Next Article in Journal
A Novel Approach for Solving Fractional Differential Equations via a Multistage Telescoping Decomposition Method
Previous Article in Journal
Finite-Time Stability Analysis for Delayed Fuzzy Hadamard Fractional-Order Systems
 
 
Font Type:
Arial Georgia Verdana
Font Size:
Aa Aa Aa
Line Spacing:
Column Width:
Background:
Article

Mechanical Properties and Microscopic Fractal Characteristics of Lime-Treated Sandy Soil

1
School of Water Conservancy, North China University of Water Resources and Electric Power, Zhengzhou 450046, China
2
School of Civil Engineering, Tianjin University, Tianjin 300072, China
*
Author to whom correspondence should be addressed.
Fractal Fract. 2025, 9(2), 64; https://doi.org/10.3390/fractalfract9020064
Submission received: 24 November 2024 / Revised: 15 January 2025 / Accepted: 19 January 2025 / Published: 22 January 2025

Abstract

In order to reveal the intrinsic mechanism of the mechanical properties of lime-treated sandy soil from a microscopic perspective, triaxial tests were conducted to analyze the macroscopic mechanical characteristics of sandy soil with different lime contents (0%, 5%, 8%, and 12%). The changes in the microstructure of the lime-treated sandy soil were studied through scanning electron microscopy, energy-dispersive spectroscopy, and mercury intrusion tests, combined with fractal theory for quantitative characterization. The results indicate that the stress–strain curve of lime-treated sandy soil can be divided into four stages: linear elastic, non-linear, failure, and residual strength. With the increase in lime content, the peak stress and cohesion first increase and then decrease, while the internal friction angle first decreases and then increases, suggesting the presence of an optimal threshold for lime content between 5% and 12%. The failure mode transitions from diagonal shear failure to bulging failure, significantly enhancing stability; both the fitted Mohr–Coulomb and Drucker–Prager failure criteria effectively reflect the failure patterns of the specimens in principal stress space. The results based on the three fractal dimensions demonstrate that lime-treated sandy soil exhibits clear fractal characteristics, with the highest fractal dimension value at a lime content of 8%, corresponding to the highest overall strength. In addition, the fractal dimension shows a binomial relationship with pore characteristic parameters and shear strength parameters; it can effectively characterize the complexity of the microstructure and accurately predict changes in shear strength parameters.

1. Introduction

Sandy soil is mainly composed of gravel, a small amount of clay, and mud; it has the disadvantages of larger particle pores, less cohesive material, low shear strength, and poor mechanical properties [1,2] and is not suitable to be directly used as the filling material of engineering foundation. However, due to the widespread distribution of sandy soil, it is difficult to avoid using it in engineering construction. Therefore, it is particularly important to adopt appropriate methods to improve sandy soil, and different countries, in foundation engineering construction, mostly use the method of adding lime to improve natural sandy soil [3,4]. Practice has shown that lime-treated sandy soil as the foundation filler has the advantages of low cost, high bearing capacity, high stiffness, and so on, which is of great significance to engineering construction.
Mixing lime into sandy soil in a certain proportion can promote a series of physicochemical reactions between lime and sandy soil to generate cementitious substances, which can improve the structure and enhance the mechanical properties of sandy soil [5,6]. Research has found that the increase in soil mechanical strength is closely related to factors such as lime content, pH value, and curing age [7]. An appropriate amount of lime can form cementitious substances in a short period of time to improve the internal structure and improve the compressive strength of the soil [8]; with the increase in lime content, the mechanical performance parameters show a trend of first increase and then decrease [9], indicating that there is an optimal threshold for the amount of lime content [10]. Some scholars have conducted in-depth research on the mechanical properties of soil from the perspective of changes in internal pore structure and microscopic composition before and after the addition of lime [11]. Rosone et al. [12] found, through scanning electron microscopy and mercury intrusion tests, that lime reacts with soil to produce cementitious substances that close smaller pores and form dense aggregates. Additionally, the pore-size distribution curve of the soil exhibits a bimodal shape, and the pores exhibit an ink-bottle structure. Mahdi et al. [13] found, through uniaxial shear tests and California bearing ratio tests, that the increase in shear strength is primarily related to the cementitious substances produced by the reaction between lime and soil, and the shear strength of soil was the highest when the lime content was 6%. These research results indicate the feasibility of using lime to improve the performance of soil materials. However, most studies have mainly focused on a single aspect of its mechanical properties or microstructure, failing to comprehensively and systematically reveal the intrinsic mechanisms of its mechanical characteristics from a microscopic perspective.
Sandy soil is a porous medium resulting in a more complex internal pore structure due to the pozzolanic reaction between lime and the soil’s internal minerals. Traditional geometric methods struggle to accurately describe the features of the pore structure and fail to reveal its mechanical properties in essence, while fractal theory provides methods to solve this problem [14,15]. Fractal theory is a method for describing the complexity and diversity of objects, which quantifies the disorder of objects in fractal dimensions utilizing fractal models, thus furthering the understanding of the material’s microstructural properties [16,17]. Li et al. [18] found, through scanning electron microscopy combined with box-counting methods, that lime-treated loess exhibits significant fractal characteristics and also established a fractal model of the soil–water characteristic curve based on the fractal dimension which can further predict the hydraulic characteristic parameters. However, calculating the fractal dimension solely from SEM two-dimensional cross-sectional images cannot accurately represent the three-dimensional pore structure of the material. Therefore, further in-depth analysis is needed by combining other fractal methods. Zhu et al. [19] found, through mercury intrusion tests combined with the Menger sponge model, that the addition of zeolite powder significantly improves the properties of cement mortar. A quantitative analysis of the microstructural changes using the fractal dimension indicates a polynomial relationship between the fractal dimension and both compressive strength and permeability. The findings from the above studies indicate that the fractal dimension offers a new methodological approach to revealing macroscopic mechanical properties through microstructural analysis. Utilizing the fractal dimension allows for more intuitive description and prediction of changes in the pore structure [20,21,22], establishing a connection between the fractal dimension and the mechanical parameters. This provides a powerful theoretical basis for revealing the macroscopic mechanical properties of soils from a microscopic perspective.
However, previous theoretical research has mainly focused on lime-treated loess [23,24], lime-stabilized silt [25,26], lime-modified expansive soil [27], and cement–limestone powder composite materials [28]; on the other hand, most studies only consider a single aspect of mechanical properties and microstructure. There is a relative lack of research on the properties of lime-treated sandy soil and related fractal studies, and there is currently limited research on the relationship between macroscopic mechanical parameters and microscopic fractal dimensions, so further in-depth exploration is urgently needed.
Based on this, this study conducted conventional triaxial compression tests to perform an in-depth investigation on the macroscopic mechanical properties of lime-treated sandy soil. The microstructural changes in the lime-treated sandy soil were further analyzed by using techniques such as scanning electron microscopy, energy-dispersive spectroscopy, and mercury intrusion tests. By combining the box-counting method, the Menger sponge fractal model, and the thermodynamic fractal model [29], we quantified the pore structure by calculating the fractal dimensions at different dimensions. This revealed the evolution mechanism of its mechanical properties from a microscopic perspective [30,31], providing theoretical references for the improvement of sandy soil in practical engineering design.

