A Marine-Predator-Algorithm-Based Optimum FOPID Controller for Enhancing the Stability and Transient Response of Automatic Voltage Regulators
Abstract
1. Introduction
1.1. Overview
1.2. Literature Review
1.3. Motivation
- The Lévy-based strategy is used by marine predators for environments with low prey concentrations, and Brownian movement is used for areas with abundant prey. Both strategies share the same percentage of traversing various habitats within their lifetime;
- The behavior of predators is changed by natural environment-based effects, such as eddy formations, or by human-based effects, such as fish aggregating devices (FAD), for seeking areas with prey distribution;
- The velocity ratio (VR), which is represented by the ratio of predator velocity to prey velocity, is used for determining the best strategy. At low VR (VR = 0.1), Lévy is the best predators’ strategy, whether prey are moving using Brownian or Lévy strategies;
- At unity VR (VR = 1), Brownian movement represents the best predator’s strategy when prey movement is through Lévy. The other scenarios depend on the system’s size.
- At high VR (VR ≥ 10), the predator’s best strategy is not doing any movements at all, whereas prey’s movement is made through the Brownian or Lévy strategies;
- The MPA benefits the good memory of marine predators at reminding their associates in addition to locations of successful foraging.
1.4. Paper Contributions
- The recent powerful MPA optimizer is presented and applied with the FOPID to improve the AVR controller. Based on authors’ knowledge at the submission date, this is the first time the MPA optimizer is presented in AVR controller design. The study is not limited to applying the MPA optimizer, it also presents a performance evaluation of MPA with several recently developed optimization algorithms are presented in this paper.
- Additionally, the use of FOPID provides higher freedom with its additional parameters, which help improve the performance of AVR systems. The obtained optimum FOPID AVR controller is compared with the previously determined optimum FOPID using other optimizer techniques from the literature. The conducted design and analysis clearly demonstrate superior results of the proposed MPA-tuned FOPID AVR controller.
