Analysis of Hopf–Hopf Interactions Induced by Multiple Delays for Inertial Hopfield Neural Models
Abstract
1. Introduction
- (1)
- Diverse time delays are two major parameters of our concern. Compared with the previous related works, investigating the joint influences of diverse delays on inertial neural systems is more realistic and meaningful.
- (2)
- The perturbation scheme and non-reduced order technique are first combined into the study of Hopf–Hopf interactions. In contrast with the traditional reduced-order method, it is simple and valid with less computation.
- (3)
- The search for analytical bifurcating solutions is converted to the problem of solving four algebraic equations.
- (4)
- A developed model with inertial couplings and multiple delays is investigated and theoretical results demonstrate its validity.
2. Methodology Formulation
2.1. Hopf–Hopf Bifurcation Point
- (a1)
- Diverse delays and are chosen as two control parameters.
- (a2)
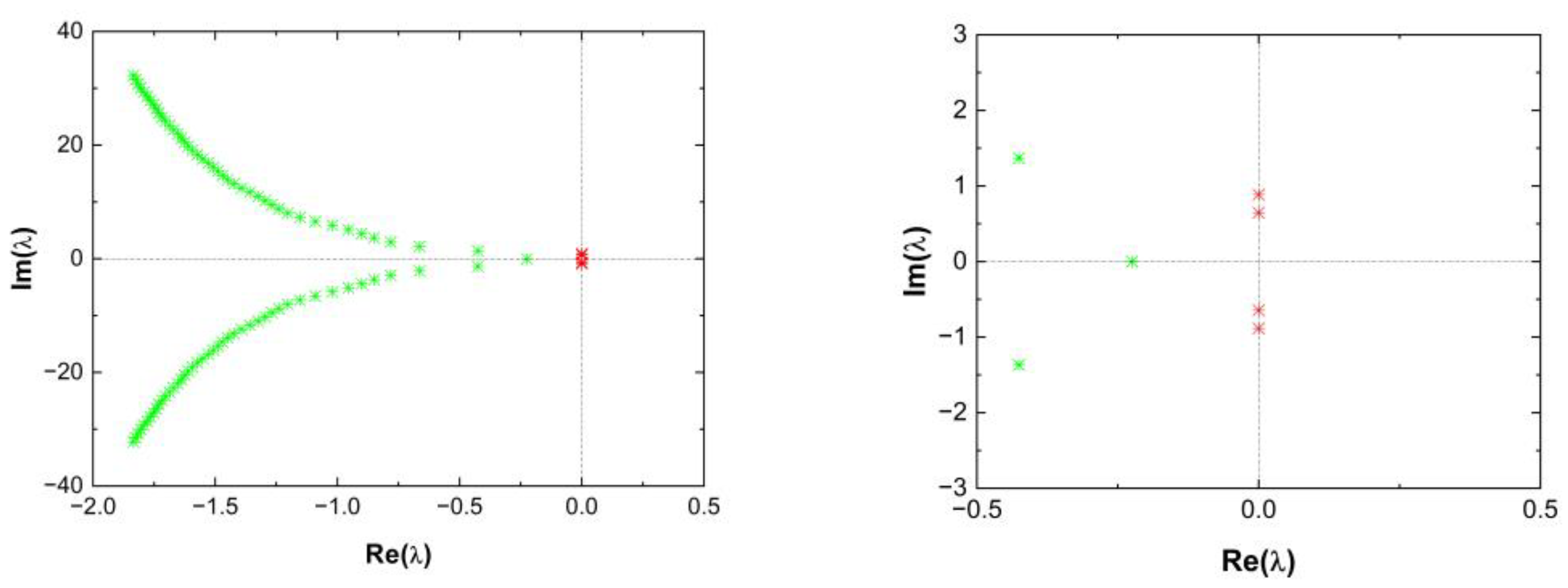
- Increasing two control delays, Equation (1) undergoes weak resonant Hopf–Hopf bifurcations at the critical values and . That is, the other roots of Equation (2) have negative real parts except for two distinct pairs of roots, and for and where and are positive real constants.