2. Materials and Methods

2.1. Material Properties

The test soil samples were taken from the construction site in Anyang City, Henan Province, China (longitude: 114.44, latitude: 36.06). X-ray technology was used to analyze the chemical composition of the test materials. The main chemical components of the sandy soil and lime are shown in Table 1. According to the Geotechnical Test Code (SL237-1999) [32], indoor tests were conducted on the soil samples taken, and the particle size distribution curve was obtained through screening tests, as shown in Figure 1. Through the limit water content test and the compaction test, the initial physical parameters of the sandy soil with different lime contents were obtained, as shown in Table 2.

2.2. Specimen Preparation

The experiment was designed with one group of remolded sandy soil and three groups of lime-treated sandy soil, with lime contents (mass ratio) of 5%, 8%, and 12%. The specimens size were all φ150 mm × 300 mm. The moisture content of the specimens was the optimal moisture content. The preparation process is shown in Figure 2; water was added to the soil samples, and they thoroughly mixed before being sealed and allowed to sit for 24 h to ensure adequate reaction with water. Subsequently, lime at contents of 5%, 8%, and 12% was added and mixed evenly. The mixture was then compacted by using an electric compactor, with a compaction degree controlled at 0.93. Compaction was carried out in three layers, and the surface was chiseled after each layer. After the preparation of the specimens was completed, the specimens were sealed and placed in a curing room for 28 days before testing.

2.3. Experimental Methods

2.3.1. Conventional Triaxial Compression Test

The triaxial compression test was conducted according to the Standard for Geotechnical Testing Methods (GB/T 50123-2019) [33], and the experimental instrument used is the GCTS-STX-600 triaxial apparatus produced by Jetsont Company in Jonesboro, AR, USA. We used the GCTS-STX-600 triaxial apparatus for unconsolidated undrained testing. Three confining pressures of 150 kPa, 300 kPa, and 450 kPa were set. The loading rate of the equipment was configured to 0.2%/min, and loading was stopped when the axial deformation reached 15%, effectively reducing the influence of damping effects.

2.3.2. Scanning Electron Microscopy and Energy-Dispersive Spectroscopy Analysis

The SEM tests were conducted by using the Genminni 300 thermal field-emission scanning electron microscope produced by Zeiss in Oberkochen, Baden-Württemberg, Germany. To analyze the soil samples, firstly, the soil samples were shaped into rectangular test blocks measuring 10 mm × 10 mm × 20 mm. After curing for the corresponding age, the samples underwent a drying treatment for no less than 12 h and were coated with a thin layer of gold. Subsequently, qualitative and semi-quantitative analyses were performed on the samples. Based on the morphological characteristics observed with the scanning electron microscope, typical points in the well-developed central and edge regions were selected for EDS scanning to analyze the elemental composition of the samples.

2.3.3. Mercury Intrusion Porosimetry

The mercury intrusion tests were performed with the AutoPore V9620 mercury intrusion porosimeter produced by Micromeritics in Norcross, GA, USA, with a pressure range of 0.5 Psia to 60,000 Psia and a pore size range of 3.2 nm to 360 μm. The sample preparation and curing process was consistent with that of the SEM test. The samples were brought to a vacuum-saturated state by using a vacuum pump after curing. The dilatometer was then placed in the low-pressure chamber, where low-pressure analysis was performed first. Following this, the dilatometer and the test block were removed to measure the mass. High-pressure analysis was then conducted on the samples until the pressure dropped to atmospheric pressure, and the test operation was completed. Based on the required intruding mercury pressure and the volume of mercury intrusion for different pore sizes, the pore-size distribution characteristics of the samples were obtained.

3. Results and Discussion

3.1. Influence of Stress–Strain Curve

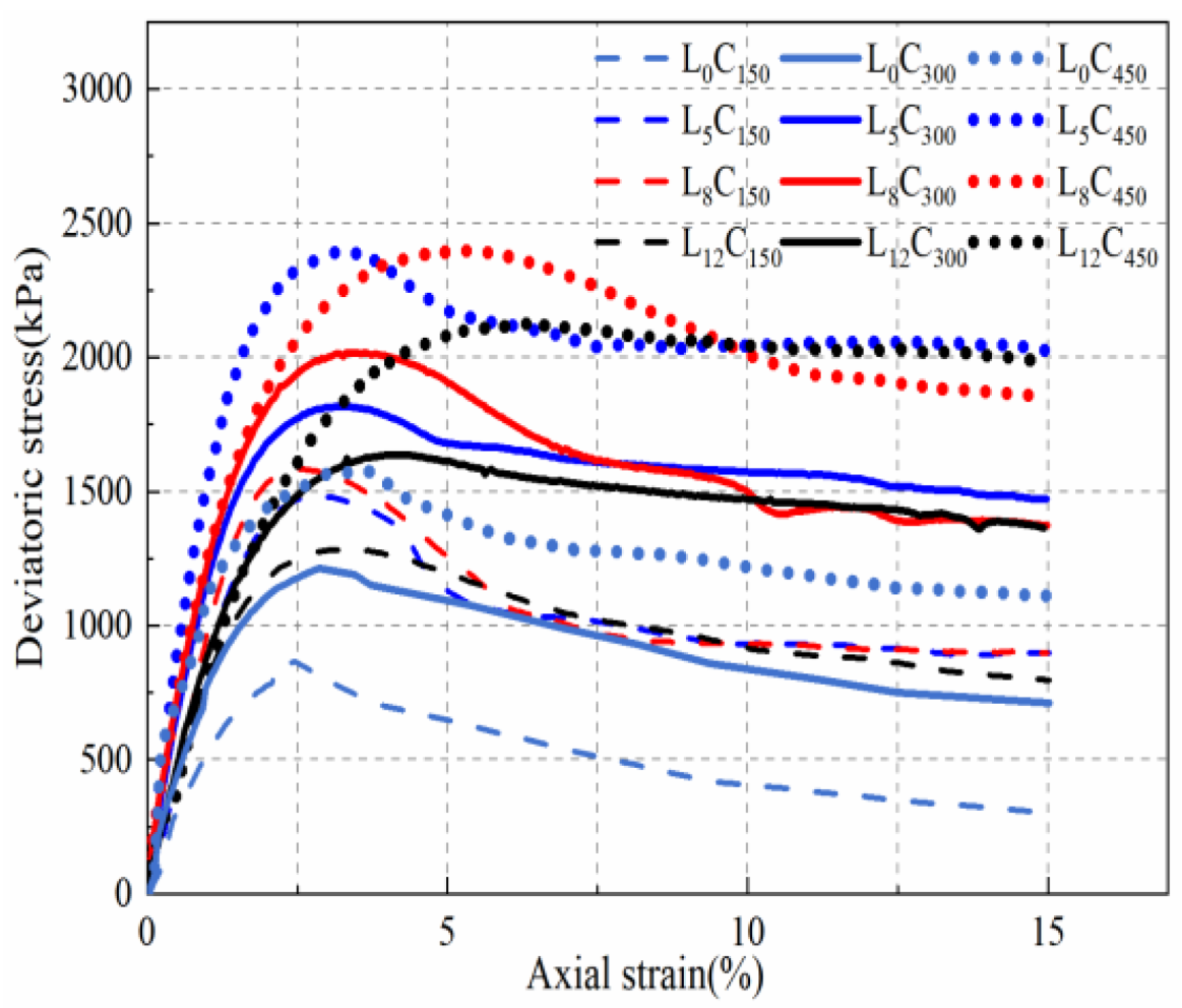
The stress–strain curves of lime-treated sandy soil are shown in Figure 3. As seen in Figure 3, the stress–strain curves of the lime-treated sandy soil under different confining pressures and lime contents can be generally divided into four stages: linear elasticity, non-linearity, failure, and residual strength stages. In the linear elasticity stage, the stress–strain curve is approximately linear, and the rate of stress increase is relatively rapid. As the stress increases, it enters the non-linear stage, where the slope gradually decreases, and the rate of stress increase slows down. After the stress reaches its peak, it enters the failure stage. As the strain increases, the axial stress slowly decreases until it tends to stabilize before entering the residual strength stage, and the specimens exhibit strain-softening characteristics.
At the same lime content, as the confining pressure increases, the overall peak stress of the stress–strain curve significantly increases, the amplitude of stress changes after the peak weakens, the rate of decrease slows down, and the residual strength is significantly improved. Under the same confining pressure, as the lime content increases, the peak stress of the stress–strain curve first increases and then decreases. At 8% lime content, the peak stress value is the highest, and the mechanical properties are optimal. There is a threshold for the peak stress to reach its maximum value when the lime content is between 5% and 12% [34].