- Better convergence performance and the determined parameters’ accuracy of the optimum FOPID AVR controller are presented in this paper using the MPA optimizer. The proposed MPA-based method is compared with recent and existing optimization methodologies. Additionally, several statistical tests are performed to make fair comparisons of optimization methods. The obtained results over 30 runs and the statistical analysis of the results confirm the superiority of MPA and its feasibility in AVR controller design.
2. Mathematical Description Modeling for AVR Systems
- At voltage drop: The output terminal voltage drops when there are increased loading conditions. In this scenario, the error between the sensed terminal voltage and the reference voltage increases with a positive value. Accordingly, the generator’s excitation increases until the sensed voltage reaches the predefined reference voltage value. This process continues until the sensed voltage equals the reference voltage. After reaching this condition, the generator’s excitation is maintained constant to preserve a stable supply voltage for all connected loads.
- At voltage raise: At reduced load values, the output voltage increases, and hence an increase in the error signal happens, but with a negative value. Then, the generator’s excitation is reduced until it achieves equal sensed and reference terminal voltage values. Then, the generator’s excitation is maintained constant to stabilize the output terminal voltage.
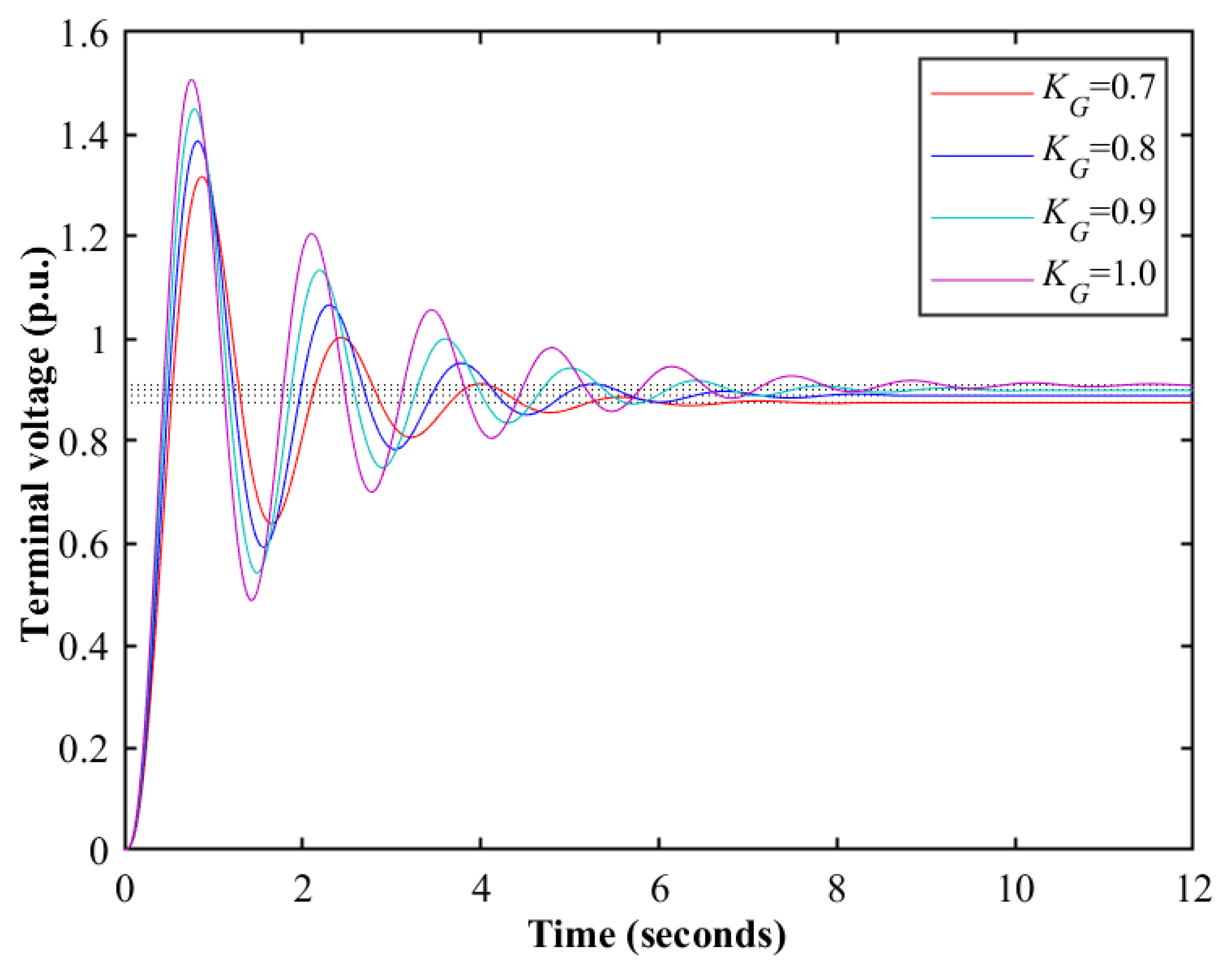
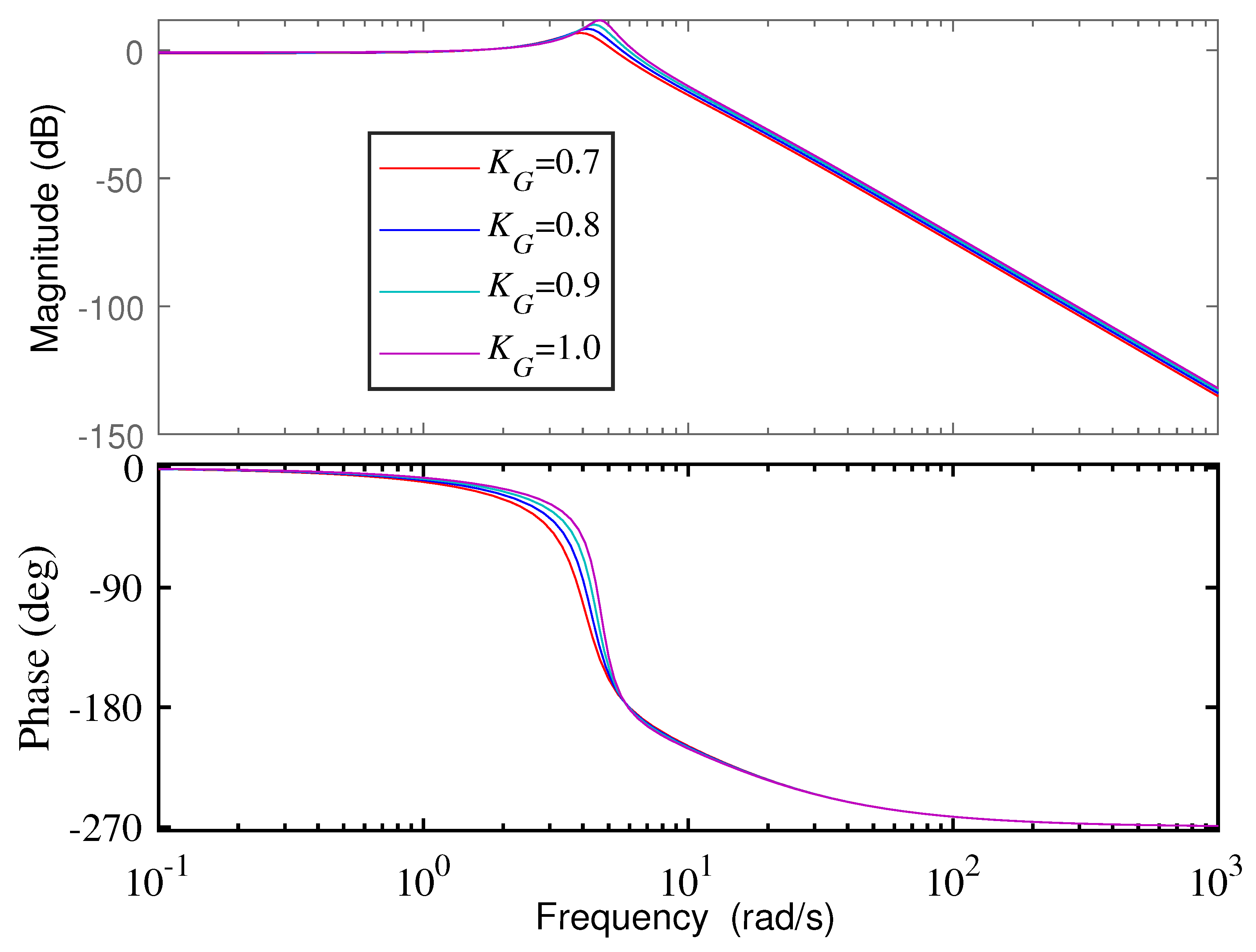
3. System Characteristics without Controller
4. MPA Optimization Methodology
5. The AVR Control and Optimization Process
5.1. FO Theory and Representation
5.2. Proposed Optimized FOPID AVR Control
- 1.
- Integral-squared-errors (ISE),
- 2.
- Integral time-squared-errors (ITSE),
- 3.
- Integral-absolute-errors (IAE),
- 4.
