Prescribed Performance Tracking Control of Lower-Triangular Systems with Unknown Fractional Powers
Abstract
1. Introduction
- Our approach works well when the fractional powers, the system nonlinearities, and their bounds or bounding functions are unknown, without the power order restriction [5,8,12,13,22,23,24,29], the specific size limitation [3,4,5,6,7,8,9,10,11,12,13,15,16,17,18,20,21,22,23,24,25,26,27,28,29,30,31,32,33], or the homogeneous condition [30].
2. Problem Description
2.1. System Description
2.2. Control Objective
3. Control Design
4. Theoretical Analysis
- 1.
- evolves within but keeps away from the boundaries on ;
- 2.
- is bounded on ;
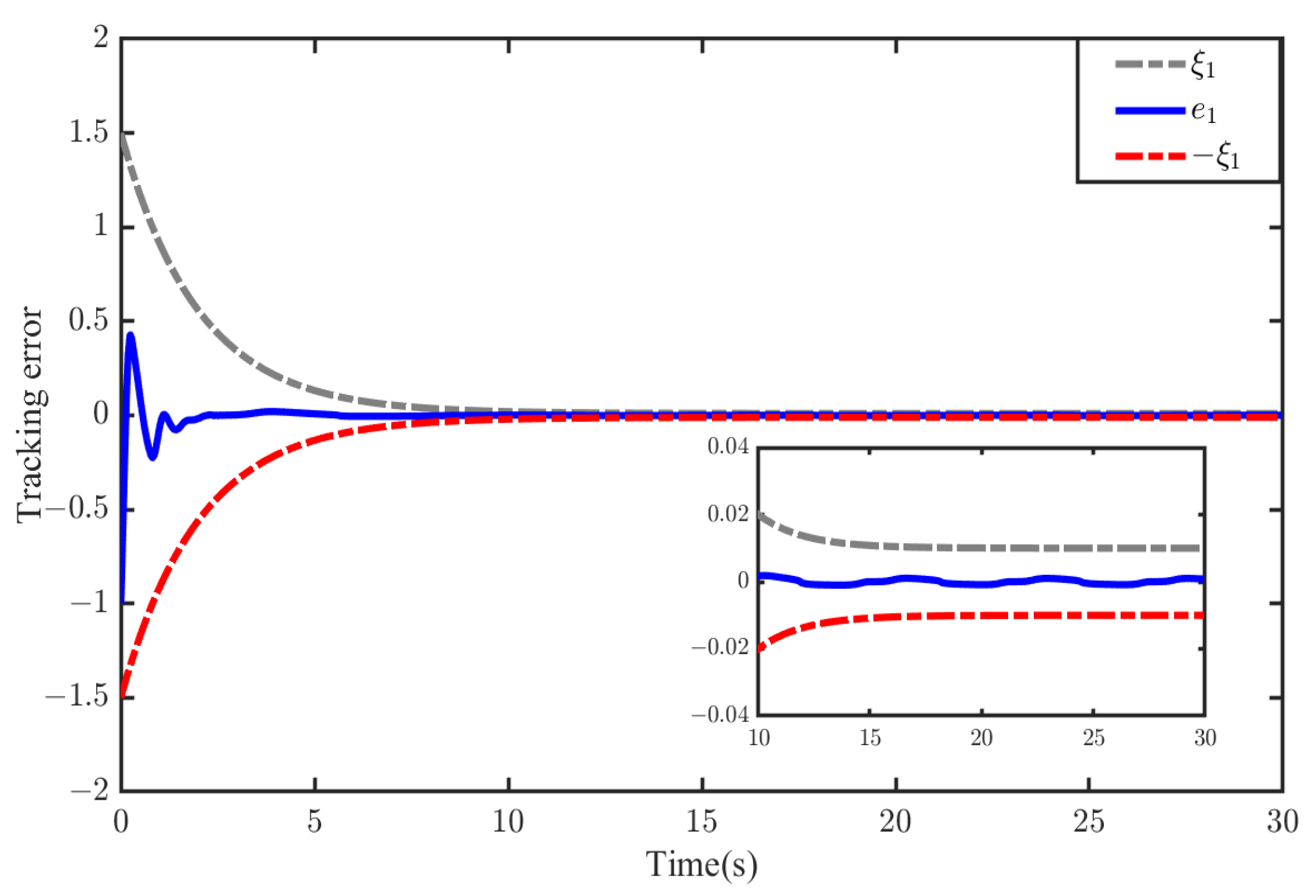
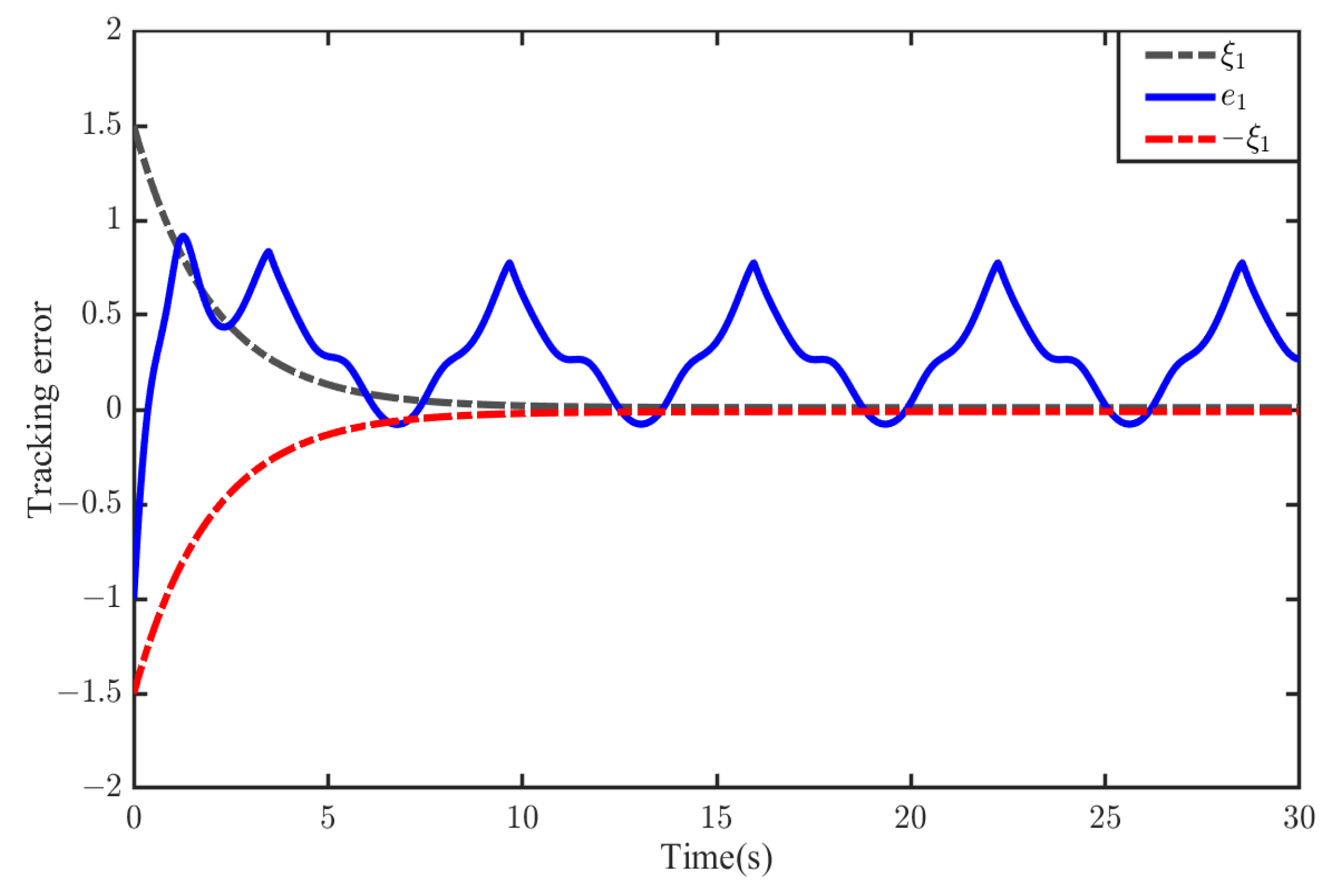
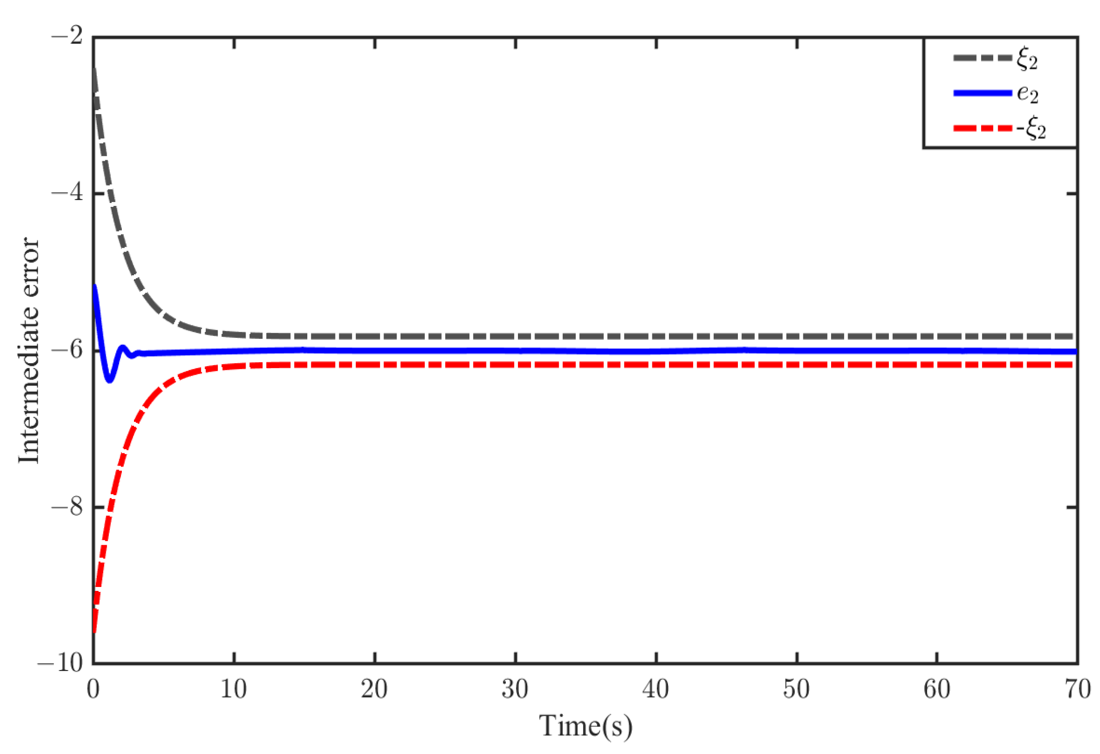
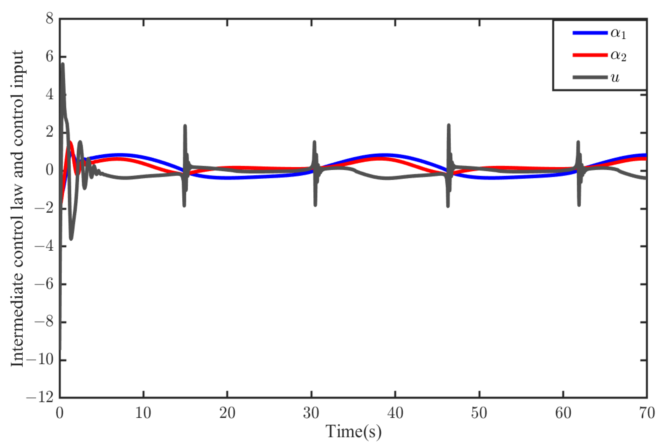
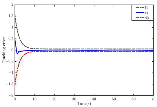
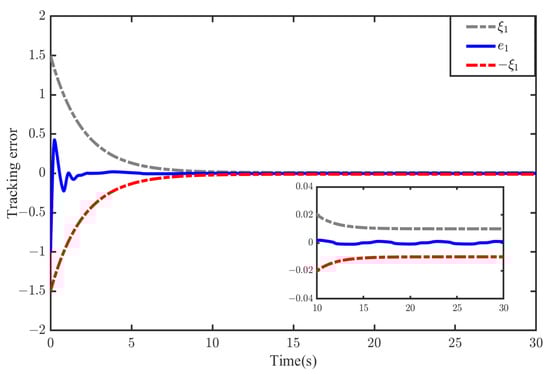
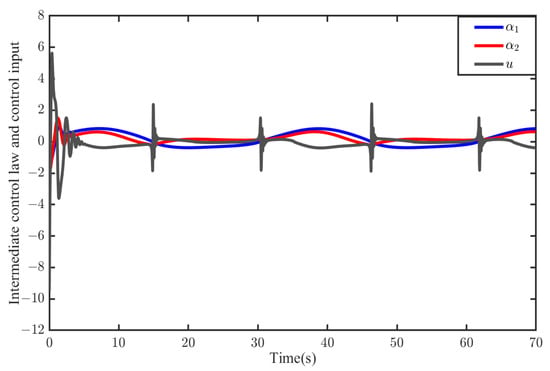
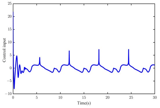
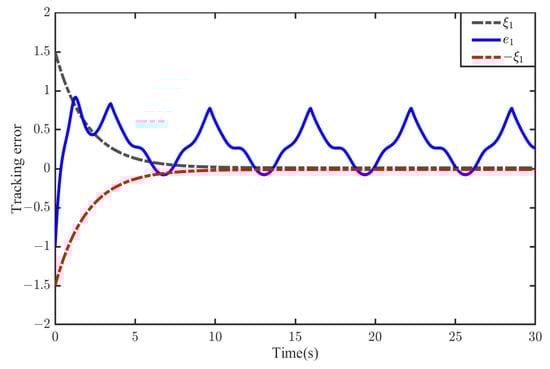
5. Simulation Study
6. Conclusions
Author Contributions
Funding
Data Availability Statement
Conflicts of Interest
References
- Liu, J.Z.; Yan, S.; Zeng, D.L.; Hu, Y.; Lv, Y. A dynamic model used for controller design of a coal fired once-through boiler-turbine unit. Energy 2015, 93, 2069–2078. [Google Scholar] [CrossRef]
- Krstic, M.; Kanellakopoulos, I.; Kokotovic, P.V. Nonlinear and Adaptive Control Design; Wiley: New York, NY, USA, 1995. [Google Scholar]
- Xie, X.J.; Duan, N. Output Tracking of High-order stochastic nonlinear systems with application to benchmark mechanical system. IEEE Trans. Autom. Control 2010, 55, 1197–1202. [Google Scholar]
- Lin, W.; Pongvuthithum, R. Adaptive output tracking of inherently nonlinear systems with nonlinear parameterization. IEEE Trans. Autom. Control 2003, 48, 1737–1749. [Google Scholar] [CrossRef]