3.2. Influence of Shear Strength Parameters

The variation in shear strength parameters at different lime contents is shown in Figure 4. As shown in Figure 4, it can be seen that with the increase in lime content, cohesion first increases and then decreases, while the internal friction angle first decreases and then increases [35]. When the lime content increases from 0% to 8%, the cohesion increases from 52.36 kPa to 307.51 kPa, with an increase of approximately 487%, whereas the internal friction angle decreases from 38.26° to 35.15°, with a decrease of about 8%. When the lime content reaches 12%, cohesion is 216.38 kPa, with a decrease of approximately 30%; the internal friction angle is 35.67°, with an increase of about 1.5%. This indicates that the effect of lime content on the cohesion of sandy soil is more significant, while its effect on the internal friction angle is relatively small.

3.3. Failure Modes

The failure mode of lime-treated sandy soil under triaxial compression is shown in Figure 5. As seen in Figure 5, the remolded sandy soil specimens exhibit upward and downward movement, forming an oblique shear crack that penetrates the entire specimens, resulting in a distinct shear plane. With the increase in lime content, the bottom of the lime-treated sandy soil specimens bulges, and the shear crack gradually transforms into a V-shaped crack, showing stronger overall stability of the specimens. This is because the remolded sandy soil contains a little amount of cohesive materials, and the friction effects among particles are weak, which gives insufficient resistance to external loads under low confining pressures, leading to the upward and downward movement of the specimens and the formation of shear cracks. With the addition of lime, C-S-H cementitious materials are generated, promoting the bonding among particles, allowing the soil to more effectively disperse stress when subjected to force, reducing local stress concentration, and improving the load-bearing capacity of the sandy soil. As a result, the failure mode of the sandy soil transitions to a more uniform bulging failure [36,37]. At a lime content of 8%, the bulging at the bottom of the specimens is relatively minor, resulting in stronger overall stability and optimal mechanical performance.

3.4. Failure Criteria

Failure criteria can predict the ultimate state of materials under different stress conditions, judging whether a material has reached a failure state through mathematical functions. which have significant implications for material assessment and engineering design. This study selected the Mohr–Coulomb failure criterion and the Drucker–Prager failure criterion to fit the triaxial test data.
The Mohr–Coulomb failure criterion is currently a classic failure criterion used to describe strength surfaces, widely used due to its accuracy and simplicity of expression [38]. Its expression is
σ 1 σ 3 2 = σ 1 + σ 3 2 sin φ + c cos φ
where σ1 represents the maximum principal stress, σ3 represents the confining pressure, and c and φ represent the cohesion and internal friction angle, respectively.
The Drucker–Prager failure criterion, abbreviated as the DP criterion, describes the failure behavior of soil under external loading. Compared with the Mohr–Coulomb failure criterion, the DP criterion takes into account the effects of intermediate principal stress and hydrostatic pressure, improving upon the shortcomings of the MC criterion [39]. Its expression is
α I 1 + J 2 K = 0
where I 1 = σ 1 + σ 2 + σ 3 is the first invariant of stress, J 2 = 1 6 ( σ 1 σ 2 ) 2 + ( σ 2 σ 3 ) 2 + ( σ 1 σ 3 ) 2 is the second invariant of deviatoric stress, and α and K are parameters related to the internal friction angle and cohesion of the soil, respectively.
Based on the triaxial test data, the fitting results of the failure criteria for different lime contents are shown in Figure 6. As seen in Figure 6, the overall fitting accuracy R2 of the straight line is relatively high, all above 0.99. As the lime content increases, the slope first decreases and then increases, while the intercept first increases and then decreases. At a lime content of 8%, the slope is at its minimum, and the intercept is at its maximum. By analyzing the fitted slope and intercept, one can infer the variation trends in cohesion and internal friction angle, corresponding to a decrease in the internal friction angle followed by an increase and an increase in cohesion followed by a decrease. The results indicate that both failure criteria can effectively reflect the failure behavior of lime-treated sandy soil in principal stress space.

4. Microstructure Mechanism Analysis of Lime-Treated Sandy Soil

Lime-treated sandy soil, as a type of porous medium, has its overall stability largely determined by the size, shape, and distribution characteristics of its pores. Analyzing the microstructural changes in treated sandy soil can further reveal the evolution mechanism of its mechanical properties. The reaction mechanisms of the lime-treated sandy soil system are shown in Figure 7. As can be seen from Figure 7, lime undergoes cation exchange, a carbonation reaction, a hydration reaction, and a pozzolanic reaction with sandy soil. When Ca(OH)2 in lime dissolves in water, it produces a large number of calcium ions, which then undergo exchange reactions with the low-valence sodium ions and potassium ions in the soil. The concentration of calcium ions increases rapidly, transforming the soil structure from a relatively dispersed form to a flocculent structure [40]. Furthermore, Ca(OH)2 undergoes an acid–base neutralization reaction with CO2 in the air to form CaCO3 crystals, which play a role in connecting aggregate particles.
At the same time, Ca(OH)2 undergoes pozzolanic reactions with substances such as SiO2 and Al2O3 in the soil [41], generating hydration products like calcium silicate hydrate and calcium aluminate hydrate. The C-S-H cementitious material produced by the reactions improves the pore structure, reduces the interparticle pores, enhances the bonding effect, increases the compactness of the sandy soil, and strengthens the mechanical properties.
To further investigate the effect of lime content on the microstructure of sandy soil, scanning electron microscopy, energy-dispersive spectrometry, and mercury intrusion tests were conducted on specimens of improved sandy soil with different lime contents for qualitative and quantitative analyses of the soil microstructure. Due to the smaller pore sizes of the lime-treated sandy soil, according to the pore classification method proposed by Lei Xiangyi, pores below 2 μm were classified as micropores, pores from 2 to 8 μm as small pores, pores from 8 to 32 μm as medium pores, and pores 32 μm and above as large pores.