- Integral time-absolute-errors (ITAE),
| Algorithm 1 Pseudo-code representing proposed optimization process using MPA |
Define MPA parameters (Size of population, and maximum iteration Start algorithm initialization using (4) Construct initial using (5) Initialize the searching agents (Preys) population using (6) whiledo Calculate objective function, and construct matrix if then Update preys using (7) else if then For preys’ half of population , update preys using (8) For predators’ half of population , update preys using (9) else if then Update preys using (10) end if Accomplish the memory savings, and the updates Applying the FADs effects using (11) Calculate the objective function end while Return the best solution |
6. Results and Discussion
Performance Comparisons with Recent Algorithms
7. Conclusions
Author Contributions
Funding
Data Availability Statement
Acknowledgments
Conflicts of Interest
Appendix A
| Run No. | MPA | MRFO | Run No. | MPA | MRFO |
|---|---|---|---|---|---|
| 1 | 0.0160902309153365 | 0.0186072735390579 | 51 | 0.0159763953627226 | 0.0164159935337242 |
| 2 | 0.0157754214386025 | 0.0157790581530151 | 52 | 0.0154625364235344 | 0.0161561738059689 |
| 3 | 0.0163839755300565 | 0.0197874911366351 | 53 | 0.0154673980808997 | 0.0216327342483548 |
| 4 | 0.0158614360293316 | 0.0207406428821346 | 54 | 0.0151171665779289 | 0.0171331501582164 |
| 5 | 0.0151815141506785 | 0.0178342633107935 | 55 | 0.0151615813344883 | 0.0177126323347514 |
| 6 | 0.0166839473808019 | 0.0199929483957633 | 56 | 0.0156267887327416 | 0.0164519137830847 |
| 7 | 0.0170801125246933 | 0.0155652253629703 | 57 | 0.0165867956883701 | 0.0154761204614243 |
| 8 | 0.0170861857896019 | 0.0163012176667067 | 58 | 0.0155362943324246 | 0.0156001843471987 |
| 9 | 0.0156217377981934 | 0.0174133359370687 | 59 | 0.0152952531265295 | 0.0191971202041615 |
| 10 | 0.0161582631746110 | 0.0164046438255427 | 60 | 0.0154008521226980 | 0.0169098714187219 |
| 11 | 0.0170467975859854 | 0.0180406862499614 | 61 | 0.0151632456741165 | 0.0161135094007944 |
| 12 | 0.0182722351800569 | 0.0185911187833772 | 62 | 0.0153527356134189 | 0.0154955036509552 |
| 13 | 0.0153036284462915 | 0.0153519464778942 | 63 | 0.0151261669951796 | 0.0160335763536030 |
| 14 | 0.0158050783963908 | 0.0153868044792599 | 64 | 0.0152063617495559 | 0.0207565298970893 |
| 15 | 0.0152747700347015 | 0.0158201433770507 | 65 | 0.0152006227143923 | 0.0155734274747462 |
| 16 | 0.0160724506267845 | 0.0187138746721933 | 66 | 0.0152126399419112 | 0.0169535389239530 |
| 17 | 0.0155061948859095 | 0.0186836337099605 | 67 | 0.0155041942054795 | 0.0153554028201223 |
| 18 | 0.0165419455259726 | 0.0185533825453101 | 68 | 0.0155097483622622 | 0.0160391558592351 |
| 19 | 0.0153239301220592 | 0.0223799180060417 | 69 | 0.0155229664833601 | 0.0161831344490288 |
| 20 | 0.0157248521583907 | 0.0158234562111405 | 70 | 0.0152269394223403 | 0.0171716717715401 |
| 21 | 0.0152544299495255 | 0.0156292615025043 | 71 | 0.0157237013082333 | 0.0182032626875426 |
| 22 | 0.0156251526403613 | 0.0160019396955112 | 72 | 0.0157714234694387 | 0.0185312561464443 |
| 23 | 0.0159162308142132 | 0.0178834956451730 | 73 | 0.0157236934238772 | 0.0160178288055126 |
| 24 | 0.0161622408281447 | 0.0166977069643665 | 74 | 0.0150855154798788 | 0.0156785500585492 |
| 25 | 0.0150770912799963 | 0.0160946478966843 | 75 | 0.0156749031336672 | 0.0183338207041531 |
| 26 | 0.0159260002629224 | 0.0202221745201756 | 76 | 0.0152678788613815 | 0.0177098353253446 |
| 27 | 0.0155029436270759 | 0.0178024023309439 | 77 | 0.0154648527668256 | 0.0213044716721203 |
| 28 | 0.0158256473703595 | 0.0159423598815060 | 78 | 0.0152115531728442 | 0.0175407533787249 |
| 29 | 0.0152981824451236 | 0.0154539311942310 | 79 | 0.0151919556809319 | 0.0154529560023485 |
| 30 | 0.0163552680101254 | 0.0168646119783646 | 80 | 0.0184879256653829 | 0.0160860584564143 |
| 31 | 0.0153077796595018 | 0.0166950620491384 | 81 | 0.0150963550483734 | 0.0161007964844298 |
| 32 | 0.0155507585576659 | 0.0163582696073985 | 82 | 0.0158997972385465 | 0.0169265091642214 |
| 33 | 0.0155108649307797 | 0.0155126486258078 | 83 | 0.0153172163577543 | 0.0158997972385465 |
| 34 | 0.0160034803104551 | 0.0183471186539829 | 84 | 0.0154046935066751 | 0.0174072210013845 |
| 35 | 0.0153675694782160 | 0.0231118909681678 | 85 | 0.0151392551367036 | 0.0194813295050308 |
| 36 | 0.0157011613280708 | 0.0162058702232047 | 86 | 0.0155098581205377 | 0.0159186921213136 |
| 37 | 0.0154641600824197 | 0.0159433449512397 | 87 | 0.0154122382825814 | 0.0166866119939868 |
