Next Article in Journal
Fractional Mathematical Modelling: Theory, Methods and Applications
Previous Article in Journal
Iterated Relation Systems on Riemannian Manifolds
Previous Article in Special Issue
Remarks on the Relationship Between Fractal Dimensions and Convergence Speed
 
 
Font Type:
Arial Georgia Verdana
Font Size:
Aa Aa Aa
Line Spacing:
Column Width:
Background:
Article

Exploring the Dynamic Interplay: Carbon Credit Markets and Asymmetric Multifractal Cross-Correlations with Financial Assets

by
Werner Kristjanpoller
1,* and
Marcel C. Minutolo
2
1
Departamento de Industrias, Universidad Técnica Federico Santa María, Valparaíso 2390123, Chile
2
Rockwell School of Business, Robert Morris University, Moon Township, PA 15108, USA
*
Author to whom correspondence should be addressed.
Fractal Fract. 2025, 9(10), 638; https://doi.org/10.3390/fractalfract9100638
Submission received: 14 July 2025 / Revised: 25 September 2025 / Accepted: 27 September 2025 / Published: 30 September 2025
(This article belongs to the Special Issue Fractal Functions: Theoretical Research and Application Analysis)

Abstract

This study investigates the multifractal characteristics and nonlinear cross-correlations between two major carbon credit indices—S&P Global Carbon Index and EEX Global Carbon Index—and key global financial assets: the Euro/US Dollar exchange rate, Dow Jones Industrial Average, gold, Western Texas Intermediate, and Bitcoin. Using daily data from August 2020 to June 2025, we apply the Asymmetric Multifractal Detrended Cross-Correlation Analysis framework to examine the strength, asymmetry, and persistence of interdependencies across varying fluctuation magnitudes. Our findings reveal consistent multifractality in all asset pairs, with stronger multifractal spectra observed in those linked to Bitcoin and Western Texas Intermediate Crude Oil price. The analysis of generalized Hurst exponents indicates higher persistence for small fluctuations and antipersistent behavior for large fluctuations, particularly in pairs involving the S&P Global Carbon Index. We also detect significant asymmetry in the cross-correlations, especially under bearish trends in Bitcoin and Western Texas Intermediate. Surrogate data tests confirm that multifractality largely stems from fat-tailed distributions and temporal correlations, with genuine multifractality identified in the S&P Global Carbon Index–Dow Jones Industrial average pair. These results highlight the complex and nonlinear dynamics governing carbon markets, offering critical insights for investors, policymakers, and regulators navigating the intersection of environmental and financial systems.

1. Introduction

In an era defined by increasing environmental consciousness and economic interdependence, the intricate relationship between environmental markets, specifically carbon markets, and the broader financial landscape has emerged as a critical field of study. The pressing need to address climate change has elevated the importance of carbon markets as policy instruments for reducing greenhouse gas emissions, while financial markets continue to serve as the lifeblood of the global economy. In this context, understanding the dynamics and asymmetries of cross-correlations between carbon markets and various financial instruments has never been more pertinent.
Carbon markets, epitomized by emissions trading systems and carbon offset mechanisms, have witnessed rapid expansion and evolution. They represent the front-lines of international efforts to mitigate climate change, as they offer economic incentives to reduce emissions and transition toward a sustainable future. Simultaneously, the financial landscape has grown increasingly complex, with a myriad of asset classes, trading strategies, and interconnected global markets. These markets are inherently sensitive to a multitude of economic, political, and environmental factors, making them both fascinating and challenging subjects of study.
Recent studies highlight the rapid evolution of carbon credit markets, emphasizing governance, financial risks, market design, and cross-asset linkages. In China, risks in carbon credit financing are assessed through the Fuzzy Analytic Hierarchy Process (FAHP) and Fuzzy Viekriterijumsko Kompromisno Rangiranj (FVIKOR), identifying regulatory, financial, and operational risks as dominant, with strategies such as stakeholder engagement, financial stability, and transparency being key for sustainability [1]. In India, carbon trading potential is analyzed in relation to crop residue burning, linking agricultural emissions to global markets and financial variables [2].
At the corporate level, a review of climate claims shows that voluntary carbon credits are often used in ways that risk greenwashing, and thus proposes a taxonomy to distinguish offsetting vs. non-offsetting claims, “net-zero” vs. “carbon neutral,” and aspirational vs. realized commitments [3]. Cross-asset spillovers are also evident: Bitcoin significantly influences carbon markets in downside risk quantiles, highlighting the vulnerability of carbon allowances to crypto shocks [4].
Comparisons of China’s carbon and energy markets show relatively high liquidity in carbon markets, low volatility due to institutional designs, and heterogeneous spillovers across regions depending on energy structures and policies [5]. In Europe, structural breaks in European Union Allowance (EUA) prices during COVID-19 confirm the stabilizing role of the €750 billion green recovery plan, while oil prices and interest rates emerge as key drivers [6]. Financial channels are also relevant: evidence from the Eurozone indicates that banks with higher exposure to carbon-neutral lending face lower credit risk, showing how sustainable business models reduce volatility and loan loss provisions, creating incentives for green intermediation [7].
At the international level, the modeling of a multinational carbon credit market shows that countries could coordinate emissions reductions while retaining regulatory autonomy, as illustrated by a US–Canada case study [8]. In agriculture, a review focused on Alberta stresses both mitigation potential—through fertilizer management, cattle efficiency, and regenerative practices—and the reluctance of farmers to participate without stronger incentives and price stability. The future growth of agricultural carbon credit systems will depend on credible protocols and reduced transaction costs [9].
The EU Emissions Trading System (EU ETS) and the UK Emissions Trading Scheme (UK ETS) are cap-and-trade systems designed to reduce greenhouse gas emissions through market-based mechanisms issuing allowances that can be bought and sold. Core design features include a declining emissions cap, allowance allocation methods, sectoral coverage, and market stability tools. Both systems set an absolute cap on total emissions, which declines annually to ensure progressive reductions [10]. Allowances are distributed via a mix of auctioning and free allocation. Auctioning is the default for the power sector, while energy-intensive industries receive a portion for free to prevent carbon leakage [11]. The EU ETS includes a Market Stability Reserve (MSR) to address surplus allowances and stabilize prices [12,13]. Additionally, price floors and cancellation mechanisms are in place to further enhance price stability and market predictability [12,13].
Fractal and multifractal methodologies have become essential tools for uncovering the complex dynamics inherent in financial time series. The seminal works by Peng et al. [14,15] and Kantelhardt et al. [16] laid the groundwork for Detrended Fluctuation Analysis (DFA) and its Multifractal extension (MF-DFA), which allow for the detection of long-range correlations and scale-invariant properties in nonstationary data. Subsequent refinements by Hu et al. [17] improved the robustness of these techniques in the presence of trends, enhancing their applicability to economic and financial contexts. These methods have revealed that asset prices, trading volumes, and volatilities often exhibit multifractal characteristics, suggesting a heterogeneous market structure and the presence of multiple interacting mechanisms across time scales.
Gao et al. [18] developed the Multifractal Asymmetric Detrended Cross-Correlation Analysis (MF-ADCCA) to investigate asymmetric cross-correlations in nonstationary time series. This method combines Multifractal Detrended Cross-Correlation Analysis (MF-DCCA) with Asymmetric Detrended Fluctuation Analysis (A-DFA), allowing for the detection of differences in multifractal behavior under distinct market conditions. Specifically, the asymmetric framework makes it possible to distinguish whether the scaling dynamics of the series vary when the reference asset is in an upward trend versus when it is in a downward trend.
Multifractality in a financial time series refers to the property that fluctuations in prices or returns exhibit multiple scaling behaviors across different time horizons rather than following a single uniform pattern. In practical terms, this implies that short-term and long-term variations in carbon credit prices are governed by different statistical rules, leading to clusters of volatility, asymmetric responses to shocks, and persistence that cannot be captured by simple models. For investors, multifractality signals that risk and return dynamics are heterogeneous and time-dependent, requiring strategies that account for changing regimes, scaling effects, and nonlinear dependencies when assessing market efficiency or portfolio exposure.
Multifractal analysis has been widely applied to assess market efficiency and characterize the degree of nonlinear dependency across different financial instruments. For example, studies by Zunino et al. [19] and Cajueiro and Tabak [20,21,22] used MF-DFA to rank emerging markets by their relative efficiency and demonstrated that liberalization policies may alter multifractal properties. Similarly, researchers like Wang et al. [23,24] and Dutta [25] provided evidence of time-varying multifractal structures in Asian markets, especially during periods of financial turbulence. These findings support the view that multifractality serves as a useful proxy for quantifying market complexity, inefficiency, and systemic risk.
Building on the univariate framework, Multifractal Detrended Cross-Correlation Analysis (MF-DCCA) has been developed to investigate nonlinear dependencies between financial assets. Applications include exploring co-movements between oil and stock markets [26,27], cryptocurrencies and traditional assets [28,29,30], and international equity indices [31]. Studies have extended the methodology to capture asymmetric multifractal behavior, which accounts for distinct scaling properties under positive and negative fluctuations [32,33,34]. These advanced techniques offer a deeper understanding of market interdependencies, particularly in periods of heightened volatility or structural shifts, providing valuable insights for risk management and portfolio diversification strategies.
The multifractal behavior of financial assets, and particularly of innovative instruments such as carbon credit Exchange-Traded Funds (ETFs), offers several practical applications that enhance forecasting, portfolio management, risk mitigation, and asset pricing. A central implication of multifractality is its ability to capture the nonlinear dynamics, long-range dependence, and volatility clustering that characterize financial markets but are often overlooked by traditional models.
In forecasting, multifractal methods provide a significant advantage by incorporating the scaling properties and complex memory structures of time series. Hybrid models that integrate fractal interpolation with machine learning approaches, such as support vector machines, have demonstrated superior predictive accuracy in stock index forecasting compared to conventional models [35]. Similarly, approaches based on state transition models and scaling symmetries, such as the State Transition-Fitted Residual Scale Ratio (ST-FRSR), have been shown to reduce forecasting errors substantially, especially during extreme market fluctuations [36]. Other empirical applications highlight how the inclusion of multifractal parameters, such as local Hurst exponents, within advanced econometric frameworks like Vector Autoregressive Fractionally Integrated Moving Average (VARFIMA) or within deep learning architectures, improves the forecasting of metals, exchange rates, and stock indices, particularly during periods of volatility clustering such as the COVID-19 crisis [37,38,39,40].
For portfolio optimization and diversification, the fractal market hypothesis (FMH) provides a theoretical foundation that emphasizes the coexistence of multiple investment horizons, explaining persistence and antipersistence in asset returns [41,42]. This perspective allows for the construction of portfolios that exploit multifractal structures across different time scales. Multifractal cross-correlation analyses further demonstrate that emerging market equities exhibit strong and persistent nonlinear interdependencies with developed market equities, commodities, and energy assets, insights that are highly valuable for enhancing diversification strategies and reducing systemic risk [43]. Additionally, the detection of upward and downward multifractality reveals that asymmetries in market dynamics can be incorporated into dynamic allocation strategies, adapting investment decisions to changing regimes [44].
The applications of multifractal methods are also evident in hedging and safe-haven strategies. The multifractal dependence structure between both gold and oil currency markets shows that gold can serve as an effective hedge and a strong safe haven under extreme currency movements, offering scale-dependent insights into risk reduction across different time horizons [45]. Similar evidence for emerging markets suggests that persistent multifractal correlations with global assets can inform hedging strategies and anticipate contagion risks, thereby enhancing financial resilience [43].
From the perspective of asset pricing, the Multifractal Model of Asset Returns (MMAR) represents a important extension to classical models [46]. By incorporating heterogeneous investment horizons and capturing fat-tailed distributions and volatility clustering, the MMAR provides a more realistic representation of asset returns than models based on Gaussian assumptions. Empirical results indicate that multifractal volatility models outperform Generalized Autoregressive Conditional Heteroskedasticity (GARCH) and stochastic volatility frameworks in forecasting accuracy, especially in the context of high-frequency data [39]. This improved modeling of return distributions has direct implications for risk measurement and the estimation of risk premia, contributing to the development of more robust asset pricing models. Beyond direct applications to forecasting and risk management, multifractal analysis also contributes to financial stability monitoring. Changes in the width of the multifractal spectrum have proven effective in identifying systemic stress periods, such as the crises of 2011 and 2015 and the COVID-19 shock, underscoring its value for macro-prudential oversight [40,47]. Additionally, applications to cryptocurrencies reveal persistent multifractal cross-correlations in trading activity and volumes, highlighting the relevance of multifractality for understanding the dynamics of new digital asset classes and their regulatory implications [48]. Taken together, the evidence suggests that multifractal analysis is not merely a statistical curiosity but a powerful framework with wide-ranging applications in forecasting, portfolio construction, hedging, and asset pricing. Its use in the context of carbon credit ETFs is particularly promising, given that these instruments are exposed to high volatility, strong dependence on regulatory changes, and evolving market structures, all of which align with the features that multifractal methods are uniquely positioned to capture.
The motivation for this study arises from several interrelated considerations that underscore the growing relevance of carbon markets within the financial system. First, the increasing prominence of climate-related risks has prompted investors and financial institutions to incorporate environmental factors into their risk assessment frameworks. In this context, the asymmetric cross-correlations between carbon credit markets and conventional financial assets may open new avenues for portfolio diversification and effective risk management. Second, gaining a clearer understanding of how carbon-related information and climate policy signals are absorbed by financial markets is essential for evaluating market efficiency. Identifying potential information asymmetries and their influence on asset prices can shed light on the mechanisms of information diffusion and market responsiveness.
In addition, this research carries important policy implications. Regulators, policymakers, and financial stakeholders must assess how climate policies affect financial stability, and vice versa. Empirical insights from this analysis can inform the design of environmental regulations and enhance the effectiveness of market oversight, thereby fostering sustainable economic development. Moreover, investor behavior is increasingly shaped by environmental concerns, not only due to regulatory developments but also as a reflection of shifting preferences toward sustainable and responsible investing. Understanding how market participants react to changes in carbon pricing and emissions regulation can provide a deeper perspective on evolving market dynamics. Finally, in a period characterized by heightened climate uncertainty and global economic fragility, examining the interactions between carbon markets and traditional financial instruments can offer valuable guidance for enhancing the resilience and sustainability of the global financial system.
This research contributes to the existing body of knowledge by empirically examining cross-correlations, asymmetries, and the potential drivers behind these relationships. By providing a nuanced understanding of how carbon markets interact with financial assets, this study offers valuable insights for investors, policymakers, and researchers seeking to navigate the complex and interconnected landscape of environmental and financial markets. Ultimately, this exploration is not only academically enriching but also crucial to fostering a sustainable and resilient global economy in the face of climate change challenges.
The structure of the paper is as follows. Section 2 details the materials and methods, including the theoretical underpinnings of the MF-ADCCA approach. Section 3 introduces the data selection and description, highlighting the carbon credit indices and key financial assets under study, along with their principal statistical characteristics. Section 4 presents an in-depth examination of the multifractal cross-correlations among the selected assets and discusses the main empirical results. Lastly, Section 6 concludes the paper by summarizing the key findings and reflecting on their broader implications.