4.1. Scanning Electron Microscope Analysis

Figure 8 shows scanning electron microscope images magnified 5000 times for different lime contents. As seen in Figure 8, the structure of the remolded sandy soil is loose, with a high number of soil particles and pores. After the addition of lime, pozzolanic and hydration reactions occur with the sandy soil, generating C-S-H, which fills the pores and increases the content of micropores. Meanwhile, the generation of cementitious materials alters the contact mode and particle morphology; the contact mode gradually shifts from point-to-point and point-to-face contact to face-to-face contact, while the particle morphology transitions from granular to clustered forms, which enhances the bonding effect among particles and reduces the friction effect. At 8% lime content, a large amount of cementitious material is generated to improve the pore structure, with the bonding effect being the most significant and the soil structure being the densest. This proves the existence of the optimal lime content of 8%, which is consistent with the previous mechanical property experimental conclusions. When the lime content is too high, excess lime adheres to the surface of the soil and combines with soil particles to form clustered deposits with larger pores. The reason is the difference in the rate of hydration and pozzolanic reactions, as well as insufficient moisture content [42], consequently resulting in the incomplete hydration of partial lime, increasing the surface roughness of the particles, and weakening the bonding effect. The macroscopic mechanical properties manifest an increase in the internal friction angle and a decrease in cohesion.

4.2. Energy-Dispersive Spectroscopy Analysis

To further investigate the changes in chemical composition after the reaction between lime and sandy soil, EDS analysis was conducted on the samples, yielding EDS images and corresponding elemental content ratios for different lime contents, as shown in Figure 9 and Table 3. According to Table 3, compared with remolded sandy soil, the Ca content and the Ca/Si ratio exhibit a trend of initial increase, then decrease, and subsequently increase again with the increase in lime content. This is because the addition of lime leads to the formation of a large number of Ca ions that undergo pozzolanic and hydration reactions with silicate, generating C-S-H cementitious materials, which enhances the degree of hydration and densifies the micropore structure. However, when the lime content is too high, excess lime does not react with the soil, adversely affecting the formation of C-S-H materials, which results in an increase in Ca ion concentration and the Ca/Si ratio [43].

4.3. Mercury Intrusion Porosimetry Analysis

The pressure-mercury intrusion cumulative volume relationship curves for different lime contents are shown in Figure 10. As seen in Figure 10, there is a positive correlation between mercury pressure and cumulative mercury intrusion volume. In the initial stage, as the mercury injection pressure increases, the cumulative mercury intrusion volume increases slowly. When the pressure reaches around 10 Psia, the cumulative mercury intrusion volume increases rapidly and gradually approaches saturation. During the mercury extrusion process, as the pressure decreases, the mercury gradually flows out of the pores, and the residual mercury content also decreases. When the pressure drops to a certain level, the extrusion curve stabilizes but does not coincide with the intrusion curve. It is because of the existence of ink-bottle-shaped pores in the soil, which causes a certain amount of mercury to remain in the pores, resulting in a hysteresis phenomenon [44].
As lime is added, the cumulative mercury injection volume initially increases and then decreases. This is because the reaction between lime and sandy soil forms cementitious substances which fill the pores, increasing the amount of micropores. The surface tension exerted on mercury in these micropores increases, and capillary action becomes more significant, allowing for the adsorption of a larger quantity of mercury. However, excessive lime can adversely affect the formation of cementitious substances, leading to the attachment of lime to the surface of the soil, which creates clump-like accumulations and causes the overall pores of the lime-treated sandy soil to become larger, resulting in a decrease in cumulative mercury intrusion volume. However, during the mercury extrusion stage, the residual mercury content shows a decreasing trend with the increase in lime content. This is because of the complex structure of the medium pores and macropores and the gradual release of pressure during mercury removal, which causes the lime-treated sandy soil to expand, thereby damaging the internal clay bridge structure, resulting in higher residual mercury content in the large pores between particles and a decrease in the residual mercury content in the mercury extrusion curve.
Figure 11 shows the pore-size distribution density curves for different lime contents. As shown in Figure 11, pore-size distribution density curves of sandy soil exhibit a bimodal distribution, with the left peak representing the pores within the particles and the right peak representing the pores between the aggregate particles. Compared with the remolded sandy soil with larger pore diameters, the pore distribution density curve of the lime-treated sandy soil shows significant changes. As observed from the positions of the bimodal peaks in the pore distribution density curves, the peaks of the improved sandy soil shift to the left compared with the remolded sandy soil. The left peak shifts more noticeably, with the peak of the remolded sandy soil at a corresponding pore size of 32 µm reducing to 20 µm for the improved sandy soil, while the right peak decreases from 2 µm to 0.095 µm, which indicates an overall decreasing trend in pore diameter for the improved sandy soil, leading to the formation of a porous structure with smaller pore sizes. Compared with the remolded sandy soil, which has higher contents of large and medium pores, the pore distribution of the improved sandy soil is more uniform. The increase in small pore content allows it to better resist external stress, thereby enhancing the mechanical properties of the improved sandy soil.

4.4. Fractal Characteristics of Lime-Treated Sandy Soil

4.4.1. Box-Counting Dimension Method from SEM Images

Due to the complex internal pore structure of the improved sandy soil, although SEM images can qualitatively analyze its microstructural characteristics and reveal changes in its microstructure, they do not enable the quantification of the complexity of the material’s pore structure. To gain a deeper understanding of the microstructure and fractal characteristics of the improved sandy soil, the box-counting method is used to quantify the complex structures in the SEM images into fractal dimensions, which provides a theoretical basis for further revealing the microstructural characteristics of the improved sandy soil [45].
The box-counting method is a classic fractal geometry technique proposed by Gangepain. The principle of this method involves dividing the SEM image into N square boxes with a side length of δ, varying the side length of the boxes, and counting the number of boxes of different lengths; the specific operation process is shown in Figure 12.
Firstly, ImageJ-win64 software is used to select an appropriate threshold to binarize the SEM image, where the white areas in Figure 12b show the particle framework and the black areas represent the pores. Then, MATLAB R2020b software is used to divide the binarized SEM image into a uniform grid of boxes. After repeatedly varying the side length of the boxes, the collected data undergo logarithmic transformation. The natural logarithm of δ is plotted on the x-axis, with ln(δ) as the horizontal axis and lnN(δ) as the vertical axis to create a scatter plot for linear fitting. The slope of the fitted line represents the fractal dimension, with the specific calculation formula as follows:
D = lim δ 0 ln N ( δ ) ln δ
where δ represents the box edge length, N(δ) represents the number of boxes after binarization, and D represents the fractal dimension.
In two-dimensional space, the theoretical range of fractal dimension is between 1 and 2. Due to SEM images exhibiting rich microstructures and self-similar features, their fractal dimensions are typically closer to 2. As shown in Figure 13, by using the box-counting method to calculate the SEM image magnified 5000 times, the fractal dimension value falls between 1.8006 and 1.9156, with correlation coefficients R2 greater than 0.99, which indicates that lime-treated sandy soil has significant fractal characteristics.
Compared with remolded sandy soil, the fractal dimension of lime-modified sandy soil increases significantly. With the increase in lime content, the fractal dimension shows a trend of first increase and then decrease. This is because the addition of lime forms cementing substances with the sandy soil, altering the original structure of the soil and increasing the complexity of the improved soil. When excessive lime is added, it combines with soil particles to form larger aggregates, resulting in increased contents of medium and large pores and leading to a looser pore structure in the improved sandy soil.
Further analysis of the SEM images at different magnifications reveals the fractal dimensions calculated by using the box-counting method. As shown in Table 4, it can be observed that the fractal dimension decreases with the increase in magnification at the same lime content, which is possibly because certain microstructural features become smoother and more uniform at higher magnifications, making it difficult to exhibit complex fractal characteristics and ultimately resulting in a decrease in the fractal dimension [46]. When the lime content is 8%, the amount of cementitious substances generated is the highest, and the internal structure of the pores is the most complex, resulting in the maximum fractal dimension value.