| 38 | 0.0152287469911507 | 0.0158987438068760 | 88 | 0.0155100829613650 | 0.0161010349179289 |
| 39 | 0.0153853897470870 | 0.0157847475047855 | 89 | 0.0156897018278160 | 0.0166741742074250 |
| 40 | 0.0157703358883489 | 0.0173888037944703 | 90 | 0.0153128334831947 | 0.0159414326243861 |
| 41 | 0.0154313596386918 | 0.0170021705087658 | 91 | 0.0153575265265852 | 0.0168227013385350 |
| 42 | 0.0160520172501177 | 0.0157239653675728 | 92 | 0.0154502895278778 | 0.0164106715341243 |
| 43 | 0.0153801132684594 | 0.0185347128325756 | 93 | 0.0151150340218386 | 0.0160006097916894 |
| 44 | 0.0164614923840220 | 0.0153723037170996 | 94 | 0.0157887027725565 | 0.0155413006166845 |
| 45 | 0.0153702421725225 | 0.0153723037170996 | 95 | 0.0151212550739855 | 0.0155006512376765 |
| 46 | 0.0161266891964663 | 0.0153451195810031 | 96 | 0.0155500689142018 | 0.0161683560384650 |
| 47 | 0.0153867052299926 | 0.0172731580353522 | 97 | 0.0151789038204640 | 0.0178129214344732 |
| 48 | 0.0153635291223803 | 0.0154699708648064 | 98 | 0.0152734520589117 | 0.0154727513622186 |
| 49 | 0.0153284443691374 | 0.0163318577343206 | 99 | 0.0150910942530682 | 0.0174838967070398 |
| 50 | 0.0152902130049922 | 0.0156309924834781 | 100 | 0.0156344970037647 | 0.0179487980457389 |
References
- Hassan, A.; Aly, M.; Elmelegi, A.; Nasrat, L.; Watanabe, M.; Mohamed, E.A. Optimal Frequency Control of Multi-Area Hybrid Power System Using New Cascaded TID-PIλDμN Controller Incorporating Electric Vehicles. Fractal Fract. 2022, 6, 548. [Google Scholar] [CrossRef]
- Amin, A.; Ebeed, M.; Nasrat, L.; Aly, M.; Ahmed, E.M.; Mohamed, E.A.; Alnuman, H.H.; Hamed, A.M.A.E. Techno-Economic Evaluation of Optimal Integration of PV Based DG with DSTATCOM Functionality with Solar Irradiance and Loading Variations. Mathematics 2022, 10, 2543. [Google Scholar] [CrossRef]
- Said, S.M.; Aly, M.; Hartmann, B.; Mohamed, E.A. Coordinated fuzzy logic-based virtual inertia controller and frequency relay scheme for reliable operation of low-inertia power system. IET Renew. Power Gener. 2021, 15, 1286–1300. [Google Scholar] [CrossRef]
- Alghamdi, S.; Sindi, H.F.; Rawa, M.; Alhussainy, A.A.; Calasan, M.; Micev, M.; Ali, Z.M.; Aleem, S.H.E.A. Optimal PID Controllers for AVR Systems Using Hybrid Simulated Annealing and Gorilla Troops Optimization. Fractal Fract. 2022, 6, 682. [Google Scholar] [CrossRef]
- Ghasemi, M.; Rahimnejad, A.; Gil, M.; Akbari, E.; Gadsden, S.A. A self-competitive mutation strategy for Differential Evolution algorithms with applications to Proportional–Integral–Derivative controllers and Automatic Voltage Regulator systems. Decis. Anal. J. 2023, 7, 100205. [Google Scholar] [CrossRef]
- Alilou, M.; Azami, H.; Oshnoei, A.; Mohammadi-Ivatloo, B.; Teodorescu, R. Fractional-Order Control Techniques for Renewable Energy and Energy-Storage-Integrated Power Systems: A Review. Fractal Fract. 2023, 7, 391. [Google Scholar] [CrossRef]
- Daraz, A.; Malik, S.A.; Basit, A.; Aslam, S.; Zhang, G. Modified FOPID Controller for Frequency Regulation of a Hybrid Interconnected System of Conventional and Renewable Energy Sources. Fractal Fract. 2023, 7, 89. [Google Scholar] [CrossRef]
- Almasoudi, F.M.; Magdy, G.; Bakeer, A.; Alatawi, K.S.S.; Rihan, M. A New Load Frequency Control Technique for Hybrid Maritime Microgrids: Sophisticated Structure of Fractional-Order PIDA Controller. Fractal Fract. 2023, 7, 435. [Google Scholar] [CrossRef]
- Ahmed, E.M.; Mohamed, E.A.; Elmelegi, A.; Aly, M.; Elbaksawi, O. Optimum Modified Fractional Order Controller for Future Electric Vehicles and Renewable Energy-Based Interconnected Power Systems. IEEE Access 2021, 9, 29993–30010. [Google Scholar] [CrossRef]
- Ahmed, E.M.; Selim, A.; Alnuman, H.; Alhosaini, W.; Aly, M.; Mohamed, E.A. Modified Frequency Regulator Based on TIλ-TDμFF Controller for Interconnected Microgrids with Incorporating Hybrid Renewable Energy Sources. Mathematics 2022, 11, 28. [Google Scholar] [CrossRef]
- Izci, D.; Ekinci, S.; Mirjalili, S. Optimal PID plus second-order derivative controller design for AVR system using a modified Runge–Kutta optimizer and Bode’s ideal reference model. Int. J. Dyn. Control. 2022, 11, 1247–1264. [Google Scholar] [CrossRef]
- Faramarzi, A.; Heidarinejad, M.; Mirjalili, S.; Gandomi, A.H. Marine Predators Algorithm: A nature-inspired metaheuristic. Expert Syst. Appl. 2020, 152, 113377. [Google Scholar] [CrossRef]
- Sobhy, M.A.; Abdelaziz, A.Y.; Hasanien, H.M.; Ezzat, M. Marine predators algorithm for load frequency control of modern interconnected power systems including renewable energy sources and energy storage units. Ain Shams Eng. J. 2021, 12, 3843–3857. [Google Scholar] [CrossRef]
