Distributed Consensus Tracking of Incommensurate Heterogeneous Fractional-Order Multi-Agent Systems Based on Vector Lyapunov Function Method
Abstract
1. Introduction
2. Fractional-Order Calculus with Caputo’s Operator
3. Preliminaries and Problem Formulation
3.1. Algebraic Graph Theory
3.2. System Model
4. Main Results
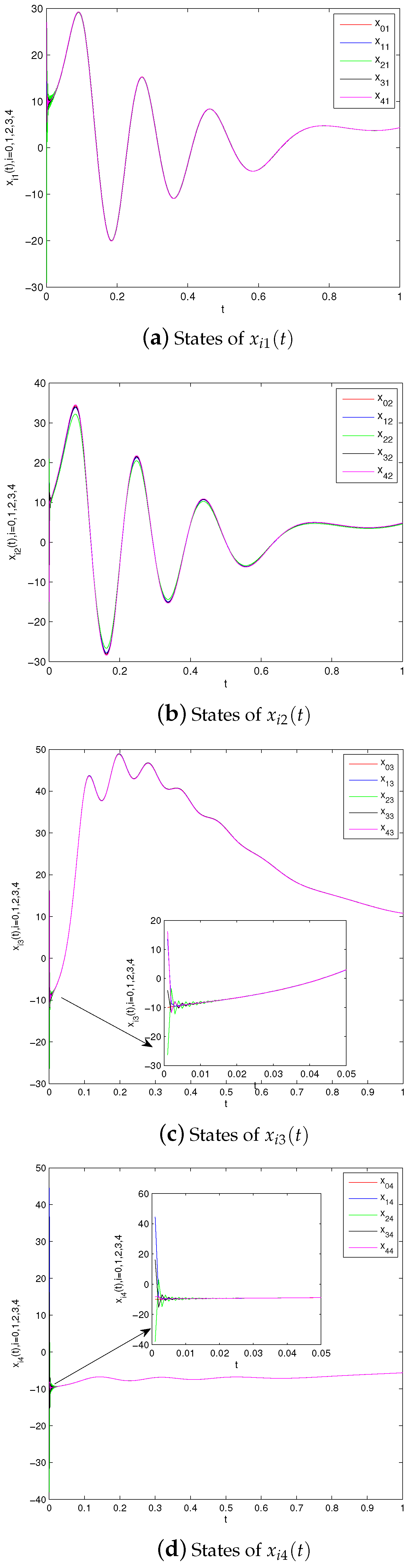
5. Numerical Simulations
6. Conclusions
Author Contributions
Funding
Data Availability Statement
Conflicts of Interest
References
- Olfati-Saber, R.; Murray, R. Consensus problems in networks of agents with switching topology and time-delays. IEEE Trans. Autom. Control 2004, 49, 1520–1533. [Google Scholar] [CrossRef]
- Cao, Y.; Yu, W.; Ren, W.; Chen, G. An overview of recent progress in the study of distributed multi-agent coordination. IEEE Trans. Ind. Inform. 2012, 9, 427–438. [Google Scholar] [CrossRef]
- Oh, K.; Park, M.; Ahn, H. A survey of multi-agent formation control. Automatica 2015, 53, 424–440. [Google Scholar] [CrossRef]
- Qin, J.; Ma, Q.; Shi, Y.; Wang, L. Recent advances in consensus of multi-agent systems: A brief survey. IEEE Trans. Ind. Electron. 2016, 64, 4972–4983. [Google Scholar] [CrossRef]
- Yu, W.; Zheng, W.; Chen, G.; Ren, W.; Cao, J. Second-order consensus in multi-agent dynamical systems with sampled position data. Automatica 2011, 47, 1496–1503. [Google Scholar] [CrossRef]
- Cao, Y.; Li, Y.; Ren, W.; Chen, Y. Distributed coordination of networked fractional-order systems. IEEE Trans. Syst. Man Cybern. Part Cybern. 2009, 40, 362–370. [Google Scholar]
- Yu, Z.; Jiang, H.; Hu, C.; Yu, J. Necessary and sufficient conditions for consensus of fractional-order multiagent systems via sampled-data control. IEEE Trans. Cybern. 2017, 47, 1892–1901. [Google Scholar] [CrossRef]
- Su, H.; Ye, Y.; Chen, X.; He, H. Necessary and sufficient conditions for consensus in fractional-order multiagent systems via sampled data over directed graph. IEEE Trans. Syst. Man Cybern. Syst. 2021, 51, 2501–2511. [Google Scholar] [CrossRef]
- Gong, P.; Lan, W.; Han, Q. Robust adaptive fault-tolerant consensus control for uncertain nonlinear fractional-order multi-agent systems with directed topologies. Automatica 2020, 117, 109011. [Google Scholar] [CrossRef]
- Gong, P.; Wang, K. Output feedback consensus control for fractional-order nonlinear multi-agent systems with directed topologies. J. Frankl. Inst. 2020, 357, 1473–1493. [Google Scholar] [CrossRef]
- Du, H.; Wen, G.; Wu, D.; Cheng, Y.; Lu¨, J. Distributed fixed-time consensus for nonlinear heterogeneous multi-agent systems. Automatica 2020, 113, 108797. [Google Scholar] [CrossRef]
- Li, X.; Yu, Z.; Li, Z.; Wu, N. Group consensus via pinning control for a class of heterogeneous multi-agent systems with input constraints. Inf. Sci. 2021, 542, 247–262. [Google Scholar] [CrossRef]