2.2. Bifurcation Sets and Periodic Solutions
3. Multiple-Delay Neural Networks with Inertial Couplings
3.1. Existence of Hopf–Hopf Bifurcation Point
3.2. Bifurcation Sets and Numerical Simulations
- (1)
- region (I), the trivial equilibrium of Equation (17) is asymptotically stable. In addition, Equation (17) undergoes a Hopf bifurcation at the line . Region (I) is a stability zone.
- (2)
- region (II), loses its stability and a stable periodic oscillation emerges.
- (3)
- region (III), when crosses the line , there exist two periodic solutions and the trivial equilibrium point. A periodic solution has high frequency and the trivial equilibrium point is unstable and the other periodic solution with low frequency is stable.
- (4)
- region (IV), when crosses the line , there exist three periodic solutions and the trivial equilibrium point. The new emerging periodic solution and the trivial equilibrium are unstable.
- (5)
- region (V), when crosses the line , the unstable periodic solution disappears. The periodic solution with high frequency is stable and the other periodic solution and the trivial equilibrium point are unstable.
- (6)
- region (VI), there exists a periodic solution with high frequency and a trivial equilibrium point. The periodic solution bifurcating from the trivial equilibrium point is stable.
4. Conclusions
Funding
Data Availability Statement
Acknowledgments
Conflicts of Interest
Appendix A
References
- Wang, F.; Liu, M. Global exponential stability of high-order bidirectional associative memory (BAM) neural networks with time delays in leakage terms. Neurocomputing 2016, 177, 515–528. [Google Scholar] [CrossRef]
- Dong, Y.; Takeuchi, Y.; Nakaoka, S. A mathematical model of multiple delayed feedback control system of the gut microbiota-Antibiotics injection controlled by measured metagenomic data. Nonlinear Anal. Real 2018, 43, 1–17. [Google Scholar] [CrossRef]
- Yang, J.; Liu, C.; Mei, M. Global solutions for bistable degenerate reaction-diffusion equation with time-delay and nonlocal effect. Appl. Math. Lett. 2022, 125, 107726. [Google Scholar] [CrossRef]
- Mao, X.; Wang, Z. Stability, bifurcation, and synchronization of delay-coupled ring neural networks. Nonlinear Dyn. 2016, 84, 1063–1078. [Google Scholar] [CrossRef]
- Shen, H.; Hu, X.; Wang, J.; Cao, J.; Qian, W. Non-fragile H∞ synchronization for Markov jump singularly perturbed coupled neural networks subject to double-layer switching regulation. IEEE Trans. Neural Netw. Learn Syst. 2022, 1–11. [Google Scholar] [CrossRef] [PubMed]
- Cao, Y.; Zhao, L.; Wen, S.; Huang, T. Lag H∞ synchronization of coupled neural networks with multiple state couplings and multiple delayed state couplings. Neural Netw. 2022, 151, 143–155. [Google Scholar] [CrossRef] [PubMed]
- Ge, J.; Xu, J. Computation of synchronized periodic solution in a BAM network with two delays. IEEE Trans. Neural Netw. Learn Syst. 2010, 21, 439–450. [Google Scholar]
- Shi, K.; Tang, Y.; Liu, X.; Zhong, S. Non-fragile sampled-data robust synchronization of uncertain delayed chaotic Lurie systems with randomly occurring controller gain fluctuation. ISA T. 2017, 66, 185–199. [Google Scholar] [CrossRef]
- Shi, K.; Liu, X.; Zhu, H.; Zhong, S.; Zeng, Y.; Yin, C. Novel delay-dependent master-slave synchronization criteria of chaotic Lurie systems with time-varying delay feedback control. App. Math. Comput. 2016, 282, 137–154. [Google Scholar] [CrossRef]