4.4.2. Two Fractal Models Based on MIP Tests

The Menger sponge model is a classic fractal model that starts with a cube. Each face of the cube is divided into nine squares; then, the cube is further divided into 27 smaller cubes through successive iterations, ultimately forming the Menger sponge structure. Furthermore, the theory of the Menger sponge model also fits with the principle of mercury intrusion, which states that as the mercury pressure increases, the mercury preferentially enters larger pores before entering smaller ones [47], corresponding to the multi-level structure generated through the iterations of the Menger sponge model. The Menger fractal model expression is as follows:
lg ( d V d P ) = C + ( D 4 ) lg P
where V is the mercury intrusion volume, P is the mercury intrusion pressure, C is the fitting constant, and D is the fractal dimension.
The thermodynamic fractal model is used to study the internal structure of porous media, treating pores as structures with fractal geometric shapes and introducing fractal dimensions to investigate the fractal characteristics of porous media. By comparing the calculation results of two fractal models, the changes in the pore structure of the lime-treated sandy soil can be further analyzed. The thermodynamic fractal model expression is as follows:
W n = i = 1 n p i Δ V i
Q n = V n 1 / 3 d n
ln ( W n d n 2 ) = D ln Q n + C
where Pi is the average pressure during the i-th mercury intrusion, ΔVi is the amount of mercury intrusion during the i-th mercury intrusion, n is the number of pressure intervals applied during the n-th mercury intrusion operation, dn is the corresponding pore radius during the n-th mercury intrusion operation, Vn is the cumulative mercury intrusion amount from pressure intervals 1 to n, C is the constant, and D is the fractal dimension.
Based on the mercury intrusion test data, the fractal dimensions of the pore structure of improved sandy soil under different lime contents were calculated for both the Menger sponge model and the thermodynamic model, as shown in Figure 14. The fractal dimensions calculated by both fractal models are within the range of 2 to 3, which accords with the theoretical range for three-dimensional pore fractal dimensions. The fitting accuracy R2 for the Menger sponge model is 0.975, while the fitting accuracy R2 for the thermodynamic fractal model is 0.838, the overall fitting accuracy is relatively high, indicating that lime-treated sandy soil exhibits significant fractal characteristics. The curves calculated by both models exhibit the same overall pattern, showing a trend where the fractal dimension first increases and then decreases with the increase in lime content. The specific reasons for these changes are the same as those derived from the box-counting method mentioned earlier and will not be explained in detail here.

4.4.3. Relationship Between Pore Characteristic Parameters and Fractal Dimension

Due to the complex microstructure of improved sandy soil, the changes in the microstructure can be more intuitively represented by pore characteristic parameters. Based on microscopic test results, IPP (Image-Pro-Plus 6.0) software was used to process the data to obtain values such as micropore content, total pore area, average pore diameter, and abundance at different lime contents. By conducting the fitting analysis between the fractal dimension and pore characteristic parameters, the trend of microstructural changes can be further predicted [48]. Pore abundance reflects the different shapes of pores, with abundance values ranging from 0 to 1. As the abundance value increases, elongated pores gradually transform into circular or elliptical pores. Circular pores have more contact than other shapes of pores, leading to a stronger ability for particles to embed.
Figure 15 and Figure 16 show the fitting curves between the fractal dimension and pore characteristic parameters. As shown in Figure 15 and Figure 16, the fractal dimension has a quadratic polynomial relationship with the pore characteristic parameters, and the fitting accuracy R2 values are relatively high, indicating that the fractal dimension can effectively reflect the complexity of the microstructure. As the fractal dimension increases, the quantity of hydration gel products generated increases, leading to a more complex internal pore structure of the soil. At the same time, the pores of the aggregate are filled with cementitious substances, causing the pore shape to tend to be rounded, corresponding to an increase in micropore content, total pore area, and abundance, while the average pore size decreases. Overall, there is a good correlation between the fractal dimension and pore characteristic parameters, suggesting that the changes in pore characteristic parameters can be predicted by using the fractal dimension.

4.5. Relationship Among Fractal Dimension, Cohesion, and Internal Friction Angle

To further investigate the impact of changes in the microstructure of improved sandy soil on macroscopic parameters, a mathematical model was established to relate the fractal dimension with shear strength parameters, predicting the trend of changes in shear strength parameters [49]. The relationship among fractal dimension, cohesion, and internal friction angle is shown in Figure 17. With the increase in fractal dimension, cohesion tends to increase, while the internal friction angle tends to decrease [3]. The reason is that a larger fractal dimension indicates that more C-S-H cementitious substances are generated, which further connects and weakens the edge angles of the pores, enhancing the agglomeration of particles, reducing the spacing among soil particles, and increasing molecular attraction, resulting in enhanced bonding among soil particles and reduced frictional effect. The macroscopic performance manifests as an increase in cohesion and a decrease in the internal friction angle.
It was found that by fitting the fractal dimension with shear strength parameters at different lime contents, the curve-fitting accuracy was relatively high. Among them, the Menger sponge model exhibited a good overall fitting effect with the shear strength parameters, with R2 values all above 0.90, while the thermodynamic model and the box-counting method showed a good fit with the internal friction angle, with R2 values all above 0.99. This indicates that the changes in shear strength parameters can be further predicted through the fractal dimension [50].

4.6. Discussion on Fractal Dimension Results Obtained from Different Microscopic Experiments

The fractal dimensions obtained from the SEM and MIP experiments are both based on the concept of self-similarity, which can describe the characteristics of materials exhibiting similar structures at different scales. Both can effectively quantify the complexity of the microstructure of porous materials and reveal the non-integer dimensional characteristics of the materials. Therefore, the fractal dimensions calculated from SEM and MIP experiments can complement each other, but there are certain differences between the fractal dimensions obtained from the two types of experiments. The box-counting method can quantify the complexity of SEM images in fractal dimensions, which reflects the complexity of the material’s internal structure based on the size of the fractal dimension. However, it only represents a two-dimensional cross-section and has uncertainty. On the other hand, the fractal dimension calculated from the results of the MIP experiments represents the pore surface fractal dimension, analyzing the changes in the internal structure of the pores from a three-dimensional perspective. However, its measurement is limited to the areas in contact with mercury, and during the application of mercury pressure, it may cause the closure or collapse of some pores, resulting in certain measurement biases. Although the fractal dimensions calculated from SEM and MIP tests belong to different dimensions and may have some degree of error, these analytical methods provide in-depth quantitative insights into pore structure characteristics.