2. Materials and Methods

The Multifractal Asymmetric Detrended Cross-Correlation Analysis (MF-ADCCA) method enables the examination of asymmetric multifractal characteristics in two cross-correlated time series [18]. This method performs well even with highly non-stationary series, sharing similar steps with the Multifractal Detrended Cross-Correlation Analysis (MF-DCCA) [18,33].
First, to evaluate the presence of nonlinear dependence between the time series, we apply the cross-correlation statistic [49]. Given two time series x t and y t , each of length N, the test statistic is defined as
Q c c ( m ) = N 2 i = 1 m X i 2 N i ,
where
X i = k = i + 1 N x k y k i k = 1 N x k 2 k = 1 N y k 2 .
Under the null hypothesis of no cross-correlations, the Q c c ( m ) statistic asymptotically follows a chi-squared distribution with m degrees of freedom. If the computed value of Q c c ( m ) exceeds the critical threshold at a given significance level α , the null is rejected in favor of the alternative hypothesis, indicating significant long-range cross-correlations.
After revising significant long-range cross-correlations, we apply the MF-ADCCA methodology with two time series, x i and y i , where i = 1 , , N [18]. The initial step involves constructing the profile by subtracting the average of each value, as illustrated in Equation (3).
X ( i ) = t = 1 i ( x t x ¯ ) , Y ( i ) = t = 1 i ( y t y ¯ ) , i = 1 , , N
where x ¯ and y ¯ represent the average of the series over the entire period.
The time series, X ( i ) and Y ( i ) , are partitioned into N s [ N / s ] non-overlapping windows, each of length s. If the total length of the series, N, is not an exact multiple of the time scale s, a residual portion of the profile might remain at the end. To account for this, the same partitioning procedure is repeated from the end of the series, resulting in a total of 2 N s segments.
For each of these 2 N s segments, the trends X v ( i ) and Y v ( i ) are calculated using a linear regression, defined as X v ( i ) = a X v + b X v · i and Y v ( i ) = a Y v + b Y v · i (Equations (4) and (5)). The detrending process is a crucial step before determining the detrended covariance. The detrended covariance is calculated according to Equations (4) and (5), following the approach of Oświęcimka et al. [50]. These equations allow us to quantify the joint fluctuations between two time series while removing local trends, providing a robust measure of cross-correlation at different time scales and for varying fluctuation magnitudes within the MF-DCCA framework.
F ( v , s ) = 1 s i = 1 s [ X [ ( v 1 ) s + i ] X v ( i ) ] · [ Y [ ( v 1 ) s + i ] Y v ( i ) ]
for each segment v, v = 1 , , N s and
F ( v , s ) = 1 s i = 1 s [ X [ N ( v N s ) s + i ] X v ( i ) ] · [ Y [ N ( v N s ) s + i ] Y v ( i ) ]
for each segment v, v = N s + 1 , , 2 N s .
Equations (6) and (7) present the standard formulation for computing the average fluctuation function within the MF-DCCA framework. Specifically, Equation (6) applies when q 0 , while Equation (7) provides the corresponding expression for the special case of q = 0 .
F q ( s ) = 1 2 N s v = 1 2 N s [ F ( v , s ) ] q / 2 1 / q
F q ( s ) = e x p 1 4 N s v = 1 2 N s l n [ F ( v , s ) ]
An asymmetry analysis is employed to examine whether the multifractal behavior of a financial asset differs under upward and downward price trends. Using Equations (8)–(11), we compute the q-th-order fluctuation function separately for upward and downward movements. This fluctuation function captures the diverse scaling behaviors present in the time series x t .
F q + ( s ) = 1 M + v = 1 2 N s s i g n ( b X v ) + 1 2 [ F ( v , s ) ] q / 2 1 / q
F q ( s ) = 1 M v = 1 2 N s [ s i g n ( b X v ) 1 ] 2 [ F ( v , s ) ] q / 2 1 / q
when q 0 , and
F 0 + ( s ) = e x p 1 2 M + v = 1 2 N s s i g n ( b X v ) + 1 2 [ F ( v , s ) ]
F 0 ( s ) = e x p 1 2 M v = 1 2 N s [ s i g n ( b X v ) 1 ] 2 [ F ( v , s ) ]
for q = 0 .
M + = v = 1 2 N s s i g n ( b X v ) + 1 2 and M = v = 1 2 N s [ s i g n ( b X v ) 1 ] 2 represent the number of sub-time series that have a positive or negative trend, respectively. We assume b X v 0 for all v = 1 , , 2 N s , such that M + + M = 2 N s .
Based on Equations (6)–(11), log–log plots of F q ( s ) versus s are used to assess the scaling behavior for each q. In line with Equations (12)–(14), F q ( s ) is expected to follow a power-law increase with larger values of s.
F q ( s ) s H x y ( q )
F q + ( s ) s H x y + ( q )
F q ( s ) s H x y ( q )
The generalized cross-correlation scaling exponent, H x y ( q ) , represents the power-law relationship between the two series. We use Ordinary Least Squares (OLS) to calculate the scaling exponent using the slope of the log–log plots of F q ( s ) versus s. Thompson and Wilson [51] provide a definition for determining the range of q in the practical application to financial time series. Specifically, the lower and upper bounds of the range are denoted as s m i n and s m a x , which are defined in Equation (15) and Equation (16), respectively.
s m i n = m a x [ 20 , N / 100 ]
s m a x = m i n [ 20 s m i n , N / 10 ]
The singularity exponent ( α ) is derived from Equation (17) in combination with the Legendre transformation (Equation (18)). This procedure is essential for describing the local scaling properties of the series, as it establishes the connection between the multifractal spectrum and the generalized Hurst exponent. Once α is obtained, the Rényi exponent and the multifractal spectrum are computed using Equation (19), providing a detailed representation of the complexity and heterogeneity embedded in the financial time series. Such information is particularly relevant for financial assets, where multifractal structures capture the coexistence of periods of calm and volatility, reflecting how markets respond to shocks and structural changes. Moreover, the multifractal spectrum can be reformulated in an equivalent expression, as shown in Equation (20), which facilitates a more intuitive interpretation of the results and enhances the practical applicability of the method in the context of financial market analysis.
τ ( q ) = q H x y ( q ) 1
α = d τ / d q
f ( α ) = q α τ ( q )
f ( α ) = q ( α H x y ( q ) ) + 1
The generalized cross-correlation exponent ( H x y ) characterizes the joint dynamics of two time series, capturing persistence (long-term memory) and antipersistence (mean-reversion). Values of H x y 0.5 indicate weak or short-range cross-correlations, while H x y > 0.5 signals cross-persistence (long memory or momentum behavior), meaning that a change in one series tends to be followed by a change in the same direction in the other series. Conversely, H x y < 0.5 reflects cross-antipersistence (mean reversal behavior), where changes in one series are likely followed by opposite changes in the other.
The parameter q allows the analysis of fluctuations of different magnitudes: negative q values emphasize small fluctuations, whereas positive q values highlight large fluctuations. For example, H x y ( q = 2 ) = 0.7 indicates strong persistence for small fluctuations, while H x y ( q = 2 ) = 0.4 reflects antipersistence for large fluctuations.
Asymmetric analysis further considers the trend direction—upward or downward—of one series. This approach reveals whether the multifractal behavior differs under rising or falling trends. A significant difference between H x y + ( q ) and H x y ( q ) indicates multifractal asymmetry, whereas similar values suggest symmetric behavior.
In multifractal analysis, identifying the sources of multifractality is essential for distinguishing whether the observed complexity arises from heavy-tailed return distributions, temporal correlations, or a combination of both [52,53,54]. To separate these effects, we apply two complementary procedures: random shuffling and the Iterated Amplitude Adjusted Fourier Transform (IAAFT). The IAAFT algorithm generates surrogate time series that preserve the amplitude distribution and power spectrum of the original data while randomizing phase information. By comparing the multifractal spectra of the original series with those of the IAAFT surrogates, it is possible to test whether multifractality is primarily driven by nonlinear correlations or by distributional properties.

3. Data Selection and Description

The analysis carried out is based on determining the multifractal behavior of two environmental indices: S&P Global Carbon Credit Index (GLCARB) and Global Carbon Index (EEX). The main financial assets are the Euro–US Dollar Exchange rate (EUR), Dow Jones Industrial (DJI), gold price (GOLD), Brent oil price (BRENT), and Bitcoin price (BTC). The period analyzed is 3 August 2020 to 9 June 2025: 1257 observations. The data was downloaded from the Bloomberg trading terminal (the tickers used in the analysis were GLCARB for the S&P Global Carbon Credit Index; ECGI for the EEX Global Carbon Index; EURUSD for the Euro–US Dollar exchange rate; XAU for gold; CO1 for Brent crude oil; and XBT for Bitcoin).
Figure 1 displays the daily prices of the GLCARB and EEX from August 2020 to June 2025. The index GLCARB exhibits strong upward movement until late 2021, reaching a peak above 750, followed by significant volatility and a prolonged phase of mean-reverting fluctuations.
The sharp rise in prices during 2021 likely reflects heightened climate policy commitments, increased demand for carbon allowances, and investor interest in environmental assets. However, the subsequent correction and the oscillatory behavior from 2022 onward indicate increased uncertainty, potential market saturation, and policy-driven price adjustments. Such complex dynamics—rapid growth, abrupt corrections, and persistent volatility—are indicative of multifractal behavior. These features often arise in financial markets characterized by heterogeneous agents, varying time horizons, and feedback effects. The observed regime shifts further motivate the application of MF-DFA to quantify the temporal scaling behavior and assess the degree of market efficiency in the carbon credit market.
The Global Carbon Index (EEX), which aggregates carbon credit prices from major global emissions trading markets, shows a highly dynamic evolution over the study period. Initially, the index exhibited strong upward movement, driven by tightening emission caps, growing participation in carbon markets, and heightened regulatory pressure in Europe and other regions. This bullish phase mirrors the broader global push toward decarbonization following the COVID-19 pandemic.
During 2021 and early 2022, the EEX index surged close to 100 points, reflecting increased demand for carbon allowances amid recovering economic activity and climate policy commitments made during COP26. However, from mid-2022 onward, the index experienced substantial price corrections and heightened volatility. These fluctuations may reflect geopolitical shocks (e.g., the energy crisis following the Russia–Ukraine conflict), changes in industrial output, and speculative trading behavior.
Compared to GLCARB, the EEX index demonstrates significantly higher volatility. Such erratic price behavior highlights the market’s sensitivity to external shocks and the relatively nascent and thinly traded nature of many carbon instruments.
The evolving pattern of explosive growth, abrupt corrections, and persistent turbulence suggests the presence of nonlinear dynamics and complex scaling behavior, thereby justifying the application of multifractal analysis to detect hidden temporal patterns and assess the degree of market efficiency.
In Figure 2, we present the daily closing prices for the main financial instruments used in this study. The Euro–USD exchange rate remained relatively stable with a slight decline around August 2022. While the DJI realized continued growth over the period under study, there does appear to be a lot of volatility. The market volatility is likely driven largely by post-COVID-19 inflation. Likewise, gold realized significant growth around the same time as the dip in DJI, which may indicate a movement toward hard assets due to inflationary activities.
After reaching a high in March 2022, Brent witnessed a significant decrease in price per barrel. Finally, Bitcoin witnessed significant gains in price per coin, reaching a high of just over $110,000 USD. However, cryptocurrency still exhibits a great deal of volatility.
For the multifractality analysis, we employ the series of log-returns ( r t ). Specifically, each price series ( P t ) of the two carbon credit indices (GLCARB and EEX) and the five benchmark financial assets (EUR, DJI, GOLD, BRENT, and BTC) is transformed according to Equation (21).
r t = l o g ( P t P t 1 )
Table 1 presents the descriptive statistics for the log-returns of the two carbon credit indices (GLCARB and EEX) and five benchmark financial assets (EUR, DJI, GOLD, BRENT, and BTC) over the period from 3 August 2020 to 9 June 2025.
The mean daily returns of all assets are positive except for the EUR/USD exchange rate, which exhibits a slightly negative average return (−0.0024%). Among all assets, Bitcoin (BTC) shows the highest average return (0.1799%), reflecting its strong upward bias during the sample period. In contrast, carbon credit indices (GLCARB and EEX) offer moderate but positive returns, with EEX (0.0783%) slightly outperforming GLCARB (0.0647%).
In terms of volatility, EEX and BTC exhibit the highest standard deviations (3.29% and 3.81%, respectively), indicating substantial price fluctuations. This level of volatility is expected for Bitcoin but highlights the emerging and speculative nature of carbon markets, especially the EEX index. On the other hand, EUR shows the lowest volatility (0.48%), consistent with the typically stable behavior of major exchange rates.
Skewness and kurtosis statistics indicate deviations from normality in most return series. Both carbon indices are negatively skewed, implying a tendency toward large negative returns. The EEX index displays extremely high kurtosis (11.84), suggesting the presence of fat tails and extreme events, whereas GLCARB, DJI, and BTC show leptokurtic behavior (kurtosis > 3). EUR and GOLD are closer to normality, with low kurtosis and mild skewness.
To test for stationarity, we applied the Augmented Dickey–Fuller (ADF) test. All return series strongly reject the null hypothesis of a unit root, confirming stationarity at the 1% level. This result justifies the use of these series in multifractal and other time-series analyses.