- Xie, X.J.; Tian, J. Adaptive state-feedback stabilization of high-order stochastic systems with nonlinear parameterization. Automatica 2009, 45, 126–133. [Google Scholar] [CrossRef]
- Li, W.Q.; Jing, Y.W.; Zhang, S.Y. Adaptive state-feedback stabilization for a large class of high-order stochastic nonlinear systems. Automatica 2011, 47, 819–828. [Google Scholar] [CrossRef]
- Li, W.Q.; Liu, X.H.; Zhang, S.Y. Further results on adaptive state-feedback stabilization for stochastic high-order nonlinear systems. Automatica 2012, 48, 1667–1675. [Google Scholar] [CrossRef]
- Liu, L.; Yin, S.; Gao, H.J.; Alsaadi, F.; Hayat, T. Adaptive partial-state feedback control for stochastic high-order nonlinear systems with stochastic input-to-state stable inverse dynamics. Automatica 2015, 51, 285–291. [Google Scholar] [CrossRef]
- Sun, Z.Y.; Xue, L.R.; Zhang, K.M. A new approach to finite-time adaptive stabilization of high-order uncertain nonlinear system. Automatica 2015, 58, 60–66. [Google Scholar] [CrossRef]
- Sun, Z.Y.; Zhang, C.H.; Wang, Z. Adaptive disturbance attenuation for generalized high-order uncertain nonlinear systems. Automatica 2017, 80, 102–109. [Google Scholar] [CrossRef]
- Man, Y.C.; Liu, Y.G. Global adaptive stabilization and practical tracking for nonlinear systems with unknown powers. Automatica 2019, 100, 171–181. [Google Scholar] [CrossRef]
- Wang, M.; Liu, Y.; Man, Y. Switching adaptive controller for the nonlinear systems with uncertainties from unknown powers. IEEE Trans. Syst. Man Cybern. Syst. 2020, 50, 2375–2385. [Google Scholar] [CrossRef]
- Guo, C.; Xie, R.M.; Xie, X.J. Adaptive control of full-state constrained high-order nonlinear systems with time-varying powers. IEEE Trans. Syst. Man Cybern. Syst. 2021, 51, 5189–5197. [Google Scholar] [CrossRef]