5. Conclusions

This study investigates the mechanical properties and microstructure of lime-treated sandy soil through triaxial compression, scanning electron microscopy, energy-dispersive spectroscopy, and mercury intrusion porosimetry. It analyzes the effects of different lime contents on the macromechanical properties of sandy soil and employs fractal dimensions and pore characteristic parameters to reveal the reasons for the changes in the mechanical properties of lime-treated sandy soil from a microscopic perspective. The main research conclusions are as follows:
  • The macroscopic experimental results show that as the lime content increases, peak stress and cohesion initially increase and then decrease, while the internal friction angle shows a trend of initial decrease and then increase. The failure mode of the specimens transitions from oblique shear failure to bulging failure, demonstrating stronger stability. Based on the triaxial experimental data, the fitted Mohr–Coulomb failure criterion and the Drucker–Prager failure criterion both effectively reflect the failure laws of lime-treated sandy soil in the principal stress space. The lime-treated sandy soil exhibits the best mechanical properties at the lime content of 8%.
  • SEM and EDS analyses indicate that when a small amount of lime is added, C-S-H cementitious substances are generated and fill and improve the pore structure. When excessive lime is added, it can negatively affect the formation of cementitious substances and form clustered deposits with the sandy soil, resulting in reduced strength of the improved sandy soil. When the lime content is 8%, the Ca/Si ratio is relatively low, and the content of cementitious substances is at its highest, leading to the densest soil structure. The MIP results show that sandy soil exhibits an ink-bottle-shaped pore structure, causing the intrusion and extrusion mercury curves not to coincide, exhibiting the hysteresis phenomenon. As the lime content increases, the cumulative mercury intrusion initially increases and then decreases, while the residual mercury amount shows an overall decreasing trend. The pore-size distribution density curve of sandy soil exhibits a bimodal distribution, with the bimodal pore sizes of the lime-treated sandy soil shifting to the left compared with the remolded sandy soil, with a trend of decreasing pore diameter.
  • Based on the results of the three fractal dimensions, lime-treated sandy soil exhibits distinct fractal characteristics. The fractal dimension initially increases and then decreases as the lime content increases; at a lime content of 8%, the internal pore structure is the most complex, and the fractal dimension value is the highest. The pore characteristic parameters and shear strength parameters exhibit a binomial relationship with the fractal dimension, indicating that the fractal dimension can quantitatively characterize the complexity of the microstructure. By observing the changes in the fractal dimension, one can further predict the alterations in the shear strength parameters.

Author Contributions

Conceptualization, K.C.; Methodology, L.G.; Data curation, F.C.; Writing—original draft, R.L.; Writing—review & editing, H.H.; Supervision, Q.Q. All authors have read and agreed to the published version of the manuscript.

Funding

This research was funded by the National Natural Science Foundation of China (52109154); Henan Province Science and Technology Research Project (192102310224).

Data Availability Statement

Data is contained within the article.

Conflicts of Interest

The authors declare no conflict of interest.