4. Analysis of Results

To conduct a thorough examination of the multifractal properties of carbon credit indices and major financial assets, we employ the Asymmetric Multifractal Cross-Correlation Fluctuation Analysis framework.

4.1. Cross-Correlation Test

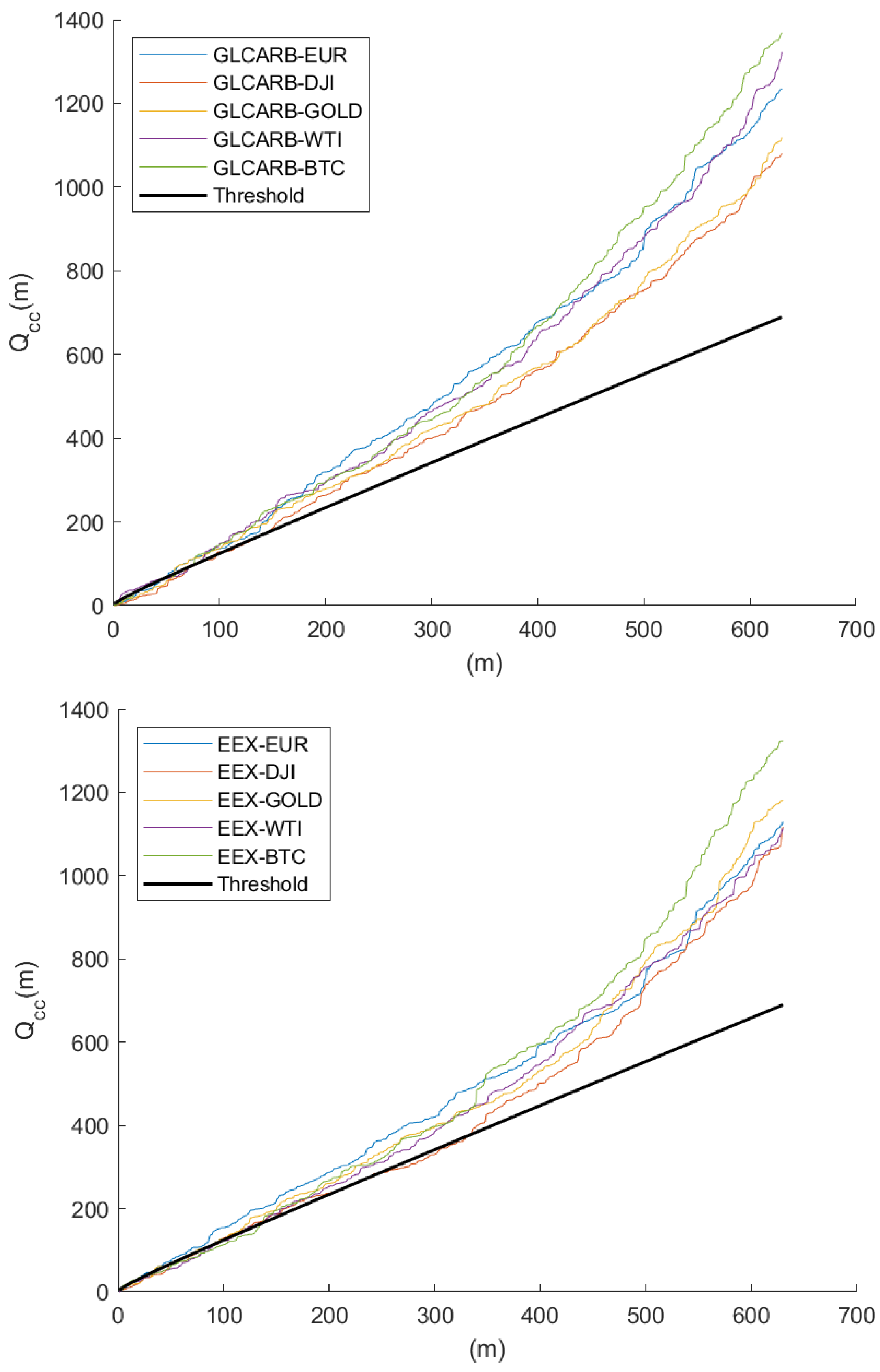
To evaluate the presence of nonlinear dependence between the time series, we apply the cross-correlation statistic proposed by [49] described in the methodology in Section 2. Following Acikgoz et al. [55], we selected an m range up to 630 (≈ N / 2 ), ensuring consistency with prior applications of the MF-DCCA method. This choice provides sufficient resolution to capture both short- and long-range dependencies, while maintaining comparability with previous studies in financial and commodity markets.
Our empirical results show that all examined pairs of carbon credit indices and key financial assets exhibit significant cross-correlation across almost the entire analyzed range. This provides further evidence of multifractal structures and interconnected dynamics among these markets. The corresponding test statistics are illustrated in Figure 3. The only exceptions occur for values of m below 70 in the pairs GLCARB–GOLD and EEX–GOLD, and in the m range of 270–320 for the EEX–DJI pair. In Table A3, we report the cross-correlation statistic ( Q c c ) and the corresponding p-values for all examined pairs, across different degrees of freedom (m).