- He, X.; Li, C.; Huang, T.; Li, C. Bogdanov-Takens Singularity in Tri-Neuron Network with Time Delay. IEEE Trans. Neural Netw. Learn Syst. 2013, 24, 1001–1007. [Google Scholar]
- Gupta, P.; Majee, N.; Roy, A. Stability and Hopf bifurcation analysis of delayed BAM neural network under dynamic thresholds. Nonlinear Anal. Model. 2009, 14, 435–461. [Google Scholar] [CrossRef]
- Ma, S. Hopf bifurcation of a type of neuron model with multiple time delays. Int. J. Bifurcat. Chaos 2020, 29, 1950163. [Google Scholar] [CrossRef]
- Pei, L.; Wang, S. Double Hopf bifurcation of differential equation with linearly state-dependent delays via MMS. Appl. Math. Comput. 2019, 341, 256–276. [Google Scholar] [CrossRef]
- Ge, J.; Xu, J. An analytical method for studying double Hopf bifurcations induced by two delays in nonlinear differential systems. Sci. China Technol. Sci. 2020, 63, 597–602. [Google Scholar] [CrossRef]
- Yu, D.; Zhou, X.; Wang, G.; Ding, Q.; Li, T.; Jia, Y. Effects of chaotic activity and time delay on signal transmission in FitzHugh-Nagumo neuronal system. Cogn. Neurodyn. 2022, 16, 887–897. [Google Scholar] [CrossRef]
- Zhao, L.; Huang, C.; Cao, J. Effects of double delays on bifurcation for a fractional-order neural network. Cogn. Neurodyn. 2022, 16, 1189–1201. [Google Scholar] [CrossRef]
- He, X.; Li, C.; Huang, T.; Yu, J. Bifurcation behaviors of an Euler discretized inertial delayed neuron model. Sci. China Technol. Sci. 2016, 59, 418–427. [Google Scholar] [CrossRef]
- He, X.; Huang, T.; Yu, J.; Li, C.; Li, C. An inertial projection neural network for solving variational inequalities. IEEE Trans. Cybern. 2017, 47, 809–814. [Google Scholar] [CrossRef]
- Ge, J.; Xu, J. Stability and Hopf bifurcation on four-neuron neural networks with inertia and multiple delays. Neurocomputing 2018, 287, 34–44. [Google Scholar] [CrossRef]
- Song, Z.; Wang, C.; Zhen, B. Codimension-two bifurcation and multistability coexistence in an inertial two-neuron system with multiple delays. Nonlinear Dyn. 2016, 85, 2099–2113. [Google Scholar] [CrossRef]
- Song, Z.; Xu, J. Self-/mutual-symmetric rhythms and their coexistence in a delayed half-center oscillator of the CPG neural system. Nonlinear Dyn. 2022, 108, 2595–2609. [Google Scholar] [CrossRef]
- Ge, J.; Xu, J. Stability switches and fold-Hopf bifurcations in an inertial four-neuron network model with coupling delay. Neurocomputing 2013, 110, 70–79. [Google Scholar] [CrossRef]
- Song, Z.; Zhen, B.; Hu, D. Multiple bifurcations and coexistence in an inertial two-neuron system with multiple time delays. Cogn. Neurodyn. 2020, 14, 359–374. [Google Scholar] [CrossRef]
- Ge, J.; Xu, J. Weak resonant double Hopf bifurcations in an inertial four-neuron model with time delay. Int. J. Neural Syst. 2012, 22, 63–75. [Google Scholar] [CrossRef]
- Yao, S.; Ding, L.; Song, Z.; Xu, J. Two bifurcation routes to multiple chaotic coexistence in an inertial two-neural system with time delay. Nonlinear Dyn. 2019, 95, 1549–1563. [Google Scholar] [CrossRef]
- Ge, J. Multi-delay-induced bifurcation singularity in two-neuron neural models with multiple time delays. Nonlinear Dyn. 2022, 108, 4357–4371. [Google Scholar] [CrossRef]
- Lakshmanan, S.; Prakash, M.; Lim, C.; Rakkiyappan, R.; Balasubramaniam, P.; Nahavandi, S. Synchronization of an inertial neural network with time-varying delays and its application of secure communication. IEEE Trans. Neural Netw. Learn Syst. 2018, 29, 195–207. [Google Scholar] [CrossRef] [PubMed]