- Zhao, Y.; Xian, C.; Wen, G.; Huang, P.; Ren, W. Design of distributed event-triggered average tracking algorithms for homogeneous and heterogeneous multi-agent systems. IEEE Trans. Autom. Control 2021, 67, 1269–1284. [Google Scholar] [CrossRef]
- Han, T.; Zheng, W. Bipartite output consensus for heterogeneous multi-agent systems via output regulation approach. IEEE Trans. Circuits Syst. II Express Briefs 2020, 68, 281–285. [Google Scholar] [CrossRef]
- Gong, P. Distributed tracking of heterogeneous nonlinear fractional-order multi-agent systems with an unknown leader. J. Frankl. Inst. 2017, 354, 2226–2244. [Google Scholar] [CrossRef]
- Wang, F.; Yang, Y. Quasi-synchronization for fractional-order delayed dynamical networks with heterogeneous nodes. Appl. Math. Comput. 2018, 339, 1–14. [Google Scholar] [CrossRef]
- Gao, Z.; Zhang, H.; Zhang, J.; Sun, S. Semi-global leader-following output consensus for heterogeneous fractional-order multi-agent systems with input saturation via observer-based protocol. Neurocomputing 2020, 402, 298–306. [Google Scholar] [CrossRef]
- Wang, F.; Zheng, Z.; Yang, Y. Quasi-synchronization of heterogenous fractional-order dynamical networks with time-varying delay via distributed impulsive control. Chaos, Solitons Fractals 2021, 142, 110465. [Google Scholar] [CrossRef]
- Fan, H.; Rao, Y.; Shi, K.; Wen, H. Time-varying function matrix projection synchronization of Caputo fractional-order uncertain memristive neural networks with multiple delays via mixed open loop feedback control and impulsive control. Fractal Fract. 2024, 8, 301. [Google Scholar] [CrossRef]
- Fan, H.; Chen, X.; Shi, K.; Liang, Y.; Wang, Y.; Wen, H. Mittag-Leffler synchronization in finite time for uncertain fractional-order multi-delayed memristive neural networks with time-varying perturbations via information feedback. Fractal Fract. 2024, 8, 422. [Google Scholar] [CrossRef]
- Gong, P.; Han, Q.; Lan, W. Finite-time consensus tracking for incommensurate fractional-order nonlinear multiagent systems with directed switching topologies. IEEE Trans. Cybern. 2020, 52, 65–76. [Google Scholar] [CrossRef] [PubMed]
- Gong, P.; Han, Q. Practical fixed-time bipartite consensus of nonlinear incommensurate fractional-order multiagent systems in directed signed networks. SIAM J. Control Optim. 2020, 58, 3322–3341. [Google Scholar] [CrossRef]
- Shahvali, M.; Naghibi-Sistani, M.; Modares, H. Distributed consensus control for a network of incommensurate fractional-order systems. IEEE Control Syst. Lett. 2019, 3, 481–486. [Google Scholar] [CrossRef]
- Kilbas, A.; Srivastava, H.; Trujillo, J. Theory and Applications of Fractional Differential Equations; Elsevier: New York, NY, USA, 2006. [Google Scholar]