References

  1. Miura, K.; Maeda, K.; Furukawa, M.; Toki, S. Mechanical Characteristics of Sands with Different Primary Properties. Soils Found. 1998, 38, 159–172. [Google Scholar] [CrossRef] [PubMed]
  2. Su, L.J.; Zhang, Y.J.; Wang, T.X. Investigation on permeability of sands with different particle sizes. Rock Soil Mech. 2014, 35, 1289–1294. [Google Scholar]
  3. Alhakim, G.; Baalbaki, O.; Jaber, L. Compaction and shear behaviors of sandy soil treated with lime and metakaolin. Geotech. Geol. Eng. 2023, 42, 79–95. [Google Scholar] [CrossRef]
  4. Majumder, M.; Venkatraman, S. Utilization of the Lime as Subgrade Stabilizer in the Pavement Construction. Arab. J. Sci. Eng. 2021, 47, 4929–4942. [Google Scholar] [CrossRef]
  5. Wang, J.; Zhou, L.G.; Zhong, C.L.; Zhang, Y.L. Impact of Silty Sand Soil Microstructure Change on Macro mechanical Parameters under Freezing and Thawing. Highway 2017, 62, 22–30. [Google Scholar]
  6. Aldaood, A.; Bouasker, M.; Al-Mukhtar, M. Mechanical Behavior of Gypseous Soil Treated with Lime. Geotech. Geol. Eng. 2020, 39, 719–733. [Google Scholar] [CrossRef]
  7. Al-Mukhtar, M.; Lasledj, A.; Alcover, J.-F. Behaviour and mineralogy changes in lime-treated expansive soil at 20 °C. Appl. Clay Sci. 2010, 50, 191–198. [Google Scholar] [CrossRef]
  8. Baldovino, J.A.; Moreira, E.B.; Teixeira, W.; Izzo, R.L.S.; Rose, J.L. Effects of lime addition on geotechnical properties of sedimentary soil in Curitiba, Brazil. J. Rock Mech. Geotech. Eng. 2018, 10, 188–194. [Google Scholar] [CrossRef]
  9. Xiao, X.I.; Luyao, W.A.; Lejuan, D.E.; Guowei, Z.H. Study on the microscopic mechanism of the loess improved by quicklime. Coal Geol. Explor. 2021, 49, 193–199. [Google Scholar]
  10. Han, C.; Cheng, P. Micropore variation and particle fractal representation of lime-stabilised subgrade soil under freeze–thaw cycles. Road Mater. Pavement Design 2015, 16, 19–30. [Google Scholar] [CrossRef]
  11. Jha, A.K.; Sivapullaiah, P.V. Mechanism of improvement in the strength and volume change behavior of lime stabilized soil. Eng. Geol. 2015, 198, 53–64. [Google Scholar] [CrossRef]
  12. Rosone, M.; Celauro, C.; Ferrari, A. Microstructure and shear strength evolution of a lime-treated clay for use in road construction. Int. J. Pavement Eng. 2018, 21, 1147–1158. [Google Scholar] [CrossRef]
  13. Khodaparast, M.; Rajabi, A.M.; Mohammadi, M. Mechanical properties of silty clay soil treated with a mixture of lime and zinc oxide nanoparticles. Constr. Build. Mater. 2021, 281, 122548. [Google Scholar] [CrossRef]
  14. Wang, X.J.; Yao, H.F.; Li, W.; Zhang, X.; Yan, J. Fractal characterization of pore structure in coals based on thermodynamics model. Coal Geol. Explor. 2014, 42, 20–23. [Google Scholar]
  15. Ma, Y.; Chen, W. Study on the Mechanism of Stabilizing Loess with Lime: Analysis of Mineral and Microstructure Evolution. Adv. Civ. Eng. 2021, 2021, 6641496. [Google Scholar] [CrossRef]
  16. Bai, Y.; Qin, Y.; Lu, X.; Zhang, J.; Chen, G.; Li, X. Fractal dimension of particle-size distribution and their relationships with alkalinity properties of soils in the western Songnen Plain. China. Sci. Rep. 2020, 10, 20603. [Google Scholar] [CrossRef]
  17. Sun, X.; She, D.; Fei, Y.; Wang, H.; Gao, L. Three-dimensional fractal characteristics of soil pore structure and their relationships with hydraulic parameters in biochar-amended saline soil. Soil Tillage Res. 2021, 205, 104809. [Google Scholar]
  18. Li, X.; Hu, C.; Li, F.; Gao, H. Determining soil water characteristic curve of lime treated loess using multiscale structure fractal characteristic. Sci. Rep. 2020, 10, 21569. [Google Scholar] [CrossRef]
  19. Zhu, D.; Wen, A.; Mu, D.; Tang, A.; Jiang, L.; Yang, W. Investigation into compressive property, chloride ion permeability, and pore fractal characteristics of the cement mortar incorporated with zeolite powder. Constr. Build. Mater. 2023, 411, 134522. [Google Scholar] [CrossRef]
  20. Zhu, D.; Zhu, S.; Tang, A. Effect of clinoptilolite on properties and fractal characteristic of pore structure of polypropylene fiber-reinforced cement-based composite. Constr. Build. Mater. 2023, 402, 132964. [Google Scholar] [CrossRef]
  21. Zhu, Z.; Huo, W.; Sun, H.; Ma, B.; Yang, L. Correlations between unconfined compressive strength, sorptivity and pore structures for geopolymer based on SEM and MIP measurements. J. Build. Eng. 2023, 67, 106011. [Google Scholar] [CrossRef]
  22. Han, X.; Feng, J.; Wang, B. Relationship between fractal feature and compressive strength of fly ash-cement composite cementitious materials. Cem. Concr. Compos. 2023, 139, 105052. [Google Scholar] [CrossRef]
  23. Bao, W.; Wang, H.; Lai, H.; Chen, R. Experimental study on strength characteristics and internal mineral changes of Lime-stabilized loess under High-Temperature. Constr. Build. Mater. 2022, 351, 128945. [Google Scholar] [CrossRef]
  24. Guo, J.; Jia, L.; Wei, Z.; Yao, K.; Yang, G.; Bao, D. Mechanical properties estimation of lime stabilized loess applied in various engineering fields. Constr. Build. Mater. 2023, 393, 132130. [Google Scholar] [CrossRef]
  25. Das, G.; Razakamanantsoa, A.; Herrier, G.; Deneele, D. Compressive strength and microstructure evolution of lime-treated silty soil subjected to kneading action. Transp. Geotech. 2021, 29, 100568. [Google Scholar] [CrossRef]
  26. Das, G.; Razakamanantsoa, A.; Herrier, G.; Deneele, D. Influence of pore fluid-soil structure interactions on compacted lime-treated silty soil. Eng. Geol. 2022, 296, 106496. [Google Scholar] [CrossRef]
  27. Ma, J.; Su, Y.; Liu, Y.; Tao, X. Strength and Microfabric of Expansive Soil Improved with Rice Husk Ash and Lime. Adv. Civ. Eng. 2020, 2020, 9646205. [Google Scholar] [CrossRef]
  28. Guo, M.L.; Xiao, J.; Zzuo, S.H. Multifractal Analysis on Pore Structure of Cement-Based Materials Blended with Ground Limestone and Its Relationship with Permeability. J. Chin. Ceram. Soc. 2019, 47, 617–624. [Google Scholar]
  29. Zhang, B.Q.; Li, S.F. Determination of the surface fractal dimension for porous media by mercury porosimetry. Ind. Eng. Chem. Res. 1995, 34, 1383–1386. [Google Scholar] [CrossRef]
  30. Qing, L.; Qiu, Q.; Zheng, J.; Wang, J.; Zeng, Q. Fractal dimension of concrete incorporating silica fume and its correlations to pore structure, strength and permeability. Constr. Build. Mater. 2019, 228, 116986. [Google Scholar]
  31. Yang, Y.; Wang, B.; Yuan, Q.; Huang, D.; Peng, H. Characterization, factors, and fractal dimension of pore structure of fly ash-based geopolymers. J. Mater. Res. Technol. 2023, 26, 3395–3407. [Google Scholar] [CrossRef]
  32. Ministry of Water Resources of the People’s Republic of China. Geotechnical Test Code: SL237-1999 [S]; Water Resources and Hydropower Press: Beijing, China, 1999.
  33. Ministry of Housing and Urban-Rural Development of the People’s Republic of China. Standard for Geotechnical Testing Method: GB/T 50123-2019 [S]; China Planning Press: Beijing, China, 2019.
  34. Liu, M.D.; Indraratna, B.; Horpibulsuk, S.; Suebsuk, J. Variations in strength of lime-treated soft clays. Proc. Inst. Civ. Eng. Ground Improv. 2012, 165, 217–223. [Google Scholar] [CrossRef]
  35. Wang, Y.; Guo, P.; Li, X.; Lin, H.; Liu, Y.; Yuan, H. Behavior of Fiber-Reinforced and Lime-Stabilized Clayey Soil in Triaxial Tests. Appl. Sci. 2019, 9, 900. [Google Scholar] [CrossRef]
  36. Tang, B.; Cui, W.; Zhang, B.; Jiang, Z. The macroscopic mechanical characteristics and microscopic evolution mechanism of plastic concrete. Constr. Build. Mater. 2023, 391, 131898. [Google Scholar] [CrossRef]
  37. Evangelou, E.D.; Markou, I.N.; Verykaki, S.E.; Bantralexis, K.E. Mechanical Behavior of Fiber-Reinforced Soils under Undrained Triaxial Loading Conditions. Geotechnics 2023, 3, 874–893. [Google Scholar] [CrossRef]
  38. Pu, J.W.; Wu, X.Y.; Xu, Y.H. Failure criterion of steel fiber reinforced high performance concrete under triaxial compression. J. North China Univ. Water Resour. Electr. Power 2023, 44, 71–78. [Google Scholar]
  39. Zhao, C.F.; Yang, J.Z.; Zhang, C.G.; Li, Y.G. Investigation on applicability of common failure criteria considering intermediate principal stress. Chin. J. Rock Mech. Eng. 2011, 30, 327–334. [Google Scholar]
  40. Pomakhina, E.; Deneele, D.; Gaillot, A.C.; Paris, M.; Ouvrard, G. 29Si solid state NMR investigation of pozzolanic reaction occurring in lime-treated Ca-bentonite. Cem. Concr. Res. 2012, 42, 626–632. [Google Scholar] [CrossRef]
  41. Harzali, H.; Zawrah, M.F.; Aldarhami, S.; Tantawy, M.A. Tantawy, Influence of granite on physico-chemical properties of pozzolanic cement pastes prepared from volcanic ash and lime. Constr. Build. Mater. 2024, 438, 137113. [Google Scholar] [CrossRef]
  42. Al-Mukhtar, M.; Khattab, S.; Alcover, J.F. Microstructure and geotechnical properties of lime-treated expansive clayey soil. Eng. Geol. 2012, 139, 17–27. [Google Scholar] [CrossRef]
  43. Ba, H.; Li, J.; Ni, W.; Li, Y.; Ju, Y.; Zhao, B.; Wen, G.; Hitch, M. Effect of calcium to silicon ratio on the microstructure of hydrated calcium silicate gels prepared under medium alkalinity. Constr. Build. Mater. 2023, 379, 131240. [Google Scholar] [CrossRef]
  44. Moro, F.; Böhni, H. Ink-Bottle Effect in Mercury Intrusion Porosimetry of Cement-Based Materials. J. Colloid Interface Sci. 2002, 246, 135–149. [Google Scholar] [CrossRef]
  45. Zou, G.; She, J.; Peng, S.; Yin, Q.; Liu, H.; Che, Y. Two-dimensional SEM image-based analysis of coal porosity and its pore structure. Int. J. Coal Sci. Technol. 2020, 7, 350–361. [Google Scholar] [CrossRef]
  46. Gao, Y.; Jing, H.W.; Yu, Z.X. Experimental study on the mechanical properties of crushed stone cemented by graphene oxide and cement-based composite grouting materials. Chin. J. Rock Mech. Eng. 2022, 41, 1898–1909. [Google Scholar]
  47. Han, X.; Wang, B.; Feng, J. Relationship between fractal feature and compressive strength of concrete based on MIP. Constr. Build. Mater. 2022, 322, 126504. [Google Scholar] [CrossRef]
  48. Sun, H.; Mašín, D.; Najser, J.; Vilém Neděla Navrátilová, E. Fractal characteristics of pore structure of compacted bentonite studied by ESEM and MIP methods. Acta Geotech. 2019, 15, 1655–1671. [Google Scholar] [CrossRef]
  49. Zhang, Y.; Zhong, X.; Lin, J.; Zhao, D.; Jiang, F.; Wang, M.K.; Ge, H.; Huang, Y. Effects of fractal dimension and water content on the shear strength of red soil in the hilly granitic region of southern China. Geomorphology 2020, 351, 106956. [Google Scholar] [CrossRef]
  50. Abdi, M.R.; Ghalandarzadeh, A.; Chafi, L.S. An investigation into the effects of lime on compressive and shear strength characteristics of fiber-reinforced clays. J. Rock Mech. Geotech. Eng. 2021, 13, 885–898. [Google Scholar] [CrossRef]
Figure 1. Particle size distribution curve.
Figure 1. Particle size distribution curve.
Fractalfract 09 00064 g001
Figure 2. Test sample preparation process.
Figure 2. Test sample preparation process.
Fractalfract 09 00064 g002
Figure 3. The relationships among lime content, confining pressure, and stress–strain curve.
Figure 3. The relationships among lime content, confining pressure, and stress–strain curve.
Fractalfract 09 00064 g003
Figure 4. The shear strength parameters of improved sandy soil for different lime contents.
Figure 4. The shear strength parameters of improved sandy soil for different lime contents.
Fractalfract 09 00064 g004
Figure 5. Triaxial compression failure mode of lime-treated sandy soil under confining pressure of 150 kPa.
Figure 5. Triaxial compression failure mode of lime-treated sandy soil under confining pressure of 150 kPa.
Fractalfract 09 00064 g005
Figure 6. Fitting curves of failure criteria for different lime contents.
Figure 6. Fitting curves of failure criteria for different lime contents.
Fractalfract 09 00064 g006
Figure 7. Microscopic reaction mechanisms of lime-treated sandy soil.
Figure 7. Microscopic reaction mechanisms of lime-treated sandy soil.
Fractalfract 09 00064 g007
Figure 8. SEM images for different lime contents.
Figure 8. SEM images for different lime contents.
Fractalfract 09 00064 g008
Figure 9. EDS images for different lime contents.
Figure 9. EDS images for different lime contents.
Fractalfract 09 00064 g009
Figure 10. Pressure-mercury intrusion cumulative volume relationship curves for different lime contents.
Figure 10. Pressure-mercury intrusion cumulative volume relationship curves for different lime contents.
Fractalfract 09 00064 g010
Figure 11. Pore-size distribution density curves for different lime contents.
Figure 11. Pore-size distribution density curves for different lime contents.
Fractalfract 09 00064 g011
Figure 12. Box-counting method operation process. (a) SEM raw grayscale image. (b) Binary conversion. (c) Box grid division. (d) Data fitting.
Figure 12. Box-counting method operation process. (a) SEM raw grayscale image. (b) Binary conversion. (c) Box grid division. (d) Data fitting.
Fractalfract 09 00064 g012
Figure 13. Box fractal dimension based on SEM images at 5000× magnification.
Figure 13. Box fractal dimension based on SEM images at 5000× magnification.
Fractalfract 09 00064 g013
Figure 14. Thermodynamic model and Menger fractal dimension for different lime contents.
Figure 14. Thermodynamic model and Menger fractal dimension for different lime contents.
Fractalfract 09 00064 g014
Figure 15. Fitting curve of box-counting fractal dimension and pore characteristic parameters.
Figure 15. Fitting curve of box-counting fractal dimension and pore characteristic parameters.
Fractalfract 09 00064 g015
Figure 16. MIP experiment fractal dimension and pore characteristic parameter fitting curve.
Figure 16. MIP experiment fractal dimension and pore characteristic parameter fitting curve.
Fractalfract 09 00064 g016
Figure 17. Relationship among fractal dimension, cohesion, and internal friction angle.
Figure 17. Relationship among fractal dimension, cohesion, and internal friction angle.
Fractalfract 09 00064 g017
Table 1. The main chemical composition of sandy soil and lime.
Table 1. The main chemical composition of sandy soil and lime.
Sandy soilChemical compositionNa2OMgOAl2O3SiO2K2OCaOFe2O3
Content (%)0.626.3113.4243.472.9226.25.68
LimeChemical compositionNa2OMgOAl2O3SiO2SO3CaOK20
Content (%)1.0117.322.744.429.5359.841.38
Table 2. Physical parameters and stress states of specimens.
Table 2. Physical parameters and stress states of specimens.
Specimen NumbersLime Content (%)Maximum Dry Density (g/cm3)Optimal Moisture Content (%)Confining Pressure (kPa)
L0C15002.1339.32150
L0C300300
L0C450450
L5C15052.01010.40150
L5C300300
L5C450450
L8C15081.99611.10150
L8C300300
L8C450450
L12C150121.95312.45150
L12C300300
L12C450450
Table 3. Percentage of different element contents.
Table 3. Percentage of different element contents.
Lime Content (Wt%)COMgAlSiCaCa/Si
0%22.4154.951.545.868.314.980.599278
5%16.4951.888.414.628.336.590.791116
8%20.9753.243.624.329.636.130.636552
12%10.1942.5212.844.1711.3614.31.258803
Table 4. Box fractal dimension based on SEM images at different magnifications.
Table 4. Box fractal dimension based on SEM images at different magnifications.
Lime Content (%)Magnification TimesFractal DimensionFitting EquationR2
05001.8669y = −1.8669x + 10.53290.9988
10001.8468y = −1.8468x + 10.45070.9984
50001.8006y = −1.8006x + 10.22230.9986
55001.8737y = −1.8737x + 10.58930.9982
10001.9002y = −1.9002x + 10.66610.9995
50001.8751y = −1.8751x + 10.59760.9991
85001.9373y = −1.9373x + 10.80630.9992
10001.9213y = −1.9213x + 10.76500.9995
50001.9156y = −1.9156x + 10.74520.9993
125001.9258y = −1.9258x + 10.78460.9995
10001.9116y = −1.9116x + 10.72430.9994
50001.9106y = −1.9106x + 10.70460.9992
Disclaimer/Publisher’s Note: The statements, opinions and data contained in all publications are solely those of the individual author(s) and contributor(s) and not of MDPI and/or the editor(s). MDPI and/or the editor(s) disclaim responsibility for any injury to people or property resulting from any ideas, methods, instructions or products referred to in the content.