4.2. Multifractal Behavior of Carbon Credit Indices and Financial Assets

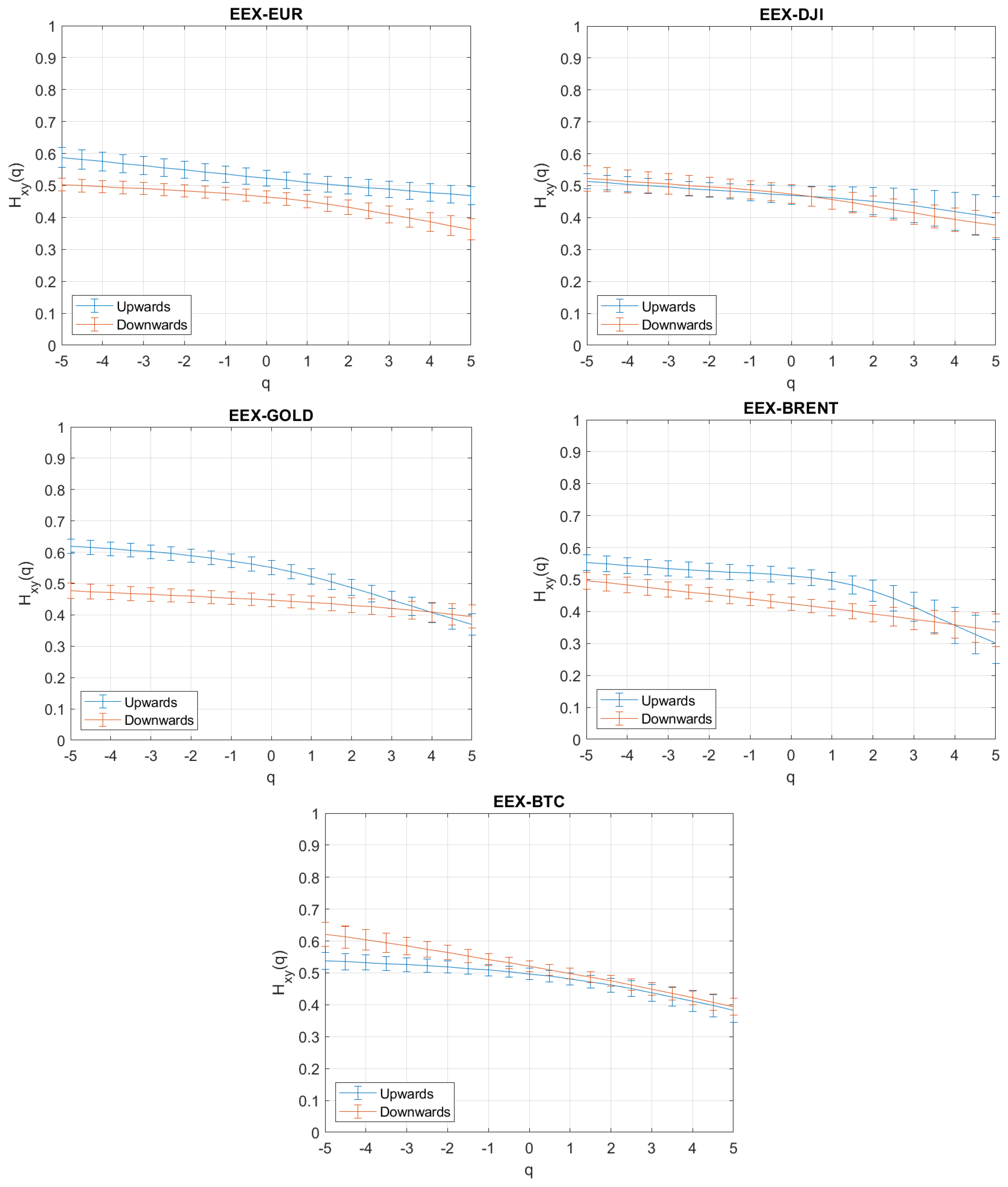
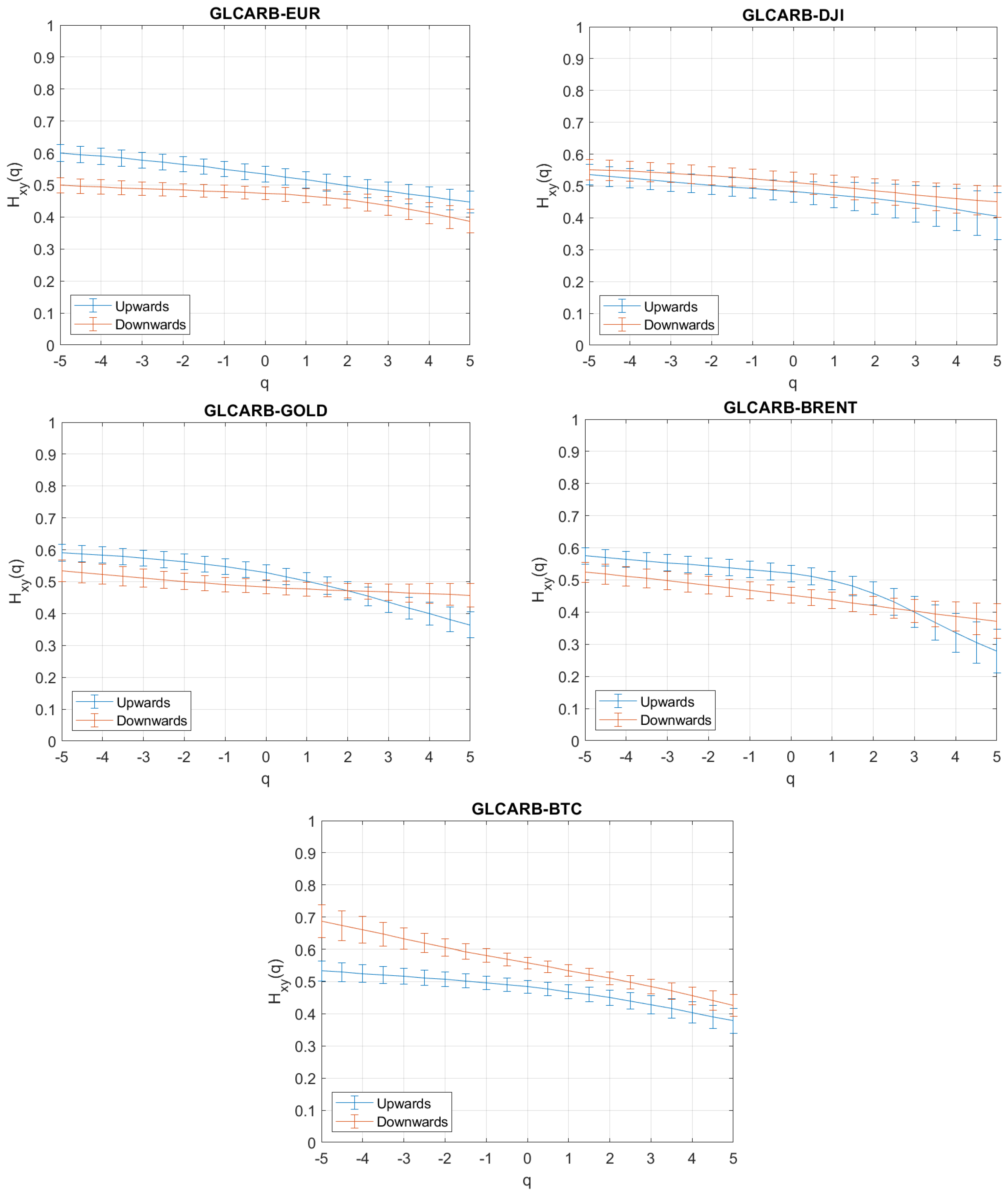
As described in the Materials and Methods, Section 2, the generalized cross-correlation exponent ( H x y ) characterizes random walk behavior ( H x y 0.5 ), persistence or long-term memory ( H x y > 0.5 ), and antipersistence or mean-reverting behavior ( H x y < 0.5 ). In this study, we examine the pairs formed between the carbon indices—the S&P Global Carbon Credit Index (GLCARB) and the Global Carbon Index (EEX)—and key financial assets, including EUR/USD, Dow Jones Industrial Average (DJI), gold (GOLD), Brent oil (BRENT), and Bitcoin (BTC). H x y was computed over the fluctuation range q [ 5 , 5 ] , following the approaches of Jiang et al. [56] and Gao et al. [53]. Considering the sample size, we set s min = 20 and s max = 125 with 50 iterations within the s range, as recommended by Thompson et al. [51].
All analyzed pairs, both those related to GLCARB and EEX (Figure 4), exhibit a monotonically decreasing behavior, indicating the presence of multifractality across the range of analyzed fluctuations. In all cases, the pairs show stronger persistence for small fluctuations and lower persistence—or even antipersistence—for larger ones.
For pairs associated with GLCARB, the GLCARB–BTC pair exhibits the highest persistence under small fluctuations. The remaining pairs behave similarly, showing persistence for negative values of q (with the exception of GLCARB–BRENT, which is antipersistent for q > 2 ). Under large fluctuations, GLCARB–DJI shows the lowest decline in persistence, whereas GLCARB–BRENT drops to generalized Hurst exponent values below 0.3.
Regarding the EEX-related pairs, the overall behavior closely resembles that of the GLCARB group. The EEX–BTC pair demonstrates the strongest persistence for small fluctuations, while, under large fluctuations, EEX–BRENT exhibits a sharp decline in persistence, with generalized Hurst exponent values falling below 0.3.
The analysis of the multifractal spectra, illustrated in Figure 5, displays a consistent inverse parabolic shape across all examined pairs of carbon credit indices and financial assets, confirming the existence of multifractality. These results are consistent with the generalized Hurst exponent findings, highlighting that the pairs involving BRENT and BTC exhibit the widest spectral widths, indicating a higher degree of multifractality. In contrast, the pairs associated with EUR and DJI show narrower spectra, suggesting a lower level of multifractality.
To conduct a more in-depth analysis, we examined the Hurst exponent along with its confidence intervals. Specifically, we focused on the generalized Hurst exponent at q = 2, which corresponds to the standard Hurst index. As shown in Figure 6, for the GLCARB index, the pair involving BTC does not allow us to reject the hypothesis of Brownian motion, as its Hurst exponent is close to 0.5. In contrast, all other GLCARB pairs exhibit antipersistent behavior, indicating a tendency toward mean reversion. Regarding the EEX index, all examined pairs show clear antipersistent behavior as well.
The confidence intervals of H x y across the full q range indicate that dispersion is lowest for q between −2 and 2 and increases toward the extremes (See Figure A1 and Figure A2). For EUR and BRENT pairs, larger fluctuations show higher dispersion, suggesting more variability in persistence during extreme market movements. GOLD and DJI pairs exhibit similar dispersion at both extremes, indicating balanced multifractal behavior, while BTC pairs display slightly greater dispersion for smaller fluctuations, reflecting more heterogeneous dynamics in low-volatility periods. These patterns imply that risk management and portfolio strategies should account for the varying stability of cross-correlations across different fluctuation magnitudes, particularly during extreme market conditions. For deeper insights, Table A1 reports the expected values of H x y together with their 95% confidence intervals for the main q values.
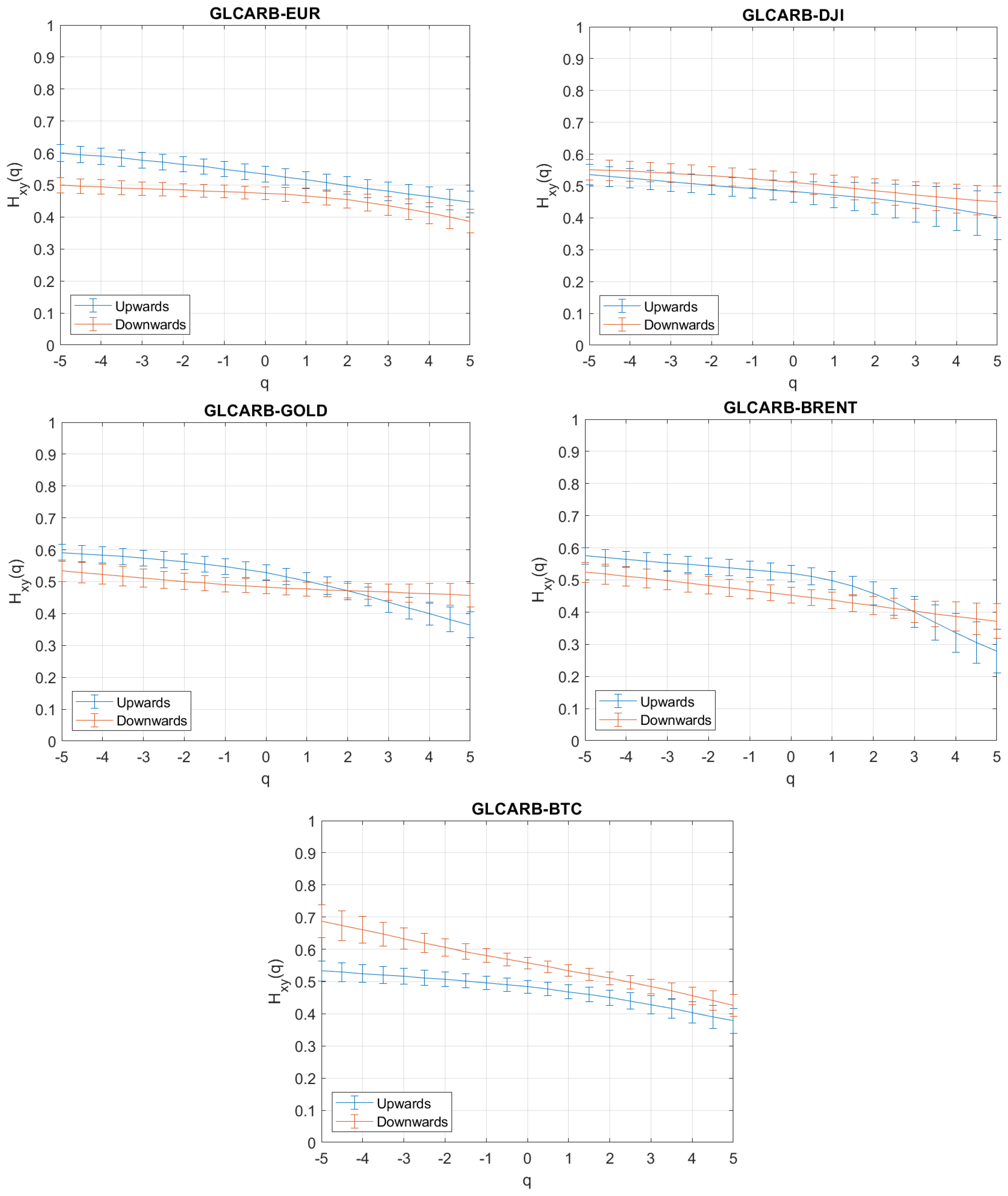
To better understand the multifractal behavior of the carbon credit indices, we analyzed H x y in relation to the trend of the main financial asset in each pair. Specifically, we evaluated H x y under upward and downward trends of the financial asset, with differences in cross-correlation behavior indicating the presence of asymmetry. The resulting asymmetric cross-correlation patterns for the analyzed pairs are shown in Figure 7 and Figure 8. For the GLCARB index, the GLCARB–DJI pair exhibits virtually no asymmetry, while GLCARB–EUR shows almost no asymmetry for positive q values. For small fluctuations, the pairs involving EUR, GOLD, and BRENT display asymmetry, with higher persistence under upward trends in the corresponding financial assets. However, for q > 3 , the asymmetry reverses in the GOLD and BRENT pairs, showing greater persistence under downward trends.
The behavior of the GLCARB–BTC pair differs notably. It displays clear asymmetry across the entire q-range, with stronger persistence under bearish trends in BTC. This asymmetry gradually decreases as q increases.
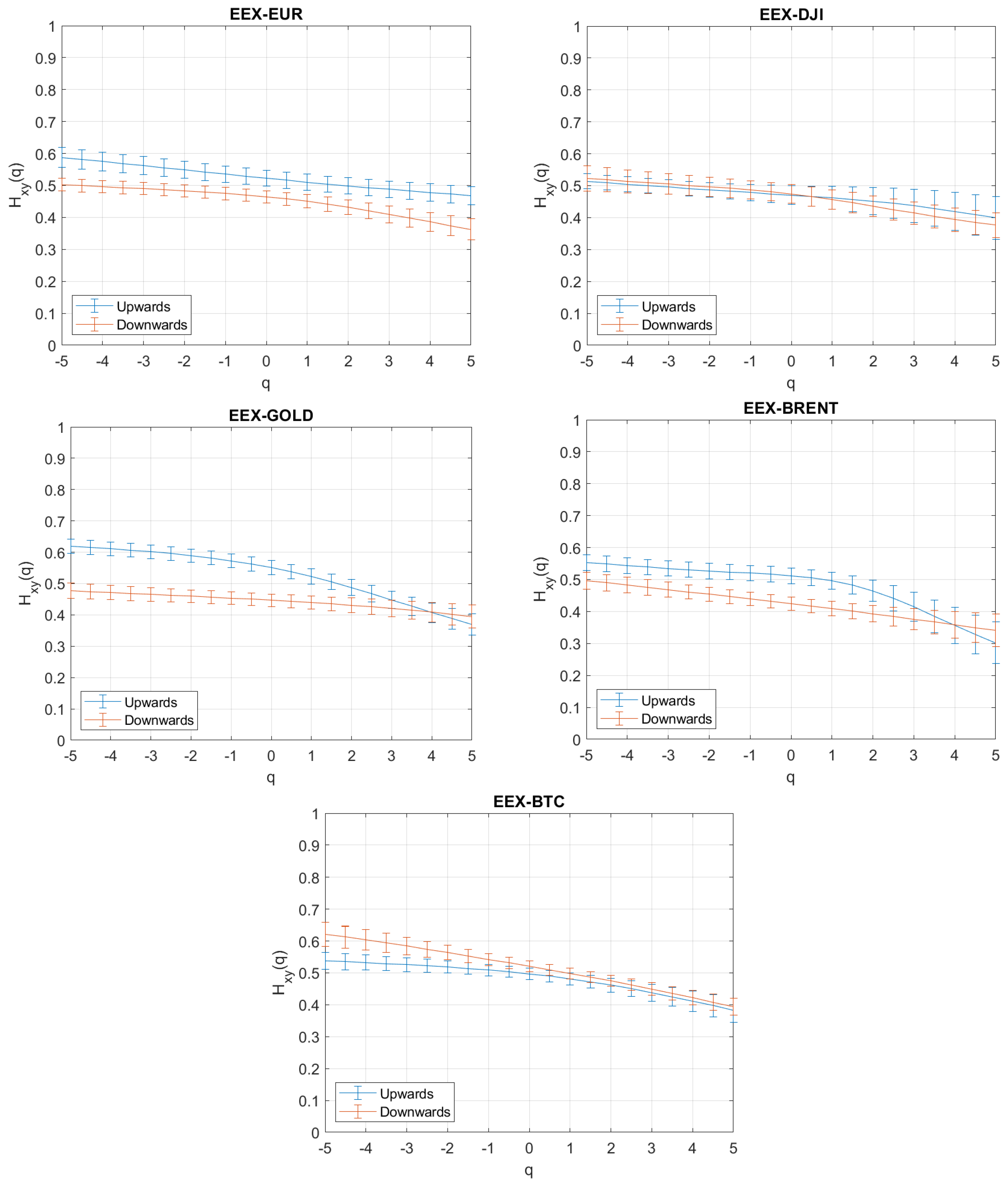
Regarding the EEX index, the EEX–DJI pair shows no significant asymmetry. The EEX–EUR pair presents mild asymmetry, with higher persistence during bullish trends in EUR, particularly at the extremes of the q-spectrum. For the GOLD and BRENT pairs, small fluctuations show higher persistence during rising trends, but the asymmetry reverses for larger fluctuations—specifically beyond q = 4 for GOLD and q = 3.5 for BRENT. The EEX–BTC pair exhibits less asymmetry than its GLCARB counterpart, showing greater persistence under bearish BTC trends, but this asymmetry fades for positive q values.