- Lv, M.; Schutter, B.D.; Cao, J.; Baldi, S. Adaptive prescribed performance asymptotic tracking for high-order odd-rational-power nonlinear systems. IEEE Trans. Autom. Control 2023, 68, 1047–1053. [Google Scholar] [CrossRef]
- Liu, Y.H.; Liu, Y.; Liu, Y.F.; Su, C.Y.; Zhou, Q.; Lu, R. Adaptive approximation-based tracking control for a class of unknown high-order nonlinear systems with unknown powers. IEEE Trans. Cybern. 2022, 52, 4559–4573. [Google Scholar] [CrossRef]
- Ma, J.W.; Wang, H.Q.; Su, Y.K.; Liu, C.G.; Chen, M. Adaptive neural fault-tolerant control for nonlinear fractional-order systems with positive odd rational powers. Fractal Fract. 2022, 6, 622. [Google Scholar] [CrossRef]
- Wang, N.; Wang, Y. Fuzzy adaptive quantized tracking control of switched high-order nonlinear systems: A new fixed-time prescribed performance method. IEEE Trans. Circuits Syst. II Exp. Briefs 2022, 69, 3279–3283. [Google Scholar] [CrossRef]
- Sun, W.; Su, S.F.; Wu, Y.; Xia, J. Adaptive fuzzy event-triggered control for high-order nonlinear systems with prescribed performance. IEEE Trans. Cybern. 2022, 52, 2885–2895. [Google Scholar] [CrossRef]
- Sui, S.; Chen, C.L.P.; Tong, S. Finite-time adaptive fuzzy prescribed performance control for high-order stochastic nonlinear systems. IEEE Trans. Fuzzy Syst. 2022, 30, 2227–2240. [Google Scholar] [CrossRef]
- Fu, Z.; Wang, N.; Song, S.; Wang, T. Adaptive fuzzy finite-time tracking control of stochastic high-order nonlinear systems with a class of prescribed performance. IEEE Trans. Fuzzy Syst. 2022, 30, 88–96. [Google Scholar] [CrossRef]
- Zhang, L.; Liu, X.; Hua, C. Prescribed-time control for stochastic high-order nonlinear systems with parameter uncertainty. IEEE Trans. Circuits Syst. II Exp. Briefs 2022, in press. [CrossRef]