- Aly, M.; Ahmed, E.M.; Rezk, H.; Mohamed, E.A. Marine Predators Algorithm Optimized Reduced Sensor Fuzzy-Logic Based Maximum Power Point Tracking of Fuel Cell-Battery Standalone Applications. IEEE Access 2021, 9, 27987–28000. [Google Scholar] [CrossRef]
- Yousri, D.; Babu, T.S.; Beshr, E.; Eteiba, M.B.; Allam, D. A Robust Strategy Based on Marine Predators Algorithm for Large Scale Photovoltaic Array Reconfiguration to Mitigate the Partial Shading Effect on the Performance of PV System. IEEE Access 2020, 8, 112407–112426. [Google Scholar] [CrossRef]
- Gaing, Z.L. A particle swarm optimization approach for optimum design of PID controller in AVR system. IEEE Trans. Energy Convers. 2004, 19, 384–391. [Google Scholar] [CrossRef]
- Gozde, H.; Taplamacioglu, M. Comparative performance analysis of artificial bee colony algorithm for automatic voltage regulator (AVR) system. J. Frankl. Inst. 2011, 348, 1927–1946. [Google Scholar] [CrossRef]
- GÜVENÇ, U.; YİĞİT, T.; IŞIK, A.H.; AKKAYA, İ. Performance analysis of biogeography-based optimization for automatic voltage regulator system. Turk. J. Electr. Eng. Comput. Sci. 2016, 24, 1150–1162. [Google Scholar] [CrossRef]
- Köse, E. Optimal Control of AVR System With Tree Seed Algorithm-Based PID Controller. IEEE Access 2020, 8, 89457–89467. [Google Scholar] [CrossRef]
- Hekimoglu, B.; Ekinci, S. Grasshopper optimization algorithm for automatic voltage regulator system. In Proceedings of the 2018 5th International Conference on Electrical and Electronic Engineering (ICEEE), IEEE, Istanbul, Turkey, 3–5 May 2018. [Google Scholar] [CrossRef]
- Sahu, B.K.; Panda, S.; Mohanty, P.K.; Mishra, N. Robust analysis and design of PID controlled AVR system using Pattern Search algorithm. In Proceedings of the 2012 IEEE International Conference on Power Electronics, Drives and Energy Systems (PEDES), Bengaluru, India, 16–19 December 2012; pp. 1–6. [Google Scholar] [CrossRef]
- Mosaad, A.M.; Attia, M.A.; Abdelaziz, A.Y. Whale optimization algorithm to tune PID and PIDA controllers on AVR system. Ain Shams Eng. J. 2019, 10, 755–767. [Google Scholar] [CrossRef]
- Habib, S.; Abbas, G.; Jumani, T.A.; Bhutto, A.A.; Mirsaeidi, S.; Ahmed, E.M. Improved Whale Optimization Algorithm for Transient Response, Robustness, and Stability Enhancement of an Automatic Voltage Regulator System. Energies 2022, 15, 5037. [Google Scholar] [CrossRef]
- Dogruer, T.; Can, M.S. Design and robustness analysis of fuzzy PID controller for automatic voltage regulator system using genetic algorithm. Trans. Inst. Meas. Control. 2022, 44, 1862–1873. [Google Scholar] [CrossRef]
- Bingul, Z.; Karahan, O. A novel performance criterion approach to optimum design of PID controller using cuckoo search algorithm for AVR system. J. Frankl. Inst. 2018, 355, 5534–5559. [Google Scholar] [CrossRef]
- Hekimoğlu, B. Sine-cosine algorithm-based optimization for automatic voltage regulator system. Trans. Inst. Meas. Control. 2018, 41, 1761–1771. [Google Scholar] [CrossRef]
- Ekinci, S.; Hekimoğlu, B. Improved Kidney-Inspired Algorithm Approach for Tuning of PID Controller in AVR System. IEEE Access 2019, 7, 39935–39947. [Google Scholar] [CrossRef]
- Bendjeghaba, O. Continuous Firefly Algorithm for Optimal Tuning of Pid Controller in AVR System. J. Electr. Eng. 2014, 65, 44–49. [Google Scholar] [CrossRef][Green Version]
- Çelik, E.; Durgut, R. Performance enhancement of automatic voltage regulator by modified cost function and symbiotic organisms search algorithm. Eng. Sci. Technol. Int. J. 2018, 21, 1104–1111. [Google Scholar] [CrossRef]
- Ekinci, S.; Hekimoğlu, B.; Kaya, S. Tuning of PID Controller for AVR System Using Salp Swarm Algorithm. In Proceedings of the 2018 International Conference on Artificial Intelligence and Data Processing (IDAP), Malatya, Turkey, 28–30 September 2018; pp. 1–6. [Google Scholar] [CrossRef]
- Anbarasi, S.; Muralidharan, S. Enhancing the Transient Performances and Stability of AVR System with BFOA Tuned PID Controller. J. Control. Eng. Appl. Inform. 2016, 18, 20–29. [Google Scholar]
- DUMAN, S.; YÖRÜKEREN, N.; ALTAŞ, İ.H. Gravitational search algorithm for determining controller parameters in an automatic voltage regulator system. Turk. J. Electr. Eng. Comput. Sci. 2016, 24, 2387–2400. [Google Scholar] [CrossRef]
- Pradhan, R.; Majhi, S.K.; Pati, B.B. Design of PID controller for automatic voltage regulator system using Ant Lion Optimizer. World J. Eng. 2018, 15, 373–387. [Google Scholar] [CrossRef]