Figure 9 summarizes the asymmetric behavior of each pair across the entire range of q values. The results reveal that asymmetry is more pronounced at negative q values, which correspond to small fluctuations, suggesting that short-term market dynamics play a key role in shaping the cross-correlations. Overall, across all pairs and q values analyzed, asymmetric behavior (red) was present in 51.8% of the cases, while symmetry (green) was observed in 48.2%. This indicates that although symmetry and asymmetry are almost balanced, subtle nonlinear mechanisms underlying small fluctuations tend to drive asymmetric responses in carbon credit markets relative to major financial assets. From a practical perspective, this highlights that short-term fluctuations can introduce asymmetric risks, which investors and policymakers should consider when evaluating market stability and portfolio diversification strategies. For deeper insights, Table A2 reports the expected values of H x y together with their 95% confidence intervals for the main q values, distinguishing between upward and downward trends.
This detailed asymmetric analysis not only clarifies how multifractal behavior varies across different fluctuation scales but also highlights the asymmetric dynamics that emerge under contrasting market conditions (trends of the main financial assets). This differentiation is particularly relevant for carbon credit markets as it underscores how their interactions with traditional assets can change depending on market direction and volatility.
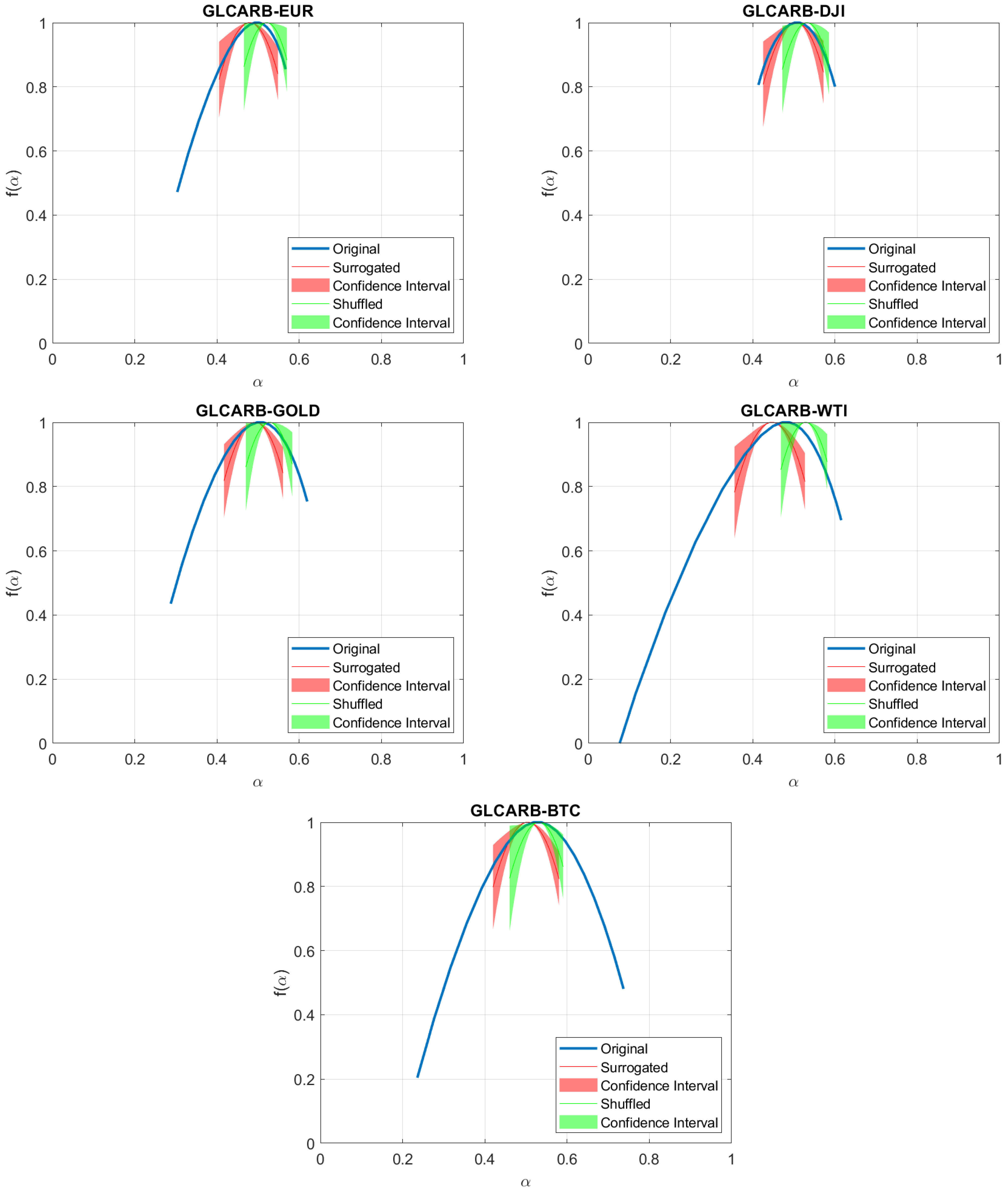
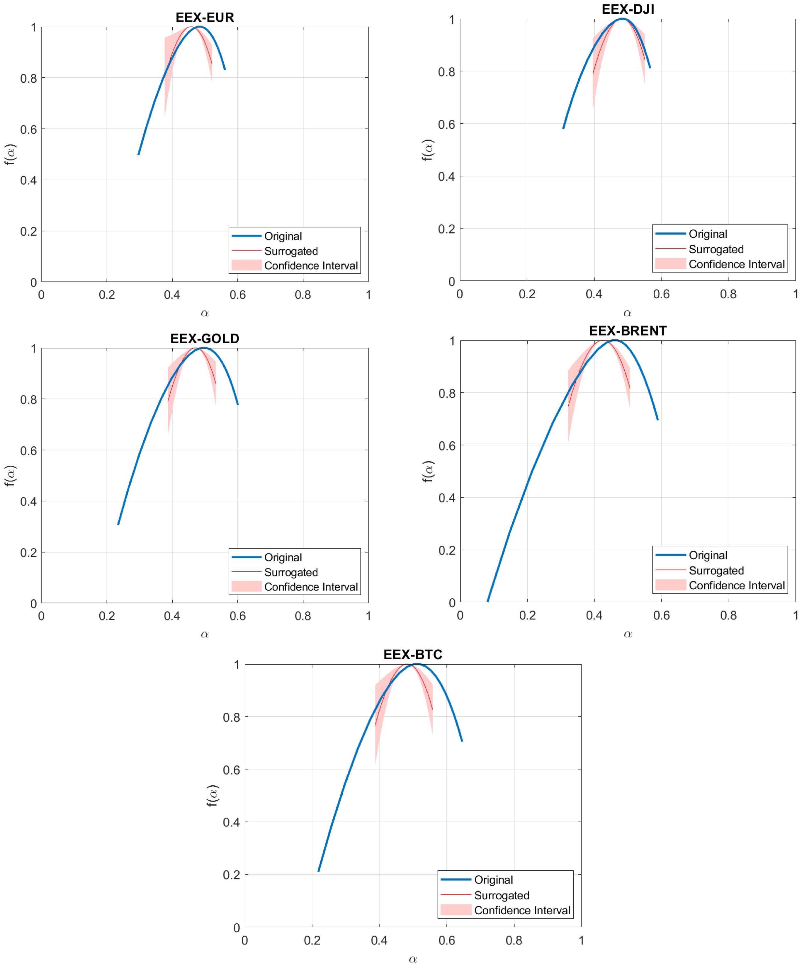
To complete the multifractal analysis, we examined the potential sources of multifractality. For this purpose, 200 surrogate time series were generated using the Iterative Amplitude Adjusted Fourier Transform (IAAFT) method. As shown in Figure 10, for all pairs associated with the GLCARB index, the multifractal spectra of the surrogate series lie substantially below those of the original data. This indicates the presence of fat-tailed distributions and long-range linear correlations in the original time series. These characteristics suggest a higher degree of complexity, with extreme events occurring more frequently than would be expected under a Gaussian framework. The only exception is the GLCARB-DJI pair, for which the surrogate and original spectra are nearly indistinguishable. This result implies the absence of fat-tailed and linear correlation effects, indicating that the multifractality in this pair is primarily of a genuine nature.
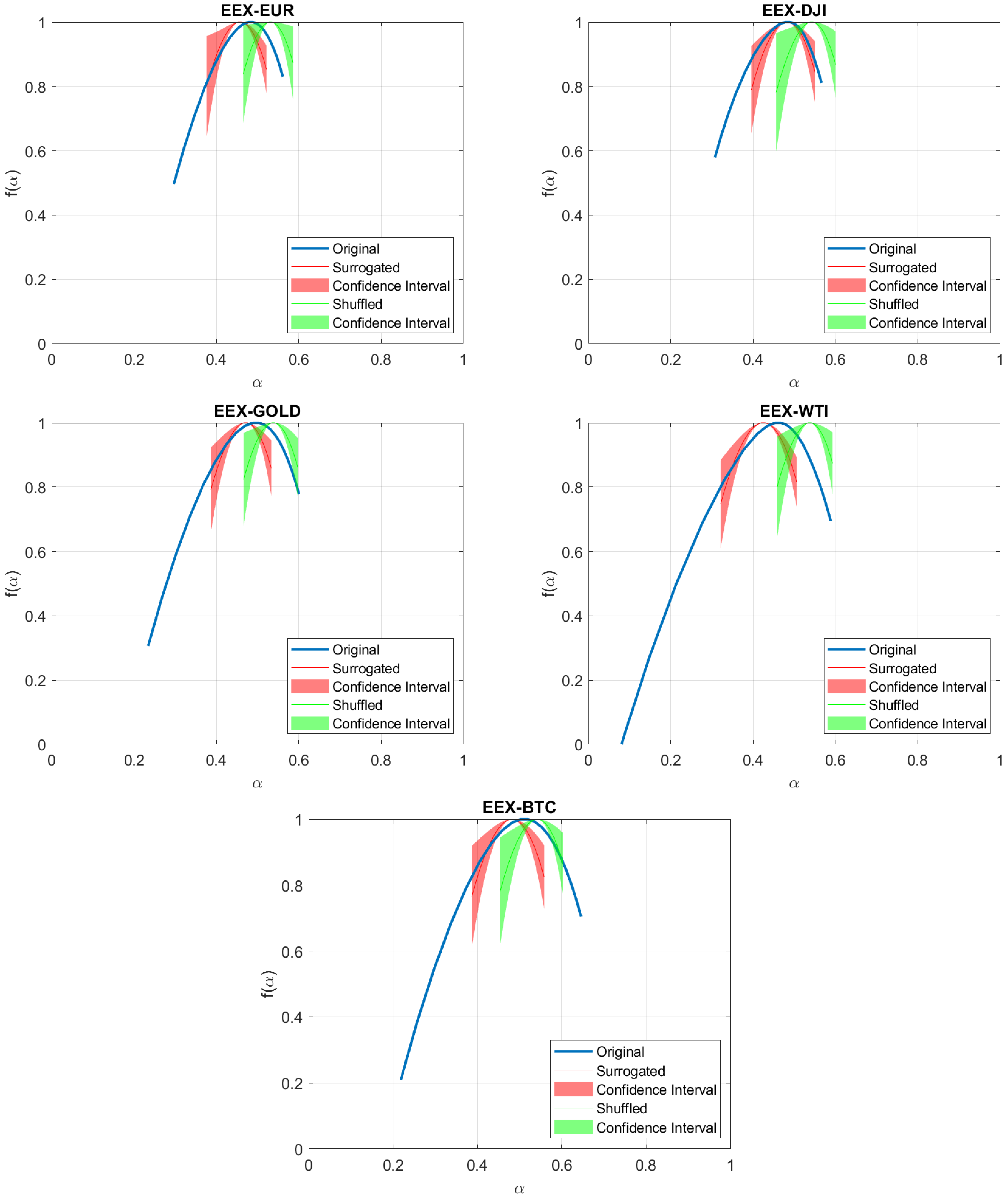
Similarly, Figure 11 presents the results for the EEX-based pairs. In all cases, the surrogate spectra lie significantly below the original ones, again pointing to the presence of fat tails and linear correlations. Although the EEX–DJI pair shows the smallest gap between the surrogate and original spectra, the difference remains notable enough to confirm the influence of these effects in the multifractality of the data.
The main values of the singularity exponent ( α ) for the original and surrogate curves are presented in Table A4, where systematic divergences between the two curves can be observed.
In order to verify the sources of multifractality and evaluate the possible influence of heavy tails, we generated 200 shuffled time series. The shuffling procedure removes temporal correlations while preserving the original return distribution. As highlighted in recent studies, heavy tails by themselves tend to amplify multifractality, but their emergence fundamentally requires the presence of long-range correlations [57,58]. Figure A3 and Figure A4 illustrate that, once temporal dependencies are destroyed, the shuffled curves resemble those of the surrogate series, providing clear evidence of the dominant role played by temporal correlations and the comparatively weaker impact of heavy tails. A slight rightward shift of the shuffled curves can still be observed, indicating a marginal effect of fat tails that contributes to a weak persistence in the multifractal structure.
To further examine the robustness of the results, the study period was divided into pre- and post-Energy Shock subperiods (August 2022). For each subperiod, H x y was estimated with a 95% confidence interval to detect statistically significant differences in multifractal behavior across the analyzed pairs.
Table 2 reports the expected values and confidence intervals for key q values. For large fluctuations ( q = 5 ), no significant differences were observed between subperiods. At q = 2 , only the GLCARB–GOLD and EEX–DJI pairs showed differences. For small fluctuations ( q = 2 ), three pairs involving GOLD, BRENT, and BTC exhibited significant differences, and, for the smallest fluctuations ( q = 5 ), pairs linked to BRENT and BTC differed across subperiods.
Figure 12 provides a color-coded summary of these differences. Pairs associated with the EEX index showed fewer variations, whereas the most pronounced differences occurred in pairs with BRENT and BTC, particularly for small fluctuations. Overall, 68.2% of cases displayed similar multifractal behavior across both periods, indicating that energy-related shocks primarily affect multifractal dynamics in carbon–commodity and carbon–crypto pairs.
Finally, for each pair we conducted an asymmetry analysis to evaluate multifractal behavior under upward and downward price trends for the main financial assets. For the upward trend, the difference between the pre- and post-Energy Shock periods is minimal (Figure 13); indeed, 81.8% of the cases exhibited similar behavior across both periods, with most divergences concentrated in pairs involving the EUR. This suggests that exchange rate dynamics may play a distinctive role in shaping multifractal properties during bullish conditions. In contrast, under the downward trend, the similarity decreases to 68.2%, with differences observed only in pairs associated with GOLD and BTC (Figure 14). These results highlight the unique role of safe-haven assets and cryptocurrencies in driving multifractal asymmetries during bearish market phases.