- Lin, W.; Qian, C.J. Adding one power integrator: A tool for global stabilization of high-order lower-triangular systems. Syst Control Lett. 2000, 39, 339–351. [Google Scholar] [CrossRef]
- Lin, W.; Qian, C.J. Robust regulation of a chain of power integrators perturbed by a lower-triangular vector field. Int. J. Robust Nonlin. Control 2000, 10, 397–421. [Google Scholar] [CrossRef]
- Qian, C.J.; Lin, W. Almost disturbance decoupling for a class of high-order nonlinear systems. IEEE Trans. Autom. Control 2000, 45, 1208–1214. [Google Scholar] [CrossRef]
- Qian, C.J.; Lin, W. Practical output tracking of nonlinear systems with uncontrollable unstable linearization. IEEE Trans. Autom. Control 2002, 47, 21–36. [Google Scholar] [CrossRef]
- Chen, C.C.; Qian, C.J.; Lin, X.Z.; Sun, Z.Y.; Liang, Y.W. Smooth output feedback stabilization for a class of nonlinear systems with time-varying powers. Int. J. Robust Nonlin. Control 2017, 27, 5113–5128. [Google Scholar] [CrossRef]
- Su, Z.G.; Qian, C.J.; Shen, J. Interval homogeneity-based control for a class of nonlinear systems with unknown power drifts. IEEE Trans. Autom. Control 2017, 62, 1445–1450. [Google Scholar] [CrossRef]
- Xie, X.J.; Guo, C.; Cui, R.H. Removing feasibility conditions on tracking control of full-state constrained nonlinear systems with time-varying powers. IEEE Trans. Syst. Man, Cybern. Syst. 2021, 51, 6535–6543. [Google Scholar] [CrossRef]
- Xie, X.J.; Duan, N.; Yu, X. State-feedback control of high-order stochastic nonlinear systems with SiISS inverse dynamics. IEEE Trans. Autom. Control 2011, 56, 1921–1926. [Google Scholar]
- Zhang, X.F.; Liu, Q.R.; Baron, L.; Boukas, E.K. Feedback stabilization for high order feedforward nonlinear time-delay systems. Automatica 2011, 47, 962–967. [Google Scholar] [CrossRef]