- Mohanty, P.K.; Sahu, B.K.; Panda, S. Tuning and Assessment of Proportional–Integral–Derivative Controller for an Automatic Voltage Regulator System Employing Local Unimodal Sampling Algorithm. Electr. Power Components Syst. 2014, 42, 959–969. [Google Scholar] [CrossRef]
- Blondin, M.; Sicard, P.; Pardalos, P. Controller Tuning Approach with robustness, stability and dynamic criteria for the original AVR System. Math. Comput. Simul. 2019, 163, 168–182. [Google Scholar] [CrossRef]
- Zamani, M.; Karimi-Ghartemani, M.; Sadati, N.; Parniani, M. Design of a fractional order PID controller for an AVR using particle swarm optimization. Control. Eng. Pract. 2009, 17, 1380–1387. [Google Scholar] [CrossRef]
- Ortiz-Quisbert, M.E.; Duarte-Mermoud, M.A.; Milla, F.; Castro-Linares, R.; Lefranc, G. Optimal fractional order adaptive controllers for AVR applications. Electr. Eng. 2016, 100, 267–283. [Google Scholar] [CrossRef]
- Zhang, D.L.; Tang, Y.G.; Guan, X.P. Optimum Design of Fractional Order PID Controller for an AVR System Using an Improved Artificial Bee Colony Algorithm. Acta Autom. Sin. 2014, 40, 973–979. [Google Scholar] [CrossRef]
- Tang, Y.; Cui, M.; Hua, C.; Li, L.; Yang, Y. Optimum design of fractional order PIλDμ controller for AVR system using chaotic ant swarm. Expert Syst. Appl. 2012, 39, 6887–6896. [Google Scholar] [CrossRef]
- Zeng, G.Q.; Chen, J.; Dai, Y.X.; Li, L.M.; Zheng, C.W.; Chen, M.R. Design of fractional order PID controller for automatic regulator voltage system based on multi-objective extremal optimization. Neurocomputing 2015, 160, 173–184. [Google Scholar] [CrossRef]
- Ayas, M.S.; Sahin, E. FOPID controller with fractional filter for an automatic voltage regulator. Comput. Electr. Eng. 2021, 90, 106895. [Google Scholar] [CrossRef]
- Micev, M.; Ćalasan, M.; Oliva, D. Fractional Order PID Controller Design for an AVR System Using Chaotic Yellow Saddle Goatfish Algorithm. Mathematics 2020, 8, 1182. [Google Scholar] [CrossRef]
- Pan, I.; Das, S. Frequency domain design of fractional order PID controller for AVR system using chaotic multi-objective optimization. Int. J. Electr. Power Energy Syst. 2013, 51, 106–118. [Google Scholar] [CrossRef]
- Sikander, A.; Thakur, P.; Bansal, R.; Rajasekar, S. A novel technique to design cuckoo search based FOPID controller for AVR in power systems. Comput. Electr. Eng. 2018, 70, 261–274. [Google Scholar] [CrossRef]
- Khan, I.A.; Alghamdi, A.S.; Jumani, T.A.; Alamgir, A.; Awan, A.B.; Khidrani, A. Salp Swarm Optimization Algorithm-Based Fractional Order PID Controller for Dynamic Response and Stability Enhancement of an Automatic Voltage Regulator System. Electronics 2019, 8, 1472. [Google Scholar] [CrossRef]
- Pan, I.; Das, S. Chaotic multi-objective optimization based design of fractional order PIλDμ controller in AVR system. Int. J. Electr. Power Energy Syst. 2012, 43, 393–407. [Google Scholar] [CrossRef]
- Ahmed, E.M.; Elmelegi, A.; Shawky, A.; Aly, M.; Alhosaini, W.; Mohamed, E.A. Frequency Regulation of Electric Vehicle-Penetrated Power System Using MPA-Tuned New Combined Fractional Order Controllers. IEEE Access 2021, 9, 107548–107565. [Google Scholar] [CrossRef]
- Bakir, H.; Guvenc, U.; Kahraman, H.T.; Duman, S. Improved Lévy flight distribution algorithm with FDB-based guiding mechanism for AVR system optimal design. Comput. Ind. Eng. 2022, 168, 108032. [Google Scholar] [CrossRef]
- Zhao, W.; Wang, L.; Mirjalili, S. Artificial hummingbird algorithm: A new bio-inspired optimizer with its engineering applications. Comput. Methods Appl. Mech. Eng. 2022, 388, 114194. [Google Scholar] [CrossRef]
- Devan, P.A.M.; Hussin, F.A.; Ibrahim, R.B.; Bingi, K.; Nagarajapandian, M.; Assaad, M. An Arithmetic-Trigonometric Optimization Algorithm with Application for Control of Real-Time Pressure Process Plant. Sensors 2022, 22, 617. [Google Scholar] [CrossRef]
- Ahmad, M.F.; Isa, N.A.M.; Lim, W.H.; Ang, K.M. Differential evolution: A recent review based on state-of-the-art works. Alex. Eng. J. 2022, 61, 3831–3872. [Google Scholar] [CrossRef]
- Askari, Q.; Saeed, M.; Younas, I. Heap-based optimizer inspired by corporate rank hierarchy for global optimization. Expert Syst. Appl. 2020, 161, 113702. [Google Scholar] [CrossRef]
- Mirjalili, S. SCA: A Sine Cosine Algorithm for solving optimization problems. Knowl.-Based Syst. 2016, 96, 120–133. [Google Scholar] [CrossRef]
- Li, S.; Chen, H.; Wang, M.; Heidari, A.A.; Mirjalili, S. Slime mould algorithm: A new method for stochastic optimization. Future Gener. Comput. Syst. 2020, 111, 300–323. [Google Scholar] [CrossRef]