5. Discussion

The results of this study reveal a pronounced multifractal structure and asymmetry in carbon credit markets and their interactions with major financial assets, reflecting the complex dynamics that characterize these markets. The observed strong multifractality and asymmetry suggest that carbon credit markets are influenced by multiple interacting mechanisms, leading to unpredictable price movements and heightened sensitivity to external shocks. Events such as geopolitical tensions or changes in industrial output, as evidenced by the volatility in the EEX index, can therefore have amplified effects. For market participants, this complexity implies that traditional models assuming normality and linearity may underestimate risks and fail to fully capture the true behavior of carbon credit prices.
From a regulatory perspective, the presence of multifractality and asymmetry indicates that carbon markets respond not only to environmental regulations but also to broader financial and economic factors. Policy interventions, including tightening emission caps or introducing new trading mechanisms, may produce amplified or nonlinear effects, as exemplified by the sharp price surge observed in 2021. Policymakers should account for these dynamics to avoid unintended volatility, ensuring that regulatory changes are carefully communicated and gradually implemented to maintain market stability.
For investors and portfolio managers, the findings highlight both potential benefits and risks. The asymmetric cross-correlations and multifractal behavior suggest that carbon credits may provide diversification advantages, particularly during periods of market stress when traditional financial assets become more correlated. However, the mean-reverting and sometimes antipersistent dynamics observed across several asset pairs indicate that rapid reversals and extreme events are possible, necessitating robust risk management strategies that can accommodate sudden market movements.
The patterns observed in this study can be linked to specific market mechanisms and investor behavior. For instance, the rapid price increases in 2021 were likely driven by heightened climate policy commitments and increased investor demand, whereas subsequent corrections reflected market saturation and adjustments to policy signals. Geopolitical shocks, including the energy crisis following the Russia–Ukraine conflict, contributed to additional volatility. Shifts in investor preferences, such as reallocating toward hard assets like gold during periods of inflation, further underscore the interconnectedness of carbon credit markets with broader financial systems.
These findings are consistent with prior research documenting multifractality and nonlinear dependencies in financial and commodity markets. Previous studies have demonstrated that emerging markets, oil, and cryptocurrencies exhibit similar multifractal characteristics, particularly during periods of structural change or market turbulence. The broad multifractal spectra identified in asset pairs involving Bitcoin and crude oil in this study align with observations in other commodity and digital asset markets, highlighting the universal nature of complex market dynamics across different asset classes. Overall, the multifractal and asymmetric characteristics identified in carbon credit markets underscore the need for advanced modeling approaches, careful regulatory design, and adaptive investment strategies that account for nonlinearities, extreme events, and market interconnectedness.