- Min, H.F.; Xu, S.Y.; Gu, J.S.; Cui, G.Z. Adaptive finite-time control for high-order nonlinear systems with multiple uncertainties and its application. IEEE Trans. Circuits Syst. I Reg. Pap. 2020, 67, 1752–1761. [Google Scholar] [CrossRef]
- Li, W.Q.; Wu, Z.J. Output tracking of stochastic high-order nonlinear systems with markovian switching. IEEE Trans. Autom. Control 2013, 58, 1585–1590. [Google Scholar] [CrossRef]
- Zhao, C.Y.; Xie, X.J. Global stabilization of stochastic high-order feedforward nonlinear systems with time-varying delay. Automatica 2014, 50, 203–210. [Google Scholar] [CrossRef]
- Bechlioulis, C.P.; Rovithakis, G.A. Robust adaptive control of feedback linearizable MIMO nonlinear systems with prescribed performance. IEEE Trans. Autom. Control 2008, 53, 2090–2099. [Google Scholar] [CrossRef]
- Bechlioulis, C.P.; Rovithakis, G.A. Adaptive control with guaranteed transient and steady state tracking error bounds for strict feedback systems. Automatica 2009, 45, 532–538. [Google Scholar] [CrossRef]
- Ilchmann, A.; Ryan, E.; Sangwin, C. Tracking with prescribed transient behaviour. ESAIM Control Optim. Calc. Var. 2002, 7, 471–493. [Google Scholar] [CrossRef]
- Ilchmann, A.; Ryan, E.P.; Trenn, S. Tracking control: Performance funnels and prescribed transient behaviour. Syst. Control Lett. 2005, 54, 655–670. [Google Scholar] [CrossRef]
- Hopfe, N.; Ilchmann, A.; Ryan, E.P. Funnel control with saturation: Nonlinear SISO systems. IEEE Trans. Autom. Control 2010, 55, 2177–2182. [Google Scholar] [CrossRef]
- Berger, T.; Lê, H.H.; Reis, T. Funnel control for nonlinear systems with known strict relative degree. Automatica 2018, 87, 345–357. [Google Scholar] [CrossRef]
- Berger, T.; Puche, M.; Schwenninger, F. Funnel control for a moving water tank. Automatica 2022, 135, 109999. [Google Scholar] [CrossRef]