- Xu, Q.; Zhuang, S.; Liu, S.; Xiao, J. Decentralized adaptive coupling synchronization of fractional-order complex-variable dynamical networks. Neurocomputing 2016, 186, 119–126. [Google Scholar] [CrossRef]
- Rami, M.; Tadeo, F. Controller synthesis for positive linear systems with bounded controls. IEEE Trans. Circuits Syst. II Express Briefs 2007, 54, 151–155. [Google Scholar] [CrossRef]
- Balachandran, K. An Introduction to Fractional Differential Equations; Springer: Singapore, 2023. [Google Scholar]
- Shen, J.; Lam, J. Stability and performance analysis for positive fractional-order systems with time-varying delays. IEEE Trans. Autom. Control 2016, 61, 2676–2681. [Google Scholar] [CrossRef]
- Lu, S.; Wang, X. Adaptive neural network output feedback control of incommensurate fractional-order PMSMs with input saturation via command filtering and state observer. Neural Comput. Appl. 2021, 33, 5631–5644. [Google Scholar] [CrossRef]
- Kaczorek, T. Selected Problems of Fractional Systems Theory; Springer: Berlin, Germany, 2011. [Google Scholar]








Disclaimer/Publisher’s Note: The statements, opinions and data contained in all publications are solely those of the individual author(s) and contributor(s) and not of MDPI and/or the editor(s). MDPI and/or the editor(s) disclaim responsibility for any injury to people or property resulting from any ideas, methods, instructions or products referred to in the content. |
© 2024 by the authors. Licensee MDPI, Basel, Switzerland. This article is an open access article distributed under the terms and conditions of the Creative Commons Attribution (CC BY) license (https://creativecommons.org/licenses/by/4.0/).
Share and Cite
Huang, C.; Wang, F. Distributed Consensus Tracking of Incommensurate Heterogeneous Fractional-Order Multi-Agent Systems Based on Vector Lyapunov Function Method. Fractal Fract. 2024, 8, 575. https://doi.org/10.3390/fractalfract8100575
Huang C, Wang F. Distributed Consensus Tracking of Incommensurate Heterogeneous Fractional-Order Multi-Agent Systems Based on Vector Lyapunov Function Method. Fractal and Fractional. 2024; 8(10):575. https://doi.org/10.3390/fractalfract8100575
Chicago/Turabian StyleHuang, Conggui, and Fei Wang. 2024. "Distributed Consensus Tracking of Incommensurate Heterogeneous Fractional-Order Multi-Agent Systems Based on Vector Lyapunov Function Method" Fractal and Fractional 8, no. 10: 575. https://doi.org/10.3390/fractalfract8100575
APA StyleHuang, C., & Wang, F. (2024). Distributed Consensus Tracking of Incommensurate Heterogeneous Fractional-Order Multi-Agent Systems Based on Vector Lyapunov Function Method. Fractal and Fractional, 8(10), 575. https://doi.org/10.3390/fractalfract8100575