- Zhao, W.; Zhang, Z.; Wang, L. Manta ray foraging optimization: An effective bio-inspired optimizer for engineering applications. Eng. Appl. Artif. Intell. 2020, 87, 103300. [Google Scholar] [CrossRef]















| Ref. | Controller | Optimizer Algorithm |
|---|---|---|
| Ref. [16] | PID | Particle Swarm Optimization (PSO) |
| Ref. [17] | PID | Artificial Bee Colony (ABC) |
| Ref. [18] | PID | Biography-Based Optimization (BBO) |
| Ref. [19] | PID | Tree-Seed Algorithm (TSA) |
| Ref. [20] | PID | Grasshopper Optimization Algorithm (GOA) |
| Ref. [21] | PID | Pattern Search Algorithm (PSA) |
| Ref. [22] | PID | Whale Optimization Algorithm (WOA) |
| Ref. [23] | PID | Improved Whale Optimization Algorithm (IWOA) |
| Ref. [24] | PID | Genetic Algorithm (GA) |
| Ref. [25] | PID | Cuckoo Search (CS) Algorithm |
| Ref. [26] | PID | Sine–Cosine Algorithm (SCA) |
| Ref. [27] | PID | Improved Kidney Inspired Algorithm (IKA) |
| Ref. [17] | PID | Differential Evolution (DE) |
| Ref. [28] | PID | Continuous FireFly Algorithm (CFA) |
| Ref. [29] | PID | Symbiotic Organisms Search (SOS) Algorithm |
| Ref. [30] | PID | Salp Swarm Algorithm (SSA) |
| Ref. [31] | PID | Bacterial Foraging Optimization Algorithm (BFOA) |
| Ref. [32] | PID | Gravitational Search Algorithm (GSA) |
| Ref. [33] | PID | Ant Lion Optimizer (ALO) |
| Ref. [34] | PID | Local Unimodal Sampling (LUS) Algorithm |
| Ref. [35] | PID | Ant Colony Optimizer with Nelder–Mead (ACO-NM) |
| Ref. [36] | FOPID | Particle-Swarm Optimization (PSO) |
| Ref. [37] | FOPID | Genetic Algorithm (GA) |
| Ref. [38] | FOPID | Artificial-Bee Colony Optimizer (CNC-ABC) |
| Ref. [39] | FOPID | Chaotic Ant Swarm (CAS) |
| Ref. [40] | FOPID | Multi-Objective Extremal Optimization (MOEO) |
| Ref. [41] | FOPID | Sine–Cosine Algorithm (SCA) |
| Ref. [42] | FOPID | Chaotic Yellow Saddle Goatfish Algorithm (CYSGA) |
| Ref. [43] | FOPID (method 1) | Improved Multi-Objective NSGA-II with Henon Map |
| Ref. [44] | FOPID (method 2) | Cuckoo Search (CS) |
| Ref. [37] | FOPID (method 3) | Particle Swarm Optimization (PSO) |
| Ref. [45] | FOPID (method 4) | Salp Swarm Optimization (SSO) |
| Ref. [46] | FOPID (method 5) | Multi-Objective NSGA-II with Chaotic Map |
| Proposed | FOPID | Marine Predator Algorithm (MPA) |
| Type | Parameters | Units | ||||
|---|---|---|---|---|---|---|
| Step Resp. | Overshot | Percentage % | 50.4956 | 55.9611 | 61.0183 | 65.7226 |
| Rise Time | Seconds | 0.3172 | 0.2944 | 0.2760 | 0.2607 | |
| Settling Time | Seconds | 4.8980 | 5.4149 | 6.4257 | 6.9865 | |
| Steady-State Err. | Per Unit (p.u.) | 0.1220 | 0.1158 | 0.1024 | 0.0938 | |
| Freq. Resp. | Gain Margin | dB | 4.19 | 2.11 | 0.07 | −2 |
| Phase Margin | Degree () | 14.6 | 6.7 | 0.2 | −5.3 | |
| Root Locus | Closed Loop System Poles | −12.49 | −12.31 | −12.13 | −11.93 | |
| −99.97 | −99.97 | −99.98 | −99.98 | |||
| −0.52 + 4.66i | −0.61 + 4.47i | −0.7 + 4.25i | −0.8 + 4.02i | |||
| −0.52 − 4.66i | −0.61 − 4.47i | −0.7 − 4.25i | −0.8 − 4.02i |
| Objective Function | Type | Ref. |
|---|---|---|
| Single | Ref. [38] | |
| , , | Multiple | Ref. [40] |
| , | Multiple | Ref. [43] |
| Single | Ref. [45] | |
| Single | Ref. [37] | |
| Single | Ref. [36] | |
| Single | Ref. [39] | |
| , , | Multiple | Ref. [46] |
| Single | Ref. [37] |
| Run No. | AHA | ATOA | DE | HBO | SCA | SMA | MRFO | MPA |
|---|---|---|---|---|---|---|---|---|
| 1 | 0.0294 | 0.0325 | 0.0175 | 0.0178 | 0.0532 | 0.0507 | 0.0168 | 0.0165 |
| 2 | 0.0175 | 0.0312 | 0.0164 | 0.0170 | 0.0342 | 0.0414 | 0.0156 | 0.0154 |
| 3 | 0.0192 | 0.0358 | 0.0233 | 0.0209 | 0.0255 | 0.0367 | 0.0162 | 0.0162 |
| 4 | 0.0159 | 0.0251 | 0.0205 | 0.0202 | 0.0368 | 0.0500 | 0.0155 | 0.0151 |
| 5 | 0.0265 | 0.0288 | 0.0180 | 0.0206 | 0.0326 | 0.0484 | 0.0165 | 0.0152 |
| 6 | 0.0196 | 0.0598 | 0.0152 | 0.0205 | 0.0420 | 0.0486 | 0.0178 | 0.0154 |
| 7 | 0.0191 | 0.0253 | 0.0232 | 0.0173 | 0.0589 | 0.0296 | 0.0176 | 0.0153 |
| 8 | 0.0166 | 0.0227 | 0.0162 | 0.0233 | 0.0366 | 0.0356 | 0.0159 | 0.0162 |
| 9 | 0.0257 | 0.0237 | 0.0280 | 0.0180 | 0.0584 | 0.0593 | 0.0174 | 0.0152 |
| 10 | 0.0207 | 0.0250 | 0.0203 | 0.0314 | 0.0215 | 0.0284 | 0.0156 | 0.0152 |
| 11 | 0.0320 | 0.0283 | 0.0202 | 0.0200 | 0.0663 | 0.0512 | 0.0167 | 0.0166 |
| 12 | 0.0264 | 0.0321 | 0.0205 | 0.0265 | 0.0374 | 0.0512 | 0.0159 | 0.0151 |
| 13 | 0.0209 | 0.0264 | 0.0205 | 0.0242 | 0.0378 | 0.0358 | 0.0155 | 0.0174 |
| 14 | 0.0287 | 0.0356 | 0.0202 | 0.0162 | 0.0376 | 0.0415 | 0.0159 | 0.0170 |