Share and Cite

MDPI and ACS Style

Huang, H.; Li, R.; Chen, F.; Cao, K.; Guo, L.; Qiu, Q. Mechanical Properties and Microscopic Fractal Characteristics of Lime-Treated Sandy Soil. Fractal Fract. 2025, 9, 64. https://doi.org/10.3390/fractalfract9020064

AMA Style

Huang H, Li R, Chen F, Cao K, Guo L, Qiu Q. Mechanical Properties and Microscopic Fractal Characteristics of Lime-Treated Sandy Soil. Fractal and Fractional. 2025; 9(2):64. https://doi.org/10.3390/fractalfract9020064

Chicago/Turabian Style

Huang, Hu, Ruihang Li, Feihao Chen, Kelei Cao, Lixia Guo, and Qingming Qiu. 2025. "Mechanical Properties and Microscopic Fractal Characteristics of Lime-Treated Sandy Soil" Fractal and Fractional 9, no. 2: 64. https://doi.org/10.3390/fractalfract9020064

APA Style

Huang, H., Li, R., Chen, F., Cao, K., Guo, L., & Qiu, Q. (2025). Mechanical Properties and Microscopic Fractal Characteristics of Lime-Treated Sandy Soil. Fractal and Fractional, 9(2), 64. https://doi.org/10.3390/fractalfract9020064

Article Metrics

Back to TopTop