- Ilchmann, A.; Ryan, E.P.; Townsend, P. Tracking with prescribed transient behavior for nonlinear systems of known relative degree. SIAM J. Control Optim. 2007, 46, 210–230. [Google Scholar] [CrossRef]
- Qiu, J.; Wang, T.; Sun, K.; Rudas, I.J.; Gao, H. Disturbance observer-based adaptive fuzzy control for strict-feedback nonlinear systems with finite-time prescribed performance. IEEE Trans. Fuzzy Syst. 2022, 30, 1175–1184. [Google Scholar] [CrossRef]
- Zhao, K.; Wen, C.; Song, Y.; Lewis, F.L. Adaptive uniform performance control of strict-feedback nonlinear systems with time-varying control gain. IEEE/CAA J. Autom. Sin. 2023, 10, 451–461. [Google Scholar] [CrossRef]
- Zhang, F.; Deng, X.F.; Wei, L.S. Adaptive dynamic surface control of strict-feedback fractional-order nonlinear systems with input quantization and external disturbances. Fractal Fract. 2022, 6, 698. [Google Scholar] [CrossRef]
- Deng, X.F.; Wei, L.S. Adaptive neural network finite-time control of uncertain fractional-order systems with unknown dead-zone fault via command filter. Fractal Fract. 2022, 6, 494. [Google Scholar] [CrossRef]
- Zhang, J.X.; Yang, G.H. Fault-tolerant output-constrained control of unknown Euler-Lagrange systems with prescribed tracking accuracy. Automatica 2020, 111, 108606. [Google Scholar] [CrossRef]
- Zhang, J.X.; Yang, G.H. Robust adaptive fault-tolerant control for a class of unknown nonlinear systems. IEEE Trans. Ind. Electron. 2017, 64, 585–594. [Google Scholar] [CrossRef]
- Zhang, J.X.; Yang, G.H. Low-complexity tracking control of strict-feedback systems with unknown control directions. IEEE Trans. Autom. Control 2019, 64, 5175–5182. [Google Scholar] [CrossRef]
- Zhang, J.X.; Yang, G.H. Fuzzy adaptive output feedback control of uncertain nonlinear systems with prescribed performance. IEEE Trans. Cybern. 2018, 48, 1342–1354. [Google Scholar] [CrossRef] [PubMed]