| 15 | 0.0271 | 0.0204 | 0.0255 | 0.0445 | 0.0388 | 0.0546 | 0.0155 | 0.0165 |
| 16 | 0.0231 | 0.0322 | 0.0171 | 0.0166 | 0.0436 | 0.0527 | 0.0155 | 0.0152 |
| 17 | 0.0219 | 0.0321 | 0.0208 | 0.0257 | 0.0470 | 0.0478 | 0.0155 | 0.0153 |
| 18 | 0.0196 | 0.0294 | 0.0178 | 0.0161 | 0.0422 | 0.0233 | 0.0183 | 0.0176 |
| 19 | 0.0273 | 0.0324 | 0.0185 | 0.0237 | 0.0304 | 0.0550 | 0.0180 | 0.0156 |
| 20 | 0.0223 | 0.0287 | 0.0184 | 0.0228 | 0.0363 | 0.0488 | 0.0175 | 0.0151 |
| 21 | 0.0157 | 0.0200 | 0.0223 | 0.0267 | 0.0611 | 0.0375 | 0.0155 | 0.0154 |
| 22 | 0.0178 | 0.0368 | 0.0170 | 0.0187 | 0.0558 | 0.0257 | 0.0157 | 0.0156 |
| 23 | 0.0280 | 0.0338 | 0.0157 | 0.0301 | 0.0327 | 0.0493 | 0.0153 | 0.0151 |
| 24 | 0.0170 | 0.0254 | 0.0238 | 0.0267 | 0.0298 | 0.0503 | 0.0154 | 0.0165 |
| 25 | 0.0222 | 0.0216 | 0.0270 | 0.0182 | 0.0308 | 0.0558 | 0.0179 | 0.0162 |
| 26 | 0.0220 | 0.0260 | 0.0204 | 0.0200 | 0.0285 | 0.0491 | 0.0155 | 0.0151 |
| 27 | 0.0187 | 0.0326 | 0.0343 | 0.0373 | 0.0346 | 0.0363 | 0.0160 | 0.0151 |
| 28 | 0.0305 | 0.0360 | 0.0199 | 0.0185 | 0.0763 | 0.0365 | 0.0170 | 0.0172 |
| 29 | 0.0245 | 0.0387 | 0.0195 | 0.0206 | 0.0280 | 0.0328 | 0.0155 | 0.0160 |
| 30 | 0.0198 | 0.0261 | 0.0167 | 0.0251 | 0.0372 | 0.0358 | 0.0155 | 0.0159 |
| AHA | ATOA | DE | HBO | SCA | SMA | MRFO | MPA | |
|---|---|---|---|---|---|---|---|---|
| Optimum FOPID Parameters | ||||||||
| 1.8295 | 2.0000 | 1.7057 | 1.5215 | 1.8515 | 1.5791 | 1.6506 | 1.7061 | |
| 0.8152 | 1.0000 | 0.8263 | 0.7293 | 1.0000 | 0.9417 | 0.7878 | 0.8068 | |
| 0.3968 | 0.4000 | 0.4000 | 0.3601 | 0.4000 | 0.3896 | 0.3932 | 0.4000 | |
| 1.1636 | 1.1335 | 1.1158 | 1.1269 | 1.0584 | 1.0234 | 1.1235 | 1.1286 | |
| 1.2512 | 1.1797 | 1.2129 | 1.2073 | 1.1911 | 1.1344 | 1.2093 | 1.2164 | |
| Statistical Parameters | ||||||||
| Best | 0.0157 | 0.0200 | 0.0152 | 0.0161 | 0.0215 | 0.0233 | 0.0153 | 0.0151 |
| Worst | 0.0320 | 0.0598 | 0.0343 | 0.0445 | 0.0763 | 0.0593 | 0.0183 | 0.0176 |
| Mean | 0.0225 | 0.0301 | 0.0205 | 0.0228 | 0.0411 | 0.0433 | 0.0163 | 0.0158 |
| Median | 0.0220 | 0.0291 | 0.0202 | 0.0206 | 0.0373 | 0.0481 | 0.0159 | 0.0155 |
| Std. Deviation | 0.0047 | 0.0076 | 0.0042 | 0.0065 | 0.0131 | 0.0098 | 0.0010 | 0.0008 |
| Algorithm | Best | Worst | Mean | Median | Std. Deviation |
|---|---|---|---|---|---|
| MRFO | 0.01534512 | 0.02311189 | 0.01704896 | 0.01641032 | 0.00168091 |
| MPA | 0.01507709 | 0.01848793 | 0.01564708 | 0.01546613 | 0.00059616 |
| ANOVA Table | |||||
|---|---|---|---|---|---|
| Source | SS | df | MS | F | Prob > F |
| Columns | 0.02375 | 7 | 0.00339 | 66.72 | |
| Error | 0.0118 | 232 | 0.00005 | ||
| Total | 0.03555 | 239 | |||
Disclaimer/Publisher’s Note: The statements, opinions and data contained in all publications are solely those of the individual author(s) and contributor(s) and not of MDPI and/or the editor(s). MDPI and/or the editor(s) disclaim responsibility for any injury to people or property resulting from any ideas, methods, instructions or products referred to in the content. |
© 2023 by the authors. Licensee MDPI, Basel, Switzerland. This article is an open access article distributed under the terms and conditions of the Creative Commons Attribution (CC BY) license (https://creativecommons.org/licenses/by/4.0/).
Share and Cite
Noman, A.M.; Almutairi, S.Z.; Aly, M.; Alqahtani, M.H.; Aljumah, A.S.; Mohamed, E.A. A Marine-Predator-Algorithm-Based Optimum FOPID Controller for Enhancing the Stability and Transient Response of Automatic Voltage Regulators. Fractal Fract. 2023, 7, 690. https://doi.org/10.3390/fractalfract7090690
Noman AM, Almutairi SZ, Aly M, Alqahtani MH, Aljumah AS, Mohamed EA. A Marine-Predator-Algorithm-Based Optimum FOPID Controller for Enhancing the Stability and Transient Response of Automatic Voltage Regulators. Fractal and Fractional. 2023; 7(9):690. https://doi.org/10.3390/fractalfract7090690
Chicago/Turabian StyleNoman, Abdullah M., Sulaiman Z. Almutairi, Mokhtar Aly, Mohammed H. Alqahtani, Ali S. Aljumah, and Emad A. Mohamed. 2023. "A Marine-Predator-Algorithm-Based Optimum FOPID Controller for Enhancing the Stability and Transient Response of Automatic Voltage Regulators" Fractal and Fractional 7, no. 9: 690. https://doi.org/10.3390/fractalfract7090690
APA StyleNoman, A. M., Almutairi, S. Z., Aly, M., Alqahtani, M. H., Aljumah, A. S., & Mohamed, E. A. (2023). A Marine-Predator-Algorithm-Based Optimum FOPID Controller for Enhancing the Stability and Transient Response of Automatic Voltage Regulators. Fractal and Fractional, 7(9), 690. https://doi.org/10.3390/fractalfract7090690

