth under different types of soil stress. Plant Biol. 2010, 12, 563–569. [Google Scholar] [CrossRef] [PubMed]
- Selvakumar, G.; Shagol, C.C.; Kim, K.; Han, S.; Sa, T. Spore associated bacteria regulates maize root K+/Na+ ion homeostasis to promote salinity tolerance during arbuscular mycorrhizal symbiosis. BMC Plant Biol. 2018, 18, 109. [Google Scholar] [CrossRef] [PubMed]
- Abdel Latef, A.A.H.; Tahjib-Ul-Arif, M.; Rhaman, M.S. Exogenous Auxin-Mediated Salt Stress Alleviation in Faba Bean (Vicia faba L.). Agronomy 2021, 11, 547. [Google Scholar] [CrossRef]
- Nasslahsen, B.; Prin, Y.; Ferhout, H.; Smouni, A.; Duponnois, R. Mycorrhizae helper bacteria for managing the mycorrhizal soil infectivity. Front. Soil Sci. 2022, 2, 979246. [Google Scholar] [CrossRef]
- Bonfante, P.; Anca, I.-A. Plants, mycorrhizal fungi, and bacteria: A network of interactions. Annu. Rev. Microbiol. 2009, 63, 363–383. [Google Scholar] [CrossRef]
- Calderon, R.B.; Dangi, S.R. Arbuscular Mycorrhizal Fungi and Rhizobium Improve Nutrient Uptake and Microbial Diversity Relative to Dryland Site-Specific Soil Conditions. Microorganisms 2024, 12, 667. [Google Scholar] [CrossRef]
- Abd-Alla, M.H.; El-Enany, A.-W.E.; Nafady, N.A.; Khalaf, D.M.; Morsy, F.M. Synergistic interaction of Rhizobium leguminosarum bv. viciae and arbuscular mycorrhizal fungi as a plant growth promoting biofertilizers for faba bean (Vicia faba L.) in alkaline soil. Microbiol. Res. 2014, 169, 49–58. [Google Scholar] [CrossRef]
- Frey-Klett, P.; Garbaye, J.; Tarkka, M. The mycorrhiza helper bacteria revisited. New Phytol. 2007, 176, 22–36. [Google Scholar] [CrossRef]
- Duponnois, R.; Plenchette, C. A mycorrhiza helper bacterium enhances ectomycorrhizal and endomycorrhizal symbiosis of Australian Acacia species. Mycorrhiza 2003, 13, 85–91. [Google Scholar] [CrossRef]
- Püschel, D.; Janoušková, M.; Voříšková, A.; Gryndlerová, H.; Vosátka, M.; Jansa, J. Arbuscular mycorrhiza stimulates biological nitrogen fixation in two Medicago spp. through improved phosphorus acquisition. Front. Plant Sci. 2017, 8, 390. [Google Scholar] [CrossRef]
- Andrino, A.; Guggenberger, G.; Kernchen, S.; Mikutta, R.; Sauheitl, L.; Boy, J. Production of Organic Acids by Arbuscular Mycorrhizal Fungi and Their Contribution in the Mobilization of Phosphorus Bound to Iron Oxides. Front. Plant Sci. 2021, 12, 661842. [Google Scholar] [CrossRef]
- Xie, M.M.; Zou, Y.N.; Wu, Q.S.; Zhang, Z.Z.; Kuča, K. Single or dual inoculation of arbuscular mycorrhizal fungi and rhizobia regulates plant growth and nitrogen acquisition in white clover. Plant Soil Environ. 2020, 66, 287–294. [Google Scholar] [CrossRef]
- Azcón, R.; Barea, J.-M. Mycorrhizosphere interactions for legume improvement. In Microbes for Legume Improvement; Springer: Cham, Switzerland, 2010; pp. 237–271. ISBN 9783211997536. [Google Scholar]
- Franzini, V.I.; Azcon, R.; Mendes, F.L.; Aroca, R. Interactions between Glomus species and Rhizobium strains affect the nutritional physiology of drought-stressed legume hosts. J. Plant Physiol. 2010, 167, 614–619. [Google Scholar] [CrossRef]
- Franzini, V.I.; Azcón, R.; Méndes, F.L.; Aroca, R. Different interaction among Glomus and Rhizobium species on Phaseolus vulgaris and Zea mays plant growth, physiology and symbiotic development under moderate drought stress conditions. Plant Growth Regul. 2013, 70, 265–273. [Google Scholar] [CrossRef]
- Van der Veken, L.; Cabasan, M.T.N.; Elsen, A.; Swennen, R.; De Waele, D. Effect of single or dual inoculation of the arbuscular mycorrhizal fungus Glomus mosseae and root-nodulating rhizobacteria on reproduction of the burrowing nematode Radopholus similis on non-leguminous and leguminous banana intercrops. J. Plant Dis. Prot. 2021, 128, 961–971. [Google Scholar] [CrossRef]
- Ben-Laouane, R.; Ait-El-Mokhtar, M.; Anli, M.; Boutasknit, A.; Ait Rahou, Y.; Raklami, A.; Oufdou, K.; Wahbi, S.; Meddich, A. Green Compost Combined with Mycorrhizae and Rhizobia: A Strategy for Improving Alfalfa Growth and Yield Under Field Conditions. Gesunde Pflanz. 2021, 73, 193–207. [Google Scholar] [CrossRef]
Disclaimer/Publisher’s Note: The statements, opinions and data contained in all publications are solely those of the individual author(s) and contributor(s) and not of MDPI and/or the editor(s). MDPI and/or the editor(s) disclaim responsibility for any injury to people or property resulting from any ideas, methods, instructions or products referred to in the content. |
© 2025 by the authors. Licensee MDPI, Basel, Switzerland. This article is an open access article distributed under the terms and conditions of the Creative Commons Attribution (CC BY) license (https://creativecommons.org/licenses/by/4.0/).