- Zhang, J.X.; Wang, Q.G.; Ding, W. Global output-feedback prescribed performance control of nonlinear systems with unknown virtual control coefficients. IEEE Trans. Autom. Control 2022, 67, 6904–6911. [Google Scholar] [CrossRef]














Disclaimer/Publisher’s Note: The statements, opinions and data contained in all publications are solely those of the individual author(s) and contributor(s) and not of MDPI and/or the editor(s). MDPI and/or the editor(s) disclaim responsibility for any injury to people or property resulting from any ideas, methods, instructions or products referred to in the content. |
© 2023 by the authors. Licensee MDPI, Basel, Switzerland. This article is an open access article distributed under the terms and conditions of the Creative Commons Attribution (CC BY) license (https://creativecommons.org/licenses/by/4.0/).
Share and Cite
Xu, K.-D.; Zhang, J.-X. Prescribed Performance Tracking Control of Lower-Triangular Systems with Unknown Fractional Powers. Fractal Fract. 2023, 7, 594. https://doi.org/10.3390/fractalfract7080594
Xu K-D, Zhang J-X. Prescribed Performance Tracking Control of Lower-Triangular Systems with Unknown Fractional Powers. Fractal and Fractional. 2023; 7(8):594. https://doi.org/10.3390/fractalfract7080594
Chicago/Turabian StyleXu, Kai-Di, and Jin-Xi Zhang. 2023. "Prescribed Performance Tracking Control of Lower-Triangular Systems with Unknown Fractional Powers" Fractal and Fractional 7, no. 8: 594. https://doi.org/10.3390/fractalfract7080594
APA StyleXu, K.-D., & Zhang, J.-X. (2023). Prescribed Performance Tracking Control of Lower-Triangular Systems with Unknown Fractional Powers. Fractal and Fractional, 7(8), 594. https://doi.org/10.3390/fractalfract7080594