- Guo, Z.; Gong, S.; Yang, S.; Huang, T. Global exponential synchronization of multiple coupled inertial memristive neural networks with time-varying delay via nonlinear coupling. Neural Netw. 2018, 108, 260–271. [Google Scholar] [CrossRef] [PubMed]
- Chen, X.; Lin, D.; Lan, W. Global dissipativity of delayed discrete-time inertial neural networks. Neurocomputing 2020, 390, 131–138. [Google Scholar] [CrossRef]
- Cui, Q.; Li, L.; Cao, J. Stability of inertial delayed neural networks with stochastic delayed impulses via matrix measure method. Neurocomputing 2022, 471, 70–78. [Google Scholar] [CrossRef]
- Hassard, B.D.; Kazarinoff, N.D.; Wan, Y. Theory and Applications of Hopf bifurcation; Cambridge University Press: Cambridge, UK, 1981. [Google Scholar]
- Li, X.; Li, X.; Hu, C. Some new results on stability and synchronization for delayed inertial neural networks based on non-reduced order method. Neural Netw. 2017, 96, 91–100. [Google Scholar] [CrossRef]
- Huang, C.; Liu, B. New studies on dynamic analysis of inertial neural networks involving non-reduced order method. Neurocomputing 2019, 325, 283–287. [Google Scholar] [CrossRef]
- Wu, K.; Jian, J. Non-reduced order strategies for global dissipativity of memristive neural-type inertial neural networks with mixed time-varying delays. Neurocomputing 2021, 436, 174–183. [Google Scholar] [CrossRef]
- Chen, S.; Jiang, H.; Lu, B.; Yu, Z.; Li, L. Pinning bipartite synchronization for inertial coupled delayed neural networks with signed digraph via non-reduced order method. Neural Netw. 2020, 129, 392–402. [Google Scholar] [CrossRef] [PubMed]
- Wang, J.; Wang, X.; Wang, Y.; Zhang, X. Non-reduced order method to global h-stability criteria for proportional delay high-order inertial neural networks. Appl. Math. Comput. 2021, 407, 126308. [Google Scholar] [CrossRef]
- Tu, Z.; Dai, N.; Wang, L.; Yang, X.; Wu, Y.; Li, N.; Cao, J. H∞ state estimation of quaternion-valued inertial neural networks: Non-reduced order method. Cogn. Neurodyn. 2022. [Google Scholar] [CrossRef]
- Liu, P.; Kalmár-Nagy, T. High-dimensional harmonic balance analysis for second-order delay-differential equations. J. Vib. Control 2010, 16, 1189–1208. [Google Scholar] [CrossRef]






Disclaimer/Publisher’s Note: The statements, opinions and data contained in all publications are solely those of the individual author(s) and contributor(s) and not of MDPI and/or the editor(s). MDPI and/or the editor(s) disclaim responsibility for any injury to people or property resulting from any ideas, methods, instructions or products referred to in the content. |
© 2023 by the author. Licensee MDPI, Basel, Switzerland. This article is an open access article distributed under the terms and conditions of the Creative Commons Attribution (CC BY) license (https://creativecommons.org/licenses/by/4.0/).
Share and Cite
Ge, J. Analysis of Hopf–Hopf Interactions Induced by Multiple Delays for Inertial Hopfield Neural Models. Fractal Fract. 2023, 7, 116. https://doi.org/10.3390/fractalfract7020116
Ge J. Analysis of Hopf–Hopf Interactions Induced by Multiple Delays for Inertial Hopfield Neural Models. Fractal and Fractional. 2023; 7(2):116. https://doi.org/10.3390/fractalfract7020116
Chicago/Turabian StyleGe, Juhong. 2023. "Analysis of Hopf–Hopf Interactions Induced by Multiple Delays for Inertial Hopfield Neural Models" Fractal and Fractional 7, no. 2: 116. https://doi.org/10.3390/fractalfract7020116
APA StyleGe, J. (2023). Analysis of Hopf–Hopf Interactions Induced by Multiple Delays for Inertial Hopfield Neural Models. Fractal and Fractional, 7(2), 116. https://doi.org/10.3390/fractalfract7020116