6. Conclusions

This study investigates the multifractal properties and cross-correlations between two major carbon credit indices (GLCARB and EEX) and key financial assets, including Bitcoin, Brent oil, gold, the Euro, and the Dow Jones Industrial Average (DJI), using the Asymmetric Multifractal Detrended Cross-Correlation Analysis (A-MF-DCCA) framework.
Our findings reveal strong evidence of multifractality in all examined pairs, as indicated by the generalized Hurst exponent and multifractal spectra. Notably, the pairs involving Bitcoin and crude oil exhibited the broadest multifractal spectra, reflecting higher complexity and stronger multifractal behavior. In contrast, pairs associated with EUR and DJI displayed narrower spectra, implying lower degrees of multifractality.
The cross-correlation analysis shows significant nonlinear relationships among the carbon credit indices and the selected financial assets, supporting the presence of long-range dependence. The Hurst exponent results further indicate that most pairs demonstrate antipersistent behavior, especially those involving EEX, suggesting mean-reverting dynamics. Interestingly, for the GLCARB–BTC pair, the Hurst exponent confidence interval includes the Brownian motion threshold, suggesting a possible random walk behavior.
Asymmetric multifractal analysis reveals differing persistence under upward and downward market trends. For instance, the GLCARB–BTC and EEX–BTC pairs showed greater persistence during downward BTC trends, with asymmetry diminishing at larger fluctuation scales. Meanwhile, for assets like GOLD and BRENT, small fluctuations showed stronger persistence in upward trends, with reversals occurring at higher fluctuation levels.
Finally, surrogate analysis using IAAFT indicates that the multifractality in most pairs stems from both fat-tailed distributions and long-range temporal correlations. The exception is the GLCARB–DJI pair, where the surrogate and original curves were nearly identical, suggesting genuine multifractality not driven by these effects.
The multifractal and asymmetric behaviors observed in this study align with previous research across financial and commodity markets. Emerging market studies by Zunino et al. [19] and Cajueiro and Tabak [59] showed that liberalization policies can alter multifractal properties, suggesting that regulatory changes in carbon markets may similarly influence dynamics and efficiency. Asian stock market analyses by Wang et al. [60] and Dutta [25] found time-varying multifractality during financial turbulence, consistent with the heightened multifractality observed in carbon markets under external shocks. Research on oil and stock markets [26,27] and cryptocurrencies [28,30] revealed strong nonlinear dependencies and multifractal features, particularly during volatile periods, paralleling the broad spectra and asymmetries found in carbon–oil and carbon–Bitcoin pairs. Studies of international equity indices [18,29] further confirm that multifractal cross-correlations are influenced by market events and policy changes, mirroring the dynamics identified in carbon markets.
Overall, these results highlight the complex and heterogeneous dynamics linking carbon credit markets with traditional and digital financial assets. The observed multifractal and asymmetric patterns provide valuable insights for investors and policymakers aiming to understand the interconnected risks and behaviors of emerging carbon financial instruments.
The S&P Global Carbon Credit Index and the EEX Global Carbon Index are composite benchmarks designed to track the performance of major global carbon markets. The S&P index aggregates prices from a selection of compliance carbon markets, including the EU ETS, UK ETS, and California Cap-and-Trade, using a weighted methodology based on market size and liquidity. The EEX Global Carbon Index, published by the European Energy Exchange, reflects a basket of carbon allowance prices from leading emissions trading systems, with a focus on spot and near-term futures contracts. Both indices aim to proxy the value of carbon allowances across jurisdictions, but may differ in their weighting schemes, contract selection, and market coverage. As such, the multifractal metrics derived from these indices primarily measure the aggregated price dynamics and volatility of the most liquid and influential carbon markets worldwide.
Building on these findings, future research could expand the analysis in several directions. First, incorporating higher-frequency data (e.g., intraday quotes) and additional carbon markets—such as the Chinese National ETS or voluntary offset exchanges—would help to capture microstructural effects and short-term contagion. Second, applying time-varying or regime-switching multifractal models could reveal how policy announcements (e.g., COP negotiations, emissions-cap revisions) dynamically alter scaling behavior. Third, integrating nonlinear machine learning techniques—such as transformer-based sequence models or graph neural networks—may improve the forecasting of multifractal metrics and cross-asset spillovers. Finally, linking carbon credit multifractality to macro-financial variables (e.g., inflation expectations, green-bond yields) and climate-risk indicators would provide a richer understanding of how environmental markets interact with the broader financial system, informing both portfolio allocation and regulatory oversight.

Author Contributions

Conceptualization, W.K. and M.C.M.; Methodology, W.K.; Software, W.K.; Validation, M.C.M.; Formal analysis, W.K. and M.C.M.; Writing—original draft, W.K.; Writing—review & editing, M.C.M. All authors have read and agreed to the published version of the manuscript.

Funding

This research received no external funding.

Data Availability Statement

The raw data supporting the conclusions of this article will be made available by the authors on request.

Conflicts of Interest

The authors declare no conflicts of interest.

Appendix A

Table A1. Generalized Hurst exponent with 95% confidence intervals for main q values.
Table A1. Generalized Hurst exponent with 95% confidence intervals for main q values.
Pair H xy ( 5 ) H xy ( 2 ) H xy ( 0 ) H xy ( 2 ) H xy ( 5 ) Δ H
GLCARB–EUR0.538 [0.522–0.554]0.516 [0.504–0.528]0.497 [0.487–0.508]0.471 [0.458–0.484]0.409 [0.384–0.434]0.129
GLCARB–DJI0.560 [0.537–0.584]0.531 [0.513–0.550]0.508 [0.493–0.523]0.483 [0.468–0.498]0.453 [0.424–0.481]0.107
GLCARB–GOLD0.570 [0.546–0.594]0.534 [0.515–0.553]0.506 [0.490–0.522]0.470 [0.456–0.485]0.401 [0.380–0.421]0.169
GLCARB–BRENT0.554 [0.537–0.572]0.512 [0.498–0.526]0.481 [0.469–0.493]0.430 [0.415–0.446]0.266 [0.228–0.304]0.288
GLCARB–BTC0.633 [0.599–0.668]0.566 [0.550–0.582]0.528 [0.516–0.540]0.487 [0.474–0.500]0.395 [0.378–0.412]0.238
EEX–EUR0.527 [0.514–0.541]0.503 [0.493–0.512]0.483 [0.476–0.491]0.457 [0.446–0.468]0.397 [0.374–0.420]0.130
EEX–DJI0.529 [0.510–0.548]0.504 [0.490–0.518]0.484 [0.473–0.496]0.452 [0.440–0.465]0.392 [0.368–0.415]0.137
EEX–GOLD0.556 [0.537–0.575]0.524 [0.508–0.540]0.496 [0.482–0.510]0.458 [0.445–0.470]0.373 [0.355–0.391]0.183
EEX–BRENT0.528 [0.514–0.541]0.487 [0.477–0.498]0.461 [0.452–0.470]0.419 [0.405–0.433]0.277 [0.240–0.313]0.251
EEX–BTC0.587 [0.569–0.604]0.544 [0.535–0.554]0.511 [0.503–0.520]0.470 [0.460–0.479]0.377 [0.363–0.391]0.210
Note: The confidence intervals at 95% probability are indicated in square brackets.
Figure A1. Generalized Hurst exponent for GLCARB pairs, with confidence intervals shown across the full range of q values.
Figure A1. Generalized Hurst exponent for GLCARB pairs, with confidence intervals shown across the full range of q values.
Fractalfract 09 00638 g0a1
Figure A2. Generalized Hurst exponent for EEX pairs, with confidence intervals shown across the full range of q values.
Figure A2. Generalized Hurst exponent for EEX pairs, with confidence intervals shown across the full range of q values.
Fractalfract 09 00638 g0a2
Table A2. Generalized Hurst exponent with 95% confidence intervals under upward and downward trend for the main financial assets.
Table A2. Generalized Hurst exponent with 95% confidence intervals under upward and downward trend for the main financial assets.
Upward Trend H xy ( 5 ) H xy ( 2 ) H xy ( 0 ) H xy ( 2 ) H xy ( 5 ) Δ H
GLCARB–EUR0.600 [0.574–0.626]0.565 [0.541–0.589]0.534 [0.509–0.559]0.498 [0.471–0.526]0.447 [0.414–0.480]0.153
GLCARB–DJI0.536 [0.504–0.567]0.502 [0.473–0.532]0.482 [0.449–0.516]0.460 [0.412–0.509]0.405 [0.332–0.479]0.131
GLCARB–GOLD0.591 [0.565–0.617]0.563 [0.538–0.587]0.528 [0.503–0.553]0.471 [0.443–0.499]0.365 [0.324–0.405]0.226
GLCARB–BRENT0.575 [0.549–0.601]0.543 [0.518–0.569]0.520 [0.494–0.546]0.459 [0.423–0.495]0.279 [0.211–0.347]0.296
GLCARB–BTC0.533 [0.503–0.564]0.507 [0.485–0.530]0.484 [0.463–0.504]0.450 [0.426–0.474]0.378 [0.340–0.417]0.155
EEX–EUR0.588 [0.557–0.618]0.549 [0.522–0.575]0.523 [0.498–0.547]0.499 [0.474–0.524]0.468 [0.440–0.497]0.120
EEX–DJI0.514 [0.490–0.537]0.487 [0.463–0.510]0.471 [0.442–0.500]0.452 [0.408–0.495]0.399 [0.332–0.466]0.115
EEX–GOLD0.619 [0.597–0.641]0.589 [0.567–0.611]0.551 [0.528–0.574]0.488 [0.462–0.513]0.370 [0.336–0.404]0.249
EEX–BRENT0.553 [0.529–0.578]0.527 [0.503–0.551]0.512 [0.487–0.536]0.465 [0.431–0.498]0.302 [0.237–0.367]0.251
EEX–BTC0.538 [0.512–0.564]0.518 [0.499–0.538]0.497 [0.480–0.515]0.462 [0.440–0.484]0.384 [0.346–0.421]0.154
Downward Trend H x y ( 5 ) H x y ( 2 ) H x y ( 0 ) H x y ( 2 ) H x y ( 5 ) Δ H
GLCARB–EUR0.499 [0.476–0.523]0.484 [0.464–0.504]0.474 [0.454–0.495]0.454 [0.429–0.479]0.387 [0.350–0.424]0.112
GLCARB–DJI0.552 [0.519–0.584]0.533 [0.504–0.561]0.512 [0.481–0.543]0.485 [0.447–0.523]0.451 [0.402–0.499]0.101
GLCARB–GOLD0.534 [0.500–0.569]0.501 [0.476–0.526]0.483 [0.462–0.505]0.472 [0.449–0.495]0.457 [0.420–0.494]0.077
GLCARB–BRENT0.524 [0.493–0.556]0.483 [0.456–0.511]0.453 [0.428–0.478]0.420 [0.392–0.449]0.372 [0.318–0.425]0.152
GLCARB–BTC0.686 [0.636–0.737]0.606 [0.580–0.632]0.558 [0.539–0.577]0.511 [0.491–0.531]0.426 [0.393–0.460]0.260
EEX–EUR0.502 [0.483–0.522]0.483 [0.464–0.502]0.464 [0.444–0.484]0.432 [0.409–0.455]0.363 [0.330–0.395]0.139
EEX–DJI0.523 [0.483–0.563]0.497 [0.467–0.526]0.474 [0.445–0.503]0.436 [0.404–0.469]0.377 [0.338–0.415]0.146
EEX–GOLD0.477 [0.452–0.502]0.460 [0.439–0.480]0.447 [0.427–0.467]0.431 [0.408–0.454]0.395 [0.359–0.431]0.082
EEX–BRENT0.497 [0.470–0.523]0.454 [0.432–0.476]0.425 [0.404–0.445]0.393 [0.367–0.419]0.342 [0.291–0.393]0.155
EEX–BTC0.621 [0.584–0.659]0.563 [0.541–0.586]0.520 [0.503–0.537]0.475 [0.458–0.492]0.394 [0.367–0.421]0.227
Note: The confidence intervals at 95% probability are indicated in square brackets.
Table A3. Cross-correlation statistic ( Q c c ) and corresponding p-values for all examined pairs, across different degrees of freedom (m).
Table A3. Cross-correlation statistic ( Q c c ) and corresponding p-values for all examined pairs, across different degrees of freedom (m).
PairGLCARB–EURGLCARB–DJIGLCARB–GOLDGLCARB–BRENTGLCARB–BTCEEX–EUREEX–DJIEEX–GOLDEEX–BRENTEEX–BTC
100135.51128.47137.37148.48144.09153.89128.79127.17122.13113.15
0.010.030.010.000.000.000.030.030.070.17
200319.65263.51278.91297.04292.84287.11237.27260.23253.93267.52
0.000.000.000.000.000.000.040.000.010.00
300478.03399.27420.83463.79444.39419.77329.57395.67385.38397.54
0.000.000.000.000.000.000.120.000.000.00
400677.62563.03568.62645.55667.83593.07501.19531.17545.42597.37
0.000.000.000.000.000.000.000.000.000.00
500866.75755.30772.62881.55953.07750.36738.41795.94779.74848.69
0.000.000.000.000.000.000.000.000.000.00
6001133.31996.94995.411185.831283.261043.03975.041104.521025.131228.92
0.000.000.000.000.000.000.000.000.000.00
Table A4. Main values of the singularity exponent ( α ) for the original curve and the surrogate curve.
Table A4. Main values of the singularity exponent ( α ) for the original curve and the surrogate curve.
Pair α 0 α min α max Δ α α 0 α min α max Δ α
GLCARB–EUR0.500.300.570.260.480.410.550.14
GLCARB–DJI0.510.410.600.190.500.430.570.15
GLCARB–GOLD0.510.290.620.330.490.420.560.14
GLCARB–BRENT0.480.000.620.620.450.360.530.17
GLCARB–BTC0.530.240.740.500.500.420.580.16
EEX–EUR0.480.300.560.270.460.380.520.14
EEX–DJI0.480.310.570.260.480.400.550.15
EEX–GOLD0.500.230.600.370.470.390.530.15
EEX–BRENT0.460.040.590.550.420.320.510.18
EEX–BTC0.510.220.650.430.480.390.560.17
Figure A3. Multifractal spectra comparison between original, shuffled, and surrogate time series for GLCARB pairs.
Figure A3. Multifractal spectra comparison between original, shuffled, and surrogate time series for GLCARB pairs.
Fractalfract 09 00638 g0a3
Figure A4. Multifractal spectra comparison between original shuffled, and surrogate time series for EEX pairs.
Figure A4. Multifractal spectra comparison between original shuffled, and surrogate time series for EEX pairs.
Fractalfract 09 00638 g0a4

References

  1. Xu, L.; Solangi, Y.A.; Wang, R. Evaluating and prioritizing the carbon credit financing risks and strategies for sustainable carbon markets in China. J. Clean. Prod. 2023, 414, 137677. [Google Scholar] [CrossRef]
  2. Gorain, S.; Malakar, A.; Chanda, S. An analysis of carbon market and carbon credits in India. Asian J. Agric. Ext. Econ. Sociol. 2021, 39, 40–49. [Google Scholar] [CrossRef]
  3. Trouwloon, D.; Streck, C.; Chagas, T.; Martinus, G. Understanding the use of carbon credits by companies: A review of the defining elements of corporate climate claims. Glob. Chall. 2023, 7, 2200158. [Google Scholar] [CrossRef]
  4. Di Febo, E.; Ortolano, A.; Foglia, M.; Leone, M.; Angelini, E. From Bitcoin to carbon allowances: An asymmetric extreme risk spillover. J. Environ. Manag. 2021, 298, 113384. [Google Scholar] [CrossRef]
  5. Song, X.; Wang, D.; Zhang, X.; He, Y.; Wang, Y. A comparison of the operation of China’s carbon trading market and energy market and their spillover effects. Renew. Sust. Energy Rev. 2022, 168, 112864. [Google Scholar] [CrossRef]
  6. Dong, F.; Gao, Y.; Li, Y.; Zhu, J.; Hu, M.; Zhang, X. Exploring volatility of carbon price in European Union due to COVID-19 pandemic. Environ. Sci. Pollut. Res. 2022, 29, 8269–8280. [Google Scholar] [CrossRef] [PubMed]
  7. Umar, M.; Ji, X.; Mirza, N.; Naqvi, B. Carbon neutrality, bank lending, and credit risk: Evidence from the Eurozone. J. Environ. Manag. 2021, 296, 113156. [Google Scholar] [CrossRef] [PubMed]
  8. Anjos, M.F.; Feijoo, F.; Sankaranarayanan, S. A multinational carbon-credit market integrating distinct national carbon allowance strategies. Appl. Energy 2022, 319, 119181. [Google Scholar] [CrossRef]
  9. Lokuge, N.; Anders, S. Carbon-credit systems in agriculture: A review of literature. Sch. Public Policy Publ. 2022, 15. Available online: https://papers.ssrn.com/sol3/papers.cfm?abstract_id=4096174 (accessed on 13 July 2025).
  10. Verde, S.F.; Galdi, G.; Alloisio, I.; Borghesi, S. The EU ETS and its companion policies: Any insight for China’s ETS? Environ. Dev. Econ. 2021, 26, 302–320. [Google Scholar] [CrossRef]
  11. Sato, M.; Rafaty, R.; Calel, R.; Grubb, M. Allocation, allocation, allocation! The political economy of the development of the European Union Emissions Trading System. Wiley Interdiscip. Rev. Clim. Change 2022, 13, e796. [Google Scholar]
  12. Perino, G.; Willner, M. EU-ETS Phase IV: Allowance prices, design choices and the market stability reserve. Clim. Policy 2017, 17, 936–946. [Google Scholar] [CrossRef]
  13. Hintermayer, M. A carbon price floor in the reformed EU ETS: Design matters! Energy Policy 2020, 147, 111905. [Google Scholar] [CrossRef]
  14. Peng, C.; Buldyrev, S.; Goldberger, A.; Havlin, S.; Sciortino, F.; Simons, M.; Stanley, H.E. Long-range correlations in nucleotide sequences. Nature 1992, 356, 168–170. [Google Scholar] [CrossRef]
  15. Peng, C.; Buldyrev, S.; Havlin, S.; Simons, M.; Stanley, H.E.; Goldberger, A. Mosaic organization of DNA nucleotides. Phys. Rev. E 1994, 49, 1685–1689. [Google Scholar] [CrossRef] [PubMed]
  16. Kantelhardt, J.W.; Koscielny-Bunde, E.; Rego, H.A.; Havlin, S.; Bunde, A. Detecting long-range correlations with detrended fluctuation analysis. Phys. A Stat. Mech. Its Appl. 2001, 295, 441–454. [Google Scholar] [CrossRef]
  17. Hu, K.; Ivanov, P.C.; Chen, Z.; Carpena, P.; Stanley, H.E. Effect of trends on detrended fluctuation analysis. Phys. Rev. E 2001, 64, 011114. [Google Scholar] [CrossRef] [PubMed]
  18. Cao, G.; Cao, J.; Xu, L.; He, L. Detrended cross-correlation analysis approach for assessing asymmetric multifractal detrended cross-correlations and their application to the Chinese financial market. Phys. A Stat. Mech. Its Appl. 2014, 393, 460–469. [Google Scholar]
  19. Zunino, L.; Tabak, B.M.; Figliola, A.; Perez, D.G.; Garavaglia, M.; Rosso, O.A. A multifractal approach for stock market inefficiency. Phys. A Stat. Mech. Its Appl. 2008, 387, 6558–6566. [Google Scholar]
  20. Cajueiro, D.O.; Tabak, B.M. Long-range dependence and multifractality in the term structure of LIBOR interest rates. Phys. A Stat. Mech. Its Appl. 2007, 373, 603–614. [Google Scholar]
  21. Cajueiro, D.O.; Tabak, B.M. Ranking efficiency for emerging markets. Chaos Solitons Fractals 2004, 22, 349–352. [Google Scholar] [CrossRef]
  22. Cajueiro, D.O.; Tabak, B.M. Does financial market liberalization increase the degree of market efficiency? the case of the Athens stock exchange. Int. Rev. Financ. Anal. 2008, 18, 50–57. [Google Scholar] [CrossRef]
  23. Wang, Y.; Liu, L.; Gu, R. Analysis of efficiency for Shenzhen stock market based on multifractal detrended fluctuation analysis. Int. Rev. Financ. Anal. 2009, 18, 271–276. [Google Scholar] [CrossRef]
  24. Wang, Y.; Liu, L.; Gu, R.; Cao, J.; Wang, H. Analysis of market efficiency for the Shanghai stock market over time. Phys. A Stat. Mech. Its Appl. 2010, 389, 1635–1642. [Google Scholar] [CrossRef]
  25. Dutta, S. Multifractal detrended fluctuation analysis of SENSEX fluctuation in the Indian stock market. Can. J. Phys. 2010, 88, 545–551. [Google Scholar] [CrossRef]
  26. Ma, F.; Wei, Y.; Huang, D.S. Cross-correlations between West Texas Intermediate crude oil and the stock markets of the BRIC. Phys. A Stat. Mech. Its Appl. 2013, 392, 5356–5368. [Google Scholar] [CrossRef]
  27. Yang, L.; Zhu, Y.; Wang, Y.; Wang, Y. Multifractal detrended cross-correlations between crude oil market and Chinese ten sector stock markets. Phys. A Stat. Mech. Its Appl. 2016, 462, 255–265. [Google Scholar] [CrossRef]
  28. Gajardo, G.; Kristjanpoller, W.D.; Minutolo, M. Does Bitcoin exhibit the same asymmetric multifractal cross-correlations with crude oil, gold and DJIA as the Euro, Great British Pound and Yen? Chaos Solitons Fractals 2018, 109, 195–205. [Google Scholar] [CrossRef]
  29. Watorek, M.; Drozdz, S.; Oswiecimka, P.; Stanuszek, M. Multifractal cross-correlations between the world oil and other financial markets in 2012–2017. Energy Econ. 2019, 81, 874–885. [Google Scholar] [CrossRef]
  30. Ghazani, M.M.; Khosravi, R. Multifractal detrended cross-correlation analysis on benchmark cryptocurrencies and crude oil prices. Phys. A Stat. Mech. Its Appl. 2020, 560, 125172. [Google Scholar] [CrossRef]
  31. Cao, G.; Zhang, M.; Li, Q. Volatility-constrained multifractal detrended cross-correlation analysis: Cross-correlation among Mainland China, US, and Hong Kong stock markets. Phys. A Stat. Mech. Its Appl. 2017, 472, 67–76. [Google Scholar] [CrossRef]
  32. Cao, G.; Cao, J.; Xu, L. Asymmetric multifractal scaling behavior in the Chinese stock market: Based on asymmetric MF-DFA. Phys. A Stat. Mech. Its Appl. 2013, 392, 797–807. [Google Scholar] [CrossRef]
  33. Yin, Y.; Shang, P. Asymmetric multiscale detrended cross-correlation analysis of financial time series. Chaos Interdiscip. J. Nonlinear Sci. 2014, 24, 032101. [Google Scholar] [CrossRef]
  34. Lee, M.; Song, J.W.; Park, J.H.; Chang, W. Asymmetric multi-fractality in the US stock indices using index-based model of A-MFDFA. Chaos Solitons Fractals 2017, 97, 28–38. [Google Scholar] [CrossRef]
  35. Wang, H.-Y.; Li, H.; Shen, J.-Y. A novel hybrid fractal interpolation-SVM model for forecasting stock price indexes. Fractals 2019, 27, 1950055. [Google Scholar] [CrossRef]
  36. Richards, G.R. A fractal forecasting model for financial time series. J. Forecast. 2004, 23, 586–601. [Google Scholar] [CrossRef]
  37. Oral, E.; Unal, G. Modeling and forecasting time series of precious metals: A new approach to multifractal data. Financ. Innov. 2019, 5, 22. [Google Scholar] [CrossRef]
  38. Karatas, C.; Unal, G. Co-movement, fractal behaviour and forecasting of exchange rates. Int. J. Dyn. Control 2021, 9, 1818–1831. [Google Scholar] [CrossRef]
  39. Wei, Y.; Wang, P. Forecasting volatility of SSEC in Chinese stock market using multifractal analysis. Phys. A Stat. Mech. Its Appl. 2008, 387, 1585–1592. [Google Scholar] [CrossRef]
  40. Zhang, S.; Fang, W. Multifractal behaviors of stock indices and their ability to improve forecasting in a volatility clustering period. Entropy 2021, 23, 1018. [Google Scholar] [CrossRef] [PubMed]
  41. Moradi, M.; Jabbari Nooghabi, M.; Rounaghi, M.M. Investigation of fractal market hypothesis and forecasting time series stock returns for Tehran Stock Exchange and London Stock Exchange. Int. J. Financ. Econ. 2021, 26, 662–678. [Google Scholar] [CrossRef]
  42. Blackledge, J.; Lamphiere, M. A review of the fractal market hypothesis for trading and market price prediction. Mathematics 2021, 10, 117. [Google Scholar] [CrossRef]
  43. Acikgoz, T. The multifractal nature of cross-correlations between emerging market equities and financial assets: An econophysics perspective. Comput. Econ. 2025, 1–28. [Google Scholar] [CrossRef]
  44. Mensi, W.; Vo, X.V.; Kang, S.H. Upward and downward multifractality and efficiency of Chinese and Hong Kong stock markets. Comput. Econ. 2024, 64, 3207–3242. [Google Scholar] [CrossRef]
  45. Madani, M.A.; Ftiti, Z. Is gold a hedge or safe haven against oil and currency market movements? A revisit using multifractal approach. Ann. Oper. Res. 2022, 313, 367–400. [Google Scholar] [CrossRef] [PubMed]
  46. Melbrot, B.B.; Calvet, L.E.; Fisher, A.J. A Multifractal Model of Asset Returns; Cowles Foundation Discussion Paper No. 1164; Yale University: New Haven, CT, USA, 1997; Available online: https://cowles.yale.edu/publications/cfdp/cfdp-1164 (accessed on 13 July 2020).
  47. Danylchuk, H. Fractal and multifractal analysis of current state of world stock markets. Model. Inf. Syst. Econ. 2019, 98, 80–90. [Google Scholar] [CrossRef]
  48. Wątorek, M.; Kwapień, J.; Drożdż, S. Multifractal cross-correlations of bitcoin and ether trading characteristics in the post-COVID-19 time. Future Internet 2022, 14, 215. [Google Scholar] [CrossRef]
  49. Podobnik, B.; Grosse, I.; Horvatić, D.; Ilic, S.; Ivanov, P.C.; Stanley, H.E. Quantifying cross-correlations using local and global detrending approaches. Eur. Phys. J. B 2009, 71, 243. [Google Scholar] [CrossRef]
  50. Oświęcimka, P.; Drożdż, S.; Forczek, M.; Jadach, S.; Kwapień, J. Detrended cross-correlation analysis consistently extended to multifractality. Phys. Rev. E 2014, 89, 023305. [Google Scholar] [CrossRef]
  51. Thompson, J.R.; Wilson, J.R. Multifractal detrended fluctuation analysis: Practical applications to financial time series. Math. Comput. Simul. 2016, 126, 63–88. [Google Scholar] [CrossRef]
  52. Drożdż, S.; Kwapień, J.; Oświęcimka, P.; Rak, R. Quantitative features of multifractal subtleties in time series. Europhys. Lett. 2010, 88, 60003. [Google Scholar] [CrossRef]
  53. Gao, X.-L.; Shao, Y.-H.; Yang, Y.-H.; Zhou, W.-X. Do the global grain spot markets exhibit multifractal nature? Chaos Solitons Fractals 2022, 164, 112663. [Google Scholar] [CrossRef]
  54. Zhou, W.-X. Finite-size effect and the components of multifractality in financial volatility. Chaos Solitons Fractals 2012, 45, 147–155. [Google Scholar] [CrossRef]
  55. Acikgoz, T.; Gokten, S.; Soylu, A.B. Multifractal detrended cross-correlations between green bonds and commodity markets: An exploration of the complex connections between green finance and commodities from the econophysics perspective. Fractal Fract. 2024, 8, 117. [Google Scholar] [CrossRef]
  56. Jiang, Z.-Q.; Xie, W.-J.; Zhou, W.-X.; Sornette, D. Multifractal analysis of financial markets: A review. Rep. Prog. Phys. 2019, 82, 125901. [Google Scholar] [CrossRef]
  57. Kluszczyński, R.; Drożdż, S.; Kwapień, J.; Stanisz, T.; Wątorek, M. Disentangling sources of multifractality in time series. Mathematic 2025, 13, 205. [Google Scholar] [CrossRef]
  58. Kwapień, J.; Blasiak, P.; Drożdż, S.; Oświęcimka, P. Genuine multifractality in time series is due to temporal correlations. Phys. Rev. E 2023, 107, 034139. [Google Scholar] [CrossRef]
  59. Cajueiro, D.O.; Tabak, B.M. Multifractality and herding behaviour in the Japanese stock market. Chaos Solitons Fractals 2009, 40, 497–504. [Google Scholar] [CrossRef]
  60. Su, Z.; Wang, Y.; Huang, H. A multifractal detrended fluctuation analysis of Taiwan stock exchange. J. Korean Phys. Soc. 2009, 54, 1395–1402. [Google Scholar] [CrossRef]
Figure 1. S&P Global Carbon Credit Index and Global Carbon Index daily prices, August 2020–June 2025.
Figure 1. S&P Global Carbon Credit Index and Global Carbon Index daily prices, August 2020–June 2025.
Fractalfract 09 00638 g001
Figure 2. Euro–US Dollar exchange rate, Dow Jones Industrial, gold price, Brent oil price, and Bitcoin daily prices, August 2020–June 2025.
Figure 2. Euro–US Dollar exchange rate, Dow Jones Industrial, gold price, Brent oil price, and Bitcoin daily prices, August 2020–June 2025.
Fractalfract 09 00638 g002
Figure 3. Cross-correlation statistics Qcc (m) vs. the degrees of freedom m for the pairs studied.
Figure 3. Cross-correlation statistics Qcc (m) vs. the degrees of freedom m for the pairs studied.
Fractalfract 09 00638 g003
Figure 4. Generalized Hurst exponent H x y ( q ) vs. q for pairs of carbon credit indices and major financial assets.
Figure 4. Generalized Hurst exponent H x y ( q ) vs. q for pairs of carbon credit indices and major financial assets.
Fractalfract 09 00638 g004
Figure 5. Multifractal spectra for carbon credit indices and the main financial assets.
Figure 5. Multifractal spectra for carbon credit indices and the main financial assets.
Fractalfract 09 00638 g005
Figure 6. Hurst exponent with 95% confidence intervals for carbon credit index and asset pairs.
Figure 6. Hurst exponent with 95% confidence intervals for carbon credit index and asset pairs.
Fractalfract 09 00638 g006
Figure 7. Cross-correlation exponent H x y ( q ) of GLCARB–financial asset pairs across upward and downward market trends.
Figure 7. Cross-correlation exponent H x y ( q ) of GLCARB–financial asset pairs across upward and downward market trends.
Fractalfract 09 00638 g007
Figure 8. Cross-correlation exponent H x y ( q ) of EEX–financial asset pairs across upward and downward market trends.
Figure 8. Cross-correlation exponent H x y ( q ) of EEX–financial asset pairs across upward and downward market trends.
Fractalfract 09 00638 g008
Figure 9. Asymmetric multifractal cross-correlation behavior ( H x y + ( q ) and H x y ( q ) ) across the full range of q values for all analyzed pairs. Note: asymmetry (red) indicates cases with 95% statistical significance, while symmetry (green) denotes the absence of significant asymmetric behavior.
Figure 9. Asymmetric multifractal cross-correlation behavior ( H x y + ( q ) and H x y ( q ) ) across the full range of q values for all analyzed pairs. Note: asymmetry (red) indicates cases with 95% statistical significance, while symmetry (green) denotes the absence of significant asymmetric behavior.
Fractalfract 09 00638 g009
Figure 10. Multifractal spectra comparison between original and surrogate time series for GLCARB pairs.
Figure 10. Multifractal spectra comparison between original and surrogate time series for GLCARB pairs.
Fractalfract 09 00638 g010
Figure 11. Multifractal spectra comparison between original and surrogate time series for EEX pairs.
Figure 11. Multifractal spectra comparison between original and surrogate time series for EEX pairs.
Fractalfract 09 00638 g011
Figure 12. Multifractal cross-correlation behavior before and after the Energy Shock across the full range of q values for all analyzed pairs. Different multifractal behavior (red) indicates cases with 95% statistical significance, while similar behavior (green) denotes the absence of significant differences.
Figure 12. Multifractal cross-correlation behavior before and after the Energy Shock across the full range of q values for all analyzed pairs. Different multifractal behavior (red) indicates cases with 95% statistical significance, while similar behavior (green) denotes the absence of significant differences.
Fractalfract 09 00638 g012
Figure 13. Multifractal cross-correlation behavior under upward trend before and after the Energy Shock across the full range of q values for all analyzed pairs. Different multifractal behavior (red) indicates cases with 95% statistical significance, while similar behavior (green) denotes the absence of significant differences.
Figure 13. Multifractal cross-correlation behavior under upward trend before and after the Energy Shock across the full range of q values for all analyzed pairs. Different multifractal behavior (red) indicates cases with 95% statistical significance, while similar behavior (green) denotes the absence of significant differences.
Fractalfract 09 00638 g013
Figure 14. Multifractal cross-correlation behavior under downward trend before and after the Energy Shock across the full range of q values for all analyzed pairs. Different multifractal behavior (red) indicates cases with 95% statistical significance, while similar behavior (green) denotes the absence of significant differences.
Figure 14. Multifractal cross-correlation behavior under downward trend before and after the Energy Shock across the full range of q values for all analyzed pairs. Different multifractal behavior (red) indicates cases with 95% statistical significance, while similar behavior (green) denotes the absence of significant differences.
Fractalfract 09 00638 g014
Table 1. The descriptive statistics of log-return series studied.
Table 1. The descriptive statistics of log-return series studied.
StatisticGLCARBEEXEURDJIGOLDBRENTBTC
Mean (%)0.06470.0783−0.00240.03830.04170.03480.1799
St. deviation (%)1.83843.28950.47520.94820.99212.14813.8101
Skewness−0.6498−0.11810.2477−0.0338−0.5089−0.715−0.3343
Kurtosis5.35911.8381.6115.3472.3113.5124.348
ADF statistic−36.999−44.529−35.618−35.025−36.94−34.731−36.193
ADF p-value0.00000.00010.00000.00000.00000.00000.0000
Note: Mean, standard deviation, skewness, and kurtosis correspond to the descriptive statistics of each complete log-return time series. The ADF statistic refers to the Augmented Dickey–Fuller test, where the null hypothesis states that the series contains a unit root, implying non-stationarity. Rejection of the null hypothesis (p-value < 0.01) indicates that the time series is stationary.
Table 2. Generalized Hurst exponent with 95% confidence intervals for the pre- and post-Energy Shock periods.
Table 2. Generalized Hurst exponent with 95% confidence intervals for the pre- and post-Energy Shock periods.
Pre-Energy Shock H xy ( 5 ) H xy ( 2 ) H xy ( 0 ) H xy ( 2 ) H xy ( 5 ) Δ H
GLCARB-EUR0.645 [0.584–0.705]0.544 [0.504–0.584]0.505 [0.473–0.538]0.489 [0.445–0.533]0.461 [0.362–0.559]0.184
GLCARB-DJI0.713 [0.654–0.772]0.616 [0.580–0.652]0.554 [0.529–0.579]0.496 [0.466–0.527]0.416 [0.352–0.481]0.297
GLCARB-GOLD0.627 [0.578–0.677]0.560 [0.525–0.595]0.520 [0.490–0.550]0.487 [0.449–0.525]0.429 [0.343–0.514]0.198
GLCARB-BRENT0.563 [0.517–0.609]0.532 [0.501–0.563]0.513 [0.484–0.542]0.500 [0.432–0.569]0.435 [0.264–0.606]0.128
GLCARB-BTC0.575 [0.531–0.618]0.565 [0.530–0.600]0.556 [0.523–0.590]0.528 [0.489–0.568]0.403 [0.319–0.487]0.172
EEX-EUR0.561 [0.523–0.598]0.502 [0.475–0.529]0.475 [0.452–0.497]0.464 [0.431–0.496]0.441 [0.362–0.521]0.120
EEX-DJI0.615 [0.581–0.649]0.576 [0.548–0.604]0.545 [0.517–0.572]0.499 [0.465–0.534]0.401 [0.340–0.463]0.214
EEX-GOLD0.589 [0.544–0.634]0.543 [0.509–0.577]0.507 [0.478–0.537]0.466 [0.430–0.501]0.373 [0.299–0.448]0.216
EEX-BRENT0.501 [0.451–0.551]0.492 [0.462–0.521]0.479 [0.455–0.503]0.469 [0.415–0.523]0.414 [0.276–0.552]0.087
EEX-BTC0.512 [0.486–0.538]0.522 [0.496–0.547]0.527 [0.501–0.552]0.503 [0.475–0.532]0.356 [0.291–0.421]0.156
Post-Energy Shock H xy ( 5 ) H xy ( 2 ) H xy ( 0 ) H xy ( 2 ) H xy ( 5 ) Δ H
GLCARB-EUR0.612 [0.586–0.637]0.596 [0.573–0.619]0.570 [0.549–0.591]0.521 [0.501–0.541]0.427 [0.399–0.454]0.185
GLCARB-DJI0.683 [0.655–0.711]0.636 [0.614–0.658]0.585 [0.565–0.605]0.505 [0.479–0.530]0.358 [0.309–0.407]0.325
GLCARB-GOLD0.697 [0.670–0.725]0.659 [0.633–0.684]0.617 [0.593–0.641]0.556 [0.531–0.581]0.440 [0.397–0.482]0.257
GLCARB-BRENT0.687 [0.648–0.727]0.628 [0.597–0.658]0.581 [0.555–0.607]0.533 [0.508–0.559]0.465 [0.434–0.497]0.222
GLCARB-BTC0.723 [0.675–0.770]0.654 [0.625–0.684]0.600 [0.577–0.624]0.539 [0.518–0.560]0.452 [0.428–0.476]0.271
EEX-EUR0.546 [0.522–0.569]0.530 [0.512–0.547]0.511 [0.495–0.527]0.481 [0.464–0.498]0.422 [0.397–0.446]0.124
EEX-DJI0.632 [0.594–0.670]0.567 [0.542–0.592]0.513 [0.493–0.532]0.439 [0.416–0.461]0.304 [0.263–0.345]0.328
EEX-GOLD0.653 [0.624–0.681]0.601 [0.580–0.623]0.563 [0.544–0.583]0.513 [0.493–0.534]0.408 [0.372–0.444]0.245
EEX-BRENT0.637 [0.600–0.675]0.556 [0.531–0.582]0.513 [0.492–0.534]0.477 [0.458–0.496]0.416 [0.392–0.440]0.221
EEX-BTC0.648 [0.619–0.677]0.580 [0.559–0.601]0.526 [0.508–0.544]0.468 [0.450–0.485]0.386 [0.364–0.408]0.262
Note: The confidence intervals at 95% probability are indicated in square brackets.
Disclaimer/Publisher’s Note: The statements, opinions and data contained in all publications are solely those of the individual author(s) and contributor(s) and not of MDPI and/or the editor(s). MDPI and/or the editor(s) disclaim responsibility for any injury to people or property resulting from any ideas, methods, instructions or products referred to in the content.

Share and Cite

MDPI and ACS Style

Kristjanpoller, W.; Minutolo, M.C. Exploring the Dynamic Interplay: Carbon Credit Markets and Asymmetric Multifractal Cross-Correlations with Financial Assets. Fractal Fract. 2025, 9, 638. https://doi.org/10.3390/fractalfract9100638

AMA Style

Kristjanpoller W, Minutolo MC. Exploring the Dynamic Interplay: Carbon Credit Markets and Asymmetric Multifractal Cross-Correlations with Financial Assets. Fractal and Fractional. 2025; 9(10):638. https://doi.org/10.3390/fractalfract9100638

Chicago/Turabian Style

Kristjanpoller, Werner, and Marcel C. Minutolo. 2025. "Exploring the Dynamic Interplay: Carbon Credit Markets and Asymmetric Multifractal Cross-Correlations with Financial Assets" Fractal and Fractional 9, no. 10: 638. https://doi.org/10.3390/fractalfract9100638

APA Style

Kristjanpoller, W., & Minutolo, M. C. (2025). Exploring the Dynamic Interplay: Carbon Credit Markets and Asymmetric Multifractal Cross-Correlations with Financial Assets. Fractal and Fractional, 9(10), 638. https://doi.org/10.3390/fractalfract9100638

Article Metrics

Back to TopTop